Abstract

Despite the various reports on the toxicity of clove oil and its major component eugenol, systematic evaluations on the safety of polyphenolic extracts of clove buds have not been reported. Considering the health beneficial pharmacological effects and recent use of clove polyphenols as dietary supplements, the present study investigated the safety of a standardized polyphenolic extract of clove buds (Clovinol), as assessed by oral acute (5 g/kg b.wt. for 14 days) and subchronic (0.25, 0.5 and 1 g/kg b.wt. for 90 days) toxicity studies on Wistar rats and mutagenicity studies employing Salmonella typhimurium strains. Administration of Clovinol did not result in any toxicologically significant changes in clinical/behavioural observations, ophthalmic examinations, body weights, organ weights, feed consumption, urinalysis, hematology and clinical biochemistry parameters when compared to the untreated control group of animals, indicating the no observed-adverse-effect level (NOAEL) as 1000 mg/kg b.wt./day; the highest dose tested. Terminal necropsy did not reveal any treatment-related histopathology changes. Clovinol did not show genotoxicity when tested on TA-98, TA-100 and TA-102 with or without metabolic activation; rather exhibited significant antimutagenic potential against the known mutagens, sodium azide, NPD and tobacco as well as against 2-acetamidoflourene, which needed metabolic activation for mutagenicity.

Keywords

Syzygium aromaticum ; Clove bud extract ; Polyphenol ; Subchronic toxicity ; Mutagenicity ; Genotoxicity

1. Introduction

The development and application of natural medicines and health promoting/guarding botanical agents is of great interest since thousands of years. Spices, a group of aromatic plants widely in use as food flavors and preservatives, constitute an important class of medicinal plants well-practiced in Indian and Chinese traditional systems of medicine. Modern scientific research has unraveled the medicinal secrets of spices and delineated their phytochemicals (phytonutrients) responsible for the health beneficial pharmacological activities [21] , [13]  and [32] . The dried flower buds of clove (Syzygium aromaticum L.), an evergreen tropical plant belonging to the family of Myrtaceae, is a popular kitchen spice possessing both food and medicinal applications. It is a rich source of essential oil [12–16% (v/w)] and phenolic compounds [8–12% (w/w) gallic acid equivalent] comprising hydrolysable tannins, phenolic acids and flavonoids [29] . Clove oil and its major component eugenol [70–85% (w/v)], exhibited several therapeutic effects including antibacterial, antifungal, analgesic, antispasmodic, anticarminative, antiseptic, and insecticidal effects in addition to their flavoring applications in food [6]  and [22] . Major pharmacological activities of clove oil and eugenol include antioxidant, anti-inflammatory, antidiabetic, hypolipidemic, antinociceptive, hepatoprotective, antiviral and anticancer properties [29] , [6]  and [22] . Recently, the nonvolatile polyphenols in clove buds were also shown to be bioactive and started using as dietary supplements [1] , [18]  and [20] . Aqueous and alcoholic extracts of clove buds rich in polyphenols, such as gallic acid, ellagic acid, tannins, flavonoids and their glycosides were reported to possess aphrodisiac, hypoglycemic, gastroprotective, anti-inflammatory and antithrombotic effects [1] , [18]  and [20] . However, no systematic studies on the oral toxicity of clove polyphenols are available to date, except a 28-days repeated dose toxicity analysis [18] .

The US Food and Drug Administration (FDA) has approved clove buds, clove oil and oleoresins as generally recognised as safe (GRAS) for use as food additives [38] . While the essential oil is mainly responsible for the characteristic pungency and aromatic flavor, the nonvolatile polyphenols provide bitterness and astringency. Clove oil and eugenol were classified as minimum risk pesticides by EPA and products containing them are exempted from the requirements of FIFRA [11] . Various acute and chronic toxicity studies of clove oil have reported an oral LD50 of 3597.5 mg/kg and has reported no adverse effects when tested for subchronic toxicity tests, with an NAOEL levels of 900–2000 mg/kg/day [33]  and [40] . Oral LD50 of eugenol was reported as 2650–3000 mg/kg b.wt. [33]  and [40] . Moreover, eugenol was shown to be rapidly absorbed, metabolized in the liver and eliminated within 24 h when consumed orally [9] .

However, scientific information on the safety assessment of clove buds or their polyphenol extracts exhibiting significant biological activity are rare, except a few studies with respect to testicular function in mice [28] and inhalation toxicity of clove cigarettes [26] . So, there exist a necessity of credible data on the toxicity aspects of bioactive and standardized extracts of clove buds to further exploit their functional applications in food, dietary supplements and medicine. Thus, the present study was aimed at the safety evaluation of a water soluble polyphenol rich extract powder of dried clove buds (hereinafter named as ‘Clovinol’ ), containing 41.2% gallic acid equivalent of polyphenols. Clovinol was reported to possess significant in vivo antioxidant, anti-inflammatory and gastroprotective activities in alcohol induced ulcerative rat model [18] . It has also been demonstrated to exert significant detoxification potential and cardiac health beneficial effects in human subjects, by significantly reducing the lipid peroxidation and enhancing the endogenous redox enzyme levels [20] .

2. Materials and methods

2.1. Preparation and characterization of ‘Clovinol’

Dried clove buds were received from a selected farm in Indonesia where clove trees are grown without using any pesticides or chemicals. The samples were identified by an authenticated botanist and a voucher specimen (AK-CLV-011) was deposited at the Herbarium of M/s Akay Flavours & Aromatics Ltd., Cochin, India. Clovinol was prepared by hydro-ethanolic extraction followed by purification and spray drying as reported earlier [18] and found to contain 41.2% gallic acid equivalent (GAE), when quantified by standard Folin–Ciocalteu test [34] . HPLC analysis was carried out on a Shimadzu model LC 20 AT, with M20A photo diode array (PDA) detector (Shimadzu Analytical India Pvt. Ltd., Mumbai, India), fitted with a reverse phase C18 column (250 × 4.6 mm, 3 μm) (Phenomenex, Hyderabad, India). Characterization of polyphenols was achieved by 1290 infinity ultra-performance liquid chromatography (UPLC) system coupled with Agilent 6530 QTOF instrument having a Jet Stream source (Agilent India Pvt. Ltd., Bangalore, India). Ammonium acetate (10 mM) in water (A) and methanol (B) was employed as the mobile phase with a Zorbax Eclipse Plus C18 (3.0 × 100 mm; 1.8 μm) column at 30 °C and 5 μL injection volume.

2.2. Animals

Adult Wistar rats (male and female) weighing 170 ± 20 g were used for the toxicological studies. The animals were procured from Veterinary College, Mannuthy, Kerala, India and were acclimatized for a period of 14 days in ventilated cages and housed at the animal house facility of M/s Amala Cancer Research Centre, Kerala, India, in an air-conditioned room at 22 ± 2 °C and relative humidity 60 ± 5% with 12 h light and dark cycle. All animal experiments were carried out in strict accordance with the ethical norms approved by the Institutional Animal Ethics Committee (IAEC) recognized by the Committee for the Purpose of Control and Supervision of Experiments on Animals (CPCSEA), Government of India (Registration No:149/99/CPCSEA). Animals were provided with pellet diet and water ad libitum.

2.3. Toxicity studies

2.3.1. Acute toxicity (14 days) study of ‘Clovinol’

Acute toxicity studies were initially performed to verify whether Clovinol produced any toxic effects when supplemented at the maximum recommended concentration. Clovinol was suspended in water and orally administered as a single dose at the limit dose of 5 g/kg b.wt. in a sequential manner. Forty rats were divided into four groups, with each group containing five animals per sex having similar weights (170 ± 20 g). Group I was the control (untreated), and Groups II, III and IV were administered with Clovinol at 1.0, 2.0 and 5.0 g/kg b.wt. respectively. All the animals were observed for mortality, clinical and behavioral signs for the first 10, 30, 60, 120, 240 and 360 min post dose, and thereafter twice daily for mortality and once daily for clinical signs during the study period of 14 days.

2.3.2. Subchronic toxicity (90 days) study of ‘Clovinol’

Forty Wistar rats (20 males and 20 females) of average weight between 150–200 g were selected by stratified randomization and then divided into four groups, each consisting of five males and five females of approximately the same body weight. Group I was the untreated control animals, administered with 1 mL of water; Group II, III and IV were orally administered with Clovinol at 0.25, 0.5 and 1.0 g/kg b.wt. respectively for 90 days. Clovinol was suspended in distilled water and orally administered to the animals using an oral feeding needle in such a way that all the animals received same volume of vehicle. The animals were monitored for any type of clinical symptoms, mortality, and adverse reactions during the study period. Body weight, food and water consumption were determined every week for 90 days and expressed for a single cage of five animals. After 90 days, the animals were sacrificed by cervical dislocation under ether anesthesia. Necropsy was performed in the presence of a veterinary doctor and examined visibly for any type of abnormalities. All the organs were separated and individual weight was recorded. The weight of brain, liver, stomach, kidney and spleen were recorded and expressed in relation to the final body weight. The tissue samples were fixed in 10% formalin, and embedded tissues were cut into slices of 2–4 μm and stained with hematoxylin and eosin for histopathological examinations with an optical microscope of 100 × magnifications (Olympus-Magnus trinocular microscope, Tokyo, Japan).

Blood was collected by direct heart puncture method into EDTA coated and non-EDTA vials for analyzing the hematological parameters and serum biochemistry. Red blood cells (RBCs) count, total and differential white blood cells (WBCs) count, platelet levels and hemoglobin (Hb) content were determined using hematology analyzer (Model-Diatron, Wein, Austria). Serum was separated by centrifuging at 5000 rpm for 10 min at −4 °C and was stored in a clean sample bottle at −20 °C for further analysis. The total bilirubin was determined as detailed by the Pearlman method [30] ; alkaline phosphatase (ALP) was estimated by p- nitrophenyl picolinate (PNNP) hydrolysis; alanine amino transferase (ALT) and aspartate aminotransferase (AST) were estimated using kinetic method kits supplied by M/s Raichem, India, using a Microlab 300 auto-analyzer (Merck, Mumbai, India); albumin was determined by its reaction with bromocresol green, and the total protein concentration was determined by the Biuret method [25] . Kidney function markers, such as creatinine and blood urea, were estimated by Jaffe’s kinetic and urease methods respectively [14] . The total cholesterol was estimated by the CHOD–PAP (cholesterol oxidase-phenol + aminophenazone) enzymatic method [10] ; triglycerides by the GPO–PAP (glycerol-3-phosphate oxidase—phenol + aminophenazone) method [8] and HDL cholesterol by precipitation with phosphotungistic acid. VLDL cholesterol was estimated by the Friedewald equation (VLDL = triglyceride/5) and LDL cholesterol by the equation LDL = total cholesterol − (HDL + VLDL). Serum sodium, potassium and bicarbonate were estimated using a flame photometer with an ion selective electrolyte analyzer. Chloride was estimated by the mercurous thiocyanate method using a kit from M/s Raichem, India.

2.4. Genotoxicity studies

2.4.1. Mutagenicity assay

Evaluation of the ability of Clovinol to induce reverse mutation at the histidine loci of various Salmonella typhimurium strains TA 98, TA 100 and TA 102 (Ames test) was conducted according to the standard procedures [3]  and [27] . Mutagenicity of Clovinol was done by plate incorporation method in the presence and absence of an exogenous metabolic activation system at four doses (0.5, 1, 2.5, 5 mg/plate), in triplicates for each dose. 2.5 μg sodium azide/plate dissolved in distilled sterile water was used as positive control. A plate without drug and mutagens was used as a negative control and 200 μL DMSO was used as the vehicle control. In the case of S9 mix activated group, acetamidofluorene (20 μg) was used as positive control. 2 mL top agar layer (0.6% agar and 0.5% NaCl) containing S. typhimurium strains, 0.5 mM histidine–biotin solution and different concentrations of Clovinol were shaken well and poured onto 25 mL of agar. The plates (triplicate) were incubated for 48 h at 37 °C, and revertant colonies were counted using a colony counter.

Rat liver microsomal enzyme was used for metabolic activation of mutagen in vitro[19] . Microsome P450 enzymes was induced in rat liver by oral administration of 0.1% phenobarbital dissolved in water for 4 days. The animals were sacrificed on the 5th day and the liver were excised aseptically and microsomal S9 fraction was prepared by centrifuging the homogenate at 9000 g for 15 min. Activation mixture was prepared by mixing S9 mix (500 μL) with sodium phosphate buffer (0.2 M, pH 7.4), NADP (0.1 M), glucose-6-phosphate (1 M, pH 7.4), MgCl2 –KCl (10 μL) in presence of mutagen, 2-acetamidoflourene (20 μg/plate) or different concentrations of Clovinol and bacterial strains TA 98 and TA 100. The fractions were incubated at 37 °C for 45 min. Further, it was mixed with 2 mL of molten top agar supplemented with histidine and biotin (0.05 mM). The mixture was shaken well and poured onto the surface of 25 mL of minimal agar. After 48 h incubation, the mutagenic response was evaluated by counting the revertant colonies per plate and comparing with the control groups. The test substance was considered to be mutagenic if there was a three- fold increase in the tester strains when compared to the negative control.

2.4.2. Antimutagenic activity of Clovinol

Antimutagenicity of Clovinol was tested against mutagens such as sodium azide, NPD and tobacco using S. typhimurium strains TA 100, TA 98 and TA 102 in triplicate [27]  and [23] . Concentrations of Clovinol used for evaluating the antimutagenicity were 0.25, 0.5 and 1 mg/plate. Clovinol was added to 2 mL of top agar at 45 °C (0.5% NaCl and 0.6% agar) containing 0.5 mM histidine-biotin, bacterial culture of 1–2 × 109 cells/mL (0.1 mL) and direct acting mutagens at concentrations mentioned above. It was mixed well and poured into minimal agar plates. After incubation at 37 °C, the number of histidine independent revertant colonies was counted using colony counter. The plates with mutagen alone acted as positive control and plates without test sample and mutagen were considered as negative controls or spontaneous revertants.

In the case of mutagen needing activation, 2-acetamidoflourene (2-AAF) (20 μg/plate), Salmonella strains TA 98 or TA 100, different concentrations of Clovinol, 0.1 mL bacteria (1–2 × 109 cells/mL), 0.5 mL S9 mix containing 0.2 M sodium phosphate buffer (pH 7.4), NADP (0.1 M), 1 M glucose-6-phosphate, 10 μL MgCl2 –KCl and 2-AAF were incubated for 45 min at 37 °C. This mixture was then added to 2 mL of melted top agar, gently mixed and overlaid onto the minimal glucose agar plates. After solidification, the plates were inverted and incubated for 48 h at 37 °C. The number of revertant colonies were counted using colony counter. All the plates were prepared in triplicate. The percentage inhibition of mutagenicity was then calculated using the formula: Percentage inhibition = [(C − SR) × (T − SR) ÷ (C − SR)] × 100; where ‘C’ is the number of revertants in the presence of mutagen alone, ‘T’ is the number of revertants in the presence of Clovinol with mutagens and ‘SR’ is the spontaneous revertants. The plates with diagnostic mutagen acted as positive control and plates without test sample and mutagen were considered as negative controls or spontaneous revertants.

2.5. Statistical analysis

The values are expressed as mean ± SD. The statistical significance was compared between control and experimental groups by one way analysis of variance (ANOVA) followed by appropriate post hoc test (Dunnet multiple comparison test) using GraphPad InStat software (version 3.05). Data of Clovinol treated animals was compared with that of untreated animals, and the differences between the groups were considered to be significant when p < 0.05.

3. Results

3.1. Preparation and characterization of Clovinol

Matured and dried Indonesian clove buds with an average polyphenol content of 11.5% GAE and 6.6% volatile oil content were sampled from a 1000 kg lot and used as the plant material for the preparation of Clovinol. A process of hydro-ethanolic extraction followed by purification, evaporation at controlled temperature (<50 °C) and spray drying was developed for the preparation of Clovinol as a polyphenol-rich water soluble extract powder. The free flowing powder of Clovinol showed mild taste and aroma characteristic of clove with a polyphenol content of 41.2% (w/w) as gallic acid equivalent. Upon nutritional analysis, Clovinol was found to contain 46% carbohydrate, 4% protein, 5.3% fat, 1.5% ash and 0.5% dietary fiber. Moisture content was 2.1% with an average density of 0.37 g/mL bulk density, with less than 300 cfu/g total aerobic plate count and 20 cfu/g total yeast and mold. No traces of Escherichia coli or Salmonella were detected, indicating its adherence to standard microbial specification for food ingredients.

Tandem mass spectrometric analysis of Clovinol indicated the presence of various polyphenols including flavonoids, phenolic acids, hydrolysable tannins, and their glycosides [18]  and [20] . Gallic acid, ellagic acid, chlorogenic acid, quercetin, luteolin, eugenol, and eugenol acetate were identified and confirmed in Clovinol by comparing the LC/MS/MS details either with reference compounds or with literature data. Thus, the major polyphenols in Clovinol were already shown to be widely present in the plant kingdom and possess varying health beneficial pharmacological effects. Yet another concern in Clovinol was the plausible presence of methyleugenol, a carcinogenic and genotoxic substance reported to be present in clove oil and extracts [31]  and [36] . Further, GC/M/MS analysis confirmed the absence of methyleugenol in Clovinol.

3.2. Toxicity studies of Clovinol

3.2.1. Acute toxicity study (14 days)

Oral administration of Clovinol at 1, 2 and 5 g/kg body weight did not produce any mortality or adverse effects during the 14 days period of study and also observed no abnormal clinical signs. The body weight and food consumption also remain unchanged, when compared to the untreated control group of animals (Fig. 1 ).


Fig. 1


Fig. 1.

Effect of acute administration of Clovinol on (a) body weight and (b) food consumption pattern of male and female rats.

3.2.2. Subchronic study (90 days)

All animals in the Clovinol treated groups, at doses of 0.25, 0.5 and 1 g/kg b.wt. survived until the scheduled necropsy on day 91 was performed. No treatment related abnormalities in clinical and/or behavioral signs were observed as compared to the untreated control group of animals.

3.2.2.1. Effect on body weight

The weight gain among both the male and female animals in the untreated and treated groups was normal (p > 0.05) (Fig. 2 ). During 90 days of study period, the body weight (g) of untreated control male animals increased from 190.6 ± 28.7 to 295.3 ± 24.8 with an average growth rate of 1.16 ± 0.03 g/day and that of female animals increased from 162.5 ± 12.8 to 241.2 ± 15.9 with a growth factor of 0.87 ± 0.02 g/day respectively. Clovinol treated (0.25, 0.5 and 1.0 g per kg b.wt.) animals also showed no significant difference in the weight gain and growth rate among the male and female animals when compared to the untreated control group of animals. The body weight (g) of male rats administered with high dose (1 g/kg b.wt.) of Clovinol was found to be increased from 174.5 ± 12.7 to 274.8 ± 23.3 with a growth rate of 1.11 ± 0.08 per day and that of female rats increased from 167.6 ± 11.4 to 249.7 ± 10.9 with a growth rate of 0.91 ± 0.01 per day. A similar trend was observed with the lower doses of Clovinol as well (0.25 and 0.5 g/kg b.wt.) (Fig. 2 ).


Fig. 2


Fig. 2.

Effect of sub-chronic administration of Clovinol on body weight of (a) male and (b) female rats.

3.2.2.2. Effect on food and water consumption

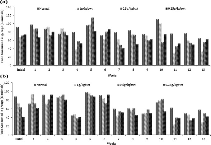
Administration of Clovinol at 0.25 g/kg (Group II), 0.5 g/kg (Group III) and 1 g/kg (Group IV) doses did not produce any significant difference (p > 0.05) in the food consumption of male and female rats when compared to untreated group of animals (Fig. 3 ). The average food intake of male rats was nearly 2.62 g/animal/day and that of female was 2.21 g/animal/day. Water consumption of the Clovinol treated animals also remained unchanged when compared with untreated control animals.


Fig. 3


Fig. 3.

Effect of subchronic administration of Clovinol on food consumption of (a) male and (b) female rats.

3.2.2.3. Urinalysis

There were no significant changes in either the pH (6.5–7.5) or in the volume of urine collected from the Clovinol treated animals when compared with untreated. Microscopy of the urinary sediment did not reveal any calcium or phosphate crystals. Urinary glucose, albumin and keto acids were also absent in both treated and untreated animals.

3.2.2.4. Ophthalmic observations

Ophthalmoscopic observations did not reveal any treatment related changes to conclude corneal ulcer or retinal vascularity. There was neither compression of retinal vessels nor extra branching of vessels, ruling out the plausible lesions like glaucoma or intraocular inflammatory changes due to Clovinol administration.

3.2.2.5. Necropsy and organ weights

Necropsy of the treated animals showed normal appearance of various organs and tissues. The weight of organs (heart, liver, spleen, kidney and brain) relative to the body weight showed no significant changes (p > 0.05) among the various treated animals when compared with the untreated control group of male and female animals (Table 1 ).

Table 1. Effect of 90 days administration of Clovinol on organ weight.
Organs Dose groupa
Males Females
Control 0.25 g/kg 0.5 g/kg 1 g/kg Control 0.25 g/kg 0.5 g/kg 1 g/kg
Liver (g) 3.46±0.12 3.29±0.27 3.57±0.12 3.64±0.24 3.52±0.68 3.49±0.35 3.60±0.48 3.11±0.28
Kidney (g) 0.80±0.16 0.86±0.10 0.87±0.13 0.84±0.08 0.68±0.15 0.76±0.09 0.78±0.04 0.68±0.08
Heart (g) 0.75±0.14 0.79±0.17 0.89±0.21 0.77±0.16 0.84±0.06 0.83±0.16 0.82±0.12 0.74±0.11
Spleen (g) 0.47±0.06 0.45±0.04 0.46±0.18 0.44±0.08 0.35±0.06 0.37±0.04 0.45±0.05 0.40±0.09
Brain (g) 0.57±0.02 0.66±0.03 0.69±0.08 0.64±0.07 0.63±0.05 0.75±0.07 0.62±0.11 0.73±0.19

Values are mean ± standard deviation, expressed as the organ weight/100 g of body weight.

a. 5 animals/sex/group, unless otherwise specified.

3.2.2.6. Hematological parameters

Clovinol did not produce any significant (p > 0.05) changes in the hematological parameters. Hemoglobin, WBC, RBC, platelet counts and differential counts (lymphocyte, eosinophil and neutrophils) of Clovinol treated animals remained in the normal range, when compared to the untreated control group of animals (Table 2 ).

Table 2. Effect of 90 days administration of Clovinol on hematological parameters.
Measured parameters Dose groupa
Males Females
Control 0.25 g/kg 0.5 g/kg 1 g/kg Control 0.25 g/kg 0.5 g/kg 1 g/kg
Hb (g/dL) 14.84±0.67 16.05±0.95 15.3±0.36 15.52±1.38 14.22±0.32 13.66±1.45 14.90±1.24 14.62±0.76
WBC (×103/mm3) 6.62±3.14 8.38±2.18 8.62±2.31 7.66±1.80 7.30±2.40 7.40±1.98 8.10±2.83 8.24±1.08
RBC (×106/mm3) 5.76±0.75 5.74±0.88 5.24±0.82 6.13±1.25 5.94±0.79 5.41±0.78 5.37±0.77 5.99±1.12
Platelet (×105/mm3) 7.51±0.35 8.61±0.44 7.48±0.17 7.85±0.61 7.19±0.18 6.86±0.96 6.90±0.68 6.85±0.19
Lymphocytes (×103/mm3) 4.72±2.26 5.44±2.85 5.98±1.27 5.42±1.22 4.99±1.61 5.56±1.57 5.76±2.17 5.59±1.99
Eosinophils (×102/mm3) 5.75±2.62 5.57±2.61 4.86±2.13 5.25±1.84 6.01±2.81 5.43±2.26 5.93±1.90 5.84±2.67
Neutrophils (×102/mm3) 13.29±6.73 16.09±6.08 15.76±3.47 14.52±5.65 16.59±7.09 14.92±3.69 17.45±5.61 15.77±4.20

Abbreviations: Hb, hemoglobin; WBC, white blood cells; RBC, red blood cells.

The values are expressed as mean ± standard deviation.

a. 5 animals/sex/group, unless otherwise specified.

3.2.2.7. Serum biochemical parameters

Clovinol administration did not produce any significant changes on biochemical parameters related to hepatic and renal function as compared to the untreated control group of animals. Renal function parameters such as blood urea, serum creatinine and electrolytes in both male and female rats were comparable to the untreated control animals after 90 days of supplementation (Table 3 ). Hepatic function markers such as ALT, AST, ALP, total bilirubin, total protein and A/G ratio were not altered in Clovinol treated animals of both sexes (Table 4 ). Lipid profile also remained unchanged with no significant (p > 0.05) variation in total cholesterol, HDL, LDL and VLDL cholesterol levels among both male and female rats, and were comparable to that of untreated control group (Table 5 ). However, a decreasing trend on total cholesterol and triglycerides has been observed among animals treated with 0.5 and 1 g/kg body weight of Clovinol.

Table 3. Effect of 90 days administration of Clovinol on renal function parameters.
Measured parameters Dose groupa
Males Females
Control 0.25 g/kg 0.5 g/kg 1 g/kg Control 0.25 g/kg 0.5 g/kg 1 g/kg
Urea (mg/dL) 15.40±2.70 12.25±1.89 14.75±2.22 12.20±2.39 14.20±1.48 13.20±2.28 12.00±0.82 14.60±2.19
Creatinine (mg/dL) 0.33±0.08 0.28±0.05 0.31±0.05 0.26±0.09 0.28±0.08 0.30±0.05 0.27±0.05 0.32±0.08
Na (mEq/L) 143.00±1.58 138.50±1.29 145.00±3.56 141.00±1.58 141.20±1.30 137.20±2.17 137.75±1.71 142.00±1.87
K (mEq/L) 6.66±0.19 5.83±0.77 6.65±0.84 6.32±0.31 6.02±1.02 6.12±0.96 5.73±0.39 5.64±0.36
Cl (mEq/L) 102.59±2.96 98.00±3.58 94.68±6.42 97.66±2.70 96.00±3.90 104.86±4.76 98.03±3.00 98.04±4.20
HCO3 (mEq/L) 24.40±2.07 25.00±1.83 25.00±1.41 24.60±0.89 25.00±1.58 25.40±2.07 24.00±0.82 25.20±1.92

Abbreviations: Na, sodium; K, potassium; Cl, chloride; HCO3 , bicarbonate.

The values are expressed as mean ± standard deviation.

a. 5 animals/sex/group, unless otherwise specified.

Table 4. Effect of 90 days administration of Clovinol on hepatic function markers.
Measured parameters Dose groupa
Males Females
Control 0.25 g/kg 0.5 g/kg 1 g/kg Control 0.25 g/kg 0.5 g/kg 1 g/kg
ALT (U/L) 65.00±4.74 58.25±7.5 61.84±5.26 59.20±9.56 68.72±12.54 61.20±7.39 59.50±11.90 55.80±9.25
AST (U/L) 174.80±26.28 182.55± 20.47 169.72±28.69 147.40±32.30 171.40±22.58 165.20±29.35 180.75±19.91 179.24±n25.45
ALP (U/L) 274.60±42.69 280.25±38.8 264.50±34.38 278.20±40.03 316.00±59.80 283±55.04 265.00±49.08 270.60±51.82
Bilirubin (mg/dL) 0.48±0.09 0.45±0.12 0.40±0.08 0.42±0.09 0.38±0.11 0.42±0.07 0.43±0.05 0.39±0.09
Albumin (g/dL) 3.14±0.17 2.55±0.19 2.95±0.26 2.76±0.27 2.90±0.10 2.86±0.13 3.03±0.28 2.82±0.15
Globulin (g/dL) 2.36±0.21 1.90±0.14 1.78±0.17 2.25±0.28 2.50±0.26 2.24±0.21 2.45±0.10 2.30±0.33
A/G ratio 1.15±0.14 1.09±0.25 1.27±0.40 1.06±0.16 1.02±0.15 1.12±0.39 1.09±0.24 1.04±0.16

Abbreviations: ALT, alanine aminotransferase; AST, aspartate aminotransferase; ALP, alkaline phosphatase.

The values are expressed as mean ± standard deviation.

a. 5 animals/sex/group, unless otherwise specified.

Table 5. Effect of 90 days administration of Clovinol on lipid profile.
Measured parameters Dose groupa
Males Females
Control 0.25 g/kg 0.5 g/kg 1 g/kg Control 0.25 g/kg 0.5 g/kg 1 g/kg
Cholesterol (mg/dL) 64.60±13.97 60.25±9.50 61.50±12.65 57.20±15.25 65.40 ±15.60 61.25±16.92 62.80±12.43 56.00±9.73
Triglycerides (mg/dL) 54.20±24.60 46.60±13.45 57.25±29.90 51.60±17.24 41.00±5.58 36.50±7.29 39.65±4.35 36.82±9.95
HDL (mg/dL) 24.40±1.14 24.00±1.71 23.00±1.82 25.15±1.09 21.60±1.14 23.91±2.23 22.05±0.80 22.25±1.17
LDL (mg/dL) 19.50±3.39 17.00±3.56 20.00±4.16 18.79±2.40 21.20±6.62 16.60±4.20 18.75±3.50 20.40±4.50
VLDL (mg/dL) 12.61±2.45 11.75±3.26 10.50±3.58 11.40±2.55 14.80±5.17 11.40±3.88 12.35±6.14 12.80±4.07

Abbreviations: HDL, high density lipoprotein; LDL, low density lipoprotein; VLDL, very low density lipoprotein.

The values are expressed as mean ± standard deviation.

a. 5 animals/sex/group, unless otherwise specified.

3.2.2.8. Histopathological analysis

The histopathological examination of various organs of animals treated with 1.0 g/kg b.wt. of Clovinol showed normal cellular architecture when compared with those of the untreated groups of animals (Fig. 4 ). The tissue sections of spleen from Clovinol treated animals showed normal lymphoid follicles with areas prominent in germinal centers. Medullary region showed sinusoidal congestion, lymphostasis and histiocytic proliferation with cellular architecture and morphology similar to that of untreated control animals. The liver section of Clovinol treated animals showed normal portal triads and central venous system; normal hepatocytes were arranged in cords with Kupffer cells and showed normal sinusoidal spaces, which were identical with those from the untreated animals. The histopathology of kidney tissues of Clovinol treated animals showed normal glomeruli with Bowman’s capsule adrenal tubules. The interstitial tissues appeared with no apparent abnormalities when compared with the tissues of untreated group of animals. The section of brain tissues of Clovinol administered rats showed hyperplasia of the astrocytes with pleomorphism. There were occasional mitotic cells, normal glial cells and the interstitial tissues. The cerebellum of the Clovinol treated animals appeared normal with an overall cellular architecture and morphology similar to the brain from untreated animals.


Fig. 4


Fig. 4.

Histological sections of various organs of animals following 90 days of administration of Clovinol at 1 g/kg b.wt.

3.3. Genotoxicity studies

3.3.1. Mutagenicity of Clovinol

Clovinol did not show any substantial increase in revertants in any of the strains of S. typhimurium when used either in the presence or in the absence of metabolic activation (S9 mix) ( Table 6 ). While positive controls containing the known mutagens resulted in a significant (p < 0.05) increase in the revertant colonies in each strain, vehicle control did not produced any change. The spontaneous reversion rates in the negative and positive control were within the normal range which suggested that Clovinol did not induce any gene mutation or frame shifts in the genome of the strains under the specific conditions of the experiment.

Table 6. Mutagenic study of Clovinol on Salmonella typhimurium strains using reverse mutation assay.
Doses of Clovinol (mg/plate) TA 98 TA 100 TA102
Without S9-mix Number of revertants
Negative controlb 68.5±4.9 82±2.1 70±1.4
Positive controlc 378±19 817±61 973±63
5 53.5±4.9 63±3.5 75±4.2
2.5 66±2.8 71±12 70±3.5
1 75±15.5 79±0.7 70±6.4
0.5 72±9.4 80±11.6 73±9.1
With S9-mix Number of revertants
Negative controlb 78±1.4 93±17.7 128±7.1
Positive controlc 587±43 687±56 467±39
5 73±3.5 66±2.8 132±2.8
2.5 70±4.9 71±2.1 125±4.9
1 78±2.8 89±12.7 127±2.8
0.5 76±7.3 91±16.4 125±12.3

The values are mean ± standard deviation of 3 different determinations. Acetamidofluorene (2-AAF) was used as mutagen in studies involving S9 activities.

b. Spontaneous reversion (without mutagen and drug).

c. Mutagen treated (NPD for TA 98; NaN3 for TA 100 and TA 102).

3.3.2. Antimutagenicity of Clovinol

Antimutagenic activity of Clovinol was evaluated at three different concentrations (0.25, 0.5 and 1 mg/plate) employing the strains of S. typhimurium (TA 98, TA 100 and TA 102) in the presence of known mutagens (NaN3 , NPD, 2-AAF and tobacco). Strains produced several fold revertant colonies upon treatment with mutagens. However, Clovinol treatment exhibited a concentration dependent antimutagenic activity when investigated with and without activation. When used at 1 mg/plate concentration, Clovinol significantly inhibited NaN3 -induced mutagenicity by 57.2% on TA100 and 39.6% on TA102 strains (Fig. 5 a). NPD induced mutagenicity was found to be inhibited by 67.2% and 29.1% respectively when used at the same concentration of 1 mg/plate concentration (Fig. 5 b). Clovinol also exhibited 33.7% of antimutagenicity against tobacco extract in Salmonella strain TA 102 at a concentration of 1 mg/plate (Fig. 5 c). Moreover, Clovinol also exhibited significant (p < 0.001) antimutagenic activity (28.9% and 25.92% at the concentration of 1 mg/plate in Salmonella TA 98 and TA 100 strains respectively) upon metabolic activation with 2-AAF (Fig. 5 d).


Fig. 5


Fig. 5.

Antimutagenic activity of Clovinol against NaN3 , NPD, tobacco and 2-AAF using Ames assay (a) sodium azide (NaN3 ) (b) 4-nitro-O -phenylenediamine (NPD) (c) tobacco extract (d) 2-acetamidoflourene (2-AAF). The values are mean ± standard deviation of three different determinations. Where *p < 0.05, **p < 0.01 when compared with positive control; SR = spontaneous revertants.

4. Discussion

Even though clove buds, clove oleoresin and its essential oil have given the status of GRAS for use as a natural food flavor, systematic investigations on the safety of clove polyphenols have not been reported to date [29] , [38]  and [11] . Eugenol, the major component in clove oil, has been approved with an allowable daily intake level of 2.5 mg/kg body weight for humans [24] . However, the major components of Clovinol used in the present study were polyphenols (41.2%) which is different from the compositions of Clove oil or oleoresin commonly approved as a food additive. In addition, Clovinol was also shown to be bioactive exhibiting antioxidant, anti-inflammatory and antiulcerogenic effects [18]  and [20] . An open label human intervention study also demonstrated the significant effect of Clovinol to upregulate the endogenous antioxidant enzymes (glutathione, superoxide dismutase, glutathione peroxidase, and catalase) and to reduce lipid peroxidation when consumed either as 250 mg capsules per day or as a dietary ingredient [20] . Thus, the present investigation reported the acute and subchronic toxicity studies and genotoxicity of Clovinol prepared by a hydro-ethanolic extraction followed by purification, concentration and spray drying process as a free flowing water soluble powder suitable for the dietary intervention either as a functional/medical food ingredient or as dietary supplement.

The absence of abnormalities or adverse effects observed upon the acute oral toxicity study of Clovinol at 5 g/kg body weight indicated its primary safety. The fact that all the animals survived until the scheduled necropsy on 91st day and the absence of any significant changes in various parameters including changes in body weight, food and water consumption, heamatological parameters, biochemical parameters, organ toxicity and histopathology of organ tissues further demonstrated the safety of Clovinol upon the repeated dose oral administrations at 0.25, 0.5 and 1 g/kg b.wt. for 90 days. The lack of significant changes in both physical appearance and behavioral patterns further revealed the absence of treatment-related adverse effects of Clovinol. Changes in body weight and food/water consumption have generally been regarded as a preliminary indication of adverse effect of a drug [37] . The absence of significant changes in hematology parameters (hemoglobin, RBC count, platelet count, total and differential leukocytes count), as compared to the untreated control group of animals, also indicated the safety of Clovinol supplementation. Hematopoietic system was generally considered as one of the most sensitive set of parameters to assess the safety of a drug [5] . Yet another set of sensitive parameters include the liver and renal function markers [12] . Elevation of ALT levels in serum was usually regarded as the first response of liver cell damage [2] . The observation that the chronic administration of Clovinol at 1 g/kg body weight for 90 days did not induce any significant changes in liver function markers, except a toxicologically irrelevant increase in albumin/globulin ratio, indicated its hepatic safety. The absence of changes in the lipid profile can also be correlated to the liver health, since liver is the site for cholesterol degradation and glucose synthesis [4] . The present study demonstrated no changes in LDL, HDL and VLDL level with a non-significant reduction in triglyceride levels, which indicated the normal lipid and carbohydrate metabolism of Clovinol treated animals. Similarly, the absence of significant changes in serum urea, creatinine and electrolytes (sodium, potassium, chlorine and bicarbonate) pointed towards its safety on renal functions. An increase in the serum creatinine levels generally correlated to the damage of functional nephrons [16] . Moreover, the absence of either the weight changes or morphological abnormalities of vital organs, as revealed by the macroscopic and histopathological investigations, also pointed towards the safety of Clovinol even upon repeated dose consumption for 90 days. Thus, the present study demonstrated a “no observed adverse effect level” (NOAEL) of 1000 mg/kg/day for Clovinol having a total polyphenol content of 41.2% gallic acid equivalent. A previous study (28-days repeated dose acute toxicity study) also reported that the supplementation of Clovinol at 2 g/kg body weight did not induce any mortality, adverse effects, clinical or behavioral symptoms, or changes in hematological and biochemical parameters [18] .

Ames test, one of the most consistent test for detecting genotoxic and carcinogenic substances, was employed for evaluating the mutagenicity and antimutagenic activities of Clovinol [27]  and [23] . The fact that Clovinol (0.1–10 mg/plate) did not produce any revertants during the Ames test indicated the absence of dose related mutagenicity of Clovinol either with or without metabolic activation. Thus the mutagenic study showed that Clovinol does not act as a genotoxic material. Genotoxic substances are potentially known to be mutagenic or carcinogenic [27] . Moreover, Clovinol also exhibited significant inhibition of the mutagenicity produced by the direct acting mutagens, like sodium azide, NPD and tobacco. Sodium azide is a potent mutagen against plants, mammals and bacteria with high specificity towards Salmonella and E. coli species [35] . NPD is a mutagen often found to contaminate cosmetics, which induce frame shift mutation in S. typhimurium[7] . Tobacco was also demonstrated to contain many carcinogenic compounds [15] . In the present study, it was observed that Clovinol inhibited the activation of 2-AAF, a potent arylamine carcinogen whose activation was known to be by cytochrome p450 enzymes in liver. Thus, the antimutagenic property of Clovinol may be due to the inactivation of mutagens by inhibition of free radicals or activation of cellular antioxidant enzymes as well as by inhibition of cytochrome p450 enzymes and/or by increased detoxification of mutagens [39]  and [17] . Earlier studies on Clovinol has already demonstrated its radical scavenging activities and detoxification potential by enhancing the cellular antioxidant defense enzymes including glutathione, glutathione peroxidase, superoxide dismutase, and catalase in both animals and humans [18]  and [20] . Significant antimutagenic activity of Clovinol may also be linked to its anticarcinogenic potential which need to be further evaluated.

5. Conclusions

The present study reported the safety evaluation of a polyphenol rich extract of clove buds (Clovinol) as shown by the acute (14 days) and subchronic oral gavage at 1 g/kg b. wt. for 90 days and mutagenicity studies. Clovinol did not produce any significant changes in body weight, food and water consumption, hematological and/or biochemical parameters. Histological examinations of selected organs also supported the safety of Clovinol. Clovinol did not produce any mutagenicity to Salmonella strains with and without activation of S9 mixture upto a concentration of 5 mg/plate. Moreover, Clovinol has shown significant antimutagenic potential against some of the known mutagens as well as against 2-AAF, which needs metabolic activation for mutagenicity. Thus, the results of the present study indicated that Clovinol is safe in rats with an NOAEL of 1 g/kg body weight per day and can be further considered for human consumption.

Conflict of interest

The author(s) declared no conflicts of interest with respect to the authorship and/or publication of the article.

Acknowledgement

Authors are thankful to M/s Akay Flavours & Aromatics, Pvt. Ltd., for financial assistance under the program of development of ‘Spiceuticals® − functional ingredients from spices’ and also for the sample of ‘Clovinol’ used in the present study.

References

  1. [1] S. Ahmad, A. Latif, I.A. Qasmi; Effect of 50% ethanolic extract of Syzygium aromaticum (L.) Merr & Perry (clove) on sexual behaviour of normal male rats  ; BMC Complement. Altern. Med., 4 (1) (2004), p. 17
  2. [2] A.A. Al-Qarawi, H.A. Abdel-Rahman, S.A. El-Mougy; Hepatoprotective activity of licorice in rat liver injury models; J. Herbs Spices Med. Plants, 8 (1) (2001), pp. 7–14
  3. [3] B.N. Ames, J. McCann, E. Yamasaki; Methods for detecting carcinogens and mutagens with the Salmonella/mammalian-microsome mutagenicity test; Mutat. Res.—Environ. Mutagen., 31 (6) (1975), pp. 347–363
  4. [4] L.P. Bechmann, R.A. Hannivoort, G. Gerken, G.S. Hotamisligil, M. Trauner, A. Canbay; The interaction of hepatic lipid and glucose metabolism in liver diseases; J. Hepatol., 56 (4) (2012), pp. 952–964
  5. [5] J.C. Bloom; Principles of hematotoxicology: laboratory assessment and interpretation of data; Toxicol. Pathol., 21 (2) (1993), pp. 130–134
  6. [6] K. Chaieb, H. Hajlaoui, T. Zmantar, A.B. Kahla‐Nakbi, M. Rouabhia, K. Mahdouani, A. Bakhrouf; The chemical composition and biological activity of clove essential oil Eugenia caryophyllata (Syzigium aromaticum L. Myrtaceae): a short review  ; Phytother. Res., 21 (6) (2007), pp. 501–506
  7. [7] M. Chandel, M. Kumar, S. Kumar, S.J. Kaur; Inhibition of 2-aminofluorene and 4-nitro-O -phenylenediamine mutagenicity by natural food colorant plant Rubia cordifolia L  ; Int. J. Pharm. Pharm. Sci., 4 (2012), p. 236
  8. [8] T.G. Cole, S.G. Klotzsch, J.R. McNamara; Measurement of triglyceride concentration; N. Rifai, G.R. Warnick, M.H. Dominiczak (Eds.), Handbook of Lipoprotein Testing, AACC Press, Washington., DC (2000), p. 207
  9. [9] D.F. Cortés-Rojas, C.R.F. de Souza, W.P. Oliveira; Clove (Syzygium aromaticum ): a precious spice  ; Asian Pac. J. Trop. Biomed., 4 (2) (2014), pp. 90–96
  10. [10] R. Deeg, J. Ziegenhorn; Kinetic enzyme method for automated determination of total cholesterol in serum; Clin. Chem., 29 (10) (1983), pp. 1798–1802
  11. [11] EPA, 2011. Minimum risk pesticides. Retrieved from http://www.epa.gov/pesticides/biopesticides/regtools/25b_list.html .
  12. [12] A.S. Faqi; A Comprehensive Guide to Toxicology in Preclinical Drug Development; Academic Press, USA (2012)
  13. [13] M. Gupta; Pharmacological properties and traditional therapeutic uses of important Indian spices: a review; Int. J. Food Prop., 13 (5) (2010), pp. 1092–1116
  14. [14] H. Haugen, E. Blegen; Blood urea and plasma endogenous creatinine in renal insufficiency; Scand. J. Clin. Lab. Inv., 5 (1) (1953), pp. 63–66
  15. [15] S.S. Hecht; Tobacco carcinogens, their biomarkers and tobacco-induced cancer; Nat. Rev. Cancer, 3 (10) (2003), pp. 733–744
  16. [16] E.A. Hoste, J. Damen, R.C. Vanholder, N.H. Lameire, J.R. Delanghe, K. Van den Hauwe, F.A. Colardyn; Assessment of renal function in recently admitted critically ill patients with normal serum creatinine; Nephrol. Dial. Transplant., 20 (4) (2005), pp. 747–753
  17. [17] E. Ipek, H. Zeytinoglu, S. Okay, B.A. Tuylu, M. Kurkcuoglu, K.H.C. Baser; Genotoxicity and antigenotoxicity of Origanum oil and carvacrol evaluated by Ames Salmonella /microsomal test  ; Food Chem., 93 (3) (2005), pp. 551–556
  18. [18] A. Issac, G. Gopakumar, R. Kuttan, B. Maliakel, I.M. Krishnakumar; Safety and anti-ulcerogenic activity of a novel polyphenol-rich extract of clove buds (Syzygium aromaticum L.)  ; Food Funct., 6 (3) (2015), pp. 842–852
  19. [19] G.K. Jayaprakasha, B.S. Jena, P.S. Negi, K.K. Sakariah; Evaluation of antioxidant activities and antimutagenicity of turmeric oil: a byproduct from curcumin production; Z. Naturforsch. C, 57 (9–10) (2002), pp. 828–835
  20. [20] N.M. Johannah, R.M. Renny, G. Gopakumar, B. Maliakel, D. Sureshkumar, I.M. Krishnakumar; Beyond the flavour: a de-flavoured polyphenol rich extract of clove buds (Syzygium aromaticum L.) as a novel dietary antioxidant ingredient  ; Food Funct., 6 (10) (2015), pp. 3373–3382
  21. [21] C.M. Kaefer, J.A. Milner; The role of herbs and spices in cancer prevention; J. Nutr. Biochem., 19 (6) (2008), pp. 347–361
  22. [22] G.P. Kamatou, I. Vermaak, A.M. Viljoen; Eugenol—from the remote Maluku Islands to the international market place: a review of a remarkable and versatile molecule; Molecules, 17 (6) (2012), pp. 6953–6981
  23. [23] S. Kaur, I.S. Grover, M. Singh, S. Kaur; Antimutagenicity of hydrolyzable tannins from Terminalia chebula in Salmonella typhimurium; Mutat. Res.—Genet. Toxicol. Environ. Mutagen., 419 (1) (1998), pp. 169–179
  24. [24] M.A. Kildea, G.L. Allan, R.E. Kearney; Accumulation and clearance of the anaesthetics clove oil and AQUI-S™ from the edible tissue of silver perch (Bidyanus bidyanus )  ; Aquaculture, 232 (1) (2004), pp. 265–277
  25. [25] G.R. Kingsley; The direct biuret method for the determination of serum proteins as applied to photoelectric and visual colorimetry; J. Lab. Clin. Med., 27 (1942), pp. 840–845
  26. [26] E.J. LaVoie, J.D. Adams, J. Reinhardt, A. Rivenson, D. Hoffmann; Toxicity studies on clove cigarette smoke and constituents of clove: determination of the LD50 of eugenol by intratracheal instillation in rats and hamsters  ; Arch. Toxicol., 59 (2) (1986), pp. 78–81
  27. [27] D.M. Maron, B.N. Ames; Revised methods for the Salmonella mutagenicity test  ; Mutat. Res.—Environ. Mutagen., 113 (3) (1983), pp. 173–215
  28. [28] R.K. Mishra, S.K. Singh; Safety assessment of Syzygium aromaticum flower bud (clove) extract with respect to testicular function in mice  ; Food Chem. Toxicol., 46 (10) (2008), pp. 3333–3338
  29. [29] M. Mittal, N. Gupta, P. Parashar, V. Mehra, M. Khatri; Phytochemical evaluation and pharmacological activity of Syzygium aromaticum : a comprehensive review  ; Int. J. Pharm. Pharm. Sci., 6 (8) (2014), pp. 67–72
  30. [30] F.C. Pearlman, R.T. Lee; Detection and measurement of total bilirubin in serum, with use of surfactants as solubilizing agents; Clin. Chem., 20 (4) (1974), pp. 447–453
  31. [31] G. Razafimamonjison, M. Jahiel, T. Duclos, P. Ramanoelina, F. Fawbush, P. Danthu; Bud, leaf and stem essential oil composition of Syzygium aromaticum from Madagascar, Indonesia and Zanzibar  ; IJBAS, 3 (3) (2014), pp. 224–233
  32. [32] L. Rubió, M.-J. Motilva, M.-P. Romero; Recent advances in biologically active compounds in herbs and spices: a review of the most effective antioxidant and anti-inflammatory active principles; Crit. Rev. Food Sci. Nutr., 53 (9) (2013), pp. 943–953
  33. [33] S.E.M. Shalaby, M.M. El-Din, S.A. Abo-Donia, M. Mettwally, Z.A. Attia; Toxicological effects of essential oils from Eucalyptus Eucalyptus globules and clove Eugenia caryophyllus on albino rats  ; Pol. J. Environ. Stud., 20 (2) (2011), pp. 429–434
  34. [34] V.L. Singleton, R. Orthofer, R.M. Lamuela-Raventos; Analysis of total phenols and other oxidation substrates and antioxidants by means of Folin-Ciocalteu reagent; Methods Enzymol., 299C (1999), pp. 152–178
  35. [35] K. Słoczyńska, B. Powroźnik, E. Pękala, A.M. Waszkielewicz; Antimutagenic compounds and their possible mechanisms of action; J. Appl. Genet., 55 (2) (2014), pp. 273–285
  36. [36] B. Smith, P. Cadby, J.-C. Leblanc, R.W. Setzer; Application of the margin of exposure (MoE) approach to substances in food that are genotoxic and carcinogenic, example: methyleugenol, CASRN: 93-15-2; Food Chem. Toxicol., 48 (2010), pp. S89–S97
  37. [37] S.P. Tofovic, E.K. Jackson; Effects of long-term caffeine consumption on renal function in spontaneously hypertensive heart failure prone rats; J. Cardiovasc. Pharm., 33 (3) (1999), pp. 360–366
  38. [38] US-FDA; Scientific Literature Review of Eugenol and Related Substances in Flavor Usage Flavor and Extract Manufacturers Association of the United States; US-FDA, Washington DC (1978) (1)
  39. [39] M.D. Waters, H.F. Stack, M.A. Jackson, H.E. Brockman, S. De Flora; Activity profiles of antimutagens: in vitro and in vivo data; Mutat. Res.—Fundam. Mol. Mech. Mutagen., 350 (1) (1996), pp. 109–129
  40. [40] WHO, 2005, Summary of evaluations performed by the Joint FAO/WHO Expert Committee on Food Additives, Eugenol No. 1529, WHO Food Additives Series 17. Retrieved from http://www.inchem.org/documents/jecfa/jecmono/v17je10.htm .
Back to Top

Document information

Published on 02/05/17
Accepted on 02/05/17
Submitted on 02/05/17

Licence: Other

Document Score

0

Views 18
Recommendations 0

Share this document

claim authorship

Are you one of the authors of this document?