1 Introducción

Se pretende modelar parte del proceso de la explosión, tomando en consideración la rotura del terreno, la fractura y el daño residual provocado. De esta manera el proceso se representa den una manera quasi-real, además de tener en cuenta consideraciones cualitativas y cuantitativas en relación con la estrategia elegida para el proceso. Como estrategia se consideran el tipo de explosivo o los puntos de colocación de las cargas, as´ como otros factores que pudieran ser relevantes a la hora de diseñar el proceso.

En los últimos años, el método de los elementos discretos (MED) se ha revelado como una herramienta de gran utilidad para el desarrollo de simulaciones numéricas en problemas de geomecánica y de movimientos de material particulado. La discretización de los materiales sólidos mediante un empaquetamiento de partículas hace viable una modelación con discontinuidades fuertes, como las generadas por la fractura y otros fenómenos relacionados, que presentan una dificultad intrínseca para los métodos continuos, como sería el método de elementos finitos (MEF). Es por esta razón, que el uso de esta clase de métodos tiene una importancia creciente en el estudio de los fenómenos que aparecen en los procesos de excavación y movimiento de tierras.

En la presente tarea se busca un camino para simular el comportamiento del terreno durante los procesos de excavación o eliminación de material mediante explosiones controladas, para lo cual se utilizar´ el MED con partículas cilíndricas (2D) y esféricas (3D). El medio ser representado como un ensamblaje cohesivo de partículas rígidas. La rotura de estas uniones cohesivas entre partículas, modeladas con una ley a nivel microscópico, simularán la fractura o el fraccionamiento del material.

Draft Samper 188908668-image1.png
Figure 1. Ejemplo explosión controlada en obras públicas.

Dentro de las principales características del método puede establecerse de forma natural una representación de la fractura o del fraccionamiento del terreno mediante la pérdida de los contactos entre las partículas base, lo que es una de las principales ventajas de estos métodos. A medida que avanza la onda expansiva, las fuerzas generadas a lo largo del frente de avance van fracturando y/o fraccionando el medio rocoso, dependiendo de la intensidad de la onda expansiva.

Una de las principales características de este tipo de estrategias, es que el fenómeno de la fractura se puede simular desde un punto de vista físico, ya que el material está representado como una compactación de materiales particulados y la disgregación o fraccionamiento posterior es consecuencia de una pérdida de adherencia. Para representar adecuadamente el fenómeno es necesario utilizar un número elevado de partículas, lo que se traduce en un alto coste computacional durante la fase de cálculo. El cálculo de cada contacto puede llegar a tener un coste considerable si se consideran leyes complejas para los contactos. Por esto se trabaja en la actualidad en mejorar los rendimientos de los códigos computacionales empleados en este tipo de procesos, además de establecer estrategias que permitan disminuir estos costes de cálculo.

Otro de los inconvenientes que presentan estas técnicas es la generación de los modelos, ya que discretizar un continuo con este tipo de esquemas no está suficientemente desarrollas como ocurre con las técnicas del MEF, para el que las técnicas de generación de mallas ha sufrido un avance importante en los últimos años. Es por esto que paralelamente con el desarrollo de los modelos matemáticos se está trabajando en el desarrollo de algoritmos que permitan generar los modelos discretos asociados con un coste menor, es decir reduciendo los tiempos de pre-proceso o preparación de los datos necesarios para realizar las simulaciones numéricas oportunas, así como teniendo en cuenta las condiciones geométricas del proceso, considerando los puntos de detonación de las cargas explosivas y otras condiciones, como discontinuidades en el macizo rocoso.

Un punto importante a considerar en este tipo de simulación es la definición de unos parámetros representativos del material, ya que los parámetros macroscópicos utilizados tradicionalmente deben ser trasladados a la escala en la que se está trabajando. Todo ello requiere un estudio entre las relaciones micro-macro de los parámetros que representan a los distintos materiales.

Deben considerarse también distintas estrategias para alcanzar coste de cálculo razonable y competitivo, y por ello se incorporan técnicas de acoplamiento compatibles con otras técnicas numéricas como las de MEF. En las zonas próximas al fenómeno más complejo de excavación se usan modelos tipo MED y las zonas más alejadas las geometrías y los fenómenos físicos se modelan y representan mediante técnicas de elementos finitos. Estos modelos mixtos simplifican considerablemente los trabajos a realizar en las fases iniciales y disminuyen de manera importante los tiempos necesarios para obtener los resultados pretendidos.

2 Objetivo

El proyecto tiene como objetivo fundamental realizar un simulador avanzado del comportamiento de la física de explosiones aplicado a excavaciones y voladuras en macizos rocosos mediante la simulación de la física del problema utilizando la técnica del Método de Elementos Discretos (MED) y desarrollando nuevos modelos constitutivos y métodos numéricos para estudiar el fenómeno. Este simulador se incorporar en un curso formativo realizado específicamente sobre la temática a simular y que le permitir´ al alumno adquirir los conocimientos elementales sobre la materia que luego podrá probar utilizando el simulador. La modelización mediante MED se basa en la discretización del terreno mediante elementos discretos, esféricos y rígidos que interaccionan entre ellos normal y tangencialmente. Se asume que la deformación del material se concentra en los puntos de contacto. La aplicación de una correcta ley de contacto entre partículas (la cual puede verse como una formulación del material a nivel microscópico) nos permitir obtener, a una mayor escala, las propiedades macroscópicas del terreno que conforman dichas partículas. Es decir, estableciendo una correcta formulación de las fuerzas que actúan cuando dos partículas de terreno interactúan entre ellas, podremos modelar el comportamiento del conjunto de partículas actuantes, es decir el comportamiento del terreno. Los métodos se desarrollarán en 2 líneas complementarias:

1. Métodos para el análisis del comportamiento del terreno sometido a explosiones, en tres dimensiones, mediante la simulación numérica con métodos de elementos discretos (MED), que permitirán caracterizar las propiedades constitutivas de los materiales, así como su fraccionamiento.

2. Métodos combinados de elementos discretos y elementos finitos (MED/MEF) que permitirán modelar la zona de trabajo con una gran ventaja computacional. Toda la implementación se realizará en un esquema dinámico-explícito que permitirá simular el fenómeno a lo largo del tiempo y poder tener así en cuenta el micro-retardo aplicado a las cargas explosivas. El aspecto diferenciador respecto de las técnicas de cálculo actuales es que se desarrollar una formulación ad-hoc que permitirá simular con la suficiente precisión los múltiples factores y fenómenos específicos que tienen lugar en el suelo, y que determinan el comportamiento del conjunto.

3 Marco teórico

En esta sección se presenta la teoría básica del método de simulación empleado, así como el proceso de estimación de los parámetros más importantes requeridos para su uso en este tipo de aplicaciones.

3.1 El método de los elementos discretos

En los últimos años, el MED se ha revelado como una herramienta de gran utilidad para el desarrollo de simulaciones numéricas en problemas de geomecánica y de movimientos de material particulado.

3.1.1 Formulación básica

El modelo de los elementos discretos representa el material mediante una colección de partículas de diferentes formas. En la presenta formulación se han empleado esferas (3D) o discos (2D).

En la Figura 2 se observa una muestra bidimensional de una muestra de material discretizada según el DEM, mediante discos.

Draft Samper 188908668-image2.png
Figure 2. Material discretizado con MED.

Se asume además que los elementos discretos son absolutamente rígidos, y la deformación está localizada en las zonas de contacto. Por ello en el contacto entre elementos discretos se definen leyes constitutivas que determinan la reacción de las partículas en lo que denominamos propiedades micro-mecánicas. Estas leyes constitutivas a nivel micro, determinan el comportamiento de todo el material a nivel macroscópico.

La interacción de las partículas tiene en cuenta la posible cohesión entre las mismas, asumiendo la posibilidad de que para un cierto valor de las fuerzas esta cohesión desaparece. Esta configuración del método nos permite modelar el comportamiento tanto de suelos cohesivos como de rocas hasta su colapso, caracterizado por la fractura del material, lo cual representa una ventaja cualitativa respecto a los modelos continuos.

3.1.2 Ecuaciones de movimiento

Cada una de las partículas (esféricas) se trata como un sólido rígido a la que se aplican las ecuaciones de traslación y de rotación (Figura 3) de la dinámica de sólidos.

Draft Samper 188908668-image3.png
Draft Samper 188908668-image4.png

donde las variables que intervienen son las siguientes:

  • u es el desplazamiento del centroide en un sistema de coordenadas inercial X.
  • ω es la velocidad angular de la partícula.
  • M matriz diagonal con los valores de masa en los términos diagonales.
  • I matriz diagonal con los momentos de inercia en los términos diagonales.
  • F vector de fuerzas resultantes sobre la partícula.
  • T vector de momentos resultante sobre la partícula.

Las resultantes sobre cada partícula se calculan como la suma de todas fuerzas o momentos debidos a la carga externa, fuerzas de contacto entre partículas así como fuerzas de amortiguamiento del sistema.

La expresión para el movimiento rotacional (2) es válida para esferas y discos (2D), pero resulta una expresión simplificada con respecto a la forma general para un cuerpo arbitrario rígido cuyas propiedades inerciales vienen determinadas por un tensor de segundo orden.

Draft Samper 188908668-image5.png
Figure 3. Movimiento de una partícula.

Las ecuaciones (1) y (2) constituyen leyes de evolución en el tiempo de las variables desplazamiento y velocidad. Para hallar la solución han de integrarse dichas leyes en el tiempo, para lo cual se emplea un esquema de diferencias centrado. El operador integral para las ecuaciones de movimiento en el n-ésimo paso de tiempo se detalla a continuación


Draft Samper 188908668-image6.png

En el caso de integración para la ecuación de rotación, el esquema es idéntico a las ecuaciones anteriores


Draft Samper 188908668-image7.png

De lo anterior podemos inducir el vector de rotación incremental ∆θ que posteriormente nos permitiría determinar las fuerzas tangenciales de contacto


Draft Samper 188908668-image8.png

3.1.3 Leyes de contacto

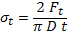
Las fuerzas de contacto F entre partículas en el punto de contacto se descomponen en sus componentes normal Fn y tangencial Ft al plano de contacto.


Draft Samper 188908668-image9.png

A su vez, la fuerza de contacto normal Fn se descompone en su parte elástica Fne y la partea correspondiente al amortiguamiento Fnd.


Draft Samper 188908668-image10.png

Cada una de las dos componentes de la fuerza normal se define por separado en función de las variables adecuadas, según se detalla seguidamente.

La componente elástica de la fuerza normal de contacto Fne se define como proporcional a la penetración de las superficies de ambas partículas urn, en la que la constante de proporcionalidad es la rigidez normal kn.


Draft Samper 188908668-image11.png

El cálculo de la penetración se calcula de forma puramente geométrica, en función de la distancia entre centros, y los radios de ambas partículas


Draft Samper 188908668-image12.png

De la misma forma la componente de amortiguamiento de la fuerza normal de contacto permite simular las oscilaciones de dicha fuerza, mediante la disipación de energía cinética. Dicha componente se define en función de un parámetro de velocidad relativa normal vrn.


Draft Samper 188908668-image13.png

donde vrn es la velocidad normal relativa entre los centros de las partículas en contacto.

La componente tangencial de las fuerzas de contacto se define igualmente a partir de relaciones constitutivas lineales.


Draft Samper 188908668-image14.png

Condición de rotura

Se define un valor de cohesión Rn que supone el valor crítico para las fuerzas de tracción entre partículas, de forma que una vez superado, las fuerzas de cohesión dejan de actuar. En consecuencia el criterio de decohesión es


Draft Samper 188908668-image15.png

Paralelamente a lo expuesto para la componente normal, se define un valor crítico para la fuerza tangencial a partir del cual las fuerzas de cohesión desparecen, una vez superado dicho valoro Rt. En este caso el criterio de decohesión es


Draft Samper 188908668-image16.png

Una vez que las fuerzas de cohesión dejan de actuar, la interacción tangencial es debida exclusivamente a la fricción, según la siguiente relación


Draft Samper 188908668-image17.png

En la Figura 4 se muestran las relaciones constitutivas para las componentes normal y tangencial de las fuerzas de contacto en función del desplazamiento relativo. En ambas gráficas se aprecia las relaciones de proporcionalidad y los valores críticos para cada componente para ur > 0.

3.2 Estimación de los parámetros del modelo de contacto

La definición de los parámetros del modelo de contacto es una de las claves en el uso del MED para la simulación de geo-materiales. Para la definición de dichos parámetros se establece una metodología que permite estimar los parámetros del modelo para la representación realista de los materiales utilizados.

Para resolver este problema se utiliza una metodología que permite determinar cuáles son los parámetros que se requieren para representar el comportamiento mecánico del material que se está simulando.

Draft Samper 188908668-image18.png

Figure 4. Relación fuerza-desplazamiento para modelo elástico lineal perfectamente frágil. Dirección normal.

Draft Samper 188908668-image19.png
Figure 5. Relación fuerza-desplazamiento para modelo elástico lineal perfectamente frágil. Dirección tangencial.

A continuación se presenta el desarrollo de la metodología utilizada para la estimación de parámetros, donde se demuestra que los parámetros micro-mecánicos pueden ser hallados a partir de curvas adimensionales que rigen el comportamiento de un empaquetamiento de partículas esféricas y que permiten obtener resultados equivalentes no importando la discretización utilizada.

Para la obtención de las curvas de parámetros adimensionales que rigen el comportamiento se realizan una serie de simulaciones de ensayos de compresión y tensión indirecta (ensayo brasileño), donde se obtendrán las curvas de comportamiento y los valores resultantes para el módulo de elasticidad E, coeficiente de Poisson ν y tensiones máximas σc y σt .

El ensayo de compresión permite la estimación de las propiedades elásticas del material, así como de la resistencia máxima a compresión. En la Figura 5 se presenta un ejemplo de la simulación del ensayo de compresión, donde el espécimen se somete a compresión por dos placas rígidas en sus caras superior e inferior, mediante un desplazamiento a velocidad controlada.

A partir del ensayo de compresión, es posible construir la curva tensión-deformación que representa el comportamiento mecánico del espécimen, como se aprecia en la Figura 6. El módulo de Young del material es estimado como la pendiente de la curva, mientras que la resistencia máxima a compresión es su valor máximo. Es importante recalcar que en el caso bi-dimensional se considera el caso de deformaciones planas.

Draft Samper 188908668-image20.png
Figure 6. Simulación de test de compresión no-confinado. Distribución de tensiones a lo largo de la dirección de carga.

El coeficiente de Poisson es estimado considerando la deformación horizontal xx y vertical yy, mediante la ecuación


Draft Samper 188908668-image22.png

El ensayo de tensión indirecta (brasileño) permite la estimación de la resistencia máxima a tensión.

En la Figura 7, se presenta un ejemplo de ensayo brasileño.

Draft Samper 188908668-image21.png
Figure 7. Simulación de test de compresión no-confinado. Curva tensión-deformación.

El ensayo consiste en someter a compresión un espécimen circular, estimando la resistencia máxima a tensión como


Draft Samper 188908668-image24.png

donde Ft es la fuerza máxima de compresión (Figura 8), D el diámetro del espécimen y t su espesor, que en el caso bi-dimensional toma un valor unitario.

Draft Samper 188908668-image23.png
Figure 8. Simulación de test Brasileño. Distribución de tensiones en dirección normal a la carga.

Las curvas adimensionales son definidas de manera que permitan relacionar los parámetros del modelo de contacto con las propiedades del material, considerando distintas variables relacionadas con su comportamiento, así como valores geométricos relacionados con la discretización del medio con partículas. Las funciones adimensionales consideradas se definen de la siguiente manera


Draft Samper 188908668-image25.png
Draft Samper 188908668-image26.png
Figure 9. Simulación de test Brasileño. Curva carga-tiempo.

Draft Samper 188908668-image27.png

donde l es una cierta distancia característica y A es un área característica relacionada con el modelo discreto. Ambos valores característicos son definidos de diferente manera en problemas 2D y 3D. En el caso 2D, donde se considera partículas de forma cilíndrica, es conveniente considerar l como el largo de la partícula, de valor unitario. En el problema 3D, el largo característico es definido como el radio medio de las partículas r, de manera equivalente al caso 2D pero considerando partículas esféricas. En el caso del área característica A, para el problema 2D se considera el rectángulo definido por el largo de la partícula y su radio medio, mientras que en los problemas 3D puede ser tomado directamente el área definida por r2.

Finalmente las curvas adimensionales que se obtienen para los parámetros elásticos se presentan en las figuras siguientes

Draft Samper 188908668-image28.png
Figure 10. Curva adimensional para módulo de Young en 2D.

Draft Samper 188908668-image29.png
Figure 11. Curva adimensional para coeficiente de Poisson en 2D.

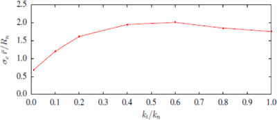
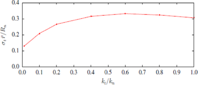
En las Figuras 12 y 13 se presentan las curvas adimensionales para las resistencias máximas a compresión y tracción

Draft Samper 188908668-image30.png
Figure 12. Curva adimensional para resistencia máxima a compresión en 2D.

Draft Samper 188908668-image31.png
Figure 13. Curva adimensional para resistencia máxima a tensión en 2D.

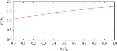
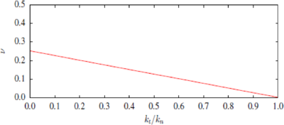
La metodología utilizada para la estimación de los parámetros del modelo consiste en utilizar las curvas adimensionales presentadas anteriormente de la siguiente manera: Utilizando el coeficiente de Poisson se estima la relación kt /kn en la curva de la Figura 11.

Conocida la razón entre la rigidez normal y tangencial, con la curva de la Figura 10 se puede estimar el módulo elástico.

Conociendo las resistencias máximas a compresión y tracción, de las curvas en las Figuras 12 y 13, además de los parámetros calculados previamente, pueden estimarse las fuerzas máximas de cohesión en el contacto.

4 Modelo de voladura

En esta sección se presentan las principales características del proceso a simular, considerando tanto el proceso físico involucrado así como el modelo numérico. En la Figura 13 se presenta un esquema del proceso de voladura a modelar, donde se distinguen los principales pasos

Draft Samper 188908668-image32.jpeg

Inicialmente se utiliza un modelo 2D que permitirá estudiar la mejor manera de imponer las condiciones relacionadas con la carga explosiva, como estaba previsto en el plan de trabajo. La geometría utilizada es presentada en la figura 14.

Draft Samper 188908668-image33.png
Figure 14. Geometría utilizada en modelo 2D.

Las principales características del modelo geométrico utilizado son las siguientes:

  • Altura de banco: 10,0 m.
  • Diámetro de perforación: 76,2 mm.
  • Espaciamientos: 3,4 m.
  • Longitud de taladros: 10,9 m.
  • Retacado: 2,0 m.
  • Carga de columna: 9,1 m.
  • Carga de fondo: 1,8 m.
  • Explosivo columna: ANFO (ver tabla 2).
  • Explosivo fondo: Hidrogel (ver tabla 1).
  • Retardo entre filas: 60 ms.
  • Retardo entre filas: 60 ms.


El detalle de los explosivos se presenta en las Tablas 1 y 2.

NG TNT AP RDX HMX Tetryl
Densidad (g/cm3) 1,59 1,65 1,72 1,85 1,9 1,7
Calor de combustión (MJ/kg) 6,8 15,02 12,09 9,46 9,88 12,24
Calor de detonación (MJ/kg) 6,29 4,23 4,31 4,54 5,67 4,63
Volumen de gas (g/cm3) 715 710 680 780 755 760
Velocidad de detonación (m/s) 7600 6940 7050 8570 9160 7920
Presión de detonación (GPa) --- 18,9 --- 33,8 39,3 26,2
Table 1. Datos del explosivo 1.
B 80/20 C4 AN ANFO Slurry
Densidad (g/cm3) 11,72 --- 1,64 1,72 0,93 1,4
Calor de combustión (MJ/kg) 11,67 4,19 --- 2,62 --- ---
Calor de detonación (MJ/kg) 5,28 4,1 6,61 2,63 3,76 3,05
Volumen de gas (g/cm3) --- 860 --- 980 --- ---
Velocidad de detonación (m/s) 7900 5200 8340 2700 4560 6050
Presión de detonación (GPa) 29,5 --- 25,7 1,1 6 10,4
Table 2. Datos del explosivo 2.

4.1 Resultados iniciales

Para el modelo 2D se utiliza una malla con 13569 partículas cilíndricas de radios entre 1,25−12,01 cm y una porosidad del 9 % La malla utilizada se presenta en la Figura 15.

Los parámetros del modelo de contacto entre partículas, calculados en base a la metodología presentada en 3.2 se presentan en la Tabla 3.

Draft Samper 188908668-image34.png
Figure 15. Malla utilizada en model 2D.

Parámetro Valor
Densidad, (Kg/m3) 2650
Coef. Fricción, 0.839
Rigidez normal, kn (N/m) 16.10 109
Rigidez tangencial, kt (N/m) 1.24 109
Fuerza máxima normal, Rn (N) 3.53 106
Fuerza máxima tangencial, Rt (N) 1.19 107
Table 3. Parámetros model MED.

La condición del explosivo se introduce como una presión externas sobre las paredes interiores de la perforación, y considerando un pulso de presión como el presentado en la Figura 16.

Los valores característicos de la condición del explosivo son definidos mediante la presión máxima Pmax a la que se somete el contorno afectado, directamente relacionada con la presión de barreno para el explosivo más las consideraciones que el operario pueda considerar, t0 como el tiempo en que se consigue la presión máxima, y tf como el tiempo en que la presión desaparece completamente.

Draft Samper 188908668-image35.png
Figure 16. Esquema pulso de presión impuesto en contornos interiores.

En este punto es importante recalcar que la curva presentada en la Figura 16 es una representación simplificada de las curvas reales de aplicación de carga, sin embargo considerando la variación que pueden tener estas curvas según las condiciones seleccionadas por el operario se establece que una curva de este tipo es suficientemente representativa para estos efectos.

El modelo computacional desarrollado permite la definición de cualquier tipo de curva que quiera ser considerada por el usuario, pudiendo generar perfectamente las curvas reales para su consideración. Como ejemplo de la variabilidad de estas curvas, en la Figura 17 se presentan 2 ejemplos de curvas de tensión vs tiempo para casos reales, considerando el caso en que puede haber un desacoplamiento del explosivo mediante una holgura entre el explosivo y el barreno para una amortiguación de la presión de barreno, que en muchos casos se utiliza para la eliminación de posibles sobre excavaciones.

Draft Samper 188908668-image36.png
Figure 17. Efecto del desacoplamiento sobre la curva tensión-tiempo.

En la Figura 18 se presenta la evolución de la voladura en el macizo, además del daño presente en el terreno. El color azul representa la zona no dañada, mientras que el color rojo representa las partículas completamente dañadas.

Draft Samper 188908668-image37.png

a) t = 0.0 ms

Draft Samper 188908668-image38.png

b) t = 2.0 ms

Draft Samper 188908668-image39.png

c) t = 3.0 ms

Draft Samper 188908668-image40.png

d) t = 4.0 ms

Draft Samper 188908668-image41.png

e) t = 5.0 ms

Draft Samper 188908668-image42.png

f) t = 6.0 ms

Draft Samper 188908668-image43.png

g) t = 7.0 ms

Draft Samper 188908668-image44.png

h) t = 8.0 ms

Draft Samper 188908668-image45.png

i) t = 9.0 ms

Figure 18. Evolución de voladura. Modo de fallo y daño.

De la misma manera, la Figura 19 presenta el detalle de las tensiones aplicadas en el terreno al comienzo del proceso de voladura, pudiendo apreciarse claramente la diferencia de las tensiones inducidas por los explosivos de columna y fondo.

Draft Samper 188908668-image46.png

a) t = 1.0 ms

Draft Samper 188908668-image47.png

b) t = 2.0 ms

Figure 19. Evolución de voladura. Tensión en el terreno.

El segundo modelo probado considera 2 taladros en la misma región, con los valores dados anteriormente en distancia y retardo entre detonaciones. La malla utilizada se presenta en la Figura 20, donde el tamaño de elemento y parámetro utilizados son equivalentes a los presentados en la Tabla 3.

Draft Samper 188908668-image48.png
Figure 20. Malla modelo de 2 taladros.

En la Figura 21 puede verse la evolución de la simulación, presentando el daño en el material, así como su desplazamiento. El efecto del retardo entre detonaciones de 20 ms puede aprecia claramente.

Draft Samper 188908668-image49.png

a) t = 10 ms

Draft Samper 188908668-image50.png

b) t = 20 ms

Draft Samper 188908668-image51.png

c) t = 30 ms

Draft Samper 188908668-image52.png

d) t = 40 ms

Draft Samper 188908668-image53.png

e) t = 50 ms

Draft Samper 188908668-image54.png

f) t = 60 ms

Draft Samper 188908668-image55.png

g) t = 70 ms

Draft Samper 188908668-image56.png

h) t = 80 ms

Draft Samper 188908668-image57.png

i) t = 90 ms

Draft Samper 188908668-image58.png

j) t = 100 ms

Draft Samper 188908668-image59.png

k) t = 140 ms

Draft Samper 188908668-image60.png

l) t = 300 ms

Figure 21. Evolución voladura en modelo con 2 taladros.

5 Estudio de condiciones de carga y relación carga-efecto

En esta sección se establecen las relaciones de distintas cargas explosivas sobre el modelo utilizado. Para ello se utiliza el modelo de 2 barrenos presentado en la sección anterior.

Se consideran 3 condiciones distintas de carga, variando la presión efectiva en el barreno. Partiendo de la presión nominal del explosivo, pueden considerarse las distintas técnicas para disminuir la presión en el barreno, como la incorporación al explosivo de material inerte, disminuyendo la densidad del explosivo; la variación del diámetro del barreno; o el desacoplamiento y/o espaciamiento del explosivo mediante una cámara de aire.

Debido a esto, y considerando todas las posibles acciones del operario para la modificación de la carga, que el siguiente estudio presenta la variación del efecto de los explosivos sobre el macizo considerando los distintos casos en función de la presión de barreno.

Se consideran 4 casos de carga, donde la presión considerada en el barreno son 400, 800, 1000 y 5000 MPa. Las condiciones de simulación y el material son los mismos presentadas en la sección anterior.

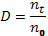
Las variables analizadas son el daño producido en el terreno, considerando el volumen del material dañado completamente. Este daño (D) es calculado en el MED como la fracción de uniones cohesivas por parte de una partícula:


Draft Samper 188908668-image61.png

donde nt es la cantidad de contactos cohesivos que tiene una partícula en el instante t, y n0 el número inicial de contactos cohesivos de la partícula.

El material completamente dañado es considerado cuando la partícula pierde completamente sus contactos cohesivos, es decir D = 1.0. El material dañado sale de considerar el volumen total de las partículas que presentan este nivel de daño.

La segunda variable a considerar es el trabajo de fractura generado. Esto se puede considerar con el trabajo necesario para la rotura de un contacto cohesivo, relacionado directamente con los parámetros utilizados en el modelo MED. Este trabajo es proporcional al número total de uniones cohesivas contenidas en el modelo, donde el trabajo realizado depende del mecanismo de rotura, pudiendo ser por fuerzas tangenciales en el contacto, o por tensión.

El trabajo de rotura puede ser calculado como el trabajo de rotura de un contacto para cada mecanismo de rotura (wn y wt), definidos como


Draft Samper 188908668-image62.png

Donde el trabajo total de rotura es el trabajo para cada mecanismo de rotura por el número total de roturas para cada mecanismo.

En la Figura 22 se presenta la evolución de la voladura para los distintos casos, en los primeros 10 ms, donde la mayor parte del daño se produce.

Caso 1

Draft Samper 188908668-image63.png

t = 0.02 ms

Caso 3

Draft Samper 188908668-image64.png

t = 0.02 ms

Caso 4

Draft Samper 188908668-image65.png

t = 0.02 ms

Draft Samper 188908668-image66.png

t = 0.04 ms

Draft Samper 188908668-image67.png

t = 0.04 ms

Draft Samper 188908668-image68.png

t = 0.04 ms

Draft Samper 188908668-image69.png

t = 0.06 ms

Draft Samper 188908668-image70.png

t = 0.06 ms

Draft Samper 188908668-image71.png

t = 0.06 ms

Draft Samper 188908668-image72.png

t = 0.08 ms

Draft Samper 188908668-image73.png

t = 0.08 ms

Draft Samper 188908668-image74.png

t = 0.08 ms

Draft Samper 188908668-image75.png

t = 0.10 ms

Draft Samper 188908668-image76.png

t = 0.10 ms

Draft Samper 188908668-image77.png

t = 0.10 ms

Figure 22. Evolución voladura para distintos casos de carga.

En la figura se aprecia la diferencia del daño generado en cada uno de los casos, donde claramente el caso con la presión de barreno más alta es la que más daño genera.

En la Figura 23, el volumen dañado para distintos instantes de tiempo al inicio de la voladura son presentados. Se puede apreciar que el material completamente dañado crece de manera lineal con la presión de barreno. Sin embargo, considerando que las presiones de barreno utilizadas se consideran bajas en comparación a valores típicos presentados por los explosivos comunes, se esperaría que al considerar cargas mucho mayores, el daño pueda pasar a ser exponencial.

Draft Samper 188908668-image78.png
Figure 23. Volumen dañado para distintos niveles de presión de barreno.

Otra manera de ver el mismo gráfico presentado en la figura anterior, es presentando la evolución del daño para cada caso. Esto se presenta en la Figura 24. Puede verse en el gráfico que en volumen de material dañado se estabiliza después de unos 60 ms.

Draft Samper 188908668-image79.png
Figure 24. Evolución del volumen dañado para distintos niveles de presión de barreno.

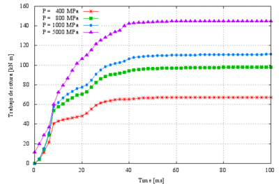
Analizando ahora la segunda variable considerada para analizar el proceso de voladura, se presenta en la figura 25 el trabajo de fractura acumulado para distintos instantes de tiempo.

Las curvas muestran que puede considerarse que el trabajo de fractura crece de manera exponencial al aumentar la presión de barreno, o lo que es lo mismo, al utilizar explosivos mas poderosos.

La evolución de este trabajo de fractura en los distintos casos de presión se presenta en la Figura 26. Al igual que para el volumen de daño, los valores se estabilizan cerca de los 60 ms.

Draft Samper 188908668-image80.png
Figure 25. Trabajo de fractura acumulado para distintos niveles de presión en el barreno.

Draft Samper 188908668-image81.png
Figure 26. Evolución del trabajo de fractura acumulado para distintos niveles de presión en el barreno.

Finalmente, el modo de daño hacia el final del proceso de voladura, considerado en 900 ms, es presentado en la Figura 27.

Draft Samper 188908668-image82.png

Caso 1

Draft Samper 188908668-image83.png

Caso 2

Draft Samper 188908668-image84.png

Caso 3

Draft Samper 188908668-image85.png

Caso 4

Figure 27. Modo de daño en el proceso de voladura después de 09 segundos.

6 Conclusiones

Se presenta la formulación básica para la modelación de voladura en macizos rocosos mediante el MED. El modelo presentado muestra las características esperadas para este tipo de simulaciones. La condición del explosivo debe ser estudiada con más detalle para asegurar la relación entre los valores característicos de la condición y un explosivo determinado. Se establecen las condiciones requeridas para el modelo 2D, pudiendo ser extendidas durante el proyecto a la versión 3D.

Se han desarrollado las interfaces de usuarios completamente funcionales tanto para 2D como 3D, denominando al software BLAST, con su respectivo manual de instrucciones

Se presenta además un estudio del efecto de las cargas explosivas en 2D, donde se aprecia el comportamiento del macizo rocoso para distintos niveles de carga, los cuales están directamente relacionados con el explosivo utilizado, además de todas las consideraciones operacionales que puedan ser consideradas por el operario, como el diámetro del barreno o posibles cámaras de aire para desacoplar el explosivo.

7. Trabajo realizado

Tareas fase 1:

T1.1 Desarrollo del código de Simulación en 2D – completado.

T1.2 Desarrollo de interface de usuario en 2D – completado.

T1.3 Desarrollo del código de Simulación en 3D – completado.

T1.4 Desarrollo de interface de usuario en 3D – parcialmente completado.

T1.5 Estudio de condiciones de carga explosiva – completado.


Referencias

[1] P.A. Cundall and O.D.L. Strack. A discrete numerical method for granular assemblies. Geotechnique, 65:29–47, 1979.

[2] C.S. Campbell. Rapid granular flows. Annual Review of Fluid Mechanics, 92:2–57, 1990.

[3] G. Mustoe. A generalized formulation of the discrete element method. Eng. Comput., 9(2):181–190, 1992. Special issue, Editor: G. Mustoe.

[4] J.R. Williams and R. O’Connor. Discrete element simulation and the contact problem. Archives Comp. Meth. Engng, 6(4):279–304, 1999.

[5] C. Labra, J. Rojek, E. Oñate, and F. K¨ ppl. Report of numerical modeling of disc cutter wear. TUNCONSTRUCT Deliverable D2.1.3.3, CIMNE, 2008.

[6] M. Hood and H. Alehossein. A development in rock cutting technology. Int. J. of Rock Mechanics and Mining Sciences, 37:297–305, 2000.

[7] J. Rojek, E. Oñate, C. Labra, and F. Zarate. Evaluation report of DEM model. TUNCONSTRUCT Deliverable D1.1.2.13, CIMNE, 2006.

[8] F. Zárate. Methodology for inverse determination of micromechanical model parameters of DEM model. TUNCONSTRUCT Deliverable D1.1.2.15, CIMNE, 2007.

[9] C.-L. Liao, T.-P. Chang, and D.-H. Young. Stress-strain relationship for granular material based on the hypothesis of best fit. Int. J. Soild Struct., 34(31-32):4087–4100, 1997.

[10] N. Bilgin, C. Balci, O. Acaroglu, H. Tuncdemir, and S. Eskikaya. The performance prediction of a tbm in tuzla-dragos sewerage tunnel. In World Tunnel Congress, 817–822, Balkema, Rotterdam, 1999.

[11] J. Rostami, L. Ozdemir, and D.M. Neil. Performance prediction: a key issue in mechanical hard rock mining. Min. Eng., 11:1236–1267, 1994.

Anexo 1. Propiedades de explosivos

Draft Samper 188908668-image86.png
Tabla 4. Propiedades de los explosivos a granel. Fuente: ENAEX

Draft Samper 188908668-image87.jpeg
Tabla 5. Propiedades de los explosivos encartuchados. Fuente: ENAEX

Back to Top

Document information

Published on 01/01/2012

Licence: CC BY-NC-SA license

Document Score

0

Views 432
Recommendations 0

Share this document

claim authorship

Are you one of the authors of this document?