Pulsa aquí para ver la versión en Español (ES)

Abstract

Color is a crucial element in achieving effective and efficient communication. This article presents an analysis of the color elements used in TV ads aimed at children broadcast during November 2009 in Spain by the Disney Channel children’s network which, according to Kantar Media, is the audience leader in open-to-air television programing. The convenience sample included the group of advertisers that Infoadex classifies as part of the «sports and leisure» sector, which includes products and services traditionally aimed at children, such as toys and leisure parks, as well as self-promotion ads for other television networks. The analysis quantifies the use of color in ads aimed at children and concludes that brands use color in very different ways. This study also examines the relationship between the color combinations chosen by advertisers in their ads and logos, confirming that the use of color combinations in ads and logos is arbitrary. Most advertisers who target children prefer to apply a range of colors to create contrast and highlight the product and its features and benefits, instead of strengthening the brand’s corporate image. The study highlights the randomness in decision-making on the use of color.

Download the PDF version

1. Introduction

Television advertising is worth billions of dollars a year in the world's leading economies and is the focus of a wide range of investigative analyses. This research develops a descriptive study of the use of color in television ads aimed at children by closely examining the three key elements of television advertising, children, and color.

Television is still one of the most important and widely consumed media among children in Spain. According to the study by the Fundació Audiències de la Comunicació i la Cultura (Audience Communication and Culture Foundation) cited by Crescenzi (2010), television is the medium most frequently used by children, who watch it on an average of 2.4 hours per day. Toscano (2005) points out that television consumption increases to 3.7 hours a day on weekends. These television consumption levels explain the substantial investment in advertising in Spain, which in 2009 reached 2,368,200 euros [1]. Outside Spain, children in the United States watch more than 40,000 ads per year (Aysen & Kay, 2010).

2. State of the art review: research hypotheses and objectives

The complexity of color has been addressed by various disciplines, such as Physics, which studies the nature of light and color, its organization, perception and children’s chromatic capacities, their flaws or chromatic pathologies (Julio et al., 1995). Other disciplines have approached the study of color from the point of view of the human eye’s reception of signals and perception of color. In the study of signal reception there are common points of interest between Physics and advertising, which should be consistent with the physiological aspects. Other researchers have addressed the study of color based on the sensations it produces. Psychology has developed several theories that associate certain colors with sensations that occur in the human brain when perceiving color.

To consolidate the definition of children as consumers of TV ads we need to examine a number of psychological issues that clearly identify children as subjects in training. Any attempt to communicate persuasively should consider children’s psychological characteristics and their reactions to the received message. However, this is not the main focus of our research, which examines the color of the product advertised and its attributes as an element that enhances the act of persuasion, according to Bringué (2001).

The relationship between color and communication is also important. The emergence of color television in the 1970s promoted the study of color in advertising and reinforced the power of the moving image. Color increased the reality and informative potential of television, rendering its images more attractive and expressive. The study of color as a communicative feature, in regard to its acceptance or rejection among young people, was undertaken by Del Olmo-Barbero (2006: 112-116), whose study based on 130 surveys of young people aged between 18 and 30 in the province of Madrid, concluded that, the most favored colors were blue, red and black, while the least agreeable were brown, yellow, dark grey and pink. Green was not among the favorites, but the survey results placed it fifth in the category of most desirable colors.

We can see that color, as a significant element of the advertising discourse, has acquired an interesting role that has been investigated from different areas and disciplines. Degrado (2005: 1-9) has pointed out that advertising is introduced in our lives through color, among other things. If the form makes the first impact, color is essential to consolidate the attention and act on the emotional capacity of the individual.

Color defines and identifies the product, highlights it and provides information on its features and benefits. Color is also used as an extension of the tones of the product and as an extension of the advertiser’s corporate image. However, according to Nó (1996: 13), we define the color through our perception of it; without it, color is just wavelengths rejected by different materials.

On the other hand, Del Olmo (2006: 112-116) suggests that color is an excellent coding system. Used correctly, color infects emotional sensations and allows the generation of relationships of brand affiliation and loyalty. The use of color in advertising responds to a dual purpose. On the one hand, it has a phatic function of visual impact with aggressive colors, sharp contrasts, color reduction, harmony, visibility and readability. It can also play a significant role since colors work as symbolic, cultural, thermal, temperamental, sexual, ideological, elegant and pompous languages.

We must not forget that the advertising message incorporates a set of ideas that the advertiser wants to transmit to a previously defined audience in order to achieve the established objectives. The advertising message must be consistent with the content of the advertiser’s communication strategy and, as a result, the previous creative processes should take into account the chromatic aspects involved in working documents such as the story board or story reel. The set of variables that must be assessed when planning an advertising strategy must include the advertiser’s corporate image and identity, in which colors play a really important role.

The advertisement must take into account the characteristics that are essential to achieve a communicative success. According to León (1996), color occupies the first place on the list of elements a message needs to achieve a communicative success.

Other researchers have demonstrated how the position of the advertisement within the TV sequence, its duration and brand repetition highly influence the viewer’s memory, but have also confirmed that the factors related to color, contextualization and music have a strong influence on brand recalling (Sáiz et al., 1999: 891-900). Indeed, there is a higher percentage of brand recall when the product is presented in a realistic context, when the music is attractive or when colors are alive.

The communicative functions of color, according to Tena Parera (2005: 151-159), include drawing and maintaining viewers’ attention, and transmitting information and emotions. In addition, this use must meet some qualities with regards to its organisation: to keep the balance, highlight the dominant and regressive elements and to establish an orderly and complex hierarchy. Jiménez (2006) shows that children are extremely sensitive to stimuli such as music, color, animated characters or images that highlight the social success of the child through the consumption of the product. Bright colors and rapid action changes in a scene lead to consumption, causing in the receiver of the message the need to buy the offered products because they awake the mechanisms of persuasion, seduction and conviction (Hierro-Rincón, 2006: 63).

Children have special physiological, psychological and sociological features. They are a very dynamic target and are in constant evolution. The short duration of childhood, together with the different forms of behaviour, the changes in values, rules and parenting styles have resulted in different generations of children with desires, tastes and needs that evolve as they grow and mature, and which are also affected by the changes and continuous innovations that occur in the field of technology (Tur & Ramos, 2008: 169-170). Other studies on the use of color in advertising have been developed by Pitchford and Mullen (2001), who have demonstrated the difficulty of studying the meanings suggested by color in children. Scholars have also analysed the effects of print advertising’s dominant colors in the emotions of adult subjects and the attitudes generated towards the advertisement (Lichtle, 2007). The relationship between the high use of color and the attitude towards the advertisement (arousal level and preference) has been addressed by Gorn and others (1997).

One of the few studies on color and advertising in Spain has been conducted by López and Monserrat (2009), who show that the use of the corporate identity and, in particular, of color is intentional and is subject to the corporate communication strategies defined by the sector of fast-food franchises. The authors examine the cultural meanings associated with colors.

Research on the impact of outdoors advertising has defined the concept of «visual neuromarketing» as a science that uses tools to discover how certain parts of the brain react to an advertising stimulus, with the aim of predicting consumer behaviour and developing more effective impact strategies; by enhancing the visual effect of advertising through the mixing colors, visual perceptions, and impact of sizes and perspectives (Vera, 2010: 155-174). In this regard and as previous steps for a posterior analysis that leads to a coherent decision-making process, it is a priority to objectively quantify and inventory the use of color in advertising. This is the ultimate goal of our approach.

This research is guided by three hypotheses: 1) Each advertiser uses a preferred color combination; 2) There are dominant color combinations in advertising targeting children; 3) The use of color in TV advertisements corresponds to the main color ranges used in the brand’s logo. The objective of this research is to perform an objective measurement of color that allows describing its use in audiovisual advertising aimed at children and to compare it with the use of color in the logo of each advertiser.

3. Materials and methodology

Different techniques were used to undertake this research. Firstly, a literature review was conducted to build the theoretical framework. This was followed by a content analysis of a sample of TV advertisements. Finally, the obtained data was processed and analysed.

With regards to the literature review, it included primary and secondary bibliographic sources and periodicals in order to establish the latest theoretical and empirical advances in the subject under study and to define the significant communication variables in relation to the use of color in TV advertising in Spain.

The research team firstly reviewed the selected ads as a whole and later analysed them through screenshots taken every five seconds (zero, five, ten, fifteen and twenty seconds to be precise). Thus, five screenshots of the each ad, which lasted about 20 seconds, were examined. Then the most appropriate color measurement system was identified. The research team tested several video editing programs such as Final Cut Pro and noticed that while they showed a color map, they did not quantify each color separately, and only provided an overview of the color range and dynamics of values in the histogram.

The program called Matlab has been used as a validated system in research on artificial vision and image processing. Matlab’s function is to automatically divide the different color regions in black and white images, which results in an image in which the color regions are labelled with the percentage in which each color appears. This program was chosen to perform the objective measure of color in the sample of ads.

To carry out the study it was necessary to create a database of color images to train, test and validate the system created for the identification of the different colors. This database consisted of the original images selected from each of the analysed ads. The ads’ screenshots were selected with the program called «MPEG Streamclip» Video Converter for Mac OS X (version 1.9.1.) and captured with the program called «Instantánea» for Mac OS X.

After the database of color images was created, Matlab2 was used to identify the different colors. The design of the different algorithms was based on different RGB color spaces. Thus, each color under study was defined through a series of parameters that included different tonal variants of each color.

The system was programmed and tested so that once implemented it could provide efficient and effective results. An inventory of the predominant color elements in the sample of commercials was developed. To be precise, the variable that defines the predominant concept is obtained from the result achieved for each color that was defined and confined by the researchers, applied in each case to the analysis made with Matlab. The research team established a variable for each color to develop the inventory in each of the selected screenshots, which are treated as temporary spaces.

Afterwards, Matlab was used to determine the presence of each color in percentage terms, as well as a graphic image of each analysis and the black and white images that graphically indicate the color under analysis.

The data analysis included all the images selected from the commercials. A top ten ranking was created for the use of each color in the temporary spaces taken in the 0, 5, 10, 15 and 20 second marks.

3.1. Sample Design

The selection of the convenience sample grouped all advertisers considered by «Infoadex» as part of the «sports and leisure» sector, which comprises 15 advertisers of products and services traditionally considered as targeting children, such as toys, toys retailers and leisure parks, as well as self-promotion ads of other television networks. The total number of ads analysed is 184. The children-aimed Disney Channel network was chosen because Kantar Media identified it as the leader of open-to-air television audience during November 2009 in Spain. In November there is a great advertising investment in the children’s market because it is close to the Christmas campaign.

Table 1: Audience of theme channels


Draft Content 272457254-26640-en034.jpg

Table 1 shows the privileged position occupied by Disney Channel in comparison to other theme channels targeting young audiences3.

Table 2: Number and types of ads from the sports and leisure sector on Disney Channel


Draft Content 272457254-26640-en035.jpg

4. Results

More than 5,500 data and image elements were analysed. To be precise, the use of six colors was examined in 184 TV ads divided into 5 temporary spaces, i.e. screenshots taken in the 0, 5, 10, 15 and 20 second marks of the ads.

The analysis firstly provides data on the dominant colors in each advertiser and the total sample of ads. Then it focuses on the color composition of each advertiser’s logo, and compares it with the use of color in their TV ads.

Thus, the advertiser that uses the color red in their ads the most is Cuatro (98%). This advertiser is followed by Bizak and Famosa, whose use of red slightly exceed 80%. Finally Bandai and Giro slightly surpass 60%.

Regarding the use of green in TV ads, Giochi Preziosi stands out with almost 70%. This advertiser is followed by IMC and Mega Bloks (65%-60%). Finally, the use of green by Playmobil, Cefa Toys and Bizak ranges from 50% and 60%.

The color blue is used to a greater extent by IMC, in about 78%, followed by Bandai with 61% and Bizak which uses blue at different percentages that oscillate between 60% and 52%, according to the analysis of their ads.

The use of the color yellow is dominant in the ads by Giro, with a presence of 76%, followed closely by Mattel with 74%. The presence of yellow in ads by Bizak and Simba ranges between 60 and 70%. Finally, the use of yellow by Famosa and Zapf Creation ranges between 50% and 60%.

With regards to the use of the color black, Hasbro occupies the first place with 97%. Playmobil also stands out for its use of black in its ads with 94%, followed closely by Bandai (92%) and Cefa Toys (90%), and no so closely by Giochi Preziosi with 86%.

The color white is used by Nintendo DS in 97%, which is followed by Simba with 90%, El Corte Inglés and Playmobil with percentages between 88% and 90%. Other advertisers that stand out for the dominant use of white in their ads are Bandai and My Little Pony with percentages between 86% and 88%. The comparison between the use of the previous colors in the TV ads and the presence of these colors in advertisers’ logos provides interesting data that deserve to be highlighted.

Firstly, Bandai’s logo has white letters over a red background, but Bandai’s use of red in its ads is in seventh place in comparison to the other advertisers, with a percentage slightly over 60%. Bandai’s use of the color white, which is also present in its logo, is in eighth place with 87%.

Bizak’s logo also has white letters on a red oval background. Bizak’s use of red in its ads ranked fifth in comparison to other advertisers that use red the most, and did not ranked in the use of the color white.

Cefa Toys’ logo has different colors, such as green, red, blue, white and yellow, and is by far the most colorful. However, Cefa Toys’ use of black in its ads is outstanding, despite this color is not present in its logo.

Cuatro has two versions of its logo. One version has red over white and the other white over a red background. The first logo stands out in its use of the color red in its ads.

Famosa’s logo uses a blue typography over a white background. However, Famosa’s use of blue or white in ads is not dominant. Famosa only stands out in the predominant use of red, in 80% of the ad.

The logo of Giro Toys and Games uses blue and red over a white background, however, the predominant color in its ads is yellow (74%).

Giochi Preziosi’s logo has a clear predominance of green, and uses white and black to a lesser extent. Giochi Preziosi is the advertiser that uses green the most (78%), and also one of the advertisers that uses black most significantly (86%). Hasbro, like Giochi Preziosi, stands out for the dominant use of green in its logo. However, the analysis shows that it is the leader in the use of black in TV ads, with 97%.

El Corte Inglés has a logo that uses white over a green background, but its TV ads occupy the fourth place in the use of white (89%).

Simba’s logo uses red letters and white and green elements, but the predominant colors in Simba’s ads are white (90%) and yellow (59%). The colors white, red and green also appear in IMC’s logo, but the predominant colors in IMC’s ads are blue (78%) and green (67%).

Mega Bloks’ logo uses red letters with white edges over a blue background. However, the predominant color in Mega Bloks’ ads is green, which puts it in the fifth place among the sample of advertisers.

My Little Pony’s logo has two versions, but both of them use white (67.5%) and red (32.3%). However, My Little Pony occupies the ninth place in the use of white in TV ads, and almost always as a background color.

The logo of Nintendo DS is predominantly white (94%) and uses black typography (4.7%). Regarding the use of these colors in the ads, Nintendo DS occupies the first place in the use of white, with 97%.

Playmobil’s logo is colored blue (with 89.6%) and white (10.4%). However, Playmobil’s ads stand out for the predominant use of black, which occupies the second place in comparison to other advertisers with nearly 94%.

The logo of Simba (MB and SMB) is colored white in 82% and red in 11.7%. According to the analysis, Simba is the third advertiser that uses white the most in its TV ads (in 89%).

When compared to the other advertisers, Educa, ActiVision, Lego, Meccano, Fisher Price, Parker, Planet 51, Rescue Pals, nor Zapf Creation stand out for the predominant use of any of the analysed colors in their ads. With regards to their logos, Educa uses black, red, yellow and white. Meanwhile, ActiVision’s logo has black letters over a white background. LEGO’s logo has red, white and black colors. Meccano’s logo has red letters over a white background. Fisher Price’s logo has white letters over a red background but the use of these colors is not predominant in ads. Parker predominantly uses black and white in its logo but not in its ads. Planet 51 uses white (63%) and green (23.4%) in its logo, but does not use any of these colors predominantly in its TV ads. Rescue Pals uses a white background and yellow, green and black in its logo, but does not use any of these colors predominantly in its ads. Zapf Creation uses white (98.9%) and red (1.9%) in its logo, but does not use any of these colors predominantly in its ads.

By examining the predominant colors in the whole sample of ads we can identify the following dominant percentages: black 22.71%, green 20.72%, white 16.75%, red 14.55%, yellow 11.54% and blue 8.82%.

The following table presents the results of this research on the use of color by advertisers, by comparing the colors used in the logo and the TV ads.

Table 3: Use of color by advertisers: comparison between logos and TV ads.


Draft Content 272457254-26640-en036.jpg

5. Conclusion

Color can be element of communicative efficiency if it is used in optimal conditions of vision and is managed communicatively in the right way. Otherwise, color will become a mere decorative element.

Advertisers that use one color dominantly exhibit a percentage of use comparatively unequal according to the advertised product, which indicates certain arbitrariness. Thus, we can affirm that the first hypothesis has been proved: each advertiser uses a preferred combination of colors. It can be inferred that this practice demonstrates that advertisers take into account the differential position of their brands and take strategic decisions in relation to the use of color.

The second hypothesis, which proposed the existence of dominant color combinations in advertising targeting children, has been also demonstrated. The most widely used color is black, although its use secondary, as background. Green is the color mostly used in the main elements of the ads, with a percentage of 20.72%, and red is the third most used color. The use of blue occupies the last place behind yellow. However, the percentages achieved by each color do not indicate significant differences. The analysis did not detect a dominance of pink or blue, which are colors culturally associated with children’s products.

Regarding the third and last hypothesis, the comparison between the brands’ logos and TV ads has confirmed that advertisers do not take coherent decisions in relation to the use of color. Thus, a brand can use different color combinations in its logo and its TV ads. The majority of advertisers targeting children use color to create contrast and highlight the product, its features or benefits at the expense of the consistency in the brand’s corporate image. However, the approach of this descriptive research has not confirmed these aspects, which could motivate a future line of study.

The study proves that the advertisers Cuatro and Giochi Preziosi use colors with certain consistency in their logos and TV ads. Regarding the use of the color white in logos, it serves as background for most advertisers. The color white only provides contrast to another color that is aimed to identify the advertiser and is placed on the foreground of the logo. The analysis neither detected coherence between the use of the logo’s main color (apart from white) and the dominant color used in the TV ads of each advertiser, except in the cases described above.

Therefore, it must be pointed out that the third hypothesis is demonstrated: a brand’s use of color in TV advertising does not correspond to the main color combinations used in its logo.

We have identified certain limitations in the research. It would have been interesting to incorporate some type of measurement or analysis of children’s color processing, reception and preferences. It would have been also useful to investigate the views of the sample of advertisers on the strategic decision-making on the use of color and the intentions behind it.

In relation to the possible future lines of research, we understand that the quantification of color and its comparative study could be extended to other media and platforms in addition to television and brand visual identity. Another line to be considered could include the use of color in texts created for communication and education purposes, either in written or audiovisual form.

Notes

1 Media advertising investment reached 12,699.4 million euros in 2009 and 14,915.7 million in 2008. (www.infoadex.es/estudios/resumen2010.pdf).

2 Matlab’s official website (www.mathworks.es).

3 Theme channels targeting children in open-to-air television: Boomerang, Clan TV, Disney Channel and Disney XD.

4 Prior to the analogue switch-off dates.

5 Determination based on the obtained audience data.

References

Aysen, B. & Kay, M. (2010). How Are Children’s Attitudes Toward ads and Brands Affected by Gender-Related Content in Advertising? Journal of Advertising, 39, 1; 35-48.

Bringué, X. (2001). Publicidad infantil y estrategia persuasiva: un análisis de contenido. Zer,10; 107-129. Cres-cenzi, L. (2010). La comprensión del niño telespectador: posibilidades y límites asociados a la edad. Zer, 15, 29; 69-88.

Degrado, M.D. (2005). Televisión, publicidad y comunicación. Comunicar, 25; 1-9.

Del Olmo, J. (2006). El color como elemento comunicacional. Comunicar, 26; 112-116.

Gorn, G.J.; Chattopadhyay, A. & Dahl, D.W. (1997). Effects of Colour as an Executional Cue in Advertising: They're in the Shade. Management Science, 43, 10; 1387-1400.

Hierro Rincón, M. L. del (1996). Los niños y niñas ante la elección de juguetes. Estudios sobre Consumo, 37; 53-71.

Jiménez, M. (2006). Cuando Barbie se come a Garfield. Publicidad y alimentación: niños obesos buscando la perfección del cuerpo adulto. Trastornos de la Conducta Alimentaria, 3; 245-263.

Julio, J.A. & al. (1995). Desarrollo madurativo, percepción del color y respuestas Anales de Psicología, 11, 2; 165-173.

León, J.L. (1996). Los efectos de la publicidad. Barcelona: Ariel.

Lichtle, M.C. (2007). The Effect of an Advertisement's Colour on Emotions Evoked by an ad and Attitude towards the ad - The Moderating Role of the Optimal Stimulation Level. International Journal of Advertising, 26, 1; 37-62.

López Ramón, J.A. & Monserrat-Gauchi, J. (2009). Estrategias de comunicación corporativa en las franquicias de restauración. Análisis cromático de la identidad visual corporativa. Revista Latina de Comunicación Social, 64; 300-314.

Nó, J. (1996). Color y comunicación. Salamanca: Universidad Pontificia de Salamanca.

Pitchford, N.J. & Mullen, K.T. (2001). Conceptualization of Perceptual Attributes: A special Case for Color? Journal of experimental child psychology, 80, 3; 289-314.

Sáiz, D.; Baqués J. & Sáiz, M. (1999). Factores que pueden mejorar la codificación de los mensajes publicitarios: ¿una cuestión de memoria implícita o de memoria explícita? Psicothema, 11, 4; 891-900.

Tena, D. (2005). Diseño gráfico y comunicación. Madrid: Pearson Educación.

Toscano, M.O. (2005). Orientación hacia el consumo abusivo de televisión en la infancia. Comunicar, 25, 4.

Tur, V. & Ramos, I. (2008). Marketing y niños. Madrid: ESIC.

Vera, C. (2010). Generación de impacto en la publicidad exterior a través del uso de los principios del neuro-marketing visual. Telos, 12 (2); 155-174.



Click to see the English version (EN)

Resumen

El color es un elemento básico para la eficacia y la eficiencia comunicativa. Se realiza un análisis de contenido de los elementos de color en los espots dirigidos a niños emitidos en la cadena temática infantil Disney Channel, líder de audiencia de la televisión en abierto según Kantar Media, durante el mes de noviembre de 2009 en España. La selección de la muestra de conveniencia agrupó a los anunciantes considerados por Infoadex dentro del sector «deportes y tiempo libre» que comprende los productos y servicios tradicionalmente considerados infantiles, como juguetes y parques de ocio, además de la autopromoción de otras cadenas de televisión. El análisis cuantifica la prevalencia del uso del color en los anuncios televisivos dirigidos a la infancia y concluye que las marcas gestionan el color de forma muy diferenciada. Por otro lado, se estudia la relación entre la prevalencia cromática en el espot y en el logotipo del mismo anunciante. En este sentido, se comprueba un alto porcentaje de incoherencia en la prevalencia cromática en ambos formatos. La mayoría de los anunciantes del mercado infantil prefieren utilizar el color para provocar el contraste y resaltar el producto, sus características o bondades en detrimento de la coherencia en la imagen corporativa de la marca. El estudio realizado pone de manifiesto cierta arbitrariedad en la toma de decisiones sobre el color.

Descarga aquí la versión PDF

1. Introducción

La publicidad mueve cifras multimillonarias en las principales economías mundiales y por ello es un fenómeno abordado desde numerosas perspectivas. En esta investigación se pretende elaborar un estudio descriptivo del color en los comerciales de televisión dirigidos al público infantil. Para ello, es necesario poner en relación los tres elementos que confluyen en el objeto de estudio: la comunicación publicitaria en televisión, el público infantil y el color.

La televisión sigue siendo uno de los medios más relevante en la dieta mediática de la infancia española. Según el estudio de la Fundació Audiències de la Comunicació i la Cultura citado por Crescenzi (2010) el medio de comunicación más utilizado en el tiempo de ocio infantil es la televisión, a la que dedican una media de 2,4 horas diarias. Toscano (2005) precisa que el consumo de televisión se eleva a 3,7 horas los fines de semana. Los niveles de consumo televisivo explicarían el volumen de inversión publicitaria que alcanzó la cifra de 2.368,2 millones de euros1 en 2009, en España. Fuera de nuestras fronteras, los niños de Estados Unidos ven más de 40.000 anuncios al año (Aysen & Kay, 2010).

2. Estado de la cuestión: hipótesis y objetivos de la investigación

Existen diferentes escuelas que han abordado la complejidad del color. La física estudia la naturaleza de la luz y del color, su ordenación, la visión y las capacidades cromáticas de la población infantil, sus defectos o patologías cromáticas (Julio & al., 1995). Otros acometen su estudio desde el punto de vista de la recepción de la señal por el ojo humano y, en este caso, también la percepción del color. En el estudio de la recepción de la señal es donde se encuentran puntos de interés comunes entre la física y la comunicación publicitaria, que debería ser óptima y coherente con los aspectos fisiológicos. Otros investigadores abordan el estudio del color desde el punto de vista de las sensaciones que éste produce. La psicología elabora varias teorías que asocian determinados colores con sensaciones que se producen en el cerebro humano al percibir el color.

Por otro lado, avanzar en la definición del niño como destinatario de anuncios supone hacer referencia a una serie de cuestiones que la ciencia psicológica explica y que lo definen de manera clara como un sujeto en formación. Cualquier intento de comunicar de manera persuasiva debe estudiar las características psicológicas del niño y sus reacciones frente al mensaje recibido. No obstante, éste no ha sido el enfoque prioritario de esta investigación. La perspectiva escogida contempla el color del producto y sus atributos como un elemento del beneficio en el que se apoya la acción persuasiva, siguiendo a Bringué (2001).

Por último, cabría comentar las relaciones establecidas entre el color y la comunicación. La aparición del color en la televisión de la década de los setenta promovió el estudio del mismo en la publicidad y además, reforzó las elevadas propiedades que ya tenía la imagen en movimiento. De este modo aportó un grado mayor de veracidad y poder informativo volviendo la imagen más atractiva y acentuando su potencial expresivo. El estudio del color como elemento comunicacional, en cuanto a su aceptación o rechazo entre los jóvenes, fue abordado por Del Olmo Barbero (2006: 112-116) concluyendo en su estudio que los colores más aceptados según las 130 encuestas realizadas en jóvenes entre 18 y 30 años residentes en la provincia de Madrid, fueron el azul, el rojo y el negro y los menos aceptados fueron el marrón, el amarillo, el gris oscuro y el rosa. Cabe destacar la ausencia de mención del color verde en las conclusiones como color más aceptado, ya que en los resultados de la encuesta se hace referencia al mismo entre los colores preferidos situándolo en quinto lugar.

Podemos observar que el color, como elemento significante del discurso publicitario, adquiere un protagonismo interesante para ser investigado desde diferentes áreas y disciplinas. Degrado (2005: 1-9) indica que la publicidad se introduce en nuestras vidas, entre otros, por medio del color. Si con la forma se logra el primer impacto, el color es fundamental para afianzar la atención y actuar sobre la capacidad emocional del individuo.

El color define y señala el producto, lo resalta y proporciona información sobre sus características y bondades. También se utiliza el color como prolongación de los tonos presentes en el producto o como extensión de la imagen corporativa del anunciante. No obstante, siguiendo a Nó (1996: 13) definimos el color mediante la percepción que de él tenemos; sin ésta, no se reduce más que a longitudes de onda rechazadas por diferentes materiales.

Por otro lado, Del Olmo (2006: 112-116) apunta que el color es un sistema de codificación excelente. Bien utilizado, contagia sensaciones emocionales y permite generar relaciones de adhesión y fidelidad a la marca. El color utilizado en la comunicación publicitaria responde a una doble finalidad. Por un lado, posee una función fática de impacto visual con colores agresivos, fuertes contrastes, reducción o reserva del color, con armonía, visualidad y legibilidad. Además, puede cumplir una función significante, ya que los colores funcionan como lenguaje simbólico, cultural, térmico, temperamental, sexual, ideológico, elegante, y todas las aplicaciones del tipo prosopopeya.

No podemos olvidar que el mensaje publicitario incorpora el conjunto de ideas que el anunciante desea hacer llegar a un público definido con anterioridad para alcanzar los objetivos establecidos. El mensaje publicitario debe guardar coherencia con el contenido de la estrategia de comunicación del anunciante y, en consecuencia, los procesos creativos previos deben tener en cuenta los aspectos cromáticos en los documentos de trabajo como el «story board» o el «animatic». En el conjunto de variables que hay que valorar a la hora de planificar una acción comunicativa de publicidad, no podemos olvidar la existencia de una imagen e identidad corporativa del anunciante, en la que los colores juegan un papel verdaderamente importante.

En el mensaje publicitario hay que tener en cuenta las características que serán indispensables para el éxito comunicativo. Según León (1996), el color se encuentra en el primer lugar de la lista de elementos del mensaje para conseguir el éxito en la comunicación.

Otros investigadores demuestran cómo la posición del anuncio dentro de la secuencia, su duración o la repetición de la marca influyen altamente en el recuerdo, pero a su vez verifican cómo los factores relativos al color, contextualización o música tienen una fuerte influencia en el recuerdo de la marca (Sáiz & al., 1999: 891-900). En efecto, hay más porcentaje de recuerdo cuando el producto se presenta en un contexto realista, cuando la música es atractiva o cuando los colores son vivos.

El color en su función comunicativa debe ejercer, según Tena Parera (2005: 151-159), las funciones de llamar la atención, mantenerla, transmitir información y emociones. Además, debe reunir unas cualidades en cuanto a su estructuración: mantener equilibrio, mostrar los elementos dominantes y regresivos y establecer una jerarquía ordenada y compleja. Jiménez (2006) demuestra que los niños son extremadamente sensibles a estímulos como la música, el color, los personajes animados o las imágenes en las cuales se pone de manifiesto el éxito social del niño a través del consumo del producto. Los colores vivos junto con cambios de acción rápidos en la escena inducen al consumo, provocando en el receptor del mensaje la necesidad de comprar los productos ofrecidos, despertando los mecanismos de la persuasión, seducción y el convencimiento (Hierro Rincón, 2006: 63).

La infancia tiene unas características fisiológicas, psicológicas y sociológicas especiales. Se trata de un «target» muy dinámico y en constante evolución. La corta permanencia de los niños en su grupo de edad, unido a las diferentes formas de comportamiento, a los cambios de valores, normas y estilos de crianza, tienen como resultado generaciones diferentes de niños con deseos, gustos y necesidades que evolucionan a medida que crecen y maduran, y que también se ven afectados por los cambios y las innovaciones continuas que se producen en el ámbito tecnológico (Tur & Ramos, 2008: 169-170). Otros estudios sobre el color en publicidad son los desarrollados por Pitchford y Mullen (2001) quienes evidencian la dificultad de estudiar las representaciones que sugiere el color en los niños. También se han analizado los efectos del color dominante de la publicidad impresa en las emociones de sujetos adultos y la actitud que se genera frente al anuncio (Lichtle, 2007). La relación entre los niveles elevados de cromatismo y la actitud frente al anuncio (nivel de activación suscitado y preferencia) es abordada por Gorn y otros (1997).

Uno de los escasos estudios sobre el color y la comunicación publicitaria en España ha sido realizado por López y Monserrat (2009) y demuestra que la utilización de la identidad corporativa y, en concreto, del color es intencionada y está supeditada a las estrategias de comunicación corporativa definidas por la empresa de franquicia del sector de la restauración de comida rápida. Los autores relacionan los significados culturales que se asocian a los colores.

En una investigación sobre la generación de impacto en la publicidad exterior, se llega a definir el concepto de «Neuromarketing Visual» como una ciencia que se vale de herramientas para descubrir cómo reaccionan ciertas partes del cerebro frente a un estímulo publicitario, con la intención de poder llegar a predecir la conducta del consumidor y formular estrategias de impacto más eficaces; potenciando el efecto de contenidos visuales al mezclar colores, percepciones visuales, impacto de tamaños y perspectivas (Vera, 2010: 155-174). En este sentido y como pasos previos a un posterior análisis que propicie una coherente toma de decisiones, es prioritario cuantificar e inventariar de manera objetiva el uso del color en las comunicaciones publicitarias. Éste es el fin último de nuestro planteamiento.

En la presente investigación se plantean tres hipótesis: 1) Cada anunciante usa una gama cromática de forma preferente; 2) Existen prevalencias cromáticas dominantes en la publicidad infantil; 3) El uso del color en las comunicaciones publicitarias en televisión se corresponde con las gamas cromáticas principales en el logotipo de la marca. El objetivo que se ha planteado en esta investigación es el siguiente: realizar una medición objetiva del color que permita describir su uso en los audiovisuales publicitarios dirigidos a niños y compararla con la práctica del color en el logotipo de cada anunciante.

3. Material y métodos

Para acometer la presente investigación se utilizaron diferentes técnicas. Se llevaron a cabo una primera etapa de observación documental para la construcción del marco teórico y posteriormente se recurrió al análisis de contenido de una muestra de espots de televisión. Por último, se procesaron y analizaron los datos obtenidos.

Respecto a la observación documental, se realizaron búsquedas en fuentes bibliográficas primarias, secundarias y hemerográficas para la comprensión del estado de la cuestión y la definición de las variables de comunicación significativas con respecto al uso de color en comerciales de televisión en España.

Tras un primer visionado de los espots seleccionados, se consideró conveniente elaborar una instantánea cada cinco segundos. Esto es, se seleccionó un «frame» dentro del segundo cero, cinco, diez, quince y veinte. Con lo cual se analizan cinco momentos de los 20 segundos que dura cada espot seleccionado. Una vez realizada esta tarea, se procedió a localizar el sistema de medida de color más adecuado. Se analizaron diferentes programas de edición de vídeo como «Final Cut Pro» y observamos que si bien mostraba un mapa de color, no cuantificaba cada uno de ellos por separado, sólo proporcionaba una visión de conjunto y dinámica de valores en histograma.

El programa «Matlab» ha sido utilizado como sistema validado en investigaciones de visión artificial y procesamiento de imagen. Su objetivo es segmentar automáticamente las regiones correspondientes a cada color en imágenes en blanco y negro, dando como resultado una imagen en la cual se etiquetan las regiones de un color o de otro color con el tanto por ciento que aparece de cada uno de ellos. Este programa fue la herramienta elegida para realizar la medida objetiva del color en los audiovisuales.

Para llevar a cabo el proyecto ha sido necesario crear, en primer lugar, una base de datos de imágenes a color con la que entrenar, testar y validar el sistema creado para la detección de colores diferentes. Esta base de datos consta de imágenes originales y escogidas de cada espot analizado. Estas piezas han sido seleccionadas con el programa «MPEG Streamclip»2 y capturadas con el programa denominado «Instantánea»3.

Una vez recopilada la base de datos de imágenes a color, se empezaron a implementar en la herramienta «Matlab»4 sencillos algoritmos de detección de cada color. La confección de los distintos algoritmos se ha basado en diferentes espacios de color RGB. Así, se definió cada color a analizar por medio de una horquilla de parámetros que englobaban las diferentes variantes tonales de cada color.

Se elaboró una primera programación del sistema y se ejecutaron las pruebas suficientes para que, una vez ajustado, el sistema proporcionara los resultados con calidad, eficacia y eficiencia. En los espots seleccionados, se desarrolló un inventario de elementos de color predominantes. En efecto, la variable que define el concepto predominante se obtiene del resultado alcanzado para cada color definido y acotado por los investigadores, aplicado en cada caso a la programación realizada en la plataforma «Matlab». Se precisó una variable de cada color para efectuar el inventario en cada espacio temporal seleccionado.

Posteriormente se efectuó la programación necesaria para que la aplicación proporcionara los valores en porcentaje de presencia de cada color y una imagen demostrativa de cada análisis y, además, aportara las imágenes en blanco y negro que indican gráficamente el color analizado.

El tratamiento de datos contempló todas las imágenes seleccionadas en los espots formalizando un «ranking» de los diez primeros, para el uso de cada color y en los espacios temporales dentro de los 0, 5, 10, 15 y 20 segundos.

3.1. Diseño de la muestra de estudio

La selección de la muestra de conveniencia agrupó a todos los anunciantes considerados por Infoadex dentro del sector «deportes y tiempo libre» que comprende 15 anunciantes de productos y servicios tradicionalmente considerados infantiles, como juguetes, centros de distribución de productos infantiles y parques de ocio, además de la autopromoción de otras cadenas de televisión. El total de anuncios analizados es de 184. Se ha elegido la cadena temática infantil Disney Channel porque Kantar Media la identificaba como líder de audiencia de la televisión en abierto durante el mes de noviembre de 2009 en España. El mes de noviembre es un mes de gran inversión publicitaria en el sector infantil porque está próximo a la campaña navideña.

Tabla 1: Audiencia de los canales temáticos, según el Estudio General de Medios


Draft Content 272457254-26640 ov-es034.jpg

En la tabla 1 que se muestra sobre estas líneas (datos EGM, resto de canales temáticos), podemos observar la posición de privilegio que ocupa el canal Disney Channel con respecto a los demás canales temáticos para público infantil5.

Tabla 2: espots en Disney Channel, sector: Deportes y tiempo libre


Draft Content 272457254-26640 ov-es035.jpg

4. Resultados

Se han tratado más de 5.500 elementos entre datos e imágenes, 184 anuncios audiovisuales divididos en 5 espacios temporales y en cada uno de estos espacios se ha examinado la utilización de seis colores. Las imágenes analizadas corresponden a los instantes o espacios temporales correspondientes dentro de los segundos 0, 5, 10, 15 y 20 respectivamente y por orden.

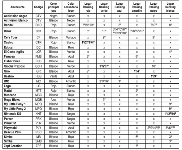
En primer lugar, se aportan datos sobre la prevalencia de un determinado color en cada anunciante y en el total de espots analizados. A continuación, se procede a analizar la composición cromática del logotipo de cada anunciante, comparándolo con el uso de los colores en sus espots televisivos. Así, el anunciante que más usa el color rojo en sus comerciales es Cuatro (98%). Le siguen Bizak y Famosa que superan ligeramente el 80%. Por último, Bandai y Giro superan levemente el 60%.

Respecto a la utilización del verde en los comerciales de televisión, destaca Giochi Preziosi, con un porcentaje cercano al 70%. Le siguen IMC y Mega Bloks (65% - 60%). Por último, los anunciantes Playmobil, Cefa Toys y Bizak destacan por la utilización del verde en porcentajes entre el 50 y 60%.

El color azul es utilizado en mayor medida por IMC en un porcentaje entorno al 78%, seguido por Bandai con un 61% y Bizak que utiliza el azul en diferentes porcentajes que oscilan entre un 60% y un 52% según el espot analizado de cada uno de sus productos.

La utilización del color amarillo se da en gran medida en el anunciante Giro, con una presencia del 76%, seguido muy de cerca por Mattel con un 74%. En porcentajes que oscilan entre un 60 y un 70% se encuentran anunciantes como Bizak y Simba. Por último, Famosa y Zapf Creation utilizan el color amarillo en porcentajes que oscilan entre el 50 y 60%.

En cuanto al uso del color negro, Hasbro lo posiciona el primero en porcentaje de uso, con un 97%. Otro anunciante que destaca por su utilización del negro en sus espots es Playmobil con un porcentaje del 94%, seguido muy de cerca por Bandai (92%) y Cefa Toys (90%). Giochi Preziosi, con un 86% de uso.

El color blanco es utilizado por Nintendo DS en un 97%, seguido por Simba con un 90%; El Corte Inglés y Playmobil lo utilizan en porcentajes entre el 88 y el 90%. Otros anunciantes que destacan por la utilización del blanco en sus espots son Bandai y My Little Pony entre el 86 y el 88%.

Si se realiza una comparativa entre el uso de los colores descritos en los espots de televisión y la presencia de esos mismos colores en los logotipos de los anunciantes, se obtienen algunos datos que merecen ser destacados.

En primer lugar, Bandai posee un logotipo formado por letras blancas sobre fondo rojo, pero en la utilización del rojo en sus espots aparece en séptimo lugar respecto al resto de anunciantes analizados, con un porcentaje ligeramente superior al 60%. Respecto al blanco, también presente en su logotipo, Bandai aparece en octavo lugar con un 87% de uso.

El logotipo de Bizak también posee las letras blancas sobre un fondo rojo ovalado. Bizak ocupa el quinto puesto en el ranking de anunciantes que más utilizan el rojo y no tiene presencia en el uso del color blanco.

Cefa Toys posee un logotipo con presencia de diferentes colores, como: verde, rojo, azul, blanco y amarillo es con diferencia el anunciante que utiliza más colores en su logo. Sin embargo, destaca por la utilización del negro en sus espots, un color que no tiene presencia en su logotipo.

Las dos versiones del logotipo de Cuatro se centran en el uso del rojo sobre blanco en uno de los casos, o del blanco sobre fondo rojo en la otra versión. Destaca el primero en utilización del color rojo en sus espots.

Famosa tiene un logotipo con la tipografía en azul sobre un fondo blanco. En cambio, en el análisis de los espots llevado a cabo no lidera el uso de azul o blanco, únicamente destaca con el uso del color rojo en un 80%.

Giro, Toys and Games posee en su logotipo los colores azul y rojo sobre fondo blanco; sin embargo, destaca por el uso del amarillo en sus espots (74%).

El logotipo de Giochi Preziosi tiene una predominancia clara del color verde, con utilización de blanco y de negro en menor medida. Destaca por ser el anunciante que más utiliza el verde (78%) y tiene una presencia del 86% en el uso del color negro. Hasbro, al igual que Giochi Preziosi, destaca por la presencia del verde en su logotipo, en cambio, los resultados del análisis realizado lo confirman como líder en el uso del color negro con un 97%.

El Corte Inglés utiliza el blanco sobre fondo verde, en cambio, tras el estudio realizado, destaca por ser el cuarto anunciante en la utilización del color blanco (89%).

El anunciante Simba posee un logo con letras en rojo y con elementos en blanco y verde. Sin embargo, en sus espots destaca por el uso del color blanco (90%) y el amarillo (59%). Los mismos colores, blanco, rojo y verde aparecen en el logotipo del anunciante IMC. En cambio, en sus espots destaca por el uso del azul (78%) y del verde con un 67%.

Mega Bloks posee un logo con letras en rojo, ribeteadas en blanco sobre fondo azul. En cambio, este anunciante destaca por el uso del color verde en sus espots, ocupando el quinto lugar entre el resto de anunciantes.

My Little Pony tiene dos versiones en su logo, en ambas utiliza un 67,5% de color blanco y un 32,3% de rojo. Por el contrario, aparece en noveno lugar en el uso de blanco en los espots y casi siempre como color de fondo.

Nintendo DS utiliza el blanco en su logotipo con un 94% y el negro en la tipografía del mismo en un 4,7%, respecto al uso de estos colores en los espots se posiciona como el primer anunciante en el uso del color blanco con un 97%.

Playmobil posee un logo formado por los colores blanco (con un 89,6%) y azul (10,4%). En cambio, en los comerciales televisivos destaca por el uso del color negro en segundo lugar con un porcentaje cercano al 94%.

Simba (MB y SMB) utiliza el blanco en su logotipo con un 82% y el rojo en un 11,7%. Según los resultados de la presente investigación, es el tercer anunciante que más usa el blanco, en un 89%.

Educa, ActiVision, Lego, Meccano, Fisher Price, Parker, Planet 51, Rescue Pals o Zapf Creation son anunciantes que no tienen un comportamiento destacable respecto al uso del color en sus espots. Al realizar la comparativa con el resto de anunciantes, no destacan por la predominancia de ninguno de los colores analizados. Respecto a sus logotipos, Educa posee presencia de negro, rojo, amarillo y blanco. Por su parte, ActiVision posee un logo de letras en negro sobre fondo blanco. Lego utiliza los colores rojo, blanco y negro en su logo. Meccano utiliza el rojo para su letra sobre fondo blanco. Fisher Price posee un logo con letras blancas sobre fondo rojo y no destaca en la utilización de estos dos colores en sus espots. El anunciante Parker destaca por blanco y negro en el uso de su logo, pero no en los comerciales. Planet 51 utiliza el blanco (63%) y el verde (23,4%) en su logotipo, pero no destaca por la predominancia de estos dos colores en sus espots. El logotipo de Rescue Pals utiliza el blanco como color de fondo, el amarillo, verde y negro, sin destacar por el uso de ninguno de estos colores en sus espots. El logo de Zapf creation está compuesto por el color blanco en un 98,9% y el color rojo en un 1,9%; en cambio, este anunciante no destaca por el uso de ninguno de estos dos colores en sus espots televisivos.

Si contemplamos la predominancia de los colores en el total de espots analizados, podemos identificar los siguientes porcentajes prevalecientes: negro 22,71%, verde 20,72%, blanco 16,75%, rojo 14,55%, amarillo 11,54% y el azul 8,82%.

A continuación, se ofrecen de forma sinóptica los resultados de la presente investigación mediante la tabla 3 que compila los datos sobre el uso del color en el anunciante, realizando una comparativa entre los colores presentes en el logotipo y los que aparecen en el espot televisivo.

Tabla 3: Uso del color en el anunciante: Comparativa entre logotipo y espot televisivo.


Draft Content 272457254-26640 ov-es036.jpg

5. Discusión

El color puede ser un elemento de eficiencia comunicativa si se administra en óptimas condiciones de visión y se gestiona comunicativamente de forma acertada. De lo contrario, se convertirá en un mero elemento decorativo.

Los anunciantes que utilizan un color de forma prioritaria presentan un porcentaje de uso comparativamente desigual según el producto anunciado, lo que indica cierta arbitrariedad. Así, podemos afirmar que la primera hipótesis queda demostrada: cada anunciante usa una gama cromática de forma preferente. Se puede inferir que esta práctica demuestra que los anunciantes tienen en cuenta el posicionamiento diferencial de su marca y realizan una toma de decisiones estratégica en relación al color.

La segunda hipótesis: existen prevalencias cromáticas dominantes en la publicidad infantil, también queda demostrada. El color más utilizado es el negro, aunque su uso es secundario, como fondo. El verde es el color más utilizado en los elementos principales de los anuncios con un porcentaje del 20,72% y el rojo es el color más utilizado en tercer lugar. El azul ocupa el último lugar por detrás del amarillo. No obstante, los porcentajes alcanzados por cada color indican diferencias poco pronunciadas. No se ha percibido una prevalencia del rosa o el azul, colores culturalmente asociados a los productos infantiles.

En relación con la tercera y última hipótesis, se confirma que los anunciantes no toman decisiones en relación con el color de forma coherente cuando comparamos los logotipos de las marcas y sus audiovisuales. De este modo, en el ámbito de los logotipos una marca puede tener una prevalencia cromática y en sus espots presentar otra prevalencia distinta. La mayoría de los anunciantes del mercado infantil podrían utilizar el color para provocar el contraste y resaltar el producto, sus características o bondades en detrimento de la coherencia en la imagen corporativa de la marca. No obstante, estos aspectos no han podido ser comprobados en el planteamiento de esta investigación descriptiva aunque podrían motivar una línea futura de estudio.

Se comprueba que los anunciantes Cuatro y Giochi Preziosi utilizan en sus logotipos colores que guardan cierta coherencia con los utilizados en sus anuncios audiovisuales publicitarios. Respecto al uso del color blanco en los logotipos, es cierto que sirve como fondo para la mayoría de ellos. El blanco sólo aporta contraste a otro color que pretende identificar al anunciante y que se encuentra en primer término del conjunto. Pero tampoco se ha detectado coherencia entre el uso del primer color en el logotipo (desestimando el blanco) y la presencia de ese mismo color como dominante en los espots de televisión de cada anunciante, excepto en los casos descritos.

En consecuencia, debemos decir que la tercera hipótesis queda demostrada: el uso del color en las comunicaciones publicitarias en televisión no responde a las gamas cromáticas principales en el logotipo de la marca.

Hemos identificado ciertas limitaciones en la investigación. Hubiera sido interesante incorporar algún tipo de medida o análisis del procesamiento, recepción y preferencias del color en el niño. También habría resultado de gran utilidad conocer la opinión de los anunciantes estudiados sobre la toma de decisiones estratégicas en el uso del color y su intencionalidad.

En referencia a posibles líneas futuras de investigación, entendemos que la cuantificación del color y su estudio comparativo se podría extender a otros medios y soportes además del audiovisual y la identidad visual de marca. Otra línea a considerar podría contemplar el uso del color en documentos destinados a la comunicación y a la educación, ya sea en soporte escrito o audiovisual.

Notas

1 La inversión en medios en 2009 se situó en 12.699,4 millones de euros frente a los 14.915,7 millones del año 2008 (www.infoadex.es/estudios/resumen2010.pdf).

2 Programa utilizado para la captura de imágenes en cada anuncio: «MPEG Streamclip 1.9.1. Conversor MPEG para Mac OS X».

3 «Software» utilizado bajo plataforma Mac.

4 Página oficial del «software Matlab» (www.mathworks.es).

5 Canales dirigidos a la población infantil en abierto: Boomerang, Clan TV, Disney Chanell y Disney XD.

Referencias

Aysen, B. & Kay, M. (2010). How Are Children’s Attitudes Toward ads and Brands Affected by Gender-Related Content in Advertising? Journal of Advertising, 39, 1; 35-48.

Bringué, X. (2001). Publicidad infantil y estrategia persuasiva: un análisis de contenido. Zer,10; 107-129. Cres-cenzi, L. (2010). La comprensión del niño telespectador: posibilidades y límites asociados a la edad. Zer, 15, 29; 69-88.

Degrado, M.D. (2005). Televisión, publicidad y comunicación. Comunicar, 25; 1-9.

Del Olmo, J. (2006). El color como elemento comunicacional. Comunicar, 26; 112-116.

Gorn, G.J.; Chattopadhyay, A. & Dahl, D.W. (1997). Effects of Colour as an Executional Cue in Advertising: They're in the Shade. Management Science, 43, 10; 1387-1400.

Hierro Rincón, M. L. del (1996). Los niños y niñas ante la elección de juguetes. Estudios sobre Consumo, 37; 53-71.

Jiménez, M. (2006). Cuando Barbie se come a Garfield. Publicidad y alimentación: niños obesos buscando la perfección del cuerpo adulto. Trastornos de la Conducta Alimentaria, 3; 245-263.

Julio, J.A. & al. (1995). Desarrollo madurativo, percepción del color y respuestas Anales de Psicología, 11, 2; 165-173.

León, J.L. (1996). Los efectos de la publicidad. Barcelona: Ariel.

Lichtle, M.C. (2007). The Effect of an Advertisement's Colour on Emotions Evoked by an ad and Attitude towards the ad - The Moderating Role of the Optimal Stimulation Level. International Journal of Advertising, 26, 1; 37-62.

López Ramón, J.A. & Monserrat-Gauchi, J. (2009). Estrategias de comunicación corporativa en las franquicias de restauración. Análisis cromático de la identidad visual corporativa. Revista Latina de Comunicación Social, 64; 300-314.

Nó, J. (1996). Color y comunicación. Salamanca: Universidad Pontificia de Salamanca.

Pitchford, N.J. & Mullen, K.T. (2001). Conceptualization of Perceptual Attributes: A special Case for Color? Journal of experimental child psychology, 80, 3; 289-314.

Sáiz, D.; Baqués J. & Sáiz, M. (1999). Factores que pueden mejorar la codificación de los mensajes publicitarios: ¿una cuestión de memoria implícita o de memoria explícita? Psicothema, 11, 4; 891-900.

Tena, D. (2005). Diseño gráfico y comunicación. Madrid: Pearson Educación.

Toscano, M.O. (2005). Orientación hacia el consumo abusivo de televisión en la infancia. Comunicar, 25, 4.

Tur, V. & Ramos, I. (2008). Marketing y niños. Madrid: ESIC.

Vera, C. (2010). Generación de impacto en la publicidad exterior a través del uso de los principios del neuro-marketing visual. Telos, 12 (2); 155-174.

Back to Top
GET PDF

Document information

Published on 29/02/12
Accepted on 29/02/12
Submitted on 29/02/12

Volume 20, Issue 1, 2012
DOI: 10.3916/C38-2012-03-07
Licence: CC BY-NC-SA license

Document Score

0

Times cited: 2
Views 28
Recommendations 0

Share this document

claim authorship

Are you one of the authors of this document?