Abstract

People׳s visual perception and recognition of urban colorscape tones change significantly in hazy weather. A psychological experiment is conducted in this study to investigate visual comfort related to commercial and residential buildings. Visual observations are performed on the tones of an urban colorscape during hazy weather and air pollution in Harbin, China. Fifty-eight color samples selected through an orthogonal method are evaluated through a Likert scale by 30 subjects in a laboratory setting. Statistical analysis is performed with the maximal information coefficient and R language. Experimental results show that the changing threshold values of color tones are related to the visual comfort levels of the subjects. The influence of the three factors of color tones on visual comfort level is relatively independent, and the effects of value and chroma contrast on color comfort level are greater than that of hue contrast in hazy weather. Furthermore, the comfort recognition threshold values of color tones in hazy weather are determined through data comparisons and analyses.

Keywords

Hazy weather ; Air pollution ; Urban colorscape ; Color tone ; Visual comfort

1. Introduction

Most developing countries encounter environmental observation obstacles caused by hazy weather. Low visibility in hazy weather seriously affects the daily lives of city residents, who face increased air pollution on a global scale; this increased air pollution results in increased respiratory illnesses and even death (Lawin, 2016  ;  Wei, 2016 ; Cakmak et al., 2016 ). Environmental pollution in China is a typical example; various traffic accidents have occurred in major cities because of hazy weather conditions (Tu et al ., 2014  ; Li and Zhang, 2014 ; Yin et al ., 2016  ; Wang et al ., 2014  ;  Long et al ., 2016 ).

In urban spaces, colorscape is the main factor that affects environmental recognition (Zheng, 2006 ). Similar to urban green space, colorscape supports the ecosystem services of urban areas and protects public psychological health (Wolch et al., 2014 ). It is also a specific environmental factor related to the physical activities of urban populations, particularly older adults (Wang, 2014 ). Colorscapes can mitigate the moods of people and alleviate visual pressure. Considering that building color occupies the largest part of the urban environmental colorscape, it is a decisive factor that affects colorscape (Yin, 2004 ). Building color is man-made, similar to the many components of the urban environment; this urban environment is the main target of sustainability and regeneration strategies of cities (Chiesura, 2004 ). However, most of the building colors in an urban environment do not exist separately. Instead, they are generally presented as combinations of two or more colors; tonal relationships are thus established. Building colors can generally be regarded as a type of form or space that consists of various colors, including main, secondary, and dotted (Tian et al ., 2011  ;  Ural and Yilmazer, 2010 ). This combination is based on the three color–appearance attributes and forms the abundant color tone of a building through value, chroma, and hue contrast among the different areas of the building׳s colors. In their semantic evaluation of architectural color design, Ural and Yilmazer (2010) found that color tone plays a remarkable role in the cognition of the color and urban space of architecture. Therefore, improving the colorscape tone of urban areas to overcome environmental visual identification obstacles in foggy and hazy weather is a critical issue that city planners and architects must address.

Research on color tone has focused on two main aspects. The first is the study of color preferences with regard to different color combinations. This area includes analyses and predictions of different preference values of color tone and emotions resulting from different color tones, such as warm–cool, light–heavy, modern–classical, and active–passive, as well as psychological assessment studies (Guilford, 1931  ;  Ou et al ., 2004 ). For example, Hogg (1969) investigated 12 color emotions to study the combinations of color tones. He identified four underlying factors, namely, active potency, evaluative, emotional tone, and usual/obvious. Sivik (1989) identified the factors that influence color emotion by examining 100 color emotional scales. Yang et al. (2013) used color and its luminous conditions in visual performance assessments, and Lam and Cheng (1998) explored color through environmental assessment, particularly in pollution conditions. The latter research addressed the degree of color harmony. Ostwald (1969) and Munsell (1969) proposed the principle of color order and area balance; this principle harmonizes colors based on their solid characteristics. Itten (1961) found that the color harmony model depends on the position of different colors in the hue circle.

Research on building color tone has focused on the relations of the color tones of the building façade and their functions in space. For instance, Le and Ruegg (1997) argued that color changes the distance between adjacent buildings by opening the visual perspective relationship between the buildings and breaking the feeling of extrusion between the adjacent walls. Research on the color tones of buildings has also examined aesthetic, cultural, and ethical concerns and other social aspects (Serra et al., 2012 ).

However, these color tone discussions regarding the creation of architectural space and form were conducted under normal weather conditions. When haze is present in the environment and visual identification is disturbed, how do human recognition and identification of the tone of the urban colorscape change? Addressing this question in the framework of color tones requires further study. Meanwhile, improving the overall urban environment, landscape recognition, and visual comfort of the urban colorscape is also an effective method. Urban colorscape designers will greatly benefit from broadening the field of building colors.

This study is conducted in the context of the foggy and hazy weather in China. This study aims to investigate the relationship between human visual comfort level and the value contrast , chroma contrast, and hue contrast of architectural color tones in hazy weather. Additionally, the comfort recognition threshold values of the color tone of a building in hazy weather are determined. A model is built to clarify the quantitative relationship between architectural color tone and visual comfort level in hazy weather. Experiments are designed through orthogonal methods to select the urban colorscape represented by buildings. The experiments are based on practical fixed-point measurement of the architectural color tone in both hazy and normal weather conditions. A psychological evaluation of the visual comfort levels of the subjects is also performed with the architectural color tone in normal weather as the standard. The comfort levels of the subjects are predicted by identifying the color tone range. In this manner, a quantitative index of architectural colors is provided to designers, and referential research methods for the planning and evaluation of urban colorscapes in abnormal weather are established.

2. Method

2.1. Sampling method

The experiment assessed the visual comfort level of different color tones of urban colorscapes represented by buildings. Taking photographs has been used as an effective method in investigating the color tones of buildings; it is a method proposed by Lenclos to mimic research target colors (Lenclos and Lenclos, 1990 ). The architectural color scale card of the Chinese color system (GSB 16-1517-2002) was used to visualize architectural colors, and a portable color luminance meter (TOPCON BM–7) was used to adjust these colors. The luminance meter was calibrated on a standard whiteboard made of barite. Photographs were obtained under hazy and normal weather conditions at 0.5 km fixed distance point shooting. The selected sampling site is Harbin, one of the most heavily polluted city centers in Northeast China. The index range of PM2.5 is approximately 21–412 mg/m3 in Harbin. Architectural colors and styles are abundant and thus provide adequate coverage for color sample selection. The types of selected buildings include commercial and residential, which account for the largest proportion of buildings in Harbin. All selected buildings demonstrate tonal contrast relations. Most architectural color samples were collected between 10 a.m. and 2 p.m. to avoid causing disturbance to the selected architectural color sampling and errors in the test data resulting from different color temperatures. Light climate selection focused on cloud-free or uniformly overcast skies to observe and test the architectural color tones. Additionally, the backlight effects of direct sunlight and cloud shadows on the buildings were avoided.

2.2. Media characteristics

Three groups of buildings were randomly selected to obtain the threshold of PM2.5, and 0.5 km fixed distance photographs were obtained under different PM2.5 indexes, i.e., 53, 76, 95, 102, 139, 150, 201, 245, and 372. Visual comfort perceptions regarding different hazy weather conditions were investigated using the photographs in the laboratory. The testing procedures and conditions are presented in Section 2.4 . The investigation results indicate that visual comfort levels are affected by the composition and size of haze concentration particles and that the composition and size of these particles define the type of light scattering. Large particles in hazy weather result in Mie scattering and make the sky white. The visual comfort level under Mie scattering is lower than that under Rayleigh scattering caused by small particles. Therefore, visual comfort is not always inversely proportional to the PM2.5 index in hazy weather, and it fluctuates with different light scattering types. With a similar PM2.5 index, the visual comfort level under Rayleigh scattering is higher than that under Mie scattering. When the PM2.5 index is less than 100, the visual comfort level is average or above average, which is considered an acceptable visual comfort range and regarded as normal weather in this study. By contrast, when the PM2.5 index exceeds 370, the visual comfort level approaches a high level of discomfort; as such, it does not have a research value. Therefore, the PM2.5 index range for the present experiment was set to 100–370, which is also the metric for hazy weather adopted in this study.

2.3. Color sample

Four to five test points were selected from the main and secondary colors of building facades. The portable color luminance meter was used to measure the chromaticity coordinates (x, y ) and the brightness value, L, of each test point at an angle of 2°. The average value and brightness factor were then calculated by visualizing the architectural color tones. Five color samples that are similar to the main and secondary colors of the target buildings were selected from the architectural color scale card of the Chinese color system. Their chromaticity coordinates (Y, x, y ) were measured with the portable color luminance meter. The standard color of the buildings was controlled according to the principle of the one closest to the measurement value in the instrument. Given that the CIE chromaticity values are only numerical and building colors must be represented visually, these colors were translated into a three-color–appearance value using the Chinese architectural electric color scale, which is similar to the Munsell international color system.

In accordance with the standards of the Munsell tonal color code system, the experiment divided the color tone relationships between main and secondary colors of buildings into value contrast (VC), chroma contrast (CC), and hue contrast (HC).

VC includes long tone (VCl ) (5≤VC≤9), medium tone (VCm ) (3≤VC<5), and short tone (VCs ) (0≤VC<3). Depending on the scale division from the value threshold of the architectural main color tone, such as a high value range (VH ) (7≤V<10), medium value range (VM ) (4≤V<7), and low value range (VL ) (0≤V<4), the VC relation between main and secondary colors is formed, i.e., high–long tone, high–middle tone, high–short tone; medium–long tone, medium–middle tone, medium–short tone; low–long tone, low–middle tone, and low–short tone.

CC is divided into strong CC (CCs ) (8≤CC≤12), medium CC (CCm ) (4≤CC<8), and weak CC (CCw ) (0≤CC<4). Accordingly, the scale division from the chroma threshold value of architectural main color tones is the high chroma range (H) (8≤C≤12), medium chroma range (M) (4≤C<8), and low chroma range (L) (0≤C<4). Thus, the chroma relationship between main and secondary colors is divided into bright–colored strong, bright–colored medium, bright–colored weak, medium–strong, medium–medium, medium–weak, gray–strong, gray–medium, and gray–weak CC.

According to the threshold range of the hue circle and its symmetry characteristics in the Munsell color order system, this experiment considered the half hue circle range, i.e., 180° range, in the study of HC. HC with a difference value >180° was converted into the research scope within 180° through difference value transformation between 180° and 360°. HC includes similar HC (0°≤HC<15°), analogous HC (15°≤HC<45), contrasting HC (45°≤HC≤100°), or complementary HC (100°≤HC≤180°). Given that warm color tone is the elementary tone of the Harbin architectural colorscape ( Wu and Xu, 2006 ), the color survey of residential buildings included red (R), blue (B), and yellow (Y), which represent the three primary colors, and red–purple (RP), green–yellow (GY), and yellow–red (YR), which represent the three secondary colors in the warm color region. The color survey of the commercial buildings is based on the color survey of the residential buildings, but the investigation of blue (B) and purple–blue (PB) in the cool color region is added.

To select typical building color tone samples in the color scope of residential and commercial buildings in Harbin, we used the value of the target buildings’ main color, the value difference between the main and secondary colors, and the chroma difference between the main and secondary colors as three factors. The scale levels of the VC and CC differences between the main and secondary colors, as shown in Table 1 , are presented as three factors in the three overall program orthogonal tables. For example, for the strong CC (CCs ), value (V) with high (VH ), medium (VM ), and low (VL ) levels and VC with long tone (VCl ), medium tone (VCm ), and short tone (VCs ) were orthogonally calculated and shown as CCs (VH VCl ), CCs (VH VCm ), and so on. The same process was performed for the other color samples. The final number of commercial and residential building samples used in the experiment was ≥54.

Table 1. Orthogonal table showing the three factors and the three overall program levels.
V VC CC
CCs CCm CCw
VH VCl CCs (VH VCl ) CCm (VH VCl ) CCw (VH VCl )
VCm CCs (VH VCm ) CCm (VH Vm ) CCw (VH Vm )
VCs CCs (VH VCs ) CCm (VH VCs ) CCw (VH VCs )
VM VCl CCs (VM VCl ) CCm (VM VCl ) CCw (VM VCl )
VCm CCs (VM VCm ) CCm (VM VCm ) CCw (VM VCm )
VCs CCs (VM VCs ) CCm (VM VCs ) CCw (VM VCs )
VL VCl CCs (VL VCl ) CCm (VL VCl ) CCw (VL VCl )
VCm CCs (VL VCm ) CCm (VL VCm ) CCw (VL VCm )
VCs CCs (VL VCs ) CCm (VL VCs ) CCw (VL VCs )

2.4. Subjects and laboratory testing procedure

Thirty undergraduate students studying at universities in Harbin were invited to participate in the study. Their ages ranged from 18 to 22 years, and the male- to-female ratio was 1:1. All subjects had normal color recognition ability. Students have been commonly used as subjects by a number of researchers (Gao and Xin, 2006 ; Stone, 2003  ;  Hidayetoglu et al ., 2012 ). The use of students facilitates the achievement of the goals of the tests because students are easily trained to follow the experimental procedures. However, further studies with other socio-demographic groups would also be useful.

The selected site was a laboratory with low-light conditions, and the photographs of residential and commercial buildings were presented on a large screen in the front of the laboratory using projection equipment. To understand the subjects’ objective cognition of the same buildings in different weather conditions, the building images in hazy weather were presented first followed those in by normal weather conditions. The subjects completed questionnaires while viewing the slideshow. The goal of the questionnaire was to assess the visual comfort perceptions of the subjects as scored on a Likert scale that included five levels, namely, very uncomfortable, uncomfortable, medium, comfortable, and very comfortable; comfort level ≥3 was regarded as a “comfortable” color tone range.

The questionnaire included the following four questions. (1) What is your visual feeling about the color tones of residential buildings in hazy weather? (2) Are you satisfied with the color tones of residential buildings in the following pictures in normal weather? (3) What is your visual feeling about the color tones of the commercial buildings in hazy weather? (4) Are you satisfied with the color tones of the commercial buildings in normal weather in the following pictures? The subjects were asked to make a visual comfort evaluation of the 58 images of residential and commercial buildings in hazy and normal weather conditions. As shown in Fig. 1 , different colors and tones bring different visual perception to people in hazy weather. This study therefore explored the relatively comfortable building color tones in hazy weather based on the change in the visual perception and preference of the subjects.


Fig. 1


Fig. 1.

Visual perception from different color tone of buildings in hazy and normal.

With the survey results, a weighted summation was generated according to the following formula.

( 1)

First, the weighted summation was applied to the comfort level for the 58 color tone samples. Second, a statistical analysis of the changes in comfort level based on the building type in hazy and normal weather conditions was performed. With the maximal information coefficient (MIC), the intensity correlation among VC, CC, and HC was calculated. From this correlation, the relationship between each of these three variates and visual comfort was predicted. Moreover, the weighted summation value of the visual comfort level was analyzed with R language with a demarcation of the comfort value “3” (comfort level: general). Statistics on the changes in range for VC, CC, and HC and their effects on the visual comfort of color tones were then obtained through comparative analyses of the parameters under normal weather conditions. Finally, the visual comfort level threshold value of the colors was calculated by analyzing the extracted thresholds for the building color tone.

3. Data analysis and results

3.1. Factor analysis of the intensity correlation of color tone contrast

According to MIC (Reshef et al., 2011 ), the intensity correlation of the three variates, i.e., VC, CC, and HC, in the color tone testing was measured on the basis of information entropy. M (X, Y   ) represents , the group characteristic matrix. The formula is as follows:

( 2)
( 3)

where refers to the mutual information of  ; refers to the number of partitions on the X and Y axes, respectively, and represents the number of data points.

can accurately identify functional relationships without relying on the assumed distributions of measurement data. By defining the variables and in through , the conclusion is .

As presented in Table 2 , the mean value of MIC is ≤1, and it is less than both the simulated normal MIC and the MIC in the uniform random dataset. This result means that the relationship among the three variates is not significant. Therefore, the color tone threshold value for improved haze resistance and easy identification can be determined by separately analyzing the visual comfort level and the three variates to obtain each of the relevant comfort threshold. According to the results of an evaluation of the visual comfort level of three color–appearance attributes of urban elements in hazy weather (Liu et al., 2016 ), hue exerts a weaker influence on color comfort level than value and chroma under hazy weather conditions. Additionally, Wright and Rainwater (1962) investigated six color emotions from 48 color and color tone combinations and obtained the same results, i.e., value and chroma exert a greater effect on color comfort level than hue . In addition, Henry (2006) studied visual perception through atmospheric haze and proved that the hue of an object as seen through haze does not change as the haze becomes thick because of the transparency effect. However, the light coming from subjects and into the line of vision is mainly blue. As previously discussed, the influence of VC and CC on the color comfort level is greater than that of HC in hazy weather, and HC is not the main factor in determining visual comfort.

Table 2. Intensity measurement of three influencing variates on visual comfort.
Commercial building MIC Residential building MIC MIC mean value
ChromaContrast and ValueContrast 0.1908745 ChromaContrast and ValueContrast 0.1901859 0.1905302
ChromaContrast and HueContrast 0.3037949 ChromaContrast and HueContrast 0.2464553 0.2751251
ValueContrast and HueContrast 0.2042191 ValueContrast and HueContrast 0.1302446 0.1672318

3.2. Visual comfort threshold for HC

Comparison of the HC plots of residential buildings in hazy weather (Fig. 2 (a)) and normal weather (Fig. 2 (b)) shows that the comfort level of analogous HC in both hazy and normal weather conditions is significantly higher than that of the other three color tones. This result indicates that analogous HC in the warm-color range demonstrates good resistance to hazy weather, as evidenced by the number of actual color schemes shown in Table 3 . Fig. 3 (a) and (b) present the visual comfort of the HC of commercial buildings under hazy and normal weather conditions, respectively. Comparison of the changing situation of the HC plots in Fig. 3 (a) and (b) shows that the comfort value of a contrasting HC is <3 in normal weather, whereas the comfort value is >3 in hazy weather. This result means that in the cool-color range, contrasting HC presents good resistance to haze and fog, as evidenced by the number of actual color schemes shown in Table 3 . The visual comfort level of a similar HC is >3 in normal weather and <3 in hazy weather. Therefore, the resistance to hazy weather of a similar HC in the cool-color range is weak.


Fig. 2


Fig. 2.

Visual comfort degree about hue contrast of residential buildings. (a) Hazy weather. (b) Normal weather.

Table 3. Visual comfortable perception of the HC of buildings in hazy weather.
Full-size image (74 K)


Fig. 3


Fig. 3.

Visual degree of comfort regarding hue contrast of commercial buildings. (a) Hazy weather. (b) Normal weather.

3.3. Visual comfort recognition thresholds of VC

The numerical statistics on the VC comfort level for residential and commercial buildings were assessed in hazy and normal weather conditions. The visual comfort threshold values based on the VC of the two building types were analyzed separately. Fig. 4 presents the change plots of the visual comfort level of VC for residential buildings. When the main color tones of buildings are in different value ranges, the comfort degree differs. A number of situations are shown in Table 4 , where the comfort values of VC represented by Pictures 1, 2, and 6 are less than 3. This result suggests that resistance to hazy weather is low. However, the comfort values of VC represented by Pictures 3, 4, 5, 7, 8, and 9 in Table 4 are greater than 3, which indicates that these tones have good resistance to hazy weather.


Fig. 4


Fig. 4.

Visual degree of comfort regarding the value contrast of residential buildings. (a) Hazy weather. (b) Normal weather.

Table 4. Visual comfort range of value contrast of residential buildings in hazy weather.
Full-size image (153 K)

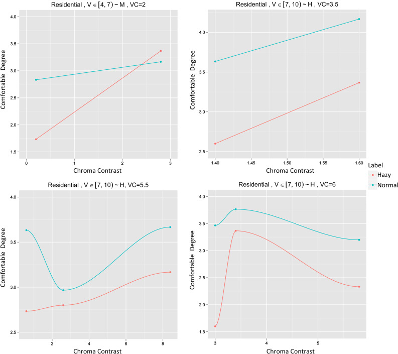
Fig. 4 (a) shows that when the main color tones of residential buildings are in the medium and high value ranges during hazy weather conditions, several of the samples with a VC of 2, 3.5, 5.5, and 6, which correspond to a given VC level, are in the range of comfort levels at or near comfort level “3”. According to the results of the relationship between each of three color–appearance attributes and the visual comfort level, the main factors affecting the visual comfort level are value and chroma . Under the same VC conditions, the change in the visual comfort level is mainly caused by the change in the CC threshold. The changes in these samples were therefore compared with the corresponding CC thresholds under normal weather conditions. As presented in Fig. 5 , the red and blue curves represent the change in CC in hazy and normal weather conditions. In both hazy and normal weather conditions, the visual comfort level increases as CC increases. The visual comfort level of the samples with a value contrast of “2” increases as the CC threshold value increases. The increasing trend in hazy weather is stronger than that in normal weather. The corresponding comfortable CC threshold values are ≥2.2, the comfortable CC range for samples with a VC of 3.5 is >1.5, the comfortable CC range for samples with a VC of 5.5 is >5.7, and the comfortable CC range for samples with a VC of 6 is 3.3<CC<4.4.


Fig. 5


Fig. 5.

Visual degree of comfort trends for chroma contrast under the same value contrast of residential buildings.

For commercial buildings, the visual comfort scatter plots of VC in hazy and normal weather conditions are presented in Fig. 6 . When the main color tones of buildings are in different value ranges, the comfortable degree differs. A number of scenarios are presented in Table 5 , where the comfort values of VC represented by Pictures 1 and 3 are less than “3”, and the comfort values of VC represented by Pictures 4, 5, 7, 8, and 9 are greater than “3”. This result suggests that these tones have good resistance to hazy weather. For commercial buildings in hazy weather conditions, as shown in Fig. 6 (a), when the main color tones of buildings are in the medium value range, the VC of the samples is 1. With the main color tones in the high value range, the VC of the samples is 1, 4.5, and 5.5, which correspond to a given VC level. A number of samples have a range of comfort levels around comfort level 3. The changes in the visual comfort level in these samples were thus compared with the corresponding CC threshold values under normal weather conditions.


Fig. 6


Fig. 6.

Visual degree of comfort for value contrast of commercial buildings. (a) Hazy weather. (b) Normal weather.

Table 5. Visual comfort range of value contrast of commercial buildings in hazy weather.
Full-size image (143 K)

As shown in Fig. 7 , the samples with a VC of 1 in the medium range in hazy weather experience a decrease in the visual comfort level when CC increases. This result is contrary to that which occurs in normal weather, where the comfortable CC range is <0.53. In a high value range, a decrease in the visual comfort level occurs as CC increases when the sample has a VC of 1. The comfortable CC range is then <3.5. The visual comfort level increases as CC increases when the VC is 4.5. When CC reaches 5.5, the visual comfort level presents a smooth and gradual downward trend, although it is still significantly higher than 3. Thus, when the VC is 4.5, the comfortable CC range is >3.2. When the VC is 5.5, the comfortable CC range is <1.3.


Fig. 7


Fig. 7.

Visual degree of comfort trends for chroma contrast under the same value contrast of commercial buildings.

3.4. Visual comfort recognition thresholds of CC

Numerical statistics on the CC comfort level for residential and commercial buildings were obtained in hazy and normal weather. The visual comfort threshold values based on the CC of the two building types were analyzed separately. The change plots of the visual comfort level of CC for residential buildings are shown in Fig. 8 . When the main color tones of buildings are in different value ranges, the comfort level differs. Examination of Fig. 8 (a) and Table 6 shows that in the low chroma range, the comfort level of gray–weak tones, such as those with a threshold of 0.5<CC≤0.8, exhibits an upward trend.


Fig. 8


Fig. 8.

Visual degree of comfort for chroma contrast of residential buildings. (a) Hazy weather. (b) Normal weather.

Table 6. Visual comfort perception range of the chroma contrast of residential and commercial buildings in hazy weather.
Range Low chroma range Medium chroma range High chroma range
Buildings
Residential buildings gray–weak tone medium–weak tone bright-strong tone
0.5<CC≤0.8 (CC=3, VC<3.2) bright-middle tone
(CC=0.8, VC>3) 7.8≤CC<8.5
Commercial buildings gray–weak tone medium-middle tone bright-middle tone
CC≤0.4 6≤CC<7 CC≤4.4
bright-weak tone
(CC=0.4, VC<1.3)

When the main color tones of the residential buildings are in the medium chroma range, the visual comfort level decreases as CC increases in hazy weather. The optimal comfort range is medium–weak contrast. Additionally, when the main color tones of the residential buildings are in the high chroma range, the comfort levels of a bright–colored strong CC and a bright–colored medium CC decrease as CC increases in hazy weather. The visual comfort range is 7.8≤CC<8.5. In these areas, among the samples with a CC of 0.8 and 3, which correspond to a given CC level, a number of samples are in the range of comfort levels around 3. According to the results of the relationship between each of the three color–appearance attributes and the visual comfort level, under the same CC conditions, the change in the visual comfort level is caused by the change in the VC threshold value. Therefore, the changes in these samples were compared with the corresponding VC threshold values under normal weather conditions. As shown in Fig. 9 , in both hazy and normal weather, the visual comfort level of samples with a CC of 0.8 increases as VC increases. Thus, the comfort range of VC is >3 in hazy weather. The visual comfort level of the samples with a CC of 3 also increases as VC increases in normal weather. However, in hazy weather, the comfort level of these samples decreases when VC increases. The visual comfort range of VC is <3.2.


Fig. 9


Fig. 9.

Visual degree of comfort for value contrast under the same chroma contrast of residential buildings.

For commercial buildings, the plots of the changes in the visual comfort level of CC are presented in Fig. 10 . Examination of Fig. 10 (a) and Table 6 demonstrates that in the low chroma range, the comfort level of gray–weak tones decreases as CC increases under hazy weather. Thus, the comfort range is CC≤0.4. In these areas, among the samples with a CC of 0.4, which corresponds to a given CC level, two samples have a range of comfort levels around 3. The changes in the two samples were compared with the corresponding VC thresholds under normal weather. As presented in Fig. 11 , the changing tendency of the visual comfort level of the two samples in hazy weather presents a contrasting trend with that in normal weather. Their comfort level decreases as VC increases, and the visual comfort range of VC is <1.3. When the main color tone is at the medium chroma range, the comfort level of medium–medium CC is higher than that of medium–weak CC, and the visual comfort range is 6≤CC<7. When the color tones of commercial buildings are in the high chroma range, the visual comfort range is bright–colored weak CC and bright–colored medium CC with a threshold of CC≤4.4; bright–colored strong CC is in the uncomfortable range.


Fig. 10


Fig. 10.

Visual degree of comfort regarding chroma contrast of commercial buildings. (a) Hazy weather. (b) Normal weather.


Fig. 11


Fig. 11.

Visual comfort degree trends of value contrast under the same chroma contrast of residential buildings.

4. Conclusion

The results of this study demonstrate that combination of color tones of the urban colorscape exerts a significant effect on the visual comfort degree of people, particularly in hazy weather. Integrating MIC into the calculation of the intensity relationship between VC, CC, and HC showed that the effects of these three factors on the visual comfort level are independent. In hazy weather, visual comfort levels are more strongly influenced by VC and CC than by HC. The influence of hue contrast is weak. Moreover, HC does not change with an increase in the haze index because of the transparency effect. Therefore, under hazy weather, the threshold change in VC and CC determines the visual comfort level of the urban colorscape׳s tone.

In an actual color combination, the analogous HC in the warm-color region, such as warm yellow, orange, and brown, as well as the contrasting HC in the cool-color region, such as cool yellow, blue, and green, present good resistance to hazy weather. Similar HC has a weak resistance to haze. Therefore, similar HC should be avoided in the planning of urban colorscapes. Furthermore, analogous HC should be used when warm colors are used, and contrasting HC should be used in the cool-color range.

As VC changes from low to high, the resistance of the color tone to haze strengthens. The low–short and low–middle tones of VC in the warm-color region and all color tones with a low value in the cool-color region, such as dark gray, have a weak resistance to haze. Therefore, these color tones should also be avoided in urban color planning.

In the CC of color tone, the visual comfort level decreases as the relationship of CC increases between the main and secondary colors of buildings. As a result, the visual comfortable levels of all color tones with strong CC in hazy weather are low, and these colors tones should be avoided in the planning of urban colorscapes. However, all color tones with a weak CC have good resistance to haze and should be considered by urban colorscape planners.

Given that this study is based on the Harbin urban colorscape, the samples might have certain geographical limitations. Moreover, owing to the limitations in samples type and quantity, the experiments could not include all color tones. Other color tones could be further examined in future studies.

It would also be interesting to examine the interactions among various senses, including visual, aural, smell, etc (Ren and Kang, 2015 ; Kang, 2007 ; Jiang and Kang, 2016 ).

Acknowledgments

The authors thank the China Scholarship Council (Grant no. 201406615003) for the financial support it provided for this study.

References

  1. Cakmak et al., 2016 S. Cakmak, C. Hebbern, J.D. Cakmak, J. Vanos; The modifying effect of socioeconomic status on the relationship between traffic, air pollution and respiratory health in elementary schoolchildren; J. Environ. Manag., 117 (2016), pp. 1–2
  2. Chiesura, 2004 A. Chiesura; The role of urban parks for the sustainable city; Landsc. Urban Plan., 68 (2004), p. 129
  3. Gao and Xin, 2006 X.P. Gao, H.J. Xin; Investigation of human׳s emotional responses on colors; Color Res. Appl., 31 (5) (2006), pp. 412–416
  4. Guilford, 1931 J.P. Guilford; The prediction of affective values; Am. J. Psychol., 43 (1931), pp. 469–478
  5. Henry, 2006 R.C. Henry; A field study of visual perception of complex natural targets through atmospheric haze by naive observers; Atmos. Environ., 40 (2006), p. 5252
  6. Hidayetoglu et al., 2012 M.L. Hidayetoglu, K. Yildirim, A. Akalin; The effects of color and light on indoor wayfinding and the evaluation of the perceived environment; J. Environ. Psychol., 32 (2012), pp. 51–52
  7. Hogg, 1969 J. Hogg; A principal component analysis of semantic differential judgements of single colors and color pairs; J. Gen. Psychol., 80 (1969), pp. 129–140
  8. Itten, 1961 J. Itten; The Art of Color; Van Nostrand Reinhold, New York (1961)
  9. Kang, J., 2016 Jiang, L., Kang, J., 2016. Effect of traffic noise on perceived visual impact of motorway traffic. Landsc. Urban Plan. 150, 50–59.
  10. Kang, J., 2007 Kang, J., 2007. Urban sound environment. Taylor & Francis incorporating Spon, London.
  11. Lam and Cheng, 1998 K.C. Lam, S.Q.A. Cheng; Synoptic climatological approach to forecast concentrations of sulfur dioxide and nitrogen oxides in Hong Kong.; Environ. Pollut., 101 (1998), pp. 183–191
  12. Lawin, 2016 H. Lawin, et al.; A cross-sectional study with an improved methodology to assess occupational air pollution exposure and respiratory health in motorcycle taxi driving; Sci. Total Environ., 550 (2016), pp. 1–5
  13. Le and Ruegg, 1997 C. Le, A. Ruegg; Polychromie architecturale: Le corbusier׳s color keyboards from 1931 and 1959; Birkhauser, Basel (1997), p. 95
  14. Lenclos and Lenclos, 1990 J.P. Lenclos, D. Lenclos; Couleurs de la France; Editions du Moniteur, Paris (1990)
  15. Li and Zhang, 2014 M.N. Li, L.L. Zhang; Haze in China: current and future challenges; Environ. Pollut., 189 (2014), p. 85
  16. Liu et al., 2016 Liu, Y., Kang, J., Zhang, Y., Wang, D.H., 2016. Visual comfort level based on three color-appearance attributes of urban elements in hazy weather. In preparation.
  17. Long et al., 2016 S.H. Long, Y. Zhu, C. Jang, C.J. Lin, S.X. Wang, B. Zhao, J. Gao, S. Deng, J.P. Xie, X.Z. Qiu; A case study of development and application of a streamlined control and response modeling system for PM2.5 attainment assessment in China; J. Environ. Sci., 41 (2016), p. 70
  18. Munsell, 1969 A.H. Munsell; A Grammar of Color; Van Nostrand Reinhold, New York (1969)
  19. Ostwald, 1969 W. Ostwald; The Color Primer; Van Nostrand Reinhold, New York (1969)
  20. Ou et al., 2004 L.C. Ou, M.R. Luo, A. Woodcock, A. Wright; A study of colour emotion and colour preference. part iii: colour preference modeling; Color Res. Appl., 29 (2004), pp. 381–389
  21. Ren, X., Kang, J., 2015 Ren, X., Kang, J., 2015. Interactions between landscape elements and tranquillity evaluation based on eye tracking experiments. J. Acoust. Soc. Am. 138, 3019–3022.
  22. Reshef et al., 2011 D.N. Reshef, Y.A. Reshef, H.K. Finucane, S.R. Grossman, G. McVean, P.J. Turnbaugh, E.S. Lander, M. Mitzen macher, P.C.( Sabeti; Detecting Novel Associations in Large Data Sets.; Science, 334 (2011), p. 1518
  23. Serra et al., 2012 J. Serra, A. Garcia, A. Torres, J. Lopis; Color composition features in modern architecture; Color Res. Appl., 37 (2012), pp. 126–133
  24. Sivik, 1989 L. Sivik; Research on the meanings of color combinations; AIC Colo. (1989), pp. 130–132
  25. Stone, 2003 N.J. Stone; Environmental view and color for a simulated telemarketing task.; J. Environ. Psychol., 23 (2003), pp. 67–69
  26. Tian et al., 2011 Tian, T., Wang, X.J., Bai, Y., 2011. The Research of Architectural Color Evaluation Based on Image Processing 2011. In: Proceedings of the Fourth International Symposium on Computational Intelligence and Design, 291–293.
  27. Tu et al., 2014 Tu, H., Li, Z.F., Sun, Y.F., Dai, X.Q., 2014. Driving behavior in case of haze: a high fidelity driving simulator study. CICTP 2014: Safe, Smart, and Sustainable Multimodal Transportation Systems © ASCE, 2408.
  28. Ural and Yilmazer, 2010 S.E. Ural, S. Yilmazer; The architectural colour design process: an evaluation of sequential media via semantic ratings; Color Res. Appl., 35 (2010), pp. 343–351
  29. Wang et al., 2014 S.X. Wang, J. Xing, B. Zhao, C. Jang, J.M. Hao; Effectiveness of national air pollution control policies on the air quality in metropolitan areas of China; J. Environ. Sci., 26 (2014), pp. 13–22
  30. Wang, 2014 Z. Wang; Nearby outdoor environments and seniors physical activities; Front. Archit. Res., 3 (2014), p. 266
  31. Wei, 2016 K. Wei; Ambient bioaerosol particle dynamics observed during haze and sunny days in Beijing; Sci. Total Environ., 550 (2016), pp. 751–759
  32. Wolch et al., 2014 J.R. Wolch, J. Byrne, J.P. Newell; Urban green space, public health, and environmental justice: the challenge of making cities ‘just green enough’; Landsc. Urban Plan., 125 (2014), pp. 234–235
  33. Wright and Rainwater, 1962 B. Wright, L. Rainwater; The meanings of color; J. Gen. Psychol., 67 (1962), pp. 89–99
  34. Wu and Xu, 2006 Wu, S.T., Xu, B.J., 2006. The establishment research of architectural color planning in Chinese city, Planning 50 years-2006 conference Vol. Part II of Chinese urban planning, 249.
  35. Yang et al., 2013 B. Yang, Y.D. Lin, Y.J. Sun; Transient effects of harsh luminous conditions on the visual performance of aviators in a civil aircraft cockpit; Appl. Ergon., 44 (2013), pp. 185–191
  36. Yin et al., 2016 Q. Yin, J.F. Wang, M.G. Hu, H. Wong; Estimation of daily PM2.5 concentration and its relationship with meteorological conditions in Beijing; J. Environ. Sci., 24 (2016), pp. 1–2
  37. Yin, 2004 S.J. Yin; Planning and Design of the City׳s Colorscape; Southeast University Press Nanjing (2004), p. 79
  38. Zheng, 2006 X.Y. Zheng; The Basics of Color Design; The Fine Arts Press of Heilongjiang Province, Harbi (2006)
Back to Top

Document information

Published on 12/05/17
Submitted on 12/05/17

Licence: Other

Document Score

0

Views 28
Recommendations 0

Share this document

claim authorship

Are you one of the authors of this document?