Abstract

Single walled carbon nanotube, alumina and copper nanoparticles on convective mass transfer in the presence of base fluid (water) over a horizontal plate are investigated numerically. The governing partial differential equations with auxiliary conditions are reduced into the system of coupled ordinary differential equations via similarity transformation and it has been solved numerically using fourth or fifth order Runge–Kutta–Fehlberg method with shooting technique. The results display that the diffusion boundary layer thickness of the water based Cu and SWCNTs is stronger than Al2 O3 –water with increase of chemical reaction.

Keywords

SWCNTs–water ; Boundary layer slip ; Chemical reaction ; Nanoparticle volume fraction

Nomenclature

- Concentration of the fluid,

- Concentration of the wall,

- Concentration of the fluid far away from the wall,

- Specific diffusivity of the base fluid,

- Specific diffusivity of the nanofluid,

- Acceleration due to gravity,

- Grashof number, , (−)

- First order rate of chemical reaction,

- Reynolds number, , (−)

- Schmidt number, , (−)

- Streamwise coordinate and cross-stream coordinate,

- Velocity components in x and y directions,

- Flow velocity of the fluid away from the plate,

Greek symbols

- Volumetric expansion coefficients of the base fluid,

- Density of the base fluid,

- Density of the nanoparticle,

- Effective density of the nanofluid,

- Volumetric coefficient of thermal expansion of nanofluid,

- Dynamic viscosity of the base fluid,

- Effective dynamic viscosity of the nanofluid,

- Buoyancy ratio, (−)

- Chemical reaction parameter, (−)

- Velocity slip parameter, , (−)

- Dynamic viscosity of the nanofluid,

- Resistance,

- Nanoparticle volume fraction, (−)

- Dimensionless stream function, (−)

- Similarity variable, (−)

- Dimensionless stream function, (−)

- Dimensionless stream function, (−)

1. Introduction

Due to the low diffusion conductivity of mass transfer fluids used in power generation, microelectronics cooling, chemical production, refrigeration and air-conditioning, transportation, and many other applications, it is necessary to enhance effective diffusion conductivity of these fluids to improve mass transfer rate. One of the techniques, to enhance effective diffusion conductivity of these mass transfer fluids, is to add nanoparticles or nanotubes in the base fluids. Particularly with respect to mass transfer, and compared with more conventional mass transfer fluids (i.e. coolants) currently available, nanofluidic coolants exhibit enhanced diffusion conductivity.

Carbon nanotubes (CNTs) are allotropes of carbon with a cylindrical nanostructure. Nanotubes have been designed significantly larger than for any other material and these cylindrical carbon molecules have extraordinary properties, which are important for Nanoscience and Nanotechnology. In particular, owing to their extraordinary diffusion conductivity and mechanical and electrical properties, carbon nanotubes find applications as additives to enhance mass transfer in various industrial applications.

Carbon nanotubes are classified as single-walled nanotubes (SWNCTs) and multi-walled nanotubes (MWNCTs) and the carbon nanotubes naturally align themselves into “ropes” retained together by van der Waals forces, more specifically, pi-stacking. Nanofluids act enhanced diffusion properties by diffusing nanoparticles into base fluids [1] , [2]  and [3] . Nanofluids with stronger diffusion conductivity and mass transfer coefficients associated to the base fluid can be significantly useful in many applications [4] , [5] , [6]  and [7] .

Single walled carbon nanotubes (SWCNTs) with high diffusion conductivity have attracted significantly important attention from researchers [8] , [9]  and [10] . In particular, research on different divisional features of SWCNTs–nanofluids are certainly necessary to advance their potential applications in science and technology. Recently, it is investigated that the nanoparticles upgraded the mass transfer inside binary nanofluids (Xuan [11] , Bhattacharyya [12] , Sridhara and Satapathy [13] , Uddin et al. [14] , Pang et al. [15] , Kumar et al. [16] , Rout et al. [17] , Ibrahim and Reddy [18] and Gangadhar et al. [19] ). Recently several authors investigated about nanofluid flow and mass transfer [20] , [21] , [22] , [23] , [24] , [25] , [26] , [27] , [28] , [29] , [30] , [31] , [32] , [33] , [34] , [35] , [36] , [37] , [38] , [39] , [40] , [41] , [42] , [43] , [44] , [45] , [46]  and [47] .

We consider the two-dimensional boundary slip flow over a flat plate with water as base fluid encompassing single walled carbon nanotubes. Carbon nanotubes are shown to have special diffusion properties with very high diffusion conductivity. The objective of the present study is to find the approximate numerical solutions for the problem and to compare the diffusion behavior of SWCNTs–water with Cu and Al2 O3 –water in the presence of chemical reaction.

2. Mathematical analysis

Consider the steady two-dimensional laminar boundary layer slip flow of water based SWCNTs, Al2 O3 and Cu with coordinate system that is given in Fig. 1 and the thermophysical properties of the fluid and nanoparticles are presented in Table 1 . Under the boundary layer approximation, the basic steady conservation of mass, momentum and diffusion equations can be written (Singh and Kumar [44] , Magyari [46] and Mamut [47] ) as

( 1)

( 2)

( 3)

with the boundary conditions

( 4)


Physical model of the flow and coordinate system. (a) Singh and Kumar [44]. (b) ...


Fig. 1.

Physical model of the flow and coordinate system. (a) Singh and Kumar [44] . (b) Present result.

Table 1. Thermophysical properties of nanofluids, Singh and Kumar [44] and Talley et al. [45] .
Pure water 997.1 4179 0.613 63
Copper (Cu) 8933 385 401 4.89
Alumina (Al2 O3 ) 3970 765 40 2.55
SWCNTs 2600 425 6600 0.99

is the velocity slipping factor with an initial value and is the power index. is the effective density of the nanofluid, is the effective dynamic viscosity of the nanofluid, is the mass diffusivity of the nanofluid and is the volumetric expansion coefficient, which are defined by Magyari [46] and Mamut [47] as

( 5)

and are the thermal conductivity of the base fluid and nanoparticle, is the nanoparticle volume fraction, is the dynamic viscosity of the base fluid, and are the volumetric expansion coefficients of the base fluid and nanoparticle, and are the density of the base fluid and nanoparticle, is the effective thermal conductivity of the nanofluid. The similarity transformation and stream function are defined as

( 6)

The system of Eqs. (2) , (3)  and (4) become

( 7)

( 8)

with the boundary conditions

( 9)

is the velocity slip parameter with initial value , is the Buoyancy ratio, is the Schmidt number, is the Grashof number, is the Reynolds number and is the Chemical reaction parameter.

Physical quantities are (Skin friction coefficient) and (Local Sherwood number). , and are defined as

 ; is the local Reynolds number.

3. Results and discussion

Eqs. (7) and (8) subjected to the boundary condition (9) are converted into the following system of first order differential equations, as follows:

( 10)

( 11)

( 12)

The boundary conditions are

( 13)

and are priori unknowns to be determined as a part of the solution of Eqs. (11) and (12) with conditions (13), using DSolve subroutine in MAPLE 18. The values of and are determined upon solving the boundary conditions with trial and error basis, and for the benefit of the readers, the Maple 18 worksheet is listed in the Appendix. The numerical results are represented in the form of the velocity and concentration in the presence of water based SWCNT, Cu and Al2 O3 . Buoyancy ratio, is a free convection, is a mixed convection and is a forced convection. In this work, unless otherwise specified.

It is observed from the Fig. 2 that the agreement with the theoretical solution of the concentration profile for different values of Schmidt number is significantly correlated with Fig. 8 of Singh and Kumar [44] .


Comparison of concentration profiles for Sc with Fig. 8 of Singh and Kumar [44].


Fig. 2.

Comparison of concentration profiles for Sc with Fig. 8 of Singh and Kumar [44] .

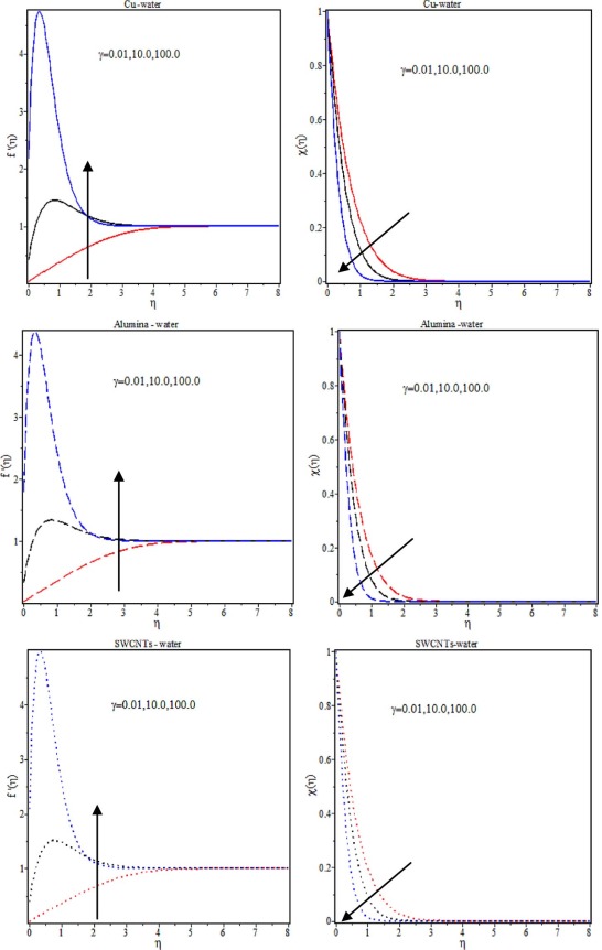
The concentration of the water based SWCNTs, Cu and Al2 O3 increases with increases of the density of the nanoparticles (Fig. 3 ) and the rate of mass transfer of SWCNTs and Cu–water decreases (Table 2 ) with increase of density. It is interesting to note that the concentration of Al2 O3 –water is stronger than SWCNTs–water and Cu–water with increase of density of the nanoparticles. The concentration and the rate of mass transfer of the nanofluids are uniform with increase of volumetric expansion of the nanoparticles (see Fig. 4 and Table 3 ). The concentration of the nanofluids (water based SWCNTs, Cu and Al2 O3 ) decreases (Fig. 5  and Fig. 6 ) but the rate of mass transfer increases (Table 4  and Table 5 ) with increase of chemical reaction and buoyancy ratio because of the combined effect of diffusion conductivity and kinematic viscosity of the nanofluids. It is also observed that the diffusion boundary layer thickness of water based Cu and SWCNTs are stronger than Al2 O3 –water with increase of chemical reaction since the rate of chemical reaction and the diffusion conductivity play a dominant role on the Cu and SWCNTs–water. The concentration of the SWCNTs–water and Al2 O3 –water decreases and the concentration of the Cu–water is uniform with the increase of the nanoparticle volume fraction (Fig. 7 ) whereas the diffusion boundary layer thickness of SWCNTs–water is stronger than the water based Cu and Al2 O3 with the increase of the nanoparticle volume fraction. The velocity/concentration of the nanofluids (water based SWCNTs, Cu and Al2 O3 ) increases/decreases with the increase of the velocity slip parameter. It is interesting to note that the strength of the diffusion boundary layer thickness of Al2 O3 –water is stronger than SWCNTs and Cu–water (Fig. 8 and Table 6 ) with the increase of the velocity slip parameter. It is revealed that the diffusion conductivity of the water based Al2 O3 plays a significant role on the enhancement of the mass transfer rate of nanofluids as compared with Cu and SWCNTs–water (Table 4 ) with the increase of chemical reaction. Finally, it is noticed that the SWCNTs–water leads to an average convective mass transfer enhancement higher than Cu and Al2 O3 –water with the increase of nanoparticle volume fraction (Table 7 ). From the Fig. 9 , it is observed that the skin friction and Sherwood number of SWCNTs–water and Al2 O3 –water is stronger than the other two nanofluids with increase of chemical reaction respectively. This is due to the combined effect of nanoparticle volume friction and diffusion expansion of SWCNTs–water and Al2 O3 –water.


Density of the nanofluids on concentration profiles with ...


Fig. 3.

Density of the nanofluids on concentration profiles with .


Volumetric expansion of the nanofluids on concentration profiles with ...


Fig. 4.

Volumetric expansion of the nanofluids on concentration profiles with .


Chemical reaction on concentration profiles with λ=0.5, γ=0.1, Sc=6.2, γ2=0.1.


Fig. 5.

Chemical reaction on concentration profiles with .


Buoyancy ratio on velocity and concentration profiles with ...


Fig. 6.

Buoyancy ratio on velocity and concentration profiles with .


Nanoparticle volume fraction on velocity and concentration profiles with ...


Fig. 7.

Nanoparticle volume fraction on velocity and concentration profiles with .


Slip parameter on velocity and concentration profiles with ...


Fig. 8.

Slip parameter on velocity and concentration profiles with .


Chemical reaction effects on skin friction and Sherwood number with ...


Fig. 9.

Chemical reaction effects on skin friction and Sherwood number with .

Table 2. and for different values of with .
Nanofluid
Cu–water 100 0.40556786 1.66762743
5000 0.39729350 1.49649125
9000 0.39205250 1.39171507
Al2 O3 –water 100 0.41099025 2.10543257
5000 0.39026200 1.57012058
9000 0.38101065 1.35210936
SWCNTs–water 100 0.40318732 1.53028233
5000 0.40138208 1.49572195
9000 0.39999141 1.46928143

Table 3. and for different values of with .
Nanofluid
Cu–water 1.0 0.391988185 1.39326051
5.0 0.392131817 1.39328133
10 0.392311344 1.39330737
Al2 O3 –water 1.0 0.393190042 1.64736502
5.0 0.393673401 1.64743613
10 0.394277475 1.64752500
SWCNTs–water 1.0 0.402251627 1.51233513
5.0 0.402285124 1.51233986
10 0.402326996 1.51234577

Table 4. and for different values of with .
Nanofluid
Cu–water 0.1 0.41054960 0.72599331
3.0 0.37832265 2.30159323
10.0 0.36615522 4.15126063
Al2 O3 –water 0.1 0.41416858 0.82851250
3.0 0.37888581 2.74065092
10.0 0.36666962 4.95357715
SWCNTs–water 0.1 0.42574385 0.77551634
3.0 0.38516728 2.50750348
10.0 0.37042421 4.52831231

Table 5. and for different values of with .
Nanofluid
Cu–water 0.01 0.33580455 1.38400682
10 3.34902280 1.71832502
100 17.6203525 2.57510459
Al2 O3 –water 0.01 0.33613146 1.63782625
10 3.45010806 1.99415775
100 18.5863879 2.94381782
SWCNTs–water 0.01 0.33707129 1.50197468
10 3.93205639 1.88208023
100 21.0538645 2.83579739

Table 6. and for different values of with .
Nanofluid
Cu–water 0.1 0.39212786 1.39328076
1.0 0.31282789 1.52795081
3.0 0.18904557 1.64059657
Al2 O3 –water 0.1 0.42304686 1.53129203
1.0 0.33241653 1.78719462
3.0 0.21833993 1.92701399
SWCNTs–water 0.1 0.40225154 1.51233512
1.0 0.33662154 1.64320141
3.0 0.23558511 1.79291693

Table 7. and for different values of with .
Nanofluid
Cu–water 0.05 0.39212786 1.39328076
0.1 0.38564620 1.35442510
0.2 0.37843858 1.38488721
Al2 O3 –water 0.05 0.39873152 1.52782462
0.1 0.39572694 1.57741139
0.2 0.39151724 1.73935723
SWCNTs–water 0.05 0.40085700 1.57295700
0.1 0.39935796 1.66314059
0.2 0.60331953 1.81114233

4. Conclusion

Mass transfer of the water based SWCNTs, Alumina and Cu over a flat plate in the presence of chemical reaction under slip condition are investigated. The system of coupled nonlinear ODEs are solved numerically using the fourth or fifth order Runge–Kutta–Fehlberg method with the shooting technique. The strength of diffusion boundary layer thickness of SWCNTs and Cu–water is stronger than Al2 O3 –water with increase of chemical reaction. The diffusion boundary layer thickness of SWCNTs–water is stronger than Al2 O3 and Cu–water with increase of nanoparticle volume fraction since the single walled carbon nanotubes (SWCNTs) have extraordinary mechanical, electrical, thermal, optical and chemical properties. The rate of chemical reaction in the presence of Cu–water and SWCNTs–water plays a dominant role on the flow field due to the combined effects of diffusion conductivity and density of the water based Cu and SWCNTs. Furthermore, the strength of diffusion boundary layer thickness of Al2 O3 –water is stronger than SWCNTs and Cu–water with increase of the velocity slip parameter. This is due to the combined effect of the kinematic viscosity and diffusion conductivity of the Al2 O3 –water.

Acknowledgements

The authors wish to express their cordial thanks to our beloved The Vice Chancellor and The Dean, FSTPi, UTHM, Malaysia, for their encouragements and acknowledge the financial support received from FRGS1208/2013 .

Appendix

Image for unlabelled figure

References

  1. [1] N. Sandeep, C. Sulochana; Dual solutions for unsteady mixed convection flow of MHD micropolar fluid over a stretching/shrinking sheet with non-uniform heat source/sink; JESTECH, 18 (2015), pp. 738–745
  2. [2] S. Eiamsa-ard, K. Kiatkittipong, W. Jedsadaratanachai; Heat transfer enhancement of TiO2 /water nanofluid in a heat exchanger tube equipped with overlapped dual twisted-tapes  ; JESTECH, 18 (2015), pp. 336–350
  3. [3] M.A. Mansour, S.E. Ahmed; A numerical study on natural convection in porous media-filled an inclined triangular enclosure with heat sources using nanofluid in the presence of heat generation effect; Engineering Science and Technology, an International Journal, 18 (2015), pp. 485–495
  4. [4] S. Das, R.N. Jana, O.D. Makinde; Mixed convective magnetohydrodynamic flow in a vertical channel filled with nanofluids; JESTECH, 18 (2015), pp. 244–255
  5. [5] S. Mukhopadhyay, I.C. Mandal; Magnetohydrodynamic (MHD) mixed convection slip flow and heat transfer over a vertical porous plate; JESTECH, 18 (2015), pp. 98–105
  6. [6] K. Goudarzi, E. Shojaeizadeh, F. Nejati; An experimental investigation on the simultaneous effect of CuO–H2 O nanofluid and receiver helical pipe on the thermal efficiency of a cylindrical solar collector  ; Appl. Therm. Eng, 73 (2014), pp. 1236–1243
  7. [7] S. Halelfadl, A.M. Adham, N. Mohd-Ghazali, T. Maré, P. Estellé, R. Ahmad; Optimization of thermal performances and pressure drop of rectangular microchannel heat sink using aqueous carbon nanotubes based nanofluid; Appl. Therm. Eng, 62 (2014), pp. 492–499
  8. [8] X. Ma, F. Su, J. Chen, T. Bai, Z. Han; Enhancement of bubble absorption process using a CNTs-ammonia binary nanofluid; Int. Commun. Heat Mass, 36 (2009), pp. 657–660
  9. [9] H.H. Khoshmehr, A. Saboonchi, M.B. Shafii; The quenching of silver rod in boiling carbon nano tube-water nanofluid; Int. J. Therm. Sci, 75 (2014), pp. 95–104
  10. [10] S.S. Park, N.J. Kim; A study on the characteristics of carbon nanofluid for heat transfer enhancement of heat pipe; Renew. Energy, 65 (2014), pp. 123–129
  11. [11] Y. Xuan; Conception for enhanced mass transport in binary nanofluids; Heat Mass Transfer, 46 (2009), pp. 277–279
  12. [12] K. Bhattacharyya; Boundary layer flow with diffusion and first order chemical reaction over a porous flat plate subject to suction/injection and with variable wall concentration; Chem. Eng. Res. Bull, 15 (2011), pp. 6–11
  13. [13] V. Sridhara, L.N. Satapathy; Al2 O3 -based nanofluids: a review  ; Nanoscale Res. Lett, 456 (6) (2011), pp. 1–16
  14. [14] M.J. Uddin, M.A.A. Hamad, A.I.M. Ismail; Investigation of heat mass transfer for combined convective slips flow: a lie group analysis; Sains Malays, 41 (9) (2012), pp. 1139–1148
  15. [15] C. Pang, W. Wu, W. Sheng, H. Zhang, Y.T. Kang; Mass transfer enhancement by binary nanofluids for bubble absorption process; Int. J. Refrig, 35 (2012), pp. 2240–2247
  16. [16] D. Kumar, M.B. Sharma, B.S. Yadav; A study on MHD flow and heat transfer along a porous flat plate with mass transfer; Ultra Sci, 24b (2) (2012), pp. 327–334
  17. [17] B.R. Rout, S.K. Parida, S. Panda; MHD heat and mass transfer of chemical reaction fluid flow over a moving vertical plate in presence of heat source with convective surface boundary condition; Int. J. Chem. Eng (2013), pp. 1–11 Hindawi publishing corporation, Article ID 296834
  18. [18] S.M. Ibrahim, N.B. Reddy; Similarity solution of heat and mass transfer for natural convection over a moving vertical plate with internal heat generation and a convective boundary condition in the presence of thermal radiation, viscous dissipation, and chemical reaction; ISRN Thermodyn (2013), pp. 1–10 Article ID 790604
  19. [19] K. Gangadhar, N.B. Reddy, P.K. Kameswaran; Similarity solution of hydro magnetic heat and mass transfer over a vertical plate with a convective surface boundary condition and chemical reaction; Int. J. Nonlin. Sci, 13 (3) (2012), pp. 298–307
  20. [20] M.R. Safaei, H. Togun, K. Vafai, S.N. Kazi, A. Badarudin; Investigation of heat transfer enhancement in a forward-facing contracting channel using FMWCNT nanofluids; Numer. Heat Tr. B-Fund, 66 (2014), pp. 1321–1340
  21. [21] M. Goodarzi, M.R. Safaei, K. Vafai, G. Ahmadi, M. Dahari, S.N. Kazi, et al.; Investigation of nanofluid mixed convection in a shallow cavity using a two-phase mixture model; Int. J. Therm. Sci, 75 (2014), pp. 204–220
  22. [22] Z. Nikkhah, A. Karimipour, M.R. Safaei, P. Forghani-Tehrani, M. Goodarzi, M. Dahari, et al.; Investigation of FMWCNT nanofluids forced convection in a microchannel with oscillating heat flux and slip boundary condition; International Communications in Heat and Mass Transfer, 68 (2015), pp. 69–77
  23. [23] H. Togun, M.R. Safaei, R. Sadri, S.N. Kazi, A. Badarudin, K. Hooman, et al.; Heat transfer to turbulent and laminar Cu/water flow over a backward-facing step; Appl. Math. Comput, 239 (2014), pp. 153–170
  24. [24] A. Malvandi, M.R. Safaei, M.H. Kaffash, D.D. Ganji; MHD mixed convection in a vertical annulus filled with Al2 O3 -water nanofluid considering nanoparticle migration  ; J. Magn. Magn. Mater, 382 (2015), pp. 296–306
  25. [25] M. Goodarzi, A. Amiri, M.S. Goodarzi, M.R. Safaei, A. Karimipour, E.M. Languri, et al.; Investigation of heat transfer and pressure drop of a counter flow corrugated plate heat exchanger using MWCNT based nanofluids; International Communications in Heat and Mass Transfer, 66 (2015), pp. 172–179
  26. [26] A. Karimipour, A.H. Nezhad, A. D'Orazio, M.H. Esfe, M.R. Safaei, E. Shirani; Simulation of copper–water nanofluid in a microchannel in slip flow regime using the lattice Boltzmann method; Eur. J. Mech. B-Fluid, 49-Part A (2015), pp. 89–99
  27. [27] M.H. Esfe, A. Karimipour, W.-M. Yan, M. Akbari, M.R. Safaei, M. Dahari; Experimental study on thermal conductivity of ethylene glycol based nanofluids containing Al2 O3 nanoparticles  ; Int. J. Heat Mass Tran, 88 (2015), pp. 728–734
  28. [28] M.M. Rashidi, N. Freidoonimehr, A. Hosseini, O. Anwar Bég, T.-K. Hung; Homotopy simulation of nanofluid dynamics from a non-linearly stretching isothermal permeable sheet with transpiration; Meccanica, 49 (2014), pp. 469–482
  29. [29] M.M. Rashidi, E. Erfani; The modified differential transform method for investigating nano boundary-layers over stretching surfaces; Int. J. Numer. Method. H., 21 (2011), pp. 864–883
  30. [30] M.H. Abolbashari, N. Freidoonimehr, F. Nazari, M.M. Rashid; Entropy analysis for an unsteady MHD flow past a stretching permeable surface in nano-fluid; Powder Technol, 267 (2014), pp. 256–267
  31. [31] M. Sheikholeslami, M. Gorji-Bandpay, D.D. Ganji; Magnetic field effects on natural convection around a horizontal circular cylinder inside a square enclosure filled with nanofluid; Int. J. Heat Mass Tran, 39 (2012), pp. 978–986
  32. [32] M. Sheikholeslami, M.M. Rashidi, D.D. Ganji; Effect of non-uniform magnetic field on forced convection heat transfer of Fe3O4- water nanofluid; Comput. Methods Appl. Mech. Engrg, 294 (2015), pp. 299–312
  33. [33] M. Sheikholeslami, M.M. Rashidi; Ferrofluid heat transfer treatment in the presence of variable magnetic field; Eur. Phys. J. Plus, 130 (2015), p. 115
  34. [34] M. Sheikholeslami, R. Ellahi; Three dimensional mesoscopic simulation of magnetic field effect on natural convection of nanofluid; Int. J. Heat Mass Transf, 89 (2015), pp. 799–808
  35. [35] M. Sheikholeslami, M.M. Rashidi; Effect of space dependent magnetic field on free convection of Fe3O4-water nanofluid; J. Taiwan Inst. Chem. Eng (2015) http://dx.doi.org/10.1016/j.jtice.2015.03.035
  36. [36] M. Sheikholeslami, D.D. Ganji; Entropy generation of nanofluid in presence of magnetic field using Lattice Boltzmann Method; Physica A, 417 (2015), pp. 273–286
  37. [37] M. Sheikholeslami, D.D. Ganji; Ferrohydrodynamic and magnetohydrodynamic effects on ferrofluid flow and convective heat transfer; Energy, 75 (2014), pp. 400–410
  38. [38] M. Sheikholeslami, I. Babol, S. Abelman; Two phase simulation of nanofluid flow and heat transfer in an annulus in the presence of an axial magnetic field; IEEE T. Nanotechnol, 14 (3) (2015), pp. 561–569
  39. [39] M. Sheikholeslami, D.D. Ganji; Nanofluid flow and heat transfer between parallel plates considering Brownian motion using DTM; Comput. Methods Appl. Mech. Engrg, 283 (2015), pp. 651–663
  40. [40] M. Sheikholeslami, D.D. Ganji; KKL correlation for simulation of nanofluid flow and heat transfer in a permeable channel; Phys. Lett. A, 378 (45) (2014), pp. 3331–3339
  41. [41] M. Sheikholeslami, D.D. Ganji, M. Younus Javed, R. Ellahi; Effect of thermal radiation on magnetohydrodynamics nanofluid flow and heat transfer by means of two phase model; J. Magn. Magn. Mater, 374 (2015), pp. 36–43
  42. [42] M. Sheikholeslami, M. Gorji-Bandpy, D. Ganji, P. Rana, S. Soleimani; Magnetohydrodynamic free convection of Al2O3-water nanofluid considering Thermophoresis and Brownian motion effects; Comput. Fluids, 94 (2014), pp. 147–160
  43. [43] M. Sheikholeslami, M. Gorji-Bandpy, S. Soleimani; Two phase simulation of nanofluid flow and heat transfer using heatline analysis; Int. J. Heat Mass Tran, 47 (2013), pp. 73–81
  44. [44] P. Singh, M. Kumar; Mass transfer in MHD flow of alumina water nanofluid over a flat plate under slip conditions; Alexandria Eng. J. (2015) in press
  45. [45] L.D. Talley, G.L. Pickard, W.J. Emery, J.H. Swift; Physical properties of sea water; Chapter 3 Descriptive Physical Oceanography (sixth ed.), 978-0-7506-4552-2, Academic Press is an imprint of Elsevier Ltd, London, UK (2011), pp. 29–65
  46. [46] E. Magyari; Comment on the homogeneous nanofluid models applied to convective heat transfer problems; Acta. Mechanica, 222 (2011), pp. 381–385
  47. [47] E. Mamut; Characterization of heat and mass transfer properties of nanofluids; Rom. J. Phys, 51 (2006), pp. 5–12
Back to Top

Document information

Published on 10/04/17

Licence: Other

Document Score

0

Views 32
Recommendations 0

Share this document

claim authorship

Are you one of the authors of this document?