Abstract

Black carbon (BC) deposited on snow and glacier surfaces can reduce albedo and lead to accelerated melt. An ice core recovered from Guoqu glacier on Mt. Geladaindong and analyzed using a Single Particle Soot Photometer (SP2) provides the first long-term (1843–1982) record of BC from the central Tibetan Plateau. Post 1940 the record is characterized by an increased occurrence of years with above average BC, and the highest BC values of the record. The BC increase in recent decades is likely caused by a combination of increased emissions from regional BC sources, and a reduction in snow accumulation. Guoqu glacier has received no net ice accumulation since the 1980s, and is a potential example of a glacier where an increase in the equilibrium line altitude is exposing buried high impurity layers. That BC concentrations in the uppermost layers of the Geladaindong ice core are not substantially higher relative to deeper in the ice core suggests that some of the BC that must have been deposited on Guoqu glacier via wet or dry deposition between 1983 and 2005 has been removed from the surface of the glacier, potentially via supraglacial or englacial meltwater.

Keywords

Black carbon ; Ice core ; Tibetan Plateau ; Glacier melt

1. Introduction

Black carbon (BC), an aerosol produced by the incomplete combustion of fossil and bio-fuels, can impact climate by absorbing energy directly in the atmosphere and by reducing albedo when deposited on snow and ice, potentially enhancing melt and accelerating glacial retreat (Hansen and Nazarenko, 2004 ). Investigating BCs past and present variability allows the impacts of BC on climate and water resources to be assessed. This is especially important in the Himalaya/Tibetan Plateau, a region that provides fresh water to over a billion people and where BCs climatic effects are estimated to be the largest (Flanner et al., 2007 ; Qian et al., 2011  ;  Ramanathan and Carmichael, 2008 ). Research regarding BC deposition on snow and ice in the Tibetan Plateau and Himalaya has increased in recent years, although the majority of these studies have been limited to spatial variations in surface snow (Ming et al., 2009  ;  Ming et al., 2013 ), or relatively short-term temporal variations of BC concentrations since 1950 or later reconstructed from ice cores (Ginot et al., 2014 ; Liu et al., 2008 ; Ming et al., 2008  ;  Xu et al., 2009 ). Longer-term (pre-industrial to present) records of BC are useful for assessing BCs impact on historical climate, and establishing changes in BC associated with industrialization (Kaspari et al., 2011 ). Additionally, BC has a short atmospheric residence time (days to weeks), which means that BCs impacts are highly correlated to its sources, requiring records from many locations. At present only two pre-industrial to modern ice core records from this region have been developed; one from Mt. Everest in the Himalaya (Kaspari et al., 2011 ), and another from Mt. Muztagh Ata in the Eastern Pamirs (Wang et al., 2015 ). Herein we present the first long-term record (1843–1982) of BC concentrations from the central Tibetan Plateau, reconstructed from an ice core recovered from Mt. Geladaindong (5800 m a.s.l.) and analyzed at high-resolution using a Single Particle Soot Photometer (SP2; Droplet Measurement Technologies, Boulder, USA).

2. Methods

In Fall (2005), a 147 m long ice core was recovered from a flat area at the top of Guoqu glacier on the northern slope of Mt. Geladaindong (33°34.60′N, 91°10.76′E, 5750 m a.s.l.) located in the Tanggula Mountains of the central Tibetan Plateau (Kang et al., 2015 ) (Fig. 1 ). The ice core was collected using an electro-mechanical drill during an expedition led by the Institute of Tibetan Plateau Research. A quarter section of the 147 m ice core was processed in May 2010 in Lanzhou, China at the Cold and Arid Regions Environmental and Engineering Research Institute in preparation for BC analysis. The core was cut into ∼5.0–6.5 cm long segments and rinsed in ultra-pure Milli-Q water to remove the outer section of the core that can potentially be contaminated during the drilling or cutting process. Once rinsed, samples were placed in 50 ml polypropylene vials and prepared for shipment to Central Washington University in Ellensburg, WA. Due to customs issues the samples were not kept frozen. Because earlier tests showed that refreezing samples resulted in an apparent reduction in BC concentrations (Kaspari et al., 2011  ;  Wendl et al., 2014 ), the samples were stored as liquid until analyzed for BC using a SP2 between October 2010 and July 2011.


Fig. 1


Fig. 1.

Map showing the location of the Geladaindong, Everest and Muztagh Ata ice core sites, the Nam Co Lake sediment core site, and meteorological stations discussed in the text.

Six hundred and twenty-five samples were analyzed for BC from the upper 42 m of the core. All samples were treated and analyzed for BC according to the methods reported by Kaspari et al. (2011) : Samples were acidified to 0.5 mol HNO3 , sonicated for 15 min just prior to analysis, and stirred using a magnetic stirrer during analysis. Subsequent research has shown that acidification aids in recovery of BC in samples stored in polypropylene (Wendl et al., 2014 ), however in general we advise against acidification for samples that are kept frozen until just prior to analysis because acidification can break down super-micron BC particles, causing a shift towards smaller BC particles (Schwarz et al., 2012 ). In this study particles were measured in the size range 80–500 nm, and testing we did with acidifying samples did not indicate a detectable shift in BC mass-size distributions in this size range. The liquid samples were nebulized using a Cetac U-5000AT + ultrasonic nebulizer, and the resulting aerosol was coupled to the inlet of the SP2. The SP2 uses laser-induced incandescence to determine the mass of refractory BC in individual particles (Schwarz et al., 2006  ;  Stephens et al., 2003 ). The SP2 was internally and externally calibrated using Aquadag (Aqueous Deflocculated Acheson Graphite, Acheson Industries Inc.), as described in Wendl et al. (2014) . Monitoring of liquid sample flow rate pumped into the nebulizer, fraction of liquid sample nebulized and purge airflow rate allows BC mass concentrations in the liquid sample to be determined.

Previous research has documented that nebulization efficiency of BC particles with the Cetac U-5000AT + ultrasonic nebulizer is size dependent (Schwarz et al., 2013  ;  Wendl et al., 2014 ). Additionally, samples stored in the liquid phase show an apparent reduction in measured concentration over time. Freshly prepared Aquadag standards and environmental snow melted just prior to being measured were re-measured periodically over a 212-day period. Measured BC concentrations decreased until 55 days, after which BC concentrations stabilized (Menking, 2013 ). Possible causes of the BC losses include BC adhering to the vial walls, and/or BC particles agglomerating above the size range at which particles are efficiently nebulized and outside of the detection range of the SP2. These factors lead to uncertainties in the actual BC concentrations (Wendl et al., 2014 ). As a result, herein we report the BC data as a standardized record (difference from the mean/standard deviation), and focus our interpretation on relative differences in BC over time rather than on absolute concentrations.

The Geladaindong ice core was dated by counting the annual layer signal from isotopes, ions and trace elements, and verified using known age horizons from the 1963 tritium peak, several volcanic markers, and the 210 Pb profile (Kang et al., 2015 ). Although the ice core was recovered in 2005, annual mass loss of ice at this location has resulted in the loss of the most recent 22 years of the record, and the top of the core is dated to 1982 AD. To account for changes in sample resolution with depth in the ice core due to glacier thinning, the high-resolution BC and Fe (used as a proxy for dust) data presented herein were re-sampled to annual resolution. Other findings utilizing the calcium (Grigholm et al., 2015 ), stable isotope (Zhang et al., 2016 ), and microparticle records (Zhang et al., 2015b ) from the Geladaindong ice core have previously been reported.

3. Results and discussion

3.1. Results

The annually resolved Geladaindong BC record spans 1843–1982 (Fig. 2 ). Post 1940 the record is characterized by an increased occurrence of years with above average BC, and the highest BC values of the record. Likely causes for the higher BC post 1940 include increased BC emissions and subsequent deposition, and/or a decrease in snow accumulation due to less snowfall or melt. These factors are considered in more detail below.


Fig. 2


Fig. 2.

Standardized BC records from the Geladandong ice core (this study); the Everest ice core (Kaspari et al., 2011 ); the Nam Co sediment core (Cong et al., 2013 ); the Muztagh Ata ice core (Wang et al., 2015 ) and BC emissions from energy related combustion (Bond et al., 2007 ). The regional BC emissions are a summation of emissions from East Asia, the Former USSR, Eastern Europe, South Asia, and the Middle East.

3.2. BC emissions and deposition

BC fossil fuel sources include the burning of coal, diesel, and gasoline for manufacturing, transportation, heating and cooling, and power generation while BC bio-fuel sources include forest and grassland fires, crop burning, and small-scale heating and cooking (Bond et al., 2004 ; Reddy and Venkataraman, 2002  ;  Venkataraman et al., 2006 ). Based on modeling work, Lu et al. (2012) found that BC deposited over the Tibetan Plateau comes primarily from the residential, industry and land transport sectors, whereas Zhang et al. (2015a) report that biofuel and biomass sources are greater than fossil fuel sources. These studies report that BC deposition is greatest during the non-summer monsoon months, consistent with BC in snow observations from the region (Kaspari et al., 2011 ; Kaspari et al., 2014  ;  Ming et al., 2009 ).

Due to Geladaindongs remote location, emissions from local sources are likely minimal (Zhang et al., 2015a ). Instead, we expect the majority of BC deposited here to be transported from large-scale regional sources. Prior investigations have reported the geographical sources of BC transported to this region of the Tibetan Plateau. Xu et al. (2009) suggested that the Middle East and Europe are the primary sources, whereas using the GEOS-Chem model Kopacz et al. (2011) found that BC transported to this region originates primarily from China, India, Pakistan and the Middle East, with lesser contributions from Nepal, Africa and Russia. Zhang et al. (2015a) used an aerosol-climate model with a source-tagging technique and determined that surface deposition in the central Tibetan Plateau is dominated by South Asia BC emissions.

Estimated BC emissions from historical records of energy-related combustion from East Asia, the Former USSR, Eastern Europe, South Asia, and the Middle East increased since the 1850s, with marked increases in all regions by the mid-1900s (Bond et al., 2007 ) (Fig. 2 ). The timing of the increase in emissions is consistent with higher BC post-1940 as recorded by the Geladaindong ice core, suggesting that higher BC deposition is at least partially due to rising emissions in the region. However, we are not able to attribute the rise to a specific source region.

The only other BC records from the region that span back to ∼1850 also indicate increases in BC during the 20th century (Fig. 2 ). The ice core BC records from Mt. Everest in the Himalaya (Kaspari et al., 2011 ) and Muztagh Ata in the Eastern Pamirs (Wang et al., 2015 ) both indicate a three-four fold increase in BC concentrations post 1970s relative to background levels. Similarly, BC flux in a sediment core from Nam Co Lake, central Tibetan Plateau markedly increased during the 20th century with peak BC concentrations post 1970 (Cong et al., 2013 ). We speculate that if the Geladaindong ice core record was preserved post-1982, a similar increase likely would have been observed.

3.3. Snow accumulation and BC

Assuming BC deposition remains constant over annual and longer time resolution, less snow accumulation will yield higher BC concentrations. Thus, in addition to rising BC emissions, generally below average snow accumulation (with the exception of the early-mid 1950s) may have contributed to the higher BC post 1940 in the Geladaindong ice core (Fig. 2 ). Geladaindong annual snow accumulation is significantly correlated with annual BC (r  = −0.16, n  = 141, p  < 0.05), indicating that snow accumulation is an important control on the observed BC concentrations. Furthermore, the standardized annual BC flux record (annual BC flux = annual average BC × annual snow accumulation) shows less of an increase post 1940 than the standardized annual BC record, indicating that lower snow accumulation is partially responsible for the higher BC post 1940. That there is a modest increase in BC flux post 1940 corroborates that in addition to lower accumulation, BC deposition also likely increased.

Consistent with the observed reduction in snow accumulation in the ice core record, widespread glacier retreat across the Tibetan Plateau has been documented in recent decades (Yao et al., 2012 ). Ye et al. (2006) reconstructed glacier area in the Geladaindong region using topographic maps from 1969 and Landsat images from 1973 to 1976, 1992 and 2002. While some glaciers advanced during the time period investigated, the area of glacier retreat was much larger. During the period of overlap with the Geladaindong ice core, glacier area decreased by 4.7 km2 (equivalent to 0.5% of the glacierized area) from 1969 to 1976, followed by accelerated glacier retreat during the 1980s and 1990s. Kang et al. (2015) showed that Geladaindong (5750 m) and nearby Nyainqentanglha (5850 m) have not received net ice accumulation since the 1980s and 1950s, respectively.

Ye et al. (2006) and Kang et al. (2015) implicated greater melt associated with rising temperatures with the observed glacier changes. Surface temperatures on the Tibetan Plateau have increased by 1.8 °C since 1960 (Wang et al., 2008 ), with temperature increases greatest at high elevations (Liu and Chen, 2000 ). This temperature increase is roughly three times greater than the global average over the same time period. The Geladaindong ice core δ18 O record, used as a temperature proxy, also demonstrates an amplified warming trend during the late 20th century (Zhang et al., 2016 ).

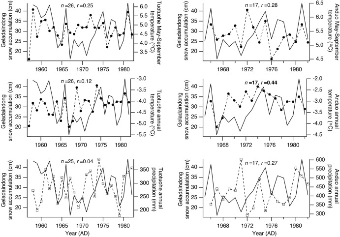
The observed glacier retreat in this region is likely affected by both reductions in snow accumulation and rising temperatures. However, deciphering the role of temperature induced melt versus decreased precipitation with the lower snow accumulation at Geladaindong post 1940 is challenging because meteorological data on the Tibetan Plateau from prior to the 1950s or at elevations greater than 4000 m are sparse. The closest meteorological stations to Geladaindong are Tuotuohe (34°13′N, 92°26′E, 4534 m) and Anduo (32°21′N, 91°6′E, 4801 m) with data going back to 1956 and 1965, respectively (Fig. 1  ;  Fig. 4 ). Geladaindong annual accumulation and Anduo annual temperature are significantly positively correlated (n  = 17, r  = 0.44, p  < 0.05) ( Fig. 4 ), however if temperature was driving melt a negative correlation is expected. The lack of a significant correlation between the ice core accumulation record and other temperature and precipitation records may be due to spatial differences in temperature and precipitation between the meteorological stations and Guoqu glacier, and likely other factors that control accumulation including removal of deposited precipitation via melt, sublimation or wind scouring.


Fig. 3


Fig. 3.

Geladaindong ice core standardized snow accumulation, BC flux, BC, iron (Fe) and microparticle records. The microparticle record is from Zhang et al., 2015a ; Zhang et al., 2015b ; Zhang et al., 2015a  ;  Zhang et al., 2015b .


Fig. 4


Fig. 4.

Geladaindong reconstructed snow accumulation (cm water equivalent, black solid line) and May–September temperature (°C), annual temperature (°C) (both black dashed lines with solid circles) and precipitation (mm) (dashed lines with open squares) at Tuotohe (left) and Anduo (right) meteorological stations. Statistical (n and r ) values are reported for each plot, and are not significant except for between Geladaindong snow accumulation and Anduo annual temperature (n  = 17, r  = 0.44, p  < 0.05).

3.4. Potential for BC induced glacier melt

While glacier retreat is often attributed to temperature increases or precipitation decreases, another important factor in glacier retreat that is increasingly recognized is the presence of light absorbing impurities (BC, dust and colored organics) that can accelerate melt (Hansen and Nazarenko, 2004 ). Light absorbing impurities in snow and ice reduce the surface albedo, which heats the snowpack by conducting energy from the heated BC and dust to snow grains, resulting in accelerated snow metamorphism. This in turn leads to coarser snow grains, which further reduce the snow albedo, leading to greater energy absorption and melt (Painter et al., 2012 ).

Previous studies have documented that impurities become concentrated at the glacier surface due to mechanical trapping during conditions of melt or sublimation (Conway et al., 1996  ;  Xu et al., 2012 ). At Geladaindong, a positive feedback cycle may exist in which: 1) greater BC deposition has lowered the surface albedo and increased melt, and/or 2) warmer temperatures have increased glacier melt, resulting in higher BC concentrations, lower surface albedo, and increased melt. Thus, the higher BC observed since the 1940s may be caused by the combined effects of higher BC deposition on the glacier from increasing regional BC emissions, and BC induced melt that results in higher BC concentration. The latter assumes BC is deposited in high enough concentrations to contribute to melt, and that BC is preserved in the snowpack (i.e., is not removed from the glacier with meltwater). BC preservation in the snowpack is supported by Xu et al. (2012) , who monitored BC concentrations in the snowpack above the superimposed ice layer on a Tien Shan glacier over a year. They found that relative to freshly fallen snow, during the melt season BC was enriched in the surface snow and to an even greater extent in the snow/firn directly above the superimposed ice layer from meltwater.

While Geladaindong BC is higher post 1940, a notable finding of this study is that BC is not markedly higher in the uppermost layers of the record. Xu et al. (2012) noted that due to the coupled impacts of greenhouse-gas warming and BC enrichment in surface snow, dirty ice that can at present form in the accumulation zone underlying the snowpack can be exposed in the future as the glacier equilibrium line altitude (ELA) increases. The ELA at Guoqu glacier has increased in recent decades, thus this site is a potential example of the process that Xu et al. (2012) project already occurring. Based on the Geladaindong ice core dating, the most recent 22 years of accumulation were not preserved at the drill site on Guoqu glacier (Kang et al., 2015 ). If the glacier mass loss did cause numerous years of accumulated BC to coalesce into single horizons, we would expect to see anomalously high BC concentrations in the uppermost layers of the ice core record. This wasn't observed, thus we suggest that a portion of the BC that must have been deposited on Guoqu glacier via wet or dry deposition between 1983 and when the ice core was drilled in 2005 was transported off the surface of the glacier, potentially via supraglacial or englacial flow. It is unlikely that the BC migrated to greater depths in the record because of the formation of superimposed ice layers that prevent the BC from being transported downwards in the glacier.

3.5. Efficacy of BC and dust in albedo reduction

While many recent studies focus on the role of BC in reducing snow albedo and accelerating snow and glacier melt in the region (Ming et al., 2008 ; Ming et al., 2009 ; Xu et al., 2009  ;  Xu et al., 2012 ) less attention has been given to the efficacy of BC to reduce albedo and accelerate melt in the presence of other absorbing impurities (Ming et al., 2012 ). Albedo reductions from BC will be less in the presence of other absorbing impurities because the other impurities will capture some of the solar absorption that the BC would receive in the absence of other impurities (Kaspari et al., 2011 ). This is particularly relevant for glaciers in this region because while the mass absorption efficiency of BC is higher than dust (Yang et al., 2009 ), dust tends to be present in much higher concentrations (Kaspari et al., 2014 ). Furthermore, the relative importance of BC versus dust and other light absorbing impurities can vary greatly regionally. Wang et al. (2013) investigated the relative absorption of BC, dust and organic carbon in snow in northern China, and demonstrated that snow particulate light absorption was dominated by BC in northeastern China, whereas it was dominated by local soil and desert dust on the northern boundary of the Tibetan Plateau.

We do not attempt to assess albedo reductions due to BC and dust, nor the albedo reduction of BC relative to dust because 1) the BC record presented herein provides a relative record of BC changes rather than absolute concentrations; and 2) uncertainties in the optical properties and absorption efficiency of dust deposited at Guoqu glacier. Instead, we examine trends in the BC, dust microparticle (Zhang et al., 2015b ), and Fe records, using Fe as a proxy for dust because iron oxides dominate light absorption by mineral dust. In contrast to the BC record, microparticle and Fe concentrations post-1950 are below average with the exception of the early 1960s (Fig. 3 ). This recent reduction in dust deposition is consistent with other ice core dust records from the Tibetan Plateau, likely due to reduced dust emissions (Grigholm et al., 2015 ). The differing trends between the BC and Fe records may suggest that if changes in the concentrations of absorbing impurities have influenced recent glacial melt, it may be due to the presence of BC rather than dust. A similar pattern was observed in the Mt. Everest ice core which documented stable dust concentrations from ∼1860 to 2000 in the presence of increasing BC concentrations (Kaspari et al., 2011 ). However, without constraining BC and dust concentrations and optical properties, assessing the relative importance of dust versus BC in lowering albedo over time is highly speculative and considerable more research is needed.

4. Conclusions

Here we presented the first long-term (1843–1982) record of BC from the Tibetan Plateau reconstructed from a Mt. Geladaindong ice core. Post 1940 the record is characterized by an increased occurrence of years with above average BC, and the highest BC values of the record. The higher BC concentrations in recent decades are likely caused by a combination of increased emissions from regional BC sources, and a reduction in snow accumulation.

Guoqu glacier on Mt. Geladaindong serves as a potential example of a glacier where an increase in the ELA is already exposing buried high impurity layers. Because the most recent 22 years (1983–2005) of accumulation were not preserved at the drill site on Guoqu glacier, it is notable that BC concentrations in the uppermost layers of the Geladaindong ice core are not markedly higher. This suggests that some of the BC that must have been deposited on Guoqu glacier via wet or dry deposition between 1983 and 2005 has been removed from the surface of the glacier, potentially via supraglacial or englacial meltwater.

The available BC and dust data are not sufficient to quantify the relative absorption of BC versus dust to albedo reductions. However, that dust concentrations are lower in recent decades suggest that if changes in the concentrations of absorbing impurities have influenced recent glacial melt, the melt may be due to the presence of BC rather than dust. Further observational studies are needed to assess the relative contribution of different absorbing impurities (e.g., BC, dust, colored organics, humic-like substances, snow algae) to snow and glacier melt.

Acknowledgments

This research was funded by the National Science Foundation (OISE-0653933 and EAR-0957935 ), the National Natural Science Foundation of China (41121001 , 41225002 ) and by a Geological Society of America Graduate Research Grant.

References

  1. Bond et al., 2004 T.C. Bond, D.G. Streets, K.F. Yarber, et al.; A technology-based global inventory of black and organic carbon emissions from combustion; J. Geophys. Res. Atmos., 109 (2004)
  2. Bond et al., 2007 T. Bond, E. Bhardwaj, R. Dong, et al.; Historical emissions of black and organic carbon aerosol from energy-related combustion, 1850–2000; Glob. Biogeochem. Cycles, 21 (2007)
  3. Cong et al., 2013 Z. Cong, S. Kang, S. Gao, et al.; Historical trends of atmospheric black carbon on Tibetan Plateau as reconstructed from a 150-year lake sediment record; Environ. Sci. Technol., 47 (2013), pp. 2579–2586
  4. Conway et al., 1996 H. Conway, A. Gades, C.F. Raymond; Albedo of dirty snow during conditions of melt; Water Resour. Res., 32 (1996), pp. 1713–1718
  5. Flanner et al., 2007 M.G. Flanner, C.S. Zender, J.T. Randerson, et al.; Present-day climate forcing and response from black carbon in snow; J. Geophys. Res., 112 (2007)
  6. Ginot et al., 2014 P. Ginot, M. Dumont, S. Lim, et al.; A 10 year record of black carbon and dust from a Mera Peak ice core (Nepal): variability and potential impact on melting of Himalayan glaciers; Cryosphere, 8 (2014), pp. 1479–1496
  7. Grigholm et al., 2015 B. Grigholm, P.A. Mayewski, S. Kang, et al.; 20th century dust lows and the weakening of the westerly winds over the Tibetan Plateau; Geophys. Res. Lett., 42 (2015), pp. 2434–2441
  8. Hansen and Nazarenko, 2004 J. Hansen, L. Nazarenko; Soot climate forcing via snow and ice albedos; Proc. Natl. Acad. Sci., 101 (2004), pp. 423–428
  9. Kang et al., 2015 S. Kang, F. Wang, U. Morgenstern, et al.; Decapitation of high-altitude glaciers on the Tibetan Plateau revealed by ice core tritium and mercury records; Cryosphere Discuss., 9 (2015), pp. 417–440
  10. Kaspari et al., 2011 S. Kaspari, M. Schwikowski, M. Gysel, et al.; Recent Increase in Black Carbon Concentrations from a Mt. Everest Ice Core Spanning 1860–2000 AD; Geophy. Res. Lett. (2011) http://dx.doi.org/10.1029/2010GL046096R
  11. Kaspari et al., 2014 S. Kaspari, T.H. Painter, M. Gysel, et al.; Seasonal and elevational variations of black carbon and dust in snow and ice in the Solu-Khumbu, Nepal and estimated radiative forcings; Atmos. Chem. Phys., 14 (2014), pp. 1–15
  12. Kopacz et al., 2011 M. Kopacz, D.L. Mauzerall, J. Wang, et al.; Origin and radiative forcing of black carbon transported to the Himalayas and Tibetan Plateau; Atmos. Chem. Phys., 11 (2011), pp. 2837–2852
  13. Liu et al., 2008 X. Liu, B. Xu, T. Yao, et al.; Carbonaceous particles in Muztag Ata ice core, West Kunlun Mountains, China; Chin. Sci. Bull., 53 (2008), pp. 3379–3386
  14. Liu and Chen, 2000 X.D. Liu, B.D. Chen; Climatic warming in the Tibetan Plateau during recent decades; Int. J. Climatol., 20 (2000), pp. 1729–1742
  15. Lu et al., 2012 Z. Lu, D.G. Streets, Q. Zhang, et al.; A novel back-trajectory analysis of the origin of black carbon transported to the Himalayas and Tibetan Plateau during 1996–2010; Geophys. Res. Lett., 39 (2012)
  16. Menking, 2013 J.A. Menking; Black Carbon Measurements of Snow and Ice Using the Single Particle Soot Photometer: Method Development and an Ad 1852–1999. Record of Atmospheric Black Carbon from a Mount Logan Ice Core Geological Sciences; Central Washington University (2013)
  17. Ming et al., 2008 J. Ming, H. Cachier, C. Xiao, et al.; Black carbon record based on a shallow Himalayan ice core and its climatic implications; Atmos. Chem. Phys., 8 (2008), pp. 1343–1352
  18. Ming et al., 2009 J. Ming, C. Xiao, H. Cachier, et al.; Black Carbon (BC) in the snow of glaciers in west China and its potential effects on albedos; Atmos. Res., 92 (2009), pp. 114–123
  19. Ming et al., 2012 J. Ming, Z. Du, C. Xiao, et al.; Darkening of the mid-Himalaya glaciers since 2000 and the potential causes; Environ. Res. Lett., 7 (2012), p. 014021
  20. Ming et al., 2013 J. Ming, C. Xiao, Z. Du, et al.; An overview of black carbon deposition in High Asia glaciers and its impacts on radiation balance; Adv. Water Resour., 55 (2013), pp. 80–87
  21. Painter et al., 2012 T. Painter, S.M. Skiles, J. Deems, et al.; Dust radiative forcing in snow of the Upper Colorado River Basin: 1. A 6 year record of energy balance, radiation, and dust concentrations; Water Resour. Res., 48 (2012)
  22. Qian et al., 2011 Y. Qian, M.G. Flanner, L.R. Leung, et al.; Sensitivity studies on the impacts of Tibetan Plateau snowpack pollution on the Asian hydrological cycle and monsoon climate; Atmos. Chem. Phys., 11 (2011), pp. 1929–1948
  23. Ramanathan and Carmichael, 2008 V. Ramanathan, G.R. Carmichael; Global and regional climate changes due to black carbon; Nat. Geosci., 1 (2008), pp. 221–227
  24. Reddy and Venkataraman, 2002 M.S. Reddy, C. Venkataraman; Inventory of aerosol and sulphur dioxide emissions from India: I-Fossil fuel combustion; Atmos. Environ., 36 (2002), pp. 677–697
  25. Schwarz et al., 2006 J.P. Schwarz, R.S. Gao, D.W. Fahey, et al.; Single-particle measurements of midlatitude black carbon and light-scattering aerosols from the boundary layer to the lower stratosphere; J. Geophys. Res., 111 (2006)
  26. Schwarz et al., 2012 J.P. Schwarz, S. Doherty, F. Li, et al.; Assessing recent measurement techniques for quantifying black carbon concentration in snow; Atmos. Meas. Tech. Discuss., 5 (2012), pp. 3771–3795
  27. Schwarz et al., 2013 J.P. Schwarz, R.S. Gao, A.E. Perring, et al.; Black carbon aerosol size in snow; Nat. Sci. Rep., 3 (2013)
  28. Stephens et al., 2003 M. Stephens, N. Turner, J. Sandberg; Particle identification by laser-induced incandescence in a solid-state laser cavity; Appl. Opt., 42 (2003), pp. 3726–3736
  29. Venkataraman et al., 2006 C. Venkataraman, G. Habib, D. Kadamba, et al.; Emissions from open biomass burning in India: integrating the inventory approach with high-resolution Moderate Resolution Imaging Spectroradiometer (MODIS) active-fire and land cover data; Glob. Biogeochem. Cycles, 20 (2006)
  30. Wang et al., 2008 B. Wang, Q. Bao, B. Hoskins, et al.; Tibetan Plateau warming and precipitation changes in East Asia; Geophys. Res. Lett., 35 (2008)
  31. Wang et al., 2015 M. Wang, B. Xu, S. Kaspari, et al.; Century-long record of black carbon in an ice core from the eastern Pamirs: estimated contributions from biomass burning; Atmos. Environ., 115 (2015), pp. 79–88
  32. Wang et al., 2013 X. Wang, S. Doherty, J. Huang; Black carbon and other light-absorbing impurities in snow across Northern China; J. Geophys. Res., 118 (2013)
  33. Wendl et al., 2014 I. Wendl, J.A. Menking, M. Farber, et al.; Optimized method for black carbon analysis in ice and snow using the Single Particle Soot Photometer; Atmos. Meas. Tech., 7 (2014)
  34. Xu et al., 2009 B. Xu, J. Cao, J. Hansen, et al.; Black soot and the survival of Tibetan glaciers; Proc. Natl. Acad. Sci., 106 (2009), pp. 22114–22118
  35. Xu et al., 2012 B. Xu, J. Cao, D. Joswiak, et al.; Post-depositional enrichment of black soot in snow-pack and accelerated melting of Tibetan glaciers; Environ. Res. Lett., 7 (2012)
  36. Yang et al., 2009 M. Yang, S.G. Howell, J. Zhuang, et al.; Attribution of aerosol light absorption to black carbon, brown carbon, and dust in China – interpretations of atmospheric measurements during EAST-AIRE; Atmos. Chem. Phys., 9 (2009), pp. 2035–2050
  37. Yao et al., 2012 T. Yao, L.G. Thompson, W. Yang, et al.; Different glacier status with atmospheric circulations in Tibetan Plateau and surroundings; Nat. Clim. Change, 2 (2012), pp. 663–667
  38. Ye et al., 2006 Q. Ye, S. Kang, F. Chen, et al.; Monitoring glacier variations on Geladandong mountain, central Tibetan Plateau, from 1969 to 2002 using remote-sensing and GIS technologies; J. Glaciol., 52 (2006), pp. 537–545
  39. Zhang et al., 2015a R. Zhang, H. Wang, Y. Qian, et al.; Quantifying sources, transport, deposition, and radiative forcing of black carbon over the Himalayas and Tibetan Plateau; Atmos. Chem. Phys., 15 (2015), pp. 6205–6223
  40. Zhang et al., 2015b Y. Zhang, S. Kang, Q. Zhang, et al.; A 500 year atmospheric dust deposition retrieved from a Mt. Geladaindong ice core in the central Tibetan Plateau; Atmos. Res., 166 (2015), pp. 1–9
  41. Zhang et al., 2016 Y. Zhang, S. Kang, B. Grigholm, et al.; Twentieth-century warming preserved in a Geladaindong mountain ice core, central Tibetan Plateau; Ann. Glaciol., 57 (2016), pp. 70–80
Back to Top

Document information

Published on 15/05/17
Submitted on 15/05/17

Licence: Other

Document Score

0

Views 26
Recommendations 0

Share this document

claim authorship

Are you one of the authors of this document?