Abstract

Aim and Background

Dipyridamole-induced stress myocardial perfusion scans (MPS) has been widely used for management of coronary artery disease. The adverse effects of dipyridamole and other stress agents have been evaluated. The aim of this research is to confirm the dynamic data on dipyridamole side effects during MPS.

Methods

We collected data of 183 patients who underwent dipyridamole-induced stress MPS by retrospectively reviewing their clinical records, which included the severity of dipyridamole side effects in 3 min, 10 min, and 20 min after infusion. The incidence and severity at all three points, including the effect of age and gender, were obtained.

Results

Adverse effects occurred in 96 patients (69.6%). The most frequent symptoms were dizziness (42.8%), chest tightness (24.6%), abdominal pain (18.1%), and headache (15.2%). Most symptoms were Grade 1 to 2, according to the grading system for common terminology criteria. The median duration of symptom persistence was 36 min, not significantly different among age and gender.

Conclusion

This study demonstrates that the adverse effects of dipyridamole were generally minimal and its duration was acceptable for clinical usage.

Keywords

Dipyridamole;Myocardial perfusion scan;Adverse effects

1. Introduction

Cardiovascular disease has been the second most common mortality since 2000 in Taiwan [1]. Myocardial perfusion imaging (MPI) is a useful tool in diagnosing and follow up care for coronary artery disease [2]. According to current clinical guidelines for better sensitivity and specificity, the exam is performed with a stress test [2]; [3] ;  [4]. Dipyrdamole, a vasodilator, is one of the most widely used agents in stress tests in Taiwan. According to prior literature, up to 70% of patients undergoing dipyridamole stress suffer from adverse effects such as flush, chest pain, headache, dizziness, hypotension, abdominal pain, or diarrhea [5]; [6]; [7]; [8] ;  [9]. However, severity and duration of adverse effects have not been analyzed. As stated, the aim of this study is to examine dynamic data of dipyridamole side effects during MPS.

2. Materials and methods

2.1. Patients and data collection

In our institute, symptoms of patients receiving dipyridamole-stress MPI for 3 min, 10 min, and 20 min were recorded, according to the Common Terminology Criteria of Adverse Effects v4.0 (CTCAE) [10]. Records were written and maintained by physicians and technicians. Symptoms recorded included: chest tightness, palpitation, abdominal pain, diarrhea, nausea, headache, dizziness, neck pain, dyspnea, weakness, and flush. If symptoms persisted for more than 20 min after administration, we recorded timing of recovery. In the case of aminophylline use to relieve adverse effects, we also recorded administration timing.

From July 2nd 2013 to July 19th 2013, there were 183 patients receiving MPI. There were 138 complete records of symptoms after delivery of dipyridamole. For an evaluation of confounding factors, we collected the following parameters: age, gender, and frequency of regular exercise. These comorbidities were recorded in the clinical chart review: hypertension, diabetes, dyslipidemia, prior myocardial infarction (MI), documented coronary artery disease (CAD), and congestive heart failure. The laboratory data over 3 months were also recorded: creatinine level, lipid profile, and hepatic enzyme glutamate pyruvate transaminase (GPT).

These methods were approved by our institutional review board.

2.2. Stress protocol

All patients underwent the Thallium-201 (Tl-201) stress and early-redistribution MPI with the dipyridamole stress test, on the recommendation of the Society of Nuclear Medicine and Molecular Imaging (SNMMI and EANM). Heart rate, blood pressure, and ECG monitoring were performed throughout the stress test.

2.3. Statistics

R project version 3.1.2 was used for statistical analysis. The continuous parameters were expressed in terms of mean and standard deviation (SD). The categorical variables were expressed as count and percentage. Severity of each symptom at 3 min, 10 min, and 20 min were also expressed as count and percentage.

The Kaplan-Meier curve was used to highlight persistent symptoms.

Patients were in two groups according to age (age > 65). For an evaluation of confounding factors, e.g., gender and age, the Kaplan-Meier curve and Cox regression test were used for comparison between males and females, the age groups, and the exercise groups.

3. Results

Data from 138 patients were analyzed and listed in Table 1. The average age was 66.1 ± 13.4 years (range 32–90). Seventy-five were male (54.3%) and 60 study subjects exercised more than 3 times per week (43.5%). There were 96 patients (69.6%) suffering from symptoms of drug side effects during observation. Between the symptomatic and asymptomatic group, the incidence of comorbidities and lab data were not statistically different, except that the serum creatinine level was higher in the asymtomatic group. However, in the symptomatic group, the ratio of female patients was significantly higher than in the asymptomatic group (p = 0.002141), while the age was significantly younger (p = 0.009262).

Table 1. Patient background information.
Total Symptomatic Asymptomatic P-value
Number 138 96 42
Gender 0.002141
 Male 75 (54.3%) 41 (42.7%) 33 (78.6%)
 Female 63 (45.7%) 55 (57.3%) 9 (21.4%)
Age (years old) 66.1 ± 13.4 (32-90) 64.2 ± 13.24 (32-90) 70.6 ± 12.88 (41-90) 0.009262
Frequency of exercise (times per week)
 Range 0-7
 Median 1
 Mean 2.8 2.9 2.5 0.4626
 ≥ 3 60 (43.5%)
Using aminophylline 18
 Timing (min) 22.2 ± 8.5
Comorbidity
 Hypertension 85 (61.6%) 56 (58.3%) 29 (69.0%) 0.317
 Diabetes 37 (26.8%) 24 (25.0%) 13 (31.0%) 0.6048
 Dyslipidemia 51 (37.0%) 34 (35.4%) 17 (40.5%) 0.7077
 Prior MI 22 (15.9%) 14 (14.6%) 8 (19.0%) 0.6844
 Documented CAD 39 (28.3%) 23 (24.0%) 16 (38.1%) 0.1358
 Congestive heart failure 10 (7.2%) 7 (7.3%) 3 (7.1%) 1
 Creatinine (n = 125) 1.37 ± 1.07 (0.57–6.87) 1.19 ± 0.77 (0.57–6.69) 1.79 ± 1.49 (0.81–6.06) 0.02368
 HDL (n = 111) 40.31 ± 10.52 (19–77) 40.83 ± 10.83 (22–77) 39.17 ± 9.88 (19–59) 0.4284
 LDL (n = 111) 97.52 ± 29.16 (41–218) 97.17 ± 27.07 (41–195) 98.29 ± 33.69 (48–218) 0.8642
 TG (n = 106) 155.95 ± 113.54 (35–769) 162.07 ± 108.49 (42–69) 142.42 ± 124.68 (35–552) 0.438
 GPT (n = 119) 29.77 ± 26.98 (4–261) 29.66 ± 17.7 (6–101) 30.03 ± 41.48 (4–261) 0.9597
 Pretest SBP 150.95 ± 22 (101–214) 150.25 ± 23.32 (101–214) 152.57 ± 18.82 (110–183) 0.5392
 Pretest DBP 86.88 ± 12.3 (57–126) 86.87 ± 13.43 (57–126) 86.90 ± 9.40 (71–106) 0.9876
 Post test SBP 130.8 ± 18.27 (94–188) 132.02 ± 19.37 (94–188) 128.02 ± 15.29 (94–164) 0.1971
 Post test DBP 75.21 ± 11.87 (49–113) 75.8 ± 12.37 (52–113) 73.86 ± 110.65 (49–95) 0.3505

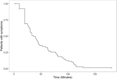
The frequency and severity of adverse effects are listed in Table 2 and Fig. 1. Adverse effects occurred in 96 patients (69.6%), with the most frequent symptoms being dizziness (42.8%), chest tightness (24.6%), abdominal pain (18.1%), and headache (15.2%). These effects accompany dyspnea (8.7%), nausea (8.0%), neck pain (7.2%), weakness (5.1%), palpitation (3.6%), and flush (2.9%). No patients had diarrhea in our study population, while most symptoms were Grade 1 and 2. Seven patients had Grade 3 symptoms as shown in Table 6. There were 18 patients receiving aminophylline treatment due to adverse effects. For patients with symptoms at 3 min, the persistent symptoms can be seen in the Kaplan-Meier curve (Fig. 2). The median duration of persistent symptoms was 36 min (95% confidence interval [CI]: 30–46 min). Fifty-six patients (40.6%) did not recover from side effects at 20 min, while 32 of them were female.

Table 2. Number and percentage of symptoms at 3, 10, and 20 min.
3rd minute 10th minute 20th minute Any time
Chest tightness 26 (18.8%) 24 (17.4%) 17 (12.3%) 34 (24.6%)
Palpitation 4 (2.9%) 2 (1.4%) 2 (1.4%) 5 (3.6%)
Abdominal pain 13 (9.4%) 19 (13.8%) 7 (5.1%) 25 (18.1%)
Dyspnea 10 (7.3%) 7 (5.1%) 4 (2.9%) 12 (8.7%)
Diarrhea 0 0 0 0
Nausea 5 (3.6%) 7 (5.1%) 7 (5.1%) 11 (8.0%)
Headache 16 (11.6%) 13 (9.4%) 11 (8.0%) 21 (15.2%)
Dizziness 52 (37.7%) 45 (32.6%) 30 (21.7%) 59 (42.8%)
Neck pain 5 (3.6%) 5 (3.6%) 8 (5.8%) 10 (7.2%)
Weakness 3 (2.2%) 6 (4.3%) 7 (5.1%) 7 (5.1%)
Flush 3 (2.2%) 1 (0.7%) 1 (0.7%) 4 (2.9%)
Overall 84(60.9%) 79 (57.2%) 56 (40.6%) 96 (69.6%)


Fig. 1


Fig. 1.

Severity of adverse effects after dipyridamole infusion at 3 different points. Grading is based on CTCAE v4.0.


Fig. 2


Fig. 2.

For patients with symptoms at 3 min, persistence is shown in the Kaplan-Meier curve.

There was a significantly higher incidence of adverse effects in the female population than the male population at all points (Table 1 ;  Table 3). There is a higher incidence in women for the three time points of dizziness, chest tightness, abdominal pain, headache, dyspnea, nausea, weakness, and palpitation. However, there is a significant difference between genders for dizziness only at 10 min.

Table 3. Incidence of symptomatic patients at 3, 10, and 20 min for gender.
Male (n = 75) Female (n = 63) p value
3rd minute 35 (46.7%) 49 (77.8%) 0.000378
 Chest tightness 10 (13.3%) 16 (25.4%) 0.1126
 Palpitation 1 (1.3%) 3 (4.8%) 0.4924
 Abdominal pain 6 (8.0%) 7 (11.1%) 0.7409
 Dyspnea 3 (4.0%) 7 (11.1%) 0.2022
 Diarrhea 0 0
 Nausea 1 (1.3%) 4 (6.3%) 0.2656
 Headache 7 (9.3%) 9 (14.3%) 0.5233
 Dizziness 24 (32.0%) 27 (42.9%) 0.2546
 Neck pain 1 (1.3%) 4 (6.3%) 0.2659
 Weakness 0 3 (4.8%) 0.1853
 Flush 2 (2.7%) 1 (1.6%) 1
10th minute 32 (42.7%) 46 (73.0%) 0.0006497
 Chest tightness 10 (13.3%) 14 (22.2%) 0.2515
 Palpitation 1 (1.3%) 1 (1.6%) 1
 Abdominal pain 8 (10.7%) 11 (17.5%) 0.3651
 Dyspnea 1 (1.3%) 6 (9.5%) 0.07271
 Diarrhea 0 0
 Nausea 2 (2.7%) 5 (7.9%) 0.3097
 Headache 6 (8.0%) 7 (11.1%) 0.7409
 Dizziness 16 (21.3%) 29 (46.0%) 0.003724
 Neck pain 3 (4.0%) 2 (3.2%) 1
 Weakness 1 (1.3%) 5 (7.9%) 0.14
 Flush 1 (1.3%) 0 1
20th minute 24 (32.0%) 32 (50.8%) 0.03888
 Chest tightness 7 (9.3%) 10 (15.9%) 0.3658
 Palpitation 1 (1.3%) 1 (1.6%) 1
 Abdominal pain 1 (1.3%) 6 (9.5%) 0.07271
 Dyspnea 1 (1.3%) 3 (4.8%) 0.4924
 Diarrhea 0 0
 Nausea 2 (2.7%) 5 (7.9%) 0.3097
 Headache 5 (6.7%) 6 (9.5%) 0.7628
 Dizziness 12 (16.0%) 18 (28.8%) 0.115
 Neck pain 4 (5.3%) 4 (6.3%) 1
 Weakness 2 (2.7%) 5 (7.9%) 0.3097
 Flush 0 1 (1.6%) 0.9302
Any time 42 (56.0%) 54 (85.7%) 0.0003269
 Chest tightness 14 (18.7%) 20 (31.7%) 0.1146
 Palpitation 2 (2.7%) 3 (4.8%) 0.8424
 Abdominal pain 11 (14.7%) 14 (22.2%) 0.3544
 Dyspnea 3 (4.0%) 9 (14.3%) 0.06684
 Diarrhea 0 0
 Nausea 3 (4.0%) 8 (12.7%) 0.1179
 Headache 8 (10.7%) 13 (20.6%) 0.1657
 Dizziness 25 (33.3%) 34 (54.0%) 0.02333
 Neck pain 4 (5.3%) 6 (9.5%) 0.5378
 Weakness 2 (2.7%) 5 (7.9%) 0.3097
 Flush 2 (2.7%) 2 (3.2%) 1

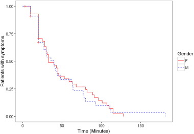
There is no significant difference of symptom duration between genders (Fig. 3), as the p value of the Cox regression is 0.421. The median time for symptom-relief took 33 min for women and 36 min for men. Women tend to have a higher incidence of adverse effects, and more severe symptoms. There is a significant difference in dizziness between the two groups at 10 min (p = 0.003724).


Fig. 3


Fig. 3.

For patients with symptoms at 3 min, persistence is shown in the Kaplan-Meier curve. There is no difference between genders.

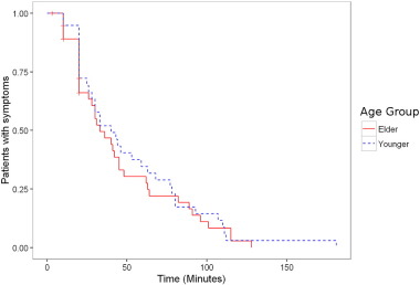
Younger patients (age < 65) tended to have a higher probability of adverse effects than older patients, which was the only statistically significant difference at 3 min (Table 4). The younger group had a greater risk for all symptoms except dizziness. Symptom duration was similar between age groups (Fig. 4), and p = 0.374. The median time of symptom-relief took 33 min in older people and 48 min in younger people. Younger people also had a higher incidence of adverse effects and more severe symptoms. There was not a significant difference for chest tightness and nausea between the two groups at 3 min (p = 0.000162). Exercise did not interfere with adverse dipyridamole effects in our study. (See Table 5.)

Table 4. Incidence of symptomatic patients at 3, 10, and 20 min for age.
Age < 65 (n = 63) Age ≥ 65 (n = 75) p value
3rd minute 46 (73.0%) 38 (50.7%) 0.01226
 Chest tightness 21 (33.3%) 5 (6.7%) 0.000162
 Palpitation 3 (4.8%) 1 (1.3%) 0.4924
 Abdominal pain 8 (12.7%) 5 (6.7%) 0.3598
 Dyspnea 6 (9.5%) 4 (5.3%) 0.5378
 Diarrhea 0 0
 Nausea 5 (7.9%) 0 0.04257
 Headache 11 (17.5%) 5 (6.7%) 0.08804
 Dizziness 22 (34.9%) 29 (38.7%) 0.7817
 Neck pain 4 (6.3%) 1 (1.3%) 0.2656
 Weakness 2 (3.2%) 1 (1.3%) 0.8785
 Flush 2 (3.2%) 1 (1.3%) 0.8785
10th minute 41 (65.1%) 37 (49.3%) 0.09175
 Chest tightness 15 (23.8%) 9 (12.0%) 0.1101
 Palpitation 1 (1.6%) 1 (1.3%) 1
 Abdominal pain 10 (15.9%) 9 (12.0%) 0.682
 Dyspnea 4 (6.3%) 3 (4.0%) 0.8126
 Diarrhea 0 0
 Nausea 6 (9.5%) 1 (1.3%) 0.07271
 Headache 9 (14.3%) 4 (5.3%) 0.1334
 Dizziness 21 (33.3%) 24 (32.0%) 1
 Neck pain 4 (6.3%) 1 (1.3%) 0.2656
 Weakness 4 (6.3%) 2 (2.7%) 0.5237
 Flush 1 (1.6%) 0 0.9302
20th minute 30 (47.6%) 26 (34.7%) 0.1709
 Chest tightness 11 (17.5%) 6 (8.9%) 0.1543
 Palpitation 1 (1.6%) 1 (1.3%) 1
 Abdominal pain 2 (3.2%) 5 (6.7%) 0.588
 Dyspnea 2 (3.2%) 2 (2.7%) 1
 Diarrhea 0 0
 Nausea 5 (7.9%) 2 (2.7%) 0.3097
 Headache 8 (12.7%) 3 (4.0%) 0.1179
 Dizziness 13 (20.6%) 17 (22.7%) 0.9354
 Neck pain 4 (6.3%) 4 (5.3%) 1
 Weakness 4 (6.3%) 3 (4.0%) 0.8126
 Flush 1 (1.6%) 0 0.9302
Any time 47 (74.6%) 49 (65.3%) 0.3206
 Chest tightness 22 (34.9%) 12 (16.0%) 0.01774
 Palpitation 4 (6.3%) 1 (1.3%) 0.2656
 Abdominal pain 12 (19.0%) 13 (17.3%) 0.9692
 Dyspnea 8 (12.7%) 4 (5.3%) 0.2201
 Diarrhea 0 0
 Nausea 9 (14.3%) 2 (2.7%) 0.2818
 Headache 13 (20.6%) 8 (10.7%) 0.1657
 Dizziness 24 (38.1%) 35 (46.7%) 0.4003
 Neck pain 5 (7.9%) 5 (6.7%) 1
 Weakness 4 (6.3%) 3 (4.0%) 0.8126
 Flush 3 (4.8%) 1 (1.3%) 0.4924

Table 5. Number and percentage of symptomatic patients at 3, 10, and 20 min in two different lifestyle groups.
Weekly exercise < 3 times Weekly exercise > 3 times p value
3rd minute 47 (60.3%) 37 (61.7%) 1
10th minute 44 (56.4%) 34 (56.7%) 1
20th minute 33 (42.3%) 23 (38.3%) 0.7669
Any time 53 (67.9%) 43 (71.7%) 0.7764

Table 6. List of patients with Grade 3 symptoms.
# Gender Age Major symptoms Associated symptoms Treatment Timing of resolution
1 M 60 Chest tightness Aminophylline at 13th minute 20th minute
6 F 70 Dyspnea Dizziness (grade 2) Aminophylline at 17th minute 20th minute
31 F 55 Chest tightness, abdominal pain Nausea after aminophylline (grade 3 at 20th minute) Aminophylline at 12th minute 20th minute
33 M 82 Chest tightness Aminophylline at 19th minute 20th minute
35 M 46 Weakness 26th minute
55 F 60 Chest tightness and headache Aminophylline at 18th minute 20th minute
74 F 63 Nausea Chest tightness (Grade 1), dizziness (grade 1) and flush (Grade 2) Aminophylline at 25th minute 25th minute


Fig. 4


Fig. 4.

For patients with symptoms at 3 min, persistence is shown in the Kaplan-Meier curve. There is no difference between genders.

4. Discussion

The purpose of the MPI stress test is to induce a distinction in blood flow between normal coronary arteries and those with stenosis. Dipyridamole has been used as a pharmaceutical method of stress testing. Dipyridamole infusion blocks reabsorption and metabolism of endogenic adenosine [11] ;  [12], elevates extra-cellular adenosine concentration [12] ;  [13], non-selectively activates all types of adenosine receptors [12], induces vascular resistance of normal coronary artery decrease, and creates myocardial blood flow increase up to 5-fold [11]; [12] ;  [13]. On the other hand, the blood flow of the myocardium, which is supplied by stenosed coronary arteries, was unable to increase blood flow from the stress due to compensatory dilation at rest [11] ;  [12]. Dipyridamole-stress MPI is able to detect coronary artery disease as accurately as exercise stress tests, and provides prognostic information regarding cardiac death and myocardial infarction [11].

Using dipyridamole in myocardial perfusion is generally safe [5]; [6]; [7]; [8]; [13] ;  [14]. Nevertheless, up to 70% of patients undergoing dipyridamole stress suffer from variable adverse effects, such as flush, chest pain, headache, dizziness, hypotension, abdominal pain, or diarrhea [5]; [6]; [7]; [8] ;  [9]. Adverse effects can develop from stimulating different types of adenosine receptors and signal pathways, including peripheral vasodilation and hypotension [12].

In our study population, 69.6% of patients suffered from the adverse effects of dipyridamole. The most frequent symptoms were dizziness, chest tightness, abdominal pain, and headache. Prior literature shows the incidence of adverse effects from dipyridamole can range from 27.9% to 75.36% [5]; [6]; [7]; [9]; [15]; [16] ;  [17]. However, there is a wide variation of the definition of adverse effects among studies.

The half-life of dipyridamole is approximately 30–45 min [12]. In our study, the median duration of persistent symptoms was 36 min. Duration of symptoms was not significantly different between gender and age group.

In our study population, the most frequent symptom was dizziness, which made up 42.8% of patients. Most of the symptoms were Grade 1, although nobody suffered from severe dizziness (Grade 3). A study by Takeishi et al. revealed similar results, i.e., that the incidence of dizziness from dypiridamole-stress MPI was 51% [17]. In contrast, Colarinha et al. showed that 13 individuals out of 140 patients (9.3%) undergoing dypiridamole-stress MPI experienced dizziness [16]. The variation may have resulted from different awareness levels of it.

The second most frequent symptom was chest tightness, with an accumulated incidence of 24.6%. It is much higher than found in prior studies, ranging from 0.68% to 16.4% [5]; [6]; [13]; [15] ;  [16], but lower than the results of Takeishi et al [17]. Most of our patients suffered from mild chest tightness, although only 12 patients (8.7%) had chest tightness greater or equal to Grade 2, and only four people (2.9%) had Grade 3 chest tightness. Dipyridamole-induced chest tightness has been correlated with more severe coronary artery disease [17].

According to our data, females have a greater potential to experience adverse effects (Table 3 and Fig. 2). This phenomenon is revealed in a prior study [6]; [8] ;  [18]. Our data revealed that women have a higher accumulated risk for all symptoms. However, there is a statistically significant difference in dizziness at 10 min, similar to the results of Kong et al. [18]. Prior reports show that adenosine-induced adverse effects are higher in women [19]; [20] ;  [21]. The gender difference is not yet clear, but could possibly be related to different fat-to-muscle ratio [18].

In our study population, younger subjects have greater potential to have adverse effects, except for dizziness (Table 4). A report from Lette et al. revealed that the frequency of dipyridamole-induced side effects is less in patients older than 70 [8]. Adenosine-related side effects also occur more frequently in younger people [22]. Our data shows, compared to those older than 65, that younger people have higher risk of all symptoms, except dizziness. There is a significant difference of chest tightness and nausea between the two age groups, but only at 3 min.

The limitation of our study includes a retrospective study design with some missing data (24.6%), and a relatively small population. Due to these issues, we did not record symptom onset more than 20 min after the dipyridamole injection, and as such, any delayed adverse effects were not evaluated.

5. Conclusion

Our study reveals that dipyridamole use in MPS is generally safe. Women and younger people tended to have a higher risk of adverse effects. However, there is a trend that the elderly have a higher risk of dizziness than younger people. Duration of adverse effects was not significantly different for gender and age.

Conflicts of interest

No.

Acknowledgement

No.

References

  1. [1] 2014 Statistics of causes of death, Ministry of Health and Welfare of Republic of China; (2015)
  2. [2] S.D. Fihn, J.M. Gardin, J. Abrams, K. Berra, J.C. Blankenship, A.P. Dallas, P.S. Douglas, J.M. Foody, T.C. Gerber, A.L. Hinderliter, S.B. King, P.D. Kligfield, H.M. Krumholz, R.Y.K. Kwong, M.J. Lim, J.A. Linderbaum, M.J. Mack, M.A. Munger, R.L. Prager, J.F. Sabik, L.J. Shaw, J.D. Sikkema, C.R. Smith, S.C. Smith, J.A. Spertus, S.V. Williams; ACCF/AHA/ACP/AATS/PCNA/SCAI/STS guideline for the diagnosis and management of patients with stable ischemic heart disease: a report of the American College of Cardiology Foundation/American Heart Association Task Force on Practice Guidelines, the American College of Physicians, American Association for Thoracic Surgery, Preventive Cardiovascular Nurses Association, Society for Cardiovascular Angiography and Interventions, and Society of Thoracic Surgeons; J. Am. Coll. Cardiol., 60 (2012), pp. e44–e164 https://doi.org/10.1016/j.jacc.2012.07.013
  3. [3] B. Hesse, K. Tägil, A. Cuocolo, C. Anagnostopoulos, M. Bardiés, J. Bax, F. Bengel, E. Busemann Sokole, G. Davies, M. Dondi, L. Edenbrandt, P. Franken, A. Kjaer, J. Knuuti, M. Lassmann, M. Ljungberg, C. Marcassa, P.Y. Marie, F. McKiddie, M. OConnor, E. Prvulovich, R. Underwood, B. Eck-Smit; EANM/ESC procedural guidelines for myocardial perfusion imaging in nuclear cardiology; Eur. J. Nucl. Med. Mol. Imaging, 32 (2005), pp. 855–897 https://doi.org/10.1007/s00259-005-1779-y
  4. [4] R.C. Hendel, D.S. Berman, M.F. Di Carli, P.A. Heidenreich, R.E. Henkin, P.A. Pellikka, G.M. Pohost, K.A. Williams; American College of Cardiology Foundation Appropriate Use Criteria Task Force, American Society of Nuclear Cardiology, American College of Radiology, American Heart Association, American Society of Echocardiology, Society of Cardiovascular Computed Tomography, Society for Cardiovascular Magnetic Resonance, Society of Nuclear Medicine, ACCF/ASNC/ACR/AHA/ASE/SCCT/SCMR/SNM 2009 Appropriate Use Criteria for Cardiac Radionuclide Imaging: A Report of the American College of Cardiology Foundation Appropriate Use Criteria Task Force, the American Society of Nuclear Cardiology, the American College of Radiology, the American Heart Association, the American Society of Echocardiography, the Society of Cardiovascular Computed Tomography, the Society for Cardiovascular Magnetic Resonance, and the Society of Nuclear Medicine; J. Am. Coll. Cardiol., 53 (2009), pp. 2201–2229 https://doi.org/10.1016/j.jacc.2009.02.013
  5. [5] S.W. Dubrey, J.B. Bomanji, M.I. Noble, R.F. Jewkes; Safety of intravenous dipyridamole thallium myocardial perfusion imaging: experience in 435 patients; Nucl. Med. Commun., 14 (1993), pp. 303–309
  6. [6] A.M. Meyers, L. Topham, J. Ballow, D. Totah, R. Wilke; Adverse reactions to dipyridamole in patients undergoing stress/rest cardiac perfusion testing; J. Nucl. Med. Technol., 30 (2002), pp. 21–24
  7. [7] S. Ando, T. Ashihara, H. Ando, W. Mitsuoka, H. Tagawa, T. Fukuoka, Y. Higuchi, T. Fukuyama; Safety and accuracy of dipyridamole thallium myocardial scintigraphy in elderly patients; Jpn. Heart J., 34 (1993), pp. 245–254
  8. [8] J. Lette, J.L. Tatum, S. Fraser, D.D. Miller, D.D. Waters, G. Heller, E.B. Stanton, H.S. Bom, J. Leppo, S. Nattel; Safety of dipyridamole testing in 73,806 patients: the multicenter dipyridamole safety study; J. Nucl. Cardiol. Off. Publ. Am. Soc. Nucl. Cardiol., 2 (1995), pp. 3–17
  9. [9] H. Javadi, M. Shariati, M. Mogharrabi, I.N. Asli, S. Jallalat, A. Hooman, M. Seyedabadi, M. Assadi; The association of dipyridamole side effects with hemodynamic parameters, ECG findings, and scintigraphy outcomes; J. Nucl. Med. Technol., 38 (2010), pp. 149–152 https://doi.org/10.2967/jnmt.109.072629
  10. [10] National Cancer Institute, Common Terminology Criteria of Adverse Events v4.0; (2009)
  11. [11] J.A. Leppo; Dipyridamole myocardial perfusion imaging; J. Nucl. Med. Off. Publ. Soc. Nucl. Med., 35 (1994), pp. 730–733
  12. [12] S.G. Johnson, S. Peters; Advances in pharmacologic stress agents: focus on regadenoson; J. Nucl. Med. Technol., 38 (2010), pp. 163–171 https://doi.org/10.2967/jnmt.109.065581
  13. [13] A.P. Ignaszewski, L.X. McCormick, P.G. Heslip, A.J. McEwan, D.P. Humen; Safety and clinical utility of combined intravenous dipyridamole/symptom-limited exercise stress test with thallium-201 imaging in patients with known or suspected coronary artery disease; J. Nucl. Med. Off. Publ. Soc. Nucl. Med., 34 (1993), pp. 2053–2061
  14. [14] N.G. Uren, J.A. Melin, B. De Bruyne, W. Wijns, T. Baudhuin, P.G. Camici; Relation between myocardial blood flow and the severity of coronary-artery stenosis; N. Engl. J. Med., 330 (1994), pp. 1782–1788 https://doi.org/10.1056/NEJM199406233302503
  15. [15] A. Meyers, L. Topham, J. Ballow, D. Totah, R. Wilke; Age, perfusion test results and dipyridamole reaction; Radiol. Technol., 73 (2002), pp. 409–414
  16. [16] P. Colarinha, L. Salgado, E.P. Sá, F. Matias, M. Adão, J.F. Correia, M.R. Vieira; Pharmacological stimulation with dipyridamole in thallium-201 myocardial perfusion scintigraphy: a study of the secondary effects; Rev. Port. Cardiol. Orgão Of. Soc. Port. Cardiol. Port. J. Cardiol. Off. J. Port. Soc. Cardiol., 15 (1996), pp. 131–136 100
  17. [17] Y. Takeishi, I. Tono-oka, M. Meguro, H. Hoshi, I. Masakane, K. Ikeda, K. Tsuiki, S. Yasui; The relationship between chest pain during thallium-201 scintigraphy with dipyridamole and myocardial ischemia; Jpn. Circ. J., 55 (1991), pp. 465–472
  18. [18] B.A. Kong, L. Shaw, D.D. Miller, B.R. Chaitman; Comparison of accuracy for detecting coronary artery disease and side-effect profile of dipyridamole thallium-201 myocardial perfusion imaging in women versus men; Am. J. Cardiol., 70 (1992), pp. 168–173
  19. [19] G.S. Thomas, N.V. Prill, H. Majmundar, R.R. Fabrizi, J.J. Thomas, C. Hayashida, S. Kothapalli, J.L. Payne, M.M. Payne, M.I. Miyamoto; Treadmill exercise during adenosine infusion is safe, results in fewer adverse reactions, and improves myocardial perfusion image quality; J. Nucl. Cardiol. Off. Publ. Am. Soc. Nucl. Cardiol., 7 (2000), pp. 439–446 https://doi.org/10.1067/mnc.2000.108030
  20. [20] M.D. Cerqueira, M.S. Verani, M. Schwaiger, J. Heo, A.S. Iskandrian; Safety profile of adenosine stress perfusion imaging: results from the Adenoscan multicenter trial registry; J. Am. Coll. Cardiol., 23 (1994), pp. 384–389
  21. [21] S.M. Mohiuddin, C.K. Ravage, D.J. Esterbrooks, B.D. Lucas, D.E. Hilleman; The comparative safety and diagnostic accuracy of adenosine myocardial perfusion imaging in women versus men; Pharmacotherapy, 16 (1996), pp. 646–651
  22. [22] N.Y. Poyraz, E. Özdemir, B.M. Poyraz, Z. Kandemir, M. Keskin, Ş. Türkölmez; Predictors and diagnostic significance of the adenosine related side effects on myocardial perfusion SPECT/CT imaging; Mol. Imaging Radionucl. Ther., 23 (2014), pp. 89–95 https://doi.org/10.4274/mirt.85057
Back to Top

Document information

Published on 19/05/17
Submitted on 19/05/17

Licence: Other

Document Score

0

Views 13
Recommendations 0

Share this document

claim authorship

Are you one of the authors of this document?