Abstract

Objectives

To quantify the effect of statins’ use on Prostate Specific Antigen (PSA) levels in patients referred to prostate biopsy and to determinate if the exposure to statins must be considered to improve the prostate cancer diagnostic accuracy of PSA.

Methods

We selected 551 subjects with PSA <10.0 ng/mL, referred to ultrasound guided trans-rectal prostate biopsy and classified as cancer or non-cancer patients after biopsy. Information regarding statins’ use was obtained from clinical records. We used path analysis to quantify the direct (reflects the influence on PSA biology and metabolism) indirect (reflects the influence on PSA through the effect on the risk of prostate cancer) and total effects (net result of direct and indirect effects) of statins’ use on PSA. We used Receiver Operating Characteristic curves to assess the global predictive accuracy of models including PSA, age, body mass index, 5-α-reductase inhibitors, aspirin and statins’ use for distinguishing between prostate cancer and benign conditions.

Results

We observed a negative total effect of statins on PSA levels (users vs. non-users: −0.633 ng/mL; 95% CI: −1.087; −0.179), which corresponds to approximately 8.9% lower levels among statins’ users, mostly due to the direct effect (−0.588 ng/mL; 95% CI: −1.034, −0.141) rather than that by the indirect effect (−0.045 ng/mL; 95% CI: −0.152, 0.061). There were no statistically significant differences between the area under the curve corresponding to the models with or without statins (P  = 0.274).

Conclusion

In patients referred to prostate biopsy, statins’ use contributed to lower Prostate Specific Antigen levels, but the clinical impact in these patients is low.

Resumo

Objetivos

Quantificar o efeito do uso de estatinas nos níveis do antigénio específico da próstata (PSA) em doentes submetidos a biópsia prostática. Determinar se o uso de a estatinas deve ser considerado para melhorar a validade do PSA no diagnóstico de cancro.

Métodos

Selecionámos 551 doentes com PSA < 10,0 ng/mL, referidos para biópsia prostática e classificados como «cancro» e «não-cancro» após biópsia. A informação relativa ao uso de estatinas obteve-se nos registos clínicos dos doentes. Usámos «path analysis» para quantificar os efeitos direto (reflete a influência na biologia e metabolismo do PSA), indireto (reflete a influência no PSA através do efeito no risco de cancro da próstata) e total (soma dos efeitos direto e indireto) do uso de estatinas nos valores de PSA. Usámos curvas ROC para avaliar a validade de modelos que incluíam os valores de PSA, idade, índice de massa corporal, uso de inibidores da 5-α-reductase, uso de aspirina e estatinas para distinguir entre cancro da próstata ou situações benignas.

Resultados

Observámos um efeito total negativo das estatinas nos níveis de PSA (utilizadores vs. não-utilizadores: −0,633 ng/mL; 95% CI: −1,087; −0,179), correspondendo, aproximadamente, a níveis 8,9% menores com estatinas, devido principalmente ao seu efeito direto (−0,588 ng/mL; 95% CI: −1,034, −0,141) em vez do efeito indireto (−0,045 ng/mL; 95% CI: −0,152, 0,061). Não houve diferenças estatisticamente significativas entre as áreas sob a curva dos modelos com e sem estatinas (p = 0,274).

Conclusão

Nos doentes referidos para biópsia, o uso de estatinas contribuiu para menores valores de PSA; o impacto clínico nestes doentes é baixo.

Keywords

Path analysis ; Prostate cancer ; Prostate Specific Antigen (PSA) ; Statins

Palavras-chave

Path analysis ; Cancro da próstata ; Antigénio específico da próstata (PSA) ; Estatinas

Introduction

The use of statins has been increasing over the last two decades1  ;  2 due to the definition of successively lower cut-offs for cholesterol levels associated with high cardiovascular risk,3 the changes in the spectrum of statins’ indication – with recommendations for its use in both primary and secondary prevention of cardiovascular events –3 and the intense marketing policies by pharmaceutical companies.4  ;  5 Currently, statins are among the most prescribed drugs within countries of the Organization for the Economic Co-operation and Development (OECD), with an estimated average daily consumption of 91 Defined Daily Doses (DDDs) per 1000 people.6

In addition to the lipid lowering properties of statins, these drugs have shown anti-inflammatory, anti-invasive, tumor growth suppressing, apoptotic and angiogenesis inhibiting properties, potentially decreasing the risk of several cancers,7 including prostate cancer.7 ; 8  ;  9 Statins may also contribute to a reduction in total Prostate Specific Antigen (PSA) levels due to their action on benign prostatic tissue, and on the metabolism of cholesterol – a precursor in the synthesis of PSA.9 Epidemiological evidence supports a lower risk of prostate cancer among statins users, and several observational studies have shown that non-cancer patients under treatment with statins, especially long therapy courses, present lower levels of serum PSA.10 ; 11  ;  12

The impact of statins on serum PSA levels may lead to a decrease in prostate cancer detection when using the traditional cut-offs for reference to biopsy,11  ;  13 and adjustment of the PSA threshold may be needed among statins’ users, to maximize sensitivity and specificity.14

Therefore, we aimed to quantify the effect of using statins on PSA levels, and to assess the potential impact of the exposure to these drugs in the diagnostic accuracy of PSA, among patients referred to prostate biopsy.

Methods

Study population and data sources

Between October 2009 and November 2012, we consecutively recruited patients, at the Department of Urology of Hospital de São João, Porto, Portugal, referred to ultrasound guided trans-rectal prostate biopsy on the basis of abnormal digital rectal examination (DRE) or PSA ≥2.5 ng/mL, and selected those with PSA <10 ng/mL. Before undergoing prostatic biopsy, weight and height were measured and a fasting blood sample was collected for assessment of PSA and free PSA. None of the patients had received hormone therapy, radiotherapy or chemotherapy previously.

The results of the prostatic pathology assessment (cancer versus non-cancer) were defined by biopsy (12–14 biopsy cores). The participants with non-malignant disease in the first biopsy, but having a prostate cancer diagnosed within six months, were considered as cancer patients.

Information gathered by the physicians regarding the patients’ prostatic volume, previous medical conditions and currently used medication was obtained from clinical records for a total of 551 patients. Data analysis was restricted to this group.

Currently used medications were classified according to the Anatomical Therapeutic Chemical (ATC) classification system, from the 1st level – anatomical main group–to 5th level – chemical substance name –15 depending on the information available. Statins’ use was defined as the current treatment with any of the drugs belonging to ATC level C10AA (Hydroxy-methylglutaryl Coenzyme-A – HMG CoA – reductase inhibitors) including simvastatin (C10AA01), lovastatin (C10AA02), pravastatin (C10AA03), fluvastatin (C10AA04), atorvastatin (C10AA05), rosuvastatin (C10AA07) or pitavastatin (C10AA08). Data on specific dosage, duration of treatment or previously discontinued prescription medications were not systematically recorded and, therefore, not considered for analysis.

Statistical analysis

To compare quantitative and categorical variables across groups, we used the Mann–Whitney and the Chi-square tests, respectively. Statistically significance was considered when P  < 0.05. All reported P -values are two-sided.

We used path analysis to quantify the direct (corresponding to the influence on PSA biology and metabolism), indirect (through the relation with the risk of prostate cancer, which, in turn, is related to PSA levels) and total effect (the net result of direct and indirect effects) of statins’ use on PSA levels.16 This method is an extension of regression analysis that allows for simultaneous estimation of the interrelations between variables in a set, as well as to decompose the magnitudes of effects between variables with complex interrelations – which represent an advantage of this particular method –, as well as to compare them, allowing to test the plausibility of mediation effects.16

We assumed a causal/temporal relationship between the use of statins and the PSA levels, taking into account several potential confounders, as depicted in the Directed Acyclic Graph (DAG)17 presented as Fig. 1 . The model reflects the minimum set of variables needed to estimate the global effect of statins on PSA levels, including the direct, indirect and total effect.


Directed Acyclic Graph (DAG) representing estimates of direct (solid thick line) ...


Figure 1.

Directed Acyclic Graph (DAG) representing estimates of direct (solid thick line) and indirect (solid dashed lines) effects of statins on total Prostate Specific Antigen (PSA) levels, calculated by path analysis. Direct effect (statins → PSA): β1  = −0.588 (−1.034; −0.141), Indirect effect (statins → cancer → PSA): β2  × β3  = −0.045 (−0.152; 0.061), Total effect : β1  + (β2  × β3 ) = −0.633 (−1.034; −0.179). Note : The regression coefficients (β ) and 95% confidence intervals (95% CI) were obtained using linear (presented in italic ) or logistic (bold ) regression models, as appropriate.

Models were fitted with Mplus software (Muthén and Muthén, Los Angeles, California); 95% confidence intervals were calculated by bootstrapping, and the models were considered to have a good fit when the estimated Root Mean Square Error of Approximation (RMSEA) was <0.05.18

We fitted logistic regression models, including cancer as the dependent variable and different combinations of PSA, age, BMI, 5-α reductase inhibitors (5ARI), aspirin and statins’ use as independent variables, due to their impact on PSA levels, and used the areas under the corresponding Receiver Operating Characteristic (ROC) curves to compare their predictive accuracy to distinguish between prostate cancer and benign prostatic conditions.19 The analyses were performed using STATA® , version 11.2 (StataCorp LP, College Station, TX, USA).

Ethical consideration

The project was approved by the Hospital de São João Ethics Committee.

Results

There were a total of 138 statins’ users: 42.3% used simvastatin, 1.3% lovastatin, 18.1% pravastatin, 4.7% fluvastatin, 17.4% atorvastatin, 12.8% rosuvastatin and 0.7% pitavastatin. Statins users were significantly older than non-users and presented tendency for lower tPSA and free/total PSA ratio. No further statistically significant differences were observed according to the use of statins, except for lower levels of free PSA in statins’ users among cancer patients (Table 1 ).

Table 1. Characteristics of the patients according to statins’ use, for all participants and according to prostate biopsy diagnosis.
Na All participants (n  = 551) P -valuec Non-cancer (n  = 362) P -valuec Cancer (n  = 189) P -valuec
Non-user (n  = 413) User (n  = 138) Non-user (n  = 269) User (n  = 93) Non-user (n  = 144) User (n  = 45)
Median (P25–P75)b Median (P25–P75)b Median (P25–P75)b
Age (years) 551 66 (60–70) 67 (62–72) 0.028 65 (60–70) 66 (62–71) 0.057 66 (62–72) 68 (62–74) 0.231
Total PSA (ng/mL) 551 5.85 (4.36–7.81) 5.65 (4.1–7.01) 0.116 5.45 (4.00–7.35) 5.30 (3.54–6.60) 0.323 6.83 (5.15–8.30) 6.30 (5.06–7.04) 0.242
Free PSA (ng/mL) 542 0.88 (0.59–1.34) 0.79 (0.52–1.18) 0.056 0.89 (0.59–1.39) 0.85 (0.56–1.28) 0.328 0.86 (0.59–1.26) 0.69 (0.49–1−03) 0.029
Free/total PSA ratio 542 0.17 (0.11–0.23) 0.16 (0.11–0.22) 0.436 0.18 (0.14–0.23) 0.17 (0.13–0.24) 0.825 0.14 (0.09–0.20) 0.11 (0.08–0.17) 0.139
Abnormal DRE [n (%)] 159 115 (32.3) 44 (34.4) 0.466 61 (25.7) 18 (23.1) 0.638 56 (43.8) 24 (60) 0.066
Prostatic volume (mL) 472 52 (40–72) 54 (40–70) 0.955 59.5 (44–84) 60 (44–84) 0.996 45 (35–60) 48 (40–60) 0.555
BMI (kg/m2 ) 551 26.2 (24.1–28.8) 26.5 (24.3–28.6) 0.861 26.1 (24.1–28.5) 26.6 (24.6–28.5) 0.461 26.5 (24.2–29.4) 26.0 (23.9–28.7) 0.545

P25–P75, percentile 25–percentile 75; BMI, body mass index.

a. The number of participants may be lower due to missing data.

b. As appropriate.

c. P -value for the comparison of statins’ users vs non-user.

Fig. 1 presents the relation between the variables tested to assess the plausibility of an effect of statins’ use on PSA levels, using path analysis; the overall fit of the model was good (RMSEA = 0.00). We observed a significant negative total effect of statins on PSA levels (users vs. non-users: −0.633 ng/mL; 95% CI: −1.087; −0.179), which corresponds to approximately 8.9% lower levels among statins’ users, mostly due to the direct effect (users vs. non-users: −0.588 ng/mL; 95% CI: −1.034, −0.141) rather than that by the indirect effect (users vs. non-users: −0.045 ng/mL; 95% CI: −0.152, 0.061).

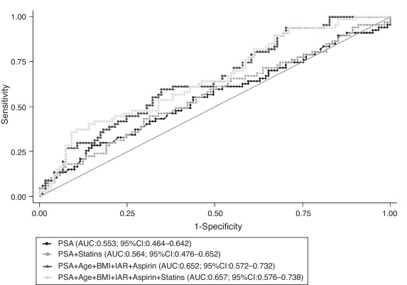
Fig. 2 depicts the ROC curves that reflect the global predictive accuracy of models including PSA, age, BMI, 5ARI, aspirin and statins’ use for distinguishing between prostate cancer and prostate benign conditions. There were no statistically significant differences between the area under the curve (AUC) corresponding to the models with or without statins (P  = 0.274). Furthermore, there was no meaningful or statistically significant difference in the predicted probability of prostate cancer detection among statins users (24%; 95% CI: 17–31) and non-users (27%; 95% CI: 21–32) when setting the PSA value to 4 ng/mL and considering the mean values of the remaining variables included in the model.


Receiver operating characteristic (ROC) curves for global predictive accuracy of ...


Figure 2.

Receiver operating characteristic (ROC) curves for global predictive accuracy of different combinations of total PSA (PSA), age, body mass index (BMI), aspirin, 5-α reductase inhibitors (5ARI) and statins’ use for prostate cancer diagnosis. AUC, area under the curve; 95% CI, 95% confidence interval.

When restricting the analysis to cancer patients, taking into account the use of statins did not modify the predictive accuracy of PSA to distinguish between low and high-grade disease at prostate biopsy; there were no significant differences between the AUC obtained from the models presented in Fig. 3 (P  = 0.202).


Receiver operating characteristic (ROC) curves for global predictive accuracy of ...


Figure 3.

Receiver operating characteristic (ROC) curves for global predictive accuracy of different combinations of total PSA (PSA), age, body mass index (BMI), aspirin, 5-α reductase inhibitors (5ARI) and statins’ use for distinguishing between low and high-grade prostate cancer (Gleason score 3 + 4 or lower vs. 4 + 3 or higher). AUC, area under the curve; 95% CI, 95% confidence interval.

Discussion

In a group of patients referred to prostate biopsy there was a negative effect of statins on PSA levels. According to the model proposed for the relation between statins use and PSA levels, there was a weak association when considering only the effects mediated by the potential relation between the use of statins and the occurrence of cancer.

Despite the overall significant association between statins and PSA, no important difference in the predictive value of PSA testing is to be expected according to the use of these drugs.

Previous studies that evaluated the relationship between statins and PSA levels found lower levels of PSA among statins users10 ; 11 ; 12 ; 13 ; 20 ; 21  ;  22 ; the relative difference in PSA levels between statins users and non-users was −3% and −13% after one and five years of therapy with statins, respectively, in a sample from participants in the National Health and Nutrition Examination Survey (NHANES).13  ;  20 However, methodological differences preclude direct comparison between our results and the ones from most studies conducted before.

Concerning the relationship between statins and cancer, we observed a non-significantly lower risk of prostate cancer, which is also in agreement with other studies that used a similar setting–men referred to prostate biopsy. In these studies, the risk ratios (RR) for prostate cancer diagnosis were 0.92 (95% CI: 0.85–0.99)23 and 0.95 (95% CI: 0.73–1.24)24 when adjusting for different confounders. Regarding the other relations depicted, the magnitudes of effects are in accordance with the available evidence with an exception for the association between aspirin use and PSA levels,25  ;  26 since previous observational studies showed lower PSA levels among aspirin users.13

Our study adds to previous research on this topic a comprehensive assessment of the impact of use of statins in prostate cancer; we quantified the statins direct (statins → PSA) and indirect (statins → cancer → PSA) effect – through path analysis – and assessed the impact of decreased PSA levels among statins’ users in the prediction of prostate cancer – through ROC curve analysis. Nevertheless, some limitations need to be discussed. The absence of information from the patients clinical records regarding the duration of treatment with statins, since it is one of the main determinants for statins anti-carcinogenic activity,10  ;  13 contributes to an underestimation of the association between statins and prostate cancer and may help to explain why we observed a larger contribution from the direct effect on PSA levels. The cross-sectional nature of our analyses does not allow us to confirm the precedence of the exposure to statins over the observed PSA levels. Although it is unlikely that there is a causal relation between low PSA and the use of statins, the absence of information regarding access to health care services could have resulted in an overestimation of the direct effects of statins on PSA levels.12  ;  26 People who have a better access to health care are more likely to be prescribed a statin, possibly leading to lower PSA levels, as well as to undergo PSA testing more frequently and to be diagnosed with a prostate cancer on the basis of lower PSA values. This probably had little impact in the internal validity of our findings, since all participants were referred for prostatic biopsy and a relatively high homogeneity in the access to health care may be expected among them. However, our results cannot be extrapolated to the general population or clinical settings with different risk of prostate cancer.

In conclusion, in a consecutive sample of patients referred to prostate biopsy, we observed that statins’ use was associated with lower PSA levels, but the clinical impact of this relation is low. Further investigation is needed to obtain more robust and generalizable estimates of the relation between the use of statins and PSA levels.

Ethical disclosures

Protection of human and animal subjects

The authors declare that no experiments were performed on humans or animals for this study.

Confidentiality of data

The authors declare that they have followed the protocols of their work center on the publication of patient data.

Right to privacy and informed consent

The authors declare that no patient data appear in this article.

Conflicts of interest

The authors have no conflicts of interest to declare.

References

  1. 1 T. Walley, P. Folino-Gallo, P. Stephens, E. Van Ganse; Trends in prescribing and utilization of statins and other lipid lowering drugs across Europe 1997–2003; Br J Clin Pharmacol, 60 (2005), pp. 543–551
  2. 2 IMS Institute of Healthcare Informatics; The use of medicines in the United States: review of 2011; IMS Health (2013) October 2013
  3. 3 A.Y. Cheng, L.A. Leiter; Implications of recent clinical trials for the National Cholesterol Education Program Adult Treatment Panel III guidelines; Curr Opin Cardiol, 21 (2006), pp. 400–404
  4. 4 E. Upmeier, M.J. Korhonen, A. Helin-Salmivaara, R. Huupponen; Statin use among older Finns stratified according to cardiovascular risk; Eur J Clin Pharmacol, 69 (2013), pp. 261–267
  5. 5 H. Wallach Kildemoes, M. Vass, C. Hendriksen, M. Andersen; Statin utilization according to indication and age: a Danish cohort study on changing prescribing and purchasing behaviour; Health Policy, 108 (2012), pp. 216–227
  6. 6 OECD; Health at a glance 2013: OECD indicators; OECD Publishing (2013) http://dx.doi.org/10.1787/health_glance-2013-en
  7. 7 P. Gazzerro, M.C. Proto, G. Gangemi, A.M. Malfitano, E. Ciaglia, S. Pisanti, et al.; Pharmacological actions of statins: a critical appraisal in the management of cancer; Pharmacol Rev, 64 (2012), pp. 102–146
  8. 8 D. Bansal, K. Undela, S. D’Cruz, F. Schifano; Statin use and risk of prostate cancer: a meta-analysis of observational studies; PLoS ONE, 7 (2012), p. e46691
  9. 9 G. Papadopoulos, D. Delakas, L. Nakopoulou, T. Kassimatis; Statins and prostate cancer: molecular and clinical aspects; Eur J Cancer, 47 (2011), pp. 819–830
  10. 10 M.S. Cyrus-David, A. Weinberg, T. Thompson, D. Kadmon; The effect of statins on serum prostate specific antigen levels in a cohort of airline pilots: a preliminary report; J Urol, 173 (2005), pp. 1923–1925
  11. 11 A.M. Mondul, E. Selvin, A.M. De Marzo, S.J. Freedland, E.A. Platz; Statin drugs, serum cholesterol, and prostate-specific antigen in the National Health and Nutrition Examination Survey 2001–2004; Cancer Causes Control, 21 (2010), pp. 671–678
  12. 12 T.J. Murtola, T.L. Tammela, L. Maattanen, H. Huhtala, E.A. Platz, M. Ala-Opas, et al.; Prostate cancer and PSA among statin users in the Finnish prostate cancer screening trial; Int J Cancer, 127 (2010), pp. 1650–1659
  13. 13 S.L. Chang, L.C. Harshman, J.C. Presti Jr.; Impact of common medications on serum total prostate-specific antigen levels: analysis of the National Health and Nutrition Examination Survey; J Clin Oncol, 28 (2010), pp. 3951–3957
  14. 14 H. Lilja, D. Ulmert, A.J. Vickers; Prostate-specific antigen and prostate cancer: prediction, detection and monitoring; Nat Rev Cancer, 8 (2008), pp. 268–278
  15. 15 WHO Collaborating Centre for Drug Statistics Methodology; Anatomical therapeutic chemical (ATC) classification index with defined daily doses (DDDs). Oslo 2012–2013; (2015) Available from: http://www.whocc.no/atc_ddd_index/
  16. 16 J. Loehlin; Latent variable models: an introduction to factor, path, and structural equation analysis; Psychology Press (2003)
  17. 17 J. Textor, J. Hardt, S. Knuppel; DAGitty: a graphical tool for analyzing causal diagrams; Epidemiology, 22 (2011), p. 745
  18. 18 L.t. Hu, P.M. Bentler; Cutoff criteria for fit indexes in covariance structure analysis: conventional criteria versus new alternatives; Struct Equ Model Multidiscip J, 6 (1999), pp. 1–55
  19. 19 M. Cleves, L. Rock; From the help desk: comparing areas under receiver operating characteristic curves from two or more probit or logit models; Stata J, 2 (2002), pp. 301–313
  20. 20 R.J. Hamilton, K.C. Goldberg, E.A. Platz, S.J. Freedland; The influence of statin medications on prostate-specific antigen levels; J Natl Cancer Inst, 100 (2008), pp. 1511–1518
  21. 21 B. Akduman, D.J. Tandberg, C.I. O’Donnell, A. Hughes, M.A. Moyad, E.D. Crawford; Effect of statins on serum prostate-specific antigen levels; Urology, 76 (2010), pp. 1048–1051
  22. 22 D.J. Mener, A. Cambio, D.G. Stoddard, B.A. Martin, G.S. Palapattu; The impact of HMG-CoA reductase therapy on serum PSA; Prostate, 70 (2010), pp. 608–615
  23. 23 J.H. Fowke, S.S. Motley, D.A. Barocas, M.S. Cookson, R. Concepcion, S. Byerly, et al.; The associations between statin use and prostate cancer screening, prostate size, high-grade prostatic intraepithelial neoplasia (PIN), and prostate cancer; Cancer Causes Control, 22 (2011), pp. 417–426
  24. 24 N. Tan, E.A. Klein, J. Li, A.S. Moussa, J.S. Jones; Statin use and risk of prostate cancer in a population of men who underwent biopsy; J Urol, 186 (2011), pp. 86–90
  25. 25 A.M. Algotar, P.A. Thompson, J. Ranger-Moore, M.S. Stratton, C.H. Hsu, F.R. Ahmann, et al.; Differences in characteristics of men with localised prostate cancer who demonstrate low, intermediate or high prostate-specific antigen velocity; Intern Med J, 42 (2012), pp. 374–380
  26. 26 C. Bosetti, V. Rosato, S. Gallus, J. Cuzick, C. La Vecchia; Aspirin and cancer risk: a quantitative review to 2011; Ann Oncol, 23 (2012), pp. 1403–1415
Back to Top

Document information

Published on 11/04/17

Licence: Other

Document Score

0

Views 20
Recommendations 0

Share this document

claim authorship

Are you one of the authors of this document?