Agradecimientos

Inicialmente, querría expresar mi más sincero agradecimiento a Lluís Gil Espert. Sin tu positivismo y tus valiosos consejos, este trabajo no hubiese podido ser realidad.

Me gustaría mostrar mi agradecimiento a las empresas Mapei S.p.A. y Ruredil S.p.A. por haber facilitado desinteresadamente parte del material necesario para realizar esta investigación, y a Ediciones CIMNE por brindarme la oportunidad de publicar el presente documento.

Este trabajo ha sido realizado gracias al apoyo de mis compañeros del departamento de Resistencia de Materiales y Estructuras en la Ingeniería y del grupo de investigación LITEM: Francesc, Marco, Jordi, Cata, Roger, Sònia y Vicenç, muchas gracias chicos. Me gustaría agradecer especialmente a Ernest Bernat Masó el haberme ayudado a crecer como investigador. “Ernest, saldremos adelante, seguro!”.

Por último, gracias a mis padres, por estar a mi lado y proporcionarme la educación que he deseado, y a toda mi familia y amigos, por el ánimo que me habéis proporcionado durante todo este camino.

Y no quisiera acabar los agradecimientos sin mencionarte a ti, Cristina. Por leer este trabajo hasta la última coma, por sugerirme mejoras, por apoyarme en los momentos difíciles y por, sencillamente, estar siempre ahí, muchas gracias. Te quiero.

Capítulo 1. Introducción y objetivos

1.1. Introducción

La combinación de las buenas prestaciones que ofrece el hormigón a compresión, combinadas con las excelentes prestaciones del acero a tracción, han hecho del hormigón armado uno de los materiales más utilizados en la construcción a lo largo del siglo XX. A pesar de ello, este material posee una limitada durabilidad influenciada por el paso del tiempo y la afectación de diversas patologías relacionadas con el ambiente. La consecuencia de este hecho es una disminución progresiva de las prestaciones iniciales de los elementos estructurales ejecutados con este material. Si a esta circunstancia se le añade la continua actualización de los códigos de diseño (en algunos casos limitando significativamente el comportamiento del material), así como la tendencia de reutilizar y cambiar los usos de infraestructuras y edificios existentes, el escenario actual deriva en un significativo volumen de estructuras de hormigón armado que necesitan ser reforzadas para poder continuar estando en servicio.

Existen varias técnicas de refuerzo, tales como (a) el encamisado de hormigón armado, (b) el incremento de la armadura, (c) el ensamblaje de perfiles o placas metálicas, (d) el postesado con tendones de acero y (e) la adherencia de materiales compuestos con resinas orgánicas (fibre-reinforced polymerFRP), que ofrecen resultados adecuados respecto al incremento de la capacidad portante de las estructuras. Estas soluciones presentan serios inconvenientes relacionados con el tiempo de ejecución, en el cuál la estructura resta fuera de servicio, el incremento de las dimensiones y el peso propio, la dificultad de instalación o el uso de materiales con riesgo para la salud de las personas. Con el objetivo de minimizar estos inconvenientes, apareció el textile-reinforced mortar (TRM), un refuerzo consistente en fibras agrupadas en mechones y distribuidas en forma de malla, consolidadas y adheridas al sustrato de las estructuras mediante mortero.

A pesar de que el TRM presenta unas prometedoras prestaciones, debido a su compatibilidad mecánica y química con los sustratos de hormigón, su reciente desarrollo y el hecho de que no existan regulaciones contrastadas sobre su cálculo y diseño, hacen que la aplicabilidad de este refuerzo sea muy limitada.

Analizando la información recopilada relacionada con las investigaciones realizadas por otros autores, es importante apuntar que el número de estudios experimentales sobre la materia es significativamente escaso, sobre todo si se compara con la cantidad y variedad de productos existentes en el mercado. En este sentido, se prevé necesario realizar un análisis comparativo de las prestaciones ofrecidas por diferentes tipos de TRM como refuerzo a cortante de estructuras de hormigón armado. La presente investigación está orientada a incrementar la base de datos experimental existente sobre la materia con el objetivo de establecer unos modelos analíticos fiables que permitan predecir el comportamiento del TRM aplicado en vigas de HA.

De forma complementaria, se ha identificado que no existe una metodología concreta para la caracterización de las propiedades mecánicas del TRM como material compuesto. Este hecho dificulta el desarrollo de procedimientos de cálculo basados en las propias características del material compuesto de matriz cementítica. En este sentido, el presente trabajo propone una campaña de ensayos en probetas de diferentes tipos de TRM con el objetivo de identificar problemáticas en las metodologías propuestas por algunos autores.

1.2. Objetivos

El principal objetivo de la presente investigación es realizar un estudio comparativo sobre la capacidad de diversos tipos de TRM actuando como refuerzo a cortante en vigas de hormigón armado de características actuales1.

Para lograr este propósito, se han definido unos objetivos parciales que servirán de guía en todo el proceso de elaboración y realización de la investigación.


(1) Resistencias a compresión del hormigón comprendidas entre los 30 y los 50MPa.

1.2.1. Objetivos parciales

Los objetivos parciales del presente trabajo se identifican a continuación:

  • Recopilación de información acerca de:
  • Las tecnologías de refuerzo existentes previas a la aparición del TRM. Análisis de las ventajas e inconvenientes asociadas.
  • El análisis global del TRM: composición, materiales, comportamiento mecánico y prestaciones.
  • La respuesta estructural de vigas de hormigón reforzadas a cortante con TRM. Estudio de los modelos analíticos propuestos por diferentes autores en investigaciones similares y análisis de los modelos incluidos en las normativas.
  • Caracterización de los diferentes materiales involucrados en las campañas experimentales (hormigones, acero, morteros, tejidos y TRM). Obtención de las propiedades mecánicas según métodos estandarizados y/o propuestos por diferentes autores. Comparación de los resultados con los proporcionados por los fabricantes y con los recopilados en investigaciones similares.
  • Referente a la campaña experimental principal relacionada con el refuerzo a cortante con diferentes tipos de TRM de vigas de hormigón armado de escala real, realización del análisis comparativo de los siguientes aspectos:
  • Modo de fallo.
  • Capacidad a cortante.
  • Tenacidad a flexión.
  • Adherencia.
  • Comparativa de los resultados experimentales con las predicciones obtenidas utilizando los modelos incluidos en las normativas vigentes.
  • Desarrollo de modelos analíticos de acuerdo a los resultados experimentales obtenidos y datos proporcionados por otros autores en investigaciones similares.

1.2.2. Ámbito de estudio y limitaciones

El presente estudio supone un amplio análisis comparativo de la respuesta estructural que ofrecen varios tipos de TRM como refuerzo de vigas de hormigón armado. A pesar de ello, el estudio presenta algunas limitaciones que deben ser mencionadas.

En primer lugar, es importante destacar que la investigación se restringe a la aplicación de refuerzos TRM con una sola capa de tejido. Por otro lado, en todos los casos la aplicación de la carga se ha realizado de forma estática, no contemplando cargas dinámicas en el estudio.

Referente a los modelos analíticos, solo se ha tenido en cuenta aquellos desarrollos de formulación que no contemplaran el fallo de los especímenes por despegue del TRM. En este sentido, el autor ha contemplado en la investigación llevada a término diferentes técnicas (tratamientos del sustrato y disposición de anclajes) que evitaran este tipo de colapso.

Por último, el alcance del presente trabajo no contempla el desarrollo de modelos numéricos. En este sentido, el enfoque de la investigación está centrado en el estudio de sistemas simplificados de dimensionamiento proporcionados por modelos analíticos.

1.3. Metodología

La metodología utilizada para la realización del presente trabajo ha consistido en los siguientes aspectos:

  • Realización de una extensa revisión bibliográfica que permita establecer el estado del conocimiento sobre el refuerzo de estructuras de hormigón armado reforzadas con TRM. Esta búsqueda bibliográfica se ha realizado a lo largo de la realización del presente trabajo, mediante la consulta de artículos científicos, tesis doctorales y actas de congresos.
  • Definición de los objetivos de la investigación, teniendo en cuenta el estado del conocimiento realizado. De acuerdo a los recursos disponibles, establecimiento de las actividades a realizar con el propósito de alcanzar los objetivos definidos:
  • Búsqueda y adquisición de los materiales de refuerzo. Adquisición de las viguetas prefabricadas.
  • Diseño y control de fabricación de las vigas a escala real.
  • Recopilación y adquisición de los sensores necesarios.
  • Planificación de la campaña de caracterización de materiales. Elaboración/obtención de las probetas, diseño y preparación de los ensayos e instrumentación de los especímenes. Realización de los ensayos.
  • Diseño y ejecución de la campaña experimental de refuerzo de estructuras de hormigón con TRM. Las tareas realizadas se describen a continuación:
  • Preparación de los materiales y aplicación de los refuerzos.
  • Diseño y preparación de los ensayos.
  • Instrumentación de los especímenes y ejecución de los ensayos.
  • Adquisición y tratamiento de datos.
  • Estudio de los modelos analíticos incluidos en las normativas de cálculo del FRP y el TRM. Evaluación de las capacidades de predicción y comparativa con los resultados experimentales obtenidos.
  • Recopilación de datos de estudios experimentales similares a los llevados a término. Desarrollo de propuestas analíticas para el cálculo de la contribución a cortante del refuerzo en vigas reforzadas con TRM.
  • Análisis y comparativa de los resultados, y posterior desarrollo de las conclusiones.
  • Descripción de futuras líneas de investigación.

1.4. Descripción de los contenidos

El presente trabajo está organizado en seis capítulos y dos anexos. Los contenidos de cada sección se detallan a continuación.

Capítulo 1. Introducción y objetivos

El primer capítulo establece las bases fundamentales del presente trabajo. Se incluye una introducción general que justifica la temática de la investigación, teniendo en cuenta la información recopilada en el estado del arte. A continuación, se detalla el principal objetivo del estudio y se definen los objetivos parciales que sirven como guía de progreso del trabajo. Por último, se describe el proceso metodológico realizado y se presenta una descripción de los contenidos del documento.

Capítulo 2. Estado del conocimiento

El segundo capítulo recopila un resumen de los estudios más relevantes acerca del comportamiento estructural de vigas de hormigón armado reforzadas a cortante. El objetivo de este capítulo es contextualizar al lector del estado general del conocimiento acerca del refuerzo estructural de elementos de hormigón armado y, en particular, de la tecnología de refuerzo TRM.

Unas breves reseñas sobre la historia del hormigón armado, el comportamiento de este material a lo largo del tiempo y la coyuntura económica global de principios del siglo XXI, transporta el argumento hacia las necesidades de reforzar este tipo de estructuras y los métodos de refuerzo tradicionales. A continuación se introduce la tecnología de refuerzo FRP, cuyas características mecánicas suponen un avance significativo en la materia, pero los problemas asociados con el uso de resinas limitan la viabilidad de la técnica.

El tercer bloque del capítulo está dedicado exclusivamente al TRM. Se realiza un análisis exhaustivo de su comportamiento mecánico y de la respuesta estructural presentada por vigas de hormigón armado reforzadas a cortante con este material. Además, se incluye otros estudios que tratan el TRM como técnica de confinamiento de pilares o refuerzo de estructuras de obra de fábrica. Por último, se describen investigaciones realizadas sobre la adherencia y durabilidad de este material. En cada caso, se muestra de forma paralela las evidencias empíricas con los tratamientos analíticos llevados a término.

El último bloque describe brevemente algunas de las normativas vigentes que detallan modelos de cálculo de refuerzos adheridos externamente, tanto para el caso del FRP como del TRM.

Capítulo 3. Estudios de caracterización de materiales

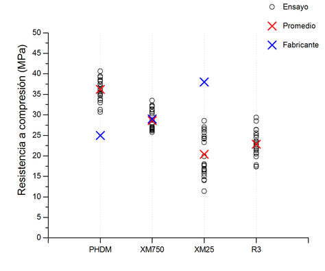
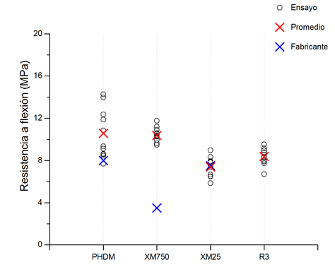
El tercer capítulo incluye información sobre las diferentes campañas de caracterización de materiales realizadas. Este capítulo está dividido en cinco secciones generales, una para cada tipo de material ensayado: hormigón, acero, mortero, tejidos y TRM. Cada una de las secciones incluye una breve descripción de los materiales, los métodos de elaboración de las probetas y los procedimientos de ensayo. Además, se muestra un compendio de los datos experimentales más relevantes, así como una comparación entre los resultados obtenidos y un análisis crítico de los datos experimentales en relación a los proporcionados por los fabricantes o los resultados empíricos obtenidos por otros autores en investigaciones similares.

Este capítulo no incluye todos los datos experimentales obtenidos. Estos se muestran de forma detallada en el Anexo A.

Capítulo 4. Campaña experimental de vigas de HA reforzadas a cortante con TRM

El cuarto capítulo se centra en la campaña experimental principal de la investigación. En ella se describen los ensayos realizados en vigas de hormigón armado previamente reforzadas con cuatro tipos diferentes de TRM. Los resultados y la discusión se centran en el análisis de la respuesta estructural, la tenacidad a flexión y la adherencia del refuerzo.

Este capítulo no incluye todos los datos experimentales obtenidos. Estos se muestran de forma detallada en el Anexo B.

Capítulo 5. Estudio analítico de vigas de HA reforzadas a cortante con TRM

En el capítulo quinto se describen las metodologías utilizadas para realizar un estudio analítico de vigas de hormigón armado reforzadas a cortante con TRM. Este capítulo consta de dos bloques. En el primero se investiga la capacidad de predicción de la resistencia a cortante que presentan los diferentes modelos analíticos incluidos en las normativas de cálculo de FRP y TRM. El segundo bloque incluye una propuesta analítica para la obtención de la contribución a cortante de los diferentes tipos de TRM estudiados, de acuerdo a los resultados obtenidos en el capítulo séptimo y en investigaciones experimentales similares.

Capítulo 6. Conclusiones y futuras investigaciones

En el último capítulo se presentan las conclusiones del presente trabajo, en las que se incluyen las conclusiones de cada uno de los capítulos descritos anteriormente. Además se proponen diversas líneas futuras de investigación de acuerdo a las limitaciones observadas en la presente investigación.

Anexo A. Datos experimentales de los estudios de caracterización de materiales

El primer anexo incluye toda la información referente a las diferentes campañas de caracterización realizadas en los materiales utilizados (hormigones, acero, morteros, tejidos y TRM). En él se muestra la descripción de los diferentes elementos resistentes, los métodos de elaboración/obtención/preparación de los especímenes, la descripción de los ensayos llevados a cabo y el resumen de los resultados obtenidos.

Anexo B. Datos experimentales de los ensayos de vigas de HA reforzadas a cortante con TRM

El segundo y último anexo, describe detalladamente toda la información referente a la campaña experimental de vigas de HA reforzadas a cortante con TRM. En este anexo se incluye una amplia descripción de la fabricación de las vigas, así como de los procesos de aplicación del refuerzo. Además, se detallan los métodos de ensayo llevados a término y los resultados experimentales obtenidos en cada una de las vigas ensayadas.

Capítulo 2. Estado del conocimiento

2.1. Introducción

De forma general, el presente capítulo presenta una revisión de la información disponible respecto al comportamiento estructural de elementos resistentes de hormigón armado reforzados a cortante mediante materiales compuestos de matriz cementítica. Esta búsqueda representa la base de definición de los objetivos de este trabajo de investigación, así como los fundamentos para el desarrollo de las campañas experimentales y los estudios analíticos correspondientes.

En una primera parte de este capítulo, se incluye una contextualización histórica en la que se relaciona brevemente el desarrollo y la importancia del hormigón armado a lo largo del siglo XX con el volumen actual de construcciones existentes ejecutadas y el deterioro que sufren estas debido al comportamiento de este material a lo largo del tiempo.

Conectado con este desarrollo, se introduce la coyuntura económica de principios del siglo XXI como la motivación para el aprovechamiento y reutilización de infraestructuras y construcciones existentes, dando como consecuencia natural la necesidad de reforzar aquellas estructuras de hormigón armado que requieran de un incremento de su capacidad portante.

Posteriormente se realiza una descripción de los procesos y sistemas tradicionales de refuerzo a cortante de estructuras de HA antes de la irrupción en el ámbito de la construcción de los materiales compuestos.

De forma natural, el texto sigue con un estudio de sobre las características y propiedades mecánicas de los primeros materiales composites en aplicarse como refuerzo estructural adherido externamente, i.e. Fiber-Reinforced Polymer (FRP). En esta parte se describen las investigaciones más relevantes relacionadas con la aplicación del FRP como refuerzo a cortante, así como un resumen de los inconvenientes que tienen estos materiales debido al uso de resinas como elemento constituyente y adherente al sustrato de las estructuras de hormigón armado.

Precisamente estos inconvenientes hicieron evolucionar este tipo de materiales compuestos hacia el uso de matrices inorgánicas compatibles con los elementos estructurales a reforzar, i.e. Textile-Reinforced Mortar (TRM). En el presente capítulo se desarrolla una amplia investigación bibliográfica respecto los estudios llevados a término hasta la fecha relacionados con este tipo de material y su aplicación como refuerzo a cortante en vigas de hormigón. Paralelamente, se incluye una revisión de las investigaciones realizadas con el TRM en otro tipo de aplicaciones, e.g. caracterización y durabilidad del material, comportamiento adherente del refuerzo, confinamiento de pilares y refuerzo de estructuras de mampostería.

Por último, al final del capítulo, se desarrollan algunos comentarios en forma de breves conclusiones acerca del estado del conocimiento de la materia.

2.2. Breve contextualización histórica

A pesar que existen muestras de que antiguas civilizaciones (Persia, Mesopotamia, Roma, etc.) ya utilizaban primitivos hormigones para realizar construcciones2 [1], se considera el padre del hormigón moderno a François Coignet, cuando en 1861 plasma el ideal de construir monolíticamente mediante bloques de conglomerado de hormigón unidos entre sí [2].

Unos años antes, el hormigón armado (HA) ya había empezado a ser utilizado en otras aplicaciones fuera del ámbito de la construcción. En 1848, Joseph-Louis Lambot construyó una embarcación de hormigón con una malla de alambres de hierro dispuestos en su interior, cuya presentación al público fue en la Exposición Universal de París en 1855.

Sin embargo, la primera patente de un objeto realizado con hormigón armado la desarrolló el jardinero parisino Joseph Monier en 1867 con la construcción de recipientes para jardinería. A partir de esa patente, Monier desarrolló su uso en vigas y otras estructuras relacionadas con el ámbito del ferrocarril [3].

Posteriormente, François Hennebique contribuyó al uso y difusión del HA con su sistema patentado de construcción [4]. En las regiones de Francia y Bélgica, durante los años que comprenden la transición entre los siglos XIX y XX, Hennebique diseñó y ejecutó numerosos puentes y edificios. Además, en este periodo de tiempo, promovió el uso de este material en el sector de la construcción y realizó los primeros códigos de dimensionamiento estructural.

A pesar de la difusión de Hennebique, hasta después de la Primera Guerra Mundial, el hormigón armado no fue tomado como material competidor directo del acero en el ámbito de la construcción y el diseño estructural. Hasta esa fecha, el uso del HA en la construcción se había restringido a los equipamientos industriales (fábricas, depósitos, silos, canales, etc.).

El auge del hormigón armado como material de uso en la construcción llegó con los tratados de Le Corbusier, que lo percibe como un material idóneo para las creaciones y diseños arquitectónicos. En ese sentido, Le Corbusier concibe los elementos de HA aptos para ser fabricados industrializadamente de manera que la construcción de edificios residenciales pudiera convertirse en la producción de “máquinas de vivir” [5].

Pero no es hasta después de la Segunda Guerra Mundial cuando el uso del hormigón armado se extiende en todos los ámbitos de la construcción de manera generalizada. La necesidad de reconstruir una Europa arrasada por la guerra, juntamente con el aumento significativo y creciente de la población, y las mejoras tecnológicas en la fabricación del hormigón y las armaduras, hicieron del HA el material de construcción más utilizado hasta la fecha.

Así pues, después de más de 60 años de construcción con hormigón armado, el volumen actual de infraestructuras y edificios existentes a lo largo del planeta es, como mínimo, significativo. Todos ellos se han ido (y se están) degradando gradualmente debido a diferentes motivos, dejando entrever que, si se desea su continuación en servicio, estas construcciones deben ser mantenidas, reparadas y/o reforzadas.


(2) Tal y como se puede observar de las etimologías de las palabras betón, calcestruzzo o concrete.

2.3. Necesidad de reforzar

Las estructuras de hormigón armado se ven afectadas por el paso del tiempo. Sus prestaciones se ven mermadas por motivos físicos, químicos y mecánicos. Efectos como la fatiga, la fisuración del hormigón (con la consecuente alta probabilidad de ataque químico), la corrosión de las armaduras, los asentamientos o los impactos provocan una degradación en este tipo de estructuras y hacen disminuir su capacidad resistente. En este sentido, la vida útil de los elementos de HA viene definida por el tiempo que tardan las prestaciones mecánicas de estos elementos en llegar a un mínimo.

El refuerzo de una estructura existente de hormigón armado puede ser concebido desde diferentes puntos de vista. Según Rostam et al. [6], la durabilidad de un elemento de hormigón armado es un parámetro función del diseño, los materiales, la ejecución y el curado. En la actualidad, todos los códigos obligan a realizar un diseño de las estructuras de HA teniendo en cuenta la durabilidad de los materiales y un plan de mantenimiento de los elementos resistentes durante su vida útil. Una problemática habitual reside en que existen edificios e infraestructuras ejecutados antes de la aparición de estos criterios de diseño en los códigos, incluso antes de los códigos mismos. En este caso, si no existe un plan específico de mantenimiento, la degradación de sus estructuras de hormigón armado se ve acelerada, acortando así su vida útil. En estos casos, se puede reforzar las estructuras existentes de acuerdo con un plan de mantenimiento específico que consiga que la pérdida de capacidad portante sea atenuada (Figura 2.1).

Draft Samper 184616083-image1.png

Figura 2.1 Diagrama del comportamiento estructural de los elementos de hormigón armado y las posibles intervenciones de refuerzo.

La crisis financiera y económica global ha agitado profundamente el sector de la construcción, provocando una brusca desaceleración en las ejecuciones de nuevas infraestructuras y edificios residenciales. En cambio, la tendencia actual muestra un aumento significativo en la rehabilitación de construcciones ya ejecutadas con el objetivo de alargar su vida útil. Así pues, otra posible necesidad de refuerzo reside en la reparación parcial o restauración total de estructuras existentes de hormigón armado. En el primer caso, se lleva a cabo una solución para los daños que haya podido sufrir la estructura a lo largo del tiempo. En el segundo se prevé la completa restauración de la estructura asegurando la misma capacidad portante que la que tenía en su puesta en servicio.

Finalmente, y siguiendo en la misma línea de aprovechamiento de construcciones ya ejecutadas, se puede dar la necesidad de incrementar la capacidad portante de los elementos estructurales existentes a causa de actualizaciones del código de diseño o cambios en el uso previsto de la propia estructura. En este caso, la capacidad resistente del elemento estructural puede verse incrementada respecto las prestaciones iniciales para el cual fue diseñado.

2.4. Soluciones tradicionales en vigas de hormigón

Las estrategias para reforzar un conjunto estructural se pueden dividir en tres grupos de actuaciones: (1) la inserción de un nuevo sistema estructural, (2) el refuerzo del sistema estructural existente con el incremento de sección transversal y/o la adición de nuevos materiales de refuerzo, y (3) las soluciones e intervenciones específicas para patologías concretas.

El caso (1) supone una actuación lenta y agresiva para el conjunto del edificio con una nula incidencia sobre la capacidad resistente de la estructura existente. En cuanto a la actuación (3), esta consiste específicamente en un saneamiento de las partes dañadas de la estructura. En este caso sí que se puede hablar de un aumento de la capacidad portante de la estructura deteriorada, pero en ningún caso superando la resistencia que tenía el elemento en su puesta en servicio. En cambio, el incremento de sección transversal o la adición de nuevos materiales reforzantes sí que permiten aumentar la capacidad de carga por la cual había sido diseñada la estructura inicialmente.

Existen diferentes técnicas tradicionales para reforzar e incrementar la resistencia a cortante de vigas de hormigón armado. Estas se pueden resumir en los siguientes casos:

-Refuerzo mediante encamisado de HA o incremento de la armadura

-Refuerzo con perfiles o placas de acero

-Refuerzo con tirantes de acero postesados

Todas estas técnicas, ordenadas de más antigua a más novedosa y cuya aplicación tiene vigencia en la actualidad, presentan diversas propiedades y diferentes ventajas e inconvenientes que se desarrollan a continuación.

2.4.1. Refuerzo mediante encamisado de HA o incremento de la armadura

Incrementar la resistencia de un elemento estructural de HA, aumentando su sección o incrementando la cuantía de acero de refuerzo, es la técnica más antigua de todas las presentadas anteriormente. Ambas técnicas no tienen un elevado coste, desde el punto de vista de los materiales empleados, y no requieren de operarios con una formación especializada.

Por el contrario, este tipo de refuerzos resultan procesos lentos y laboriosos que alteran el funcionamiento del conjunto estructural debido a que dejan el elemento a reforzar fuera de servicio hasta pasados 28 días después del hormigonado de la sección incrementada. Además, en los casos donde se amplíe la sección, aparecen otros inconvenientes, tales como el incremento del peso propio de la estructura, el impacto estético del refuerzo o posibles problemas de ocupación debido al incremento de las dimensiones del elemento estructural reforzado.

Siempre que se haya diseñado la conexión entre el elemento original y el refuerzo para que sea capaz de transmitir el rasante aplicado, el encamisado de vigas de HA mediante el suplemento de la sección produce un incremento de la resistencia a cortante debido al propio incremento de materiales en el elemento resistente (Figura 2.2a). En estos casos, algunos autores proponen no tener en cuenta la resistencia a cortante que ofrece el hormigón, siendo el nuevo armado el único responsable del incremento de la resistencia.

Otra técnica alternativa que permite el aumento de la resistencia a cortante de las vigas de HA consiste en añadir estribos allí donde sea necesario sin incrementar la sección transversal (Figura 2.2b). Este proceso de refuerzo consiste en repicar la zona a reforzar hasta dejar descubierto el esqueleto de la estructura, colocar el estribo y rellenar la zona con mortero sin retracción. Esta operación, si se hace de forma puntual y escalonada, no requiere retirar el elemento estructural de servicio.

Draft Samper 184616083-image2.png
Draft Samper 184616083-image3.png
a) b)

Figura 2.2 Refuerzo del elemento estructural existente mediante el encamisado parcial de la viga (a) o la adición directa de armado sin modificar la geometría de la sección (b).

Los mecanismos que permiten esta transmisión son la adhesión, la fricción en la interfase y el efecto pasador que ofrecen las barras de refuerzo o conectores instalados.

En el primer caso, se ha comprobado que es efectivo emplear sobre la superficie de la viga existente un adhesivo polimérico tipo primer antes de aplicar el nuevo hormigón de la sección encamisada. Este producto ayuda a la adherencia entre los dos sustratos y es capaz de transmitir parte del cortante longitudinal.

La transmisión del rasante por fricción en la interfase es un concepto introducido por el código ACI en el 1970. Posteriormente, Cheong y MacAlevey [7] estudiaron este fenómeno mediante la realización de una campaña experimental donde ensayaron 61 bloques de hormigón que le permitieron confirmar este mecanismo resistente. Además, también comprobaron que realizar una preparación de la superficie de la viga existente, utilizando técnicas como el repicado o el chorreo por arena, aumenta la capacidad de transmisión de esfuerzos a través de la interfase. En este sentido, también resulta interesante el uso de hormigones sin retracción para asegurar el contacto entre los áridos de la viga existente y los del nuevo hormigón.

Finalmente, la implementación de barras de refuerzo o conectores es necesaria cuando el rasante de cálculo sea superior a la capacidad de transmisión de esfuerzos que ofrecen los mecanismos de adhesión y fricción. En esta línea, Altun [8] y El Malik et al. [9] realizaron sendos estudios sobre el uso de este tipo de conexiones en vigas encamisadas con HA, llegando a la conclusión que, tanto la utilización de barras de refuerzo, en el primer caso, como tornillos de expansión, en el segundo, son soluciones eficaces para el incremento de la resistencia de los elementos reforzados.

La fricción en la interfase es un mecanismo que resulta relevante en vigas de canto o vigas descolgadas, debido a que en estos casos se pueden aprovechar las superficies laterales para realizar el encamisado. En cambio, en vigas de poco canto, el uso de barras o conectores resultan imprescindibles pasa asegurar la transmisión del cortante longitudinal.

Así pues, se puede afirmar que si se consigue realizar una conexión adecuada entre la viga y refuerzo, puede considerarse que el producto resultante actúa como un único elemento estructural. Es habitual que en estos casos, el armado longitudinal existente no alcance toda su capacidad, pudiéndose no tener en cuenta para el cálculo de la nueva sección.

2.4.2. Refuerzo con perfiles o placas de acero

La principal característica del refuerzo de vigas de HA con perfiles o placas de acero es la inmediatez de la puesta en servicio de la estructura después del proceso de instalación del refuerzo. Además, es una técnica económicamente competitiva que no requiere de trabajadores especializados para llevarla a cabo, pero en la que sí es necesaria una instalación cuidadosa. A pesar de estas ventajas, es importante considerar la obligación de proteger el refuerzo frente a corrosión, en aquellos ambientes químicamente agresivos, y frente a los aumentos significativos de temperatura, en aquellas infraestructuras que requieran una cierta resistencia al fuego o que tengan riesgo moderado de incendio.

El refuerzo a cortante mediante placas de acero se suele realizar usando pletinas distribuidas con una configuración tipo estribos (Figura 2.3a) o mediante placas de acero continuas (Figura 2.3b), en ambos casos adheridas al sustrato de la viga de HA mediante resinas epoxi. Estudios como el de Sharif et al. [10], que ensayaron vigas de hormigón armado reforzadas con diferentes configuraciones de estribos externos, o Adhikary et al. [11], que adhirieron placas de acero continuas a los laterales de vigas rectangulares de HA, muestran que este tipo de técnicas son eficaces para incrementar la resistencia a cortante de los elementos estructurales, pero con la singularidad de que el modo de fallo en la mayoría de los casos fue el despegue del refuerzo del sustrato de la estructura existente.

Draft Samper 184616083-image4.png
Draft Samper 184616083-image5.png
a) b)

Figura 2.3 Refuerzo a cortante con pletinas de acero distribuidas en forma de estribos (a) o mediante placas de continuas adheridas al sustrato.

Una variante a este tipo de unión es atornillar directamente las placas de acero a la estructura existente. Esta solución resulta una alternativa en aquellas estructuras donde no es posible el uso de adhesivos, pero resulta poco eficaz debido al elevado número de anclajes que se deben realizar para poder asegurar la correcta transmisión de esfuerzos al refuerzo.

Una buena solución planteada para mejorar la eficacia de esta técnica de refuerzo es la combinación de las dos metodologías de adherencia: primero se fijan las placas metálicas a la estructura existente mediante tornillos y se rellena la interfase entre el refuerzo y el sustrato con resina. Finalmente, una vez endurecido el adhesivo, se aprietan los tornillos para garantizar el contacto entre los componentes.

2.4.3. Refuerzo con tirantes de acero postesados

El refuerzo mediante la instalación de tirantes de acero postesados es la técnica más eficaz para restaurar e incrementar la capacidad portante de estructuras de hormigón armado altamente degradadas o dañadas. Consiste en introducir una compresión externa al elemento estructural aplicando una tracción a un tirante de acero fijado a los extremos de la viga (Figura 2.4).

Con esta metodología se infiere una compresión externa adicional a la viga, causando una disminución de las tensiones de las armaduras traccionadas, proporcionando de esta manera un aumento de la capacidad última a cortante del elemento reforzado.

Draft Samper 184616083-image6.png

Figura 2.4 Refuerzo con tirante de acero postesado

A pesar de ser una técnica altamente eficaz, instalar tirantes de acero postesados es un proceso complejo que requiere de operarios con formación especializada. Además, antes de optar por este tipo de solución, es necesario realizar un completo análisis global de la estructura, teniendo en cuenta los esfuerzos horizontales adicionalmente aplicados. Según su configuración y diseño, existe la posibilidad de que el conjunto estructural existente no sea capaz de absorber y distribuir estos esfuerzos, cosa que imposibilitaría la utilización de este tipo de refuerzo.

2.5. Refuerzo con materiales compuestos de matriz orgánica (FRP)

La introducción de los materiales compuestos en la ingeniería civil supuso una revolución en las estrategias de refuerzo de estructuras de hormigón armado por su versatilidad y facilidad de aplicación. Su estudio empezó a realizarse después de la Segunda Guerra Mundial, pero su aplicación quedaba restringida a la industria militar y aeronáutica. No fue hasta finales de la década de 1980 cuando su utilización empezó a expandirse en el sector de la construcción y las infraestructuras [12].

Los materiales compuestos de matriz orgánica, o Fiber-Reinforced Polymer (FRP), están formados por una matriz polimérica de altas prestaciones (habitualmente resinas epoxi) reforzadas con fibras continuas. La principal función de la matriz es mantener las fibras unidas y protegerlas de la abrasión y de las agresiones medioambientales.

En cambio, las fibras son las encargadas de proporcionar rigidez y capacidad de resistir cargas en el material compuesto. Estas se suelen distribuir a lo largo de la matriz de forma unidireccional o bidireccional, dotando al refuerzo de un carácter anisotrópico. En cuanto a los materiales, las fibras pueden ser de diversos tipos, aunque las más utilizadas históricamente son las de vidrio, carbono o aramida. Estudios recientes han probado con éxito el uso de refuerzos con alambres de acero en forma de cordones longitudinales continuos [13]. Estos tejidos de acero se clasifican en una subcategoría dentro de los refuerzos de FRP llamada Steel-Reinforced Polymer (SRP). Posteriores estudios [14] han mostrado viabilidad de usar este tipo de tejidos con matrices inorgánicas, aunque su capacidad de adherencia al sustrato del elemento estructural existente está altamente relacionada con la densidad de fibras que presenta el refuerzo.

Las principales diferencias entre el FRP y las otras técnicas descritas anteriormente son el mencionado carácter anisotrópico que presenta este material compuesto, haciendo conveniente orientar las fibras del refuerzo paralelas a las tracciones a que esté sometido el elemento estructural, y su comportamiento lineal elástico hasta su rotura. Esta última característica es importante a tener en cuenta en caso de realizar un diseño plástico del elemento estructural.

Las propiedades mecánicas del FRP en cada una de las direcciones de orientación de las fibras pueden determinarse, conociendo las propiedades y las fracciones volumétricas de cada uno de los componentes, mediante la regla de las mezclas [15]:

2.1
2.2

Donde Ef y ff son el módulo de Young y la resistencia a tracción del FRP; Efib y ffib son el módulo de Young y la resistencia a tracción de las fibras; Em y fm son el módulo de Young y la resistencia a tracción de la matriz; y Vfib y Vm son las fracciones volumétricas de las fibras y de la matriz, respectivamente. Cabe notar que la fracción volumétrica habitual de fibras (Vfib) en sistemas FRP es del orden entre 0,50 y 0,65.

Por otro lado, la Figura 2.5 muestra el comportamiento mecánico de la matriz, de las fibras y del material compuesto resultante mediante los correspondientes diagramas de tensión-deformación. Se puede observar como el FRP presenta una menor rigidez que las fibras debido a la influencia de la matriz. En cambio, es importante destacar que, aunque la deformación última de la matriz sea superior, el FRP solo puede desarrollar la misma deformación última que las fibras debido a que estas son el elemento que proporciona el carácter resistente del material compuesto.

Draft Samper 184616083-image7.jpeg

Figura 2.5 Relaciones de tensión-deformación de las fibras, matriz y el FRP.


De la misma manera que en la técnica de refuerzo mediante placas de acero adheridas a la estructura, el proceso de instalación del refuerzo requiere que el sistema FRP sea adherido al sustrato mediante el uso de resinas tipo epoxi. Por consiguiente, se deduce que la capacidad de transferencia de tensiones cortantes entre la estructura existente y el FRP es un aspecto clave para determinar el incremento de capacidad portante que puede ofrecer el refuerzo. En este sentido, Chen y Teng [16] determinaron que la resistencia al despegue del FRP depende la resistencia del hormigón y de la longitud de anclaje del refuerzo, aunque en este último caso, hacen mención de la existencia de una longitud de anclaje eficaz a partir de la cual, el incremento de longitud del refuerzo no hace aumentar la resistencia a despegue del FRP

2.3

Donde Ef y tf son el módulo de Young y el espesor del FRP; y fc es la resistencia a compresión del hormigón.

Otro aspecto que garantiza una mayor adherencia entre el hormigón y el FRP es tratar previamente la superficie del elemento a reforzar antes de la aplicación de la resina [17]. Entre los procesos a realizar destacan la abrasión de la superficie del hormigón mediante un chorreo de arena o agua, la posterior limpieza de esta superficie y la aplicación de un producto polimérico llamado primer que penetra en el hormigón y mejora la compatibilidad química entre el sustrato inorgánico y el adhesivo orgánico. Por último, se aplica el adhesivo sobre el FRP y sobre la superficie de hormigón tratada previamente, para finalizar con la fijación del refuerzo a la estructura existente.

En cuanto a las tipologías de FRP, existen cuatro tipos de refuerzos externos, siendo la principal diferencia entre ellos el proceso de aplicación y el curado de la matriz:

  • Sistemas precurados
  • Sistemas preimpregnados
  • Sistemas de aplicación húmeda o curado in situ
  • Sistemas encajados en el sustrato

En los productos precurados, la matriz se cura de forma industrializada y se suministra el FRP como producto finalizado en forma de láminas rígidas. En cambio, los sistemas preimpregnados son un producto flexible donde la matriz y las fibras vienen suministradas conjuntamente con el adhesivo. Estos se presentan en el sustrato a reforzar y se aplica calor al conjunto para adherir la resina al hormigón. Por otro lado, en los sistemas de aplicación húmeda, la matriz se adhiere a las fibras una vez estas se han situado en la zona a reforzar. En este caso, las fibras son suministradas en forma de tejido flexible y la matriz en forma líquida, consolidando el sistema FRP a la vez que se adhieren las fibras al sustrato de la estructura. Finalmente, los sistemas encajados en el sustrato, Near-Surface Mounted (NSM), consisten en insertar redondos o placas rectangulares de FRP en ranuras realizadas previamente en la superficie del hormigón. Una vez fijados, se adhieren a la estructura existente con resinas poliméricas. En estudios realizados, De Lorenzis et al. [18] determinaron que la técnica del NSM aumenta la capacidad adherente del FRP debido al aumento de la superficie de contacto del sustrato, minimizando el riesgo de fallo de la estructura por despegue del refuerzo. A pesar de ello, las laboriosas actuaciones que se deben realizar en el elemento existente hacen que está técnica sea económicamente menos competitiva que los demás sistemas de FRP.

De los cuatro sistemas existentes en el mercado, los productos más utilizados son los precurados (Figura 2.6a), para estructuras con superficies planas que requieren un aumento de su capacidad a flexión, y los de curado in situ (Figura 2.6b), para aquellos elementos donde se requiera una cierta adaptabilidad de aplicación, e.g. confinamiento de pilares y refuerzos a cortante con una configuración de encamisado parcial o total de la estructura. A pesar que las fibras y las resinas presentan un mayor coste relativo que las otras técnicas descritas con anterioridad, estos dos sistemas de FRP presentan numerosas ventajas respecto a los demás tipos de refuerzos [19]:

  • Facilidad y rapidez de instalación
  • Puesta en servicio inmediata después del curado de la resina adherente, aproximadamente 24 horas después de su instalación
  • Mínimo cambio en geometría de la estructura existente.
  • Mínimo impacto visual del refuerzo.
  • Resistencia a impacto y a la corrosión.
  • Alta adaptabilidad a diferentes morfologías estructurales. Posibilidad de aplicación en zonas de acceso limitado.
Draft Samper 184616083-image8.jpeg
Draft Samper 184616083-image9.jpeg
a) b)

Figura 2.6 Tipologías de FRP: (a) sistema precurado, (b) sistema de curado in situ.


Centrando la cuestión en el refuerzo a cortante, en la mayoría casos en los que se emplea el FRP como refuerzo a cortante se utilizan laminados precurados adheridos al sustrato (Figura 2.7a) o sistemas de láminas de curado in situ (Figura 2.7b). En cuanto a la aplicación, la orientación de las fibras de forma paralela a la dirección de las tracciones principales de la estructura es un aspecto clave para maximizar la eficacia del FRP, particularmente a partir de cargas superiores al 60% de la capacidad última del elemento estructural [20]. A pesar de este hecho, debido a la facilidad de ejecución, es de uso habitual instalar el refuerzo de FRP orientando las fibras perpendicularmente al eje longitudinal del elemento estructural, especialmente en el caso de refuerzos de curado in situ.

Draft Samper 184616083-image10.png
Draft Samper 184616083-image11.png
a) b)

Figura 2.7 Aplicación FRP como refuerzo a cortante: a) sistema precurado, b) sistema de aplicación húmeda o de curado in situ.


Por otro lado, existen tres tipos de configuraciones de refuerzo a cortante diferentes: el refuerzo envuelve completamente el elemento estructural, realizando un encamisado completo (complete wrapping - Figura 2.8a); el refuerzo envuelve parcialmente la estructura, ofreciendo una configuración tipo U (U-jacketing - Figura 2.8b); el refuerzo es adherido lateralmente a ambos lados de la estructura (side bonding - Figura 2.8c).

Draft Samper 184616083-image12.png
Draft Samper 184616083-image13.png
Draft Samper 184616083-image14.png
a) b) c)

Figura 2.8 Configuraciones de refuerzo a cortante con FRP: a) encamisado completo, b) configuración en U, c) pegado lateral.


A pesar de ser la configuración más eficaz de todas, el encamisado completo de la sección presenta problemas de accesibilidad y solo es aplicable, de manera rápida y sencilla, para el refuerzo a cortante de soportes. Las variantes de este tipo de configuración para vigas son las opciones de refuerzo tipo U o de pegado lateral. Estas presentan un comportamiento resistente similar, pero los refuerzos de pegado lateral tienen una longitud máxima de adherencia menor que los de tipo U, lo que los hace más susceptibles al fallo por despegue (Figura 2.9) [21].

Draft Samper 184616083-image15-c.png
Draft Samper 184616083-image16.png
a) b)

Figura 2.9 Longitud máxima de adherencia: a) configuración en U y b) pegado lateral.


Las combinaciones entre sistemas de FRP y configuraciones de refuerzo no están establecidas, pero generalmente es habitual utilizar el sistema FRP de curado in situ para las secciones completamente envueltas o con configuración en U, y el sistema FRP de laminados precurados, con una distribución tipo estribos, para el refuerzo de pegado lateral [22].

Los primeros estudios experimentales y analíticos, siguiendo el modelo de comportamiento mecánico de celosía desarrollado por Mörsch [23] a principios del siglo XX para explicar la transmisión del esfuerzo cortante en elementos de hormigón armado (Figura 2.10), trataron el FRP como si fuera un refuerzo interno de la estructura encargado de transmitir las tracciones, de manera análoga a la función que tienen los estribos de la armadura [24].

Draft Samper 184616083-image17.png

Figura 2.10 Modelo de celosía de transmisión del cortante en una viga de hormigón armado con estribos verticales.


Como consecuencia de esta hipótesis, se consideró que la contribución a cortante de un refuerzo de FRP se puede determinar como un factor independiente dentro la expresión de la resistencia a cortante de un elemento de hormigón armado:

2.4

Donde Vu es la resistencia a cortante de la viga de hormigón armado reforzada y Vc, Vs y Vf son las contribuciones del hormigón, el armado transversal y el refuerzo de FRP, respectivamente.

En los siguientes años, se realizaron diversos estudios experimentales [25–28] que obtuvieron resultados satisfactorios, en cuanto al incremento de la resistencia a cortante de las estructuras reforzadas externamente con FRP, aunque presentaban ciertas divergencias respecto el modelo analítico para el cálculo de Vf, debido a la complejidad de cuantificar la influencia de las variables que intervienen en los diversos mecanismos de ruptura observados. Estos mecanismos se resumen en tres tipos de fenómenos:

  • Fallo por cortante y desprendimiento del FRP
  • Fallo por cortante y rotura del FRP
  • Fallo por cortante, posterior comportamiento dúctil y rotura del FRP

En la mayoría de ensayos experimentales realizados de vigas con una disposición de refuerzo que envolvía toda la sección, el fallo de los especímenes fue por rotura del FRP. En cambio, se observó que el fallo por desprendimiento del refuerzo era típico de las configuraciones de pegado lateral. En el caso de elementos reforzados con una configuración tipo U, se desarrollaron ambos tipos de fallo [29].

Triantafillou y Antonopoulos [30] analizaron más de 75 ensayos realizados y concluyeron que, para considerar el FRP como si fuera un refuerzo interno de la estructura y determinar su contribución a la resistencia última a cortante (Vf), era necesario considerar una deformación eficaz (εf,e), cuyo valor es, generalmente, menor que el de su deformación última de rotura (εfu):

Para encamisados completos con FRP de fibras de carbono:

2.5

Para configuraciones tipo U o pegados laterales con FRP de fibras de carbono:

2.6

Para encamisados completos con FRP de fibras de aramida:

2.7

Donde fc (MPa) es la resistencia a compresión del hormigón; y Ef (GPa) y ρf son el módulo de Young y la cuantía de refuerzo del FRP, respectivamente.

Además, observaron que esta deformación eficaz no era un parámetro constante y que disminuye al crecer la rigidez axial del FRP (Efρf), así como, al disminuir la resistencia a tracción del hormigón de la estructura reforzada. Finalmente, determinaron que la contribución del refuerzo a la resistencia a cortante crece linealmente con la rigidez axial del FRP hasta cierto valor límite (Efρf)lim, a partir del cual, los mecanismos de despegue del refuerzo hacen que la ganancia de capacidad a cortante disminuya.

Desde entonces, múltiples investigaciones han ido aportando propuestas para el cálculo de la deformación eficaz εf,e, incorporándose algunas de estas expresiones en los diferentes códigos de diseño. A pesar de ello, cabe destacar que, como consecuencia de la falta de concordancia de criterios, la mayoría de las expresiones para el cálculo de εf,e incluidas en las normativas no coinciden o presentan parámetros de cálculo diferentes3.

Estudios recientes han puesto en duda que los diferentes componentes resistentes (hormigón, acero y FRP) alcancen, de manera independiente, su capacidad resistente máxima en el momento del colapso de la estructura. En este sentido, Chen et al. [31] proponen tener en cuenta una interacción entre refuerzos, aplicando un coeficiente de movilización a las contribuciones resistentes del acero y del FRP:

2.8

Donde Vu es la resistencia a cortante de la viga de hormigón armado reforzada; Vc, Vs y Vf son las contribuciones del hormigón, el armado transversal y el refuerzo de FRP, respectivamente; y Ks y Kf son los coeficientes de movilización del acero y del FRP, factores que relacionan la media de las tensiones existentes en cada uno de estos componentes con sus resistencias de cálculo.

Finalmente, en el caso de fallos por desprendimiento del FRP, para el cálculo de la deformación eficaz εf,e, Mofidi y Chaallal [32] proponen la introducción de un parámetro βc que tiene en cuenta la longitud efectiva de adherencia y el ancho efectivo del FRP, siendo este último parámetro función de la suma de rigideces axiales de los refuerzos transversales, i.e. la adición de las contribuciones de los estribos de acero y del FRP.

2.9

Donde βL es un coeficiente que compensa la falta de longitud de anclaje del FRP; βw es un coeficiente que tiene en cuenta el ratio entre el ancho y el espaciado entre láminas de refuerzo; fc es la resistencia a compresión del hormigón; y Ef y tf son el módulo de Young y el espesor del FRP, respectivamente.


(3) Para profundizar en el tema, el lector puede consultar las expresiones analíticas incluidas en los códigos fib-14, ACI 440.2R-08 y CNR-DT 200/2004.

2.5.1. Inconvenientes de los refuerzos de matriz orgánica

A pesar de que el uso del FRP supuso una revolución en el refuerzo de estructuras de hormigón armado, a lo largo del tiempo se han ido detectando diferentes inconvenientes, de entre los que se destacan los siguientes:

  • Mal comportamiento de las resinas epoxi a temperaturas por encima de la temperatura de transición vítrea.
  • Alto coste relativo de las resinas.
  • Imposibilidad de aplicar el FRP en superficies húmedas o a bajas temperaturas.
  • Ausencia de permeabilidad al vapor de agua.
  • Incompatibilidad de los adhesivos y matrices orgánicas del refuerzo con los sustratos inorgánicos.
  • Dificultad de la evaluación de los daños post-sísmicos de las estructuras de hormigón armado reforzadas con mantas de FRP.
  • Riesgo para la salud de los instaladores del refuerzo debido a los productos tóxicos que contienen las resinas.

Gran parte de estos inconvenientes tienen su origen en el uso de resinas como impregnación de las fibras y como fijación del refuerzo al sustrato [33], hecho que muestra que no siempre es adecuado reforzar estructuras de hormigón armado con este tipo de refuerzo.

2.6. TRM (Textile-Reinforced Mortar)

La evolución planteada para minimizar los inconvenientes que presentaba el FRP fue cambiar la matriz orgánica por una de mortero con base cementítica. Debido a la granulometría del mortero, con este cambio no se obtuvieron buenos resultados en aspectos como la penetración e impregnación de las fibras en productos de refuerzo tipo láminas con alta densidad de fibras [34]. Por ello, el siguiente paso fue actuar sobre la distribución de las fibras. Para garantizar que la matriz de mortero lograra penetrar y humedecer las fibras, estas se agruparon en mechones flexibles y se distribuyeron en forma de malla unidireccional o bidireccional formando una estructura tipo tejido [35]. Esta configuración de las fibras, conjuntamente con la matriz de mortero, dio lugar a lo que se conoce como Textile-Reinforced Mortar (TRM)4 (Figura 2.11).

Draft Samper 184616083-image18.png
Draft Samper 184616083-image19-c.png
a) b)

Figura 2.11 Descripción del TRM: a) esquema de configuración interna, b) imagen interna del refuerzo y del producto acabado.

El tipo de configuración interna del TRM tiene sus orígenes en el ferrocemento [36], material de construcción impulsado después de la Segunda Guerra Mundial por la industria naval. Este material consiste en una matriz de cemento reforzada internamente por mallas metálicas electrosoldadas (conocidas también como tela de gallinero) que tienen como función ofrecer resistencia a tracción al elemento estructural.

Posteriormente, el desarrollo tecnológico permitió sustituir las mallas electrosoldadas por tejidos de fibras con una mayor capacidad resistente a tracción que el acero. Este hecho permitió desarrollar la ejecución de elementos estructurales de paredes delgadas formados por fibras continuas y matrices cementíticas [37]. Teniendo una configuración similar, el TRM fue diseñado para actuar como refuerzo externo de elementos estructurales con el propósito de incrementar su resistencia a tracción. A pesar que fue un refuerzo pensado para la aplicación en estructuras de hormigón armado, su evolución se centró en el desarrollo industrial de productos (morteros y tejidos) válidos para aplicar en elementos de mampostería [38].

Las mallas de TRM pueden estar constituidas por distintos materiales. Actualmente se pueden encontrar en el mercado mallas de fibras de vidrio, fibras de carbono, fibras de basalto, fibras de Poliparafenil Benzobisoxazol (PBO) o alambres de acero similares a los usados para reforzar los neumáticos de los automóviles [39]5, así como fibras vegetales u otros polímeros sintetizados. La mayoría de estas fibras presentan un comportamiento elástico lineal hasta su rotura, tal y como se puede observar en la Figura 2.12.

Draft Samper 184616083-image20.png

Figura 2.12 Relación tensión-deformación de los diferentes tipos de fibra utilizados en los tejidos de TRM.

Desde el punto de vista de aplicación, es importante destacar que una de las principales ventajas que ofrece el TRM es la gran adaptación que presenta este refuerzo a diferentes tipos de morfologías estructurales. Este hecho es debido a la elevada flexibilidad fuera del plano que tienen la mayoría de tejidos, cosa que les permite ajustarse a formas no estándar dentro del ámbito estructural (Figura 2.13).

Draft Samper 184616083-image21.jpeg

Figura 2.13 Tejido de fibras flexible.

El tejido del refuerzo es el encargado de proporcionar el incremento de resistencia a tracción al elemento reforzado, estando limitada su capacidad por la facultad que tenga el mortero de transmitir las tensiones entre el elemento estructural existente y la malla de fibras. De esta forma, a diferencia del FRP, la matriz del TRM actúa también como adherente al sustrato de la estructura existente. Los morteros que se aplican en esta técnica suelen ser de base cementítica (uso común para sustratos de hormigón), base cal o puzzolánicos, con un tamaño de árido máximo recomendado de 2mm [40]. Estos morteros de aplicación en el ámbito del refuerzo estructural están específicamente diseñados, mediante la incorporación de aditivos químicos y microfibras, para maximizar la adherencia del correspondiente tipo de tejido al sustrato a reforzar [41]. Otra estrategia habitual para aumentar el grado de cohesión entre la matriz y el tejido es el uso de productos de impregnación en las fibras [42] o recubrimientos poliméricos en los mechones [43]. En todos los casos, el material con el que están hechos los tejidos debe de ser químicamente compatible con el mortero de aplicación.

A diferencia del FRP, el TRM está diseñado comercialmente para ser un refuerzo de aplicación y curado in situ (Figura 2.14). Una vez instalado, la matriz del refuerzo necesita, al menos, 28 días para alcanzar su máxima resistencia. Este hecho representa una seria desventaja en cuanto a la rapidez de puesta en servicio de la estructura en comparación con los sistemas precurados o de aplicación húmeda mediante resinas, donde el tiempo de curado es aproximadamente 24 horas.

Draft Samper 184616083-image22.jpeg

Figura 2.14 Instalación del TRM mediante técnica de aplicación húmeda.

Recientes estudios [44] comprobaron la viabilidad de adherir a la estructura existente, mediante resinas poliméricas, placas precuradas de TRM. A pesar de ser una técnica que acelera el proceso de puesta en servicio de la estructura, esta estrategia vuelve a incorporar los problemas relacionados el mal comportamiento mecánico de las resinas frente aumentos de temperatura e incompatibilidad con el sustrato.

En cuanto al comportamiento mecánico, se pueden observar grandes diferencias entre el TRM respecto a los refuerzos de matriz orgánica. Mientras la matriz del FRP es significativamente más dúctil que las fibras y el material compuesto tiene un comportamiento lineal elástico hasta rotura, en el TRM la matriz es considerablemente más frágil que el tejido, aspecto que provoca la fisuración del mortero antes que el tejido desarrolle su capacidad máxima a tracción, obteniendo así, un pronunciado comportamiento no lineal [45].

El comportamiento mecánico del TRM sometido a tracción se puede diferenciar en cuatro fases [46]:

  • Fase I. La matriz no está fisurada y la distribución de tensiones es uniforme para toda la sección, pudiéndose determinar las propiedades mecánicas del material compuesto mediante la ley de mezclas. Sin embargo, debido a la experiencia práctica adquirida, algunos autores [45] proponen adoptar el módulo de Young del mortero como si fuese el del TRM, y despreciar el efecto de las fibras en la rigidez del material compuesto.
2.10

Donde Et1 es el módulo de Young del TRM en la fase 1; Efib y Em son los módulos de Young de las fibras y del mortero, respectivamente; y Vfib y Vm son las fracciones volumétricas de las fibras y de la matriz, respectivamente.

  • Fase IIa. Esta fase empieza con la aparición de la primera fisura en el mortero una vez se sobrepasa su resistencia última a tracción. Al seguir incrementando la carga, las tracciones son absorbidas íntegramente por el tejido, provocando el despegue de las fibras respecto de la matriz en la zona de la fisura. Este proceso se repite cada vez que en una sección sin fisurar las tensiones alcanzan la resistencia última a tracción del mortero, provocando una fisuración múltiple del material compuesto debido a la adherencia entre las fibras y el mortero. De esta forma, la tensión media de fisuración del TRM (σmc) viene dada por la siguiente expresión:
2.11

Donde Et1 y Em son los módulos de Young del TRM en la fase 1 y del mortero, respectivamente; y σmu es la resistencia a tracción del mortero. El patrón de fisuración (separación entre fisuras y su espesor) depende de varios factores, tales como los materiales de refuerzo, la cuantía de las fibras, la resistencia a tracción del mortero y la capacidad de adherencia entre los dos componentes.

  • Fase IIb: Una vez finalizado el proceso de fisuración múltiple de la matriz, sólo el tejido será capaz de seguir soportando tracciones, siempre y cuando el volumen de fibras del refuerzo sea superior a un mínimo, valor entorno al 1-3% [47]. Debido al carácter elástico de las fibras, en caso de seguir incrementando la carga, el comportamiento del TRM se transforma en lineal, aunque con un módulo de Young entre un 10 y 30% inferior al de la malla de tejido [48]. Este hecho es debido a que parte de las fibras del refuerzo se rompen durante el proceso de fisuración de la Fase IIa.
  • Fase III: Una vez agotada la capacidad elástica de las fibras, el refuerzo entraría en un régimen de plastificación. Para la mayoría de los tejidos disponibles en el mercado, no es posible desarrollar esta fase debido a su carácter lineal elástico hasta rotura. Para los refuerzos con tejidos de acero, en cambio, sí que es teóricamente factible este comportamiento.

Relacionado con su comportamiento estructural, Hegger y Voss [49] estudiaron la carga a tracción última que es capaz de resistir una sección de TRM (Ffu) y desarrollaron la siguiente expresión analítica:

2.12

Donde At es el área de la sección transversal correspondiente al tejido; ftex,u es la resistencia última a tracción del tejido; k0,α es un coeficiente que tiene en cuenta la orientación de los mechones respecto la dirección de la aplicación de la carga; k1 es un factor que pondera la eficacia del tejido; y k2 es un coeficiente de minoración en caso de cargas biaxiales.

En un estudio similar [50] se hizo patente la influencia en la eficacia del refuerzo que tienen, en aquellas mallas bidireccionales, los mechones perpendiculares a la dirección de las tensiones debido al efecto zunchado que provocan en el material compuesto. Además, también se observó que la resistencia del refuerzo disminuye con el incremento de la cuantía de tejido, i.e. el aumento del número de capas de tejido afecta el comportamiento adherente del TRM y disminuye su capacidad de transmitir tensiones.

Cuando el TRM actúa como refuerzo de estructuras de hormigón armado, es necesario tener en cuenta la capacidad de adherencia al sustrato para determinar la capacidad mecánica del mismo. En este sentido Ortlepp et al. [51] definieron cuatro mecanismos teóricos de fallo por despegue local del refuerzo TRM (Figura 2.15):

1) Delaminación de la matriz cementítica en la capa de tejido
2) Fallo en la junta entre el mortero del TRM y el sustrato de hormigón existente
3) Fallo en el hormigón existente
4) Combinación de diferentes modos de fallo por falta de adherencia
Draft Samper 184616083-image23.png

Figura 2.15 Modos de despegue teóricos del TRM.

La delaminación de la matriz es un fenómeno que se da cuando la resistencia del mortero es menor que la resistencia del hormigón existente. Por el contrario, cuando la resistencia de la matriz es superior a la del sustrato del elemento a reforzar, el fallo ocurre en el hormigón existente. Según los ensayos realizados hasta la fecha, el despegue en la interfase se puede evitar realizando un tratamiento superficial del elemento a reforzar, e.g. chorreo de arena o agua. En este caso, el bloqueo de los áridos evitaría el fallo en la junta entre la matriz y el hormigón existente [52].

Años después, D’Ambrisi y Focacci [53] introdujeron el concepto de despegue y deslizamiento interno de las fibras respecto la matriz. Este fenómeno puede desarrollarse al iniciar la Fase IIb del comportamiento mecánico del TRM a tracción, donde finalizado el proceso de fisuración múltiple de la matriz, tejidos con filamentos gruesos pierdan adherencia con la matriz y empiecen a deslizar internamente.

Siempre y cuando el refuerzo TRM sufra un fallo por despegue, su capacidad última de carga (FL,Vu) estará compuesta por la suma de las tensiones de la parte fisurada y de la parte sin fisurar (Ec. 2.13), tal y como se puede observar en la Figura 2.16.

Draft Samper 184616083-image24.png

Figura 2.16 Distribución de tensiones en caso de despegue del TRM.
2.13

Donde bL es el ancho de la capa de refuerzo; lV,I y lV,II son las longitudes de las regiones sin fisurar y fisuradas de la zona de adherencia del refuerzo, respectivamente; τVu,I es la resistencia última a cortante que el sistema es capaz de desarrollar en la región no fisurada lV,I; y τV,II son las tensiones rasantes que el TRM logra transmitir en la región fisurada lV,II. Para la determinación de estas últimas tensiones, cabe destacar la introducción del concepto de ratio de área eficaz (kA,eff), que se define como la relación entre el área de la matriz (Am) y el área total de refuerzo (A) (Ec. 2.14). Este parámetro tiene en cuenta el hecho que las tensiones entre el tejido y el mortero solo pueden ser transmitidas en la parte de la matriz que haya en el interior de la malla [54].

2.14

(4) En la bibliografía consultada, varios autores se refieren al TRM como Textile-Reinforced Concrete (TRC), Fiber-Reinforced Cementitious Matrix (FRCM) o Mineral-Based Composites (MBC). En el caso de refuerzos externos de estructuras de hormigón o mampostería, todas ellas se pueden considerar la misma tecnología.

(5) Tal y como se comenta en el capítulo 2.5, los tejidos de alambres de acero se pueden utilizar tanto con matrices orgánicas como con matrices inorgánicas.

2.6.1. Refuerzo a cortante

La aplicación del TRM como refuerzo a cortante se presenta de forma similar a la de su equivalente de matriz orgánica. Para maximizar su eficacia, es conveniente orientar las fibras paralelamente a la dirección de las tracciones que provocan la apertura de las fisuras diagonales [55]. En cualquier caso, la facilidad de aplicación ha influido en la tendencia de orientar la dirección principal del refuerzo perpendicularmente al eje longitudinal del elemento estructural. En cuanto a las configuraciones de aplicación, la más eficaz es aquella en la que el refuerzo envuelve completamente el elemento estructural (complete wrapping - Figura 2.17a). Esta configuración previene de despegues prematuros del TRM y es adecuada para el refuerzo de soportes o elementos estructurales en los que sean accesibles las cuatro caras. En el caso de vigas donde el forjado impide realizar esta configuración, la aplicación utilizada es un encamisado parcial en U (U-jacketing - Figura 2.17b)6. En este caso, el despegue prematuro del refuerzo dependerá del número de capas aplicadas, de la longitud de adherencia del TRM y de la posibilidad de incorporar anclajes mecánicos externos que fijen el refuerzo a la estructura.

Draft Samper 184616083-image25.png
Draft Samper 184616083-image26.png
a) b)

Figura 2.17 Configuraciones habituales de aplicación del TRM.

Varios artículos científicos desde el año 2006 tratan la temática del incremento de resistencia a cortante de vigas de hormigón armado mediante diferentes configuraciones de TRM. Los primeros estudios sobre el comportamiento mecánico tratan este refuerzo de matriz inorgánica, según el modelo de celosía de transmisión de tensiones y de manera análoga a los elementos reforzados con FRP, como si fuera un elemento individual que contribuye de forma independiente a la resistencia a cortante del conjunto:

2.15

Donde Vu es la resistencia a cortante de la viga de hormigón armado reforzada y Vc, Vs y Vt son las contribuciones a la resistencia a cortante del hormigón, el armado transversal y el TRM, respectivamente.

En este sentido, para la determinación de la resistencia a cortante que proporciona el TRM (Vt), Triantafillou y Papanicolaou [56] propusieron adaptar de las expresiones desarrolladas para el caso de refuerzos con FRP [15], de la siguiente manera:

2.16

Donde tti es el espesor equivalente del tejido en la dirección i; εte,i es la deformación eficaz del refuerzo TRM en la dirección i; Efib es el módulo de deformación longitudinal de las fibras; z es el brazo mecánico de la armadura longitudinal; αi es el ángulo que forman la dirección i de cada uno de los mechones de un tejido bidireccional respecto la directriz de la viga; y θ es el ángulo de la fisura que traviesa la zona del refuerzo respecto la directriz de la viga, pudiéndose asumir 45˚ (Figura 2.18).

Draft Samper 184616083-image27.png

Figura 2.18 Contribución a cortante de los tejidos bidireccionales con mechones dispuestos ortogonalmente.

De la ecuación 2.16, el término más comprometido es el de la deformación eficaz del TRM. En el caso del FRP, este parámetro fue determinado, sin lograr una unanimidad de criterios, mediante el análisis de numerosos datos experimentales acumulados a lo largo del tiempo. En la fase actual de desarrollo del TRM, resulta imposible estimar el valor de este término debido a las numerosas variables que influyen en él:

  • Tipo de fibra.
  • Recubrimiento de la fibra.
  • Tipo de mortero.
  • Morfología de la malla.
  • Configuración del refuerzo.
  • Tratamiento de la superficie a reforzar.
  • Longitud adherente del refuerzo.
  • Uso de anclajes mecánicos externos al sistema.

La gran mayoría de estas variables influyen de forma directa en el modo de fallo del conjunto estructural. De forma similar a elementos estructurales reforzados mediante la adhesión de otros materiales, los modos de fallo se pueden resumir en dos categorías: agotamiento de la capacidad resistente de alguno o todos los componentes del conjunto reforzado; o fallo prematuro por despegue del refuerzo. Conocer el tipo de fallo que tendrá el elemento estructural también resulta imprescindible para determinar la contribución de la resistencia a cortante que ofrece el TRM.

En el mismo estudio comentado anteriormente [56], se realizó una comparación entre vigas reforzadas a cortante con encamisados totales de TRM y de FRP, utilizando en ambos casos fibras de carbono como material resistente. Los resultados obtenidos de estos ensayos muestran que, mientras en las vigas reforzadas con un una capa de tejido, las de TRM se mostraron un 45% menos eficaces que las de FRP, en las reforzadas con dos capas los resultados de carga última resistida fueron similares.

Posteriormente Brückner et al. [52] reforzaron vigas tipo T con 2 y 4 capas de TRM con tejidos de fibra de vidrio y comprobaron que el refuerzo ofrece incrementos de resistencia significativos, pero que la eficiencia del mismo se ve reducida a partir de la 2 capa de tejido aplicada, en el caso de no existir la instalación de conectores mecánicos que aseguren su adherencia.

Los mismos autores realizaron investigaciones sobre los mecanismos de transmisión de tensiones entre el refuerzo y la estructura existente [57]. En ellas determinaron que, cuando el refuerzo a cortante no alcanza la cabeza de compresiones y la longitud de unión no es suficiente, i.e. refuerzos con configuraciones de encamisado tipo en U, en el caso de existir más de una capa de tejido, las fuerzas adhesivas de tracción se acumulan progresivamente de la capa exterior a la interior, resultando el despegue del tejido más cercano al sustrato de hormigón el fallo por adherencia más habitual.

En la misma línea, Tzoura y Triantafillou [58] mostraron la idoneidad de instalar anclajes en el refuerzo con el objetivo de incrementar la eficacia del mismo en vigas de HA sometidas a cargas cíclicas.

En el año 2009, Blanksvärd et al. [59] reforzaron y ensayaron vigas reforzadas a cortante con TRM utilizando mallas de tejido con diferentes configuraciones de celda. Como resultados destacaron que la contribución a cortante que ofrece el refuerzo aumenta a medida que se disminuye el tamaño de la malla, a pesar de que el riesgo de despegue del TRM se incremente. Mediante el uso de la fotometría y la instalación de galgas extensométricas en el armado, determinaron también que la aplicación del refuerzo externo de base cementítica hizo reducir las deformaciones en los estribos y la densidad de fisuras superficiales en los elementos estructurales.

De acuerdo con los resultados obtenidos, desarrollaron también una propuesta analítica para la predicción de la contribución del TRM a la resistencia a cortante del elemento estructural, en el caso concreto de que las fibras del refuerzo estén orientadas perpendicularmente al eje longitudinal de la viga (Vt):

2.17

Donde εver,ef es la deformación eficaz del refuerzo en el ámbito de la fisura a cortante; Ever es el módulo de deformación longitudinal de un mechón de fibras; Aver es el área de un mechón de fibras; hef es la altura eficaz en la que actúa el refuerzo; θ es el ángulo de la fisura que traviesa la zona del refuerzo respecto la directriz de la viga; y sver es la distancia entre mechones de fibras. En este sentido, los autores definen el parámetro η (Ec. 2.18) como la relación entre las deformaciones últimas y eficaces del refuerzo.

2.18

Este parámetro η está basado en la relación entre la media de las tensiones a cortante y la tensión a cortante máxima en una sección rectangular, desarrollándose de la siguiente manera:

2.19

Finalmente, los autores destacaron la necesidad de desarrollar criterios para el cálculo de la altura eficaz en la que actúa el refuerzo (hef ) y la posibilidad de contemplar la contribución de la matriz a la resistencia a cortante de la estructura en el caso que el mortero ofreciera un incremento significativo de la rigidez del conjunto.

Posteriormente, Si Larbi et al. [60] realizaron una investigación en la que probaron la viabilidad de adherir lateralmente al sustrato de las vigas de hormigón placas de TRM precuradas con anterioridad. Compararon este sistema con las clásicas configuraciones de encamisado parcial en U con aplicación del refuerzo in situ, obteniendo resultados satisfactorios en cuanto a incrementos de resistencia, pero con el inconveniente de que los especímenes fallaron por despegue del refuerzo.

De forma similar al desarrollo realizado por Blanksvärd et al. [59], los autores definieron αf como el parámetro que tiene en cuenta la distribución no homogénea de tensiones de cortante a lo largo de la fisura (Ec. 2.20). De los valores experimentales obtenidos, se ajustó este parámetro a un valor igual a 0,5.

2.20

Finalmente, se observó respecto las configuraciones de los ensayos que la eficacia del refuerzo se reduce a medida que la relación entre la distancia del punto de aplicación de la fuerza al soporte respecto el canto útil de la viga disminuye.

En siguientes estudios, Al-Salloum et al. [61] compararon el comportamiento del TRM y del FRP como refuerzo de una unión entre viga y pilar sometida a cargas cíclicas simulando el efecto de un terremoto. Los elementos reforzados con TRM y FRP obtuvieron resultados similares en cuanto a incrementos de resistencia a cortante y ductilidad, en cambio las uniones reforzadas con materiales compuestos de matriz inorgánica obtuvieron una mejor capacidad de disipación de energía. Para incrementar la resistencia ofrecida por el TRM, se propuso aplicar más capas de tejido, aunque cabe tener en cuenta que ello comportó un aumento del riesgo de fallo de la estructura por despegue del refuerzo.

Por otro lado, en [55] se introdujo el basalto como elemento constituyente para el uso en los tejidos del TRM utilizado para refuerzo a cortante. En este estudio se reforzaron a cortante vigas de hormigón armado mediante la aplicación de 2 y 4 capas de tejido, utilizando dos tipos diferentes de mortero, uno de base cementítica y otro de base cementítica modificada con polímeros, siendo estos últimos los más idóneos para utilizar con fibras de basalto. También se observó que, a pesar de que algunos elementos estuvieron reforzados con 4 capas (cuantía de tejido crítica determinante en el modo de fallo de la estructura, según Brückner et al. [52]), ninguno de los elementos desarrolló un fallo por despegue del refuerzo. Según los autores, este hecho está relacionado con la fragilidad que presentan las fibras de basalto, que a pesar de ofrecer contribuciones significativas a la resistencia a cortante del elemento estructural, no son capaces de desarrollar los mecanismos de despegue antes de romper.

Contamine et al. [44], utilizando sistemas de correlación de imágenes, estudiaron el comportamiento local del TRM mediante el análisis de los campos de desplazamiento, determinando que su aplicación hace retrasar la plastificación de la armadura y proporciona un margen de seguridad de la estructura respecto los criterios de diseño del estado límite de servicio.

En recientes investigaciones, Azam y Soudki [62] mostraron que diferentes configuraciones de refuerzo basados en tejidos de carbono y de vidrio fueron capaces de incrementar la resistencia de las vigas entre un 19% y un 105%. Finalmente, Ombres [63] investigó la viabilidad de utilizar tejidos de PBO como tejido en refuerzos a cortante, concluyendo que la instalación TRM con este material en una configuración de estribos discontinuos no resulta eficaz.


(6) Se han desarrollado algunas investigaciones donde se propone el pegado lateral, mediante adhesivos poliméricos, de placas precuradas de TRM. El autor entiende que esa no es la filosofía del refuerzo estudiado en el presente trabajo, donde una de las principales premisas es evitar el uso de resinas.

2.6.2. Otros estudios realizados

2.6.2.1. Confinamiento de soportes

El confinamiento de soportes de hormigón armado mediante el encamisado con materiales compuestos empezó a investigarse y desarrollarse utilizando refuerzos de matriz orgánica [64–66]. La adaptabilidad y la rapidez de instalación que ofrecen los sistemas FRP de curado in situ hicieron que se extendiera su uso como refuerzo de pilares con daños post-sísmicos, tanto para secciones circulares, como para secciones rectangulares. A pesar de estas ventajas, los sistemas de encamisado con FRP presentan dificultades de detección de daños después de haber sido instalados. Este hecho puede resultar problemático debido al comportamiento lineal elástico que tiene el refuerzo hasta su rotura, que en el caso de agotarse su capacidad portante, podría provocar el colapso de todo el conjunto estructural de manera súbita.

Las primeras investigaciones sobre el confinamiento de elementos de hormigón con refuerzos de matriz cementítica fueron realizados por Triantafillou et al. [67]. En ellos, se comparó el comportamiento mecánico mediante el ensayo a compresión de cilindros confinados y columnas rectangulares cortas, ambas reforzadas tanto con TRM como con FRP. Los resultados obtenidos fueron que las dos tipologías de elementos reforzados con TRM incrementaron la resistencia a compresión y la capacidad de deformación, siendo mayor la ganancia cuanto más capas de tejido fueron aplicadas. También se observó que este aumento de las propiedades, así como el modo de fallo obtenido (ruptura de las fibras o despegue del refuerzo), estaba íntimamente relacionado con la resistencia a tracción del mortero del refuerzo aplicado. En cuanto a la comparativa con los elementos reforzados con materiales de matriz orgánica, se determinó que las prestaciones que ofrecían los elementos reforzados con TRM eran ligeramente inferiores, en el caso de columnas de sección rectangular, y significativamente menores, en cuanto a los cilindros confinados, llegando a alcanzar valores del 80% de resistencia y del 50% de deformabilidad respecto los reforzados con FRP. Así mismo, se observó que estos valores también sufrían grandes variaciones en función del tipo de mortero utilizado. Finalmente, se puso en evidencia que el fallo por rotura de las fibras es menos brusco en el caso del TRM respecto al FRP debido a la progresiva fisuración de la matriz.

Posteriormente, Bournas et al. [68,69] realizó una investigación en la que ensayó a compresión prismas cortos y columnas a escala real sometidas a flexiones cíclicas bajo una carga axial constante, en ambos casos reforzando los especímenes con FRP y TRM.

Las conclusiones obtenidas confirmaron la tendencia que el TRM ofrecía unas prestaciones similares, en cuanto a resistencia a compresión de estructuras de sección rectangular, respecto a los elementos reforzados con materiales de matriz orgánica, observando además, que el incremento de resistencia estaba relacionado con el ratio volumétrico del refuerzo, i.e. el número de capas del tejido. Respecto los ensayos dinámicos, se obtuvieron resultados muy similares de los elementos reforzados con TRM y FRP en cuanto a capacidad de deformación cíclica y disipación de energía.

De esta manera, los estudios realizados hasta la fecha muestran que el refuerzo de soportes de hormigón armado utilizando materiales compuestos de matriz inorgánica es una técnica de encamisado válida a niveles similares del refuerzo FRP. A pesar de ello, es necesario desarrollar más investigaciones en el ámbito de la optimización de las propiedades de los morteros, del comportamiento a largo plazo del refuerzo (relajación, cansancio, etc.) y de la interacción del TRM con el armado de los pilares.

2.6.2.2. Refuerzo de estructuras de mampostería

La tecnología de refuerzo del TRM se empezó a desarrollar pensando en la reparación y el incremento de las capacidades portantes de estructuras de hormigón armado. No obstante, se han realizado amplios estudios sobre la viabilidad de su aplicación en estructuras de mampostería, i.e. muros sin reforzar y arcos. Este hecho es debido, principalmente, al mínimo impacto visual que ofrece este tipo de refuerzo en estructuras monumentales e históricas. Por otro lado, del mismo modo que con las estructuras de hormigón armado, el TRM como refuerzo de elementos de mampostería minimiza algunos de los inconvenientes que presentan los refuerzos de matriz orgánica.

Los primeros estudios sobre la materia fueron realizados por Papanicolau et al. [70,71], en los cuales se reforzaron diferentes configuraciones de muros a media escala con diferentes tipos de aplicaciones (TRM con tejidos de carbono bidireccionales y FRP en forma de estribos precurados o encajados en el sustrato). Estos especímenes fueron ensayados sometiéndolos a cargas cíclicas fuera y dentro del plano, llegando a las siguientes conclusiones:

  • La aplicación del TRM aumentó la capacidad de carga y la deformabilidad de los muros de mampostería.
  • En el caso de los elementos sometidos a cargas cíclicas en el plano, los muros reforzados con TRM desarrollaron entre un 65 y un 70% de la resistencia que obtuvieron los reforzados con FRP. Estos valores dependen fuertemente de la magnitud de la carga alcanzada y del número de capas de refuerzo aplicadas. En cambio, respecto a la deformabilidad, los reforzados con matrices inorgánicas alcanzaron capacidades entre un 15 y un 305% (en función de la morfología del espécimen) superiores a los de sus homólogos de matrices orgánicas.
  • En el caso de los muros sometidos a acciones dinámicas fuera del plano, los muros reforzados con TRM presentaron valores superiores de resistencia y deformabilidad que los reforzados con estribos precurados de FRP. No fue así respecto a los elementos con refuerzos encajados en el sustrato (NSM), donde el despegue controlado del laminado hizo que obtuvieran mayores capacidades de deformación que los especímenes reforzados con matrices inorgánicas.

Tiempo después, Papanicolau et al. [72] presentaron otro estudio de elementos de mampostería reforzados con TRM y ensayados bajo cargas cíclicas dentro y fuera del plano. En este caso, los materiales que se usaron como tejidos del TRM fueron diversos: fibras de carbono, fibras de basalto, fibras de vidrio, fibras de poliéster y fibras de polipropileno. También fueron varios los morteros usados como matriz del refuerzo, logrando así una amplia combinación de diversos componentes.

Los resultados de los ensayos mostraron que, los elementos reforzados con TRM constituido por la peor de las combinaciones entre componentes (el tejido con menores prestaciones y el mortero con la resistencia más baja), estando debidamente anclado al sustrato, lograron aumentar la capacidad de carga un 400% y la deformabilidad un 130% respecto a muros sin reforzar. El resto de resultados obtenidos estuvieron en la línea de los estudios anteriores.

En investigaciones recientes, Bernat et al. [73] estudiaron el comportamiento de muros de escala real reforzados con diferentes combinaciones de TRM (tejidos de fibra de vidrio o carbono, y morteros de base portland, cal o puzzolánica), sometidos a ensayos estáticos de carga a compresión excéntrica. Además, se estudiaron las prestaciones que ofrecía la instalación de anclajes en algunos muros reforzados. Estos anclajes consistían en disponer el propio tejido a través de la sección del muro y adherirlo a la zona de compresiones. Los resultados y las conclusiones extraídas fueron las siguientes:

  • El uso de TRM como refuerzo de muros de mampostería sometidos a cargas excéntricas hizo incrementar su capacidad de carga al menos un 100% respecto los muros sin reforzar. Además, en la mayoría de casos, se evitaron las rupturas por formación de mecanismos puros y se limitaron los efectos de segundo orden.
  • Se observó un aumento de la rigidez, tanto en el plano del muro como fuera de él. En el primer caso, se determinó que este aumento fue debido al tipo de mortero y su resistencia a tracción. En cambio, fuera del plano, se observó que existía una fuerte influencia de la cuantía y tipo de fibra que constituía el tejido.
  • En todos los casos, el comportamiento estructural de los muros reforzados con TRM fue más homogéneo, ofreciendo una menor dispersión de resultados.
  • En ningún caso se obtuvo fallo por despegue del TRM, tanto en los muros donde se dispusieron anclajes como en los que no. El modo de fallo más habitual fue el de aplastamiento de la obra de fábrica a compresión.
  • No se demostró que la instalación de los anclajes dispuestos ofreciera un aumento de prestaciones de los elementos estructurales.

Generalmente, los muros de obra de fábrica desarrollan el rol de cerramientos del edificio. En caso de necesitar incrementar su capacidad portante, la superficie a reforzar, y por consiguiente, el tiempo dedicado a aplicar las sucesivas capas de mortero en el caso de la aplicación del TRM, representa una elevada inversión de tiempo respecto al refuerzo de otros elementos estructurales. En este sentido Aranha et al. [74] estudiaron la viabilidad de proyectar la matriz en especímenes de mampostería mediante bombeo a presión del mortero, habiendo fijado previamente el tejido a la estructura de forma puntual. Los resultados de la investigación mostraron la viabilidad y eficiencia del TRSM (Textile-Reinforced Sprayed Mortar), pero denotaron la necesidad de desarrollar un mortero específico para este tipo de aplicación del refuerzo.

Otros estudios, realizados sobre el incremento de la capacidad portante en elementos de obra de fábrica, han consistido en la rehabilitación de arcos de mampostería reforzados en su cara externa por con tejidos de basalto y matrices cementíticas. Los resultados de la campaña experimental llevada a cabo por Garmendia et al. [75] mostraron que esta tecnología de refuerzo es capaz de incrementar la resistencia y deformabilidad de los arcos, además de mostrarse el TRM como un producto adecuado para aplicar en geometrías complejas.

2.6.2.3. Adherencia

La capacidad de transferencia de tensiones entre el elemento estructural existente y el refuerzo es un aspecto clave de la viabilidad de las técnicas que se usan para el incremento de la capacidad portante de las estructuras mediante la adhesión de nuevos materiales. Las primeras investigaciones sobre el comportamiento adherente del TRM fueron realizadas por Ortlepp et al. [51,54], en las que se detallan los posibles modos de fallo por despegue del refuerzo y los mecanismos de transmisión de tensiones cuando el refuerzo está parcialmente despegado.

Posteriormente, se han realizado numerosos estudios experimentales sobre esta temática para el desarrollo de modelos analíticos y numéricos. De todos ellos se destacan los realizados por Ombres [76] y D’Ambrisi et al. [77–79], en los que se estudia la adherencia del TRM unido a elementos de hormigón de mampostería. En estas investigaciones se utilizaron refuerzos con mallas de PBO y carbono de diferentes longitudes, sometiendo el TRM a una carga en la dirección principal del tejido. Las conclusiones que se obtuvieron fueron las siguientes:

  • Existe una relación directa entre la configuración del tejido y la cantidad de fibras, respecto a los modos de fallo por despegue del refuerzo.
  • La instalación de anclajes externos al final del refuerzo previene los modos de fallo por despegue.
  • Aunque el fallo del elemento estructural sea por despegue del refuerzo, una adecuada longitud del TRM adherido hará que este despegue sea progresivo y permitirá aumentar la capacidad portante del elemento estructural. Se observó que esta longitud mínima de adherencia, para refuerzos de elementos de hormigón con una capa de tejido de PBO, está en torno de los 250-300mm.
  • Una longitud insuficiente del refuerzo provocará que el despegue del TRM sea súbito y catastrófico. En este caso la viga reforzada no logrará incrementar su resistencia.
  • Los fallos por despegue del refuerzo se han localizado siempre en la interfase entre la matriz y el tejido. En ningún de los ensayos realizados ha habido arranque del sustrato de la estructura existente.
  • Antes del fallo por despegue, se observaron considerables desplazamientos relativos entre las fibras y la matriz. Debido a estos deslizamientos ocurridos en el tejido del refuerzo, las tensiones acumuladas en el sustrato del elemento existente resultan menores que en el caso de estructuras reforzadas con FRP.
  • La capacidad de transmitir tensiones de corte en la zona de adherencia disminuye al aumentar los deslizamientos entre las fibras y la matriz del TRM. Para refuerzos de mampostería con una capa de tejido de carbono, las tensiones cortantes en la unión resultaron nulas cuando el deslizamiento del tejido alcanzó los 0,3-0,4mm.
  • En el caso del refuerzo con tejido de PBO, de acuerdo a los resultados experimentales obtenidos, se ha observado que los modelos numéricos que mejor se ajustan en la predicción de las deformaciones en el momento del despegue son aquellos que siguen leyes no lineales de pegado-deslizamiento. En cambio, para el estudio del comportamiento del momento flector, se ha determinado que se ajusta mejor el uso de leyes bilineales de pegado-deslizamiento del refuerzo.

A pesar de las investigaciones realizadas hasta el momento, todos los autores coinciden en la necesidad de realizar un mayor número de investigaciones que permitan definir más acuradamente el comportamiento adherente del TRM, haciendo especial hincapié en la determinación de la influencia del número de capas de tejido en la resistencia al despegue del refuerzo.

2.6.2.4. Durabilidad

Debido a que esta técnica de refuerzo de estructuras de hormigón armado es relativamente novedosa (aproximadamente una década de recorrido), los estudios de durabilidad del TRM son relativamente escasos. Los principales problemas que pueden llegar a presentar estos sistemas de refuerzo son los siguientes:

  • Corrosión del tejido (en aquellos casos en que las fibras sean susceptibles de sufrir este tipo de fenómeno).
  • Fatiga del tejido sometido a cargas sostenidas en ambientes altamente alcalinos.
  • Densificación de la matriz adyacente a los filamentos del tejido. Crecimiento de la matriz en la zona de unión con el tejido provocado por la precipitación de productos derivados de la humedad.

Hasta la fecha, los estudios experimentales más relevantes sobre los cambios de comportamiento mecánico del TRM a lo largo del tiempo, han sido realizados por Butler et al. [80,81]. En ellos, se crearon probetas de TRM constituidas por fibras de vidrio y matrices de diferentes grados de alcalinidad. Estos especímenes fueron sometidos a procesos de envejecimiento acelerado y estudiados en ensayos de tracción directa y arranque. Las conclusiones de estos estudios fueron que los especímenes con matrices con altos grados de alcalinidad veían sus resistencias y capacidades de deformación afectadas de forma pronunciada. En cambio, una apropiada composición de la matriz con la inclusión de aditivos adecuados, hizo mantener las propiedades mecánicas del TRM durante altos períodos de exposición a climas ordinarios.

2.6.3. Normativas vigentes

Hasta finales de 2013 no existía ningún código de diseño para la aplicación y cálculo del TRM como refuerzo estructural de elementos de hormigón armado o mampostería. La tendencia hasta la fecha estuvo encaminada en adaptar la formulación incluida en los códigos de diseño de prestigio reconocido de refuerzo externo de estructuras mediante la adherencia externa de FRP [15,19,82] a su equivalente de matriz inorgánica.

No obstante, esta tarea puede resultar laboriosa debido a las distintas interpretaciones analíticas que presentan estos códigos entre sí y a los comportamientos mecánicos tan diferenciados que presentan ambas tecnologías de refuerzo, e.g. fisuración, distribución interna de tensiones o adherencia y transmisión de tensiones.

Recientemente apareció la primera guía de diseño para refuerzos de estructuras de hormigón y mampostería mediante la adhesión externa de tejidos con matriz cementítica [83]. A diferencia de los códigos que se centran en el FRP, esta guía de diseño propone la utilización de las propiedades mecánicas del material compuesto TRM para realizar las predicciones de aumento de capacidad portante que ofrece este tipo de refuerzo en sus distintas aplicaciones.


Capítulo 3. Estudios de caracterización de materiales

3.1. Introducción

En el presente capítulo se incluye la información obtenida de las diferentes campañas de caracterización de los materiales utilizados en los ensayos de vigas de hormigón armado reforzadas a cortante con TRM.

Inicialmente se caracterizaron los materiales componentes de la estructura a reforzar, i.e. los hormigones utilizados y las barras de acero dispuestas como armadura. Estos datos fueron esenciales para determinar el comportamiento propio de las vigas sin reforzar y comparar a posteriori las prestaciones ofrecidas por los diferentes tipos de TRM aplicados.

A continuación, se determinaron las propiedades de los componentes de los diferentes refuerzos aplicados. En el conjunto de las campañas experimentales realizadas se utilizaron seis combinaciones diferentes de matrices y tejidos, en las que se incluyeron cuatro tipos de morteros y seis tipos de mallas. A pesar de que estos resultados no se utilizaron directamente en los cálculos desarrollados posteriormente, se han incluido con el objetivo de proporcionar información detallada para futuras investigaciones.

Por último, con el objetivo de entender el comportamiento de los diferentes refuerzos aplicados, se realizaron ensayos de caracterización del TRM como material compuesto. Los datos extraídos de estos ensayos se utilizaron para desarrollar los estudios analíticos realizados a posteriori.

El conjunto de estos resultados, y en especial los obtenidos de los ensayos llevados a cabo sobre los componentes del refuerzo y del TRM como material compuesto, han servido para entender el comportamiento de los especímenes ensayados en la campaña experimental principal del presente trabajo, i.e. vigas de HA reforzadas a cortante con TRM.

Todos los ensayos tuvieron lugar en los laboratorios LITEM-RMEE-UPC y RMEE-UPC-Barcelona entre octubre del 2011 y febrero del 2014. La información detallada de estos ensayos se incluye en el Anexo A.

3.2. Caracterización de hormigones

En la presente investigación se determinaron las propiedades mecánicas de hormigones provenientes de las tres amasadas utilizadas para ejecutar el conjunto de vigas ensayadas. Las amasadas de hormigón caracterizadas correspondieron a las usadas en los especímenes destinados a ser reforzados a cortante con TRM.

3.2.1. Descripción del hormigón y las probetas ensayadas

Todas las amasadas fueron proporcionadas por la empresa Hormigones Uniland y correspondieron a hormigones tipo HA-25 con cemento tipo CEM IIA 42,5R, consistencia fluida y tamaño máximo de árido 12mm.

Los especímenes ensayados consistieron en probetas cilíndricas de 96mm de diámetro y alturas comprendidas entre 255mm y 334mm. Estas piezas fueron obtenidas como testigos de las vigas reforzadas a cortante con TRM ensayadas con anterioridad. Los testigos fueron extraídos mediante un taladro refrigerado con agua en zonas donde las vigas no presentaban fisuras, según lo establecido en EN 12504-1:2009 [84].

Los procesos de obtención de las probetas descritas anteriormente quedan recogidos y detallados en el apartado A.2.2 del Anexo A.

3.2.2. Ensayos realizados en el hormigón

Se llevaron a cabo dos tipos de ensayos normalizados. El primero fue un ensayo no destructivo para la determinación del módulo de elasticidad secante (Ec) (Figura 3.1a), y el segundo un ensayo de compresión directa que permitió obtener la resistencia a compresión del hormigón (fc) (Figura 3.1b).

Draft Samper 184616083-image28.jpeg
Draft Samper 184616083-image29.jpeg
a) b)

Figura 3.1 Ensayos realizados en probetas de hormigón: a) determinación del módulo de elasticidad secante, b) determinación de la resistencia a compresión.

3.2.2.1. Ensayo de determinación del módulo de elasticidad secante

El ensayo de determinación del módulo de elasticidad secante del hormigón se realizó según lo establecido en UNE 83316:1996 [85]. Este ensayo consistió en la aplicación de tres ciclos de carga-descarga de una compresión centrada y el registro de las deformaciones del espécimen en cada etapa alcanzada.

Las deformaciones se obtuvieron en el punto central de dos directrices opuestas del cilindro de hormigón, mediante la lectura proporcionada por dos galgas extensométricas previamente instaladas y conectadas a un adquisidor de datos.

La aplicación de la carga fue ejecutada mediante control por fuerza, utilizando una actuador oleohidráulico de capacidad 250kN.

El apartado A.2.3.1 del Anexo A describe de forma más detallada los procesos seguidos para llevar a cabo este tipo de ensayo.

3.2.2.2. Ensayo de determinación de la resistencia a compresión

El ensayo de determinación de la resistencia a compresión del hormigón se realizó según lo establecido en EN 12390-3:2009 [86]. Este consistió en una compresión directa sobre la probeta cilíndrica de hormigón hasta alcanzar su colapso.

La aplicación de la carga se realizó mediante control por fuerza a una velocidad de 4000N/s, utilizando una prensa oleohidráulica con una capacidad de carga de 3000kN.

Información más detallada de este tipo de ensayo queda recogida en el apartado A.4.3.1 del Anexo A.

3.2.3. Resultados de los ensayos en hormigón

La Tabla 3.1 muestra el resumen de los resultados obtenidos en la campaña de caracterización de los hormigones utilizados en el presente estudio. En ella se incluye, en función de la amasada correspondiente, el promedio de los valores experimentales de la resistencia a compresión del hormigón (fcm) y del módulo de elasticidad secante (Ec). Además, se incluye los resultados de ensayos de resistencia a compresión del hormigón a los 28 días (fcm,28) realizados por la empresa fabricante de las vigas en probetas cúbicas de 150x150mm, según lo expuesto por EN 12390-1:2012 [87], EN 12390-2:2009 [88] y EN 12390-3:2009 [86].

Amasada Experimental Fabricante
Resistencia media a compresión

fcm (MPa)

Módulo de elasticidad

Ec (MPa)

Resistencia media a compresión 28 días

fcm,28 (MPa)

22/12/2011 34,1 27166 35,0
13/01/2012 33,8 31746 38,2
24/01/2012 40,8 33316 46,5

Tabla 3.1 Promedio de los resultados obtenidos para las diferentes amasadas de hormigón ensayadas y resultados según fabricante.

Comparando los resultados se puede observar una diferencia significativa entre los resultados experimentales y los proporcionados por el fabricante, especialmente en el caso de las amasadas 13/01/2012 y 24/01/2012. Teniendo en cuenta que la edad media de las probetas ensayadas era de 341 días, el hecho que los resultados proporcionados por el fabricante sean superiores entra en contradicción con el comportamiento habitual del hormigón, cuya resistencia a compresión tiende a incrementarse con el paso del tiempo. Por esta razón, los datos utilizados en los posteriores estudios analíticos fueron los obtenidos en la campaña experimental de caracterización de hormigones desarrollada en el presente apartado.

3.3. Caracterización de barras corrugadas de acero

Con el objetivo de utilizar las propiedades mecánicas del acero de las barras corrugadas en posteriores estudios analíticos, se caracterizaron probetas de este material obtenidas del armado de vigas de HA previamente ensayadas.

3.3.1. Descripción de las barras corrugadas de acero y las probetas ensayadas

Todas las armaduras de las vigas de hormigón ensayadas fueron del acero tipo B 500 SD. Las probetas fueron obtenidas como testigos de la armadura longitudinal superior de diferentes vigas reforzadas a cortante con TRM a posteriori de su colapso.

Las barras fueron cortadas mediante sierra radial en zonas donde el doblado del armado no influyera en las propiedades mecánicas del acero. Todos los especímenes ensayados presentaban un diámetro nominal de 10mm y una longitud comprendida entre 190mm y 327mm.

3.3.2. Ensayos realizados en las barras corrugadas de acero

El objetivo de los ensayos realizados en barras corrugadas fue determinar las curvas tensión-deformación de las diferentes probetas y extraer de las mismas los valores de tensión de límite elástico fs,y, tensión última fs,u y módulo de elasticidad longitudinal Es. Estas curvas se obtuvieron mediante un ensayo normalizado de tracción directa de las probetas, según lo establecido en EN ISO 15630-1:2010 [89] y EN ISO 6892-1:2009 [90].

La aplicación de la carga fue ejecutada mediante control por fuerza a una velocidad de 500N/s con una prensa de ensayos servo hidráulica con capacidad carga de 250kN. Las deformaciones en los especímenes fueron registradas utilizando un extensómetro de 20mm de separación inicial y con una capacidad de lectura de ±4mm (Figura 3.2).

En el apartado A.3.3 del Anexo A se amplía la información referente a la ejecución de este tipo de ensayo.

Draft Samper 184616083-image30.jpeg

Figura 3.2 Ensayo realizado en barras corrugadas de acero.

3.3.3. Resultados de los ensayos en barras corrugadas de acero

La Tabla 3.2 muestra el resumen de los resultados obtenidos en la campaña de caracterización de las barras corrugadas de acero. En ella se incluye el promedio de los valores experimentales de tensión de límite elástico (fs,y), tensión última de rotura (fs,u) y módulo de elasticidad longitudinal (Es). Además, se incluye los valores mínimos de resistencia establecidos para las barras de acero B 500 SD según la normativa EN-10080:2006 [91].

Experimental Valores mínimos normativos
Tensión de límite elástico

fs,y (MPa)

Tensión última de rotura

fs,u (MPa)

Módulo de elasticidad longitudinal

Es (GPa)

Tensión de límite elástico

fs,y (MPa)

Tensión última de rotura

fs,u (MPa)

517,20 632,70 198,48 ≥500 ≥575

Tabla 3.2 Promedio de los resultados obtenidos de las barras corrugadas de acero ensayadas y valores mínimos según normativa EN-10080:2006 [91].

Tal y como se puede observar en la Tabla 3.2, los resultados experimentales obtenidos cumplen con los requerimientos normativos y, por consiguiente, resultaron válidos para el desarrollo de los cálculos y modelos analíticos.

3.4. Caracterización de morteros

En la presente investigación se utilizaron 4 tipos de morteros como componentes en las diferentes combinaciones de TRM usadas para reforzar vigas de HA. Estos morteros constituyen la matriz del refuerzo, además de ser los encargados de adherirlo al sustrato de la estructura existente y ser capaces de transmitir las tensiones de un elemento a otro. Todos ellos fueron caracterizados con el objetivo de obtener sus propiedades mecánicas.

3.4.1. Descripción de los morteros y las probetas ensayadas

Las morteros estudiados son productos de base cementítica o puzzolánica específicamente diseñados para su aplicación en TRM. La mayoría de ellos presentan diferentes aditivos y fibras con el objetivo de maximizar las propiedades del refuerzo en base al tipo de fibra aplicada. A continuación se muestra una breve descripción de los 4 morteros utilizados en el presente trabajo:

  • Planitop HDM Maxi

Designado como PHDM, es un material diseñado para aplicar en albañilería que se puede usar como mortero de relleno y de reparación de bóvedas, así como de matriz del refuerzo TRM. Es un mortero bicomponente basado en cementos de alta resistencia, al que se han añadido fibras de vidrio, áridos seleccionados y polímeros sintéticos en dispersión acuosa.

* X Mesh M750

Designado como XM750, este mortero está pensado para su aplicación en estructuras de hormigón. Se presenta como un mortero hidráulico de alta adherencia con fibras y adiciones especiales.

* X Mesh M25

Designado como XM25, es un mortero hidráulico puzzolánico con aditivos específicos, perfectamente compatible desde el punto de vista químico, físico y mecánico con las estructuras de obra de fábrica.

* Bikain R3

Designado como R3, es un material específicamente diseñado para la reparación estructural. Es un mortero hidráulico modificado con adiciones poliméricas, PCC.

Una descripción más extensa de estos morteros se muestra en el apartado A.4.1 del Anexo A.

Con el objetivo de determinar las propiedades mecánicas de estos materiales, para cada tipo de mortero, se fabricaron 12 probetas en moldes normalizados. Estas probetas presentaban una morfología prismática de dimensiones 160x40x40mm y fueron curadas en condiciones de laboratorio un mínimo de 28 días antes de ser ensayadas.

3.4.2. Ensayos realizados en los morteros

Se realizaron dos tipos de ensayos normalizados. El primero fue un ensayo a flexión con el objetivo de determinar la resistencia a flexión del mortero (fmx) (Figura 3.3a), y el segundo un ensayo de compresión directa que permitió obtener la resistencia a compresión del mortero (fmc) (Figura 3.3b).

Draft Samper 184616083-image31.jpeg
Draft Samper 184616083-image32.jpeg
a) b)

Figura 3.3 Ensayos realizados en probetas de mortero: a) determinación de la resistencia a flexión, b) determinación de la resistencia a compresión.

3.4.2.1. Ensayo de determinación de la resistencia a flexión

El ensayo de determinación de la resistencia a flexión del mortero se realizó según lo establecido en EN 1015-11:2000 [92]. Este consistió en un ensayo a flexión a 3 puntos, con aplicación de la carga en el centro de la luz y una separación entre soportes de 100mm.

La aplicación de la carga fue ejecutada mediante control por fuerza a una velocidad de 10N/s con una prensa de ensayos electromecánica con capacidad de carga de 50kN.

Las dos partes resultantes del colapso de cada uno de los especímenes se utilizaron a posteriori en los ensayos de determinación de la resistencia a compresión del mortero.

En el apartado A.4.3.1 del Anexo A puede encontrarse una descripción más detallada del tipo de ensayo realizado.

3.4.2.2. Ensayo de determinación de la resistencia a compresión

El ensayo de determinación de la resistencia a compresión del mortero se realizó según lo establecido en EN 1015-11:2000 [92]. Este consistió en un ensayo de compresión directa hasta rotura en cada una de las partes resultantes del colapso de las probetas sometidas al ensayo de flexión. La fuerza aplicada se distribuyó en una superficie de 40x40mm mediante placas normalizadas de acero.

La aplicación de la carga se realizó mediante control por fuerza a una velocidad de 350N/s, utilizando un actuador oleohidráulico de capacidad 100kN.

Información más detallada de este tipo de ensayo queda recogida en el apartado A.4.3.2 del Anexo A.

3.4.3. Resultados de los ensayos en morteros

La Tabla 3.3 muestra el resumen de los resultados obtenidos en la campaña de caracterización de los morteros utilizados en el presente estudio. En ella se incluye, en función del tipo de mortero, el promedio de los valores experimentales de la resistencia a flexión (fmx) y de la resistencia a compresión del mortero (fmc). Además, se incluye los valores proporcionados por los respectivos fabricantes.

Mortero Experimental Fabricante
Resistencia a flexión

fmx (MPa)

Resistencia a compresión

fmc (MPa)

Resistencia a flexión

fmx (MPa)

Resistencia a compresión

fmc (MPa)

PHDM 10,58 36,23 >8 >25
XM750 10,38 28,61 3,5 29
XM25 7,38 20,38 7,5 38
R3 8,38 22,86 - -

Tabla 3.3 Promedio de los resultados obtenidos en los morteros ensayados y valores proporcionados por los fabricantes.

Comparando los resultados, se puede observar alguna diferencia significativa entre los resultados experimentales y los proporcionados por el fabricante, especialmente en los casos de la resistencia a flexión del mortero XM750 y la resistencia a compresión del mortero XM25. En el primero de los casos, el valor experimental es significativamente superior al proporcionado por la empresa. En cambio, en el segundo la tendencia es la opuesta, siendo el valor experimental un 46% inferior al valor suministrado por el fabricante. Cabe destacar que este hecho puede conllevar un diseño estructural por el lado de la inseguridad, comprometiendo la integridad del elemento resistente.

3.5. Caracterización de tejidos

Los tejidos de fibras representan el elemento resistente del material compuesto TRM. Sus características mecánicas dependen principalmente de la cantidad de fibras que contienen, i.e. su densidad lineal de masa (registrada en gramos cada 1000m o tex), así como su orientación, tamaño, organización geométrica y tipo de material.

En los materiales compuestos, las fibras son las encargadas de resistir y redistribuir las tensiones a que están sometidos. Estos filamentos presentan una elevada capacidad portante a tracción en la dirección paralela a su orientación principal. En materiales tipo FRP, las fibras constituyen un elemento continuo de diámetro 5-25μm embebido en una matriz polimérica. En cambio, en el caso del TRM, los filamentos se agrupan en mechones donde la transmisión de esfuerzos se ve influenciada por la fricción entre ellos. Estos filamentos deben estar ensamblados, entrelazados o depositados en una malla auxiliar que fije los mechones con el objetivo de obtener un tejido resistente [93]. Habitualmente, los mechones se distribuyen bidireccionalmente en una malla ortogonal, ofreciendo capacidad resistente en dos direcciones.

La eficacia del tejido en un refuerzo TRM se ve influenciada por la posibilidad que tengan de trabajar todas las fibras de forma uniforme. Häußler-Combe y Harting [94] pusieron de relevancia que no es posible alcanzar las máximas prestaciones mecánicas de los tejidos en un sistema de refuerzo TRM, debido a que solo los filamentos exteriores pueden desarrollar una completa transmisión de las tensiones. Este hecho está relacionado directamente con la capacidad de impregnación que tiene la matriz inorgánica en los mechones.

Es este apartado se describe la campaña de caracterización de los tejidos resistentes llevada a cabo y los resultados obtenidos de la misma.

3.5.1. Descripción de los tejidos y las probetas ensayadas

En el presente trabajo se utilizaron 6 tipos de tejidos resistentes, todos ellos diseñados para el refuerzo de estructuras de hormigón y/o mampostería. A continuación se muestra una breve descripción de todos ellos:

* Fidsteel 3x2-B 4-12-500 Hardwire

Designado como A4, es un tejido unidireccional formado por cordones de acero con alto contenido de carbono recubiertos por una fina capa de latón. Los cordones están fijados por una malla auxiliar de polímero termoestable y están distribuidos a razón de 4 unidades cada 2,5cm.

* Fidsteel 3x2-B 12-12-500 Hardwire

Designado como A12, es un tejido unidireccional formado por el mismo tipo de cordón que el Fidsteel 3x2-B 4-12-500 Hardwire, pero dispuestos con una menor separación entre ellos, a razón de 12 unidades cada 2,5cm.

* Fidbasalt Grid 300 C95

Designado como B, es un tejido bidireccional formado por mechones de fibras de basalto producidas a partir de la fusión y posterior hilatura de rocas volcánicas. Los mechones están fijados mediante el termo-soldado de una malla auxiliar de poliéster que previene su deshilachado y da consistencia al tejido.

* X Mesh C10

Designado como C, es un tejido bidireccional formado por mechones de fibra de carbono termo-soldados a una red auxiliar de poliéster. Esta malla resistente está específicamente diseñada para ser aplicada conjuntamente con el mortero X Mesh M25.

* X Mesh Gold

Designado como P, es un tejido bidireccional formado por mechones de fibra de Poliparafenil benzobisoxazol (PBO) termo-soldados a una red auxiliar de poliéster. Este tipo de tejido ha sido desarrollado como refuerzo externo de estructuras de hormigón armado o pretensado y está específicamente diseñado para ser aplicado conjuntamente con el mortero X Mesh M750.

* Mapegrid G220

Designado como V, es un tejido bidireccional formado por mechones de fibra de vidrio resistente a los álcalis (AR-Glass) recubiertos por una capa polimérica. Esta malla resistente está específicamente diseñada para ser aplicada conjuntamente con el mortero Planitop HDM Maxi.

Una descripción más extensa de los tejidos utilizados se muestra en el apartado A.5.1 del Anexo A.

Se fabricaron, para cada tipo de tejido, 3 probetas de 500mm de longitud y un ancho comprendido entre 30mm y 40mm. Con el objetivo de compatibilizar los especímenes con el sistema de fijación del ensayo, i.e. mordazas de apriete neumático, se adhirieron dos pletinas de aluminio en ambos extremos de las probetas. Estas pletinas presentaban unas dimensiones de 50x40mm y se fijaron al tejido por ambos lados mediante el uso de resinas epóxicas, dejando una longitud libre de malla de 400mm. Para más detalles de la elaboración de las probetas de tejido, consultar el apartado A.5.2 del Anexo A.

3.5.2. Ensayos realizados en los tejidos

El objetivo de los ensayos realizados en los tejidos fue determinar las curvas tensión-deformación de los diferentes tipos de mallas y extraer de las mismas los valores de resistencia última a tracción ftex,u, módulo de elasticidad Etex y deformación última εtex,u. Estas curvas se obtuvieron mediante un ensayo de tracción directa en las probetas preparadas con anterioridad (Figura 3.4).

De acuerdo con los criterios definidos por Larrinaga [95], la aplicación de la carga fue ejecutada mediante control por desplazamiento a una velocidad de 2mm/min con una prensa de ensayos electromecánica de 50kN de capacidad de carga. Se instrumentaron los tejidos con un transductor de desplazamiento de alta precisión de 20mm de recorrido, que registró el alargamiento de las probetas en el ámbito de la longitud libre entre fijaciones.

En el apartado A.5.3 del Anexo A se detalla con exactitud el procedimiento de ensayo llevado a cabo.

Draft Samper 184616083-image33.jpeg

Figura 3.4 Ensayo realizado en los tejidos resistentes.

3.5.3. Resultados de los ensayos en tejidos

La Tabla 3.4 muestra el resumen de los resultados obtenidos en la campaña de caracterización de los tejidos resistentes. En ella se incluye el promedio de los valores experimentales de resistencia última a tracción (ftex,u), módulo de elasticidad (Etex) y deformación última (εtex,u). Además, se incluye los valores proporcionados por los respectivos fabricantes.

Tejido Experimental Fabricante
Resistencia última

ftex,u (MPa)

Módulo de elasticidad

Etex(GPa)

Deformación última

εtex,u (%)

Resistencia última

ftex,u (MPa)

Módulo de elasticidad

Etex(GPa)

Deformación última

εtex,u (%)

A4 2051,07 129,98 1,66 3070 190 1,60
A12 2399,12 113,84 2,52 3070 190 1,60
B 416,61 63,23 1,22 1735 90 1,93
C 448,80 113,36 0,59 - - -
P 3393,56 156,66 2,19 5800 - -
V 779,74 75,37 1,10 1071 - -

Tabla 3.4 Promedio de los resultados obtenidos en los tejidos ensayados y valores proporcionados por los fabricantes.

Como tendencia general se observa que los valores experimentales obtenidos son inferiores a los proporcionados por los diferentes fabricantes. En especial cabe destacar el caso del tejido de fibras de basalto (B), cuyo valor experimental de resistencia última fue un 76% inferior al suministrado por la empresa comercializadora.

Con el objetivo de cuantificar las diferencias de comportamiento mecánico entre los filamentos y las mallas, se definen los coeficientes de eficiencia k∞(exp) (Ec. 3.1) y k∞(fab) (Ec. 3.2), que relacionan las resistencias últimas de los tejidos, experimentales (ftex,u(exp)) y proporcionadas por el fabricante (ftex,u(fab)), respectivamente, con las resistencias últimas a tracción de las fibras (ffib,u), valores incluidos de la Tabla A.16 a la Tabla A.21:

3.1
3.2

La Tabla 3.5 muestra para cada tejido estudiado el coeficiente de eficiencia k∞(i) correspondiente. En ella se puede confirmar que en todos los casos, exceptuando el PBO, la eficiencia es inferior a 1. En particular, los tejidos que muestran los valores más bajos son los de fibras de basalto y carbono. En el resto de tejidos, la eficiencia experimental de los tejidos respecto las fibras está comprendida entre 0,30 y 0,75. En el caso de los valores proporcionados por los fabricantes, la eficiencia se muestra ligeramente superior, con valores comprendidos entre 0,41 y 0,96.

Tejido k∞(exp) k∞(fab)
A4 0,64 0,96
A12 0,75 0,96
B 0,14 0,56
C 0,09 -
P 0,59 1,00
V 0,30 0,41

Tabla 3.5 Valores de k∞(exp) y k∞(fab) para cada tipo de tejido.

Resultados más detallados, así como observaciones y conclusiones relativas a la caracterización de tejidos, se encuentran incluidos en el apartado A.5.4 del Anexo A.

3.6. Caracterización del TRM

El TRM es un material ideado para trabajar principalmente a tracción. Bajo este tipo de esfuerzos, presenta un comportamiento significativamente no lineal debido al desarrollo de fisuras en la matriz cementítica antes de alcanzar la deformación última del tejido resistente [96,97]. Una vez fisurado, el tejido interno es el responsable de transmitir y resistir las tracciones a les que está sometido el material compuesto.

En el presente apartado se describe la campaña experimental de caracterización realizada sobre las diferentes combinaciones de TRM utilizadas como refuerzos estructurales en vigas de HA.

3.6.1. Descripción de las combinaciones de TRM y las probetas ensayadas

En el presente trabajo se estudiaron 6 tipos de TRM con diferentes combinaciones de componentes. En tres de los casos, el tejido y el mortero correspondientes fueron suministrados por una empresa como productos asociados, i.e. los morteros fueron específicamente diseñados con la malla suministrada. En los otros casos, ambos componentes fueron suministrados independientemente por empresas diferentes. La Tabla 3.6 resume las combinaciones utilizadas, así como la designación del TRM resultante.

Tejido Matriz Designación TRM Combinación Matriz-Tejido(*)
Fidsteel 3x2-B 4-12-500 Hardwire Bikain R3 A4R3 NC
Fidsteel 3x2-B 12-12-500 Hardwire Bikain R3 A12R3 NC
Fidbasalt Grid 300 C95 Bikain R3 BR3 NC
X Mesh C10 X Mesh M25 CXM25 C
X Mesh Gold X Mesh M750 PXM750 C
Mapegrid G220 Planitop HDM Maxi VPHDM C
(*) C=refuerzo TRM comercial; NC=refuerzo TRM no comercial.

Tabla 3.6 Combinaciones de TRM estudiadas.

Para cada tipo de TRM estudiado se fabricaron 2 probetas rectangulares de 400mm de longitud con una sección transversal 32x6mm2. Cada probeta incorporó internamente una capa de tejido que cubría totalmente la superficie del espécimen. Con el objetivo de forzar el fallo de los especímenes lejos del ámbito de la fijación de los mismos, en algunos casos se añadió en ambos extremos de las probetas una capa adicional de refuerzo de dimensiones 70x30mm2. En este mismo sentido, se instalaron en los extremos de los especímenes dos láminas elastoméricas de 60x40x3mm3 en ambos lados de la probeta, con el propósito de no dañar el mortero en la zona de sujeción. Para más detalles de la elaboración de las probetas de TRM, consultar el apartado A.6.2 del Anexo A.

3.6.2. Ensayos realizados en el TRM

De acuerdo a las prescripciones de la directriz AC434 [98], la guía de diseño ACI 549.4R-13 [83] y los trabajos realizados por Larrinaga [95] y Arboleda [99], se diseñó una campaña experimental basada en ensayos de tracción directa hasta rotura de los especímenes, con el objetivo de obtener las propiedades mecánicas según la curva tensión-deformación ideal de un espécimen de TRM (Figura 3.5).

Las propiedades mecánicas que definen el comportamiento del material compuesto tienen características diferenciadas, según si la matriz cementítica está fisurada o sin fisurar. Todas ellas se presentan a continuación:

  • Tensión y deformación en el punto de transición en el momento de la aparición de la primera fisura (fft y εft, respectivamente).
  • Resistencia última a tracción (ffu).
  • Deformación última (εfu).
  • Módulo de elasticidad longitudinal del espécimen sin fisurar (Ef*).
  • Módulo de elasticidad longitudinal del espécimen fisurado (Ef).
Draft Samper 184616083-image34.png

Figura 3.5 Curva tensión-deformación ideal de un espécimen de TRM sometido a esfuerzos normales de tracción.

Con el objetivo de determinar la curva tensión-deformación y obtener las propiedades mecánicas anteriormente expuestas, se sometieron a un ensayo de tracción los especímenes elaborados con anterioridad (Figura 3.6). Las probetas fueron fijadas utilizando mordazas de apriete mecánico y la aplicación de la carga fue ejecutada mediante control por desplazamiento a una velocidad de 0,5mm/min con una prensa de ensayos electromecánica de 10kN de capacidad de carga. Durante el ensayo, se registraron las deformaciones en el centro de los especímenes mediante una galga extensométrica previamente instalada. Para una mayor información sobre los procedimientos de ensayo realizados, consultar el apartado A.6.3 del Anexo A.

Draft Samper 184616083-image35.jpeg

Figura 3.6 Ensayo realizado en las probetas de TRM.

3.6.3. Resultados de los ensayos en tejidos

La Tabla 3.7 muestra el resumen de los resultados obtenidos en la campaña de caracterización de los diferentes tipos de TRM estudiados. En ella se incluye el promedio de los valores de tensión en el punto de transición (fft), módulo de elasticidad longitudinal del espécimen sin fisurar (Ef*), deformación en el punto de transición (εft), resistencia última a tracción (ffu), módulo de elasticidad longitudinal del espécimen fisurado (Ef) y deformación última (εfu).

TRM fft

(MPa)

Ef*

(GPa)

εft

(%)

ffu

(MPa)

Ef

(GPa)

εfu

(%)

A4R3 82,36 109,20 0,07 499,79 33,53 1,11
A12R3 28,19 211,80 0,01 433,91 86,55 0,53
BR3 93,12 206,28 0,05 518,42 36,77 1,06
CXM25 141,52 141,24 0,09 685,06 48,30 1,06
PXM750 397,28 130,21 0,29 2073,71 56,58 3,04
VPHDM 180,27 135,83 0,12 410,82 38,22 0,66

Tabla 3.7 Promedio de los resultados obtenidos de los ensayos en TRM.

Debido al hecho que los fabricantes no proporcionan datos sobre las características mecánicas del material compuesto, con el propósito de comparar los valores experimentales de la presente investigación, en la Tabla 3.8 se incluye los resultados obtenidos de ensayos de caracterización de probetas de TRM con las mismas combinación de mortero y tejido realizados en trabajos similares (Larrinaga [95] y Arboleda [99]).

TRM fft

(MPa)

Ef*

(GPa)

εft

(%)

ffu

(MPa)

Ef

(GPa)

εfu

(%)

A4R3(1) - - 0,06 2959,00 - 2,76
BR3(1) - - 0,03 921,00 48,00 1,36
CXM25(2) 458,00 512,00 0,10 1031,00 80,00 1,00
PXM750(2) 375,00 1805,00 0,02 1664,00 128,00 1,76
(1) Larrinaga [95]. Probetas de 100mm de ancho y fijación con mordazas.

(2) Arboleda [99]. Probetas de 50mm de ancho y fijación con grilletes.

Tabla 3.8 Resumen de los resultados obtenidos en otras investigaciones de ensayos en probetas de TRM.

Comparando los valores de la Tabla 3.7 con los de la Tabla 3.8, se constata como, de forma general, los resultados obtenidos en investigaciones realizadas por otros autores fueron superiores a los registrados en el presente trabajo. Solo en el caso del TRM tipo PXM750, los valores de resistencia última a tracción (ffu) y deformación última (εfu) fueron superiores a los registrados por Arboleda [99]. Estas diferencias pueden ser debidas a múltiples factores, tales como el ancho de la probeta, el tipo de fijación a la prensa, los procedimientos de elaboración de los especímenes o el tipo y el tiempo de curado de la matriz de mortero antes de ser ensayada.

Por otro lado, Hegger y Voss [49] determinaron que, factores como el tipo de atado de los mechones, la cuantía de fibras, la orientación del tejido y la impregnación influían en el comportamiento resistente del TRM, hacían disminuir la capacidad última del material compuesto respecto la propia resistencia del tejido. Con este análisis, y centrándose en la correspondencia entre la cantidad de fibras del tejido y la capacidad de impregnación de la matriz, se evaluó el coeficiente de eficiencia k1 que relaciona las resistencias últimas a tracción del tejido y del propio material compuesto TRM (Ec. 3.3):

3.3

Donde ffu es la resistencia última a tracción del TRM (Tabla 3.7), ftex,u es la resistencia última a tracción del tejido (Tabla 3.4), k0,α es un coeficiente que tiene en cuenta la orientación de los mechones respecto la dirección de la aplicación de la carga (adopta el valor 1 cuando las fibras están orientadas de forma paralela a la tracción aplicada) y k2 es un coeficiente de minoración en caso de cargas biaxiales (en caso de ensayos con aplicación de fuerza uniaxial este coeficiente toma por valor 1).

Con el objetivo de comparar el comportamiento mecánico de los tejidos en el interior de una matriz cementítica, la Tabla 3.9 muestra los valores del coeficiente de eficiencia k1 para los diferentes tipos de TRM ensayados. Además, se incluye los valores de k1 calculados a partir de los datos experimentales obtenidos de los ensayos en tejidos y refuerzos TRM realizados en investigaciones similares [95].

TRM Coeficiente k1
Presente investigación Otras investigaciones
A4R3 0,24 0,93(1)
A12R3 0,18 -
BR3 1,24 1,82(1)
CXM25 1,53 -
PXM750 0,61 -
VPHDM 0,53 -
(1) Larrinaga [95]. Probetas de 100mm de ancho y fijación con mordazas.

Tabla 3.9 Valores de k1 obtenidos en la presente investigación y en otras investigaciones similares.

Analizando los resultados de la Tabla 3.9, se puede observar como las probetas reforzadas con tejidos de acero obtuvieron una eficiencia por debajo del 25%, debido a la baja capacidad de impregnación del mortero R3 en este tipo de mallas. Por el contrario, los especímenes reforzados con tejidos de fibras de basalto y carbono desarrollaron un coeficiente de eficiencia superior a 1. Este hecho indica que la configuración del ensayo de caracterización de las propiedades mecánicas de los tejidos no fue la adecuada para este tipo de mallas. Por último, los tejidos de fibras de PBO y vidrio muestran un valor de k1 en la línea de los obtenidos por Hegger y Voss [49], comprendidos entre 0,25 y 0,66. Finalmente, se observa como los coeficientes de eficiencia k1 calculados de acuerdo a los resultados obtenidos por otros autores son superiores a los obtenidos en la campaña experimental llevada a cabo, siendo en algún caso superiores a la unidad.

Resultados más detallados, así como observaciones y conclusiones relativas a la caracterización de las diferentes combinaciones estudiadas de TRM, se encuentran incluidos en el apartado A.6.4 del Anexo A.


Capítulo 4. Campaña experimental de vigas de HA reforzadas a cortante con TRM

4.1. Introducción

La campaña experimental del bloque principal del presente trabajo consistió en el análisis comparativo del comportamiento mecánico de vigas de hormigón armado reforzadas a cortante con diferentes tipos de TRM. Para lograr este objetivo se ensayaron nueve vigas de hormigón armado a escala real, que permitieron llevar a cabo un estudio de la capacidad portante y la contribución a la resistencia a cortante proporcionada por cuatro refuerzos TRM diferentes. Además, se han utilizado dos nuevas metodologías que permitieron valorar el incremento de tenacidad a flexión y el comportamiento adherente de los refuerzos de matriz cementítica.

En el presente capítulo, inicialmente se realiza una descripción de las vigas utilizadas como elemento estructural, así como de los refuerzos TRM aplicados. A continuación se explicitan los métodos de ensayo llevados a término y los resultados obtenidos. Finalmente, se incluyen las conclusiones derivadas del estudio.

Todos los ensayos tuvieron lugar en el laboratorio del LITEM-RMEE-UPC entre marzo del 2012 y octubre del 2012. En el Anexo B queda recogida información más detallada referente esta campaña experimental.

4.2. Descripción de las vigas y los refuerzos utilizados

En la presente campaña experimental se ejecutaron y ensayaron nueve vigas de hormigón armado con déficit de armadura a cortante, ocho de ellas previamente reforzadas con diferentes tipos de TRM. Las vigas tenían una longitud de 1,70m y una sección transversal de 300x300mm. Los especímenes se fabricaron utilizando tres amasadas de hormigón diferentes y presentaban una armadura longitudinal con tres barras Ø16mm dispuestas en ambos lados y una armadura transversal con cinco estribos Ø8mm, en todos los casos de acero B 500 SD. Estas vigas se designaron con la nomenclatura V (Figura 4.1).

Draft Samper 184616083-image36.png

Figura 4.1 Geometría y armado de las vigas V.

Las vigas fueron ejecutadas por la empresa Paver Prefabricados, S.A. bajo la supervisión y control del autor del presente trabajo. La Tabla 4.1 resume las características mecánicas de los materiales constituyentes de las vigas V, según los resultados obtenidos en las campañas de caracterización detalladas en los apartados A.2 y A.3 del Anexo A.

Hormigón Acero
Amasada Fecha fcm

(MPa)

Ec

(GPa)

fs,y

(MPa)

fs,u

(MPa)

Es

(GPa)

Amasada 1 22/12/2011 34,07 32,92 517,20 633,63 198,48
Amasada 2 13/01/2012 33,78 32,83
Amasada 3 24/01/2012 40,85 34,82

Tabla 4.1 Propiedades mecánicas del hormigón y el acero de las vigas V.

Se reforzaron a cortante ocho vigas con cuatro combinaciones diferentes de tejidos y morteros. Las mallas resistentes utilizadas fueron las de fibras de basalto (B), fibras de carbono (C), fibras de PBO (P) y fibras de vidrio (V). No se utilizaron tejidos de acero por la dificultad de adaptarlos morfológicamente al contorno de las vigas. Las propiedades mecánicas de los sistemas de refuerzo TRM, así como las propias de los tejidos, fibras y morteros utilizados se pueden consultar en los apartados A.4, A.5 y A.6 del Anexo A.

La designación de los especímenes fue en función de estas combinaciones, siguiendo la nomenclatura V-AB-C, donde V es el tipo de viga, A es el tipo de tejido aplicado, B es el tipo de mortero utilizado como matriz y C representa la repetición de ensayo para un mismo tipo de refuerzo (Tabla 4.2). En el caso de la viga sin reforzar, la designación fue CONTROL.

Espécimen Tejido Mortero Amasada Hormigón
V-BR3-01 Basalto R3 Amasada 2
V-BR3-02 Basalto R3 Amasada 2
V-CXM25-01 Carbono XM25 Amasada 2
V-CXM25-02 Carbono XM25 Amasada 1
V-PXM750-01 PBO XM750 Amasada 1
V-PXM750-02 PBO XM750 Amasada 1
V-VPHDM-01 Vidrio PHDM Amasada 2
V-VPHDM-02 Vidrio PHDM Amasada 1
V-CONTROL - - Amasada 3

Tabla 4.2 Especímenes ensayados y combinaciones de tejidos y morteros utilizados como refuerzo a cortante en vigas V.

El refuerzo a cortante se aplicó mediante el sistema de encamisados parciales tipo U. Con el propósito de simular un caso real de aplicación, donde el coste de la ejecución es un factor importante, se decidió reforzar solo las zonas con déficit de armadura transversal en un ámbito de 500mm (Figura 4.2). Excepto con los tejidos de basalto, en cada refuerzo se incluyó una capa de tejido. En el caso de los especímenes V-BR3, el ancho comercial de la malla suministrada era inferior al del ámbito de la zona a reforzar, con lo que se duplicaron los tramos de tejido instalado, manteniendo un solapamiento de 70mm en el perímetro de la sección reforzada. El proceso de aplicación del refuerzo queda detallado en el apartado B.3.2 del Anexo B.

Draft Samper 184616083-image37-c.png

Figura 4.2 Configuración del refuerzo en las vigas V.

En todos los casos, el refuerzo se curó en condiciones ambiente durante, al menos, 28 días antes de ser ensayados.

4.3. Método experimental

Los experimentos llevados a cabo consistieron en ensayos a flexión de tres puntos con una separación entre apoyos de 1500mm. El punto de aplicación de la carga fue desplazado 50mm respecto del centro de las vigas con el objetivo de evitar, en al menos una zonas de la viga, el desarrollo del efecto de ménsula corta en las vigas de hormigón. Este hecho permitió diferenciar dos partes de la viga, siendo las zonas 1 y 2 aquellas donde los tramos de cortante eran de 700mm y 800mm, respectivamente (Figura 4.3a).

El desplazamiento vertical fue medido en tres secciones transversales por seis potenciómetros, ubicando dos potenciómetros simétricamente en cada lado de la sección (Figura 4.3). Por otro lado, se obtuvieron los estados deformacionales de dos puntos situados en el refuerzo, fuera del ámbito de fisuración, mediante la instalación de dos conjuntos de tres galgas extensométricas longitudinales distribuidas en forma de roseta7. Se orientaron los sensores uno paralelo al eje longitudinal de la viga y los otros dos instalados a ±45° en ambas zonas de la viga (Figura 4.3).

La aplicación de la fuerza fue llevada a cabo mediante una pieza de repartición de carga de acero semicilíndrica conectada a un actuador oleohidráulico de 500kN de capacidad. Los ensayos se realizaron por control por desplazamiento a una velocidad constante de 1mm/min.

Draft Samper 184616083-image38.png

a)
Draft Samper 184616083-image39.png

b)

Figura 4.3 Configuración e instrumentación del ensayo de las vigas V: a) esquema, b) imagen.

Se registraron de forma continua la carga aplicada, los desplazamientos verticales y las deformaciones proporcionadas por las galgas extensométricas mediante un adquisidor de datos a una frecuencia de 50Hz. En los apartados B.4.1, B.4.2 y B.4.3 del Anexo B se incluye información más detallada sobre la configuración, instrumentación y procedimientos del ensayo.


(7) A partir de este momento, el sistema de las tres galgas extensométricas tomará por nombre “pseudo-roseta”.

4.4. Resultados y discusión

Los especímenes se ensayaron hasta su rotura. Los modos de fallo desarrollados se pueden agrupar en tres categorías (Figura 4.4):

1. Rotura a cortante con desarrollo de la fisura principal en la zona central de la viga con armadura transversal sin invadir la parte reforzada con TRM. Aparición de fisuras a flexión y movilización del hormigón a compresión. Todos los especímenes que desarrollaron este modo de fallo alcanzaron la plastificación a flexión. A pesar de ello, ninguno colapsó por fallo a flexión.

2. Rotura a cortante con desarrollo de la fisura evitando la zona central reforzada con armado transversal. La fisura principal a cortante partió del punto de aplicación de la carga en dirección longitudinal hasta sobrepasar el último estribo. Posteriormente, propagación de la fisura hasta el soporte de forma inclinada.

3. Rotura a cortante donde la fisura principal se desarrolló desde el punto de aplicación de la carga hasta el soporte, travesando tanto la zona de armado transversal, como la zona reforzada con TRM.

Draft Samper 184616083-image40.png

Figura 4.4 Modos de fallo y patrones de fisuración de las vigas V ensayadas.

La Tabla 4.3 muestra los resultados de los ensayos realizados, incluyendo la designación de los especímenes, el modo de fallo, la zona donde se produjo el colapso, los valores de carga máxima aplicada (Fmax) en la que se encuentra incluido el peso propio de la viga, el desplazamiento vertical en el punto de aplicación de la fuerza para el estado de carga máximo (δu,exp), el ángulo promedio entre la fisura diagonal principal y el eje longitudinal de la viga (θ) y el cortante último resistido por cada uno de los especímenes ensayados (Vu,exp), según la Ec. 4.1:

4.1

Donde L es la distancia entre soportes y d1 y d2 son las distancias entre la sección de aplicación de la carga y el soporte correspondiente (Figura 4.3a), cuyos valores son 700mm y 800mm, respectivamente.

Por último, en la última columna de la Tabla 4.3 se incluyen los incrementos porcentuales referentes al cortante último resistido de todos los especímenes reforzados respecto la viga de control (ΔVu,exp).

Espécimen Modo de fallo Zona de fallo Fmax

(kN)

δu,exp

(mm)

θ

(°)

Vu,exp

(kN)

ΔVu,exp

(%)

V-CONTROL B 2 161,59 3,97 41 75,41 -
V-BR3-01 A 2 211,02 8,28 44 98,48 30,59
V-BR3-02* C 2 130,04 36,76 21 60,69 -19,52
V-CXM25-01 B 2 220,42 7,44 38 102,86 36,40
V-CXM25-02 B 1 173,15 5,82 56 92,35 22,46
V-PXM750-01 A 2 215,95 20,72 42 100,77 33,63
V-PXM750-02 A 2 231,66 35,91 40 108,11 43,36
V-VPHDM-01* C 2 104,76 7,05 33 48,89 -35,17
V-VPHDM-02 A 2 219,04 8,62 46 102,22 35,55
A: fisura en zona central; B: fisura en zona reforzada con TRM; C: fisura travesando zonas central y reforzada.

*Especímenes que no lograron incrementar la capacidad de carga de la viga sin reforzar.

Tabla 4.3 Resultados de los ensayos en vigas V.

Observando los resultados, a excepción de las vigas V-BR3-02 y V-PHDM-01, los especímenes reforzados fueron capaces de incrementar la capacidad portante desarrollada por la viga de control (Tabla 4.3). Por otro lado, cabe destacar que la mayoría de las vigas rompieron por la zona donde el tramo a cortante es mayor (zona 2). Este hecho se debió a la propia configuración del ensayo, en el que efectos de ménsula corta en la zona 1 hizo desarrollar bielas de compresión en esta parte de las vigas. La excepción se encuentra en el caso del espécimen V-CXM25-02, donde la fisura que provocó el colapso se desarrolló en la zona 1.

4.4.1. Análisis de la capacidad a cortante

Con el propósito de comparar directamente los diferentes especímenes, se define el esfuerzo cortante normalizado μ (Ec. 4.2) como la relación entre el cortante experimental desarrollado en la zona 2 de las vigas (Vexp,2) y la resistencia a cortante del hormigón sin presencia de armado transversal (Vc) según la normativa Eurocódigo 2 [100].

4.2

Las siguientes figuras (Figura 4.5 - Figura 4.7) muestran la relación entre el esfuerzo cortante normalizado (μ) respecto del desplazamiento vertical en el punto de aplicación de la carga (δ) para cada tipo de modo de fallo, añadiendo en cada caso, el comportamiento del espécimen sin reforzar.

Draft Samper 184616083-image41.png

Figura 4.5 Relación cortante normalizado-desplazamiento vertical en el punto de aplicación de la carga de las vigas V reforzadas que desarrollaron un modo de fallo A (se incluye el espécimen sin reforzar).
Draft Samper 184616083-image42.png

Figura 4.6 Relación cortante normalizado-desplazamiento vertical en el punto de aplicación de la carga de las vigas V reforzadas que desarrollaron un modo de fallo B (se incluye el espécimen sin reforzar).
Draft Samper 184616083-image43.png

Figura 4.7 Relación cortante normalizado-desplazamiento vertical en el punto de aplicación de la carga de las vigas V reforzadas que desarrollaron un modo de fallo C (se incluye el espécimen sin reforzar).

La Figura 4.5 muestra como las vigas que fallaron a cortante con desarrollo de la fisura fuera de la zona reforzada con TRM (modo de fallo A) fueron capaces de incrementar la capacidad a cortante en un valor promedio del 35,78%, siendo el espécimen V-PXM750-02 el que logró desarrollar un mayor incremento de resistencia a cortante (43,36%, ver Tabla 4.3). Además, estos especímenes evidenciaron un mayor comportamiento dúctil que la viga sin reforzar, evitando la rotura frágil después de la finalización del tramo lineal de carga.

Los especímenes reforzados con PBO fueron los únicos capaces de seguir incrementando carga durante la fase no lineal, alcanzando su carga máxima a un valor de deflexión entre un 420% y un 800% superior a los que obtuvo la viga sin reforzar.

A pesar que la resistencia última a tracción de las fibras de basalto y de las fibras de vidrio está en torno al 50% de la que ofrecen las fibras de PBO, las vigas V-BR3-01 y V-VPHDM-02 ofrecieron prestaciones similares a las reforzadas con PXM750. Este hecho indica que existen diversos factores, a parte de la cantidad de fibras y las características mecánicas de las mismas, que influyen en la contribución a la resistencia a cortante del TRM, tales como la adherencia tejido-matriz y/o matriz-sustrato.

Los especímenes reforzados con tejidos de fibras de carbono desarrollaron el mismo modo de fallo que la viga sin reforzar (Figura 4.6). Cabe destacar que, aunque las vigas V-CXM25 no fueron capaces de desarrollar el comportamiento no lineal y evitar una rotura frágil, lograron incrementar el cortante resistido entre un 7% y un 36% (Tabla 4.3). De acuerdo con las investigaciones de Bernat [73], esta dispersión de resultados puede ser debida a un déficit en la adherencia entre el tejido y el mortero que no permitió que, sobre todo en el caso del espécimen V-CXM25-02, se desarrollara la capacidad resistente del refuerzo.

En la Figura 4.7 se puede observar que las vigas V-BR3-02 y V-VPHDM-01 no fueron capaces de alcanzar la capacidad resistente a cortante de la viga sin reforzar. A pesar de este comportamiento, se puede afirmar que los mecanismos resistentes de los refuerzos TRM de ambos especímenes se activaron durante el proceso de carga, tal y como muestran los comportamientos dúctiles previos a la rotura que se desarrollaron en ambos casos. Tal y como se puede observar en la Figura 4.8, el desplazamiento vertical a una carga aplicada de 100kN de las vigas reforzadas que desarrollaron el modo de fallo C fue significativamente superior al resto, hecho que lleva a pensar a que estos especímenes presentaban una rigidez a flexión deficiente. Este hecho puede ser explicado por problemas relacionados con el curado del hormigón a etapas tempranas.

Debido a su comportamiento anómalo, los especímenes V-BR3-02 y V-VPHDM-01 fueron descartados de los siguientes análisis, de las conclusiones y del posterior desarrollo del estudio realizado en el presente trabajo.

Draft Samper 184616083-image44.png

Figura 4.8 Deformada de las vigas V para una carga aplicada de 100kN.

4.4.2. Análisis de la tenacidad a flexión

Las lecturas continuas de carga y de desplazamiento vertical de la viga en el punto de aplicación de la carga fueron usadas para determinar la tenacidad a flexión de los especímenes. El análisis de esta variable es útil para evaluar la ductilidad del proceso de fallo y la energía necesaria para romper una sección sometida a flexión. El procedimiento para determinar la tenacidad a flexión fue desarrollado según la normativa Japonesa JSCE-SF4 [101] y las modificaciones del método propuestas por Bernat et al. [102], y está basado en el cálculo de la superficie que envuelve la curva carga-desplazamiento vertical de la sección donde se aplicó la carga hasta un determinado valor de deflexión, que en el caso de estudio se fijó en L/150 (TENδ=L/150) y L/100 (TENδ=L/100), siendo L la distancia entre soportes.

En la Figura 4.9 se visualizan los niveles de energía absorbida para los valores de deflexión definidos con anterioridad. Estos valores se representan en la Tabla 4.4, juntamente con los incrementos porcentuales de cada espécimen reforzado respecto la viga de control (ΔTENδ=L/150 y ΔTENδ=L/100) y el modo de fallo desarrollado por cada espécimen. Siguiendo con la viga V-CONTROL, cabe destacar que este espécimen no alcanzó los niveles de deflexión indicados y el valor representado corresponde a la tenacidad a flexión desarrollada en el momento de fallo de la viga.

Draft Samper 184616083-image45.png

Figura 4.9 Tenacidad a flexión para desplazamientos verticales L/150 y L/100 de la sección correspondiente a la aplicación de la carga, exceptuando V-CONTROL que no alcanzó los niveles de deflexión.
Espécimen Modo de fallo TENδ=L/150

(J)

ΔTENδ=L/150

(%)

TENδ=L/100

(J)

ΔTENδ=L/100

(%)

V-CONTROL* B 646,18 - 646,18 -
V-BR3-01 A 1453,70 124,97 2458,47 280,46
V-CXM25-01 B 1529,00 136,62 2340,10 262,14
V-CXM25-02 B 1192,46 84,54 1714,18 165,28
V-PXM750-01 A 1379,49 113,48 2436,13 277,00
V-PXM750-02 A 1708,29 164,37 2809,75 334,82
V-VPHDM-02 A 1511,02 133,84 2582,77 299,70
A: fisura en zona central; B: fisura en zona reforzada con TRM.

* El espécimen no alcanzó un desplazamiento vertical en el punto de aplicación de la carga de L/150.

Tabla 4.4 Tenacidad a flexión de las vigas V. Valores absolutos e incrementos porcentuales respecto la viga de control.

De acuerdo con la Figura 4.9 y la Tabla 4.4, se puede observar que los especímenes reforzados con TRM desarrollaron niveles de energía absorbida superiores a la viga de control. Las vigas reforzadas con tejidos de PBO fueron las que lograron una mayor tenacidad a flexión, con un incremento medio respecto la viga de control del 139% para deflexiones de L/150 y del 306% para deflexiones de L/100 (Tabla 4.4). Este hecho se explica debido a que las fibras de PBO son las que presentan los mayores valores de módulo de deformación longitudinal y alargamiento último. Por otro lado, los especímenes reforzados con tejidos de carbono obtuvieron los niveles más bajos de tenacidad a flexión, con un incremento medio respecto el espécimen sin reforzar del 111% y 214% para L/150 y L/100, respectivamente (Tabla 4.4).

A pesar que las fibras de basalto y las fibras de vidrio presentan un módulo de Young sensiblemente inferior a las de carbono, los valores de tenacidad a flexión obtenidos por los especímenes V-BR3-01 y V-VPHDM-02 fueron superiores a los de sus equivalentes con refuerzos CXM25 (Figura 4.9 y Tabla 4.4). Estos resultados demuestran que la adherencia entre el tejido y la matriz es un factor importante para la determinación de la tenacidad a flexión y la ductilidad de la rotura de los especímenes reforzados con TRM.

4.4.3. Análisis de la adherencia

En el presente trabajo, se aplicó una metodología novedosa para el estudio de la adherencia de los refuerzos a cortante de TRM respecto de los sustratos de hormigón. Se obtuvieron los estados deformacionales de dos puntos de las vigas situados en el refuerzo, fuera del ámbito de fisuración, mediante la instalación de dos rosetas formadas por tres galgas extensométricas, una orientada paralela al eje longitudinal de la viga y las otras dos galgas orientadas a ±45° (Figura 4.3). Del estado de deformaciones del punto situado en la zona 2, se compararon las deformaciones a cortante reales del TRM (γxy-TRM) y las deformaciones a cortante teóricas resultantes del cálculo del equilibrio de esfuerzos, además de suponer que las vigas estaban constituidas por un material lineal isótropo (γxy-EQ).

De acuerdo al esquema de distribución de las galgas mostrado en la Figura 4.10, las deformaciones que definen el tensor deformación en el plano xy se pueden obtener de la siguiente manera (Ec. 4.3 - Ec. 4.5):

Draft Samper 184616083-image46.png

Figura 4.10 Distribución de las galgas en una configuración de pseudo-roseta.
4.3
4.4
4.5

Donde εa, εb y εc son las deformaciones proporcionadas por las galgas de la pseudo-roseta, según la configuración descrita en la Figura 4.10, εx y εy son las deformaciones lineales correspondientes a los ejes x y y, respectivamente, y γxy es la deformación por cortante.

Restando la Ec. 4.3 de la Ec. 4.5, se obtiene la distorsión angular en función de un determinado estado deformacional de las pseudo-rosetas, i.e. la deformación a cortante referida al refuerzo (γxy-TRM) (Ec. 4.6). Cabe destacar que las deformaciones asociadas a tensiones de tracción se trataron como valores positivos, y las asociadas a tensiones de compresión como valores negativos.

4.6

En cuanto a la deformación a cortante teórica de las vigas (γxy-EQ), esta se obtuvo de acuerdo a los teoremas de flexión de vigas de Timoshenko y la ley de Hooke para cortante (Ec. 4.7):

4.7

Donde τxy representan las tensiones tangenciales y Gc es el módulo de elasticidad transversal del hormigón, que suponiendo un material isótropo lineal, se obtiene de la siguiente forma (Ec. 4.8):

4.8

Donde Ec es el módulo de elasticidad longitudinal del hormigón (consultar apartado A.2.4 del Anexo A) y ν es el coeficiente de Poisson, que en el caso concreto de hormigón no fisurado, toma por valor 0,2.

Analizando una sección cualquiera, la relación entre las tensiones tangenciales (τxy) y el esfuerzo cortante (Vy) viene determinada por el teorema de Collignon-Jourawski (Ec. 4.9), según las variables y los ejes locales definidos en la Figura 4.11:

Draft Samper 184616083-image47.png

Figura 4.11 Tensiones tangenciales en una viga: a) definición de los ejes locales, b) análisis de una sección transversal, c) distribución de tensiones en una sección.
4.9

Donde my es el primer momento de área parcial, Iz es el momento de inercia de la sección y tz es el ancho que tiene la sección en el punto analizado. En el caso particular de una viga de sección rectangular, la variable tz se define como el ancho de la sección b y la Ec. 4.9 se puede reescribir de la siguiente forma (Ec. 4.10):

4.10

Donde y1 es la distancia vertical entre el centro de inercia y el punto analizado, y h es la altura total de la sección.

Por último, el esfuerzo cortante desarrollado en la zona 2 de las vigas ensayadas (Vy,zona2) se puede obtener por el equilibrio de fuerzas en los especímenes. Simplificando la Ec. 4.1 se obtiene la siguiente expresión (Ec. 4.11):

4.11

Donde F es la carga aplicada en cada instante, L es la distancia entre soportes y d1 es la longitud del tramo a cortante de la zona 1, que en el caso particular de las vigas V toma por valor 700mm.

Sustituyendo las Ec. 4.8, Ec. 4.10 y Ec 4.11 en la Ec. 4.7 se obtiene la relación entre la deformación a cortante teórica resultantes del cálculo del equilibrio de esfuerzos (γxy-EQ) y la carga aplicada Ec. 4.12:

4.12

La Figura 4.12 muestra la relación entre la carga aplicada y las deformaciones a cortante del refuerzo TRM (γxy-TRM) y las teóricas resultantes del cálculo del equilibrio de esfuerzos (γxy-EQ).

Draft Samper 184616083-image48.png

Figura 4.12 Deformación a cortante real en el refuerzo (γxy-TRM) y deformación a cortante teórica (γxy-EQ) respecto la carga aplicada: a) BR3, b) CXM25, c) PXM750, d) VPHDM.

Para realizar la comparación con la viga de control, en cada uno de los gráficos se ha añadido las curvas de incremento de deformación a cortante real (γxy-SG) y teórica (γxy-EQ) del espécimen V-CONTROL. A modo de comprobación del método, se puede observar como ambas curvas de la viga sin reforzar presentaron un comportamiento similar en etapas previas a la fisuración del espécimen. Una vez superada esta fase, el punto analizado de la viga sufrió un decremento de la deformación real producido por la apertura de las fisuras de cortante, comportamiento diferenciado de la curva teórica cuya tendencia es lineal hasta rotura. De esta forma se demuestra que el método diseñado para la comparación de la adherencia del TRM resulta válido para fases previas a la fisuración.

Analizando los resultados de los especímenes reforzados, se puede observar que los materiales compuestos con tejidos de vidrio y con tejidos de basalto son los que presentaron un mejor comportamiento adherente (Figura 4.12a y Figura 4.12d). En cuanto a los especímenes reforzados con tejidos de carbono, estos muestran una elevada dispersión de comportamiento (Figura 4.12b), hecho que va en concordancia con la dispersión de los resultados de la contribución a la resistencia a cortante y de tenacidad a flexión obtenidos. De la misma forma, pero con una menor dispersión, los refuerzos con tejidos PBO (Figura 4.12c) presentaron una deformación por cortante del TRM significativamente inferior que la deformación por cortante teórica de la viga.

Relacionando los resultados con las propiedades de los morteros, se puede afirmar que los refuerzos cuyas matrices presentan una resistencia a adherencia superior (Tabla A.7 – Tabla A.10 del apartado A.4.2 del Anexo A) desarrollan comportamientos mecánicos más eficaces en términos de activación del tejido. Por consiguiente, se puede afirmar que en algunos refuerzos, ya desde etapas iniciales de aplicación de carga, no existió una adherencia completa entre el refuerzo y el sustrato de hormigón y/o entre el tejido y la matriz de mortero.

Capítulo 5. Estudio analítico de vigas de HA reforzadas a cortante con TRM

5.1. Introducción

No fue hasta finales de 2013 cuando apareció la primera versión de guía de diseño de refuerzos externos de TRM adheridos a estructuras de hormigón armado, ACI 549.4R-13 [83], donde queda contemplado el cálculo de la capacidad resistente a cortante de vigas reforzadas a cortante con este tipo de material compuesto. Hasta la fecha, diferentes autores propusieron modelos analíticos [56,59,60] basados en las normativas de referencia para el cálculo de la capacidad resistente a cortante de vigas reforzadas con FRP, i.e. los códigos fib-Bulletin 14 [15] y ACI 440.2R-08 [19]. La presente investigación incluye un estudio sobre la precisión que ofrecen los diferentes modelos analíticos existentes, adaptando las formulaciones desarrolladas para el cálculo de estructuras reforzadas a cortante con FRP al caso de refuerzos de matriz cementítica [15,19] o bien aplicando la formulación específica para refuerzos TRM [83].

La segunda parte del presente estudio se lleva a cabo una propuesta analítica para el cálculo de la resistencia a cortante proporcionada por los refuerzos basada en la deformación eficaz del TRM (εfe,TRM). Para la determinación de este parámetro se propone una formulación basada en los resultados experimentales obtenidos en el presente trabajo y en otras investigaciones similares.

5.2. Contribución a cortante del TRM según los códigos existentes

La primera parte del estudio consiste en evaluar la capacidad predictiva de los modelos actuales en referencia a la contribución a cortante que proporciona el refuerzo TRM al conjunto estructural. Se realiza una descripción de la formulación incluida en los códigos estudiados y se indican las particularidades tenidas en cuenta para (1) adaptar las propiedades del TRM a los códigos específicos de cálculo de FRP y (2) desarrollar una metodología que permita comparar los resultados entre sí. Por último, se evalúan las predicciones de la capacidad resistente a cortante de los especímenes ensayados y se comparan con los resultados experimentales obtenidos.

5.2.1. Códigos estudiados

Los siguientes subapartados describen las metodologías de cálculo de los códigos de diseño para refuerzos a cortante con TRM y FRP.

5.2.1.1. Modelo fib-Bulletin 14

El modelo propuesto por fib-Bulletin 14 [15] es aplicable a vigas de hormigón armado reforzadas externamente con FRP. Este modelo está basado en la asunción que los diferentes elementos resistentes que componen la viga contribuyen de manera independiente a la capacidad última a cortante del espécimen (VR) (Ec. 5.1):

5.1

Donde Vc, VS y Vf son las contribuciones a la resistencia a cortante del hormigón, del armado transversal y del refuerzo FRP, respectivamente. La resistencia a cortante que ofrece el FRP (Vf,fib14) según este código se define en (Ec. 5.2):

5.2

Donde εf,e es la deformación eficaz del FRP en la dirección principal del refuerzo, Efu es el módulo de elasticidad longitudinal del FRP, ρf es la cuantía de refuerzo, bw y d son el ancho y el canto útil de la de la sección de la viga de hormigón, α y θ son los ángulos que forman la dirección principal de las fibras y la fisura diagonal respecto el eje longitudinal de la viga, respectivamente.

La deformación eficaz en la dirección principal del refuerzo εf,e es, generalmente, inferior a la deformación última εfu y adopta diferentes expresiones en función del modo de fallo del refuerzo, el tipo de fibra que constituye el FRP y la configuración de refuerzo utilizada [28,30].

5.2.1.2. Modelo ACI 440.2R-08

El modelo propuesto por ACI 440.2R-08 [19] define la resistencia nominal a cortante del elemento estructural como la suma de las contribuciones de los diferentes elementos resistentes (Ec. 5.1). En este caso, la contribución del FRP a la resistencia a cortante (Vf,ACI440) se determina según (Ec. 5.3):

5.3

Donde Afv es área de FRP a cortante, εf,e es la deformación eficaz del FRP en la dirección principal del refuerzo, Efu es el módulo de elasticidad longitudinal del FRP, dfv es la altura útil del refuerzo, sf es la separación entre laminados (en caso de refuerzo continuo, este parámetro equivale al ancho del refuerzo y no tiene influencia en el desarrollo de la formulación) y α es el ángulo que forma la orientación principal de las fibras respecto el eje longitudinal de la viga.

La deformación eficaz en la dirección principal del refuerzo εf,e es un parámetro que depende principalmente de la disposición del refuerzo aplicado, i.e. encamisado completo, configuración en U o pegado lateral. En el caso de las dos últimas configuraciones, la deformación eficaz εf,e se obtiene reduciendo el valor de la deformación última εfu, mediante el coeficiente de adherencia para el esfuerzo cortante κv que depende principalmente de variables geométricas y propiedades mecánicas del hormigón y del FRP.

5.2.1.3. Modelo ACI 549.4R-13

ACI 549.4R-13 [83] es el primer modelo que trata estructuras de hormigón armado reforzadas externamente con materiales compuestos de matriz cementítica. La resistencia nominal a cortante del elemento resistente sigue la misma expresión que la definida en la Ec. 5.1, adoptando la contribución del refuerzo TRM a la resistencia a cortante (Vf,ACI549) la siguiente expresión (Ec. 5.4):

5.4

Donde n es el número de capas aplicadas de tejido en el refuerzo, Af es área de tejido por unidad de anchura efectiva, εfv es la deformación a cortante del TRM que, en el caso de estudio se considera equivalente a la deformación última del TRM (εfu,TRM), dejando sin aplicación la limitación de 0,004, Ef es el módulo de elasticidad longitudinal del TRM, considerando la matriz fisurada, y dfv es la altura útil del refuerzo.

A diferencia de los dos modelos anteriores, el presente código plantea un desarrollo analítico utilizando las propiedades mecánicas del refuerzo TRM en su conjunto. Este hecho, a priori lógico y adecuado, presenta severas dificultades en el cálculo debido a que la mayoría de fabricantes no proporcionan las propiedades mecánicas del material compuesto, sino las propiedades mecánicas de las fibras que componen el tejido. Para paliar este hecho, el código hace un compendio de propiedades mecánicas de dos tipologías de refuerzo TRM.

Este enfoque analítico también presenta dificultades cuando los componentes del TRM aplicado provienen de fabricantes diferentes. En este caso, la predicción de la capacidad resistente del refuerzo requiere de la realización de ensayos de caracterización del material. Este hecho dificulta significativamente el proceso de diseño del refuerzo debido a que en la actualidad no existen criterios unitarios y estandarizados para la obtención de las propiedades mecánicas del TRM.

Finalmente, el modelo ACI 549.4R-13 [83] contempla la contribución de los cordones secundarios del tejido a la resistencia a cortante del refuerzo en caso de mallas bidireccionales. En el presente estudio sólo se ha tenido en cuenta la contribución de los cordones dispuestos de forma perpendicular al eje de la viga con el objetivo de obtener unos resultados directamente comparables con los demás códigos de diseño.

5.2.2. Particularidades del análisis

Con el objetivo de adaptar las formulaciones propuestas por los códigos fib-Bulletin 14 [15] y ACI 440.2R-08 [19] al cálculo de la resistencia a cortante que proporcionan los refuerzos de TRM, se han realizado las siguientes hipótesis:

  • En ambos casos se utilizan las expresiones de la deformación eficaz εf,e derivadas de la configuración de refuerzo en U.
  • En el caso del código fib-Bulletin 14 [15] se utiliza la expresión de la deformación eficaz εf,e para refuerzos CFRP (Carbon Fiber-Reinforced Polymer), teniendo en cuenta un modo de fallo del espécimen por rotura del refuerzo y descartando la expresión ofrecida para colapsos debidos al despegue del refuerzo.
  • Se considera una distribución continua equivalente de las fibras del tejido en el ancho del refuerzo.
  • Se consideran las propiedades mecánicas de las fibras (Efib y εfib,u) proporcionadas por los fabricantes (ver Tabla A.18 – Tabla A.21 del apartado A.5.1 del Anexo A).

En el caso del análisis según el código ACI 549.4R-13 [83] se han realizado dos tipos de predicciones. En una de ellas, la predicción de la contribución a cortante del refuerzo (Vf,ACI549-1) se ha realizado utilizando las propiedades mecánicas del TRM obtenidas de la campaña experimental de caracterización llevada a cabo en el presente trabajo (Tabla 5.1). En segunda predicción realizada con este código (Vf,ACI549-2), se han utilizado características mecánicas obtenidas en estudios similares o proporcionadas por los fabricantes (Tabla 5.2).

BR3 CXM25 PXM750 VPHDM
Módulo de Young del TRM fisurado Ef (GPa) 37 48 57 38
Alargamiento último del TRM εfu(%) 1,06 1,06 3,04 0,66

Tabla 5.1 Propiedades mecánicas del TRM utilizadas para calcular la contribución del refuerzo a cortante Vf,ACI549-1.
BR3 a CXM25 b PXM750 b VPHDM c
Módulo de Young del TRM fisurado Ef (GPa) 48 80 128 90
Alargamiento último del TRM εfu(%) 1,65 1,00 1,76 1,19
a Larrinaga [95]

b Arboleda [99]

c Proporcionado por el fabricante.

Tabla 5.2 Propiedades mecánicas del TRM utilizadas para calcular la contribución del refuerzo a cortante Vf,ACI549-2.

La contribución a la resistencia a cortante experimental de los refuerzos de TRM estudiados (Vf,exp,j,i) se ha obtenido descontando del cortante último desarrollado por las vigas reforzadas con un determinado tipo de TRM (Vu,exp,i) (ver Tabla 4.3 incluida en Capítulo 4), la resistencia a cortante del hormigón, obtenida según la normativa Eurocódigo 2 [100] (Vc,EC2) o la normativa ACI 318 [103] (Vc,ACI318). En el caso de existir dos repeticiones de la misma combinación de refuerzo, los resultados mostrados son la media de ambos (Ec. 5.5 y Ec. 5.6).

5.5
5.6

Donde ni es el número de repeticiones para cada tipo de refuerzo TRM ensayado y i corresponde a cada uno de los tipos de refuerzos TRM utilizados. Cabe destacar que, aquellos especímenes que desarrollaron un modo de fallo A, los valores experimentales de la resistencia a cortante del refuerzo representan un umbral inferior debido a que la rotura no se produjo en la zona reforzada con TRM.

5.2.3. Resultados y comparación

La Figura 5.1 muestra las diferentes contribuciones del TRM a la resistencia a cortante. La Tabla 5.3 resume los errores relativos entre las contribuciones experimentales del TRM Vf,exp,i (definidas como el valor promedio de Vf,exp,EC2,i y Vf,exp,ACI318,i) y las predicciones analíticas de acuerdo a las consideraciones descritas con anterioridad.

Antes de realizar el análisis comparativo de las capacidades predictivas según los diferentes códigos analizados, es importante apuntar que las contribuciones a cortante experimental de los refuerzos calculadas de acuerdo la resistencia a cortante del hormigón según Eurocódigo 2 [100] (Vf,exp,EC2,i) fueron entre un 7,5% y un 9,5% superiores a las análogas calculadas con la resistencia a cortante del hormigón según ACI 318 [103] (Vf,exp,ACI318,i) (Figura 5.1). Esta diferencia no se muestra relevante, de acuerdo a los resultados obtenidos en el siguiente análisis comparativo.

Draft Samper 184616083-image49.png

Figura 5.1 Contribución a la resistencia a cortante experimental y analítica de los refuerzos: a) BR3, b) CXM25, c) PXM750 y d) VPHDM.
BR3 CXM25 PXM750 VPHDM
ε(Vf,exp - Vf,fib14) (%) 195,07 192,10 238,75 66,09
ε(Vf,exp - Vf,ACI440) (%) 50,86 33,49 11,65 77,47
ε(Vf,exp - Vf,ACI549-1) (%) 79,60 75,23 37,51 90,86
ε(Vf,exp - Vf,ACI549-2) (%) 58,58 61,28 18,30 61,18

Tabla 5.3 Errores relativos entre los resultados experimentales y las predicciones analíticas de la contribución a la resistencia a cortante proporcionada por los refuerzos TRM (valores absolutos).

Tal y como se puede observar en la Figura 5.1, la tendencia general es que las contribuciones resistentes a cortante de los refuerzos obtenidas según el modelo fib-Bulletin 14 [15] sean significativamente superiores a las obtenidas experimentalmente.

Por el contrario, ambos resultados obtenidos según ACI 549.4R-13 [83] (Vf,ACI549-1 y Vf,ACI549-2) muestran un comportamiento conservador en todos los casos. Este hecho puede estar altamente influenciado por la indefinición en los procedimientos y métodos para determinar las características mecánicas del TRM y la dispersión de los resultados obtenidos hasta la fecha en investigaciones llevadas a término.

Analizando individualmente las diferentes combinaciones de TRM, en el caso del refuerzo con tejido de basalto (Figura 5.1a), el valor obtenido con fib-Bulletin 14 [15] excede en un 195% al resultado experimental (Tabla 5.3). En cambio, los resultados obtenidos con este tipo de tejido según ACI 440.2R-08 [19] y ACI 549.4R-13 [83] resultan conservadores. Esta tendencia es similar a la que reflejan los resultados obtenidos con tejidos de fibras de vidrio (Figura 5.1d), siendo el valor de ACI 440.2R-08 [19] relevantemente conservador.

En la Figura 5.1b se muestran los resultados obtenidos con el refuerzo de fibra de carbono. En este caso, los valores obtenidos según ACI 549.4R-13 [83] resultan conservadores respecto al obtenido con ACI 440.2R-08 [19], que muestra un buen ajuste a los resultados experimentales.

Por último cabe destacar que la mejor estimación de resultados obtenidos por ambos códigos ACI se refleja en los tejidos con fibras de PBO (Figura 5.1c). En cambio, la predicción que realiza el código fib-Bulletin 14 [15] se aleja significativamente de los resultados experimentales, siendo tres veces superior a los resultados obtenidos experimentalmente (Tabla 5.3).

5.3. Modelo analítico propuesto

En la segunda parte del presente estudio analítico se propone un modelo de cálculo de la contribución a cortante del TRM basado en los resultados experimentales obtenidos en el presente estudio y en estudios similares de otros autores [55,56,59]. Este modelo complementa la metodología propuesta por Triantafillou y Papanicolaou [56], adaptando la expresión de la deformación eficaz de las fibras distribuidas en la dirección principal de la malla εfe,TRM para el caso de estudio.

5.3.1. Procedimiento

Debido a la escasez de información disponible sobre las propiedades mecánicas y las metodologías de caracterización del TRM, el desarrollo analítico propuesto basa sus principios en los resultados experimentales obtenidos en ensayos de vigas reforzadas a cortante con este material y en las propiedades mecánicas de las fibras que componen los tejidos de cada uno de los refuerzos.

De esta forma, suponiendo la ejecución del refuerzo según las metodologías que permiten evitar el fallo por despegue [52] y teniendo en cuenta únicamente la contribución de las fibras dispuestas de forma perpendicular al eje de la viga, la contribución a la resistencia a cortante proporcionada por el TRM adherido a la estructura de hormigón (Vf) se puede determinar según (Ec. 5.7):

5.7

Donde n es el número de capas aplicadas de tejido en el refuerzo, εfe,TRM es la deformación eficaz del TRM teniendo en cuanta solo las fibras distribuidas en la dirección principal de la malla, Efib es el módulo de elasticidad longitudinal de las fibras del tejido, ttex es el espesor equivalente del tejido, dfv es la altura útil del refuerzo y, α y θ son los ángulos que forman la orientación principal de las fibras y la fisura diagonal respecto el eje longitudinal de la viga, respectivamente.

El espesor equivalente del tejido (ttex) es un parámetro que usualmente proporcionan los fabricantes. Este parámetro relaciona el espesor de la malla con la distribución geométrica de las fibras y se puede calcular de la siguiente manera según la ecuación Ec. 5.8.

5.8

Para calcular la deformación eficaz del TRM (εfe,TRM), se propone y se ajusta una nueva ley potencial basada en las investigaciones llevadas a término por Triantafillou and Antonopoulus [30] en refuerzos a cortante con FRP (Ec. 5.9):

5.9

Donde fcm es la resistencia media a compresión del hormigón, Efib y εfib,u son el módulo de elasticidad longitudinal y la deformación última de las fibras del tejido, respectivamente, y ρtex es la cuantía del tejido resistente, calculada según (Ec. 5.10):

5.10

Donde bw es el ancho de la sección transversal de hormigón.

5.3.2. Resultados y discusión

Con el objetivo de determinar los parámetros A y B de la Ec. 5.9, se amplían el número de muestras del estudio, recogiendo los resultados obtenidos por Triantafillou y Papanicolaou [56], Blanksvärd et al. [59] y Al-Salloum et al. [55] en investigaciones donde los especímenes evitaron el fallo por despegue del TRM. La Tabla 5.4 muestra un resumen de los datos utilizados para el desarrollo analítico de la cuestión. La contribución a la resistencia a cortante proporcionada por el refuerzo (Vf,exp) se ha obtenido descontando del cortante último desarrollado, la resistencia a cortante del hormigón obtenida según la normativa Eurocódigo 2 [100], de acuerdo a la ecuación Ec. 5.5. Cabe destacar que se ha considerado un ángulo de fisura diagonal respecto el eje longitudinal de las vigas (θ) igual a 45º en aquellos casos donde no estaba especificado. La deformación eficaz del TRM (εfe,TRM) se ha obtenido utilizando los datos experimentales necesarios, aislando esta variable de la Ec. 5.7.

Espécimen Tejido* Tipo de refuerzo Vf,exp

(kN)

εfib,u

(%)

Efib

(GPa)

n ttex

(mm)

dfv

(mm)

α

(°)

θ

(°)

εfe,TRM

(%)

fcm

(MPa)

bw

(mm)

V-BR3-01 B U 25,24 3,15 95 1 0,0530 239 90 44 1,01 33,78 300
V-CXM25-01 C U 29,63 1,80 240 1 0,0470 239 90 38 0,43 33,78 300
V-CXM25-02 C U 18,91 1,80 240 1 0,0470 239 90 56 0,52 34,07 300
V-PXM750-01 P U 27,34 2,15 270 1 0,0455 239 90 42 0,42 34,07 300
V-PXM750-02 P U 34,67 2,15 270 1 0,0455 239 90 40 0,50 34,07 300
V-VPHDM-02 V U 28,78 2,90 90 1 0,0420 239 90 46 1,65 34,07 300
M1(1) C E 46,98 1,49 225 1 0,0470 244,8 90 45 0,91 30,50 150
M2(1) C E 68,83 1,49 225 2 0,0470 244,8 90 45 0,66 30,50 150
M2s(1) C E 65,78 1,49 225 2 0,0470 244,8 80 45 0,56 30,50 150
C40s0-M2-G1(2) C L 78,27 1,50 234 1 0,0245 381,6 90 34 1,21 55,70 180
C40s0-M2-G2a(2) C L 115,07 1,50 234 1 0,0459 381,6 90 36 1,02 55,70 180
C40s0-M2-G2b(2) C L 112,07 1,50 234 1 0,0459 381,6 90 32 0,85 55,70 180
C40s0-M3-G2(2) C L 105,27 1,50 234 1 0,0459 381,6 90 34 0,87 55,70 180
C40s0-M2-G2(2) C L 122,07 1,50 234 1 0,0459 381,6 90 34 1,00 55,70 180
C40s0-M2-G3(2) C L 76,57 1,50 234 1 0,0330 381,6 90 31 0,78 55,70 180
C40s0-M1-G3(2) C L 50,27 1,50 234 1 0,0330 381,6 90 31 0,51 55,70 180
BS2(3) B L 15,53 1,95 31,94 2 0,0640 148,5 90 45 1,28 20,00 150
BS3(3) B L 15,96 1,95 31,94 2 0,0640 148,5 45 45 1,31 20,00 150
BS4(3) B L 18,57 1,95 31,94 4 0,0640 148,5 90 45 0,76 20,00 150
BS5(3) B L 20,47 1,95 31,94 4 0,0640 148,5 45 45 0,84 20,00 150
BS6(3) B L 15,89 1,95 31,94 2 0,0640 148,5 90 45 1,31 20,00 150
BS7(3) B L 15,89 1,95 31,94 2 0,0640 148,5 45 45 1,31 20,00 150
BS8(3) B L 22,33 1,95 31,94 4 0,0640 148,5 90 45 0,92 20,00 150
BS9(3) B L 31,25 1,95 31,94 4 0,0640 148,5 45 45 1,29 20,00 150
(1)Triantafillou y Papanicolaou [56].

(2)Blanksvärd et al. [59].

(3)Al-Salloum et al. [55].

* B=Basalto; C=Carbono; P=PBO; V=Vidrio.

E=Encamisado completo; U=Encamisado parcial tipo U; L=Pegado lateral.

Tabla 5.4 Resultados experimentales utilizados para la propuesta de modelo analítico de contribución a cortante del TRM.

La Figura 5.2 muestra los resultados experimentales incluidos en la Tabla 5.4, representando la deformación normalizada del TRM frente el término . En esta figura se incorporan dos curvas de comportamiento basadas en la Ec. 5.9, una para configuraciones de refuerzo tipo encamisado completo (Curva propuesta E) y la otra para configuraciones de pegado lateral o tipo U (Curva propuesta U y L). Los coeficientes A y B de la ley potencial utilizados para la construcción de las mismas se muestran en la Tabla 5.5.

Draft Samper 184616083-image50.png

Figura 5.2 Deformación normalizada εfe,TRMfib,u respecto el parámetro Efibρtex/fcm(2/3).
Configuración de refuerzo A B
Encamisado completo (E)


0,035 0,65
Pegado lateral (L) o configuración en U (U)


0,020 0,55

Tabla 5.5 Valores de A y B en función del tipo de configuración de refuerzo.

Finalmente, con los datos experimentales recopilados hasta la fecha, las expresiones propuestas para las deformaciones eficaces del TRM cuando actúa como refuerzo a cortante (εfe,TRM) en función de la configuración de refuerzo y en el caso de no sufrir fallo por despegue se muestran a continuación (Ec. 5.11 y Ec. 5.12):

  • Encamisado completo:
5.11
  • Pegado lateral o configuración en U:
5.12

Notar que en todas las ecuaciones y figuras mostradas, Efib y fcm están en GPa y MPa, respectivamente.

Observando la Figura 5.2, se puede afirmar que la curva propuesta para refuerzos con aplicaciones de pegado lateral o en U muestra un comportamiento conservador en relación a los resultados obtenidos por Blanksvärd et al. [59] y Al-Salloum et al. [55] referentes a vigas reforzadas lateralmente con tejidos de fibras de carbono y de basalto, respectivamente. En cambio, la curva excede las prestaciones desarrolladas por las vigas reforzadas con una configuración en U debido a que, en la mayoría de los casos, los resultados obtenidos constituyeron un umbral inferior de la aportación a la resistencia a cortante proporcionada por el TRM.

En el caso de las vigas donde el TRM se aplicó mediante encamisado completo, la curva propuesta se ajusta perfectamente a los resultados obtenidos, aunque el número de ensayos realizados es escaso y solo con un tipo de TRM utilizado.

Las expresiones que definen las curvas descritas anteriormente pueden estar sujetas a modificaciones en el futuro, cuando más resultados experimentales estén disponibles.


Capítulo 6. Conclusiones y futuras investigaciones

6.1. Introducción

El trabajo realizado se ha centrado en investigar experimentalmente y analíticamente el TRM como refuerzo externo de vigas de hormigón armado. De forma concreta, los estudios desarrollados han servido para ampliar el conocimiento en el campo de las vigas de hormigón armado reforzadas a cortante, utilizando como refuerzo este tipo de material compuesto.

El presente capítulo resume las principales conclusiones obtenidas de los diferentes estudios experimentales y analíticos realizados.

Además, se proponen futuras líneas de investigación que permitan seguir avanzando en el conocimiento de la materia.

6.2. Conclusiones

Actualmente, existen en el mercado numerosas opciones que permiten aplicar refuerzos de matriz cementítica en estructuras en servicio. A pesar de ello, el conocimiento relativo a las propiedades del material, así como del comportamiento mecánico de las estructuras de hormigón armado reforzadas con TRM es, más bien, escaso.

En la investigación llevada a término, se ha estudiado y comparado el comportamiento de diferentes tipos de TRM, tanto a nivel de caracterización de sus propiedades mecánicas, como relativo a refuerzo estructural a cortante de vigas de hormigón armado.

A continuación se exponen las principales conclusiones extraídas de los diferentes capítulos del presente trabajo.

6.2.1. Conclusiones sobre el estado del arte

De acuerdo a la revisión bibliográfica realizada, es razonable afirmar que la aparición del TRM fue debido a la conjunción de dos necesidades. La primera de ellas está relacionada con la tendencia, cada vez más instaurada, de aplicar criterios de sostenibilidad y economía verde en edificios existentes que están sujetos a un cambio de uso o cuyas estructuras han reducido su capacidad portante debido a patologías o al deterioro sujeto al paso del tiempo. La segunda, no menos importante, es la necesidad de aplicar nuevas tecnologías de refuerzo del hormigón armado que atenúen los inconvenientes que presentan las técnicas tradicionales (recrecidos, refuerzos con elementos de acero adherido o postesado) o las de aparición más reciente provenientes de la industria militar y aeronáutica, es decir, el FRP.

La gran mayoría de los investigadores consultados consideran que el TRM es una evolución tecnológica directa del FRP. Aunque ambos materiales compuestos emplean fibras cuyos materiales poseen una elevada resistencia a tracción, en el caso del TRM, el uso de matrices de base cementítica minimiza los problemas que presenta el FRP derivados de la utilización de resinas: comportamiento no deseado a temperaturas por encima de la temperatura de transición vítrea, alto coste relativo, incompatibilidad con sustratos inorgánicos, riesgo para la salud de los operarios, entre otros.

Por otro lado, el TRM también puede considerarse la evolución de algunas técnicas constructivas al campo de los refuerzos adheridos externamente. Tecnologías como el ferrocemento o el TRC, orientadas a la construcción de elementos estructurales auto-portantes, basan sus principios de ejecución en componentes similares a los del TRM: mallas resistentes de cordones de acero o tejidos de fibras embebidas en una matriz cementítica (hormigón o mortero).

A pesar que el TRM se diseñó específicamente para el refuerzo de estructuras de hormigón, su auge como tecnología de refuerzo a principios del siglo XXI estuvo vinculado a su aplicación en elementos de mampostería. Este hecho ha propiciado que gran parte de los productos existentes en el mercado estén especialmente pensados para la aplicación en obra de fábrica.

No fue hasta finales de la primera década del siglo XXI que se retomó el interés activo en el estudio de la aplicación del TRM en estructuras de hormigón armado, especialmente como refuerzo a cortante de vigas. Las investigaciones realizadas hasta la fecha muestran como este tipo de refuerzo ofrece unas prometedoras prestaciones respecto al incremento de la capacidad portante de las estructuras. No obstante, el número de estudios en los que se comparan el comportamiento de varios tipos de TRM son escasos.

En cuanto a los estudios analíticos de la cuestión, se puede considerar que se encuentran en una fase embrionaria debido a la falta de un mayor número de resultados experimentales que los sostengan. La mayoría de estudios consultados optaron por adaptar las formulaciones de los diferentes modelos que existen para el cálculo de los refuerzos FRP, limitando la capacidad resistente del refuerzo, ya sea mediante la utilización de coeficientes reductores o proponiendo deformaciones eficaces del TRM.

A causa de la dificultad de caracterizar el comportamiento global del material compuesto (matriz y tejido), algunos autores optaron por relacionar directamente las características mecánicas de las fibras con el comportamiento del refuerzo. A falta de determinar un método estandarizado de determinación de las características mecánicas del TRM, esta aproximación de diseño parece adecuada.

6.2.2. Conclusiones sobre la caracterización de los materiales

Todos los materiales utilizados en el presente trabajo representan productos comerciales caracterizados por las empresas fabricantes. A pesar de ello, con el objetivo de realizar una comparación crítica con los valores proporcionados por los fabricantes y los obtenidos por otros autores en investigaciones similares, y desarrollar metodologías analíticas ajustadas a la realidad, en el presente trabajo se han realizado ensayos de caracterización de todos los materiales resistentes utilizados. Por consiguiente, se han obtenido las características mecánicas de los hormigones, acero, morteros y tejidos utilizados. Además se han llevado a cabo ensayos experimentales de probetas constituidas por los diferentes tipos de TRM utilizados como refuerzo. Los resultados obtenidos se han utilizado para explicar el comportamiento de las vigas de HA reforzadas y/o para ampliar la base de datos experimental disponible para futuras investigaciones. Las principales conclusiones se detallan a continuación:

6.2.2.1. Hormigón

Se han determinado las características mecánicas de tres hormigones utilizados para ejecutar las vigas de HA reforzadas a cortante con TRM. Referente a las resistencias a compresión medias obtenidas (fcm), el promedio de los valores experimentales fue un 9,2% inferior al de los resultados proporcionados por los fabricantes en ensayos a 28 días.

6.2.2.2. Barras corrugadas de acero

Se han determinado las características mecánicas de varias barras corrugadas utilizadas como refuerzo longitudinal de las vigas de HA reforzadas a cortante con TRM. Los valores de tensión de límite elástico fs,y y tensión última fs,u obtenidos experimentalmente mostraron una baja dispersión y fueron un 3,4% y 10% superiores, respectivamente, a los valores mínimos expuestos en la normativa EN-10080:2006 [91] para aceros tipo B 500 SD.

6.2.2.3. Morteros

Se han caracterizado los cuatro tipos de morteros, utilizados a posteriori como componentes del TRM en diferentes combinaciones de refuerzo. Se han realizado dos tipos de ensayos para determinar sus resistencias a flexión (fmx) y a compresión (fmc). Los valores obtenidos experimentalmente fueron, en general, superiores a los proporcionados por el fabricante, confirmando que las propiedades mecánicas de los morteros aumentan con la edad del material.

Solo en el caso del mortero XM25 se observó que el valor experimental de la resistencia a compresión fue significativamente inferior al proporcionado por la empresa suministradora. Este hecho puede ser debido a varios factores: preparación inadecuada de la mezcla, problemas en el curado de las probetas o ejecución incorrecta de los ensayos. A pesar de ello, se recomienda prestar atención a las propiedades de este mortero para evitar futuros problemas de integridad estructural derivados de la fase de diseño.

6.2.2.4. Tejidos

Se han determinado las curvas tensión-deformación de seis tejidos sometidos a ensayos de tracción directa. Las características mecánicas extraídas de las curvas resultaron ser inferiores a las proporcionadas por los fabricantes, probablemente debido a la elevada influencia que tiene la velocidad de carga del ensayo a tracción en la caracterización de tejidos [104]. En este sentido, es importante destacar que, a diferencia de lo especificado en la normativa ASTM D5034-09 (ver apartado A.5.3 del Anexo A), los ensayos se realizaron a una velocidad de carga baja, con el objetivo de ajustar la respuesta resistente del tejido a un comportamiento más cercano a la realidad.

Con el objetivo de valorar la viabilidad de la configuración del tejido, se define el coeficiente de eficiencia k, que relaciona la resistencia última del tejido (ftex,u) con la resistencia última a tracción de las fibras (ffib). Según los resultados obtenidos, los tejidos que mostraron el mejor comportamiento fueron los constituidos por alambres de acero (A12 y A4), seguidos por los de fibras de PBO (P). En cambio, los que ofrecieron peores resultados fueron los tejidos de fibras de carbono (C) y basalto (B).

6.2.2.5. TRM

Se han ensayado seis tipos de TRM diferentes, cada uno con su propia combinación de tejido y mortero. Derivado de la búsqueda bibliográfica se puede concluir que no existe ninguna normativa o criterio consensuado que especifique cómo realizar de forma estandarizada la caracterización de este tipo de material compuesto. En relación a ello, se determinó que diferentes variables pueden afectar al comportamiento del TRM sometido a tracción, e.g. la morfología y las dimensiones de la probeta ensayada, el tipo de fijación a la prensa de ensayos o la velocidad de carga.

En cuanto a los resultados, se constata que, de forma general, las propiedades mecánicas de los materiales TRM obtenidas según el tipo de ensayo propuesto fueron inferiores a las obtenidas por otros investigadores en trabajos similares ([95,99]).

Se evaluó el coeficiente de eficiencia k1 propuesto por Hegger y Voss [49], que relaciona las resistencias últimas a tracción del tejido (ftex,u) y del propio material compuesto (ffu). Los materiales PXM750 y VPHDM registraron valores dentro de los límites obtenidos por Hegger y Voss [49]. En el caso de los materiales TRM en los que se usaron tejidos de acero, estos valores fueron inferiores a los obtenidos en otras investigaciones. Este hecho estuvo relacionado con la limitada capacidad de la matriz de penetrar e impregnar la malla, siendo más acusado este fenómeno en el caso del tejido con mayor densidad de cordones. Por el contrario, los materiales BR3 y CXM25 alcanzaron valores de k1 superiores a 1, hecho que indica los resultados obtenidos de los ensayos de los correspondientes tejidos se vieron afectados por el deslizamiento de las fibras en la zona de la fijación con la mordaza.

6.2.3. Conclusiones sobre la campaña experimental de vigas de HA reforzadas a cortante con TRM

La segunda campaña experimental del bloque principal del presente trabajo ha consistido en analizar la respuesta estructural de vigas de hormigón armado reforzadas a cortante con diferentes tipos de TRM. Las principales conclusiones obtenidas del estudio se resumen a continuación:

  • Todos los tipos de TRM aplicados lograron incrementar la capacidad portante de las vigas y la energía absorbida durante el proceso de carga previa al colapso.
  • El TRM que ofreció mejores prestaciones fue el PXM750. Por el contrario, el refuerzo CXM25 el que proporcionó los niveles más bajos de contribución a la resistencia a cortante y tenacidad a flexión. Además, los especímenes reforzados con este refuerzo fueron los que mostraron mayor dispersión de resultados.
  • De los cuatro tipos de TRM estudiados, los refuerzos BR3, PXM750 y VPHDM lograron cambiar el modo de fallo de los especímenes en relación al desarrollado por la viga de control, alcanzando en todos los casos la plastificación por flexión. Este hecho implica un claro aumento en la seguridad estructural dado que estos refuerzos fueron capaces de evitar el colapso repentino a cortante.
  • El método presentado, que valora cualitativamente la adherencia del TRM respecto los sustratos donde se ha aplicado el refuerzo a cortante, se muestra competente para etapas previas a la fisuración. A nivel comparativo, los tipos de TRM que ofrecieron mejores comportamientos adherentes fueron los BR3 y VPHDM.
  • Los resultados obtenidos sugieren que la capacidad del TRM como refuerzo a cortante y el comportamiento global de la estructura reforzada se ven limitados por la falta de adherencia entre el tejido y la matriz y/o entre la matriz y el sustrato.
  • De acuerdo a los análisis realizados, se puede concluir que el TRM se muestra como una solución prometedora en cuanto a refuerzo a cortante de vigas de hormigón armado.

6.2.4. Conclusiones sobre el estudio analítico de vigas de HA reforzadas a cortante con TRM

El estudio analítico realizado relativo a vigas de HA reforzadas a cortante con TRM ha constado de dos partes diferenciadas. Inicialmente, se ha analizado las capacidades predictivas de diferentes modelos existentes, referentes a las técnicas de refuerzo con FRP y TRM. En la segunda parte del presente estudio se lleva a cabo una propuesta analítica para el cálculo de la resistencia a cortante proporcionada por los refuerzos basada en la deformación eficaz del TRM (εfe,TRM). Las conclusiones extraídas de ambos estudios se desarrollan a continuación:

  • Relativo a la parte del estudio que analiza la capacidad predictiva de los diferentes modelos existentes, se observa que, mientras las contribuciones a la resistencia a cortante de los diferentes tipos de TRM estudiados según fib-Bulletin 14 [15] sobrestiman extremadamente los resultados experimentales obtenidos, las predicciones realizadas con el modelo ACI 549.4R-13 [83] muestran una tendencia conservadora en todos los casos.
  • A pesar que ACI 440.2R-08 [19] es un código pensado para el diseño de vigas de hormigón reforzadas con FRP, este modelo es el que muestra la mejor capacidad de predicción de la contribución a la resistencia a cortante que ofrece el TRM.
  • En la segunda parte del estudio se ha propuesto una mejora del modelo analítico propuesto por Triantafillou y Papanicolaou [56] para el cálculo de la resistencia a cortante proporcionada por los refuerzos. Esta ampliación del modelo está fundamentada en la obtención de la deformación eficaz del TRM (εfe,TRM), según resultados experimentales obtenidos de los ensayos realizados en el presente trabajo y en investigaciones similares de otros autores [55,56,59].
  • El cálculo de este parámetro se realiza en función de la distribución geométrica de las fibras en los tejidos, las propiedades mecánicas de las fibras que componen cada uno de los refuerzos y la resistencia media a compresión del hormigón de la viga reforzada.
  • En función de la configuración de aplicación del refuerzo TRM, ((a) encamisado completo; (b) pegado lateral o configuración en U) se han propuesto dos leyes potenciales que definen el comportamiento de la deformación eficaz del TRM. Referente a ensayos de vigas de hormigón armado reforzadas a cortante con TRM en los que los especímenes no sufrieron un colapso por despegue del refuerzo, las curvas propuestas muestran un ajuste adecuado de los resultados experimentales obtenidos hasta la fecha.

6.3. Futuras investigaciones

La caracterización del comportamiento mecánico del TRM se ve directamente influenciada por varios aspectos (tipo de fibra, distribución geométrica de la malla, tipo de mortero y configuración del ensayo), que lo convierten en un problema multi-paramétrico. En este sentido, se prevén necesarias investigaciones con el objetivo de estandarizar una metodología que regule la obtención de las propiedades mecánicas de este tipo de material.

Con el objetivo de incrementar el conocimiento sobre los diferentes productos existentes en el mercado, es necesario realizar campañas experimentales más extensas que permitan estudiar la influencia en la respuesta estructural de variables como: el número de capas de tejido aplicadas, las longitudes de anclaje (en el caso de no disponer anclajes), configuraciones de refuerzo, morfología de las vigas de hormigón armado, calidad del hormigón y cuantía de armado.

Otro aspecto de especial importancia en el que se debe profundizar es en el estudio de los mecanismos de transmisión de tensiones entre la estructura existente de hormigón, la matriz de mortero y los tejidos resistentes. De acuerdo a lo expresado, la adherencia entre los tejidos resistentes y el mortero, así como los mecanismos de despegue del refuerzo son unos de los aspectos que ofrecen más incógnitas sobre el comportamiento de los diferentes tipos de TRM existentes.

En este sentido, con el objetivo garantizar la eficacia del refuerzo, es importante hacer hincapié en que la aparición en el mercado de materiales altamente resistentes (por ejemplo el PBO, cuya resistencia a tracción es de 5800MPa) debe estar acompañada por el desarrollo de matrices que sean capaces de generar mecanismos de transmisión de tensiones necesarios.

También resulta preciso desarrollar modelos analíticos más ambiciosos que ofrezcan a los proyectistas la suficiente confianza en el cálculo y el diseño del TRM. Estos modelos deben tender hacia un análisis global que permita el diseño abierto de los componentes, es decir, el uso de tejidos y matrices provenientes de diferentes fabricantes.

Por último, otra línea futura de investigación consiste establecer y desarrollar metodologías adecuadas para la simulación numérica de elementos de hormigón armado reforzados con TRM. En este sentido, la correcta simulación de la adherencia entre los diferentes elementos resistentes mediante el método de los elementos finitos se prevé crucial para obtener unas adecuadas predicciones de cálculo.

Referencias bibliográficas

[1] C. Simonnet, Hormigón. Historia de un material. Economía, técnica, arquitectura., Nerea, San Sebastián, 2009.

[2] F. Coignet, Bétons agglomérés appliqués à l’art de construire notamment à l'état monolithique et a l'état de pierres artificielles, Paris Librairie scientifique, industrielle et agricole E.Lacroix, Paris, 1861.

[3] J.-L. Bosc, J.-M. Chauveau, J. Clément, J. Degenne, Joseph Monier et la naissance du ciment armé, Éditions du Linteau, Paris, 2001.

[4] D.G. McBeth, F. Hennebique, L.. Mouchel, Francois Hennebique (1842-1921), reinforced concrete pioneer, in: Proceedings of the ICE - Civil Engineering, 1998: pp. 86–95.

[5] Le Corbusier, Vers une architecture [1923], Flammarion, Paris, 1995.

[6] S. Rostam, R.F.M. Bakker, A.W. Beeby, D. van Nieuwenburg, P. Schiessl, L. Sentler, et al., Durable Concrete Structures - CEB Design Guide, 2nd ed., Thomas Telford Ltd, Lausanne, Switzerland, 1992.

[7] H.K. Cheong, N. MacAlevey, Experimental behavior of jacketed reinforced concrete beams, Journal of Structural Engineering. (2000) 692–699.

[8] F. Altun, An experimental study of the jacketed reinforced-concrete beams under bending, Construction and Building Materials. 18 (2004) 611–618.

[9] I.A. El Malik, L.C. Domingues, E.W. Freitas, M.L. de Faria, Strengthening of reinforced concrete beams in flexure by partial jacketing, Materials and Structures. 42 (2008) 495–504.

[10] A. Sharif, G.J. Al-Sulaimani, I.A. Basunbul, M.H. Baluch, M. Husain, Strengthening of shear-damaged RC beams by external bonding of steel plates, Magazine of Concrete Research. 47 (1995) 329–334.

[11] B.B. Adhikary, H. Mutsuyoshi, M. Sano, Shear strengthening of reinforced concrete beams using steel plates bonded on beam web: experiments and analysis, Construction and Building Materials. 14 (2000) 237–244.

[12] S.S. Pendhari, T. Kant, Y.M. Desai, Application of polymer composites in civil construction: A general review, Composite Structures. 84 (2008) 114–124.

[13] A. Lopez, N. Galati, T. Alkhrdaji, A. Nanni, Strengthening of a reinforced concrete bridge with externally bonded steel reinforced polymer (SRP), Composites Part B: Engineering. 38 (2007) 429–436.

[14] L. Gil, C. Escrig, E. Bernat, Bending performance of concrete beams strengthened with textile reinforced mortar TRM, Key Engineering Materials. 601 (2014) 203–206.

[15] Fédération Internationale du Betón, fib-Bulletin 14. Externally Bonded FRP Reinforcement for RC Structures, (2001).

[16] J.F. Chen, J.G. Teng, Anchorage strength models for FRP and steel plates bonded to concrete, Journal of Structural Engineering. (2001) 784–791.

[17] H. Toutanji, G. Ortiz, The effect of surface preparation on the bond interface between FRP sheets and concrete members, Composite Structures. 53 (2001) 1–6.

[18] L. De Lorenzis, J.G. Teng, Near-surface mounted FRP reinforcement: An emerging technique for strengthening structures, Composites Part B: Engineering. 38 (2006) 119–143.

[19] ACI Committee 440, ACI 440.2R-08 - Guide for the design and construction of externally bonded FRP systems, (2008).

[20] S.H. Alsayed, N.A. Siddiqui, Reliability of shear-deficient RC beams strengthened with CFRP-strips, Construction and Building Materials. 42 (2013) 238–247.

[21] A.L. Alzate, Análisis de los modelos de comportamiento de vigas de hormigón armado reforzadas a cortante con polímeros armados con fibras (FRP). Validación y calibración experimental, Phd Thesis. E.T.S.I. de Caminos, Canales y Puertos. Universidad Politécnica de Madrid, 2012.

[22] A.S. Mosallam, S. Banerjee, Shear enhancement of reinforced concrete beams strengthened with FRP composite laminates, Composites Part B: Engineering. 38 (2007) 781–793.

[23] E. Mörsch, Der eisenbetonbau, seine theorie und anwendung (Reinforced concrete construction-Theory and application), 5th ed., Konrad Wittwer, Stuttgart, 1920.

[24] J.-D. Berset, Strengthening of reinforced concrete beams for shear using FRP composites, MSc Thesis. Department of Civil and Environmental Engineering. Massachusetts Institute of Technology, 1992.

[25] G.J. Al-Sulaimani, A. Sharif, I.A. Basunbul, M.H. Baluch, B.N. Ghaleb, Shear repair for reinforced concrete by fiberglass plate bonding, ACI Structural Journal. 91 (1994) 458–464.

[26] M.J. Chajes, T.F. Januszka, D.R. Mertz, T.A. Thomson Jr., W.W. Finch Jr., Shear strengthening of reinforced concrete beams using externally applied composite fabrics, ACI Structural Journal. 92 (1995).

[27] T.C. Triantafillou, Shear strengthening of reinforced concrete beams using epoxy-bonded FRP composites, ACI Structural Journal. 95 (1998) 107–115.

[28] A. Khalifa, W.J. Gold, A. Nanni, A.A. M.I., Contribution of externally bonded FRP to shear capacity of RC flexural members, Journal of Composites for Construction. 2 (1998) 195–202.

[29] J.G. Teng, L. Lam, J.F. Chen, Shear strengthening of RC beams with FRP composites, Progress in Structural Engineering and Materials. 6 (2004) 173–184.

[30] T.C. Triantafillou, C.P. Antonopoulos, Design of concrete flexural members strengthened in shear with FRP, Journal of Composites for Construction. 4 (2000) 198–205.

[31] G.M. Chen, J.G. Teng, M. Asce, J.F. Chen, O.A. Rosenboom, Interaction between steel stirrups and shear-strengthening FRP Strips in RC beams, Journal of Composites for Construction. (2010) 498–509.

[32] A. Mofidi, O. Chaallal, M. Asce, Shear strengthening of RC beams with EB FRP: influencing factors and conceptual debonding model, Journal of Composites for Construction. (2011) 62–74.

[33] T.C. Triantafillou, C.G. Papanicolaou, Textile reinforced mortars (TRM) versus fibre reinforced polymers (FRP) as strengthening materials of concrete structures, in: Proceedings of the 7th ACI International Symposium on Fibre-Reinforced (FRP) Polymer Reinforcement for Concrete Structures, 2005: pp. 99–118.

[34] ACI Committee 549, ACI 549.2R-04 - Report on thin reinforced cementitious products, (2004).

[35] A. Peled, A. Bentur, Geometrical characteristics and efficiency of textile fabrics for reinforcing cement composites, Cement and Concrete Research. 30 (2000) 781–790.

[36] A. Olvera López, El ferrocemento y sus aplicaciones, México Instituto Politécnico Nacional, México D.F., 1985.

[37] W. Brameshuber, T. Brockmann, C. Aldea, T. Gries, A. Roye, P. Offermann, et al., Textile Reinforced Concrete. State-of-the-Art Report of RILEM TC 201-TRC, Report 36, RILEM Publications S.A.R.L., Bagneux, 2006.

[38] E. Bernat, Analysis of unreinforced and TRM-strengthened brickwork walls with eccentric axial load applied, Phd Thesis. Department of Strength of Materials and Engineering Structures. Universitat Politècnica de Catalunya, BarcelonaTECH, 2013.

[39] B. Barton, E. Wobbe, L.R. Dharani, P. Silva, V. Birman, a. Nanni, et al., Characterization of reinforced concrete beams strengthened by steel reinforced polymer and grout (SRP and SRG) composites, Materials Science and Engineering: A. 412 (2005) 129–136.

[40] W. Brameshuber, T. Brockmann, Concrete/Matrix, in: W. Brameshuber (Ed.), Textile Reinforced Concrete. State-of-the-Art Report of RILEM TC 201-TRC, Report 36, RILEM Publications S.A.R.L., Bagneux, 2006: pp. 29–56.

[41] A. Keil, H. Cuypers, M. Raupach, J. Wastiels, Study of the bond in textile reinforced concrete: influence of matrix and interface modification, in: Proceedings of the CCC – Challenge for Civil Construction, Porto, 2008.

[42] M. Raupach, J. Orlowsky, T. Büttner, U. Dilthey, M. Schleser, J. Hegger, et al., Epoxy-impregnated textiles in concrete-Load bearing capacity and durability, in: ICTRC’2006-1st International RILEM Conference on Textile Reinforced Concrete, 2006: pp. 77–88.

[43] U. Dilthey, M. Schleser, M. Möller, O. Weichold, J. Hegger, W. Brameshuber, et al., Application of polymers in textile reinforced concrete-from the interface to construction elements, in: ICTRC’2006-1st International RILEM Conference on Textile Reinforced Concrete., 2006: pp. 55–64.

[44] R. Contamine, A. Si Larbi, P. Hamelin, Identifying the contributing mechanisms of textile reinforced concrete (TRC) in the case of shear repairing damaged and reinforced concrete beams, Engineering Structures. 46 (2013) 447–458.

[45] F. Jesse, N. Will, M. Curbach, J. Hegger, Load-bearing behavior of textile-reinforced concrete, ACI Special Publication. 250 (2008).

[46] H. Cuypers, J. Wastiels, Stochastic matrix-cracking model for textile reinforced cementitious composites under tensile loading, Materials and Structures. 39 (2006) 777–786.

[47] A. Peled, A. Bentur, Fabric structure and its reinforcing efficiency in textile reinforced cement composites, Composites Part A: Applied Science and Manufacturing. 34 (2003) 107–118.

[48] H. Cuypers, J. Wastiels, J. Hegger, W. Brameshuber, N. Will, A stochastic cracking theory for the introduction of matrix multiple cracking in textile reinforced concrete under tensile loading, in: ICTRC’2006-1st International RILEM Conference on Textile Reinforced Concrete, 2006: pp. 193–202.

[49] J. Hegger, S. Voss, Investigations on the bearing behaviour and application potential of textile reinforced concrete, Engineering Structures. 30 (2008) 2050–2056.

[50] J. Hegger, N. Will, O. Bruckermann, S. Voss, Load–bearing behaviour and simulation of textile reinforced concrete, Materials and Structures. 39 (2006) 765–776.

[51] R. Ortlepp, U. Hampel, M. Curbach, A new approach for evaluating bond capacity of TRC strengthening, Cement and Concrete Composites. 28 (2006) 589–597.

[52] A. Brückner, R. Ortlepp, M. Curbach, Textile reinforced concrete for strengthening in bending and shear, Materials and Structures. 39 (2006) 741–748.

[53] A. D’Ambrisi, F. Focacci, Flexural strengthening of RC beams with cement-based composites, Journal of Composites for Construction. 15 (2011) 707–720.

[54] R. Ortlepp, S. Ortlepp, M. Curbach, M. di Prisco, R. Felicetti, G.A. Plizzari, Stress transfer in the bond joint of subsequently applied textile reinforced concrete strengthening, in: 6th International RILEM Symposium on Fibre Reinforced Concretes, 2004: pp. 1483–1494.

[55] Y.A. Al-Salloum, H.M. Elsanadedy, S.H. Alsayed, R.A. Iqbal, Experimental and numerical study for the shear strengthening of reinforced concrete beams using Textile-Reinforced Mortar, Journal of Composites for Construction. 16 (2012) 74–90.

[56] T.C. Triantafillou, C.G. Papanicolaou, Shear strengthening of reinforced concrete members with textile reinforced mortar (TRM) jackets, Materials and Structures. 39 (2006) 93–103.

[57] A. Brückner, R. Ortlepp, M. Curbach, Anchoring of shear strengthening for T-beams made of textile reinforced concrete (TRC), Materials and Structures. 41 (2007) 407–418.

[58] E. Tzoura, T.C. Triantafillou, Shear strengthening of reinforced concrete T-beams under cyclic loading with TRM or FRP jackets, Materials and Structures. (2014).

[59] T. Blanksvärd, B. Täljsten, A. Carolin, Shear Strengthening of Concrete Structures with the Use of Mineral-Based Composites, Journal of Composites for Construction. 13 (2009) 25–34.

[60] A. Si Larbi, R. Contamine, E. Ferrier, P. Hamelin, Shear strengthening of RC beams with textile reinforced concrete (TRC) plate, Construction and Building Materials. 24 (2010) 1928–1936.

[61] Y.A. Al-Salloum, N.A. Siddiqui, H.M. Elsanadedy, A.A. Abadel, M.A. Aqel, Textile-reinforced mortar versus FRP as strengthening material for seismically deficient RC beam-column joints, Journal of Composites for Construction. 15 (2011) 920–933.

[62] R. Azam, K. Soudki, FRCM Strengthening of Shear-Critical RC Beams, Journal of Composites for Construction. 18 (2014).

[63] L. Ombres, Structural performances of reinforced concrete beams strengthened in shear with a cement based fiber composite material, Composite Structures. 122 (2015) 316–329.

[64] H. Saadatmanesh, M.R. Ehsani, L. Jin, Repair of earthquake-damaged RC columns with FRP wraps, ACI Structural Journal. 94 (1997) 206–214.

[65] H. Toutanji, Stress-strain characteristics of concrete columns externally confined with advanced fiber composite sheets, ACI Materials Journal. 96 (1999) 397–404.

[66] S. Pessiki, K.A. Harries, J.T. Kestner, Axial behavior of reinforced concrete columns confined with FRP jackets, Journal of Composites for Construction. 5 (2001) 237–245.

[67] T.C. Triantafillou, C.G. Papanicolaou, P. Zissimopoulos, T. Laourdekis, Concrete confinement with textile-reinforced mortar jackets, ACI Structural Journal. 103 (2006) 28–37.

[68] D.A. Bournas, P.V. Lontou, C.G. Papanicolaou, T.C. Triantafillou, Textile-reinforced mortar versus fiber-reinforced polymer confinement in reinforced concrete columns, ACI Structural Journal. 104 (2007) 740–748.

[69] D.A. Bournas, T.C. Triantafillou, K. Zygouris, F. Stavropoulos, Textile-reinforced mortar versus FRP Jacketing in seismic retrofitting of RC columns with continuous or Lap-spliced deformed bars, Journal of Composites for Construction. (2009) 360–371.

[70] C.G. Papanicolaou, T.C. Triantafillou, K. Karlos, M. Papathanasiou, Textile-reinforced mortar (TRM) versus FRP as strengthening material of URM walls: in-plane cyclic loading, Materials and Structures. 40 (2006) 1081–1097.

[71] C.G. Papanicolaou, T.C. Triantafillou, M. Papathanasiou, K. Karlos, Textile reinforced mortar (TRM) versus FRP as strengthening material of URM walls: out-of-plane cyclic loading, Materials and Structures. 41 (2007) 143–157.

[72] C.G. Papanicolaou, T.C. Triantafillou, M. Lekka, Externally bonded grids as strengthening and seismic retrofitting materials of masonry panels, Construction and Building Materials. 25 (2011) 504–514.

[73] E. Bernat, L. Gil, P. Roca, C. Escrig, Experimental and analytical study of TRM strengthened brickwork walls under eccentric compressive loading, Construction and Building Materials. 44 (2013) 35–47.

[74] C.A. Aranha, E. Bernat, L. Gil, C. Escrig, Feasibility study of strengthening unreinforced masonry structures with shotcrete and textile, in: Proceedings of an International Conference Held at IIT Madras, Madras, 2013: pp. 395–404.

[75] L. Garmendia, J.T. San-José, D. García, P. Larrinaga, Rehabilitation of masonry arches with compatible advanced composite material, Construction and Building Materials. 25 (2011) 4374–4385.

[76] L. Ombres, Debonding analysis of reinforced concrete beams strengthened with fibre reinforced cementitious mortar, Engineering Fracture Mechanics. 81 (2012) 94–109.

[77] A. D’Ambrisi, L. Feo, F. Focacci, Bond-slip relations for PBO-FRCM materials externally bonded to concrete, Composites Part B: Engineering. 43 (2012) 2938–2949.

[78] A. D’Ambrisi, L. Feo, F. Focacci, Experimental analysis on bond between PBO-FRCM strengthening materials and concrete, Composites Part B: Engineering. 44 (2013) 524–532.

[79] A. D’Ambrisi, L. Feo, F. Focacci, Experimental and analytical investigation on bond between Carbon-FRCM materials and masonry, Composites Part B: Engineering. 46 (2013) 15–20.

[80] M. Butler, V. Mechtcherine, S. Hempel, Experimental investigations on the durability of fibre–matrix interfaces in textile-reinforced concrete, Cement and Concrete Composites. 31 (2009) 221–231.

[81] M. Butler, V. Mechtcherine, S. Hempel, Durability of textile reinforced concrete made with AR glass fibre: effect of the matrix composition, Materials and Structures. 43 (2010) 1351–1368.

[82] National Research Council, CNR-DT 200/2004 - Guide for the Design and Construction of Externally Bonded FRP Systems for Strengthening Existing Structures, (2004).

[83] ACI Committee 549, ACI 549.4R-13 - Guide to design and construction of externally bonded fabric-reinforced cementitious matrix (FRCM) systems for repair and strengthening concrete and masonry structures, (2013).

[84] Comité Européen de Normalisation, EN 12504-1. Testing concrete in structures - Part 1: Cored specimens - Taking, examining and testing in compression, (2009).

[85] Comité Técnico AEN/CTN 83 Hormigón, UNE 83316. Concrete tests. Determination of the modulus of elasticity in compression., (1996).

[86] Comité Européen de Normalisation, EN 12390-3. Testing hardened concrete - Part 3: Compressive strength of test specimens, (2009).

[87] Comité Européen de Normalisation, EN 12390-1. Testing hardened concrete - Part 1: Shape, dimensions and other requirements for specimens and moulds, (2012).

[88] Comité Européen de Normalisation, EN 12390-2. Testing hardened concrete - Part 2: Making and curing specimens for strength tests, (2009).

[89] Comité Européen de Normalisation, EN ISO 15630-1. Steel for the reinforcement and prestressing of concrete. Test methods - Part 1: Reinforcing bars, wire rod and wire, (2010).

[90] Comité Européen de Normalisation, EN ISO 6892-1. Metallic materials. Tensile testing - Part 1: Method of test at room temperature, (2009).

[91] Comité Européen de Normalisation, EN 10080. Steel for the reinforcement of concrete. Weldable reinforcing steel. General, (2006).

[92] Comité Européen de Normalisation, EN 1015-11. Methods of test for mortar for masonry - Part 11: Determination of flexural and compressive strength of hardened mortar, (1999).

[93] T. Gries, P. Offermann, A. Peled, Textiles, in: W. Brameshuber (Ed.), Textile Reinforced Concrete. State-of-the-Art Report of RILEM TC 201-TRC, Report 36, RILEM Publications S.A.R.L., Bagneux, 2006: pp. 11–27.

[94] U. Häußler-Combe, J. Hartig, Bond and failure mechanisms of textile reinforced concrete (TRC) under uniaxial tensile loading, Cement and Concrete Composites. 29 (2007) 279–289.

[95] P. Larrinaga, Flexural strengthening of low grade concrete through the use of new cement-based composite materials, Phd Thesis. E.T.S.I. de Bilbao. Universidad del País Vasco, 2011.

[96] P. Larrinaga, C. Chastre, J.T. San-José, L. Garmendia, Non-linear analytical model of composites based on basalt textile reinforced mortar under uniaxial tension, Composites Part B: Engineering. 55 (2013) 518–527.

[97] P. Larrinaga, C. Chastre, H.C. Biscaia, J.T. San-José, Experimental and numerical modeling of basalt textile reinforced mortar behavior under uniaxial tensile stress, Materials & Design. 55 (2014) 66–74.

[98] ICC Evaluation Service Inc., AC434-2013 - Acceptance Criteria for Masonry and Concrete Strengthening Using Fabric-reinforced Cementitious Matrix (FRCM) Composite Systems, (2013).

[99] D. Arboleda, Fabric reinforced cementitious matrix (FRCM) composites for infrastructure strengthening and rehabilitation: characterization methods, Phd Thesis. University of Miami, 2014.

[100] Comité Européen de Normalisation, Eurocode 2. Design of concrete structures – Part 1: Common rules for building and civil engineering structures, (2004).

[101] Japan Society of Civil Engineers (JSCE), JSCE-SF4. Method of tests for flexural strength and flexural toughness of steel fiber reinforced concrete, Concrete Library of JSCE. 3 (1984) 58–61.

[102] E. Bernat-Maso, C. Escrig, C.A. Aranha, L. Gil, Experimental assessment of Textile Reinforced Sprayed Mortar strengthening system for brickwork wallettes, Construction and Building Materials. 50 (2014) 226–236.

[103] ACI Committee 318, ACI 318-11 - Building code requirements for structural concrete, (2011).

[104] D. García, Experimental and numerical analysis of stone masonry walls strengthened with advanced composite materials, Phd Thesis. Universidad del País Vasco, 2009.

[105] Comisión Permanente del Hormigón, EHE-08-Instrucción para el proyecto y ejecución de obras de hormigón en masa y armado, (2008).

[106] Comité Européen de Normalisation, EN 1504-9. Products and systems for the protection and repair of concrete structures - Definitions, requirements, quality control and evaluation of conformity - Part 9: General principles for the use of products and systems, (2011).

[107] Comité Européen de Normalisation, EN 1504-3. Products and systems for the protection and repair of concrete structures - Definitions, requirements, quality control and evaluation of conformity - Part 3: Structural and non-structural repair, (2006).

[108] J. Charry, Estudio experimental del comportamiento de paredes de obra de fábrica de ladrillo ante la acción de cargas laterales, Phd Thesis. Department of Construction. Universitat Politècnica de Catalunya, BarcelonaTECH, 2010.

[109] American Society for Testing and Materials, ASTM D5034-09. Standard test method for breaking strength and elongation of textile fabrics (Grab Test), (2013).

[110] L. Garmendia, Rehabilitation of masonry arches by a compatible and minimally invasive strengthening system, Phd Thesis. Universidad del País Vasco, 2010.

[111] J. Hartig, F. Jesse, K. Schicktanz, U. Häußler-Combe, Influence of experimental setups on the apparent uniaxial tensile load-bearing capacity of Textile Reinforced Concrete specimens, Materials and Structures. 45 (2012) 433–446.

Anexo A. Datos experimentales de los estudios de caracterización de materiales

A.1. Introducción

En el presente anexo se incluye la información relativa a los diversos estudios complementarios llevados a término centrados básicamente en la caracterización de los materiales utilizados. Algunos de los datos obtenidos de estos estudios han sido utilizados para realizar un análisis preciso y unas conclusiones consistentes del trabajo central de la presente investigación.

A continuación se presentan los datos más relevantes de las investigaciones previas llevadas a término, incluyendo las propiedades de los materiales suministradas por los fabricantes, los procesos de fabricación/obtención/preparación de los especímenes, los montajes y procedimientos de ensayo, los resultados obtenidos y unas breves conclusiones de cada tipo de ensayo. El conjunto de esta información se encuentra resumida en el Capítulo 3 del cuerpo de la memoria.

Inicialmente se describen los procesos que sirvieron para obtener las propiedades mecánicas propias de cada uno de los materiales utilizados, i.e. hormigón, acero de armaduras, mortero de refuerzo y tejidos de fibras. Por último, se incluyen los ensayos de caracterización del material compuesto TRM. Todos los ensayos tuvieron lugar en los laboratorios LITEM-RMEE-UPC y RMEE-UPC-Barcelona entre octubre del 2011 y febrero del 2014.

A.2. Ensayos de caracterización de hormigones

El presente apartado contiene la caracterización de los hormigones utilizados en la ejecución de las vigas reforzadas con TRM, incluyendo una descripción de las características técnicas según fabricante, el proceso de obtención y preparación de testigos de hormigón, y los métodos de ensayo para determinar la resistencia a compresión y el módulo de elasticidad secante. Finalmente se presentan los resultados de cada uno de los especímenes ensayados.

A.2.1. Descripción de los hormigones

En el trabajo de investigación realizado se utilizaron hormigones de 3 amasadas diferentes para ejecutar las vigas de las campañas experimentales de refuerzo a cortante, todos proporcionados por la empresa Hormigones Uniland. La resistencia a compresión característica (fck) y el tipo de cemento requeridos para todas las amasadas fue de 25MPa y CEM IIA 42,5R, respectivamente. El fabricante llevó a término ensayos de control de calidad y de resistencia del hormigón en probetas cúbicas de 150x150mm, según lo expuesto por EN 12390-1:2012 [87], EN 12390-2:2009 [88] y EN 12390-3:2009 [86].

Las propiedades de los hormigones de las diferentes amasadas y los resultados de los ensayos realizados por la empresa fabricante se resumen en la Tabla A.1.

Fecha de amasada Consistencia Tamaño máximo árido (mm) Contenido

de cemento

(kg/m3')

Relación agua

cemento (a/c)

Resistencia media a

compresión 7 días

fcm',7' (MPa)

Resistencia media a

compresión 28 días

fcm',28' (MPa)

22/12/2011 Fluida 12 341,3 0,53 - 34,98
13/01/2012 Fluida 12 338,5 0,53 27,69 38,20
24/01/2012 Fluida 12 339,1 0,53 37,57 46,52

Tabla A.1 Propiedades de los hormigones utilizados.


Se volvieron a caracterizar los hormigones utilizando testigos extraídos de las vigas reforzadas a cortante con TRM. Este hecho fue debido a que la resistencia a compresión del hormigón resultó ser una variable que condicionaba de forma significativa las predicciones analíticas de este tipo de especímenes.

A.2.2. Preparación de las probetas de hormigón

Se realizaron dos tipos de ensayos normalizados para caracterizar los hormigones utilizados en la campaña experimental de refuerzos a cortante con TRM. Para determinar el módulo de elasticidad secante se llevaron a término ensayos no destructivos de compresión con cargas y descargas cíclicas. En cuanto a la obtención de la resistencia a compresión del hormigón se realizaron ensayos destructivos de compresión directa sobre probetas.

Los especímenes ensayados consistieron en piezas cilíndricas de diámetro 96mm y una altura variable (hc) entre 255mm y 334mm. Estas piezas fueron obtenidas como testigos de las vigas reforzadas a cortante con TRM ensayadas con anterioridad. Los testigos fueron extraídos mediante un taladro refrigerado con agua en zonas donde las vigas no presentaban fisuras, según lo establecido en EN 12504-1:2009 [84] (Figura A.1a). Con este sistema de extracción se obtuvo un acabado superficial de las probetas totalmente liso y uniforme (Figura A.1b).

Draft Samper 184616083-image51.jpeg
Draft Samper 184616083-image52.jpeg
a) b)

Figura A.1 Obtención de probetas de hormigón: a) proceso extracción, b) acabado final de la probeta.

Antes de ser ensayados, los extremos de los especímenes fueron refrentados con azufre en fase líquida, según EN 12390-2:2009 [88], utilizando un molde normalizado (Figura A.2).

Draft Samper 184616083-image53.jpeg

Figura A.2 Molde normalizado utilizado en el proceso de refrentado de las probetas de hormigón.

El procedimiento de refrentado consistió de las siguientes etapas:

  • Rebaje de las rebabas de los extremos de las probetas mediante pulidora giratoria (Figura A.3a). Paralelamente, licuación del azufre mediante la aplicación de calor (Figura A.3b)
Draft Samper 184616083-image54.jpeg
Draft Samper 184616083-image55.jpeg
a) b)

Figura A.3 Procesos previos al refrentado de las probetas de hormigón: a) pulido de las rebabas, b) licuación del azufre.
  • Una vez el azufre en fase líquida, vertido del mismo en el molde normalizado previamente untado con aceite a modo de desencofrante (Figura A.4a). Posicionamiento de la probeta de hormigón de forma que dos directrices de la misma tuvieran contacto simultaneo con los elementos volados del molde (Figura A.4b).
Draft Samper 184616083-image56.jpeg
Draft Samper 184616083-image57.jpeg
a) b)

Figura A.4 Proceso de refrentado: a) vertido del azufre en el molde, b) posicionamiento de la probeta de hormigón.
  • Extracción de la probeta del molde y repetición del proceso para el lado opuesto del espécimen.
  • Una vez refrentados los dos extremos de las probetas, se realiza un curado al aire del azufre en condiciones internas durante al menos 7 días (Figura A.5).
  • Previamente a la ejecución de los ensayos, se realiza una comprobación de la planeidad de las probetas. Si no resultase satisfactoria, se procede a remover ambas capas de azufre y repetir el proceso desde el inicio.
Draft Samper 184616083-image58.jpeg

Figura A.5 Probeta de hormigón refrentada en fase de curado.

A.2.3. Procedimientos de ensayo en probetas de hormigón

A.2.3.1. Ensayo para la determinación del módulo de elasticidad secante

El ensayo para la determinación del módulo de elasticidad secante de las probetas de mortero se realizó según la normativa UNE 83316:1996 [85], la cual determina la ejecución de un ensayo no destructivo a compresión (Figura A.6) con 3 ciclos de carga y descarga. En cada uno de los especímenes ensayados se instalaron 2 galgas extensométricas. Estas se ubicaron en dos generatrices opuestas a la mitad de la altura del cilindro. El procedimiento de instalación de este tipo de sensores en superficies de hormigón se detalla posteriormente en el apartado B.4.2.1 del Anexo B.

Para asegurar la correcta distribución de los esfuerzos, los ensayos se ejecutaron ubicando dos placas metálicas de 200x200x10mm en la parte superior de la probeta. La aplicación de la carga fue ejecutada mediante control por fuerza utilizando una actuador oleohidráulico de capacidad 250kN. El procedimiento de ensayo se describe a continuación:

  • Posicionamiento de la probeta de forma en la zona de ensayo y comprobación de la planeidad del sistema. Ubicación de las placas metálicas de reparto de carga en el extremo superior de la probeta y alineación del sistema en el plano respecto el actuador oleohidráulico.
  • Descenso del actuador oleohidráulico hasta alcanzar el contacto con la placa metálica superior (Figura A.7).
Draft Samper 184616083-image59-c.png

Figura A.6 Configuración del ensayo no destructivo en probetas de hormigón.
Draft Samper 184616083-image60.jpeg

Figura A.7 Posición inicial del ensayo no destructivo en probetas de hormigón.
  • Inicio de la adquisición de datos. Las variables registradas fueron el desplazamiento vertical y la fuerza aplicada por el actuador oleohidráulico, así como las señales de ambas galgas extensométricas. Toda la información fue compilada mediante el adquisidor de datos MGC-Plus a frecuencia de 50Hz.
  • Comienzo del primer ciclo de carga. Aplicación de carga hasta una tensión nominal inferior σb de 0,5MPa.
  • Aplicación de carga hasta una tensión nominal superior σa, equivalente a un tercio de la resistencia del hormigón fc (para determinar este valor, previamente se llevaron a término ensayos a compresión de probetas de las diferentes amasadas analizadas). Mantenimiento de la carga durante 60s y registro de lecturas de deformación cada 30s.
  • Comprobación de que las lecturas tomadas no difiriesen un 20% del valor medio obtenido. En caso contrario, parar el ensayo, reposicionar la probeta y volver a iniciar el procedimiento.
  • Reducir la carga hasta la tensión nominal inferior σb y realizar dos ciclos adicionales de carga y descarga.
  • Después de terminar el último ciclo, mantener la tensión nominal inferior σb durante 60s y tomar las lecturas de las deformaciones εb al cabo de 30s.
  • Incrementar la carga hasta la tensión nominal superior σa y tomar las lecturas de las deformaciones εa al cabo de 30s.
  • Todos los procesos de carga y descarga se realizaron por control de fuerza a una velocidad de 4000N/s, dentro del intervalo fijado por UNE 83316:1996 [85] de 0,5±0,2MPa/s. El proceso completo de carga del ensayo realizado se puede observar en la Figura A.8.
Draft Samper 184616083-image61-c.png

Figura A.8 Evolución de la tensión normal a lo largo del tiempo en el ensayo no destructivo en probetas de hormigón.

A.2.3.2. Ensayo para la determinación de la resistencia a compresión

El ensayo para la determinación de la resistencia a compresión de las probetas de hormigón se realizó según la normativa EN 12390-3:2009 [86], la cual determina la ejecución de un ensayo de compresión directa en un volumen cilíndrico o cúbico. En el caso del presente trabajo se ensayaron probetas cilíndricas de diámetro 96mm y una altura variable (hc) entre 255 y 334mm (Figura A.9).

Draft Samper 184616083-image62.png

Figura A.9 Configuración del ensayo a compresión en probetas de hormigón.

La aplicación de la carga se realizó mediante control por fuerza a una velocidad de 4000N/s utilizando una prensa oleohidráulica con una capacidad de carga de 3000kN (Figura A.10).

Draft Samper 184616083-image63.jpeg

Figura A.10 Montaje ensayo a compresión en probetas de hormigón.

El procedimiento de ensayo se describe a continuación:

  • Posicionamiento de la probeta y comprobación de la horizontalidad de la placa superior de la prensa oleohidráulica.
  • Ascenso del pistón de la prensa hasta que el espécimen alcance el contacto con la placa metálica superior (Figura A.11).
Draft Samper 184616083-image64.jpeg

Figura A.11 Posición inicial del ensayo a compresión en probetas de hormigón.
  • Inicio de la adquisición de datos y aplicación de carga mediante control por fuerza a una velocidad de 4000N/s. Las variable registrada fue la fuerza aplicada por la prensa oleohidráulica a una frecuencia de 5Hz.
  • El proceso de carga fue filmado con una cámara de alta velocidad con el objetivo de captar nítidamente el momento del aplastamiento de la probeta (Figura A.12). El ensayo se dio por concluido cuando los especímenes sufrieron un fallo por aplastamiento del hormigón.
Draft Samper 184616083-image65.png
Draft Samper 184616083-image66.png
Draft Samper 184616083-image67.png
Draft Samper 184616083-image68.png

Figura A.12 Proceso de aplastamiento de una probeta de hormigón ensayada a compresión.

A.2.4. Resultados experimentales de los ensayos en hormigón

Los resultados de los ensayos realizados en especímenes de hormigón se obtuvieron según las siguientes consideraciones:

  • El módulo de elasticidad secante del hormigón (Ec) se obtuvo suponiendo que los especímenes permanecieron en régimen elástico durante todo el proceso, de la siguiente manera (Ec. A.1):

A.1

Siendo σa, σb las tensiones nominales superior e inferior, respectivamente, y εa, εb las deformaciones medias a un nivel de tensión superior e inferior, respectivamente.

  • La resistencia a compresión del hormigón (fc) se obtuvo suponiendo una distribución tensional constante en la sección del espécimen en el momento de carga máxima, de la siguiente manera (Ec. A.2):

A.2

Donde Fmax es la fuerza máxima aplicada y Ø es diámetro de la probeta (96mm en todos los casos).

La Tabla A.2 incluye, para cada probeta ensayada, la amasada a la que corresponde, el código del espécimen, la edad de la probeta y los valores de resistencia a compresión y del módulo de elasticidad secante. En la Tabla A.3 se muestra un resumen de las características mecánicas de los hormigones de distintas amasadas, incluyendo los valores medios en cada caso.

Amasada Espécimen Edad (días) h (mm) Resistencia a compresión

fc (MPa)

Módulo de elasticidad

Ec (MPa)

22/12/2011 CXM25-02 364 328 34,6 26099
PXM750-01 364 325 34,7 28232
PXM750-02 349 334 32,4 -
VPHDM-02 343 255 34,5 -
13/01/2012 BR3-01 327 331 29,9 -
BR3-02 342 326 33,4 31657
CXM25-01 320 327 39,9 -
VPHDM-01 342 330 31,9 31835
24/01/2012 CONTROL-01a 331 310 39,1 33408
CONTROL-01b 331 308 42,6 33223

Tabla A.2 Resultados de los ensayos en probetas de hormigón.
Amasada Resistencia a compresión

'fcm' (MPa)

Módulo de elasticidad

'Ec' (MPa)

22/12/2011 34,1 27166
13/01/2012 33,8 31746
24/01/2012 40,8 33316

Tabla A.3 Promedio de los resultados obtenidos para las diferentes amasadas de hormigón ensayadas.


En la Figura A.13 se muestran, en función de la amasada correspondiente, las resistencias a compresión de los hormigones incluidos en el estudio. Se incluyen los valores medios de los ensayos (en rojo) y los valores experimentales resultantes de los ensayos realizados por el fabricante del hormigón a 28 días de edad (en azul).

Draft Samper 184616083-image69.png

Figura A.13 Resistencia a compresión de los hormigones ensayados.

Se puede observar que existe una tendencia general en la que los datos proporcionados por el fabricante son superiores a los de la media de los resultados experimentales, de forma más relevante en el caso de las amasadas del 13/01/2012 y 24/01/2012. Este hecho entra en contradicción con el comportamiento habitual del hormigón, cuya resistencia a compresión tiende a incrementarse con el paso del tiempo. Por esta razón, los datos utilizados en los posteriores estudios analíticos fueron los obtenidos en la campaña experimental de caracterización de hormigones desarrollada en el presente apartado.

Por último, las siguientes figuras muestran la relación tensión-deformación de los diferentes hormigones en el ensayo no destructivo para la determinación del módulo de elasticidad secante. En ellas se puede observar el comportamiento lineal de los especímenes, alcanzando en ningún caso el estado de plasticidad del hormigón.

Draft Samper 184616083-image70.png

Figura A.14 Relación tensión normal-deformación del ensayo para la determinación del módulo secante en un hormigón de la amasada 22/12/2011.
Draft Samper 184616083-image71.png

Figura A.15 Relación tensión normal-deformación del ensayo para la determinación del módulo secante en un hormigón de la amasada 13/01/2012.
Draft Samper 184616083-image72.png

Figura A.16 Relación tensión normal-deformación del ensayo para la determinación del módulo secante en un hormigón de la amasada 24/01/2012.

A.3. Ensayos de caracterización de barras corrugadas de acero

De la misma forma que con el hormigón, se llevó a término una campaña de caracterización del acero utilizado como armadura de las vigas reforzadas con TRM. A continuación se muestra una descripción de las características de las barras corrugadas utilizadas, así como el proceso de obtención de las probetas y los métodos de ensayo para determinar la tensión de límite elástico, la tensión última de rotura y el módulo de elasticidad longitudinal del acero. Finalmente se presentan los resultados de cada uno de los especímenes ensayados.

A.3.1. Descripción de las barras corrugadas

En el trabajo de investigación realizado se utilizaron barras corrugadas de un mismo fabricante. En todos los casos el tipo de acero fue un B 500 SD, cuyas propiedades mecánicas según EN-10080:2006 [91] se incluyen en la Tabla A.4.

Tipo de acero Tensión de límite elástico

fs,y (MPa)

Tensión última de rotura

fs,u (MPa)

Alargamiento en rotura

εu (%)

Alargamiento total bajo carga máxima

εmáx (%)

B 500 SD ≥500 ≥575 ≥16 ≥9

Tabla A.4 Propiedades del acero utilizado según EN-10080:2006 [91].

Debido a que todas las barras poseían marcaje CE, solo se realizaron 6 ensayos de caracterización, los resultados de los cuales fueron extrapolados al resto de armaduras usadas en la ejecución de las diferentes vigas.

A.3.2. Preparación de las probetas de acero

Se realizó un tipo de ensayo normalizado para caracterizar las barras corrugadas de acero, que consistió en someter a una tracción directa las probetas hasta rotura. De esta forma se obtuvo como resultado la curva tensión-deformación de cada uno de los especímenes, extrayendo de la misma, los valores de tensión de límite elástico fs,y, tensión última fs,u y módulo de elasticidad longitudinal Es.

Las probetas ensayadas fueron obtenidas como testigos de la armadura longitudinal superior de varias vigas reforzadas a cortante con TRM, una vez estas fueron ensayadas (Figura A.17). Las barras fueron cortadas mediante sierra radial en zonas donde el doblado del armado, debido al fallo de la viga, no influyese en las propiedades mecánicas del acero. Todos los especímenes ensayados tenían un diámetro nominal de 10mm y una longitud comprendida entre 190mm y 327mm.

Draft Samper 184616083-image73.jpeg

Figura A.17 Armadura longitudinal de una de las vigas de hormigón reforzadas a cortante con TRM utilizada como probeta de ensayo.

A.3.3. Procedimiento de ensayo para la determinación la curva tensión-deformación en probetas de acero

El ensayo para la determinación de la curva tensión-deformación de las barras corrugadas de acero se realizó según lo establecido en las normativas EN ISO 15630-1:2010 [89] y EN ISO 6892-1:2009 [90], las cuales determinan el modo de ejecución de un ensayo a tracción de una probeta de acero a temperatura ambiente.

La aplicación de la carga fue ejecutada mediante control por fuerza a una velocidad de 500N/s con una prensa de ensayos servo hidráulica con capacidad carga de 250kN (Figura A.18). Para medir las deformaciones en los especímenes se instaló un extensómetro de 20mm de separación inicial con capacidad de lectura de ±4mm y un error máximo de desviación lineal a fondo de escala de ±0,13%.

Draft Samper 184616083-image74-c.png

Figura A.18 Configuración del ensayo a tracción en barras corrugadas de acero.

El procedimiento de ensayo se describe a continuación:

  • Posicionamiento de la probeta la zona de ensayo y fijación de la mordaza inferior de manera que el solapamiento con la barra corrugada fuera el máximo posible.
  • Descenso de la mordaza superior hasta alcanzar el máximo solapamiento y fijación de la probeta. Colocación del extensómetro en la zona central del espécimen (Figura A.19).
Draft Samper 184616083-image75.jpeg

Figura A.19 Posición inicial del ensayo a tracción en barras corrugadas de acero.
  • Inicio de la adquisición de datos y aplicación de carga mediante control por fuerza a una velocidad de 10N/s. Las variables registradas fueron la fuerza aplicada por el prensa servo hidráulica y las deformaciones captadas por el extensómetro. Estas fueron adquiridas a 3Hz.
  • Con el objetivo de no dañar el extensómetro, este sensor fue retirado cuando la probeta hubo agotado su capacidad elástica. El ensayo se dio por concluido cuando el espécimen sufrió la rotura después de haber alcanzado su capacidad resistente máxima (Figura A.20).
Draft Samper 184616083-image76.jpeg
Draft Samper 184616083-image77.jpeg
a) b)

Figura A.20 Aspecto de una barra corrugada de acero después del ensayo a tracción: a) visión general, b) detalle zona rotura.

A.3.4. Resultados experimentales de los ensayos en barras corrugadas

Los resultados de los ensayos realizados en barras de acero se obtuvieron según las siguientes consideraciones:

  • La tensión de límite elástico de las barras corrugadas (fs,y) se obtuvo según lo expuesto por la normativa EHE-08 [105] mediante la intersección de la curva tensión-deformación (curva negra Figura A.21) con una recta paralela al tramo elástico de la misma cuyo origen está situado en una deformación del 0,2% (recta roja Figura A.21).
Draft Samper 184616083-image78-c.png

Figura A.21 Determinación de la tensión de límite elástico de una barra corrugada de acero.
  • La tensión última de las barras corrugadas (fs,u) se obtuvo registrando la tensión máxima que alcanzó el espécimen previamente al proceso de estricción y rotura.
  • El módulo de elasticidad longitudinal (Es) se obtuvo calculando la pendiente que forma la curva de tensión-deformación en su tramo elástico respecto el eje de abscisas.

La Tabla A.5 incluye, para cada probeta ensayada, el código del espécimen, la longitud de la probeta y los valores de tensión de límite elástico, tensión última y módulo de elasticidad longitudinal. En la Tabla A.6 se muestra un resumen de las características mecánicas del acero utilizado, incluyendo la media de los resultados y el coeficiente de variación.

Espécimen L (mm) Tensión de límite elástico

fs,y (MPa)

Tensión última de rotura

fs,u (MPa)

Módulo de elasticidad longitudinal

Es (GPa)

A4R3-02 214 502,81 620,84 209,42
BR3-02 291 555,73 653,23 199,78
CXM25-02 190 499,52 618,54 190,85
PXM750-01 301 - 627,10 -
VPHDM-01 255 520,60 642,91 204,14
VPHDM-02 327 507,20 624,14 196,37
CONTROL-01 226 517,31 642,14 190,31

Tabla A.5 Resultados de los ensayos en barras corrugadas de acero.
Tensión de límite elástico

fs,y (MPa)

Tensión última de rotura

fs,u (MPa)

Módulo de elasticidad longitudinal

Es (GPa)

517,20 (0,04) 632,70 (0,02) 198,48 (0,03)

Tabla A.6 Promedio de los resultados obtenidos de los ensayos en barras corrugadas de acero (entre paréntesis el coeficiente de variación).

En la Figura A.22 se muestran los diferentes valores de la tensión de límite elástico y la tensión última de los especímenes ensayados. En ella se puede observar que los valores medios de los ensayos (en rojo) son superiores a los valores mínimos propuestos por EN-10080:2006 [91] (en azul). Por esta razón, los datos utilizados en los posteriores estudios analíticos fueron los obtenidos en la campaña experimental de caracterización de barras corrugadas de acero desarrollada en el presente apartado.

Draft Samper 184616083-image79.png

Figura A.22 Tensión de límite elástico y tensión última de las barras corrugadas de acero ensayadas.

Por último, la Figura A.23 muestra la relación tensión-deformación de las diferentes probetas de acero ensayadas. En ellas se puede observar el comportamiento lineal en régimen elástico y el posterior escalón de cedencia que presentan este tipo de aceros, justo antes del proceso de endurecimiento por deformación.

Draft Samper 184616083-image80.png

Figura A.23 Relación tensión-deformación de las diferentes barras corrugadas de acero ensayadas.

A.4. Ensayos de caracterización de morteros

Los morteros estudiados constituyen una de las partes del material TRM. Son los encargados de adherir el tejido al sustrato de la estructura a reforzar y su capacidad de transmitir las tensiones resulta clave para la efectividad del refuerzo.

El apartado actual incluye la caracterización de los morteros utilizados como componentes en las diferentes combinaciones de TRM utilizadas. Inicialmente se desarrolla una descripción de cada uno de los morteros con un resumen de las especificaciones técnicas según fabricante. A continuación, se realiza una explicación de los métodos de ensayo para determinar la resistencia a flexión, tracción y compresión, incluyendo la descripción de la elaboración de las probetas. Finalmente se presentan los resultados de cada uno de los especímenes ensayados.

A.4.1. Descripción de los morteros

Los morteros utilizados en el presente estudio son productos de base cementítica o puzzolánica específicamente diseñados para su aplicación en TRM. La mayoría de ellos presentan diferentes aditivos y fibras con tal de maximizar las propiedades del refuerzo en base al tipo de fibra aplicada [41]. A continuación se detallan las características técnicas y los procedimientos de mezcla de cada uno de los morteros utilizados en el presente trabajo.

A.4.1.1. Planitop HDM Maxi

El Planitop HDM Maxi, designado como PHDM, es un mortero bicomponente a base de cemento de alta resistencia, fibras de vidrio, árido seleccionado y polímeros sintéticos en dispersión acuosa. Es un material diseñado para aplicar en albañilería que se puede usar como mortero de relleno y de reparación de bóvedas, así como de matriz del refuerzo TRM.

Draft Samper 184616083-image81.jpeg

Figura A.24 Componentes del mortero Planitop HDM Maxi.

El componente A es un polvo gris mesclado con fibras y el componente B está formado por polímeros sintéticos disueltos en agua (Figura A.24). Se recomienda mezclarlos de forma mecánica a bajas velocidades. Es necesario dejar reposar el conjunto durante dos minutos antes de volver a mezclar para obtener el producto final.

Una vez mezclados los componentes, el mortero resultante ofrece una elevada resistencia al despegue y una adecuada permeabilidad al vapor de agua, así como impermeabilidad al agua y a los gases agresivos de la atmósfera. Este producto cumple con los requerimientos especificados en EN 1504-9 [106] y puede ser clasificado como R2 según EN 1504-3 [107].

Planitop HDM Maxi es fabricado por la empresa Mapei S.p.A. y viene distribuido en sacos de 25kg (componente A) y recipientes de 6,75kg (componente B). Las características técnicas según fabricante se resumen en la Tabla A.7.

Parámetro Valor
Características Componente A
Apariencia Polvo gris
Máximo tamaño de árido (mm) 1
Densidad (kg/m3) 1200
Contenido de iones cloruro (%) ≤0.05
Características Componente B
Apariencia Líquido blanco
Densidad (kg/m3) 1070
Residuo sólido (%) 13
Contenido de iones cloruro (%) ≤0.05
Datos de aplicación
Proporción de la mezcla 25kg componente A con 6,75kg componente B
Consistencia Plástica-tixotrópica
Densidad de la mezcla (kg/m3) 1850
Rango de aplicación de temperaturas +5ºC a +35ºC
Espesor máximo de aplicación (mm) 25
Duración de la mezcla (min) 60
Prestaciones finales
Resistencia a compresión (fmc) (MPa) >25
Resistencia a flexión (fmx) (MPa) >8
Módulo de elasticidad a compresión (GPa) 11
Resistencia a la adherencia (MPa) 2,0
Reacción al fuego Euroclase E

Tabla A.7 Características del mortero Planitop HDM Maxi según fabricante.

A.4.1.2. X Mesh M750

El X Mesh M750, designado como XM750, es un mortero hidráulico de alta adherencia con fibras y adiciones especiales pensado para su aplicación en estructuras de hormigón (Figura A.25).

Draft Samper 184616083-image82.jpeg

Figura A.25 Mortero X Mesh M750.

Se recomienda mezclarlo de forma mecánica a bajas velocidades durante 2-3 minutos, añadiendo el polvo del mortero al 90% del agua indicada en la hoja técnica. En caso de ser necesario, para alcanzar la consistencia deseada, se puede añadir el resto del agua y mezclar durante otros 1-2 minutos. Es necesario dejar reposar el mortero antes de ser aplicado.

X Mesh M750 es fabricado por la empresa Ruredil S.p.A. y viene distribuido en sacos de 25kg. Las características técnicas según fabricante se resumen en la Tabla A.8.

Parámetro Valor
Datos de aplicación
Agua para la mezcla 37% en peso
Consistencia Distribución=90%
Densidad de la mezcla (kg/m3) 1500
Rango de aplicación de temperaturas +5ºC a +40ºC
Prestaciones finales
Resistencia a compresión (fmc) (MPa) 29
Resistencia a flexión (fmx) (MPa) 3,5
Módulo de elasticidad a compresión (GPa) 6
Resistencia a la adherencia (MPa) -

Tabla A.8 Características del mortero X Mesh M750 según fabricante.

A.4.1.3. X Mesh M25

El X Mesh M25, designado como XM25, es un mortero hidráulico puzzolánico con aditivos específicos, perfectamente compatible desde el punto de vista químico, físico y mecánico con el soporte, especialmente pensado para su aplicación en mampostería (Figura A.26).

Draft Samper 184616083-image83.jpeg

Figura A.26 Mortero X Mesh M25.

Se recomienda mezclarlo de forma mecánica a bajas velocidades durante 2-3 minutos, añadiendo el polvo del mortero al 90% del agua indicada en la hoja técnica. En caso de ser necesario, para alcanzar la consistencia deseada, se puede añadir el resto del agua y mezclar durante otros 3-4 minutos. Es necesario dejar reposar el mortero antes de ser aplicado.

X Mesh M25 es fabricado por la empresa Ruredil S.p.A. y viene distribuido en sacos de 25kg. Las características técnicas según fabricante se resumen en la Tabla A.9.

Parámetro Valor
Datos de aplicación
Agua para la mezcla 26% en peso
Consistencia Plástica. Fluidez=75%
Densidad de la mezcla (kg/m3) 1750
Rango de aplicación de temperaturas +5ºC a +35ºC
Prestaciones finales
Resistencia a compresión (fmc) (MPa) 38
Resistencia a flexión (fmx) (MPa) 7,5
Módulo de elasticidad a compresión (GPa) 15
Resistencia a la adherencia (MPa) 0,8

Tabla A.9 Características del mortero X Mesh M25 según fabricante.

A.4.1.4. Bikain R3

El Bikain R3, designado como R3, es un mortero hidráulico modificado con adiciones poliméricas, PCC. Este es un mortero diseñado para la reparación estructural que, en la actualidad, está en fase experimental de desarrollo (Figura A.27).

Draft Samper 184616083-image84.jpeg

Figura A.27 Mortero Bikain R3.

Para su fabricación se recomienda mezclar a bajas velocidades durante 2 minutos utilizando métodos mecánicos y dejarlo reposar antes de su aplicación. Este mortero puede ser clasificado como R3 según EN 1504-3.

Bikain R3 es fabricado por la empresa Bikain Morteros y Revocos S.A. y viene distribuido en sacos de 25kg. Las características técnicas según fabricante se resumen en la Tabla A.10.

Parámetro Valor
Datos de aplicación
Agua para la mezcla 19% en peso
Consistencia Plástica
Densidad de la mezcla (kg/m3) -
Prestaciones finales
Resistencia a compresión (fmc) (MPa) -
Resistencia a flexión (fmx) (MPa) -
Módulo de elasticidad a compresión (GPa) -
Resistencia a la adherencia (MPa) -

Tabla A.10 Características del mortero Bikain R3 según fabricante.

A.4.2. Preparación de las probetas de mortero

Se llevaron a término dos tipos de ensayos normalizados para caracterizar los diferentes morteros utilizados como matriz del TRM. Para determinar la resistencia a flexión y tracción se realizó un ensayo a tres puntos y, con cada una de las partes resultantes de la probeta, se ejecutó un ensayo de compresión directa para obtener su resistencia a compresión.

Los especímenes ensayados consistieron en piezas prismáticas de 160x40x40mm fabricados en moldes normalizados de capacidad para 3 probetas (Figura A.28a). Previamente al vertido del mortero, los moldes fueron untados con un producto desencofrante que facilitara la operación de desmoldeo. Una vez vertido el mortero, las probetas fueron vibradas manualmente y dejadas reposar entre 3 y 10 días en los moldes (Figura A.28b). Posteriormente se desmoldearon los especímenes y se dejaron curar en condiciones de ambiente interior al menos 28 días antes de ser ensayadas.

Draft Samper 184616083-image85.jpeg
Draft Samper 184616083-image86.jpeg
a) b)

Figura A.28 Elaboración de probetas de mortero: a) molde normalizado, b) probetas en fase de curado inicial.

A.4.3. Procedimientos de ensayo en probetas de mortero

A.4.3.1. Ensayo para la determinación de la resistencia a flexión y tracción

El ensayo para la determinación de la resistencia a flexión y tracción de las probetas de mortero se realizó según la normativa EN 1015-11:2000 [92], la cual determina la ejecución de un ensayo a 3 puntos con aplicación de la carga en el centro de la luz y una separación entre soportes de 100mm (Figura A.29). Para asegurar la estandarización de los resultados, los ensayos se ejecutaron mediante una herramienta normalizada para este propósito (Figura A.30).

Draft Samper 184616083-image87.png

Figura A.29 Configuración del ensayo a flexión en probetas de mortero.
Draft Samper 184616083-image88.jpeg

Figura A.30 Herramienta de ensayo normalizada.

La aplicación de la carga fue ejecutada mediante control por fuerza a una velocidad de 10N/s con una prensa de ensayos electromecánica con capacidad de carga de 50kN (Figura A.31).

Draft Samper 184616083-image89.jpeg

Figura A.31 Montaje del ensayo a flexión de probetas de mortero.

El procedimiento de ensayo se describe a continuación:

  • Posicionamiento de la probeta de forma que esta tuviese contacto total con la parte trasera de la herramienta de ensayo. Posicionamiento longitudinal del espécimen de forma que este estuviera centrado respecto el punto de aplicación de la carga.
  • Descenso de la herramienta de aplicación de carga mediante el uso de la prensa electromecánica hasta alcanzar la separación de 1mm con el espécimen a ensayar (Figura A.32).
Draft Samper 184616083-image90.jpeg

Figura A.32 Posición inicial del ensayo a flexión en probetas de mortero.
  • Inicio de la adquisición de datos y aplicación de carga mediante control por fuerza a una velocidad de 10N/s. Las variables registradas fueron el desplazamiento vertical de la herramienta de aplicación de carga y la fuerza aplicada por la prensa electromecánica. Estas fueron adquiridas a 5Hz.
  • El proceso de carga fue filmado con una cámara de alta velocidad con el objetivo de captar nítidamente el momento de la fisuración de la probeta (Figura A.33). El ensayo se dio por concluido cuando el espécimen sufrió un fallo por rotura frágil.
Draft Samper 184616083-image91.png
Draft Samper 184616083-image92.png
Draft Samper 184616083-image93.png

Figura A.33 Proceso de fisuración de una probeta de mortero ensayada a flexión.
  • Las dos partes resultantes de la probeta fracturada fueron utilizadas posteriormente para los ensayos a compresión.

A.4.3.2. Ensayo para la determinación de la resistencia a compresión

El ensayo para la determinación de la resistencia a compresión de las probetas de mortero se realizó según la normativa EN 1015-11:2000 [92], la cual determina la ejecución de un ensayo de compresión directa en un volumen cúbico de mortero de 40mm de lado. Con el propósito de no manufacturar especialmente probetas para este ensayo, se aprovecharon cada una de las mitades obtenidas del ensayo a flexión desarrollado con anterioridad (Figura A.34).

Draft Samper 184616083-image94.png

Figura A.34 Configuración del ensayo a compresión en probetas de mortero.

Para asegurar la correcta distribución de los esfuerzos, los ensayos se ejecutaron utilizando dos placas metálicas de 40x40x10mm en ambos lados de la probeta. La aplicación de la carga se realizó mediante control por fuerza a una velocidad de 350N/s utilizando un actuador oleohidráulico de capacidad 100kN (Figura A.35).

Draft Samper 184616083-image95.jpeg

Figura A.35 Montaje del ensayo a compresión en probetas de mortero.

El procedimiento de ensayo se describe a continuación:

  • Posicionamiento de la probeta de forma que las dos placas metálicas estuvieran alineadas y dentro de la región sin fisurar de la probeta de mortero. Alineación del sistema en el plano respecto el actuador oleohidráulico.
  • Descenso del actuador oleohidráulico hasta alcanzar el contacto con la placa metálica superior (Figura A.36).
Draft Samper 184616083-image96.jpeg

Figura A.36 Posición inicial del ensayo a compresión en probetas de mortero.
  • Inicio de la adquisición de datos y aplicación de carga mediante control por fuerza a una velocidad de 350N/s. Las variables registradas fueron el desplazamiento vertical y la fuerza aplicada por el actuador oleohidráulico. Estas fueron adquiridas a 50Hz.
  • El proceso de carga fue filmado con una cámara de alta velocidad con el objetivo de captar nítidamente el momento del aplastamiento de la probeta (Figura A.37). El ensayo se dio por concluido cuando el espécimen sufrió el fallo por rotura frágil.
Draft Samper 184616083-image97.png
Draft Samper 184616083-image98.png
Draft Samper 184616083-image99.png

Figura A.37 Proceso de aplastamiento de una probeta de mortero ensayada a compresión.

A.4.4. Resultados experimentales de los ensayos en morteros

Los resultados de los ensayos realizados en probetas de mortero se obtuvieron según las siguientes consideraciones:

  • La resistencia a flexión del mortero (fmx) se obtuvo suponiendo una distribución tensional lineal en la sección más solicitada del espécimen en el momento de carga máxima, de la siguiente manera (Ec. A.3):

A.3

Donde Fmax es la fuerza máxima aplicada en el ensayo de tres puntos, L es la distancia entre soportes y bh son las dimensiones de la sección transversal de la probeta.

  • La resistencia a tracción del mortero (fmt) se obtiene a partir de la resistencia a flexión (fmx) usando la formulación incluida en EHE-08 [105], usada también para este propósito por Charry [108] y Bernat [38] (Ec. A.4).

A.4

Donde h (mm) es la altura de la probeta.

  • La resistencia a compresión del mortero (fmc) se obtuvo suponiendo una distribución tensional constante en la sección del espécimen en el momento de carga máxima (Ec. A.5):

A.5

Donde Fmax es la fuerza máxima aplicada en el ensayo de compresión directa y b es la base de la probeta.

En las siguientes tablas (Tabla A.11 – A.14) se incluye el código del espécimen, la edad de la probeta y los valores de resistencia tensional correspondientes. En la Tabla A.15 se muestra un resumen de las características mecánicas de los morteros, incluyendo la media de los resultados y el coeficiente de variación.

Espécimen Edad (días) Resistencia a flexión

fmx (MPa)

Resistencia a tracción

fmt (MPa)

Resistencia a compresión

fmc (MPa)

PHDM-01 60 9,34 4,12 34,68 38,13
PHDM-02 60 8,63 3,81 38,52 37,48
PHDM-03 60 9,11 4,02 34,85 37,41
PHDM-04 60 8,58 3,79 32,96 35,23
PHDM-05 60 7,69 3,39 36,86 35,27
PHDM-06 60 8,45 3,73 30,66 31,24
PHDM-07 164 12,36 5,45 40,63 38,11
PHDM-08 164 10,85 4,79 36,21 33,93
PHDM-09 164 14,26 6,29 39,39 35,61
PHDM-10 164 11,86 5,23 33,52 36,01
PHDM-11 164 13,98 6,17 36,16 39,16
PHDM-12 164 11,88 5,24 39,40 38,19

Tabla A.11 Resultados de los ensayos en el mortero Planitop HDM Maxi.
Espécimen Edad (días) Resistencia a flexión

fmx (MPa)

Resistencia a tracción

fmt (MPa)

Resistencia a compresión

fmc (MPa)

XM750-01 40 10,25 4,52 30,31 27,07
XM750-02 40 9,47 4,18 26,61 27,70
XM750-03 40 10,36 4,57 31,21 26,97
XM750-04 40 11,75 5,18 33,50 32,31
XM750-05 40 11,19 4,94 31,42 30,74
XM750-06 40 10,91 4,81 31,98 32,19
XM750-07 302 9,64 4,25 26,08 26,56
XM750-08 302 9,64 4,25 28,13 26,76
XM750-09 302 10,31 4,55 26,58 25,76
XM750-10 302 10,52 4,64 28,73 29,66
XM750-11 302 10,59 4,67 26,36 26,79
XM750-12 302 9,92 4,38 26,32 26,98

Tabla A.12 Resultados de los ensayos en el mortero X Mesh M750.
Espécimen Edad (días) Resistencia a flexión

fmx (MPa)

Resistencia a tracción

fmt (MPa)

Resistencia a compresión

fmc (MPa)

XM25-01 66 8,97 3,96 24,31 19,86
XM25-02 66 7,87 3,47 24,12 26,29
XM25-03 66 7,47 3,30 23,31 26,98
XM25-04 66 6,66 2,94 28,58 25,76
XM25-05 66 7,94 3,50 24,17 26,59
XM25-06 66 8,34 3,68 24,71 24,78
XM25-07 236 - - 16,82 16,70
XM25-08 236 6,51 2,87 16,45 17,51
XM25-09 236 7,35 3,24 18,00 17,73
XM25-10 236 7,81 3,45 14,01 15,61
XM25-11 236 6,47 2,85 15,00 16,19
XM25-12 236 5,84 2,58 11,38 14,19

Tabla A.13 Resultados de los ensayos en el mortero X Mesh M25.
Espécimen Edad (días) Resistencia a flexión

fmx (MPa)

Resistencia a tracción

fmt (MPa)

Resistencia a compresión

fmc (MPa)

R3-01 61 7,98 3,52 28,53 23,39
R3-02 61 8,96 3,95 26,30 25,04
R3-03 61 7,73 3,41 29,34 19,83
R3-04 61 7,88 3,48 24,51 25,53
R3-05 61 6,70 2,96 26,36 23,09
R3-06 61 9,51 4,20 20,79 23,10
R3-07 316 9,16 4,04 20,50 17,75
R3-08 316 8,79 3,88 17,41 21,66
R3-09 316 - - 22,76 21,94
R3-10 316 8,26 3,65 21,32 23,41
R3-11 316 8,94 3,95 23,66 17,34
R3-12 316 8,32 3,67 22,23 22,80

Tabla A.14 Resultados de los ensayos en el mortero Bikain R3.
Mortero Designación Resistencia a flexión

fmx (MPa)

Resistencia a tracción

fmt (MPa)

Resistencia a compresión

fmc (MPa)

Planitop HDM Maxi PHDM 10,58 (0,20) 4,67 (0,20) 36,23 (0,07)
X Mesh M750 XM750 10,38 (0,06) 4,58 (0,06) 28,61 (0,08)
X Mesh M25 XM25 7,38 (0,12) 3,26 (0,12) 20,38 (0,24)
Bikain R3 R3 8,38 (0,09) 3,70 (0,09) 22,86 (0,13)

Tabla A.15 Promedio de los resultados obtenidos de los ensayos en morteros (entre paréntesis el coeficiente de variación).

Analizando los datos, la principal conclusión que se obtiene es que el mortero PHDM desarrolla un incremento de la resistencia a flexión, tracción y compresión con el paso del tiempo. En cambio, poniendo el foco en la resistencia a compresión, los morteros XM750 y R3, pero sobretodo el XM25, tienen un comportamiento diametralmente opuesto, hecho que puede comprometer la seguridad del elemento estructural si no se tiene en cuenta esta tendencia a medio plazo.

Los siguientes gráficos (Figura A.38 – A.40) muestran las resistencias a flexión, tracción y compresión de los morteros incluidos en el estudio. Se incluyen los valores medios de los ensayos (en rojo) y los valores proporcionados por los respectivos fabricantes (en azul).

Draft Samper 184616083-image100.png

Figura A.38 Resistencia a flexión de los morteros ensayados.
Draft Samper 184616083-image101.png

Figura A.39 Resistencia a tracción de los morteros ensayados.
Draft Samper 184616083-image102.png

Figura A.40 Resistencia a compresión de los morteros ensayados.

En el caso de la resistencia a flexión (Figura A.38), para el mortero XM750 se observa que el valor medio de los ensayos fue un 197% superior que el valor del fabricante, siendo este último un valor muy conservador. En menor medida, el fabricante del mortero PHDM también proporciona un valor de resistencia conservador en comparación con los resultados experimentales obtenidos (el valor experimental fue un 32% superior). En cambio, en el caso del mortero XM25, ambos valores se muestran similares.

En cuanto a la resistencia a compresión (Figura A.40), existe una dispersión de tendencias entre los diferentes morteros comparando los valores proporcionados por el fabricante y los experimentales. Se constata que, en cuanto al mortero PHDM, el valor experimental obtenido fue un 45% superior al facilitado por el productor. Por el contrario, el mortero XM25 desarrolló unos resultados opuestos, siendo la media de los resultados experimentales un 46% inferior que la proporcionada por el fabricante. Esto puede conllevar un diseño estructural por el lado de la inseguridad, hecho no deseable en ningún caso. Por último, en el caso del mortero XM750, ambos valores se muestran similares.

Las siguientes figuras (Figura A.41 – A.48) muestran la relación fuerza-desplazamiento de los diferentes morteros ensayados. En ellas se puede observar el diferente grado de fragilidad que presentan los especímenes, tanto en el ensayo a flexión (Figura A.41 – A.44) como en el ensayo a compresión (Figura A.45 – A.48), desarrollando una rotura más dúctil aquellos morteros con mayor concentración de fibras.

Draft Samper 184616083-image103.png

Figura A.41 Resultado del ensayo para la determinación de la resistencia a flexión y tracción de un mortero Planitop HDM Maxi.

Draft Samper 184616083-image104.png

Figura A.42 Resultado del ensayo para la determinación de la resistencia a flexión y tracción de un mortero X Mesh M750.

Draft Samper 184616083-image105.png

Figura A.43 Resultado del ensayo para la determinación de la resistencia a flexión y tracción de un mortero X Mesh M25.
Draft Samper 184616083-image106.png

Figura A.44 Resultado del ensayo para la determinación de la resistencia a flexión y tracción de un mortero Bikain R3.
Draft Samper 184616083-image107.png

Figura A.45 Resultado del ensayo para la determinación de la resistencia a compresión de un mortero Planitop HDM Maxi.
Draft Samper 184616083-image108.png

Figura A.46 Resultado del ensayo para la determinación de la resistencia a compresión de un mortero X Mesh M750.
Draft Samper 184616083-image109.png

Figura A.47 Resultado del ensayo para la determinación de la resistencia a compresión de un mortero X Mesh M25.
Draft Samper 184616083-image110.png

Figura A.48 Resultado del ensayo para la determinación de la resistencia a compresión de un mortero Bikain R3.

A.5. Ensayos de caracterización de los tejidos

Los tejidos de fibras representan el elemento resistente del material compuesto TRM. Sus características mecánicas dependen principalmente de la cantidad de fibras que contienen, i.e. su densidad de masa lineal (registrada en gramos cada 1000m o tex), así como su orientación, tamaño, organización geométrica y tipo de material.

En el presente apartado se incluye la caracterización de los tejidos utilizados en las diferentes combinaciones de TRM estudiadas. Se desarrolla una descripción de cada uno de ellos, con un resumen de las especificaciones técnicas según fabricante, y se realiza una explicación del método de ensayo utilizado para la determinación de las propiedades mecánicas de los tejidos, incluyendo un resumen de los pasos seguidos para la elaboración de las probetas. Finalmente se presentan los resultados de cada uno de los especímenes ensayados.

A.5.1. Descripción de los tejidos

Los tejidos utilizados en el presente estudio son productos comerciales de diferentes fabricantes diseñados específicamente para el refuerzo estructural. Algunos de ellos fueron suministrados conjuntamente con el mortero de aplicación, mientras que otros fueron aplicados con una matriz cementítica independiente. A continuación se detallan las características técnicas de cada uno de los tejidos utilizados en el presente trabajo.

A.5.1.1. Fidsteel 3x2-B 4-12-500 Hardwire

El Fidsteel 3x2-B 4-12-500 Hardwire, designado como A4, es un tejido unidireccional formado por cordones de acero con alto contenido de carbono recubiertos por una fina capa de latón. Los cordones están fijados por una malla auxiliar de polímero termoestable (Figura A.49a) y están distribuidos a razón de 4 unidades cada 2,5cm (Figura A.49b). Cada cordón está constituido por 5 alambres de diámetro 0,35mm, ubicándose 2 alambres centrales envueltos por otros 3 externos que se entrelazan entre sí.

Draft Samper 184616083-image111.jpeg
Draft Samper 184616083-image112-c.png
a) b)

Figura A.49 Tejido Fidsteel 3x2-B 4-12-500 Hardwire: a) imagen, b) organización geométrica.

Este tipo de tejido está diseñado para el refuerzo de estructuras de mampostería (arcos, muros y soportes) y puede ser impregnado tanto por resinas como por morteros. Presenta una elevada resistencia a tracción, así como una elevada flexibilidad, idónea para ser anclado a la estructura. Las características técnicas según fabricante, obtenidas de acuerdo CNR-DT 200/2004 [82], se resumen en la Tabla A.16.

Parámetro Valor
Alambres
Área (mm2) 0,096
Resistencia a tracción (ffib,u) (MPa) 3200
Módulo de elasticidad (Efib) (GPa) 206
Cordón
Área cordón (mm2) 0,481
Resistencia a tracción (fcordón) (MPa) 3068,6
Tejido
Distribución Unidireccional
Nº de cordones (cordón/cm) 1,57
Peso (g/m2) 600(*)
Espesor equivalente (ttex) (mm) 0,075
Resistencia a tracción (ftex,u) (MPa) 3070
Módulo de elasticidad (Etex) (GPa) 190
Deformación última (εtex,u) (%) 1,60
(*) Incluye el peso de la malla auxiliar de polímero termoestable.

Tabla A.16 Características del tejido Fidsteel 3x2-B 4-12-500 Hardwire según fabricante.

Fidsteel 3x2-B 4-12-500 Hardwire es fabricado por la empresa Fidia S.R.L. y viene distribuido en bobinas de 305mm de anchura y 152m de longitud.

A.5.1.2. Fidsteel 3x2-B 12-12-500 Hardwire

El Fidsteel 3x2-B 12-12-500 Hardwire, designado como A12, es un tejido unidireccional formado por el mismo tipo de cordón que el Fidsteel 3x2-B 4-12-500 Hardwire, pero dispuestos con una menor separación entre ellos, i.e. un tejido con mayor densidad de alambres. De igual forma, los cordones están fijados por una malla auxiliar de polímero termoestable (Figura A.50a) y están distribuidos a razón de 12 unidades cada 2,5cm (Figura A.50b).

Este tipo de tejido está diseñado tanto para el refuerzo de estructuras de mampostería como para el refuerzo de estructuras de hormigón. Puede ser impregnado tanto por resinas como por morteros, pero se recomienda utilizar las primeras en el caso de reforzar elementos de hormigón y los últimos cuando se aplique en mampostería.

Draft Samper 184616083-image113.jpeg
Draft Samper 184616083-image114-c.png
a) b)

Figura A.50 Tejido Fidsteel 3x2-B 12-12-500 Hardwire: a) imagen, b) organización geométrica.

Fidsteel 3x2-B 12-12-500 Hardwire es fabricado por la empresa Fidia S.R.L. y viene distribuido en bobinas de 305mm de anchura y 152m de longitud. Las características técnicas según fabricante, obtenidas de acuerdo CNR-DT 200/2004 [82], se resumen en la Tabla A.17.

Parámetro Valor
Alambres
Área (mm2) 0,096
Resistencia a tracción (ffib,u) (MPa) 3200
Módulo de elasticidad (Efib) (GPa) 206
Cordón
Área cordón (mm2) 0,481
Resistencia a tracción (fcordón) (MPa) 3068,6
Tejido
Distribución Unidireccional
Nº de cordones (cordón/cm) 4,72
Peso (g/m2) 1800(*)
Espesor equivalente (ttex) (mm) 0,227
Resistencia a tracción (ftex,u) (MPa) 3070
Módulo de elasticidad (Etex) (GPa) 190
Deformación última (εtex,u) (%) 1,60
(*) Incluye el peso de la malla auxiliar de polímero termoestable.

Tabla A.17 Características del tejido Fidsteel 3x2-B 12-12-500 Hardwire según fabricante.

A.5.1.3. Fidbasalt Grid 300 C95

El Fidbasalt Grid 300 C95, designado como B, es un tejido bidireccional formado por mechones de fibras de basalto producidas a partir de la fusión y posterior hilatura de rocas volcánicas. Los mechones están fijados mediante el termo-soldado de una malla auxiliar de poliéster que previene su deshilachado y da consistencia al tejido (Figura A.51a). Presentan un ancho de 5mm y están separados 10mm entre ellos (Figura A.51b).

Draft Samper 184616083-image115.jpeg
Draft Samper 184616083-image116-c.png
a) b)

Figura A.51 Tejido Fidbasalt Grid 300 C95: a) imagen, b) organización geométrica.

Este tipo de tejido es adecuado para aplicar como refuerzo en estructuras de hormigón y mampostería, y puede ser impregnado tanto por resinas como por morteros. Debido a su tenacidad es un material adecuado para reforzar estructuras sometidas a impactos severos o cargas cíclicas, así como para mitigar los efectos sísmicos y limitar la propagación de fisuras en estructuras. Además presenta una elevada resistencia a tracción y a fatiga, y no se ve afectado por procesos de corrosión o hidrolisis.

Parámetro Valor
Fibras
Densidad (g/cm3) 2,8
Resistencia a tracción (ffib,u) (MPa) 3080
Módulo de elasticidad (Efib) (GPa) 95
Deformación última (εfib,u) (%) 3,15
Mechón
Densidad de masa lineal (Tex) 1200
Ancho mechón (wm) (mm) 5
Tejido
Distribución Bidireccional
Nº de mechones (mechón/cm) 1,25
Peso (g/m2) 300(*)
Espesor equivalente (ttex) (mm) 0,053
Resistencia a tracción (ftex,u) (MPa) 1735
Módulo de elasticidad (Etex) (GPa) 90
Deformación última (εtex,u) (%) 1,93
(*) Incluye el peso de la malla auxiliar de polímero termoestable.

Tabla A.18 Características del tejido Fidbasalt Grid 300 C95 según fabricante.

Fidbasalt Grid 300 C95 es fabricado por la empresa Fidia S.R.L. y viene distribuido en bobinas de diferentes dimensiones. Las características técnicas según fabricante, obtenidas de acuerdo CNR-DT 200/2004 [82], se resumen en la Tabla A.18.

A.5.1.4. X Mesh C10

El X Mesh C10, designado como C, es un tejido bidireccional formado por mechones de fibra de carbono termo-soldados a una red auxiliar de poliéster (Figura A.52a). Estos tienen un ancho de 5mm y están separados entre sí por una distancia de 5mm (Figura A.52b).

Draft Samper 184616083-image117.jpeg
Draft Samper 184616083-image118-c.png
a) b)

Figura A.52 Tejido X Mesh C10: a) imagen, b) organización geométrica.

Este tipo de tejido es idóneo para el refuerzo de estructuras de mampostería (arcos, muros y soportes) y está diseñado para ser impregnado por matrices inorgánicas. Confiere una elevada ductilidad a los elementos reforzados y presenta un óptimo comportamiento frente incrementos elevados de temperatura.

Parámetro Valor
Fibras
Densidad (g/cm3) 1,82
Resistencia a tracción (ffib,u) (MPa) 4800
Módulo de elasticidad (Efib) (GPa) 240
Deformación última (εfib,u) (%) 1,80
Mechón
Ancho mechón (wm) (mm) 5
Resistencia a tracción (fmechón) (kp/cm) ≥160
Tejido
Distribución Bidireccional
Separación entre mechones (sm) (mm) 5
Peso (g/m2) 168
Espesor equivalente (ttex) (mm) 0,047

Tabla A.19 Características del tejido X Mesh C10 según fabricante.

X Mesh C10 es fabricado por la empresa Ruredil S.p.A. y viene distribuido en bobinas de 1000mm de anchura y 15m de longitud. Las características técnicas según fabricante se resumen en la Tabla A.19. Este tejido está diseñado para ser aplicado conjuntamente con el mortero X Mesh M25.

A.5.1.5. X Mesh Gold

El X Mesh Gold, designado como P, es un tejido bidireccional formado por mechones de fibra de Poliparafenil benzobisoxazol (PBO) termo-soldados a una red auxiliar de poliéster (Figura A.53a). Las fibras de PBO son fibras poliméricas de cristal isotrópico (p-fenileno-2 ,6-benzobisoxazol) de elevada rigidez y resistencia a tracción. En su dirección principal, el tejido presenta 4 veces más densidad de fibras que respecto su dirección secundaria, con lo que en ocasiones se puede asumir que este tejido presenta un comportamiento unidireccional. Los mechones en la dirección principal tienen un ancho de 5mm y están separados entre sí por una distancia de 5mm (Figura A.53b).

Draft Samper 184616083-image119.jpeg
Draft Samper 184616083-image120-c.png
a) b)

Figura A.53 Tejido X Mesh Gold: a) imagen, b) organización geométrica.

Este tipo de tejido ha sido diseñado como refuerzo externo de estructuras de hormigón armado o pretensado. Es adecuado para incrementar la resistencia a flexión, cortante y torsión de diferentes tipos de estructuras, así como la flexibilidad de las uniones viga-pilar en zonas con elevado riesgo sísmico. Además presenta una elevada estabilidad estructural frente al fuego, con lo que representa un refuerzo adecuado en zonas con riesgo elevado de incendio.

X Mesh Gold es fabricado por la empresa Ruredil S.p.A. y viene distribuido en bobinas de 1000mm de anchura y 15m de longitud. Las características técnicas según fabricante se resumen en la Tabla A.20. Este tejido está diseñado para ser aplicado conjuntamente con el mortero X Mesh M750.

Parámetro Valor
Fibras
Densidad (g/cm3) 1,56
Resistencia a tracción (ffib,u) (MPa) 5800
Módulo de elasticidad (Efib) (GPa) 270
Deformación última (εfib,u) (%) 2,15
Temperatura de descomposición (ºC) 650
Coeficiente de dilatación térmica (ºC-1) -6e10-6
Mechón
Ancho mechón (wm) (mm) 5
Tejido
Distribución Unidireccional(*)
Separación entre mechones (sm) (mm) 5
Peso (g/m2) 88
Espesor equivalente (ttex) (mm) 0,0455
Resistencia a tracción (ftex,u) (KN/m) 264
(*) El autor considera este tejido unidireccional debido a la significativa diferencia de propiedades entre su dirección principal y secundaria.

Tabla A.20 Características del tejido X Mesh Gold según fabricante.

A.5.1.6. Mapegrid G220

El Mapegrid G220, designado como V, es un tejido bidireccional formado por mechones de fibra de vidrio resistente a los álcalis (AR-Glass) recubiertos por una capa polimérica (Figura A.54a). Dependiendo de la dirección, los mechones tienen una anchura y separación diferentes, aunque la cuantía de fibras se mantiene invariante (Figura A.54b).

Draft Samper 184616083-image121.jpeg
Draft Samper 184616083-image122-c.png
a) b)

Figura A.54 Tejido Mapegrid G220: a) imagen, b) organización geométrica.

Este tipo de tejido ha sido diseñado como refuerzo externo de estructuras de mampostería, ofreciendo una mayor ductilidad y un reparto más uniforme de las solicitaciones en los especímenes. Presenta una óptima resistencia a tracción, así como una inalterabilidad a las agresiones químicas y a los agentes atmosféricos.

Mapegrid G220 es fabricado por la empresa Mapei S.p.A. y viene distribuido en bobinas de 900mm de anchura y 45,7m de longitud. Las características técnicas según fabricante se resumen en la Tabla A.21. Este tejido está diseñado para ser aplicado conjuntamente con el mortero Planitop HDM Maxi.

Parámetro Valor
Fibras
Resistencia a tracción (ffib,u) (MPa) 2600
Mechón
Ancho mechón (wm) (mm) 6 / 3
Tejido
Distribución Bidireccional
Separación entre mechones (sm) (mm) 19 / 22
Peso (g/m2) 225
Espesor equivalente (ttex) (mm) 0,042
Resistencia a tracción (ftex,u) (kN/m) 45

Tabla A.21 Características del tejido Mapegrid G220 según fabricante.

A.5.2. Preparación de las probetas de tejido

Analizando los datos suministrados por los fabricantes (Tabla A.16 - A.21) se puede concluir que, generalmente, estos no proporcionan, de forma completa y uniformizada, la información referente a las propiedades de los tejidos que suministran. Debido a este motivo, se realizó una campaña de caracterización que ofreciera datos experimentales sobre las características mecánicas de los diferentes tejidos utilizados y pusiera de manifiesto la viabilidad de realizar ensayos de caracterización sencillos de mallas resistentes en caso de requerir de estos datos para el diseño estructural.

Basándose en la normativa ASTM D5034-09 [109] y a los trabajos realizados por García [104], Garmendia [110] y Larrinaga [95], con el objetivo de obtener su curva tensión-deformación de los especímenes, se diseñó una campaña experimental basada en ensayos de tracción directa hasta rotura de las probetas. A partir de esta curva, se extrajeron los valores de resistencia última a tracción ftex,u, módulo de elasticidad Etex y deformación última εtex,u de los tejidos.

Las probetas ensayadas consistieron en tramos de tejido de entre 30 y 40mm de ancho (magnitud condicionada por las dimensiones de la mordaza) y 500mm de longitud.

Debido a que el sistema de pinzado de las mordazas no era el adecuado para el tipo de espécimen (la presión de la mordaza no garantizaba que los mechones no deslizaran al aplicar carga o rompieran de forma local en ese tramo), se aplicaron en los extremos de la probeta dos pletinas de aluminio de 50x40mm adheridas a ambos lados con un adhesivo epóxico de resistencia a tracción 14-17MPa. Las pletinas se ubicaron de tal forma que hubiese aproximadamente 400mm de longitud libre de tejido entre ellas. El proceso de preparación de los especímenes consistió de las siguientes etapas:

  • Corte del tejido y de las pletinas de aluminio según las dimensiones especificadas.
  • Rascado de la superficie interna de las pletinas con el objetivo de aumentar la adherencia con la resina (Figura A.55a). Limpieza de la superficie y aplicación del adhesivo en las caras interiores de las pletinas (Figura A.55b).
Draft Samper 184616083-image123.jpeg
Draft Samper 184616083-image124.jpeg
a) b)

Figura A.55 Proceso de preparación de pletinas de aluminio: a) rascado y limpiado de la superficie, b) aplicación del adhesivo.
  • Aplicación del tejido en una de las pletinas, presionando levemente para asegurar la penetración del adhesivo alrededor de todos los mechones/cordones (Figura A.56a). Posicionamiento de la pletina contraria y aplicación de presión durante 120 segundos (Figura A.56b). Limpieza del material sobrante.
Draft Samper 184616083-image125.jpeg
Draft Samper 184616083-image126.jpeg
a) b)

Figura A.56 Preparación del tejido: a) inserción del tejido en el adhesivo, b) posicionamiento de la segunda pletina de aluminio.
  • Repetición de los pasos para la ejecución del sistema en el extremo opuesto de la probeta.
  • Previamente a la ejecución de los ensayos, se realiza un curado al aire del espécimen en condiciones internas durante al menos 2 días (Figura A.57).
Draft Samper 184616083-image127.jpeg

Figura A.57 Probeta de tejido con pletinas de aluminio en fase de curado.

A.5.3. Procedimiento de ensayo para la determinación la curva tensión-deformación en probetas de tejido

El ensayo para la determinación de la curva tensión-deformación de tejidos resistentes dispuestos en forma de malla consistió en la aplicación directa de una tracción hasta la rotura del espécimen. Con el objetivo de obtener las deformaciones, se instaló un transductor de desplazamiento de alta precisión de 20mm de recorrido (error máximo de desviación lineal a fondo de escala menor a ±0,20%) que registró los desplazamientos del tejido en la sección frontera entre la malla y las pletinas de aluminio (Figura A.58). Las deformaciones se obtuvieron relacionando el incremento de longitud registrada (ΔL) con la distancia inicial entre pletinas de aluminio (L0), suponiendo despreciables los deslizamientos del tejido respecto el adhesivo (Ec. A.6):

A.6

Draft Samper 184616083-image128-c.png

Figura A.58 Configuración del ensayo a tracción en tejidos de fibras.

Según ASTM D5034-09 [109], el ensayo debe ser realizado por control de desplazamiento a una velocidad recomendada de 300mm/min. En esa línea, estudios realizados por García [104] mostraron la influencia que tiene la velocidad de ensayo en la resistencia a tracción de los tejidos, i.e. a mayor velocidad de ensayo, mayores valores de resistencia obtenidos. De acuerdo con los criterios definidos por Larrinaga [95], la aplicación de la carga fue ejecutada mediante control por desplazamiento a una velocidad de 2mm/min con una prensa de ensayos electromecánica de 50kN de capacidad de carga (Figura A.59).

Draft Samper 184616083-image129.jpeg

Figura A.59 Montaje del ensayo a tracción en tejidos de fibras.

El procedimiento de ensayo se describe a continuación:

  • Fijación de la probeta a las mordazas de la prensa, procurando que estas recogieran todo el ámbito de las pletinas de aluminio.
  • Desplazamiento ascendiente de la mordaza superior hasta que el espécimen entrada en tensión (Figura A.60). En esta sentido cabe destacar la imposibilidad de proveer de una misma deformación inicial a todas las fibras (o alambres) de que está compuesto el tejido. Este hecho afecta directamente y de forma significativa a los resultados de deformación última εtex,u y modo de fallo, desarrollando una menor resistencia a tracción aquellos especímenes con mayor número de mechones o cordones [110].
Draft Samper 184616083-image130.jpeg

Figura A.60 Posición inicial del ensayo a tracción en tejidos de fibras.
  • Inicio de la adquisición de datos y aplicación de carga mediante control por desplazamiento a una velocidad de 2mm/min. Se midieron la distancia inicial entre pletinas de aluminio y el ancho de las probetas. Las variables registradas fueron el incremento de longitud del tejido, medido utilizando el transductor lineal de desplazamiento, y la fuerza aplicada por la prensa electromecánica. Toda la información fue compilada mediante el adquisidor de datos MGC-Plus a frecuencia de 50Hz.
  • El ensayo se dio por concluido cuando los especímenes sufrieron un fallo por rotura de las fibras.

A.5.4. Resultados experimentales de los ensayos en tejidos

Los resultados de los ensayos realizados en muestras de tejido se obtuvieron según las siguientes consideraciones:

  • La resistencia última a tracción del tejido (ftex,u) se obtuvo suponiendo una distribución uniforme de tensiones en la sección más solicitada del espécimen en el momento de carga máxima, de la siguiente manera (Ec. A.7):

A.7

Donde Fmax es la fuerza máxima aplicada, dtex es el ancho de la probeta y ttex es el espesor equivalente del tejido.

  • El módulo de elasticidad longitudinal (Etex) se obtuvo calculando la pendiente que forma la curva de tensión-deformación respecto el eje de abscisas en su tramo elástico.
  • La deformación última (εtex,u) se obtuvo registrando la deformación correspondiente a la resistencia última a tracción del tejido en la curva tensión-deformación.

En la Tabla A.22 se muestran los resultados obtenidos, incluyendo el código del espécimen, la distancia inicial entre pletinas de aluminio (L0), el ancho medio del tejido (dtex) y los valores de resistencia a tracción (ftex,u), módulo de elasticidad (Etex) y deformación última (εtex,u) correspondientes.

Espécimen Distancia inicial entre pletinas

L0 (mm)

Ancho medio del tejido

dtex (mm)

Resistencia última

ftex,u (MPa)

Módulo de elasticidad

Etex (GPa)

Deformación última

εtex,u (%)

A4-01 305 38,37 2265,46 135,41 1,80
A4-02(1) 302 39,25 1183,76 134,63 0,93
A4-03 297 37,47 1836,68 119,89 1,52
A12-01 291 39,38 2167,25 101,16 2,26
A12-02 306 42,16 2391,16 107,31 2,58
A12-03 303 32,24 2638,94 133,05 2,71
B-01 295 36,59 419,70 51,84 1,29
B-02 301 36,72 346,74 71,28 1,18
B-03 309 36,16 483,37 66,59 1,19
C-01 278 31,29 692,22 132,49 0,82
C-02 303 32,27 338,04 107,01 0,49
C-03 298 33,57 316,15 100,58 0,47
P-01 307 35,85 3393,56 165,12 2,19
P-02(2) 309 33,16 1508,42 148,19 2,08
P-03(1) 306 33,06 1807,44 92,21 2,58
V-01 302 29,93 757,64 79,36 1,01
V-02 300 29,78 708,14 73,58 1,06
V-03 309 30,12 873,44 73,17 1,24
(1) El tejido deslizó respecto del adhesivo.

(2) Las pletinas sufrieron una rotación en el proceso de carga.

Tabla A.22 Resultados de los ensayos en tejidos.

Analizando los datos (Tabla A.22), se observa una elevada dispersión de los resultados obtenidos en los tejidos de alambres de acero (A4) y fibras de PBO (P) debido a anomalías en los procedimientos de ensayo, i.e. deslizamientos de los mechones/cordones o rotación de las pletinas de sujeción. En el caso de los tejidos de fibras de carbono (C), uno de los especímenes obtuvo unos resultados significativamente más elevados que el resto.

La Tabla A.23 muestra un resumen de los valores medios de las características mecánicas de los tejidos obtenidas experimentalmente. Para el cálculo de estos valores, solo se tuvieron en cuenta los especímenes que tuvieron un fallo por rotura de las fibras (Figura A.61a) y se descartaron los resultados de aquellas probetas que sufrieron alguna incidencia, e.g. deslizamiento de los mechones (Figura A.61b) y/o rotación de las pletinas en el proceso de carga (Figura A.61c).

Tejido Designación Resistencia última

ftex,u (MPa)

Módulo de elasticidad

Etex (GPa)

Deformación última

εtex,u (%)

Fidsteel 3x2-B 4-12-500 Hardwire A4 2051,07 129,98 1,66
Fidsteel 3x2-B 12-12-500 Hardwire A12 2399,12 113,84 2,52
Fidbasalt Grid 300 C95 B 416,61 63,23 1,22
X Mesh C10 C 448,80 113,36 0,59
X Mesh Gold P 3393,56 156,66 2,19
Mapegrid G220 V 779,74 75,37 1,10

Tabla A.23 Promedio de los resultados obtenidos de los ensayos en tejidos.
Draft Samper 184616083-image131.jpeg
Draft Samper 184616083-image132.jpeg
a)
Draft Samper 184616083-image133.jpeg
b) c)

Figura A.61 Fallo de los especímenes: a) rotura de las fibras, b) deslizamiento de los mechones, c) rotación de la pletina.

Los siguientes gráficos (Figura A.62 – A.64) muestran los valores obtenidos de resistencia última a tracción ftex,u, módulo de elasticidad Etex y deformación última εtex,u de los tejidos ensayados. Se incluyen los valores medios de los ensayos (en rojo), los valores proporcionados por los respectivos fabricantes (en azul) y los valores obtenidos de los ensayos con alguna anomalía (círculo negro sólido).

Draft Samper 184616083-image134.png

Figura A.62 Resistencia última a tracción de los tejidos ensayados.
Draft Samper 184616083-image135.png

Figura A.63 Módulo de elasticidad de los tejidos ensayados.
Draft Samper 184616083-image136.png

Figura A.64 Deformación última de los tejidos ensayados.

Observando los tejidos constituidos por cordones de acero, se comprueba que los especímenes con mayor densidad de cordones (A12) presentaron una mayor capacidad resistente (Figura A.62) y deformación última (Figura A.64) que sus homólogos de baja densidad (A4). Por el contrario, el promedio de los resultados en referencia al módulo de elasticidad es superior en los tejidos de menor densidad de cordones (Figura A.63). Al contrario de lo especificado por los fabricantes, estos datos indican una clara influencia de la densidad de masa lineal en las características mecánicas de los tejidos.

En cuanto a los tejidos de fibras basalto (B), los ensayos mostraron una dispersión de resultados menor que en otros tejidos, pero el promedio de los valores experimentales fue sensiblemente inferior a los proporcionados por el fabricante.

Los resultados obtenidos en los ensayos de probetas de tejidos de fibra de carbono (C) muestran una mayor dispersión que los extraídos de la serie con tejidos de fibras de basalto (B). En particular, los valores de resistencia última a tracción y deformación última del espécimen C-01 fueron entre un 75% y 120% superiores a los de los otros dos especímenes (Figura A.62 y Figura A.64). En el caso del módulo de elasticidad, el espécimen C-01 desarrolló un valor 23% y 32% superior a los especímenes C-02 y C-03, respectivamente (Figura A.63). Estas diferencias pueden ser debidas a la dificultad de inferir la misma deformación inicial en todas las fibras debido a la elevada densidad de material existente en cada mechón. Debido a la falta de datos suministrados por el fabricante, no se puede realizar la comparación entre estos y los promedios extraídos de los experimentos realizados.

Los tejidos de fibras de PBO (P) presentaron una elevada dispersión de resultados. Como se ha comentado con anterioridad, este hecho fue debido a anomalías en los ensayos debidas principalmente al deslizamiento de las fibras en el mecanismo de sujeción. La causa de estos deslizamientos fue la baja capacidad de penetración que tuvo el adhesivo en el tejido, en el que quedaron sin impregnar las fibras interiores de los mechones debido a su elevada densidad de material (Figura A.65). Independientemente a estas casuísticas, cabe destacar que la resistencia a tracción obtenida del ensayo sin incidencias fue un 59% inferior al valor proporcionado por el fabricante (Figura A.62), una diferencia significativa entre ambos datos.

Draft Samper 184616083-image137.jpeg

Figura A.65 Impregnación deficiente del adhesivo en tejido de PBO.

Por último, los tejidos de fibras de vidrio (V) son los que muestran una menor dispersión de resultados en el conjunto de características mecánicas analizadas. Además, en cuanto a la resistencia última a tracción, son los tejidos que muestran una mejor concordancia entre el promedio de los resultados experimentales y el valor suministrado por el fabricante (Figura A.62).

Con el objetivo de profundizar en los datos suministrados por los fabricantes y estudiar las diferencias entre las características mecánicas de las fibras y los tejidos, la Figura A.66 muestra los valores, según fabricante, de resistencia última de la fibra y resistencia última del tejido (en caso de ser proporcionados). Asimismo, se incluyen los promedios de los valores de resistencia última obtenidos experimentalmente. Exceptuando el caso del tejido de fibras de PBO (P), donde los valores de resistencia última a tracción de la fibra y del tejido especificados por el fabricante coinciden, la tendencia general es que las empresas que elaboran los productos proporcionen un valor de resistencia última a tracción superior para las fibras. Este hecho está en concordancia con el efecto malla que sufren los tejidos, i.e. la dificultad existente que todas las fibras desarrollen la misma tensión y deformación durante el proceso de carga.

Analizando los refuerzos de acero, el fabricante conviene en ofrecer los mismos valores de resistencia última de los alambres de ambos productos, i.e. el material de los alambres que conforman los cordones es exactamente el mismo. De forma análoga, la resistencia última de los tejidos proporcionada por el fabricante también coincide entre los tejidos de diferente densidad de masa lineal estudiados. Este hecho entra en contradicción con los resultados experimentales obtenidos, donde los tejidos con mayor densidad de cordones fueron capaces de desarrollar una mayor capacidad de carga.

En todos los casos, la resistencia última a tracción experimental del tejido es inferior a las proporcionadas por el fabricante, siendo este hecho más relevante en los refuerzos de fibra de carbono (C), PBO (P) y basalto (B).

Draft Samper 184616083-image138-c.png

Figura A.66 Resistencia última a tracción: comparativa entre fibras y tejidos.

Los siguientes gráficos (Figura A.67 - A.72) muestran la relación tensión-deformación de los diferentes tejidos.

Draft Samper 184616083-image139-c.png

Figura A.67 Relación tensión-deformación de los tejidos Fidsteel 3x2-B 4-12-500 Hardwire ensayados.

Draft Samper 184616083-image140.png

Figura A.68 Relación tensión-deformación de los tejidos Fidsteel 3x2-B 12-12-500 Hardwire ensayados.

Draft Samper 184616083-image141.png

Figura A.69 Relación tensión-deformación de los tejidos Fidbasalt Grid 300 C95 ensayados.
Draft Samper 184616083-image142.png

Figura A.70 Relación tensión-deformación de los tejidos X Mesh C10 ensayados.
Draft Samper 184616083-image143.png

Figura A.71 Relación tensión-deformación de los tejidos X Mesh Gold ensayados.
Draft Samper 184616083-image144.png

Figura A.72 Relación tensión-deformación de los tejidos Mapegrid G220 ensayados.

Dejando de lado los ensayos que sufrieron algún comportamiento no deseado, analizando los gráficos de tensión normal-deformación se puede observar que los tejidos de fibras de vidrio (Figura A.72), alambres de acero (Figura A.67 y Figura A.68) y fibras de PBO (Figura A.71) son los que ofrecieron una mayor linealidad en el comportamiento resistente hasta rotura. En cuanto los tejidos de fibras de basalto (Figura A.69), se puede observar una pérdida de linealidad cerca de la zona de agotamiento de su capacidad resistente. Este comportamiento se repitió en el caso de los tejidos de fibras de carbono, desarrollando también un comportamiento no lineal en el inicio del proceso de carga.

A.6. Ensayos de caracterización del TRM

A diferencia del FRP, el TRM presenta un elevado comportamiento no lineal debido a que su matriz inorgánica es significativamente más frágil que las fibras. En elementos delgados (~10mm), el tejido actúa como refuerzo, dotando al conjunto de carácter resistente.

A continuación se detallan los ensayos de caracterización del TRM, incluyendo una descripción de las combinaciones estudiadas, un resumen de los pasos seguidos para la elaboración de las probetas y una explicación del método de ensayo utilizado para la determinación de las sus características mecánicas. Finalmente se presentan los resultados de cada uno de los especímenes ensayados.

A.6.1. Descripción de las combinaciones de TRM

Las combinaciones de TRM utilizadas se pueden separar en dos tipologías definidas: combinaciones comerciales, donde el tejido y la matriz están diseñados para trabajar conjuntamente por el mismo fabricante, y las combinaciones no comerciales, donde el tejido y la matriz son componentes independientes suministrados por diferentes compañías. En relación a las combinaciones comerciales, cabe destacar que en ninguno de los casos estudiados los fabricantes proporcionan datos del comportamiento mecánico del material TRM como conjunto, restringiendo la información suministrada a las propiedades de los diferentes componentes por separado, i.e. las matrices y las fibras/tejidos.

En la Tabla A.24 se muestra un resumen de los tejidos y matrices utilizados en los diferentes tipos de TRM estudiados.

Designación TRM Tejido Matriz Combinación Matriz-Tejido(*)
A4R3 Fidsteel 3x2-B 4-12-500 Hardwire Bikain R3 NC
A12R3 Fidsteel 3x2-B 12-12-500 Hardwire Bikain R3 NC
BR3 Fidbasalt Grid 300 C95 Bikain R3 NC
CXM25 X Mesh C10 X Mesh M25 C
PXM750 X Mesh Gold X Mesh M750 C
VPHDM Mapegrid G220 Planitop HDM Maxi C
(*) C=refuerzo TRM comercial; NC=refuerzo TRM no comercial.

Tabla A.24 Tipos y combinaciones de TRM estudiados.

A.6.2. Preparación de las probetas de TRM

En materia del TRM, los fabricantes no proporcionan en ningún caso las propiedades mecánicas de este material compuesto, hecho que dificulta su introducción en el mercado como alternativa para el diseño de refuerzo de estructuras existentes.

En el presente trabajo se realizó una campaña de caracterización que ofreciera datos experimentales sobre las características mecánicas de las diferentes combinaciones de tejidos y matrices utilizados, y pusiera de manifiesto la viabilidad de realizar ensayos sencillos en especímenes de TRM en caso de requerir de estos datos para el diseño estructural.

Basándose en las prescripciones de la directriz AC434 [98], la guía de diseño ACI 549.4R-13 [83] y los trabajos realizados por Larrinaga [95] y Arboleda [99], se diseñó una campaña experimental basada en ensayos de tracción directa hasta rotura de los especímenes con el objetivo de obtener las propiedades mecánicas según la curva tensión-deformación ideal de un espécimen de TRM (Figura A.73).

Draft Samper 184616083-image145-c.jpeg

Figura A.73 Curva tensión-deformación ideal de un espécimen de TRM sometido a tracción.

Las propiedades mecánicas obtenidas de los especímenes de TRM se describen a continuación:

  • Tensión y deformación en el punto de transición en el momento de la aparición de la primera fisura (fft y εft, respectivamente).
  • Resistencia última a tracción (ffu).
  • Deformación última (εfu).
  • Módulo de elasticidad longitudinal del espécimen sin fisurar (Ef*).
  • Módulo de elasticidad longitudinal del espécimen fisurado (Ef).

En cuanto a la morfología de las probetas, no existe ninguna normalización en cuanto a forma o dimensiones de las mismas, a pesar de que este factor tiene una influencia relevante en los resultados de los ensayos. En el presente estudio se ejecutaron doce probetas rectangulares de 400mm de longitud con una sección transversal 32x6mm2. Se utilizaron todos los tejidos sometidos a estudio, con dos repeticiones para cada tipo y en cada caso se reforzó la matriz con una sola malla de tejido de dimensiones 395x30mm2. Para estudiar el proceso de fisuración, en algunos casos se añadió en ambos extremos de las probetas una capa adicional de refuerzo de dimensiones 70x30mm2 (Figura A.74).

Draft Samper 184616083-image146.png

Figura A.74 Morfología espécimen de TRM ensayado.

La sección transversal de los especímenes vino condicionada por las dimensiones de la mordaza y el espesor máximo recomendado en refuerzos TRM. Todas las muestras fueron preparadas en un encofrado de madera diseñado específicamente para este propósito.

Referente al sistema de fijación de los especímenes, investigaciones realizadas concluyeron que la resistencia última del TRM a tracción se ve influenciada por el tipo de sujeción utilizada en los ensayos [111]. En particular, se observó que las muestras fijadas a la máquina de ensayos con mordazas de apriete mecánico o neumático obtenían una resistencia última superior a otros sistemas que no comprimen los extremos de los especímenes y transmiten las cargas por tensiones tangenciales, e.g. sujeción tipo grillete o abrazadera [99].

Existe la controversia sobre cuál de las dos fijaciones proporciona el comportamiento mecánico del TRM más representativo. En lo que respecta al autor del presente trabajo, la caracterización de los materiales se basa en determinar las propiedades mecánicas de estos cuando trabajan a su máximo rendimiento, independientemente de su uso o aplicación a posteriori, i.e. instalación anclajes en el tejido para lograr su rendimiento óptimo. De esta forma, se optó por utilizar mordazas de apriete mecánico, instalando en los extremos del espécimen dos láminas elastoméricas de 60x40x3mm3 en ambos lados de la probeta con el objetivo de no dañar el mortero en la zona de sujeción (Figura A.75).

Draft Samper 184616083-image147.jpeg

Figura A.75 Sistema de sujeción de las probetas de TRM ensayadas.

El proceso de preparación de los especímenes consistió de las siguientes etapas:

  • Corte del tejido y de las láminas elastoméricas según las dimensiones especificadas.
  • Preparación de los morteros correspondientes según especificaciones de los diferentes fabricantes.
  • Impregnación del encofrado con líquido desencofrante (Figura A.76a) previo a la aplicación de la primera capa de mortero de ~3mm de espesor.
  • Presentación del tejido e embebición en el mortero mediante presión mecánica (Figura A.76b). En el caso de reforzar utilizando tejidos unidireccionales, las fibras principales se dispusieron paralelas a la directriz longitudinal de la viga. De la misma forma, las fibras de los tejidos bidireccionales se orientaron con los ejes que formaban 0˚ y 90˚ respecto la misma directriz.
Draft Samper 184616083-image148.jpeg
Draft Samper 184616083-image149.jpeg
a) b)

Figura A.76 Preparación de las probetas de TRM: a) impregnación del encofrado con líquido desencofrante, b) tejido embebido en la primera capa de mortero.
  • En el caso de instalación de refuerzo en el extremo de la probeta, aplicación de capa de mortero intermedia de 1mm de espesor e embebición de la malla adicional (Figura A.77).
Draft Samper 184616083-image150.jpeg

Figura A.77 Refuerzo extremo embebido en el mortero.
  • Relleno del molde con mortero y enrasado de la cota superior, eliminando los restos de material sobrante.
  • Curado al aire de los especímenes en condiciones internas durante al menos 28 días (Figura A.78).

Draft Samper 184616083-image151.jpeg

Figura A.78 Probeta de TRM en fase de curado.
  • Previamente a la ejecución de los ensayos, pegado de las láminas elastoméricas en los extremos de las probetas.

A.6.3. Procedimiento de ensayo para la determinación la curva tensión-deformación en probetas de TRM

El ensayo para la determinación de la curva tensión-deformación de probetas de TRM consistió en la aplicación tracción directa hasta la rotura de los especímenes. Con el objetivo de obtener las deformaciones, se instaló en el centro de los especímenes una galga extensométrica VISHAY con una resistencia de 350Ω±0,20% (Figura A.79). El procedimiento de instalación de este tipo de sensores en superficies de mortero se detalla posteriormente en el apartado B.4.2.1 del Anexo B.

Draft Samper 184616083-image152-c.png

Figura A.79 Configuración del ensayo a tracción en probetas de TRM.

Según la directriz AC434 [98], en caso de utilizar fijaciones con grilletes, el ensayo debe ser realizado por control de desplazamiento a una velocidad recomendada de 0,2mm/min. De acuerdo con investigaciones donde se realizaron ensayos de caracterización de probetas de TRM fijadas con mordazas [95,99], la aplicación de la carga fue ejecutada mediante control por desplazamiento a una velocidad de 0,5mm/min con una prensa de ensayos electromecánica de 10kN de capacidad de carga (Figura A.80).

Draft Samper 184616083-image153.jpeg

Figura A.80 Montaje del ensayo a tracción de probetas de TRM.

El procedimiento de ensayo se describe a continuación:

  • Adhesión de las láminas elastoméricas a los extremos de la probeta de TRM.
  • Sujeción de la probeta en la prensa procurando no dañar los especímenes durante el proceso de fijación mecánica con las mordazas (Figura A.81).
Draft Samper 184616083-image154.jpeg

Figura A.81 Posición inicial del ensayo a tracción de probetas de TRM.
  • Inicio de la adquisición de datos y aplicación de carga mediante control por desplazamiento a una velocidad de 0,5mm/min. Se midió previamente el ancho de las probetas y las variables registradas en el ensayo fueron la fuerza aplicada por la prensa electromecánica y las deformaciones proporcionadas por la galga extensométrica. Toda la información fue compilada mediante el adquisidor de datos MGC-Plus a frecuencia de 5Hz.
  • El ensayo se dio por concluido cuando los especímenes sufrieron un fallo por rotura del tejido resistente.

A.6.4. Resultados experimentales de los ensayos en tejidos

Los resultados de los ensayos realizados en probetas de TRM se obtuvieron según las siguientes consideraciones:

  • La tensión en el punto de transición (fft) se obtuvo suponiendo una distribución uniforme de tensiones en el tejido resistente en el momento de la aparición de la primera fisura en la matriz, de la siguiente manera (Ec. A.8):

A.8

Donde Fft es la fuerza aplicada en el momento de la aparición de la primera fisura, dt es el ancho medio de la probeta de TRM y ttex es el espesor equivalente del tejido resistente.

  • El módulo de elasticidad longitudinal del espécimen sin fisurar (Ef*) se obtuvo calculando la pendiente que forma la curva de tensión-deformación en el tramo previo a la fisuración de la matriz.
  • La deformación en el punto de transición (εft) se obtuvo registrando la deformación correspondiente a la tensión en el punto de transición (fft).
  • La resistencia última a tracción del TRM (ffu) se obtuvo suponiendo una distribución uniforme de tensiones en el tejido resistente en el momento de carga máxima, de la siguiente manera (Ec. A.9):

A.9

Donde Fmax es la fuerza máxima aplicada, dt es el ancho medio de la probeta de TRM y ttex es el espesor equivalente del tejido resistente.


  • El módulo de elasticidad longitudinal del espécimen fisurado (Ef) se obtuvo calculando la pendiente que forma la curva de tensión-deformación según ACI 549.4R-13 [83] (Ec. A.10):

A.10

Donde ffu es la resistencia última a tracción del TRM y εf@0,90ffu y εf@0,60ffu son las deformaciones correspondientes al 90% y 60% de la resistencia última a tracción del TRM, respectivamente.

  • La deformación última del TRM (εfu) se obtuvo según ACI 549.4R-13 [83], de la siguiente manera (Ec. A.11):

A.11

Donde ffu es la resistencia última a tracción del TRM, Ef es el módulo de elasticidad longitudinal del espécimen fisurado y εf@0,60ffu es la deformación correspondiente al 60% de la resistencia última a tracción del TRM.

  • Se visualizaron y registraron tres modos de fallo en los especímenes ensayados: rotura en el interior de la mordaza (Figura A.82a), rotura en la zona central de la probeta (Figura A.82b) y fallo en la junta del refuerzo adicional extremo en aquellas probetas que lo incorporaban (Figura A.82c).
Draft Samper 184616083-image155.jpeg
Draft Samper 184616083-image156.jpeg
Draft Samper 184616083-image157.jpeg
a) b) c)

Figura A.82 Modos de fallo obtenidos en los ensayos de probetas de TRM: a) rotura en el interior de la mordaza, b) rotura en la zona central de la probeta, c) fallo en la junta del refuerzo adicional extremo.
  • La densidad de fisuras (ρfis) determina el número de fisuras aparecidas después del ensayo respecto la longitud de la probeta (0,4m).

En la Tabla A.25 se muestra los resultados de los ensayos realizados, incluyendo el código del espécimen, el ancho medio de la probeta de TRM (df) y los valores de tensión en el punto de transición (fft), módulo de elasticidad longitudinal del espécimen sin fisurar (Ef*), deformación en el punto de transición (εft), resistencia última a tracción (ffu), módulo de elasticidad longitudinal del espécimen fisurado (Ef) y deformación última (εfu) correspondientes. Además se especifica si las probetas estaban reforzadas en los extremos y se incluye el modo de fallo desarrollado y el valor de la densidad de fisuras obtenido (ρfis).

Espécimen df

(mm)

fft

(MPa)

Ef*

(GPa)

εft

(%)

ffu

(MPa)

Ef

(GPa)

εfu

(%)

Refuerzo extremo Modo de fallo ρfis

(fisuras/m)

A4R3-01 32,91 89,76 120,99 0,08 429,29 39,26 0,79 SI C 35,0
A4R3-02 32,91 74,96 97,40 0,07 570,30 27,80 1,43 SI C 35,0
A12R3-01(*) 32,78 22,04 231,44 0,01 547,56 87,47 0,71 NO A -
A12R3-02(*) 32,71 34,34 192,16 0,01 320,26 85,64 0,35 NO A -
BR3-01 33,17 67,53 230,35 0,03 574,85 41,01 1,14 NO A 35,0
BR3-02 32,67 118,70 182,20 0,06 462,00 32,54 0,97 NO A 22,5
CXM25-01 32,09 134,59 129,07 0,09 626,22 50,10 0,95 SI C 25,0
CXM25-02 32,42 148,44 153,41 0,09 743,91 46,49 1,17 SI C 22,5
PXM750-01 32,70 353,76 142,42 0,23 1953,76 53,45 2,91 SI C 27,5
PXM750-02 31,51 440,79 118,01 0,35 2193,67 59,71 3,16 SI B 22,5
VPHDM-01 32,78 190,12 153,88 0,12 444,68 35,59 0,74 NO B 25,0
VPHDM-02 31,97 170,42 117,78 0,12 376,95 40,85 0,57 NO A 22,5
'A: Interior de la mordaza, B: Zona central del espécimen, C: Junta zona reforzada.

'* El espécimen no desarrolló el proceso de fisuración múltiple.

Tabla A.25 Resultados de los ensayos en probetas de TRM.


De acuerdo con los datos obtenidos, se puede afirmar que hay una clara influencia en el hecho de instalar tejido adicional en el extremo de las probetas respecto el modo de fallo de los especímenes. La mayoría de probetas que no se ejecutaron con refuerzo extremo fallaron en el ámbito de la mordaza, mientras las que sí fueron ejecutadas con este tejido adicional fallaron por la zona central o la junta del mismo.

Por otro lado, es importante destacar que los especímenes reforzados con tejidos de acero con alta densidad de cordones (A12R3) no tuvieron el comportamiento deseado, ya que no desarrollaron el proceso de fisuración múltiple de la matriz, descrito por Hegger et al. [50] y observado en el resto de los ensayos realizados. En concreto, estos especímenes rompieron en la zona interior de la mordaza sin que la matriz fuera capaz de transmitir los esfuerzos al tejido de manera adecuada (Figura A.83). Este hecho se debe a la elevada densidad de material existente en el tejido que impidió que la matriz penetrara e impregnara correctamente todos los alambres del tejido.

Draft Samper 184616083-image158.jpeg

Figura A.83 Rotura de los especímenes A12R3.

La Tabla A.26 muestra un resumen de los valores promedio de las características mecánicas de las combinaciones de TRM ensayadas, incluyendo además el coeficiente de eficiencia k1 definido en la Ec. 3.3, de acuerdo con los datos obtenidos en el apartado de caracterización de tejidos.

TRM fft

(MPa)

'Ef'*

(GPa)

εft

(%)

ffu

(MPa)

Ef

(GPa)

εfu

(%)

k1
A4R3 82,36 109,20 0,07 499,79 33,53 1,11 0,24
A12R3 28,19 211,80 0,01 433,91 86,55 0,53 0,18
BR3 93,12 206,28 0,05 518,42 36,77 1,06 1,24
CXM25 141,52 141,24 0,09 685,06 48,30 1,06 1,53
PXM750 397,28 130,21 0,29 2073,71 56,58 3,04 0,61
VPHDM 180,27 135,83 0,12 410,82 38,22 0,66 0,53

Tabla A.26 Promedio de los resultados obtenidos de los ensayos en TRM.


Con el propósito de comparar los resultados experimentales obtenidos, se realizó una búsqueda bibliográfica en investigaciones de caracterización de materiales compuestos con matrices cementíticas. La Tabla A.27 muestra un resumen de los resultados obtenidos por Larrinaga [95] y Arboleda [99] en ensayos en los que se utilizaron combinaciones de tejido y mortero equivalentes a algunas de las utilizadas en el presente trabajo.

TRM fft

(MPa)

Ef*

(GPa)

εft

(%)

ffu

(MPa)

Ef

(GPa)

εfu

(%)

k1
A4R3(1) - - 0,06 2959,00 - 2,76 0,93
BR3(1) - - 0,03 921,00 48,00 1,36 1,82
CXM25(2) 458,00 512,00 0,10 1031,00 80,00 1,00 -
PXM750(2) 375,00 1805,00 0,02 1664,00 128,00 1,76 -
(1) Larrinaga [95]. Probetas df=100mm y fijación con mordazas.

(2) Arboleda [99]. Probetas df=50mm y fijación con grilletes.

Tabla A.27 Resultados obtenidos en otras investigaciones en ensayos de probetas de TRM.

Los siguientes gráficos (Figura A.84 – A.89) muestran los valores de las diferentes propiedades mecánicas de las probetas de TRM obtenidas en el estudio. Se incluyen los valores medios de los ensayos (en rojo) y los valores obtenidos en investigaciones similares de caracterización de TRM (en azul).

Draft Samper 184616083-image159.png

Figura A.84 Tensión en el punto de transición de las probetas de TRM ensayadas.
Draft Samper 184616083-image160.png

Figura A.85 Módulo de elasticidad longitudinal pre-fisuración de las probetas de TRM ensayadas.
Draft Samper 184616083-image161.png

Figura A.86 Deformación en el punto de transición de las probetas de TRM ensayadas.
Draft Samper 184616083-image162.png

Figura A.87 Resistencia última a tracción de las probetas de TRM ensayadas.
Draft Samper 184616083-image163.png

Figura A.88 Módulo de elasticidad longitudinal post-fisuración de las probetas de TRM ensayadas.
Draft Samper 184616083-image164.png

Figura A.89 Deformación última de las probetas de TRM ensayadas.

Observando los resultados se puede afirmar que, las probetas que desarrollaron una rotura en la zona central (modo de fallo C) obtuvieron unos valores superiores de resistencia última, deformación última y tensión y deformación en el punto de transición. Este hecho puede ser debido a que las tensiones producidas por las mordazas fueron menos influyentes que en el resto de casos.

Por otro lado, comparando los valores promedio obtenidos con los de otros autores, se puede afirmar con rotundidad que el modo de fijación las probetas y las dimensiones de los especímenes influyen directamente en el comportamiento mecánico del TRM.

Finalmente, los siguientes gráficos (Figura A.90 - A.95) muestran la relación tensión-deformación de los diferentes tejidos. En ellos se puede observar el proceso de fisuración múltiple descrito por Jesse et al. [45], especialmente en los especímenes con matriz R3 (Figura A.90 y Figura A.92), mortero que presenta una menor cantidad de aditivos poliméricos que el resto. En el caso de las probetas A12R3 (Figura A.91), se observa de forma definida la aparición de la fisura localizada en el interior de la mordaza que provocó el fallo de los especímenes. En el resto de casos, se puede percibir el cambio de pendiente en la curva tensión-deformación localizado en el punto de transición en el momento de la aparición de la primera fisura.

Draft Samper 184616083-image165.png

Figura A.90 Relación tensión-deformación de las probetas A4R3 ensayadas.
Draft Samper 184616083-image166.png

Figura A.91 Relación tensión-deformación de las probetas A12R3 ensayadas.
Draft Samper 184616083-image167.png

Figura A.92 Relación tensión-deformación de las probetas BR3 ensayadas.
Draft Samper 184616083-image168.png

Figura A.93 Relación tensión-deformación de las probetas CXM25 ensayadas.
Draft Samper 184616083-image169.png

Figura A.94 Relación tensión-deformación de las probetas PXM750 ensayadas.
Draft Samper 184616083-image170.png

Figura A.95 Relación tensión-deformación de las probetas VPHDM ensayadas.

Anexo B. Datos experimentales de los ensayos de vigas de HA reforzadas a cortante con TRM

B.1. Introducción

El presente anexo muestra de forma completa la información y resultados referentes a la campaña experimental de vigas de hormigón armado reforzadas a cortante con diferentes combinaciones de TRM. En él se incluye una descripción del diseño, fabricación y transporte de las vigas, una relación de los materiales de refuerzo utilizados, el proceso de aplicación del TRM, la descripción de los ensayos realizados y la exposición de los resultados obtenidos. El conjunto de esta información se encuentra resumida en el Capítulo 7 del cuerpo de la memoria.

Los ensayos ejecutados tuvieron lugar en el laboratorio del LITEM-RMEE-UPC entre marzo del 2012 y octubre del 2012.

B.2. Diseño, fabricación, curado y transporte de las vigas

Con el objetivo de estudiar y comparar el comportamiento de diferentes combinaciones de TRM como refuerzo a cortante, se ejecutaron 9 vigas de hormigón 1,70m de longitud y una sección transversal de 300x300mm. Los especímenes, denominados con la designación V, se fabricaron utilizando 3 amasadas de hormigón diferentes correspondientes a las fechas 22/12/2011, 13/01/2012 y 24/01/2012. Estas presentaban una armadura longitudinal con 3 barras Ø16mm en la cara superior e inferior, y una armadura transversal con 5 estribos Ø8mm, dispuesta de tal forma que dos tramos de 500mm en ambos de lados de la viga no tuviesen estribos (Figura B.1). En todos los casos se utilizó acero B 500 SD. Las características mecánicas de los hormigones y de los refuerzos de acero se encuentran resumidas en los apartados A.2 y A.3 del Anexo A, respectivamente.

Draft Samper 184616083-image171.png

Figura B.1 Geometría y armado de las vigas V.

Las vigas se fabricaron en las instalaciones de la empresa Paver Prefabricados, S.A. por operarios especializados entre diciembre del 2011 y enero de 2012. Estas se ejecutaron en moldes de acero previamente untados con producto desencofrante. La armadura se montó externamente y se posicionó dentro del molde con los separadores correspondientes (Figura B.2a). Previamente al hormigonado, se acoplaron a cada armadura dos barras dobladas en “U” con el objetivo de utilizarlas como enganches para el transporte de las vigas. El hormigonado de las vigas se realizó por gravedad directamente des del camión amasadora (Figura B.2b). Se llevaron a cabo dos etapas de vibrado del hormigón: la primera cuando se hubieron vertido 3/4 partes y la segunda con las vigas totalmente hormigonadas. Una vez terminado, se enrasó la cara superior de las vigas para garantizar un acabado liso (Figura B.2c).

Draft Samper 184616083-image172.jpeg
Draft Samper 184616083-image173.jpeg
Draft Samper 184616083-image174.jpeg
a) b) c)

Figura B.2 Procesos ejecución de las vigas V: a) montaje de la armadura, b) vertido del hormigón, c) enrasado y acabados de la cara superior.

Se humedecieron las vigas periódicamente durante el proceso de fraguado del hormigón. Los especímenes permanecieron un mínimo de una semana en los moldes antes de retirarlos y continuar su proceso de curado en condiciones ambientales exteriores (Figura B.3).

Después de, al menos, 28 días de su ejecución, las vigas V fueron trasladadas al laboratorio del LITEM-RMEE-UPC mediante transporte por carretera.

Draft Samper 184616083-image175.jpeg

Figura B.3 Vigas V terminadas y en fase de curado.

B.3. Refuerzo TRM a cortante

En la campaña experimental descrita en el presente anexo se aplicaron diferentes combinaciones de TRM en ocho vigas utilizando una configuración de refuerzo tipo encamisado parcial en “U”. En los siguientes subapartados se describen los materiales empleados y la metodología de aplicación llevada a cabo.

B.3.1. Materiales utilizados

Las vigas fueron reforzadas con cuatro combinaciones diferentes de TRM, en las que se incluyen los tejidos de fibras de carbono, basalto, PBO y vidrio. Los tejidos de alambres de acero fueron descartados para el estudio de refuerzo a cortante, debido a su elevada rigidez y falta de adaptabilidad a los sustratos de hormigón en el caso de no aplicarse de forma plana y continua.

Excepto en el caso de la viga no reforzada (V-CONTROL), todas las vigas siguieron la nomenclatura V-AB-C, donde V significa el tipo de viga, A es el tipo de tejido aplicado, B es el tipo de mortero utilizado como matriz y C representa la repetición de ensayo para un mismo tipo de refuerzo. En la Tabla B.1 se muestra un resumen de las diferentes combinaciones de componentes utilizados como refuerzo y la fecha de amasada del hormigón correspondiente a cada viga. Las propiedades mecánicas de los sistemas de refuerzo TRM, así como las propias de los tejidos, fibras y morteros utilizados se pueden consultar en los apartados A.4, A.5 y A.6 del Anexo A.

Espécimen Tejido Matriz Fecha Amasada

Hormigón

V-BR3-01 Basalto R3 13/01/2012
V-BR3-02 Basalto R3 13/01/2012
V-CXM25-01 Carbono XM25 13/01/2012
V-CXM25-02 Carbono XM25 22/12/2011
V-PXM750-01 PBO XM750 22/12/2011
V-PXM750-02 PBO XM750 22/12/2011
V-VPHDM-01 Vidrio PHDM 13/01/2012
V-VPHDM-02 Vidrio PHDM 22/12/2011
V-CONTROL - - 24/01/2012

Tabla B.1 Especímenes ensayados y combinaciones de TRM utilizadas como refuerzo a cortante en vigas de hormigón armado.

B.3.2. Aplicación del refuerzo

La aplicación del refuerzo se llevó a cabo en el laboratorio del LITEM-RMEE-UPC en febrero del 2012. El TRM estaba compuesto por una capa de tejido y se aplicó utilizando una configuración de encamisado parcial tipo “U” en las zonas con déficit de armadura transversal en un ámbito de 500mm (Figura B.4).

Draft Samper 184616083-image176.png

Figura B.4 Detalle de la configuración del refuerzo en las vigas V.

El proceso de aplicación del refuerzo a cortante se detalla a continuación:

  • Eliminación, mediante procedimientos mecánicos, del grano fino de la superficie del hormigón en las zonas dónde se instaló el TRM (Figura B.5a) con el propósito de maximizar la adherencia entre el hormigón existente y el mortero, y evitar el colapso del espécimen por despegue del refuerzo [52].
  • Limpieza del sustrato de restos de polvo y cascotes derivados del proceso de abrasión del sustrato (Figura B.5b).
  • Humedecimiento de la superficie a reforzar con el objetivo de evitar la transferencia de agua entre el mortero y el hormigón (Figura B.5c).
  • Preparación del mortero, según las especificaciones del fabricante.
Draft Samper 184616083-image177.jpeg
Draft Samper 184616083-image178.jpeg
Draft Samper 184616083-image179.jpeg
a) b) c)

Figura B.5 Procesos previos a la aplicación del TRM en las vigas V: a) repicado de la superficie del hormigón, b) limpieza del sustrato, c) humidificación de la viga.
  • Aplicación de una primera capa de mortero de espesor 4-5mm mediante la utilización de una llana de acero (Figura B.6a). Estando aún el mortero fresco, posicionamiento de la malla en la zona a reforzar, orientando la dirección principal del tejido perpendicularmente al eje longitudinal de la viga.
  • Embebición del tejido en la matriz mediante presión, asegurando la impregnación de todos los mechones de la malla (Figura B.6b) y aplicación de la segunda capa de mortero hasta alcanzar un espesor total de aproximadamente 10mm.
  • Realización de acabados con llana metálica con el objetivo de dejar la superficie del refuerzo con un aspecto liso (Figura B.6c).
  • Curado del refuerzo en condiciones ambiente. Protección de las vigas reforzadas, cubriendo los especímenes con lonas de plástico hasta el momento de su traslado al laboratorio.
Draft Samper 184616083-image180.jpeg
Draft Samper 184616083-image181.jpeg
Draft Samper 184616083-image182.jpeg
a) b) c)

Figura B.6 Aplicación del TRM en las vigas V: a) aplicación de la primera capa de mortero, b) embebición del tejido en la matriz, c) acabados superficiales en la segunda capa de mortero.

La mayoría de tejidos fueron suministrados con un ancho suficiente para cubrir la zona a reforzar con un solo tramo de malla. En el caso de los tejidos de fibras basalto, la compañía suministró el producto con un ancho inferior a la zona prevista de refuerzo. La solución adoptada fue duplicar los tramos de tejido instalado, manteniendo un solapamiento de 70mm en el perímetro de la sección reforzada.

Los especímenes reforzados fueron curados en condiciones ambiente durante, al menos, 28 días antes de ser ensayados (Figura B.7).

Draft Samper 184616083-image183.jpeg

Figura B.7 Vigas V durante la fase de curado de los refuerzos.

B.4. Método experimental

En esta sección se detalla la configuración de los experimentos y los procedimientos de ensayo realizados, así como una descripción precisa de los sensores utilizados.

B.4.1. Configuración de ensayo

Todas las vigas fueron sometidas a ensayos de flexión a tres puntos, con una luz libre entre soportes de 1,50m. Con el objetivo de evitar el efecto de ménsula corta y el desarrollo de las bielas de compresión en al menos uno de los lados de los especímenes, la sección de aplicación de la carga fue desplazada 50mm respecto del centro de las vigas. Este hecho permitió diferenciar dos partes de la viga, siendo las zonas 1 y 2 aquellas donde los tramos de cortante eran de 700mm y 800mm, respectivamente (Figura B.8).

Draft Samper 184616083-image184.png

Figura B.8 Configuración del ensayo de las vigas V reforzadas a cortante con TRM.

Los especímenes se apoyaron en cilindros metálicos con el giro no restringido, de forma que los soportes constituyeran rótulas en el plano de la viga. La aplicación de la fuerza fue llevada a cabo mediante una pieza de acero semicilíndrica de repartición de carga conectada a un actuador oleohidráulico de 500kN de capacidad (Figura B.9). Los ensayos se realizaron por control de desplazamiento a una velocidad constante de 1mm/min.

Draft Samper 184616083-image185.png

Figura B.9 Montaje del ensayo de las vigas V.

B.4.2. Sensores

Se utilizaron tres tipos de sensores en el ensayo: potenciómetros modelo Waycon LWR-500 y Waycon LWR-100 (Figura B.10a), para medir los desplazamientos verticales mediante el contacto directo con el espécimen; una célula de carga AEP CTC416550T5 (Figura B.10b), para adquirir la fuerza aplicada por el actuador; y galgas extensométricas HBM 1-LY41-50/120 diseñadas para superficies de hormigón (Figura B.10c), con el objetivo de registrar las deformaciones.

Draft Samper 184616083-image186.jpeg
Draft Samper 184616083-image187.jpeg
Draft Samper 184616083-image188.jpeg
a) b) c)

Figura B.10 Sensores utilizados en los ensayos de las vigas V: a) potenciómetros Waycon LWR-500 y Waycon LWR-100, b) célula de carga AEP CTC416550T5, c) galga extensométrica HBM 1-LY41-50/120.

Los potenciómetros Waycon LWR-500 y Waycon LWR-100, cuyos recorridos son de 500mm y 100mm, respectivamente, consisten en resistencias eléctricas variables que emiten una señal analógica de salida en forma de voltaje. Estos sensores fueron puestos en contacto con las vigas a través pletinas de acero adheridas al sustrato de los especímenes. A su vez, los sensores fueron fijados a un elemento externo al sistema con el objetivo de no tener en cuenta en las lecturas el desplazamiento propio del sistema de ensayo. El desplazamiento vertical de las vigas fue medido en tres secciones transversales por seis potenciómetros, ubicando dos potenciómetros en cada lado de la sección. Las secciones analizadas correspondieron a la de aplicación de la carga (LWR-500) y a las secciones centrales entre los soportes y la aplicación de la carga de las zonas 1 y 2 (LWR-100) (Figura B.11).

La célula de carga AEP CTC416550T5 es un dinamómetro acoplado al actuador oleohidráulico que registra la fuerza aplicada sobre los especímenes en cada instante, con un rango de lectura de 0 a 500kN. Este sensor se alimenta con corriente continua a un voltaje recomendado de 10V y presenta una sensibilidad nominal de 2mV/V.

Se instalaron galgas extensométricas HBM 1-LY41-50/120 con una resistencia de 120Ω±0,30% y un factor k de 2,08±1,0%. Estas se dispusieron en forma de tres galgas, con el objetivo de determinar el estado deformacional de un punto alejado de la zona de fisuración. Los sensores se orientaron simulando el efecto de una roseta: uno paralelo al eje longitudinal de la viga y los otros dos a ±45° (Figura B.11). Se instaló una pseudo-roseta en ambas zonas 1 y 2 de la viga. El procedimiento de instalación de este tipo de sensores en superficies de hormigón se detalla en el apartado B.4.2.1 del Anexo B.

Draft Samper 184616083-image189.png

Figura B.11 Esquema y distribución de los sensores utilizados en los ensayos de las vigas V.

Los ensayos se filmaron con una videocámara Sony Handycam (Figura B.12). Esta se instaló en una posición fija de tal forma que la filmación permitiera analizar a posteriori los procesos de colapso de las vigas de forma precisa.

La información proporcionada por los sensores fue adquirida simultáneamente por un sistema HBM MGCPlus (Figura B.13) a una frecuencia de 50Hz.

Draft Samper 184616083-image190-c.jpeg

Figura B.12 Videocámara Sony Handycam.
Draft Samper 184616083-image191.jpeg

Figura B.13 Adquisidor de datos HBM MGCPlus.

B.4.2.1. Instalación de galgas extensométricas en superficies de hormigón o mortero

El procedimiento de instalación de galgas extensométricas en superficies de mortero o de hormigón fue el siguiente:

  • Limado de la superficie de mortero/hormigón hasta alcanzar la máxima planeidad (Figura B.14a).
  • Preparación de la galga en una placa de vidrio previamente limpiada con alcohol. Fijación del sensor con cinta adhesiva utilizada para trasportarla al punto de instalación del espécimen (Figura B.14b).
  • Marcado de la posición exacta de instalación de la galga en el sustrato de mortero/hormigón.
  • Posicionamiento de la galga en el espécimen (Figura B.14c).
  • Mezcla del adhesivo bicomponente HBM X60 y aplicación del mismo en la superficie de la galga (Figura B.14d). Fijación de la galga mediante presión manual y curado del sensor (Figura B.14e).
  • Después de 24h, retirada de la cinta adhesiva y soldadura de los cables necesarios para transferir la señal al adquisidor de datos (Figura B.14f).
Draft Samper 184616083-image192.jpeg
Draft Samper 184616083-image193.jpeg
Draft Samper 184616083-image194.jpeg
a) b) c)
Draft Samper 184616083-image195.jpeg
Draft Samper 184616083-image196.jpeg
Draft Samper 184616083-image197.jpeg
d) e) f)

Figura B.14 Procesos de la instalación de galgas extensométricas: a) limado de la superficie hormigón/mortero, b) preparación de las galgas para ser transportadas al espécimen, c) posicionamiento del sensor, d) pegado de la galga con adhesivo HBM X60, e) galga en fase de curado, f) soldadura de los cables transmisores de la señal.

Una vez preparada la galga, es recomendable comprobar la correcta instalación del sistema mediante la utilización de un verificador que evalúa la resistencia eléctrica proporcionada por el sensor (Figura B.15).

Draft Samper 184616083-image198.jpeg

Figura B.15 Verificador utilizado para la comprobación de las galgas extensométricas instaladas.

B.4.3. Procedimiento de ensayo

El procedimiento de ensayo se describe a continuación:

  • Posicionamiento de la viga, procurando el contacto completo con los soportes.
  • Posicionamiento y conexión de los sensores. Comprobación que las lecturas emitidas por los sensores y los datos registrados por el adquisidor fueran correctos.
  • Descenso de la herramienta de aplicación de carga, mediante el uso del actuador oleohidráulico hasta alcanzar el contacto con la viga (Figura B.16).
Draft Samper 184616083-image199.jpeg

Figura B.16 Estado inicial previo a la aplicación de la carga en los ensayos de vigas V reforzadas a cortante con TRM.
  • Inicio de la adquisición de datos y aplicación de carga mediante control por desplazamiento a una velocidad constante de 1mm/min. Las variables registradas en el ensayo fueron la fuerza aplicada por el actuador oleohidráulico a través de las lecturas de la célula de carga, las deformaciones proporcionadas por las galgas extensométricas y el desplazamiento vertical capturado por los potenciómetros.
  • El ensayo se dio por concluido después del colapso de los especímenes.

B.5. Resultados

Los resultados de los ensayos realizados en vigas de hormigón armado reforzadas a cortante con TRM se obtuvieron según las siguientes consideraciones:

  • Se visualizaron tres tipos de modo de fallo en los especímenes ensayados:
    • Rotura a cortante con desarrollo de la fisura principal en la zona central de la viga con armadura transversal sin invadir la parte reforzada con TRM. Aparición de fisuras a flexión y movilización del hormigón a compresión (Figura B.17a).
    • Rotura a cortante con desarrollo de la fisura evitando la zona central reforzada con armado transversal. La fisura principal a cortante partió de la sección de aplicación de la carga en dirección longitudinal hasta sobrepasar el último estribo. Una vez superado este tramo, propagación hasta el soporte de forma inclinada (Figura B.17b).
    • Rotura a cortante donde la fisura principal se desarrolló desde la sección de aplicación de la carga hasta el soporte, travesando tanto la zona de armado transversal, como la zona reforzada con TRM (Figura B.17c).
Draft Samper 184616083-image200.jpeg
Draft Samper 184616083-image201.jpeg
Draft Samper 184616083-image202.jpeg
a) b) c)

Figura B.17 Modos de fallo obtenidos en los ensayos de vigas V reforzadas a cortante con TRM: a) fisura en zona central, b) fisura en zona reforzada con TRM, c) fisura travesando la zona central y el área reforzada con TRM.
  • El cortante último resistido (Vu,exp) se obtuvo según la fuerza máxima resistida por los especímenes (Fmax) y la distancia entre la sección de aplicación de la fuerza y el soporte (di) en función de la zona donde se desarrolló la fisura que originó el colapso, según la Ec. 7.1. Cabe destacar que en los valores de fuerza máxima resistida (Fmax) se incluyó la repercusión equivalente del peso propio de las vigas V (1,70kN).
  • La flecha última (δu,exp) se obtuvo registrando el desplazamiento vertical en la sección de aplicación de la carga en el momento que se alcanzó el cortante último resistido.
  • La inclinación media de la fisura respecto al eje longitudinal de la viga (θ) se obtuvo midiendo el ángulo de la fisura principal responsable del colapso de los especímenes respecto el eje horizontal mediante el uso de soportes gráficos y software CAD.

Por otro lado, se analizó de forma cualitativa la distorsión angular (γxy) desarrollada por los especímenes durante el proceso de carga. Analizando la Ec. 7.6 se observa cómo, a medida que las deformaciones asociadas a las tracciones (εa) y a las compresiones (εc) aumentan de valor (imponiendo tracciones con signo positivo y compresiones con signo negativo), la distorsión angular (γxy) también aumenta. El desarrollo de la formulación utilizada se puede consultar de forma más extensa en el Capítulo 7 del cuerpo de la memoria.

A continuación se muestran los resultados de cada uno de los ensayos de forma individualizada.

B.5.1. V-CONTROL

La viga V-CONTROL fue el único espécimen ensayado sin la aplicación de refuerzo TRM. La Tabla B.2 resume los resultados obtenidos en el ensayo realizado en fecha 19/07/2012. Este espécimen colapsó de forma frágil, desarrollando una fisura a cortante desde la sección de aplicación de la carga hasta el soporte, evitando la zona del armado transversal central (Figura B.18).

La viga rompió por la zona donde el tramo a cortante es mayor (zona 2). Este hecho fue debido a que la configuración del ensayo hizo que en la zona 1 se desarrollaran en el hormigón distribuciones de tensiones en forma de bielas a compresión debidos un efecto de ménsula corta, obteniendo una resistencia a cortante mayor a la esperada en este tramo.

V-CONTROL
Modo de fallo B
Zona fisura principal 2
Fuerza máxima resistida (Fmax) (kN) 161,59
Flecha última (δu,exp) (mm) 3,97
Inclinación fisura principal (θ) (°) 41
Cortante último resistido (Vu,exp) (kN) 75,41

Tabla B.2 Resultados del ensayo de la viga V-CONTROL.
Draft Samper 184616083-image203.jpeg
Draft Samper 184616083-image204.jpeg
a) b)

Figura B.18 Ensayo viga V-CONTROL: a) inicio del ensayo, b) final del ensayo.

La Figura B.19 muestra la relación entre la fuerza aplicada y el desplazamiento vertical en la sección de aplicación de la carga. En ella se puede observar un comportamiento lineal elástico hasta la aparición de la primera fisura a flexión, a una carga correspondiente a 40kN. Al seguir aumentando la carga, el espécimen desarrolló un comportamiento típico en elementos donde se ha iniciado el proceso de fisuración, observándose discontinuidades en el incremento de la fuerza aplicada coincidiendo con la aparición de fisuras de flexo-cortante. Esta conducta se mantuvo constante, hasta el colapso repentino por fisuración a cortante de la viga.

Draft Samper 184616083-image205-c.png

Figura B.19 Relación carga-desplazamiento vertical máximo de la viga V-CONTROL.

La Figura B.20 muestra la deformada de la viga para diferentes valores de carga. Teniendo en cuenta las particularidades de la configuración del ensayo, se puede observar un comportamiento aproximadamente simétrico de la deformada del espécimen, coherente con lo establecido anteriormente.

Draft Samper 184616083-image206-c.png

Figura B.20 Deformada de la viga V-CONTROL.

La Figura B.21 muestra la relación entre la carga y las deformaciones adquiridas por las diferentes galgas extensométricas instaladas en la viga V-CONTROL. Se puede observar como las curvas desarrollaron un cierto comportamiento lineal hasta el momento del colapso, registrando las galgas εa,i deformaciones asociadas a tracciones y las galgas εb,i y εc,i deformaciones asociadas a tensiones de compresión.

Draft Samper 184616083-image207-c.png
Draft Samper 184616083-image208-c.png
a) b)

Figura B.21 Relación carga-deformación de las galgas extensométricas de la viga V-CONTROL: a) zona 1, b) zona 2.

Analizando la distorsión angular como el área de la región que comprenden las curvas desarrolladas por las galgas εa,i y εc,i, se puede observar como la zona 2 (Figura B.21b) presentó una mayor distorsión angular que la zona 1 (Figura B.21a).

B.5.2. V-BR3-01

La viga V-BR3-01 fue uno de los especímenes reforzados con TRM utilizando tejidos de fibras de basalto. La Tabla B.3 resume los resultados obtenidos en el ensayo realizado en fecha 09/10/2012. Este espécimen desarrolló un elevado grado de ductilidad previo al colapso. La fisura principal se propagó diagonalmente desde la sección donde se aplicó la carga, travesando la zona central con armadura transversal y no invadiendo relevantemente la zona reforzada con TRM (Figura B.22). De idéntica forma a la viga V-CONTROL, este espécimen rompió por la zona donde el tramo a cortante es mayor (zona 2).

V-BR3-01
Modo de fallo A
Zona fisura principal 2
Fuerza máxima resistida (Fmax) (kN) 211,02
Flecha última (δu,exp) (mm) 8,28
Inclinación fisura principal (θ) (°) 44
Cortante último resistido (Vu,exp) (kN) 98,48

Tabla B.3 Características y resultados del ensayo de la viga V-BR3-01.
Draft Samper 184616083-image209.jpeg
Draft Samper 184616083-image210.jpeg
a) b)

Figura B.22 Ensayo viga V-BR3-01: a) inicio del ensayo, b) final del ensayo.

En la Figura B.23 se muestra la relación entre la fuerza aplicada y el desplazamiento vertical en la sección de aplicación de la carga del espécimen reforzado con tejidos de fibras de basalto V-BR3-01 y la viga sin reforzar V-CONTROL. En ella se puede observar como la viga reforzada desarrolló un comportamiento elástico-lineal hasta alcanzar la carga máxima (Tabla B.3), coincidiendo la propagación de la fisura diagonal principal. A partir de este instante, después de experimentar un leve descenso de la capacidad resistente, el espécimen logró mantener la carga resistida constante hasta el colapso definitivo, aumentando significativamente la ductilidad respecto el comportamiento desarrollado por la viga sin reforzar.

Draft Samper 184616083-image211.png

Figura B.23 Relación carga-desplazamiento vertical máximo de las vigas V-BR3-01 y V-CONTROL.

Por otro lado, comparando los comportamientos de ambos especímenes durante la fase elástico-lineal, se puede observar como la viga V-CONTROL experimentó una rigidez superior a la viga reforzada V-BR3-01. Este hecho se muestra también en el proceso de deflexión desarrollado por ambos especímenes (Figura B.24). El motivo de este comportamiento es que las dos vigas fueron ejecutadas utilizando hormigones con distintas propiedades mecánicas, siendo el módulo de elasticidad secante del hormigón usado para ejecutar V-CONTROL superior al de V-BR3-01 (ver apartado A.2 del Anexo A).

La Figura B.25 muestra la relación entre la carga y las deformaciones adquiridas por las diferentes galgas extensométricas instaladas en la viga V-BR3-01. Se puede observar cómo, inicialmente, el comportamiento de las pseudo-rosetas se muestra similar en ambas zonas de la viga. A partir de la carga correspondiente a 145kN, las deformaciones de las galgas registradas en la zona 1 dejaron de comportarse de forma lineal respecto a la carga aplicada (Figura B.25a). Por el contrario, las deformaciones de la zona 2 tuvieron un comportamiento elástico-lineal hasta la aparición de la fisura principal (170kN), registrando así una mayor distorsión angular (Figura B.25b) que en la zona 1. De forma análoga a la viga V-CONTROL, las galgas εa,i registraron deformaciones asociadas a tracciones y las galgas εb,i y εc,i deformaciones asociadas a tensiones de compresión.

Draft Samper 184616083-image212.png

Figura B.24 Deformada de la viga V-BR3-01 respecto la viga V-CONTROL.
Draft Samper 184616083-image213-c.png
Draft Samper 184616083-image214-c.png
a) b)

Figura B.25 Relación carga-deformación de las galgas extensométricas de la viga V-BR3-01: a) zona 1, b) zona 2.

B.5.3. V-BR3-02

La viga V-BR3-02 fue el segundo espécimen reforzado con TRM utilizando tejidos de fibras de basalto. La Tabla B.4 resume los resultados obtenidos en el ensayo realizado a fecha de 03/10/2012. Cabe destacar que este espécimen no alcanzó la carga máxima desarrollada por la viga sin reforzar.

V-BR3-02
Modo de fallo C
Zona fisura principal 2
Fuerza máxima resistida (Fmax) (kN) 130,04
Flecha última (δu,exp) (mm) 36,76
Inclinación fisura principal (θ) (°) 21
Cortante último resistido (Vu,exp) (kN) 60,69

Tabla B.4 Características y resultados del ensayo de la viga V-BR3-02.


La fisura principal se propagó diagonalmente desde la sección donde se aplicó la carga hasta el soporte de la zona 2, travesando la zona central con armadura transversal y la zona reforzada con TRM (Figura B.26).

La Figura B.27 muestra como la viga reforzada desarrolló un comportamiento lineal elástico hasta alcanzar una carga de 120kN, coincidiendo la aparición de la fisura diagonal principal. A partir de este instante, la viga desarrolló un comportamiento no lineal, aumentando la carga resistida hasta el colapso definitivo.

A pesar del aumento significativo de ductilidad en el proceso de fallo, el espécimen V-BR3-02 no fue capaz de alcanzar la carga resistida por la viga sin reforzar. Este comportamiento anómalo se refleja también en la Figura B.28, donde la viga V-BR3-02 registró una deflexión altamente superior a la viga V-CONTROL, desarrollando, para una fuerza aplicada de 120kN, un desplazamiento vertical en la sección de aplicación de la carga un 716% superior al del espécimen sin reforzar. Este hecho indica que la viga V-BR3-02 presentaba una rigidez a flexión deficiente, comparándola con la viga de control y el resto de especímenes ensayados.

Draft Samper 184616083-image215.jpeg
Draft Samper 184616083-image216.jpeg
a) b)

Figura B.26 Ensayo viga V-BR3-02: a) inicio del ensayo, b) final del ensayo.
Draft Samper 184616083-image217.png

Figura B.27 Relación carga-desplazamiento vertical máximo de las vigas V-BR3-02 y V-CONTROL.
Draft Samper 184616083-image218-c.png

Figura B.28 Deformada de la viga V-BR3-02 respecto la viga V-CONTROL.

Por otro lado, las deformaciones registradas por las galgas adheridas al refuerzo de la zona 1 (Figura B.29a) registraron una distorsión angular superior a la sus equivalentes de la zona 2 (Figura B.29b).

Draft Samper 184616083-image219-c.png
Draft Samper 184616083-image220.png
a) b)

Figura B.29 Relación carga-deformación de las galgas extensométricas de la viga V-BR3-02: a) zona 1, b) zona 2.

Además, se puede observar como las deformaciones de las galgas de la zona 1 desarrollaron un comportamiento no lineal respecto a la carga aplicada, comportamiento diferenciado a las galgas de la zona 2 cuyo comportamiento fue lineal hasta la aparición de la fisura diagonal principal.

B.5.4. V-CXM25-01

La viga V-CXM25-01 fue un espécimen reforzado a cortante con utilizando un TRM compuesto por tejidos de fibras de carbono. La Tabla B.5 resume los resultados obtenidos en el ensayo realizado en fecha 24/10/2012.

V-CXM25-01
Modo de fallo B
Zona fisura principal 2
Fuerza máxima resistida (Fmax) (kN) 220,42
Flecha última (δu,exp) (mm) 7,44
Inclinación fisura principal (θ) (°) 38
Cortante último resistido (Vu,exp) (kN) 102,86

Tabla B.5 Características y resultados del ensayo de la viga V-CXM25-01.
Draft Samper 184616083-image221.jpeg
Draft Samper 184616083-image222.jpeg
a) b)

Figura B.30 Ensayo viga V-CXM25-01: a) inicio del ensayo, b) final del ensayo.

El ensayo se llevó a término, desarrollando el espécimen un colapso frágil con una propagación de la fisura a cortante desde la sección de aplicación de la carga hasta el soporte, evitando la zona del armado transversal central (Figura B.30). La fisura principal se desarrolló en el tramo a cortante de mayor longitud (zona 2).

En la Figura B.31 se muestra como la viga reforzada desarrolló un comportamiento lineal hasta alcanzar la carga máxima (Tabla B.5) y el posterior colapso de la misma.

Comparando los comportamientos de ambos especímenes se puede observar como, a pesar de no desarrollar un fallo con un grado superior de ductilidad, la viga V-CXM25-01 fue capaz de incrementar la capacidad de carga de la viga sin reforzar en un 36%.

Draft Samper 184616083-image223-c.png

Figura B.31 Relación carga-desplazamiento vertical máximo de las vigas V-CXM25-01 y V-CONTROL.

Por otro lado, la rigidez a flexión de la viga V-CXM25-01 fue inferior a la de la viga de control, tal y como se puede observar en la Figura B.32. En cuanto a la deformada, cabe destacar como la deflexión de la viga reforzada mostró un elevado grado de asimetría, comparándola con la desarrollada por el espécimen V-CONTROL (Figura B.32).

Draft Samper 184616083-image224-c.png

Figura B.32 Deformada de la viga V-CXM25-01 respecto la viga V-CONTROL.

La Figura B.33 muestra la relación entre la carga y las deformaciones adquiridas por las diferentes galgas extensométricas instaladas en la viga V-CXM25-01.

Draft Samper 184616083-image225.png
Draft Samper 184616083-image226.png
a) b)

Figura B.33 Relación carga-deformación de las galgas extensométricas de la viga V-CXM25-01: a) zona 1, b) zona 2.

Como se puede observar, ya desde etapas tempranas, las deformaciones de la zona 2 (Figura B.33b) indicaron que el punto estudiado presentaba una distorsión angular superior a la de su homólogo situado en la zona 1 (Figura B.33a). La relación de las deformaciones de las galgas de la zona 2 y la carga aplicada fue lineal hasta alcanzar el la carga máxima resistida. No fue así para las lecturas registradas por las galgas de la zona 1, donde el comportamiento lineal se mantuvo hasta una carga de 140kN a partir de la cual, se desarrolló un acusado comportamiento no lineal. Como en la mayoría de casos, las galgas εa,i registraron deformaciones asociadas a tracciones y las galgas εb,i y εc,i deformaciones asociadas a tensiones de compresión.

B.5.5. V-CXM25-02

La viga V-CXM25-02 fue el segundo espécimen reforzado con TRM utilizando tejidos de fibras de carbono. La Tabla B.6 resume los resultados obtenidos en el ensayo realizado a fecha de 18/10/2012.

V-CXM25-02
Modo de fallo B
Zona fisura principal 1
Fuerza máxima resistida (Fmax) (kN) 173,15
Flecha última (δu,exp) (mm) 5,82
Inclinación fisura principal (θ) (°) 56
Cortante último resistido (Vu,exp) (kN) 92,35

Tabla B.6 Características y resultados del ensayo de la viga V-CXM25-02.


Este espécimen desarrolló un fallo por rotura frágil con una propagación de la fisura a cortante desde la sección de aplicación de la carga hasta el soporte, evitando la zona del armado transversal central (Figura B.34). Cabe destacar que este fue el único espécimen que colapso por la zona donde el tramo a cortante es inferior (zona 1) (Figura B.34b).

Draft Samper 184616083-image227.jpeg
Draft Samper 184616083-image228.jpeg
a) b)

Figura B.34 Ensayo viga V-CXM25-02: a) inicio del ensayo, b) final del ensayo.

El comportamiento mecánico de la viga V-CXM25-02 resultó muy similar a su homóloga sin reforzar, con la diferencia que el espécimen reforzado con tejidos de fibras de carbono logró resistir 7,2% más de carga que la viga V-CONTROL (Figura B.35). Por otro lado, el espécimen sin reforzar desarrolló una rigidez a flexión superior, tal y como se muestra en los tramos lineales de las curvas de carga respecto el desplazamiento vertical de la sección donde se aplicó la fuerza (Figura B.35) y en la comparación de las deflexiones de ambas vigas (Figura B.36).

Draft Samper 184616083-image229.png

Figura B.35 Relación carga-desplazamiento vertical máximo de las vigas V-CXM25-02 y V-CONTROL.
Draft Samper 184616083-image230.png

Figura B.36 Deformada de la viga V-CXM25-02 respecto la viga V-CONTROL.

Las deformaciones de las galgas εb,i y εc,i respecto la carga aplicada presentaron un comportamiento similar en los puntos estudiados de ambas zonas de la viga (Figura B.37). En cambio, las deformaciones registradas por las galgas εa,i mostraron un comportamiento notablemente diferente: mientras que la galga εa,1 registró unas deformaciones asociadas a tensiones de compresión (Figura B.37a), su homóloga de la zona 2 (εa,2) adquirió unas lecturas de deformación constantes en todo el proceso de carga (Figura B.37b). Este comportamiento de las deformaciones de la zona 2 indica que se formó una biela de compresión con efecto de ménsula corta durante el proceso de carga.

Draft Samper 184616083-image231-c.png
Draft Samper 184616083-image232-c.png
a) b)

Figura B.37 Relación carga-deformación de las galgas extensométricas de la viga V-CXM25-02: a) zona 1, b) zona 2.

B.5.6. V-PXM750-01

La viga V-PXM750-01 fue uno de los especímenes reforzados con TRM utilizando tejidos de fibras de PBO. La Tabla B.7 resume los resultados obtenidos en el ensayo realizado en fecha 25/07/2012.

V-PXM750-01
Modo de fallo A
Zona fisura principal 2
Fuerza máxima resistida (Fmax) (kN) 215,95
Flecha última (δu,exp) (mm) 20,72
Inclinación fisura principal (θ) (°) 42
Cortante último resistido (Vu,exp) (kN) 100,77

Tabla B.7 Características y resultados del ensayo de la viga V-PXM750-01.


Este espécimen colapsó desarrollando una mayor ductilidad que la viga sin reforzar. La fisura principal se propagó diagonalmente desde la sección donde se aplicó la carga, travesando la zona central con armadura transversal y no invadiendo relevantemente la zona reforzada con TRM (Figura B.38). De idéntica forma a la viga V-CONTROL, esta viga rompió por la zona donde el tramo a cortante es mayor (zona 2).

Draft Samper 184616083-image233.jpeg
Draft Samper 184616083-image234.jpeg
a) b)

Figura B.38 Ensayo viga V-PXM750-01: a) inicio del ensayo, b) final del ensayo.

En la Figura B.39 se muestra la relación entre la fuerza aplicada y el desplazamiento vertical en la sección de aplicación de la carga del espécimen reforzado con tejidos de fibras de PBO (V-PXM750-01) y de la viga sin reforzar V-CONTROL. En ella se puede observar como la viga reforzada desarrolló un comportamiento lineal hasta alcanzar la carga en la que se empezó a propagar la fisura diagonal principal. A partir de este instante, el espécimen logró incrementar de forma no lineal su capacidad de carga. Este proceso se prolongó hasta alcanzar la fuerza máxima resistida, con un desplazamiento vertical de la sección sometida a carga un 422% superior al de la viga de control.

Draft Samper 184616083-image235.png

Figura B.39 Relación carga-desplazamiento vertical máximo de las vigas V-PXM750-01 y V-CONTROL.

Comparando los comportamientos de ambos especímenes durante la fase de carga elástico-lineal (Figura B.39) y sus respectivas deflexiones (Figura B.40), se puede observar como la viga V-PXM750-01 experimentó una rigidez inferior a la viga de control, debido a las diferentes propiedades mecánicas que tienen los hormigones de ambas vigas (ver apartado A.2 del Anexo A).

Draft Samper 184616083-image236-c.png

Figura B.40 Deformada de la viga V-PXM750-01 respecto la viga V-CONTROL.

Observando la Figura B.40, cabe destacar que el proceso de deflexión de la viga V-PXM750-01 fue acusadamente asimétrico, registrando desplazamientos verticales en la zona 2 significativamente superiores a los de la zona 1.

Analizando las deformaciones en los puntos de ambas zonas de la viga (Figura B.41), se puede afirmar que los comportamientos desarrollados fueron marcadamente diferentes.

Draft Samper 184616083-image237-c.png
Draft Samper 184616083-image238-c.png
a) b)

Figura B.41 Relación carga-deformación de las galgas extensométricas de la viga V-PXM750-01: a) zona 1, b) zona 2.

La distorsión angular registrada por las galgas instaladas en la zona 2 (Figura B.41b) fue claramente superior a las de la zona 1 (Figura B.41a). Este hecho está claramente relacionado con la deflexión asimétrica que desarrolló la viga durante el proceso de carga.

B.5.7. V-PXM750-02

La viga V-PXM750-02 fue el segundo espécimen reforzado con TRM utilizando tejidos de fibras de PBO. La Tabla B.8 resume los resultados obtenidos en el ensayo realizado a fecha de 09/07/2012.

V-PXM750-02
Modo de fallo A
Zona fisura principal 2
Fuerza máxima resistida (Fmax) (kN) 231,66
Flecha última (δu,exp) (mm) 35,91
Inclinación fisura principal (θ) (°) 40
Cortante último resistido (Vu,exp) (kN) 108,11

Tabla B.8 Características y resultados del ensayo de la viga V-PXM750-02.


De la misma forma que el espécimen V-PXM750-01, esta viga desarrolló fallo con un grado de ductilidad notablemente superior a la viga de control. La fisura principal se propagó diagonalmente en la zona central de la viga sin invadir el tramo reforzado con TRM (Figura B.42). Cabe destacar que en un primer intento de ensayo el proceso de carga se interrumpió al alcanzar los 100kN, habiendo aparecido en ese instante fisuras de flexión en el centro del espécimen. En el segundo y definitivo proceso de carga el ensayo transcurrió con normalidad. Los resultados expuestos corresponden solo al segundo ensayo realizado.

Draft Samper 184616083-image239.jpeg
Draft Samper 184616083-image240.jpeg
a) b)

Figura B.42 Ensayo viga V-PXM750-02: a) inicio del ensayo, b) final del ensayo.

Analizando el gráfico de carga-desplazamiento vertical de la sección solicitada se puede diferenciar claramente las fases elástico-lineal y no lineal desarrolladas por el espécimen V-PXM750-02 (Figura B.43). Cabe destacar que esta viga fue capaz de seguir incrementando su capacidad resistente en la fase no lineal de carga hasta alcanzar el colapso a una fuerza un 43,4% superior a la de la viga de control.

Draft Samper 184616083-image241-c.png

Figura B.43 Relación carga-desplazamiento vertical máximo de las vigas V-PXM750-02 y V-CONTROL.

Referente a la rigidez a flexión del espécimen, en este caso no se puede realizar una comparación directa con la viga sin reforzar debido a las fisuras aparecidas en el primer intento de carga. Esto se puede comprobar con el hecho de que, a pesar que módulo de elasticidad lineal del hormigón de la viga de control era superior al de la viga reforzada, la viga V-PXM750-02 presentó una rigidez más elevada en el tramo lineal-elástico (Figura B.43) y una menor deflexión (Figura B.44) que el espécimen V-CONTROL.

Draft Samper 184616083-image242-c.png

Figura B.44 Deformada de la viga V-PXM750-02 respecto la viga V-CONTROL.

En cuanto a las lecturas registradas por las galgas extensométricas, las deformaciones de los dos puntos de la viga estudiados se comportaron linealmente hasta una carga de 150kN (Figura B.45). Este hecho coincide con un leve cambio de curvatura observable en el tramo elástico-lineal de la curva fuerza-desplazamiento vertical de la sección solicitada (Figura B.43).

Draft Samper 184616083-image243-c.png
Draft Samper 184616083-image244-c.png
a) b)

Figura B.45 Relación carga-deformación de las galgas extensométricas de la viga V-PXM750-02: a) zona 1, b) zona 2.

B.5.8. V-VPHDM-01

La viga V-VPHDM-01 fue un espécimen reforzado a cortante con TRM utilizando tejidos de fibras de vidrio. La Tabla B.9 resume los resultados obtenidos en el ensayo realizado en fecha 26/09/2012.

V-VPHDM-01
Modo de fallo C
Zona fisura principal 2
Fuerza máxima resistida (Fmax) (kN) 104,76
Flecha última (δu,exp) (mm) 7,05
Inclinación fisura principal (θ) (°) 33
Cortante último resistido (Vu,exp) (kN) 48,89

Tabla B.9 Características y resultados del ensayo de la viga V-VPHDM-01.


De forma similar al espécimen V-BR3-02, esta viga no fue capaz de resistir una fuerza aplicada superior a la de la viga sin reforzar, siendo la carga última resistida un 35% inferior a la del espécimen V-CONTROL. La fisura principal se desarrolló de la sección de aplicación de la carga hasta el soporte de la zona 2, cruzando el área central con estribos longitudinales y la zona reforzada con TRM (Figura B.46).

Draft Samper 184616083-image245.jpeg
Draft Samper 184616083-image246.jpeg
a) b)

Figura B.46 Ensayo viga V-VPHDM-01: a) inicio del ensayo, b) final del ensayo.

Además de no alcanzar la carga última del espécimen sin reforzar, la viga V-VPHDM-01 presentó un claro déficit de rigidez a flexión, tal y como se puede observar comparando los tramos elástico-lineales de las curvas de carga-deformación vertical de la sección donde se aplicó la carga (Figura B.47) y las deformadas de ambas vigas (Figura B.48).

Draft Samper 184616083-image247.png

Figura B.47 Relación carga-desplazamiento vertical máximo de las vigas V-VPHDM-01 y V-CONTROL.
Draft Samper 184616083-image248.png

Figura B.48 Deformada de la viga V-VPHDM-01 respecto la viga V-CONTROL.

La Figura B.49 muestra la relación entre la carga y las deformaciones registradas por las galgas extensométricas instaladas en el espécimen V-VPHDM-01. En ella se puede observar como en ninguno de los casos las deformaciones tuvieron un comportamiento lineal definido, hecho que sustenta la hipótesis de que este espécimen tuvo una rigidez a flexión deficiente.

Draft Samper 184616083-image249.png
Draft Samper 184616083-image250.png
a) b)

Figura B.49 Relación carga-deformación de las galgas extensométricas de la viga V-VPHDM-01: a) zona 1, b) zona 2.

B.5.9. V-VPHDM-02

La segunda muestra de viga de hormigón armado reforzada a cortante con TRM compuesto por tejidos de fibras de vidrio fue la V-VPHDM-02. La Tabla B.10 resume los resultados obtenidos en el ensayo realizado en fecha 21/09/2012.

V-VPHDM-02
Modo de fallo A
Zona fisura principal 2
Fuerza máxima resistida (Fmax) (kN) 219,04
Flecha última (δu,exp) (mm) 8,62
Inclinación fisura principal (θ) (°) 46
Cortante último resistido (Vu,exp) (kN) 102,22

Tabla B.10 Características y resultados del ensayo de la viga V-VPHDM-02.


De forma similar a los especímenes V-BR3-01, V-PXM750-01 y V-PXM750-02, esta viga desarrolló un modo de fallo notablemente dúctil, evitando el colapso frágil a cortante de la viga sin reforzar. La fisura principal se propagó de forma diagonal por la zona central sin invadir de forma significativa el área reforzada con TRM (Figura B.50).

Draft Samper 184616083-image251.jpeg
Draft Samper 184616083-image252.jpeg
a) b)

Figura B.50 Ensayo viga V-VPHDM-02: a) inicio del ensayo, b) final del ensayo.

El comportamiento mecánico del espécimen sometido a ensayo fue análogo al desarrollado por la viga V-BR3-01. En la Figura B.51 se observa un tramo de carga elástico-lineal claramente definido hasta alcanzar la carga última. A partir de ese punto, se desarrolló un tramo no lineal asociado a un decremento progresivo de la fuerza resistida hasta el colapso definitivo. La rigidez a flexión de la viga reforzada también fue inferior a la de la viga de control, tal y como se observa con las deformadas correspondientes en la Figura B.52.

Draft Samper 184616083-image253.png

Figura B.51 Relación carga-desplazamiento vertical máximo de las vigas V-VPHDM-02 y V-CONTROL.
Draft Samper 184616083-image254.png

Figura B.52 Deformada de la viga V-VPHDM-02 respecto la viga V-CONTROL.

Las deformaciones correspondientes a las galgas que componen las pseudo-rosetas instaladas muestran un comportamiento lineal hasta alcanzar la carga máxima (Figura B.53). En este caso se puede observar como la zona 2 (Figura B.53b) presentó una mayor distorsión angular asociada al esfuerzo cortante que la zona 1 (Figura B.53a).

Draft Samper 184616083-image255.png
Draft Samper 184616083-image256.png
a) b)

Figura B.53 Relación carga-deformación de las galgas extensométricas de la viga V-VPHDM-02: a) zona 1, b) zona 2.
Back to Top

Document information

Published on 01/01/2016

Licence: CC BY-NC-SA license

Document Score

0

Views 2988
Recommendations 0

Share this document

claim authorship

Are you one of the authors of this document?