Abstract

Benign paroxysmal positional vertigo (BPPV) is probably the most common diagnosis at vertigo clinics. Seasonal cycles of several human illnesses could be attributed variously to changes in atmospheric or weather conditions. In this retrospective study, patients with BPPV from January 2010 to December 2012 were studied, and their charts were reviewed. Statistical analysis revealed a statistically significant difference in patients' numbers among different months of the year. Also there is a significant statistical correlation between the numbers of patients with climatic variations especially the temperature. The present paper discusses the possible explanations for these results which confirms the seasonal variations in BPPV, together with a review of literature to view the possible associations with other disorders that causes such seasonality.

Keywords

Benign paroxysmal positional vertigo ; Climate ; Temperature ; Atmospheric pressure ; Humidity

1. Introduction

Benign paroxysmal positional vertigo (BPPV) is probably the most common diagnosis at vertigo clinics. It is characterized by rotational vertigo induced by head position changes. The diagnosis is confirmed by Dix–Hallpike positioning testing, or the roll test in cases of the horizontal canal variant BPPV (Furman and Cass, 1999 ). In 1969 Schucknecht proposed the theory of cupulolithiasis, and Hall in1979 proposed the concept of canalolithiasis to explain its pathogenesis (Schuknecht, 1969  and Hall et al., 1979 ). Disorders affecting the peripheral vestibular system, such as vestibular neuritis or head trauma, may precede the onset of BPPV (Brandt and Steddin, 1993 ). However, BPPV is most commonly idiopathic and its prevalence increases with age (Bloom and Katsarkas, 1989 ). Seasonal cycles of several human illnesses, such as infectious diseases, stroke, and cardiovascular and respiratory diseases, could be attributed variously to changes in atmospheric or weather conditions (Bilecki et al., 2005 ). The clinical observation of seasonal variation in BPPV cases lead us to conduct this retrospective study to determine if it exists in our geographic locality which is a subtropical one with marked seasonal climatic variations.

2. Patients and methods

It is a retrospective study in which patients consulting the ENT clinic in the Consultation Center of Nineveh Medical College from January/2010 to December/2012 were studied and their charts were reviewed. They were all complaining of positional vertigo with the following inclusion criteria:

  • Patients with posterior canal BPPV with history of episodes of short lived positional vertigo, and positive Dix–Hallpike test.
  • Patients with horizontal canal vertigo were also included, and these cases were diagnosed by supine roll test (Lee and Kim, 2010 ).

The chart review included the date of presentation, the clinical presentation, the treatment modality and the recurrence of the disease. Atypical cases of positional vertigo, when central cause cannot be ruled out or cases of positional vertigo with other vestibular problems like Meniere disease or vestibular neuritis were excluded from the study.

To decrease the bias which may result from a single clinic consultation, patients who consulted the clinic over three years period were included, and they were allocated according to the date, i.e. the month of the presentation. There were 207 patients with BPPV in whom the above criteria were fulfilled.

The climate parameters including the temperature, the atmospheric pressure and average humidity of the study period were retrieved from the calendar of the province through internet (Google) search (Climate Mosul ). They were documented to correlate these events with disease occurrence.

3. Results

There were 207 patients with BPPV who consulted the Consultation ENT Clinic over 3 years period. There were 83, 58, and 66 patients in the years 2010, 2011, and 2012 respectively. The age range was from 20 to 78 with a mean of 49.5 years. There were 67 (32.3%) males and 140 females (67.7%). Table 1 demonstrates the distribution of patients both number and percentage, presented monthly in the years of the study.

Table 1. The overall monthly patients' distribution with percentage.
Months Overall number of patients in the years 2010, 2011& 2012 N = 207
January 21 (10.14%)
February 18 (8.69%)
March 35 (16.9%)
April 15 (7.24%)
May 18 (8.69%)
June 8 (3.86%)
July 4 (1.93%)
August 13 (6.28%)
September 25 (12%)
October 20 (9.66%)
November 13 (6.28%)
December 17 (8.21%)
p-value 0.03

The climatic parameters that were studied in relation to BPPV were the temperature, the atmospheric pressure and the relative humidity.

Table 2 demonstrates the mean values of these parameters, the temperature in degree Celsius, the atmospheric pressure in hectopascal (hPa) and the average relative humidity as percentage in each month throughout the study period and those parameters represented the geographic area in which the study was conducted which was the patients' resident locality.

Table 2. Mean values of the climate parameters during the study period (2010, 2011 & 2012).
Months Temperature in degree Celsius (°C) Atmospheric pressure in hectapascal (hpa) Average relative humidity as percentage
January 9.1 1019.7 76.3%
February 9.6 1016.6 71.3%
March 13.6 1016.5 60.9%
April 19.6 1011.8 54.9%
May 25.9 1008.6 42.5%
June 32.8 1002.5 28.4%
July 36 999.2 24.4%
August 35.1 1000.7 22.4%
September 30.2 1006.4 30.3%
October 22.8 1013.6 44.7%
November 14 1018.3 60.8%
December 9.1 1020.7 72.3%

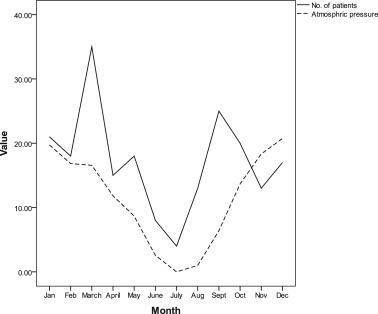
As shown in Table 2 , the lowest temperatures were in December, January and February, and the highest were in June, July and August. The atmospheric pressure values were high in the cold months (January, February, November and December). These values were less in the hot months with the least value being in July. Similarly, the relative humidity was highest in the cold months with low values in the summer season.

4. Statistical analysis

To evaluate whether patients' numbers were significantly different among different months of the year, the number of patients presented monthly was compared with the assumption of equal number of patients diagnosed monthly. The comparison was analyzed by the χ2 goodness of fit test.

A Pearson correlation test was used to study the correlation between overall numbers of patients diagnosed monthly with each climate parameter (temperature, atmospheric pressure and humidity) of each month of the year pooled from the years 2010–2012 (Table 3 ).

Table 3. The statistical results of the environmental factors in relation to BPPV.
Year Environmental condition
Temperature Atmospheric pressure Humidity
r p-value r p-value r p-value
Overall −0.495 0.01 0.52 0.01 0.42 0.06

All the data had been processed by the use of statistical package SPSS ver 18 (Chicago Inc, ILL). A p-value <0.05 was considered statistically significant.

As shown in Table 1 , the distribution of patients is not equal in various months of the years. The overall monthly numbers over the three years were significantly different (p-Value = 0.03). It seems from the table that the highest number of patients is in March, and the lowest number is in July.

Reviewing Table 3 , the temperature was found to be negatively correlated with the number of patients and this correlation is statistically significant r = −0.459, and p-value = 0.01 (Fig. 1 ). Fig. 2 shows that the trend of BPPV is negatively correlated with temperature.


The overall correlation between the average temperature and number of BPPV ...


Fig. 1.

The overall correlation between the average temperature and number of BPPV patients.


The negative trend of correlation of BPPV with temperature.


Fig. 2.

The negative trend of correlation of BPPV with temperature.

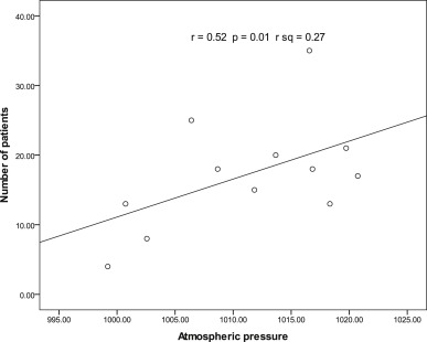
Regarding the atmospheric pressure, the values were positively correlated with the number of patients and it was also statistically significant, r = 0.52, and p-value = 0.01 (Fig. 3 ). Fig. 4 shows the positive trend of correlation of BPPV with the atmospheric pressure.


The positive correlation of BPPV with atmospheric pressure.


Fig. 3.

The positive correlation of BPPV with atmospheric pressure.


The positive trend of BPPV and atmospheric pressure.


Fig. 4.

The positive trend of BPPV and atmospheric pressure.

Regarding the relative humidity, it was found to be positively correlated to BPPV, yet statistically this correlation was not significant, r = 0.42, and p-value = 0.06 (Fig. 5  and Fig. 6 ).


The positive correlation between BPPV and the humidity.


Fig. 5.

The positive correlation between BPPV and the humidity.


The positive trend of correlation between BPPV and humidity.


Fig. 6.

The positive trend of correlation between BPPV and humidity.

5. Discussion

Benign paroxysmal positional vertigo is the most common vestibular disorder across the lifespan, with the age of onset is most commonly between the fifth and seventh decades of life (Parnes et al., 2003  and Neuhauser, 2007 ). It tends to present with clusters of episodes in a limited period of time, followed by an interval of no attacks before recurring again. Periods of remission may be variable over many years (Titus and Ibekwe, 2012 ).

The aim of the present study is to assess a clinical observation of a seasonal variation of BPPV, and its relation to climatic variations.

As shown statistically, there is a significant seasonal variation in BPPV. The correlation of BPPV with temperature and atmospheric pressure changes is also statistically significant.

In the present study there is predominance of female sex accounting about 67.7% of patients. The mean age is about 50 years. In view of the high prevalence of BPPV in middle-aged women, hormonal factors may play a role in the development of BPPV (Katsarkas, 1999 ).

There could be relationship between bone biochemistry and recurrent BPPV in older women. Vibert et al. suggested a connection between BPPV, osteoporosis and osteopenia (Vibert et al., 2003 ). Bone mineral density score was decreased in both women and men with idiopathic BPPV which showed that bone metabolism has a connection to BPPV (Jeong et al., 2009 ).

The effect of vitamin D on osteoporosis has been established in the literature. Calcium and vitamin D play important roles in improving bone mineral density (Lips and van Schoor, 2011 ). Similarly, vitamin D deficiency was implicated in the pathogenesis of BPPV (Buki et al., 2013 ).

Although in the present study, vitamin D or other parameters of bone density were not assessed, we can assume that the higher incidence of BPPV in winter months can be explained by the fact that shorter daytime and lower exposure to sun light may result in vitamin D deficiency and consequent bone demineralization and osteoporosis.

Dix and Hallpike reported an association between BPPV and sinus infections (Dix and Hallpike, 1952 ). Similarly, Cohen et al. reported symptoms of rhinosinusitis or upper respiratory disease in half of patients with BPPV (Cohen et al., 2004 ). This may explain the preponderance of cases of BPPV in cold climate in our study, as sinus diseases and respiratory tract infections predominate in such season. In the current study the association between BPPV and rhinosinusitis or respiratory infections was not studied as patients' charts had shortage in these data.

Nasal allergies have also been associated with increased inner ear pathology with a possible association between allergies and BPPV onset, especially in women. Nasal allergy is the most common type of allergies in the general population (Lasisi and Abdullahi, 2008 ). In our locality, March is the month where pollens increase in the air with possible increase in allergic rhinitis. The questioner did not include the allergic state of the patients with PPV.

Possibly temperature influences endolymph metabolism directly or through pollution (Mariani et al., 2008 ), in our study the correlation with pollution was not studied due to lack of data.

Another possible explanation of increased cases of BPPV in cold climate is the possible sedentary life which might be present in such weather especially in our eastern culture in which sport activities are uncommon (Kaplan et al., 2005 , Saker and Ogle, 2005  and Akkuzu et al., 2006 ). The sedentary life may increase the incidence of bone demineralization and osteoporosis with possible increase in BPPV.

The suggestion of a viral etiology of peripheral vestibular disorders including BPPV lead to the concept that recurrent vertigo is caused by reactivation of a neurotropic virus (Herpes family). If there is degeneration of a sense organ (otolith) which normally has an interrelationship with another sense organ (crista ampullaris), the syndrome of benign paroxysmal positional vertigo may appear (Gacek, 2013 ). The virus causes loss of vestibular neurons in such cases (Gacek, 2003 , Gacek and Gacek, 2002  and Gacek, 2009 ). Accordingly, a possible association between the above mentioned viral etiology as a causative factor of BPPV and low climate temperature which predisposes to the viral activation may exist (Hankenson et al., 2013  and Sawair et al., 2010 ). This may explain the increased number of BPPV patients in cold climate.

Regarding the atmospheric pressure, in our study there was a positive correlation with BPPV, which is significant in the overall estimation of the three years. A study by Paolo et al. showed that no such correlation between BPPV and atmospheric pressure (Mariani et al., 2008 ). Otherwise no current study explains the relationship between BPPV and atmospheric pressure and this may need further evaluations to see if such correlation exists.

The relation of BPPV to humidity, although there is apparent positive correlation, it is not significant. This is in agreement with Paolo et al., where humidity has no correlation to BPPV (Mariani et al., 2008 ).

The preponderance of BPPV in females may be related to high incidence of migraine (Chu et al., 2015 ). Although the prevalence of such problem was not studied in our series, the association of migraine with climatic variations was shown in a study in Berlin (Hoffmann et al., 2011 ), and this may explain the increased BPPV when climate changes occur.

6. Conclusion

The statistical evidence of the seasonal variation of BPPV and its relationships with climatic variation, especially the temperature, may add a new concept to this most common vestibular disorder.

The reasons may be multifactorial including local factors as infection and allergy, extending to more systemic hormonal, neurological and biochemical factors.

Conflict of interest

There are no conflicts of interest (including financial and other relationships) for the authors.

References

  1. Akkuzu et al., 2006 G. Akkuzu, B. Akkuzu, L.N. Ozluoglu; Vestibular evoked myogenic potentials in benign paroxysmal positional vertigo and Menieres disease; Eur. Arch. Otorhinolaryngol., 263 (2006), pp. 510–517
  2. Bilecki et al., 2005 M.M. Bilecki, G.E. Bernarde, R. Mezzalira, J.E. Maestri, J.M. Cardoso, F.G. Avila; Seasonality in vestibular disorders; Int. Tinnitus J., 11 (2) (2005), pp. 185–188
  3. Bloom and Katsarkas, 1989 J. Bloom, A. Katsarkas; Paroxysmal positional vertigo in the elderly; J. Otolaryngol., 18 (1989), pp. 96–98
  4. Brandt and Steddin, 1993 T. Brandt, S. Steddin; Current view of the mechanism of benign paroxysmal positioning vertigo: cupulolithiasis or canalolilthiasis?; J. Vest. Res., 3 (1993), pp. 373–382
  5. Buki et al., 2013 B. Buki, M. Ecker, H. Junger, Y.W. Lundberg; Vitamin D deficiency and benign paroxysmal positional vertigo; Med. Hypothesis, 80 (2) (2013), pp. 201–204
  6. Chu et al., 2015 C.H. Chu, C.J. Liu, L.Y. Lin, T.J. Chen, S.J. Wang; Migraine is associated with an increased risk for benign paroxysmal positional vertigo: a nationwide population-based study; J. Headache Pain, 16 (2015), p. 62
  7. Climate, 2016 Climate; Mosul, Historical Weather Records; Available at:  http://en.tutiempo.net/climate/ws-406080.html (accessed 01.04.16.)
  8. Cohen et al., 2004 H. Cohen, K.T. Kimball, M.G. Stewart; Benign paroxysmal positional vertigo and co-morbid conditions; ORL, 66 (2004), pp. 11–15
  9. Dix and Hallpike, 1952 M.R. Dix, C.S. Hallpike; The pathology, symptomatology and diagnosis of certain common disorders of the vestibular system; Proc. R. Soc. Med., 45 (1952), pp. 341–354
  10. Furman and Cass, 1999 J.M. Furman, S.P. Cass; Benign paroxysmal positional vertigo; N. Engl. J. Med., 341 (1999), pp. 1590–1596
  11. Gacek, 2003 R. Gacek; Pathology of benign paroxysmal positional vertigo revisited; Ann. Otol. Rhinol. Laryngol., 112 (2003), pp. 574–582
  12. Gacek, 2009 R. Gacek; Ménières disease is a viral neuropathy; ORL, 71 (2009), pp. 78–86
  13. Gacek, 2013 R.R. Gacek; A perspective on recurrent vertigo; ORL J. Otorhinolaryngol. Relat. Spec., 75 (2) (2013), pp. 91–107
  14. Gacek and Gacek, 2002 R. Gacek, M. Gacek; The three faces of vestibular ganglionitis; Ann. Otol. Laryngol., 111 (2002), pp. 103–114
  15. Hall et al., 1979 S.F. Hall, R.R. Ruby, J.A. McClure; The mechanics of benign paroxysmal vertigo; J. Otolaryngol., 8 (1979), pp. 151–158
  16. Hankenson et al., 2013 F.C. Hankenson, N. Ruskoski, M. van Saun, G.S. Ying, J. Oh, N.W. Fraser; Weight loss and reduced body temperature determine humane endpoints in a mouse model of ocular herpes virus infection; J. Am. Assoc. Lab. Anim. Sci., 52 (3) (2013), pp. 277–285
  17. Hoffmann et al., 2011 J. Hoffmann, H. Lo, L. Neeb, P. Martus, U. Reuter; Weather sensitivity in migraineurs; J. Neurol., 258 (4) (2011 Apr), pp. 596–602
  18. Jeong et al., 2009 S.H. Jeong, S.H. Choi, J.Y. Kim, J.W. Koo, H.J. Kim, J.S. Kim; Osteopenia and osteoporosis in idiopathic benign positional vertigo; Neurology, 72 (12) (2009), pp. 1069–1076 24
  19. Kaplan et al., 2005 D.M. Kaplan, M. Nash, A. Niv, M. Kraus; Management of bilateral benign paroxysmal positional vertigo; Otolaryngol. Head. Neck Surg., 133 (2005), pp. 769–773
  20. Katsarkas, 1999 A. Katsarkas; Benign paroxysmal positional vertigo (BPPV): idiopathic versus post-traumatic; Acta Otolaryngol., 119 (7) (1999), pp. 745–749
  21. Lasisi and Abdullahi, 2008 A.O. Lasisi, M. Abdullahi; The inner ear in patients with nasal allergy; J. Natl. Med. Assoc., 100 (2008), pp. 903–905
  22. Lee and Kim, 2010 S.H. Lee, J.S. Kim; Benign paroxysmal positional vertigo; J. Clin. Neurol., 6 (2) (2010), pp. 51–63
  23. Lips and van Schoor, 2011 P. Lips, N.M. van Schoor; The effect of vitamin D on bone and osteoporosis; Best. Pract. Res. Clin. Endocrinol. Metab., 25 (2011), pp. 585–591
  24. Mariani et al., 2008 P. Mariani, M. Pelagatti, A. Hahn, D. Alpini; Epidemiology of paroxysmal positioning vertigo: correlation with seasons, climate, and pollution; Int. Tinnitus J., 14 (2) (2008), pp. 168–174
  25. Neuhauser, 2007 H.K. Neuhauser; Epidemiology of vertigo; Curr. Opin. Neurol., 20 (2007), pp. 40–46
  26. Parnes et al., 2003 L.S. Parnes, S.K. Agrawal, J. Atlas; Diagnosis and management of benign paroxysmal positional vertigo (BPPV); CMAJ, 169 (2003), pp. 681–693
  27. Saker and Ogle, 2005 M. Saker, O. Ogle; Benign paroxysmal positional vertigo subsequent to sinus lift via closed technique; J. Oral Maxillofac. Surg., 63 (2005), pp. 1385–1387
  28. Sawair et al., 2010 F.A. Sawair, Z.A. Jassim, Z.A. Malkawi, K.D. Jamani; Epidemiologic aspects of recurrent herpes labialis among Jordanian University students; Saudi Med. J., 31 (7) (2010), pp. 808–813
  29. Schuknecht, 1969 H.F. Schuknecht; Cupulolithiasis; Arch. Otolaryngol., 90 (1969), pp. 765–778
  30. Titus and Ibekwe, 2012 S. Titus, C.R. Ibekwe; Clinical evaluation of posterior canal benign paroxysmal positional vertigo; Niger. Med. J., 53 (2) (2012), pp. 94–101
  31. Vibert et al., 2003 D. Vibert, M. Kompis, R. Häusler; Benign paroxysmal positional vertigo in older women may be related to osteoporosis and osteopenia; Ann. Otol. Rhinol. Laryngol., 112 (10) (2003), pp. 885–889
Back to Top

Document information

Published on 10/10/16

Licence: Other

Document Score

0

Views 21
Recommendations 0

Share this document

claim authorship

Are you one of the authors of this document?