Abstract

The annual and seasonal trends in pan evaporation in the lower Yellow River Basin based on quality-controlled data from 10 meteorological stations in 1961–2010 are analyzed. The causes for the changes in annual and seasonal pan evaporation are also discussed. The results suggest that, despite the 1.15°C increasing in annual mean surface air temperature over the past 50 years (0.23°C per decade), the annual pan evaporation has steadily declined by an average rate of −7.65 mm per year. By comparison, this change is greater than those previously reported in China. Significant decreasing trends in annual pan evaporation have been observed at almost all stations. As a whole, seasonal pan evaporation decreased significantly, especially in summer, whereas seasonal temperature increased significantly, except in summer. Thus, the pan evaporation paradox exists in the lower Yellow River Basin. The trend analysis of other meteorological factors indicates significant decrease in sunshine duration and wind speed, but no significant variations in precipitation and relative humidity at annual and seasonal time scales. By examining the relationship between precipitation and pan evaporation, it did not show a concurrent decrease in pan evaporation and increase in precipitation. The partial correlation analysis discovered that the primary cause of decrease in annual and seasonal pan evaporation is the decrease in wind speed. A further examination using a stepwise regression shows that decrease in wind speed and sunshine duration, and increase in mean temperature are likely to be the main meteorological factors affecting the annual and seasonal pan evaporation in the lower Yellow River Basin over the past 50 years.

Keywords

lower Yellow River Basin ; pan evaporation ; trend ; meteorological factors

1. Introduction

It is believed that an increase in pan evaporation is one of the expected consequences of global warming. However, many observations across the world presented a significant rise in temperature but a significant decline in pan evaporation, which is known as the pan evaporation paradox. With increasing concerns of global warming, trends in pan evaporation have been investigated across the world over different climate regions resulting in diverse conclusions, which showed that decreasing and increasing trends in pan evaporation are coexisting. Increasing trends have been reported in Israel’s central coastal plain [ Cohen et al., 2002 ], northeast of Brazil [ Vicente and Rodrigues, 2004 ], and the Liaohe Delta in Northeast China [ Ji and Zhou, 2011 ]. However, Many observations showed that measured pan evaporation has decreased over the past several decades in many countries, such as the USA and the former Soviet Union [ Peterson et al ., 1995  ;  Golubev et al ., 2001 ], Australia [ Roderick and Farquhar, 2004 ], Japan [ Jun et al., 2004 ], Thailand [ Taichi et al ., 2005  ;  Limjirakan and Limsakul, 2012 ], Canada [ Burn and Hesch, 2007 ], India [ Jhaiharia et al., 2009 ], Italy [ Moonen et al., 2002 ], New Zealand [ Roderick and Farquhar, 2005 ], and China [ Qiu et al ., 2003  ; Liu et al ., 2010  ; Liu et al ., 2011  ; Shen et al ., 2010  ;  Yang and Yang, 2012 ]. These trends are opposite to the expectation that the global warming will be accompanied by an increase in terrestrial evaporation, which is hypothesized to be related to rising temperature [ Fu et al., 2009 ]. Paradoxically, the observed trends across the world have been steadily decreasing over the last half century [ Limjirakan and Limsakul, 2012 ]. This contrary fact between expected and observed trends of pan evaporation is known as the pan evaporation paradox. Up to date, this puzzling phenomenon has drawn great attention of many scientists to identify what meteorological factors have caused the observed decreasing trends despite the increase in temperature [ Roderick et al ., 2007  ; Cao et al ., 2005  ; McVicar et al ., 2012  ;  Yang and Yang, 2012 ]. It has been reported that the decrease in observed pan evaporation is not determined only by temperature [ Ohmura and Wild, 2002  ;  Limjirakan and Limsakul, 2012 ]. Recent studies have demonstrated major potential causes of the decrease in pan evaporation, which included the widespread decrease in solar radiation and wind speed [ Jhaiharia et al ., 2009  ; Roderick et al ., 2007  ; Cong et al ., 2009  ; Liu et al ., 2010  ; Limjirakan and Limsakul, 2012  ;  McVicar et al ., 2012 ]. It could be concluded that the magnitude of the trends in pan evaporation and the determining factors vary greatly in different regions. Therefore, an additional analysis of existing pan evaporation data in different regions especially small scale region is undoubtedly important to better understand the trends in pan evaporation under global warming.

The Yellow River is the second largest river in China, and of great significance to the economy of the region and the whole nation. The lower Yellow River Basin is surrounded by the North China Plain in the north and west, by hills in the south, and by the Shandong Peninsula in the east. The regional climate is highly dependent on the surrounding climate systems from both high and low latitudes, being regarded as part of the warm temperate zone with semi-arid to semi-humid monsoon climate. The lower Yellow River turned into a hanging river due to the slowing of the streamflow and the depositing of sediment [ Cao et al., 2005 ]. Because of the changes in land-use and the warming climate, the runoff into the river has decreased [ Yang and Yang, 2012  ;  Xu and Zhang, 2006 ]. Meanwhile, agricultural and industrial water consumption has more than doubled with the development of the economy and society. The streamflow has reduced so much that no-flow and nearly no-flow events occur frequently [ Yang et al ., 2000  ;  Xu and Zhang, 2006 ]. Water availability in the lower Yellow River Basin is one of the most important factors determining the crop productivity (e.g., winter wheat) and local hydrological cycle of the whole region. The lower Yellow River Basin, as part of the Yellow River water irrigation district, often suffered droughts during the past several decades which regularly devastated the agricultural activities. Pan evaporation is one of the most important climatic parameters in the hydrological cycle, and is often applied to estimate terrestrial evaporation and water requirements. Influenced by changes in environmental conditions, changes in pan evaporation are affecting the balances of water and energy budget. Changes in annual and seasonal pan evaporation are of great significance in water resource planning, in estimating crop water requirements for irrigation, and in forecasting agricultural production [ Jhaiharia et al ., 2009  ; Lowe et al ., 2009  ;  Wang et al ., 2009 ]. The objectives of this study are to discover the trends in pan evaporation in the lower Yellow River Basin and to identify the meteorological factors (temperature, humidity, wind speed, sunshine duration, and precipitation) which may cause the changes in pan evaporation. This will help to better understand the responses of pan evaporation to climate change and to provide suitable water regulations.

2. Study area and methods

2.1. Study area

The study area is located in the lower Yellow River Basin (113°32’-119°03’E, 34°50, -37°56, N) in eastern China, which covers an area of approximately 23,000 km2 and takes up about 3% of the whole Yellow River Basin (Fig. 1 ). The lower Yellow River Basin mainly consists of homogeneous alluvial plains, and most of it has an elevation of less than 100 m. The climate is temperate continental monsoon climate with the annual mean temperature of 13.6°C. The precipitation mainly occurs in summer with a mean annual precipitation of 639 mm. Throughout the lower Yellow River Basin, the annual pan evaporation ranges from 1,600 to 2,000 mm; the annual wind speed varies from 1.8 to 2.8 m s−1 ; the annual sunshine duration varies from 2,100 to 2,600 h; the annual relative humidity ranges from 62% to 70%.


Spatial location of (a) the lower Yellow River Basin, and (b) the meteorological ...


Figure 1.

Spatial location of (a) the lower Yellow River Basin, and (b) the meteorological stations

The meteorological data of 10 stations were collected by the Henan Climate Center and the Shandong Climate Center. The 10 sites have the same record length of the various meteorological parameters from 1961 to 2010. The location details of the selected 10 sites for this research are given in Table 1 .

Table 1. Details of the 10 meteorological stations
Name Latitude (N) Longitude (E) Altitude above sea level pressure (m)
Binzhou 37°21’ 118°00’ 12.2
Changyuan 35° 12’ 114°39’ 61.6
Dongping 35° 55’ 116°24’ 44.0
Fengqiu 35°01’ 114° 25’ 69.6
Laiwu 36° 13’ 117°40’ 229.3
Pingyin 36° 15’ 116°25’ 79.9
Puyang 35°42’ 115°01 53.7
Tai’an 36° 10’ 117°09’ 128.6
Xintai 35° 52’ 117°46’ 224.0
Yuanyang 35°02 113° 57’ 76.6

2.2. Data

The original observations of the 10 meteorological stations in the lower Yellow River Basin include daily pan evaporation, precipitation, sunshine duration, mean temperature, relative humidity, and mean wind speed from 1961 to 2010. The data of pan evaporation is measured with a standard evaporation pan of 20 cm diameters which has been adopted since 1961. The pan evaporation is measured based on the water balance. The amount of daily pan evaporation is calculated by the following steps: water is filled into the pan at 20:00 Beijing local time, and after 24 h the remaining water in the pan is measured. The actual water loss is measured as daily pan evaporation. Precipitation is simultaneously observed during the past 24 h. If there is precipitation, it will be added into the evaporation measurement. Daily mean wind speed is recorded by an automatic anemoscope 10 m above ground. Daily relative humidity, defined as the ratio of the actual to the saturated vapor pressure, is recorded by an automatic hygrometer 1.5 m above ground. The daily sunshine duration are defined as the hours when the solar radiant intensity exceeds 120 W m−2 , and is measured by an automatic sunshine recorder. The annual or seasonal mean temperature, wind speed, and relative humidity are the average of the daily values.

2.3. Method

For the four seasons, spring is defined as March to May, summer as June to August, autumn as September to November, and winter as December to February in next year. Trends in annual and seasonal pan evaporation and other meteorological factors are determined through the linear regression, a commonly used parametric method. The statistical significance is expressed by using the t-test.

Partial correlation and stepwise regression analysis between annual or seasonal pan evaporation and other meteorological factors are adopted to detect important factors which can be linked to the variation in pan evaporation. The annual and seasonal pan evaporation for all 10 stations along with annual and seasonal values of other meteorological factors are directly integrated into the calculation of the partial correlation and stepwise regression analysis by using the SPSS [ Norusis, 1988 ], a commercial software for statistics analysis.

3. Results

3.1. Trends in annual and seasonal pan evaporation

The average annual pan evaporation ranges from 1,621.4 mm for Changyuan to 2,017.0 mm for Pingyin (1961–2010 mean). In Figure 2 , decreasing trends in annual pan evaporation of the 10 meteorological stations from 1961 to 2010 are observed. The lines and the related equations in the figures indicate the direction and significance of the trends in annual pan evaporation. Interestingly, statistically significant decreasing trends in annual pan evaporation are found for 7 out of 10 meteorological stations at the 95% confidence level (Binzhou, Changyuan, Dongping, Fengqiu, Pingyin, Puyang, and Yuanyang). The magnitude of the decreasing trends in annual pan evaporation varied from −13.2 mm per year for Yuanyang to −6.6 mm per year for Binzhou. The remaining 3 meteorological stations, all located in Shandong province (Laiwu, Xintai and Tai’an), display no statistically significant annual trends. When averaged over all 10 meteorological stations, the trend in annual pan evaporation shows a significant decreasing at a rate of −7.65 mm per year from 1961 to 2010 (Fig. 3 ). The trends in regional-mean seasonal pan evaporation are calculated as averages of the 10 meteorological stations. The regional-mean seasonal pan evaporation display statistically significant decreasing trends (Fig. 4 ). Among the four seasons, the decreasing rate in summer (-3.7 mm per year) is the greatest. The trend in pan evaporation is lowest in winter and highest in both summer and spring (Fig. 4 ).


Variations in annual pan evaporation at each meteorological station in the lower ...


Figure 2.

Variations in annual pan evaporation at each meteorological station in the lower Yellow River Basin from 1961 to 2010


Variations in annual pan evaporation averaged over the lower Yellow River Basin ...


Figure 3.

Variations in annual pan evaporation averaged over the lower Yellow River Basin from 1961 to 2010


Variations in seasonal pan evaporation averaged over the lower Yellow River ...


Figure 4.

Variations in seasonal pan evaporation averaged over the lower Yellow River Basin from 1961 to 2010

Liu et al. [2010 ] suggested that there were both decreasing and increasing trends in pan evaporation in the Yellow River Basin. However, the percentage of stations with decreasing trends is more than 70%, and the average trend of the whole basin is −3.2 mm per year during 1959–2000. We did not discover any increasing trend at the 10 stations. The magnitude of the decreasing trend in the lower Yellow River Basin is larger than for the whole Yellow River Basin, and also higher than the trend of −3.1 mm per year for whole China reported by Yang and Yang [2012 ].

3.2. Trends in annual and seasonal mean temperature, precipitation, sunshine duration, relative humidity, and wind speed

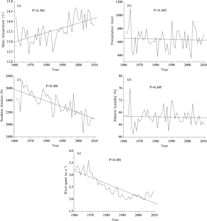
Trends in annual mean temperature, precipitation, sunshine duration, relative humidity, and wind speed for the 10 stations are shown in Table 2 . The characteristics of meteorological factors in this region are spatially homogeneous and show widespread significant warming trends, which support the general aspects of increase in mean temperature in China as reported by Yang and Yang [2012] . At almost all sites (9 out of 10), the annual mean temperature showed significant increasing trends at 95% confidence level or higher. Overall, the mean temperature in this region increased significantly at the rate of 0.23°C per decade (Fig. 5 ). Therefore, we conclude that the pan evaporation paradox also exists in the lower Yellow River Basin.

Table 2. Trends in annual meteorological factors for each meteorological station from 1961 to 2010
Station Temperature (°C per decade) Precipitation (mm per decade) Sunshine duration (h per decade) Relative humidity (% per decade) Wind speed (m s−1 per decade)
Binzhou 0.25** −10.4 −118.7** −0.42 −0.17**
Changyuan 0.23** −8.3 −134.6** −0.43 −0.41**
Dongping 0.31** −9.1 −31.7* −1.01** −0.24**
Fengqiu 0.13* −8.2 −103.7** 0.47 −0.49**
Laiwu 0.28** −7.1 −110.1** −0.39 −0.14**
Pingyin 0.28** −14.8 −58.5* −0.32 −0.23**
Puyang 0.14** −5.0 −144.7** 0.43 −0.37**
Tai’an 0.23** −9.3 −76.7** 0.01 −0.03
Xintai 0.39** −1.3 −88.1** −0.37 −0.16**
Yuanyang 0.06 11.9 −107.9** 0.94** −0.48**

Note:

  • . and
    • . denote statistically significant at the 95% and 99% confidence level, respectively


Variations in annual meteorological factors averaged over the lower Yellow River ...


Figure 5.

Variations in annual meteorological factors averaged over the lower Yellow River Basin during 1961–2010

Further results from the available meteorological data reveal significant decrease in annual sunshine duration and annual wind speed for the past 50 years. Note that all stations show a significant decline in annual sunshine duration and annual wind speed, except for Tai’an. The region-averaged annual sunshine duration and annual wind speed decreased significantly at the rate of 97.5 h per decade and 0.27 m s−1 per decade, respectively (Fig. 5 ).

The annual mean relative humidity shows statistically significant decreasing trend only in Dongping. A significant increase is found in Yuanyang (Table 2 ). Trends in annual precipitation and relative humidity averaged over all stations show no significance (Fig. 5 ). The annual mean temperature at the 10 stations across the study area suggests an opposite trend as pan evaporation, while sunshine duration and wind speed present a coherent trend with pan evaporation.

In Table 3 , the trends in seasonal time series are listed for mean temperature, precipitation, sunshine duration, relative humidity, and wind speed. Significant increasing trends in mean temperature are observed, except in summer, with the highest in winter. Trends calculated for seasonal precipitation and relative humidity are not significant in all seasons. Seasonal sunshine duration and wind speed decreased significantly in all of the four seasons. The trend in sunshine duration is the highest in summer at a rate of −41.3 h per decade. The trend in wind speed is the highest in spring at a rate of-0.32 m s−1 per decade. For the seasonal variations, there are rise in temperature and decline in pan evaporation except in the summer season, and the coherent trends in sunshine duration, wind speed, and pan evaporation.

Table 3. Trends in seasonal meteorological factors averaged over the lower Yellow River Basin during 1961–2010
Season Temperature (°C per decade) Precipitation (mm per decade) Sunshine duration (h per decade) Relative humidity (% per decade) Wind speed (m s−1 per decade)
Spring 0.26** 1.7 −13.1* 0.07 −0.32**
Summer −0.01 −0.1 −41.3** 0.50 −0.22**
Autumn 0.20** −7.9 −22.9** −0.64 −0.24**
Winter 0.50** −0.1 −24.0** −0.42 −0.31**

Note: The same as Table 2

Yang and Yang [2012] detected a warming trend of 0.27°C per decade for 54 stations across China from 1961 to 2001, which is close to our result (0.23°C per decade). However, it is greater than the global average increase (0.13°C per decade) [ IPCC, 2007 ]. Thus, the annual mean temperature in this area shows a strong increase. We detected a −0.27 m s−1 per decade trend in wind speed at 10 stations from 1961 to 2010, which is greater than those reported in previous studies, such as −0.20 m s−1 per decade by Xu et al. [2006] , −0.18 m s−1 per decade by Guo et al. [2011] and −0.15 m s−1 per decade by Yang and Yang [2012] .

3.3. Influence of meteorological factors on pan evaporation

In order to identify the dominant meteorological factors associated with annual and seasonal changes in pan evaporation and their contributions, the partial correlation and the stepwise regression methods are applied. The partial correlation coefficients (Table 4 ) reveal that the largest statistical correlation is found between wind speed and pan evaporation, except in summer, with the greatest partial correlation coefficient of 0.631 for annual time series, 0.727 for spring, 0.554 for autumn, and 0.689 for winter. This is followed by the second greatest statistical correlation between relative humidity and pan evaporation, then, sunshine duration or mean temperature. However, no statistical correlations are discovered between precipitation and pan evaporation, except in autumn. Thus, it is concluded that wind speed (for annual, spring, autumn, and winter) and relative humidity (for summer) are the most important meteorological factors relating to the trends in pan evaporation. Changes in relative humidity are minor, which may suggest that changes in relative humidity are generally too small to affect pan evaporation. Wind speed decreased obviously at annual and seasonal time scales, thus, it became the dominant factor influencing the trends in pan evaporation. In this study, the effects of sunshine duration and wind speed on pan evaporation at annual and seasonal time scales are positive.

Table 4. Partial correlations between annual pan evaporation and other annual meteorological factors from 1961 to 2010
Control parameter Annual Spring Summer Autumn Winter
P, S, W, RH 0.228** 0.287** 0.226** 0.295** 0.470**
T, S, W, RH −0.086 −0.029 0.027 −0.152** −0.060
T, P, W, RH 0.297** 0.207** 0.389** 0.369** 0.096*
T, P, S, RH 0.631** 0.727** 0.469** 0.554** 0.689**
T, P, S, W −0.459** −0.582** −0.534** −0.519** −0.507**

Note: T, P, S, RH, and W denote mean temperature, precipitation, sunshine duration, relative humidity, and wind speed, respectively.

  • . and
    • . denote statistically significant at the 95% and 99% confidence level, respectively

A further examination with the stepwise regression is performed, to evaluate the relative importance of independent meteorological factor (mean temperature, precipitation, sunshine duration, relative humidity, and wind speed) on annual and seasonal trends in pan evaporation. A comparison of the standardized coefficients is provided in Table 5 . For annual, spring, and winter, wind speed appears to be the most important factor contributing to changes in pan evaporation with standardized coefficients of 0.543, 0.551 and 0.572, respectively, which is in agreement with the results of the partial correlation analysis. Relative humidity seems to be the most important meteorological factor in summer and autumn contributing to changes in pan evaporation, with standardized coefficients of −0.421 and −0.469, respectively. For annual, spring, summer, and winter, the decreasing trends in pan evaporation might come from the combined effects of wind speed, relative humidity, sunshine duration and mean temperature. For autumn, decreases in pan evaporation are influenced by mean temperature, precipitation, sunshine duration, relative humidity and wind speed. Because the changes in relative humidity and precipitation are not significant, the annual and seasonal decreases in pan evaporation are mainly due to the decreasing in wind speed and sunshine duration, and the increasing in mean temperature. It could be found that decreases in wind speed and sunshine duration collectively offset the effect of temperature increasing on annual and seasonal increase in pan evaporation in this region. Above all, changes in annual and seasonal pan evaporation are comprehensively impacted by the three climatic factors. Liu et al. [2010] suggested that the changes in wind speed contributed to a larger magnitude of the changes in pan evaporation in the Yellow River Basin. Yin et al ., 2010  ;  Shen et al ., 2010 , and Yang and Yang [2012] revealed that the primary causes are decreasing wind speed in North China. Their results are consistent with our results that the main causes of the declining pan evaporation are the decreasing in wind speed. Xu et al. [2007] argued that the decreasing in pan evaporation in the Yellow River Basin resulted from complex changes in air temperature, relative humidity, solar radiation, and wind speed, which is similar to our results from the stepwise regression in the lower Yellow River Basin.

Table 5. Results of the stepwise regression
Time scale Factor entered Standardized coefficients
Annual W 0.543
RH −0.380
S 0.272
T 0.195
Spring W 0.551
RH −0.530
S 0.146
T 0.157
Summer W 0.320
RH −0.421
S 0.271
T 0.140
Autumn W 0.410
RH −0.469
S 0.290
T 0.188
P −0.106
Winter W 0.572
RH −0.537
S 0.083
T 0.357

Note: T, P, S, RH, and W are same as Table 4

4. Conclusions

The pan evaporation, is influenced by water and energy conditions, which are combined effects of different meteorological factors. The linear trends in annual and seasonal pan evaporation and other related meteorological factor were evaluated by linear regression, and the causes for the changes in annual and seasonal pan evaporation were discussed for the lower Yellow River Basin during 1961–2010. The results suggest a broad general pattern of decreasing trends in pan evaporation in the lower Yellow River Basin over the past 50 years at both annual and seasonal time scales. The pan evaporation paradox does exist in this region. Significant increasing trends in mean temperature were detected at annual and seasonal time scales, except for summer. Statistically significant downward trends in sunshine duration and wind speed have been discovered at annual and seasonal time scales. However, no statistically significant trends in annual and seasonal precipitation and relative humidity were observed. The concurrent occurrence of decrease in pan evaporation and increase in precipitation has not been discovered. Based on partial correlation and the stepwise regression analysis to find the causing mechanisms of annual and seasonal changes in pan evaporation, among all five meteorological factors, the decrease in wind speed appeared to be the dominant meteorological factor related to the decrease in pan evaporation. The combined effects of decreasing in wind speed and sunshine duration, and increasing in mean temperature, are the main causes for the decrease in pan evaporation in the lower Yellow River Basin over the past 50 years. This study discovered the causes of the declining in pan evaporation, which is vital for the lower Yellow River Basin’s hydrological cycle and water management under the background of global change.

Acknowledgements

This research was supported by the Climate Change Science Foundation of China Meteorological Administration (No. CCSF2011-1). The Henan Climate Center and the Shandong Climate Center are appreciated by the authors for providing meteorological data. The authors would like to give many thanks to the anonymous reviewers for their valuable suggestions and comments on the original manuscript, and also to the editors for their hard work to improve this paper.

References

  1. Burn and Hesch, 2007 D.H. Burn, N.M. Hesch; Trends in evaporation for the Canadian Prairies; Journal of Hydrology, 336 (2007), pp. 61–73
  2. Cao et al., 2005 J.-F. Cao, X.-Y. Ye, J.-Y. Jiang, et al.; Influences of the Yellow River downstream breaking on groundwater resources of the watershed; Resources Science (in Chinese), 27 (5) (2005), pp. 77–83
  3. Cohen et al., 2002 S. Cohen, A. Ianetz, G. Stanhill; Evaporative climate changes at Bet Dagan, Israel, 1964–1998; Agricultural and Forest Meteorology, 111 (2) (2002), pp. 83–91
  4. Cong et al., 2009 Z.-T. Cong, D.-W. Yang, G.-H. Ni; Does evaporation paradox exist in China?; Hydrology and Earth System Sciences, 13 (2009), pp. 357–366
  5. Fu et al., 2009 G.-B. Fu, S.P. Charles, J.-J. Yu; A critical overview of pan evaporation trends over the last 50 years; Climatic Change, 97 (2009), pp. 193–214
  6. Golubev et al., 2001 V. Golubev, J.H. Lawrimore, P.Y. Groisman, et al.; Evaporation change over the contiguous United States and the former USSR: A reassessment; Geophysical Research Letters, 28 (13) (2001), pp. 2665–2668
  7. Guo et al., 2011 H. Guo, M. Xu, Q. Hu; Changes in near-surface wind speed in China: 1969–2005; International Journal of Climatology, 31 (2011), pp. 349–358
  8. IPCC, 2007 IPCC; S.D. Solomon (Ed.), et al. , Climate Change 2007: The Physical Science Basis. Contribution of Working Group I to the Fourth Assessment Report of the Intergovernmental Panel on Climate Change, Cambridge University Press (2007), p. 996
  9. Jhaiharia et al., 2009 D. Jhaiharia, S.K. Shrivastava, D. Sarkar, et al.; Temporal characteristics of pan evaporation trends under the humid conditions of northeast India; Agricultural and Forest Meteorology, 149 (5) (2009), pp. 763–770
  10. Ji and Zhou, 2011 Y.-H. Ji, G.-S. Zhou; Important factors governing the incompatible trends of annual pan evaporation: Evidence from a small scale region; Climatic Change, 106 (2) (2011), pp. 303–314
  11. Jun et al., 2004 A. Jun, K. Hideyukin, M. Lu; Pan evaporation trends in Japan and its relevance to the variability of the hydrological cycle; Tenki, 51 (9) (2004), pp. 667–678
  12. Limjirakan and Limsakul, 2012 S.C. Limjirakan, A. Limsakul; Trends in Thailand pan evaporation from 1970 to 2007; Atmospheric Research, 108 (2012), pp. 122–127
  13. Liu et al., 2010 Q. Liu, Z. Yang, X. Xia; Trends for pan evaporation during 1959–2000 in China; Procedia Environmental Sciences, 2 (2010), pp. 1934–1941 http://dx.doi.org/10.1016/j.proenv.2010.10.206
  14. Liu et al., 2011 X.-M. Liu, H.-X. Zhang, M.-H. Zhang, et al.; Identification of dominant climate factor for pan evaporation trend in the Tibetan Plateau; Journal of Geographical Sciences, 21 (4) (2011), pp. 594–608
  15. Lowe et al., 2009 L.D. Lowe, J.A. Webb, R.J. Nathan, et al.; Evaporation from water supply reservoirs: An assessment of uncertainty; Journal of Hydrology, 376 (1) (2009), pp. 261–274
  16. McVicar et al., 2012 T. McVicar, M. Roderick, R. Donohue, et al.; Global review and synthesis of trends in observed terrestrial near-surface wind speeds: Implications for evaporation; Journal of Hydrology, 416–417 (2012), pp. 182–205
  17. Moonen et al., 2002 A.C. Moonen, L. Ercoli, M. Mariotti, et al.; Climate change in Italy indicated by agrometeorological indices over 122 years; Agricultural and Forest Meteorology, 111 (1) (2002), pp. 13–27
  18. Norusis, 1988 M.J. Norusis; SPSS User’s Manuals; SPSS (1988)
  19. Ohmura and Wild, 2002 A. Ohmura, M. Wild; Is the hydrological cycle accelerating?; Science, 298 (5597) (2002), pp. 1345–1346
  20. Peterson et al., 1995 T. Peterson, V. Golubev, P. Groisman; Evaporation losing its strength; Nature, 377 (6551) (1995), pp. 687–688
  21. Qiu et al., 2003 X.-F. Qiu, C.-M. Liu, Y. Zeng; Changes of pan evaporation in the recent 40 years over the Yellow River Basin; Journal of Natural Resources (in Chinese), 18 (4) (2003), pp. 437–442
  22. Roderick and Farquhar, 2004 M.L. Roderick, G.D. Farquhar; Changes in Australian pan evaporation from 1970 to 2002; International Journal of Climatology, 24 (9) (2004), pp. 1077–1090
  23. Roderick and Farquhar, 2005 M.L. Roderick, G.D. Farquhar; Changes in New Zealand pan evaporation since the 1970s; International Journal of Climatology, 25 (15) (2005), pp. 2031–2039
  24. Roderick et al., 2007 M.L. Roderick, L.D. Rotstayn, G.D. Farquhar, et al.; On the attribution of changing pan evaporation; Geophysical Research Letters, 34 (17) (2007) http://dx.doi.org/10.1029/2007GL031166
  25. Shen et al., 2010 Y.-J. Shen, C.-M. Liu, M. Liu, et al.; Change in pan evaporation over the past 50 years in the arid region of China; Hydrological Processes, 24 (2) (2010), pp. 225–231
  26. Taichi et al., 2005 T. Taichi, Y. Junichi, S. Chanchai; Time-space trend analysis in pan evaporation over Kingdom of Thailand; Journal of Hydrologic Engineering, 10 (3) (2005), pp. 205–215
  27. Vicente and Rodrigues, 2004 P. Vicente, S. Rodrigues; On climate variability in Northeast of Brazil; Journal of Arid Environments, 58 (4) (2004), pp. 575–596
  28. Wang et al., 2009 Z.-Y. Wang, Z.-X. Liu, Z.-X. Zhang, et al.; Subsurface drip irrigation scheduling for cucumber (Cucumis sativus L.) grown in solar greenhouse based on 20 cm standard pan evaporation in Northeast China  ; Scientia Horticulturae, 123 (1) (2009), pp. 51–57
  29. Xu et al., 2006 M. Xu, C.-P. Chang, C.-B. Fu, et al.; Steady decline of east Asian monsoon winds, 1969–2000: Evidence from direct ground measurements of wind speed; Journal of Geophysical Research, 111 (D24) (2006) http://dx.doi.org/10.1029/2006JD007337
  30. Xu and Zhang, 2006 Z.-X. Xu, N. Zhang; Long-term trend of precipitation in the Yellow River Basin during the past 50 years; Geographical Research (in Chinese), 25 (1) (2006), pp. 27–34
  31. Xu et al., 2007 Z.-X. Xu, J.-Y. Li, C.-M. Liu; Long-term trend analysis for major climate variables in the Yellow River Basin; Hydrological Processes, 21 (14) (2007), pp. 1935–1948
  32. Yang and Yang, 2012 H.-B. Yang, D.-W. Yang; Climatic factors influencing changing pan evaporation across China from 1961 to 2001; Journal of Hydrology, 414–415 (2012), pp. 184–193 http://dx.doi.org/10.1016/j.jhydrol.2011.10.043
  33. Yang et al., 2000 Z.-G. Yang, H.-C. Yang, X.-Q. Gu, et al.; Climatic background analysis of flow-break episode of lower reaches of Yellow River in recent years; Acta Meteorologica Sinica (in Chinese), 6 (58) (2000), pp. 751–758
  34. Yin et al., 2010 Y.-H. Yin, S.-H. Wu, G. Chen, et al.; Attribution analyses of potential evapotranspiration changes in China since the 1960s; Theoretical and Applied Climatology, 101 (1) (2010), pp. 19–28
Back to Top

Document information

Published on 15/05/17
Submitted on 15/05/17

Licence: Other

Document Score

0

Views 6
Recommendations 0

Share this document

claim authorship

Are you one of the authors of this document?