ISGlobal

La salut pública ha esdevingut un motor de renovació de les ciutats i de creació de nous models d’urbanisme i mobilitat [1,2]. Recentment, s’ha publicat l’article “Urban and Transport Planning Related Exposures and Mortality: A Health Impact Assessment for Cities” [3], en el que es va fer una avaluació de l’impacte en la salut (HIA en anglès) per a la ciutat de Barcelona. Bàsicament, es va estimar el nombre de morts prematures evitables si a Barcelona es complissin les recomanacions internacionals d'exposició per a l'activitat física, la contaminació atmosfèrica, el soroll, la calor i l'accés als espais verds. És a dir, què passaria si aconseguíssim una ciutat amb uns estandars de qualitat ambiental iguals als recomanats per la OMS o altres fonts solvents de la literatura científica? (Taula 1).

Taula 1. Exposició actual a la ciutat de Barcelona i exposicions recomanades per organismes internacionals

Exposició Exposició actual Recomanació
Activitat física

Adults 18-64 anys

Adults ≥65 anys

77.7 MET minuts/setmana

36.7 MET minuts/setmana

600 MET minuts/setmana

450 MET minuts/setmana

Contaminació de l’aire

Mediana anual PM2.5

16.6 μg/m3 10 μg/m3
Soroll exterior

Durant el dia (7:00-23:00hr) (LAeq,16hr)

65.1dB(A) 55 dB(A)
Calor >21.8 ºC en 101 dies (‘percentil de mortalitat mínima’) Canvis urbanístics que ajudin a reduir 4 ºC
Espais verds 31.1% de los residents sense accés a espais verds (≥0.5 ha en 300m) Accés a espais verds (≥0.5 ha en 300m)


Els resultats de l’estudi van ser que anualment al voltant del 20% de les morts que tenen lloc a Barcelona es podrien evitar si s’arribés a complir les recomanacions internacionals (Figura 1). L’exposició que tenia més impacte era l’augment de l’activitat física, seguit per la reducció de l'exposició a la contaminació de l'aire, al soroll del trànsit, i a la calor. L'accés als espais verds va tenir efectes menors sobre la mortalitat. També es va estimar que el compliment de les recomanacions internacionals es traduiria en un augment de l'esperança de vida (360 dies 95%CI= 219, 493) i en un estalvi econòmic de 9.3 mil milions d’euros (95%CI= 4.9, 13.2) l’any [3].

Aquest estudi, que es centra en la mortalitat i no inclou l’impacte en la morbiditat (i per tant en la pèrdua de qualitat de vida), va ser possible gràcies a l’evidència científica que existeix per cada una de les exposicions que es van analitzar, tal i com detalla el mateix estudi [3]. En els següents apartats no entrarem a explicar aquests estudis en concret però sí que explicarem altres impactes que aquestes exposicions analitzades tenen en la nostra salut i que tenen relació amb els resultats obtinguts en aquest estudi.

Figura 1. Estimació de les morts que es podrien evitar si es complissin les recomanacions d'exposició per a cada una de les exposicions analitzades.

Draft Domingo 763212184-image1.jpeg

1. Disseny urbà, mobilitat i activitat física

La falta d’activitat física és la quarta causa de mortalitat a escala mundial, i juntament amb una dieta poc saludable són dos dels factors que més contribueixen al desenvolupament de malalties no transmissibles, com poden ser la obesitat – que podríem classificar com l’epidèmica del segle XXI - , la diabetis, la hipertensió, els problemes cardiovasculars o el càncer. Actualment els nivells d’activitat física a casa nostra, tal i com mostra la Taula 1, són força baixos si ho comparem amb els nivells d’activitat física recomanats. De fet, només un 43% de la població espanyola realitza activitat física de manera regular [4]. I si mirem com ha evolucionat la prevalença de l’obesitat a Espanya, els resultats no són massa esperançadors; actualment un 19.1% dels nens pateixen aquesta patologia, mentre que un 26.1% tenen sobrepès [4]. En adults les xifres no són pas millors (14.5% i 38.7%, respectivament) [4].

La falta d’activitat física és un factor important en el desenvolupament de diverses malalties, i l’entorn urbà hi juga un paper important. Per exemple, si una ciutat o un barri no té les infraestructures adequades per desplaçar-se amb modes actius de transport, és a dir, a peu (voreres amples i en bon estat), amb bicicleta (carrils bici, zones 20, etc), o amb transport públic (poca freqüència de pas, mal servei) la probabilitat d’agafar el cotxe – i per tant ser passius – o de mantenir-se sedentari és més alta. També ho és si les distàncies són llargues, els camins són enrevessats i no tenim serveis a prop, com les botigues de queviures, oficines de treball, etc. I també és més probable que agafem el cotxe si els carrers i l’espai públic no són agradables: amb poc verd urbà i molt trànsit, amb pocs serveis i edificis molt alts, amb poca il·luminació per la nit, sense espais de descans i de trobada, etc [1,2,5,6]. Un exemple que contraposa molt clarament dos models de ciutat que representen extrems del que estem explicant és si comparem el centre d’una ciutat amb les urbanitzacions d’aquesta mateixa ciutat; aquelles persones que viuen el centre segur que utilitzen molt menys el cotxe i són físicament més actives en el seu dia a dia que aquelles que viuen a les urbanitzacions.

També cal tenir present que com dissenyem les ciutats influencia la nostra relació amb els altres, amb la comunitat. La solitud i l’aïllament social són factors determinants del nostre estat de salut, especialment de l’estat de salut mental [1]. De fet, un estudi publicat l’any 2015 que analitzava l’evidència científica de l’impacte de l’aïllament social en la mortalitat, va veure que l’impacte d’aquest era equiparable a la d’altres problemes de salut també molt importants, com per exemple l’obesitat [7].

Contaminació atmosfèrica

Fa uns anys la problemàtica de la contaminació atmosfèrica, principalment causada pel trànsit rodat ha esdevingut el principal risc ambiental per la salut i un dels principals determinants de pèrdua de salut [8]. Si bé és cert que per PM2.5 i PM10 estem per sota dels límits anuals màxims establerts per la Unió Europea (25 µg/m3 i 40 µg/m3, respectivament), no hem aconseguit baixar per sota dels nivells màxims establerts per l’OMS (10 µg/m3 i 20 µg/m3, respectivament) [9]. Tampoc hem aconseguit reduir els nivells de NO2 per sota dels 40 µg/m3 establerts per ambdós organismes (només als anys 2013 i 2014) [9]. Tot i que hi ha altres contaminants atmosfèrics, el NO2, les PM (matèria particulada en anglès) i les partícules ultrafines són els compostos que més preocupen. El NO2 per la seva capacitant irritant, que provoca problemes respiratoris i redueix la capacitat pulmonar, i les PM perquè poden entrar al sistema respiratori, i en el cas de les partícules ultrafines fins i tot poden entrar al torrent sanguini i al tracte olfactori fins arribar al cervell. Dins l’organisme, tenen activitat proinflamatòria i poden provocar problemes respiratoris, cardiovasculars i càncer [10]. Tampoc podem oblidar que Barcelona supera el valor de referència de l’OMS per al benzo-α-pirè i benzè, especialment a les zones més properes al trànsit. Segons la IARC "hi ha prou proves en humans per a la carcinogenicitat de benzè. El benzè causa leucèmia mieloide aguda i leucèmia aguda n- limfocítica” [11]. L’any 2014, segons la OMS, la contaminació atmosfèrica era la responsable del 40% de les morts per infart i angina de pit, del 40% de les morts per accidents cerebrovasculars, de l’11% de les morts per malaltia pulmonar obstructiva crònica (MPOC), del 6% de les morts per càncers de pulmó i del 3% de les morts per malalties infeccions respiratòries agudes en nens [12]. Recordem que segons l’estudi que hem vist a l’inici d’aquesta secció, podríem reduir en 659 morts prematures cada any si a Barcelona es complissin els nivells màxims establerts per l’OMS. Òbviament aquest impacte en la mortalitat seria molt més gran si estimessim el que succeix a tota l’àrea metropolitana de Barcelona i a altres grans ciutats catalanes.


Figura 2. Inventari d’emissions de NOx i PM10 a la zona de protecció de l’ambient atmosfèric a Catalunya [8].

Draft Domingo 763212184-image2.png

Però l’impacte de la contaminació de l’aire va més enllà de la mortalitat. A banda dels efectes en la salut ja comentats (càncer de pulmó, problemes cardiovasculars, MPOC), la contaminació de l’aire també incrementa el risc de patir infeccions respiratòries, atacs d’asma i empitjora la qualitat de vida de les persones amb problemes respiratoris [13]. Diversos estudis també suggereixen que la contaminació de l’aire té un impacte en el neurodesenvolupament dels nens [13,14], i que podria jugar un paper en el desenvolupament de malalties com l’Alzheimer o el Parkinson, i fins i tot la depressió [14]. També s’han detectat efectes durant la vida prenatal: major exposició a contaminació de l’aire s’ha associat amb un baix pes al néixer, amb tot el que pot comportar en el posterior creixement del nen [13].

LA CONTAMINACIÓ A LES ESCOLES DE BARCELONA

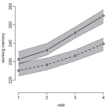
Una de les troballes més recents ha estat l’observació del retard en la memòria de treball en nens associat a la contaminació de l’aire [15]. L’any 2011 va començar a Barcelona l’estudi BREATHE, en el que participaven 36 escoles de Barcelona i 3 de Sant Cugat. Es van mesurar els nivells de contaminació atmosfèrica a les escoles (a fora el pati i a dins de les classes) i es va demanar a més de 2700 nens d’entre 7 i 10 anys fer proves per avaluar la memòria de treball i problemes d’atenció. Aquestes proves es van fer quatre vegades al llarg d’un any. L’estudi va demostrar que a l’inici de l’estudi els nens que estudiaven en escoles amb nivells de contaminació més alt obtenien pitjor puntuació que els nens d’escoles menys contaminades. Però a més va demostrar que aquestes diferències s’accentuaven al cap d’un any (Figura 3) [18]. Per tant, els estudiants d’escoles que es situen en carrers més contaminats tenen un clar desavantatges respecte als estudiants d’escoles amb aire més net.

Figura 3. Puntuació de la memòria de treball dels nens a llarg d’un any a les escoles menys contaminades (línia continua) i a les escoles més contaminades (línia discontinua) [15].

Draft Domingo 763212184-image3-c.png

3. Soroll

Tot i tenir menys ressò mediàtic i institucional, la contaminació acústica és també un problema de salut important i que va inevitablement lligada a la vida a les ciutats. Prova d’això és que el trànsit rodat és una de les fonts d’exposició més important [16,17] (Figura 4).

Figura 4. Distribució segons font de soroll de la població europea (milions) exposada a nivells de soroll per sobre de 55 dB (mitja de tot dia, límit establert per la UE) [17].

Draft Domingo 763212184-image4-c.png

Segons un informe recent, mentre a Europa el 65% de les ciutats europees analitzades ha aconseguit reduir el nombre de persones exposades al soroll ambiental degut al trànsit terrestre, o si més no, aturar-ne l’augment entre el 2007 i el 2012, a l’Estat espanyol (Catalunya segueix el mateix patró) la població exposada s’ha incrementat en el 60% de les ciutats que es van estudiar. Cal dir que sí s’ha millorat en el cas del trànsit aeri en el 95% dels aeroports, inclòs el de Barcelona [16].

El cicle de la son és un moment de restauració de les nostres funcions vitals. L'exposició al soroll nocturn (la OMS recomana que sigui per sota dels 40 dB) provoca alteracions del son a més de 13 milions d’europeus, alterant la relaxació i generant estrés [16]. En general, la contaminació acústica impacte al nostre sistema nerviós autònom i endocrí (hormonal), donant lloc a canvis en la freqüència cardíaca, la pressió arterial i l'alliberament d'hormones associades a l'estrès, com pot ser el cortisol. Hi ha diversos estudis que han observat una associació entre la contaminació acústica i el deteriorament de la funció cognitiva, pertorbacions hormonals, inclosa la diabetis, accident cerebrovascular i problemes de salut mental, com la depressió i l’estrés [17]. De fet, a tot Europa es calcula que el soroll causa més de 72.000 hospitalitzacions i 16.600 morts prematures a l’any [16].

Però més enllà dels nivells de soroll que puguem mesurar, també hi ha la qüestió de en quin grau ens molesta el soroll. Diversos estudis apunten que sovint les mesures objectives de soroll no són suficients per captar l’impacte que aquest té en la salut i qualitat de vida de les persones. Dos exemples que mostren la importància d’utilitzar també mesures de percepció són dos estudis recents. En el primer estudi es va observar una associació entre molèstia per soroll i depressió i ansietat, amb un increment gradual a més molèstia per soroll [18]. En el segon, es va observar que el soroll pot influenciar els nivells d’activitat física que realitzem, ja sigui de manera directa (l’entorn no convida) o per trastorns del son (cansament, poca energia...), i per tant podria ser un factor de risc a patir malalties cardiometabòliques [19]. Fins i tot hi estudis que suggereixen que el soroll pot ser un factor de risc pel desenvolupament de problemes de comportament en nens [20–22] (cas estudi 3).

EL SOROLL I L’HIPERACTIVITAT EN NENS

Un estudi recent, en el que es van incloure quasi bé 47.000 nens d’una cohort de naixement de Dinamarca, es van mesurar els nivells d’exposició al soroll associat al trànsit rodat. Les mesures es van fer durant l’embaràs de la mare i al llarg de la vida dels infants en funció de l’adreça de residència. Als 7 anys dels nens, es va demanar als pares que omplissin un qüestionari (en anglès Strengths and Difficulties Questionnaire - SDQ) per avaluar problemes de comportament en els nens. Els investigadors no van observar una associació entre exposició al soroll del trànsit rodat durant l'embaràs i problemes de comportament del nen als 7 anys d'edat, però sí que van observar associacions amb l’exposició al soroll després de néixer (mitjana al llarg dels 7 anys de vida): per cada increment de 10 dB de soroll el risc d’obtenir males puntuacions globals pel SDQ s’incrementava un 7% (95%IC: 1.00-1.14). El risc s’incrementava de manera similar per diverses subescales (hiperactivitat/manca d’atenció, problemes de conducta, problemes de relació amb els companys) [22].


4. Temperatures extremes

Entre els efectes causats pel canvi climàtic els més directes i aguts són els derivats de les temperatures extremes, que ocasionen els “cops de calor”, sent els nens i les persones grans els més susceptibles. Quan hi ha un augment de la temperatura el sistema termoregulador del nostre organisme s’activa i provoca canvis com ara un augment de la pressió arterial, la freqüència cardíaca, el nombre de plaquetes i la viscositat de la sang. Aquests canvis eviten que la temperatura corporal augmenti per sobre dels 37°C, la temperatura que s’ha de mantenir estable, però en les poblacions vulnerables aquests canvis poden provocar efectes perjudicials per a la salut [23].

Els habitants de zones urbanes tenen més probabilitats de patir els efectes de la calor, doncs són zones on té lloc el fenomen de les illes de calor. Aquestes illes són zones típiques d’àrees metropolitanes amb una temperatura molt més elevada que les àrees rurals que les envolten, com és el cas de Barcelona. Les raons d’aquestes altes temperatures són diverses: l’elevada densitat de població, la gran concentració de contaminació atmosfèrica provocada pels vehicles (i altres mitjans de transport) i les diferents activitats industrials, el paviment d’asfalt que impermeabilitza el sòl, i la proximitat entre els edificis, que no permet alliberar la calor. Tots aquests factors, units a la manca d’espais verds i blaus per a l’oxigenació, provoquen increments de temperatura per mitjà dels quals els efectes en la salut s’agreugen [23].

5. Espais verds i blaus

En els últims anys els epidemiòlegs ambientals s’han centrat no només en aquelles “exposicions urbanes” perjudicials per a la nostra salut sinó també en explorar elements de l’entorn urbà que poden ajudar a promocionar-la. Dos d’aquests elements són els espais verds (parcs i jardins, passejos amb arbres, etc) i els espais blaus (rius, llacs, fonts, mar, etc), també coneguts com a espais naturals, però que en un entorn urbà podríem dir que més aviat són espais “renaturalitzats”.

Són diversos els mecanismes pels quals es creu o considera que aquests espais poden jugar un paper en la promoció de la salut [24]. El mecanisme principal és el potencial que tenen els espais naturals (verds, blaus) per reduir l’estrés i generar experiències de restauració i relaxació pel simple fet de veure o estar en contacte amb la natura i/o escoltar-ne els sorolls (ocells, pas de l’aigua, moviment de les fulles, etc) [24] (veure cas estudi 5). A més, són espais que tenen potencial per convidar a fer activitat física [25] i també són espais d’oportunitat per generar i reforçar el suport social [24]. De fet, en un estudi dut a terme a Barcelona es va observar que l’associació entre més verdor i una millor salut mental s’explicava, en part, pel fet que tenir més espais verds a prop de casa s’associava a tenir major suport social i a realitzar més activitat física [26]. La literatura científica també suggereix el potencial dels espais blaus en la promoció de la salut mental i l’activitat de física, tot i que el número d’estudis és força limitat.

Els espais verds també poden ajudar a apaivagar l’impacte de certs factors ambientals com la contaminació de l’aire, el soroll o la temperatura ambiental [24]. De fet, en el marc de l’estudi BREATHE, presentat al cas estudi 2, es va observar que a major verdor al voltant de l’escola, millor puntuació en memòria de treball obtenien els estudiants, i que aquesta associació s’explicava en part per la reducció dels nivells de contaminació de l’aire gràcies a aquesta verdor [27]. Altres estudis també han demostrat que a major verdor residencial menor és la mortalitat, sobretot per problemes cardiovasculars [28]. A banda dels mecanismes ja explicats (promoció de l’activitat física, reducció de l’estrés, etc) un altre possibilitat que explicaria aquest efecte podria ser la capacitat dels espais verds d’esmortir l’efecte de les altes temperatures, tal i com va demostrar un estudi recent fet a la ciutat de Lisboa [29]. També s’ha vist que les parets verdes (també conegudes com a jardins verticals) poden arribar a reduir el soroll fins a 15dB [30], tot i que no hi estudis que hagin mirat el paper d’aquests espais en relació al soroll i la salut.

Finalment, la hipòtesi de la biodiversitat suggereix la importància dels espais verds i de la biodiversitat en la regulació del nostre sistema immune com un servei ambiental essencial, però actualment oblidat, per al nostre benestar [31]. Seguint aquesta hipòtesi, alguns investigadors han dut a terme estudis sobre la relació entre els espais verds i la salut respiratòria i immunitària, però fins ara els resultats no són concloents [24]. El que sí se s’ha vist és que a major biodiversitat en el nostre entorn, major biodiversitat de microbiota en el nostre organisme, i que això podria tenir un paper fonamental en el desenvolupament de certes malalties com les al·lèrgies, les malalties autoimmunes o el càncer [31,32].

1 Giles-Corti B, Vernez-Moudon A, Reis R, Turrell G, Dannenberg AL, Badland H, et al.: City planning and population health: a global challenge. Lancet (London, England) 2016 Dec 10;388:2912–2924.

2 Sallis JF, Bull F, Burdett R, Frank LD, Griffiths P, Giles-Corti B, et al.: Use of science to guide city planning policy and practice: how to achieve healthy and sustainable future cities. Lancet (London, England) 2016 Dec 10;388:2936–2947.

3 Mueller N, Rojas-Rueda D, Basagaña X, Cirach M, Cole-Hunter T, Dadvand P, et al.: Urban and Transport Planning Related Exposures and Mortality: A Health Impact Assessment for Cities. Environ Health Perspect 2017 Jan;125:89–96.

4 La Vanguardia: España ya supera a Estados Unidos en obesidad infantil. 16/12/2011Available from: http://www.lavanguardia.com/salud/20111216/54241173369/espana-ya-supera-estadosunidos-en-obesidad-infantil.html

5 Gehl J: Cities for people. Washington (DC), Island Press, 2010.

6 Grasser G, Van Dyck D, Titze S, Stronegger W: Objectively measured walkability and active transport and weight-related outcomes in adults: a systematic review. Int J Public Health 2013 Aug;58:615–25.

7 Holt-Lunstad J, Smith TB, Baker M, Harris T, Stephenson D: Loneliness and social isolation as risk factors for mortality: a meta-analytic review. Perspect Psychol Sci 2015 Mar;10:227–37.

8 Departament de Territori i Sostenibilitat. Generalitat de Catalunya.: Treballant per un aire net a l’aglomeració de Barcelona. El Pla d’actuació per a la millora de la qualitat de l’aire, horitzó 2020. 2015.Available from: http://mediambient.gencat.cat/web/.content/home/ambits_dactuacio/atmosfera/qualitat_de_laire/oficina_tecnica_de_plans_de_millora/pla_millora_qua_aire_2011_2015/Aire_net_2a_ed.pdf

9 Salvatierra I, Ferri G, Bernis M, (Diari Ara): L’aire que ens intoxica.Available from: http://interactius.ara.cat/contaminacio-atmosferica-barcelona-qualitat-aire

10 Stanek LW, Brown JS, Stanek J, Gift J, Costa DL: Air pollution toxicology--a brief review of the role of the science in shaping the current understanding of air pollution health risks. Toxicol Sci 2011 Mar;120 Suppl:S8-27.

11 IARC: IARC monographs on the evaluation of carcinogenic risks to humans. Volume 100F. A review of human carcinogens. Lyon, 2012.Available from: http://monographs.iarc.fr/ENG/Monographs/vol100F/

12 WHO: 7 million premature deaths annually linked to air pollution. 2014 [cited 2015 Feb 3];Available from: http://www.who.int/mediacentre/news/releases/2014/air-pollution/en/

13 The WHO European Centre for Environment and Health: Review of evidence on health aspects of air pollution – REVIHAAP project: final technical report. Bonn, 2013.Available from: http://www.euro.who.int/en/health-topics/environment-and-health/air-quality/publications/2013/review-of-evidence-on-health-aspects-of-air-pollution-revihaap-project-final-technical-report

14 Calderón-Garcidueñas L, Calderón-Garcidueñas A, Torres-Jardón R, Avila-Ramírez J, Kulesza RJ, Angiulli AD: Air pollution and your brain: what do you need to know right now. Prim Health Care Res Dev 2015 Jul;16:329–45.

15 Sunyer J, Esnaola M, Alvarez-Pedrerol M, Forns J, Rivas I, López-Vicente M, et al.: Association between traffic-related air pollution in schools and cognitive development in primary school children: a prospective cohort study. PLoS Med 2015 Mar;12:e1001792.

16 MónSOStenible: El soroll ambiental causa 72 000 hospitalitzacions i 16 600 morts prematures l’any a Europa 2017;Available from: http://www.monsostenible.net/catala/noticies/el-soroll-ambiental-causa-72-000-hospitalitzacions-i-16-600-morts-prematures-lany-a-la-ue/

17 Science for Environment Policy: Noise abatement approaches. Future Brief 17. Bristol, 2017.Available from: http://ec.europa.eu/environment/integration/research/newsalert/pdf/noise_abatement_approaches_FB17_en.pdf

18 Beutel ME, Jünger C, Klein EM, Wild P, Lackner K, Blettner M, et al.: Noise Annoyance Is Associated with Depression and Anxiety in the General Population- The Contribution of Aircraft Noise. PLoS One 2016;11:e0155357.

19 Foraster M, Eze IC, Vienneau D, Brink M, Cajochen C, Caviezel S, et al.: Long-term transportation noise annoyance is associated with subsequent lower levels of physical activity. Environ Int 2016 May;91:341–9.

20 Forns J, Dadvand P, Foraster M, Alvarez-Pedrerol M, Rivas I, López-Vicente M, et al.: Traffic-Related Air Pollution, Noise at School, and Behavioral Problems in Barcelona Schoolchildren: A Cross-Sectional Study. Environ Health Perspect 2016 Apr;124:529–35.

21 Tiesler CMT, Birk M, Thiering E, Kohlböck G, Koletzko S, Bauer C-P, et al.: Exposure to road traffic noise and children’s behavioural problems and sleep disturbance: results from the GINIplus and LISAplus studies. Environ Res 2013 May;123:1–8.

22 Hjortebjerg D, Andersen AMN, Christensen JS, Ketzel M, Raaschou-Nielsen O, Sunyer J, et al.: Exposure to Road Traffic Noise and Behavioral Problems in 7-Year-Old Children: A Cohort Study. Environ Health Perspect 2015 Jun 30;124.

23 Generalitat de Catalunya: Tercer informe sobre el canvi climàtic a Catalunya. Barcelona, 2016.Available from: http://cads.gencat.cat/web/.content/Documents/Publicacions/tercer-informe-sobre-canvi-climatic-catalunya/TERCER_INFORME_CANVI_CLIMATIC_web.pdf

24 WHO: Urban Green space and health: a review of the evidence. Copenhagen, 2016.Available from: http://www.euro.who.int/__data/assets/pdf_file/0005/321971/Urban-green-spaces-and-health-review-evidence.pdf?ua=1

25 Lachowycz K, Jones AP: Greenspace and obesity: a systematic review of the evidence. Obes Rev 2011 May;12:e183-9.

26 Dadvand P, Bartoll X, Basagaña X, Dalmau-Bueno A, Martinez D, Ambros A, et al.: Green spaces and General Health: Roles of mental health status, social support, and physical activity. Environ Int 2016 Mar 4 [cited 2016 Mar 8];91:161–167.

27 Dadvand P, Nieuwenhuijsen MJ, Esnaola M, Forns J, Basagaña X, Alvarez-Pedrerol M, et al.: Green spaces and cognitive development in primary schoolchildren. Proc Natl Acad Sci U S A 2015 Jun 30;112:7937–42.

28 Gascon M, Triguero-Mas M, Martínez D, Dadvand P, Rojas-Rueda D, Plasència A, et al.: Residential green spaces and mortality: A systematic review. Environ Int 2016 Jan 2;86:60–7.

29 Burkart K, Meier F, Schneider A, Breitner S, Canário P, Alcoforado MJ, et al.: Modification of Heat-Related Mortality in an Elderly Urban Population by Vegetation (Urban Green) and Proximity to Water (Urban Blue): Evidence from Lisbon, Portugal. Environ Health Perspect 2016 Jul 13;124:927–934.

30 Azkorra Z, Pérez G, Coma J, Cabeza LF, Bures S, Álvaro JE, et al.: Evaluation of green walls as a passive acoustic insulation system for buildings. Appl Acoust 2015 Mar;89:46–56.

31 Rook GA: Regulation of the immune system by biodiversity from the natural environment: an ecosystem service essential to health. Proc Natl Acad Sci U S A 2013 Dec 12;110:18360–7.

32 Hanski I, von Hertzen L, Fyhrquist N, Koskinen K, Torppa K, Laatikainen T, et al.: Environmental biodiversity, human microbiota, and allergy are interrelated. Proc Natl Acad Sci U S A 2012 May 22;109:8334–9.

Back to Top

Document information

Published on 10/05/18
Accepted on 10/05/18
Submitted on 24/02/18

Licence: Other

Document Score

0

Views 66
Recommendations 0

Share this document

Keywords

claim authorship

Are you one of the authors of this document?