1. Introducción

En este trabajo se presenta el informe correspondiente al estudio del comportamiento bajo la acción del fuego de un panel de lana de roca fabricado por la empresa de prefabricados Pretersa-Prenavisa. La referencia de la pieza a estudiar es PANEL DE 20 CON LANA DE ROCA con una longitud de 10m.

El objetivo final es analizar la estabilidad global del panel sometido a la acción del fuego. Dicha estabilidad global puede verse comprometida si las deformaciones térmicas son suficientemente grandes como para que el panel salga fuera del pilar de borde que le confiere estabilidad lateral. Asimismo debe controlarse que el desplazamiento transversal máximo del panel sea razonablemente bajo como para no comprometer la función de separación de la pieza en cuanto a los criterios de integridad y aislamiento frente a la acción del fuego. El criterio de integridad establece ciertos valores límites para asegurar que la estructura no permita la penetración de llamas o de gases calientes a través de brechas o fisuras. El criterio de aislamiento establece valores límites para el aumento de temperatura en el lado no expuesto de una estructura sometida a un fuego nominal: 140°C en promedio y 180 °C en picos locales.

El estudio se dividirá en tres partes. En primer lugar se realizará una calibración de los parámetros de los materiales que se necesitan para realizar el análisis termo-mecánico de la estructura en cuestión. Para ello se realizará una investigación documental a partir de las diferentes fuentes de información que se disponen sobre el tema: bibliografía, normativa europea, internet, etc. Asimismo se utilizarán los resultados de los ensayos experimentales realizados en los laboratorios de LGAI para calibrar los parámetros térmicos de los materiales.

En segundo lugar se realizará una puesta a punto de los códigos de elementos finitos desarrollados en CIMNE para adaptarse a los requerimientos de este estudio. Se ha utilizado el programa HTM_Concrete, el cual es una extensión de los programas Comet y Ramseries desarrollados en CIMNE para el análisis termo-higro-mecánico de estructuras de hormigón sometidas a la acción del fuego.

En tercer lugar, una vez obtenidos los parámetros termo mecánicos necesarios para realizar las simulaciones numéricas, se procederá al estudio del comportamiento frente al fuego del panel de 10m de longitud. Para ello se realizarán varias simulaciones considerando diferentes condiciones de contorno.

Finalmente a partir del análisis de los resultados de las diferentes simulaciones numéricas se elaborarán las conclusiones de este trabajo.

2. Parámetros termo-mecánicos

El tipo de hormigón utilizado en los paneles es HA/30/F/22/I. Esto lo identifica como un hormigón normal.

El análisis de una estructura de hormigón normal expuesta al fuego involucra diferentes problemas interdependientes. La clasificación más natural de dichos problema es la siguiente (Figura 1):

- Problema térmico

- Problema mecánico.

El problema térmico reside en la determinación de la distribución de temperaturas en la estructura y su evolución en el tiempo debida a las fuentes externas de calor. La variable de estado correspondiente es la temperatura T.

El problema mecánico consiste en la evaluación del campo de tensiones y deformaciones que verifican las condiciones del equilibrio y de compatibilidad a lo largo del proceso en estudio.

La interacción 1 (problema térmico → problema mecánico) se genera debido a que la variación de temperatura provoca deformaciones térmicas que a su vez dan lugar a tensiones. Asimismo la variación de temperatura provoca una evolución de las propiedades mecánicas del material.

La interacción 2 (problema mecánico → problema térmico) tiene lugar cuando la energía consumida en la disipación mecánica se incluye en la ecuación de balance térmico. Este efecto es despreciable ya que la energía de disipación mecánica es muy inferior a la energía térmica que proviene de la acción del fuego.

Draft Samper 374808794-image1.png
Figura 1. Diagrama de interacciones termo-mecánicas

De esta manera el acoplamiento termo-mecánico de una estructura de hormigón normal puede considerarse débil, en el sentido de que el problema térmico modifica al mecánico pero el mecánico no modifica al térmico.

En el caso de utilizarse hormigones de alta resistencia con valores de porosidad y permeabilidad muy bajos debe analizarse simultáneamente el problema de transporte de humedad introduciendo nuevas interacciones y complicando radicalmente el planteo.

2.1 Parámetros del hormigón y acero

Todos los parámetros termo-mecánicos fueron tomados del Eurocódigo 2 [1].

Los valores utilizados en el análisis para el módulo de Young, el modulo de Poisson, la resistencia a compresión, la resistencia a tracción y la densidad a temperatura ambiente se presentan en la Tabla 1.

La evolución del modulo de Young, la resistencia a compresión y la resistencia a tracción con la temperatura se presentan en la Tabla 2.

Modulo de Young 30 GPa
Modulo de Poisson 0.15
Resistencia a compresión 30 MN/m2
Resistencia a tracción 3 MN/m2
Densidad 2300 kg/m3


Tabla 1: Parámetros mecánicos del hormigón.
Modulo de Young

E(T)/E(20ºC)

Resistencia a

compresión

fc(T)/fc(20ºC)

Resistencia a tracción

ft(T)/ft(20ºC)

20 1 1 1.0
100 0.93 1 0.8
200 0.79 0.97 0.6
300 0.65 0.91 0.4
400 0.52 0.85 0.2
500 0.38 0.74 0.0
600 0.24 0.6 0.0
700 0.10 0.43 0.0
800 0.099 0.27 0.0
900 0.098 0.15 0.0
1000 0.097 0.06 0.0
1100 0.096 0.02 0.0
1200 0.095 0.0 0.0


Tabla 2: Evolución de parámetros mecánicos del hormigón con la temperatura

En la Tabla 3 se muestra la evolución de la evolución de la deformación térmica con la temperatura.

Deformación térmica
20 0.0
100 0.00049
200 0.00119
300 0.00206
400 0.00318
500 0.00463
600 0.00650
700 0.00888
800 0.01184
900 0.01200
1000 0.01200
1100 0.01200
1200 0.01200


Tabla 3: Evolución de la dilatación térmica del hormigón con la temperatura

La evolución de la conductividad térmica y el calor específico con la temperatura se muestran en la Tabla 4.

Conductividad

térmica

W/(ºC·m)

Calor específico

MJ/(ºC·m3)

20 1.57 2.19
100 1.47 2.31
200 1.36 2.45
300 1.25 2.58
400 1.16 2.69
500 1.07 2.79
600 1.00 2.88
700 0.94 2.95
800 0.89 3.00
900 0.85 3.06
1000 0.82 3.09
1100 0.81 3.11
1200 0.80 3.12


Tabla 4: Evolución de parámetros térmicos del hormigón con la temperatura

La armadura utilizada en los paneles es un alambre de pretensar Y-1770-C de 3mm de espesor.

Modulo de Young 210 GPa
Limite elástico 1560 MPa
Resistencia a tracción 1770 MPa
Pretensión inicial 1330 MPa


Tabla 5: Parámetros mecánicos del acero

La relación tensión-deformación para el acero de pretensando se toma del Eurocódigo 2 [1].

Draft Samper 374808794-image3.png

Donde los parámetros Draft Samper 374808794-image4.png , Draft Samper 374808794-image5.png , Draft Samper 374808794-image6.png , Draft Samper 374808794-image7.png , Draft Samper 374808794-image8.png y Draft Samper 374808794-image9.png se identifican en la Figura 2.

Draft Samper 374808794-image10.png
Figura 2. Diagrama tensión-deformación para el acero de pretensado.

En la Tabla 6 se presenta la evolución de los parámetros Draft Samper 374808794-image4.png , Draft Samper 374808794-image5.png , Draft Samper 374808794-image11.png , Draft Samper 374808794-image12.png y Draft Samper 374808794-image9.png con la temperatura

Draft Samper 374808794-image13.png Draft Samper 374808794-image14.png Draft Samper 374808794-image15.png Draft Samper 374808794-image16.png Draft Samper 374808794-image17.png
20 1 1 1 0.05 0.100
100 0.98 0.68 0.99 0.05 0.100
200 0.95 0.51 0.87 0.05 0.100
300 0.88 0.32 0.72 0.055 0.105
400 0.81 0.13 0.46 0.06 0.110
500 0.54 0.07 0.22 0.065 0.115
600 0.41 0.05 0.1 0.07 0.120
700 0.1 0.03 0.08 0.075 0.125
800 0.07 0.02 0.05 0.08 0.130
900 0.03 0.01 0.03 0.085 0.135
1000 0 0 0 0.09 0.140
1100 0 0 0 0.095 0.145
1200 0 0 0 0.10 0.150


Tabla 6: Evolución de parámetros mecánicos del acero de pretensado con la temperatura.

En la Tabla 7 se muestra la evolución de la evolución de la deformación térmica del acero de pretensado con la temperatura.

Deformación térmica
20 0
100 0,000998
200 0,002318
300 0,003718
400 0,005198
500 0,006758
600 0,008398
700 0,010118
800 0,011
900 0,0118
1000 0,0138
1100 0,0158
1200 0,0178


Tabla 7: Evolución de la dilatación térmica del acero con la temperatura

2.2 Parámetros de lana de roca

En las referencias [2] y [3] se encuentran valores para el módulo de Young para la lana de roca comprendidos entre 70 kPa y 1600 kPa. En este trabajo se considerará un valor medio de 500 kPa. Asimismo se considerará que el modulo de Young de la lana de roca tiene la misma evolución con la temperatura que en el hormigón.

En la referencia [4] se reporta un valor de 0.0 para el modulo de Poisson.

La densidad del material indicada por el fabricante es de 55 kg/m3.

En la referencia [5] se documenta la evolución de la conductividad térmica de la lana de roca para temperaturas comprendidas entre los 20 ºC y 400 ºC. Para temperaturas superiores se considerará un aumento lineal.

Conductividad

térmica

W/(ºC·m)

20 0.035
100 0.044
150 0.051
200 0.060
250 0.070
300 0.081
350 0.093
400 0.0106


Tabla 8: Evolución de la conductividad térmica de la lana de roca con la temperatura

Asimismo en la referencia [5] se documenta que el calor específico de la lana de roca varia de 25000 J/(ºK·m3) para 20 ºC y 53000 J/(ºK·m3) para 1000 ºC. Para temperaturas superiores se considerará un aumento lineal.

2.3 Ensayos experimentales de LGAI

En los laboratorios de LGAI se ha estudiado el comportamiento térmico de un panel de 2.95mx2.95m (compuesto a su vez por un Panel 1 de 2.4mx2.95m y otro Panel 2 de 0.55mx2.95m) en el horno de ensayo al fuego.

En las Figuras 3 y 4 se muestra las características del Panel 1 y del Panel 2 respectivamente.

Draft Samper 374808794-image18.jpeg
Figura 3. Características Panel 1.
Draft Samper 374808794-image19.jpeg
Figura 4. Características Panel 2.

En las Figuras 5 y 6 se muestran el esquema del ensayo y la distribución de los temo-pares.

Draft Samper 374808794-image20.jpeg
Figura 5. Esquema del ensayo.
Draft Samper 374808794-image21.jpeg
Figura 6. Distribución de temopares.

2.4 Simulación numérica del panel ensayado en LGAI

Para verificar la precisión de los valores de los parámetros de la lana de roca asumidos en el apartado 2.3, se ha realizado una simulación numérica del problema térmico del panel ensayado en LGAI.

Tenido en cuenta que el flujo de calor es fundamentalmente horizontal debido al pequeño espesor comparado con las otras dos dimensiones, se ha analizado solo una rebanada horizontal del panel. La geometría adoptada para la simulación se muestra en la Figura 7

Draft Samper 374808794-image22.png
Figura 7. Geometría adoptada para la simulación numérica del ensayo de LGAI.

La malla adoptada para la simulación es de 6216 nodos y 11800 elementos triangulares de tres nodos, la cual se muestra en la Figura 8.

Draft Samper 374808794-image23.png
Figura 8. Malla adoptada para la simulación numérica del ensayo de LGAI.

Los parámetros térmicos utilizados en la simulación son los adoptados en los apartados 2.1 y 2.2.

Se adopta una temperatura inicial de 20°C. Las condiciones de contorno adoptadas en la simulación son de convección térmica y radiación.

Según las recomendaciones del Eurocodigo se adopta para la cara expuesta al calor un coeficiente de convección de 25 W/(m2·°K) y para la cara no expuesta uno de 9 W/(m2·°K). La temperatura del ambiente en la cara expuesta seguirá la evolución de la curva de fuego estándar (UNE EN 1364-1:2000). La temperatura del ambiente en la cara no expuesta adopta un valor de 20°C.

Para las condiciones de contorno de radiación también se siguen las recomendaciones del Eurocodigo adoptando una emisividad de la superficie de 0.9, un coeficiente de absorbción de 0.9 y un factor de visión de 1.0.

El campo de temperaturas obtenido en la simulación numérica se muestra en las siguientes figuras.

Draft Samper 374808794-image24.png
Figura 9. Campo de temperaturas obtenidos en la simulación para una exposición de 30 minutos.
Draft Samper 374808794-image25.png
Figura 10. Campo de temperaturas obtenidos en la simulación para una exposición de 60 minutos.
Draft Samper 374808794-image26.png
Figura 11. Campo de temperaturas obtenidos en la simulación para una exposición de 90 minutos.
Draft Samper 374808794-image27.png
Figura 12. Campo de temperaturas obtenidos en la simulación para una exposición de 120 minutos.
Draft Samper 374808794-image28.png
Figura 13. Campo de temperaturas obtenidos en la simulación para una exposición de 180 minutos.
Draft Samper 374808794-image29.png
Figura 14. Campo de temperaturas obtenidos en la simulación para una exposición de 240 minutos.

En la Figura 16 se compara la evolución en el tiempo de la temperatura en el punto P1 del panel (Figura 15) con evolución en el tiempo de la temperatura media obtenida del ensayo

Draft Samper 374808794-image30.png
Figura 15. Punto P1
Draft Samper 374808794-image31.png
Figura 16. Comparación entre los resultados numéricos y experimentales de la evolución de la temperatura en tiempo del Punto P1

Analizando la Figura 6 se observa una gran diferencia de los resultados numéricos con los experimentales tanto en valores como en la tendencia de las curvas.

La principal causa de esta diferencia es atribuible a los bajos valores de la conductividad térmica de la lana de roca reportados por Rockwool [5] en cuanto a su evolución con la temperatura. Por otro lado, la tendencia que muestra la curva de evolución de la temperatura en el tiempo obtenida de los ensayos experimentales no se explica con una variación suave de la conductividad térmica con la temperatura. Si por ejemplo se utilizará una variación de la conductividad térmica con la temperatura como la indicada en la Figura 17 se observaría una mejor correspondencia entre los resultados numéricos y experimentales tal como se muestra en la Figura 18.

Draft Samper 374808794-image32.png
Figura 17. Evolución alternativa de la conductividad térmica con la temperatura de la lana de roca.
Draft Samper 374808794-image33.png
Figura 18. Comparación entre los resultados numéricos y experimentales de la evolución de la temperatura en tiempo del Punto P1.

Una justificación física razonable a esta evolución brusca de la conductividad térmica con la temperatura puede ser el hecho de que al aumentar muy rápidamente la temperatura, la placa de lana de roca se fisura notablemente generando una conductividad térmica aparente mucho mayor que la que se obtendría con el material sin fisurar. No obstante se necesitaría realizar mayor número de ensayos para ratificar esta hipótesis.

A pesar de que los valores de las temperaturas obtenidos numéricamente con una variación suave de la conductividad térmica son menores que los obtenidos experimentalmente, a efectos de la deformación global del panel están del lado de la seguridad. Esto se debe a que una menor temperatura en la cara no expuesta significa una mayor curvatura de la sección transversal del panel. Debido a que no se dispone de mayor cantidad de datos experimentales acerca de la evolución de la conductividad térmica con la temperatura se adoptará como válida la Tabla 8 propuesta por la empresa Rockwool.

3. Puesta a punto del código

Para poder realizar las simulaciones requerida en este trabajo fue preciso desarrollar dos nuevas facilidades en el código HTM_Concrete.

Por un lado se implemento un recurso de armadura de pretensado cuyos parámetros mecánicos evolucionen con la temperatura (Figura 19)

Draft Samper 374808794-image34.png
Figura 19. Implementación de armadura de pretensado

Por otro lado se implemento un recurso de apoyos elásticos no-lineales. Con este recurso se permite que los apoyos elásticos permanezcan inactivos hasta que en los nudos vinculados el desplazamiento llega a determinado valor (Figura 20).

Draft Samper 374808794-image35.png
Figura 20. Implementación de apoyos elásticos no-lineales.

4. Simulaciones termo-mecánicas

4.1 Introducción

Los paneles de lana de roca de 20 cm de espesor y 10m de longitud estudiados en este trabajo tienen un montaje constructivo tal como se indica en la Figura 21. Los paneles se colocan dentro de pilares de borde en forma de doble T que les sirve de guía y les confieren estabilidad lateral (Figura 22). La separación entre los paneles y los pilares de borde es de 1.5cm aproximadamente. La altura del panel es de 2.4m. Los paneles pueden apilarse verticalmente tal como se indica en la Figura 21, estableciendo alturas totales múltiplos de 2.4m.

En caso de producirse un incendio se generará un aumento paulatino de la temperatura del panel desde la cara expuesta al fuego. Esto producirá un aumento de longitud de panel y una flexión transversal debido a la distribución de deformaciones térmicas en el espesor del panel. De esta manera el panel se irá deformando casi libremente hasta llegar a unos 30 minutos de exposición al fuego momento en el que la dilatación longitudinal del panel es de 1.5cm. A partir de ese momento el pilar de borde restringirá el movimiento del panel reduciendo la flexión transversal.

Dependiendo de la ubicación del panel, la restricción al movimiento generada por el pilar de borde será fuerte o débil. Por ejemplo los paneles ubicados en tramos interiores tendrán una restricción fuerte. Por otro lado, los paneles ubicados en los extremos tendrán una restricción débil la cual irá disminuyendo en altura debido a la deformación del pilar de borde.

Draft Samper 374808794-image36.png
Figura 21. Detalle constructivo del montaje de los paneles.
Draft Samper 374808794-image37.png
Figura 22. Detalle de la unión del panel con el pilar.

La rigidez de dicho pilar de borde estará también afectada por la disminución del modulo de Young y la resistencia a compresión por efecto de la temperatura. Una manera simplificada de estimar la rigidez efectiva del pilar borde es utilizar el método de la isoterma 500 ºC comentando en la referencia [6]. En dicho método se considera una sección transversal reducida en la que se eliminan totalmente aquellas partes cuya temperatura superen los 500 ºC. Por otro lado aquellas partes de la sección transversal con temperaturas inferiores a 500 ºC conservan sus propiedades originales.

Para determinar el campo de temperaturas en la sección transversal del pilar de borde se realiza una simulación numérica del problema térmico. En la Figura 23 se muestra la malla y las condiciones de borde para dicha simulación térmica. Las propiedades térmicas del hormigón, los valores de las condiciones de contorno de convección y radiación y las condiciones iniciales son las mismas que las utilizadas en el apartado 2.4.

Draft Samper 374808794-image38.png
Figura 23. Malla y condiciones de borde para simulación térmica del pilar de borde.

En la Figura 24 se muestra el campo de temperaturas en el pilar de borde para un tiempo de exposición al fuego de 240 minutos. Asimismo en la Figura 25 se muestra el campo de temperaturas con valores inferiores a 500 ºC.

Draft Samper 374808794-image39.png
Figura 24. Campo de temperaturas del pilar de borde a 240 minutos.
Draft Samper 374808794-image40.png
Figura 25. Campo de temperaturas del pilar de borde a 240 minutos con valores inferiores a 500 ºC.

Analizando la Figura 25 puede observarse que la sección transversal eficaz según el criterio de la isoterma 500 ºC es la que se muestra en la siguiente figura.

Draft Samper 374808794-image41.png
Figura 26. Sección transversal eficaz del pilar de borde.

Para determinar la rigidez del pilar con la sección transversal eficaz del pilar mostrada en la Figura 26 se realiza una simulación numérica del problema mecánico. La geometría y la malla utilizada para la simulación se muestran en la siguiente figura. Se ha utilizado una malla de 58194 nodos con 306821 elementos tetraédricos de 4 nodos.

Draft Samper 374808794-image42.png
Figura 27. Geometría y malla utilizada para el análisis de rigidez del pilar de borde.

Como condiciones de contorno de se consideran el borde inferior empotrado y un paramento vertical con una carga de 50 kN/m2 tal como se indica en la Figura 28.

Draft Samper 374808794-image43.png
Figura 28. Condiciones de contorno utilizadas para el análisis de rigidez del pilar de borde.

En la Figura 29 se muestra el resultado del campo de desplazamientos en la dirección x.

Draft Samper 374808794-image44.png
Figura 29. Campo de desplazamientos del pilar de borde.

En la siguiente tabla se determina la rigidez del pilar a partir de los resultados obtenidos.

Altura [m] Desp. x [m] Carga [kN/m2] Rigidez [kN/m]
1.20 0.0025 50 4000
3.60 0.0155 50 645


Tabla 9: Rigidez del pilar a diferentes alturas

Se realizan tres tipos de simulaciones termo-mecánicas considerando tres posibles casos de restricciones:

1-) Simulación 1: Panel libre de restricciones

2-) Simulación 2: Panel con restricción total

3-) Simulación 3: Panel con restricción parcial

Teniendo en cuenta que la simetría del problema se analiza solo la mitad del panel en forma bidimensional (Figura 30).

Draft Samper 374808794-image45.png
Figura 30. Geometría del panel para la simulación termo-mecánica.

La malla utilizada para las simulaciones consta de 8421 nodos y 16800 elementos triangulares de 3 nodos tal como se muestra en la Figura 31.

Las propiedades de los materiales utilizadas para las simulaciones son las discutidas en el apartado 2.

Los valores de las condiciones de contorno de convección y radiación y las condiciones iniciales son las mismas que las utilizadas en el apartado 2.4 (Figura 32).

Para respetar las condiciones de simetría se vinculan todos los puntos contenidos sobre el eje de simetría en la dirección x. Asimismo se vincula el punto inferior izquierdo en la dirección y (Figura 33).

Draft Samper 374808794-image46.png
Figura 31. Malla utilizada para la simulación termo-mecánica del panel.
Draft Samper 374808794-image47.png
Figura 32. Condiciones de contorno de convección-radiación utilizadas para la simulación termo-mecánica del panel.
Draft Samper 374808794-image48.png
Figura 33. Vinculación para la simulación termo-mecánica del panel.

4.2 Simulación 1: Panel libre de restricciones

A continuación se muestra el campo de temperaturas obtenido de la simulación para distintos tiempos de exposición al fuego.

Draft Samper 374808794-image49.png
Figura 34. Campo de temperaturas para 30 minutos de exposición.
Draft Samper 374808794-image50.png
Figura 35. Campo de temperaturas para 60 minutos de exposición.
Draft Samper 374808794-image51.png
Figura 36. Campo de temperaturas para 90 minutos de exposición.
Draft Samper 374808794-image52.png
Figura 37. Campo de temperaturas para 120 minutos de exposición.
Draft Samper 374808794-image53.png
Figura 38. Campo de temperaturas para 150 minutos de exposición.
Draft Samper 374808794-image54.png
Figura 39. Campo de temperaturas para 180 minutos de exposición.
Draft Samper 374808794-image55.png
Figura 40. Campo de temperaturas para 210 minutos de exposición.
Draft Samper 374808794-image56.png
Figura 41. Campo de temperaturas para 240 minutos de exposición.

A continuación se muestra el campo de desplazamientos obtenido de la simulación para distintos tiempos de exposición al fuego.

Draft Samper 374808794-image57.png
Figura 42. Campo de desplazamientos para 30 minutos de exposición.
Draft Samper 374808794-image58.png
Figura 43. Campo de desplazamientos para 60 minutos de exposición.
Draft Samper 374808794-image59.png
Figura 44. Campo de desplazamientos para 90 minutos de exposición.
Draft Samper 374808794-image60.png
Figura 45. Campo de desplazamientos para 120 minutos de exposición.
Draft Samper 374808794-image61.png
Figura 46. Campo de desplazamientos para 150 minutos de exposición.
Draft Samper 374808794-image62.png
Figura 47. Campo de desplazamientos para 180 minutos de exposición.
Draft Samper 374808794-image63.png
Figura 48. Campo de desplazamientos para 210 minutos de exposición.
Draft Samper 374808794-image64.png
Figura 49. Campo de desplazamientos para 240 minutos de exposición.

A continuación se muestra el daño a tracción obtenido de la simulación para distintos tiempos de exposición al fuego.

Draft Samper 374808794-image65.png
Figura 50. Daño a tracción para 30 minutos de exposición.
Draft Samper 374808794-image66.png
Figura 51. Daño a tracción para 60 minutos de exposición.
Draft Samper 374808794-image67.png
Figura 52. Daño a tracción para 90 minutos de exposición.
Draft Samper 374808794-image68.png
Figura 53. Daño a tracción para 120 minutos de exposición.
Draft Samper 374808794-image69.png
Figura 54. Daño a tracción para 150 minutos de exposición.
Draft Samper 374808794-image70.png
Figura 55. Daño a tracción para 180 minutos de exposición.
Draft Samper 374808794-image71.png
Figura 56. Daño a tracción para 210 minutos de exposición.
Draft Samper 374808794-image72.png
Figura 57. Daño a tracción para 240 minutos de exposición.

A continuación se muestra la deformada obtenida de la simulación para un tiempo de exposición al fuego de 240 minutos.

Draft Samper 374808794-image73.png
Figura 57. Deformada del panel para 240 minutos de exposición.

A continuación se muestra el campo de desplazamientos en la dirección x obtenido de la simulación para distintos tiempo de exposición al fuego de 240 minutos.

Draft Samper 374808794-image74.png
Figura 58. Desplazamiento en dirección x para 240 minutos de exposición.

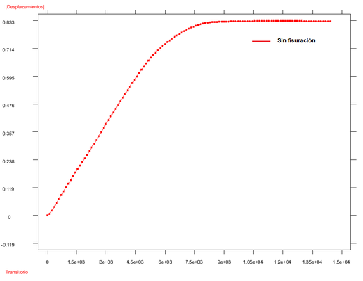
Todos los resultados mostrados en las figuras anteriores provienen de una simulación en la que se ha considerado el proceso de fisuración del hormigón. No obstante la inclusión de este fenómeno para el problema que nos incumbe no resulta determinante para la estimación de la deformación del panel. Asimismo teniendo en cuenta este efecto se introduce una no-linealidad adicional al problema que dificulta enormemente su resolución.

Se ha realizado otra simulación con las mismas condiciones de contorno pero sin considerar la fisuración del hormigón. En la Figura 59 se muestra la evolución en el tiempo del desplazamiento lateral máximo obtenido de las simulaciones considerando y sin considerar la fisuración. Se puede observar que la diferencia entre ambos desplazamientos es menor del 7%.

Draft Samper 374808794-image75.png
Figura 59. Evolución del desplazamiento lateral en el centro de panel.

4.3 Simulación 2: Panel con restricción total

Para tener en cuenta la restricción total del desplazamiento horizontal en los extremos del panel a partir de los 1.5cm, se han asignado apoyos elásticos no-lineales como se indica en la siguiente figura.

Draft Samper 374808794-image76.png
Figura 60. Asignación de apoyos elásticos no-lineales.

En la Figura 61 se muestra la curva fuerza-desplazamiento adoptada para simular la restricción total del desplazamiento horizontal a partir de los 1.5cm.

Draft Samper 374808794-image77.png
Figura 61. Curva fuerza-desplazamiento para el apoyo elástico no-lineal.

A continuación se muestra el campo de desplazamientos obtenido de la simulación para distintos tiempos de exposición al fuego.

Draft Samper 374808794-image78.png
Figura 62. Campo de desplazamientos para 30 minutos de exposición.
Draft Samper 374808794-image79.png
Figura 63. Campo de desplazamientos para 60 minutos de exposición.
Draft Samper 374808794-image80.png
Figura 64. Campo de desplazamientos para 90 minutos de exposición.
Draft Samper 374808794-image81.png
Figura 65. Campo de desplazamientos para 120 minutos de exposición.
Draft Samper 374808794-image82.png
Figura 66. Campo de desplazamientos para 150 minutos de exposición.
Draft Samper 374808794-image83.png
Figura 67. Campo de desplazamientos para 180 minutos de exposición.
Draft Samper 374808794-image84.png
Figura 68. Campo de desplazamientos para 210 minutos de exposición.
Draft Samper 374808794-image85.png
Figura 69. Campo de desplazamientos para 240 minutos de exposición.

A continuación se muestra la deformada obtenida de la simulación para un tiempo de exposición al fuego de 240 minutos.

Draft Samper 374808794-image86.png
Figura 70. Deformada del panel para 240 minutos de exposición.

En la Figura 71 se muestra el campo de desplazamientos en la dirección x obtenido de la simulación para distintos tiempo de exposición al fuego de 240 minutos.

En la Figura 72 se muestra la curva de evolución en el tiempo del desplazamiento máximo lateral del panel considerando fisuración y sin considerarla. Puede observarse que ambos curvas son casi coincidentes hasta que la curva con fisuración pierde convergencia.

Draft Samper 374808794-image87.png
Figura 71. Desplazamiento en dirección x para 240 minutos de exposición.
Draft Samper 374808794-image88.png
Figura 72. Evolución del desplazamiento lateral en el centro de panel.

En la Figura 73 se muestra las reacciones horizontales que se generan por efecto de la restricción. La suma total de reacciones horizontales es de 1.07MN.

Draft Samper 374808794-image89.png
Figura 73. Diagrama de reacciones horizontales a 90 minutos de exposición.

4.4 Simulación 3: Panel con restricción parcial

Para tener en cuenta la restricción parcial del desplazamiento horizontal en los extremos del panel a partir de los 1.5cm, se han asignado apoyos elásticos no-lineales como se indica en la siguiente figura.

Draft Samper 374808794-image76.png
Figura 74. Asignación de apoyos elásticos no-lineales.

En la Figura 61 se muestra la curva fuerza-desplazamiento adoptada para simular la restricción total del desplazamiento horizontal a partir de los 1.5cm. Estos valores se corresponden con una rigidez horizontal de 4000 kN/m indicada en la Tabla 9.

Draft Samper 374808794-image90.png
Figura 75. Curva fuerza-desplazamiento para el apoyo elástico no-lineal.

A continuación se muestra el campo de desplazamientos obtenido de la simulación para distintos tiempos de exposición al fuego.

Draft Samper 374808794-image91.png
Figura 76. Campo de desplazamientos para 30 minutos de exposición.
Draft Samper 374808794-image92.png
Figura 77. Campo de desplazamientos para 60 minutos de exposición.
Draft Samper 374808794-image93.png
Figura 78. Campo de desplazamientos para 90 minutos de exposición.
Draft Samper 374808794-image94.png
Figura 79. Campo de desplazamientos para 120 minutos de exposición.
Draft Samper 374808794-image95.png
Figura 80. Campo de desplazamientos para 150 minutos de exposición.
Draft Samper 374808794-image96.png
Figura 81. Campo de desplazamientos para 180 minutos de exposición.
Draft Samper 374808794-image97.png
Figura 82. Campo de desplazamientos para 210 minutos de exposición.
Draft Samper 374808794-image98.png
Figura 83. Campo de desplazamientos para 240 minutos de exposición.

A continuación se muestra la deformada obtenida de la simulación para un tiempo de exposición al fuego de 240 minutos.

Draft Samper 374808794-image99.png
Figura 84. Deformada del panel para 240 minutos de exposición.

En la Figura 71 se muestra el campo de desplazamientos en la dirección x obtenido de la simulación para distintos tiempo de exposición al fuego de 240 minutos.

En la Figura 72 se muestra la curva de evolución en el tiempo del desplazamiento máximo lateral del panel.

Draft Samper 374808794-image100.png
Figura 85. Desplazamiento en dirección x para 240 minutos de exposición.
Draft Samper 374808794-image101.png
Figura 86. Evolución del desplazamiento lateral en el centro de panel.

5. Conclusiones

El panel de lana de roca de 20 cm y 10 m de longitud presenta una gran deformabilidad al exponerse a la acción del fuego. El desplazamiento máximo lateral varía en función del grado de restricción de los extremos del panel. Para el caso en que no exista restricción el desplazamiento máximo lateral es de 92 cm. Para el caso en que la restricción sea total dicho desplazamiento es de 22 cm.

Sin embargo para que la restricción total sea efectiva es necesario que el pilar de borde sea capaz de absorber una carga de 1.07MN por metro de altura del pilar sin mostrar prácticamente desplazamientos. El pilar de borde utilizado típicamente (Figura 22) no tiene la rigidez suficiente como para absorber dicha carga sin deformarse apreciablemente. Esto se evidencia en los resultados obtenidos de la simulación 3, donde se observa que el desplazamiento máximo lateral es de 83 cm.

El canto del panel en contacto con el pilar de borde se desplaza como una línea recta (Figura 85). El pilar de borde acompañara el desplazamiento del panel debido a su gran rigidez. De esta manera, el panel quedará siempre dentro de la guía del pilar de borde sin verse afectada su estabilidad lateral.

Deberá analizarse para cada aplicación en particular si el desplazamiento máximo lateral de 83 cm cumple con los requerimientos exigidos.

En la Figura 87 se muestra a título informativo la evolución en el tiempo del desplazamiento máximo lateral para paneles de 6 y 8m.

Draft Samper 374808794-image102.png
Figura 87. Evolución del desplazamiento máximo lateral para paneles de 6 y 8m.


6. Referencias

[1] Eurocódigo 2 - Proyectos de estructuras de hormigón, Asociación Española de Normalización y Certificación (AENOR), Madrid, Año 1998.

[2] Vladislovas Kersulis, Ivan Gnip, Saulius Vaitkus, Sigitas Vejelis The Analysis of Interlaboratory Testing Results of Rock Wool Products. Material Science, Vol. 15 (4), Año 2009.

[3] N. Dauchez, M. Etchessahar, S. Sahraoui, On measurement of mechanical properties of sound absorbing materials, "2nd Biot Conference on Poromechanics”, Grenoble Francia, Año 2002.

[4] N. Atalla Andr. Panneton, F. C. Sgard and X. Olny, Acoustic absorption of macro-perforatedporous materials, Journal of Sound and vibration, 243 (4), 659-678. Año 2001.

[5] Pagina web de la companía Rockwool: www.rockwool.com

[6] Eurocode 2, Design of concrete structures, Part 1-2: General rules - structural fire design, ENV 1992-1-2, 1995.

Back to Top

Document information

Published on 01/01/2011

Licence: CC BY-NC-SA license

Document Score

0

Views 287
Recommendations 0

Share this document

claim authorship

Are you one of the authors of this document?