Pulsa aquí para ver la versión en Español (ES)

Abstract

This article analyzes the role of the political «infotainment» prosumer on Internet. In the second half of the XX century, telecracy was the predominant one-way communication model that not only popularized politics but also transformed politics into entertainment or «politainment». The XXI century began with the conviction that the Internet would lead to a bidirectional communication model in which true dialogue between political power and citizens would emerge. This research explores a new field of study: Web 2.0 «politainment» and prosumers’ attitudes and actions within this new communication sphere. The objective of the study is to identify the kind of political content Internet users consume and produce. To achieve this, we made a case study of the political information produced and consumed on YouTube, and in particular of a speech given by Ana Botella, the Mayor of Madrid, before the International Olympic Committee (IOC) in September 2013. The 40 most-watched videos on YouTube during the week of the Mayor’s appearance as well as those viewed in the month that followed have been analyzed, in addition to the 3,000 comments on these videos. The conclusion shows that the prosumption of «politainment» on Internet is characterized by massive consumption of information but passive reaction with regard to production and participation.

Download the PDF version

1. Introducción y estado de la cuestión

Esta investigación parte del concepto de prosumidor de Alvin Toffler (1980) por el que se entiende al usuario como la unión del productor y consumidor. El productor en este trabajo, además, se vincula al concepto de la «fábrica social» (Hardt & Negri, 2000) y a la producción inmaterial (Lazzarato, 1996) que toda actividad comunicativa conlleva. La proliferación de Internet pone de actualidad el «prosumo»: la Web 2.0 es una nueva fábrica social (Ritzer, Dean & Jurgenson, 2012) donde los usuarios consumen información, producen contenidos y se convierten en prosumidores a través de wikis, blogs y redes sociales como Facebook, Twitter, Flickr o YouTube (Chia, 2012; Shaw & Benkler, 2012). La Web 2.0 permite la movilización del trabajo inmaterial de productores y consumidores de información en una cantidad sin precedentes: los prosumidores se convierten en un elemento hegemónico en este entorno comunicativo.

Las redes sociales son claramente un medio de «prosumo» donde los prosumidores se convierten en altavoces que producen conversaciones con y para un público consumidor. En esta conversación, la audiencia no solo consume esos contenidos, sino que responde y re-produce estos mensajes y crea otros casi simultáneos. Significa que cualquier actividad en el mundo off-line puede tener transcendencia en el mundo on-line, conformando un «espacio de autonomía» (Castells, 2012) mediante la «auto-comunicación de masas» (Castells, 2010). En casos en los que los ciudadanos consumen información a través de los medios tradicionales, también pueden utilizar los nuevos medios –y concretamente, la Web 2.0– para mezclar la «vieja información» con una «nueva información», es el proceso denominado por algunos autores como «transmediación» (Cheong & Lundry, 2012).

Al mismo tiempo que se potencia la personalización y la individualización de la información, los prosumidores contribuyen, en comunidad, a la producción de un significado que rodea al contenido y al producto en sí, compartiendo un significado, una participación que no existía antes o una relación social. Se genera así, en el contenido y en el mensaje, un excedente ético en comunidad (Arvidsson, 2005). Es decir, se establece un modelo informativo a la carta (Sunstein, 2001) o pro-am (Leadbeater & Miller, 2004), al mismo tiempo que se conforma un esfuerzo conjunto de prosumidores en el desarrollo de estos mensajes. Por ello, Bruns (2008) se refiere, en estos entornos del prosumo, a la figura del «produser», como aquel que se basa en la colaboración para producir y consumir la información, en lugar de trabajar por sí mismo como prosumidor. Asienta su fundamento en la producción de contenidos mediante la filosofía de colaboración en redes de trabajo de la Web 2.0 con otros usuarios.

En el caso del prosumidor de la comunicación política en la Web 2.0, se habla de la «political prosumption» (Hershkovitz, 2012). Una de las líneas fundamentales de estudio del prosumidor en la comunicación política ha estado centrada en el estudio del tipo de contenido producido y consumido por los usuarios en Internet: informativo o de entretenimiento. En esta investigación, el ámbito de observación que interesa, por su novedad, es el «politainment» (Nieland, 2008; Sayre & King, 2010; Schultz, 2012), un término relativamente reciente que reúne dos funciones relativas a los medios de comunicación, como son la información política y el entretenimiento. El «infoentretenimiento» surge en los años noventa vinculado a la importante competencia que se desarrolla en el mercado audiovisual y que engloba todas las temáticas incluyendo la política, aunque, ya en 1967 Debord proféticamente anunciaba el deslizamiento de la vida social desde lo genuino a lo espectacular y, en los años ochenta, Postman (1985) planteaba que el discurso público en Estados Unidos se transforma en entretenimiento y Bratlinger (1985) mencionaba el circo romano al referirse al espectáculo que ofertan los medios de comunicación.

De manera concreta, los estudios sobre «infoentretenimiento» político televisivo se desarrollan en España a finales de los noventa (Berrocal, Abad, Cebrián & Pedreira, 2001; Dader, 2003; Carpio, 2009; Arroyo, 2008; Ferré & Gayá, 2009; García Avilés, 2007; Valhondo, 2011; Ortells, 2009), en consonancia con los principales estudios en el ámbito internacional: en Europa (Brants, 1998; Brants & Neijen, 1998), en Asia (Shirk, 2007), en el mundo árabe (Bahry, 2001; Lynch, 2004a, 2004b) y en Estados Unidos (Patterson, 2000; Baum, 2002, 2003a; 2003b; 2005; Hollander, 2005; Moy, Xenos & Hess, 2006). A pesar de que la mayoría de estudios sobre «politainment» se han centrado en la televisión, lo cierto es que el término hace referencia a una tendencia periodística hacia la representación de la realidad en clave espectacular que puede producirse en cualquier medio de comunicación. De ahí que Internet abra un horizonte nuevo para su estudio, en el que aún escasean los trabajos, ya no solo en el panorama nacional sino también internacional (Tryon, 2008; Towner & Dulio, 2011; Berrocal, Campos & Redondo, 2012).

La discusión académica ha intentado comprender qué tipo de contenidos producen y consumen los ciudadanos cuando son ellos, y no los medios de comunicación, los que establecen las preferencias informativas. No existen opiniones unánimes: mientras autores como Gibson y McCallister (2011) argumentan que los usuarios más activos en política, en Internet adquieren un mayor conocimiento y competencia en cuanto a sus derechos y capacidades en la intervención en la vida política, otros teóricos, como Sartori (1997), defienden que en la Red los sujetos mantienen la misma actitud pasiva y narcotizada que frente al televisor. En cuanto a los posibles efectos del «politainment», gran parte de los investigadores interpretan que el «infoentretenimiento» supone una degradación de la información política que impide que los ciudadanos capten la realidad con el rigor preciso para tomar decisiones fundamentadas (Blumler, 1992; Prior, 2005; Moy, Xenos & Hess; 2006), mientras que otros autores, como Grabe, Zhou, Lang y Bolls (2000), afirman que una noticia ofrecida desde técnicas de «infoentretenimiento» capta mejor la atención de la audiencia que la misma información presentada de una forma tradicional. Brants (1998), Baum (2002; 2003a; 2003b; 2005), Stockwell (2004) o Taniguchi (2007) consideran que los riesgos que supone abordar cuestiones políticas en programas de info-show son menores y que tiene ventajas como la de conseguir popularizar la información política en sectores poco proclives a interesarse por ella.

Hasta la fecha, los estudios del «politainment» en Internet se han centrado en el estudio de contenido de vídeos en YouTube (Berrocal, Campos & Redondo, 2012a; Berrocal, Campos & Redondo, 2012b) sin que existan trabajos que aborden el papel del prosumidor en los contenidos de «infoentretenimiento» político en la Red. De ahí, la necesidad de abordar qué papel tienen los prosumidores ante el «political infotainment» en España.

2. Material y métodos

Este trabajo se basa en un estudio de caso que toma como hecho noticioso la intervención de la alcaldesa de Madrid, Ana Botella, ante el Comité Olímpico Internacional (COI) en el acto de elección de la sede de los Juegos Olímpicos de 2020. El 7 de septiembre de 2013, la candidatura de Madrid fue descartada en la primera ronda de la votación del COI, tras un empate con Estambul, y en la que resultó vencedora Tokio. El acto de defensa de la candidatura madrileña ante los miembros del COI duró cuarenta y cinco minutos, tiempo en el que intervinieron nueve ponentes –el Príncipe Felipe de Borbón, el presidente del Gobierno, Mariano Rajoy, el presidente de la Comunidad de Madrid, Ignacio González, la alcaldesa de la ciudad, Ana Botella, entre otros–. Los discursos de la presentación fueron encargados al estadounidense Terrence Burns1. Los dos principales diarios impresos españoles, «El País» y «El Mundo»2, apostaron por el análisis de las causas de la derrota y las repercusiones políticas que podía tener el fin del sueño olímpico. Ninguno de los dos diarios consideró que la presentación española ante el COI fuese incorrecta y menos aún motivo de la derrota, aunque sí realizaron alusiones al nivel de inglés de los políticos participantes.

No fue así en el caso de las redes sociales, donde rápidamente los usuarios se hicieron eco de la intervención de Ana Botella ante el comité del COI, principalmente con una frase de su intervención con una invitación a los miembros del Comité para que disfrutaran de una «relaxing cup of café con leche en Plaza Mayor». A las pocas horas, los usuarios crearon una cuenta en Twitter llamada @Relaxingcup3 que alcanzó, en apenas dos días, más de 12.350 seguidores. El mismo día del discurso de Ana Botella, la referida frase se convirtió en tendencia en la red social Twitter4, se crearon grupos de Facebook sobre el tema, canciones y todo tipo de llamadas de atención que eran compartidas a través de la Web 2.0. Entre ellas los vídeos en YouTube donde, en apenas unas horas, los usuarios comenzaron a difundir el vídeo con la intervención completa de Ana Botella y sus múltiples versionados con subtítulos y canciones elaboradas con el discurso y mezclas musicales. En solo unas horas, el vídeo más visto en YouTube sobre Ana Botella5 alcanzó 2.400.000 reproducciones. El alcance se comprende cuando, según datos del EGM, YouTube es el sitio web más visitado en España –según últimos datos disponibles, de abril a mayo, registró un total de 17.958.000 visitantes únicos–.

Para conocer el interés que este hecho noticioso despertaba en los usuarios de Internet y su papel como prosumidores del mismo, se realizó un primer análisis de los 20 vídeos más reproducidos en YouTube durante esa semana sobre Ana Botella –concretamente, hasta el 14 de septiembre de 2013–. Para determinar si el interés perduraba o, por el contrario, se apagaba con el transcurso del tiempo, se repitió un segundo estudio con los 20 vídeos más reproducidos un mes después de las declaraciones referidas –exactamente, el 7 de octubre de 2013–. Al mismo tiempo, se analizó el contenido y autoría de los comentarios realizados a cada vídeo, sumando 3.000 comentarios analizados.

En los 40 vídeos examinados en total, en las dos oleadas, se detecta una importante coincidencia, a excepción de cuatro vídeos; el resto se mantienen desde la primera fecha de muestreo como los más vistos. Lo que indica que los vídeos subidos a YouTube, nada más producirse el hecho noticioso, son los que reciben mayor número de reproducciones y es difícil que desaparezcan de los primeros lugares de visionado o que se incorporen vídeos nuevos a la lista de los más reproducidos.

Con el fin de analizar el contenido de los vídeos y los comentarios se diseñó ad hoc una ficha de análisis estructurada en tres categorías principales, combinando las respuestas abiertas y cerradas. Se planteó un análisis considerando cuatro niveles de «prosumo», a partir de la escalera de participación de Arnstein (1969).

En un primer nivel, el prosumidor es únicamente consumidor de información: selecciona el tipo de vídeos que visiona, pero no ejerce ninguna otra acción sobre el contenido. Los ítems de la primera categoría de la ficha de análisis pretendían detectar qué vídeos de información política sobre Ana Botella elegían los usuarios en su papel de consumidores de información, con el objetivo de determinar si se trataba de vídeos de contenido «politainment» o puramente informativos.


Draft Content 598875814-29646-en013.jpg

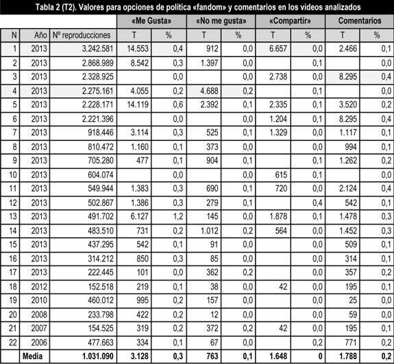
En un segundo nivel, el prosumidor es únicamente un fan o seguidor del mensaje. Se toma como base el primer nivel de «fandom» teorizado por Jenkins (1992) donde el usuario ejerce una interacción social con otros usuarios creando significados compartidos mediante el «me gusta» o «no me gusta» o «compartir» el contenido del mensaje en redes sociales, pero no elabora ningún comentario ni contenido sobre el propio mensaje. Los ítems de la segunda categoría pretenden explorar el nivel de implicación «fandom» de los prosumidores en los vídeos analizados.

En un tercer nivel, el prosumidor elabora, a partir de un mensaje principal –el vídeo–, contenidos sobre el mensaje con el resto de la comunidad. Se analizan los comentarios realizados por los usuarios a cada vídeo considerando las cascadas de información y rumorología de Sunstein (2010): la cascada de la información, la cascada del conformismo y la polarización grupal. Se analizan un total de 3.000 comentarios clasificándolos en estas tres categorías referidas –información, conformismo y polarización de grupos–.

Finalmente, en un cuarto nivel, el prosumidor es el productor del mensaje. Se contempla la acción del prosumidor como creador total o parcial del vídeo –en cuanto toma el contenido generado por otro autor y modifica elementos sonoros, visuales o textuales–.

El análisis y codificación fue realizado por cuatro codificadoras investigadoras del grupo de investigación reconocido «Nuevas tendencias en Comunicación» de la Universidad de Valladolid, que, entrenadas al efecto, aplicaron, en un sistema de pares, la ficha de análisis de contenido a los 40 vídeos y a 3.000 comentarios –75 en cada vídeo–. Este análisis, con enfoque cuantitativo, se complementó con un análisis cualitativo, mediante fichas de análisis con respuesta abierta en la que las codificadoras –tras la previa lectura y discusión de contribuciones científicas internacionales que permitieron establecer el estado de la cuestión– complementaron el análisis cuantitativo. Una vez concluida la codificación por pares, los resultados obtenidos fueron discutidos y unificados por las cuatro codificadoras. Los datos –número de reproducciones, número total de «me gusta», «no me gusta» y «compartir»– han sido extraídos de YouTube, por tanto los límites de este análisis quedan limitados a la credibilidad de los datos proporcionados por la propia plataforma de vídeos analizada6.

3. Análisis y resultados

3.1. El prosumidor como consumidor

El prosumidor visiona fundamentalmente vídeos de entretenimiento político en YouTube: la temática de la mayoría de los vídeos más reproducidos sobre Ana Botella es una parodia de la intervención de la alcaldesa de Madrid ante el COI hablando en inglés –el 81% de los analizados–. En apenas unas horas, el vídeo más visionado alcanzó 2.400.000 reproducciones. Si de forma meramente contextual, se compara7 con la audiencia registrada en España en televisión en el mismo mes de septiembre, se observa que este vídeo alcanzó, en una semana, cifras semejantes a aquellos programas que se sitúan alrededor de la posición 25 en la lista de los más vistos, como la emisión del partido «Champion League Galatsaray-Madrid» con 2.500.000 de espectadores y por encima de «El peliculón de Antena 3» con 2.380.000 espectadores o «El Hormiguero» con 2.169.000. La diferencia es todavía mayor si se compara con los programas informativos: el más visto fue «Antena 3 Noticias 1» con 1.956.000 espectadores, seguido del «Telediario 1 de La 1» con 1.891.000 espectadores o de «Informativos Tele 5, 21:00», con 1.812.000. También resulta relevante comparar la repercusión del vídeo más visto de Ana Botella con datos del usuario de Internet; en ese mes de septiembre de los 22.640.000 usuarios registrados, 7.920.000 acudieron a páginas de contenido informativo mientras que 10.144.000 se dirigieron a buscar entretenimiento: en las páginas informativas, el usuario utilizó una media de 13,9 minutos diarios, mientras que los contenidos vinculados al entretenimiento televisivo le ocuparon 226 minutos8. Todos estos indicadores convienen en señalar la importancia del entretenimiento y, en el caso que nos ocupa, el triunfo del «infoentretenimiento» político en YouTube. Así, además de encontrar que el 81% de los vídeos sobre Ana Botella corresponden al género de la parodia o sátira informativa, la temática del 19% de los videos restantes se corresponde con mensajes pasados puestos en actualidad por el hecho noticioso de Ana Botella en la intervención del COI –como por ejemplo: vídeos de su marido José María Aznar hablando tejano ante George Bush o vídeos producidos anteriormente y procedentes de canales de televisión como una pieza de Ana Botella del programa «El Intermedio» de La Sexta, o una conversación de la alcaldesa de Madrid con Sánchez Dragó antes de una entrevista en un programa de televisión–.

Mayoritariamente la alcaldesa de Madrid es la protagonista de los vídeos –en el 90,5% de los casos–, algo que, si bien se entiende porque en YouTube la búsqueda se realiza precisamente con su nombre como palabra clave, también constituye una de las características del «politainment».

El prosumidor convierte una anécdota política en novedad política en apenas unas horas, e incluso traslada a la actualidad un hecho pasado: la mayoría de los vídeos más reproducidos en YouTube de Ana Botella fueron publicados en 2013 (77,3%) y la mitad de los vídeos analizados, el mismo día de su intervención ante el COI y durante los cinco días siguientes. Al mismo tiempo, se hicieron actuales –a través de comentarios sobre la intervención en inglés de la líder– vídeos publicados en YouTube durante el año 2013 (de marzo a septiembre, antes del día 7), y siete vídeos publicados desde 2006 y 2012 (tabla 2).

3.2. El prosumidor como fan o seguidor del mensaje

La acción de los prosumidores en el nivel de política «fandom» es prácticamente nula. Apenas, en el mejor de los casos, un 0,4 de reproducciones conlleva una acción del usuario en «Me gusta», «No me gusta» o «Compartir». Tampoco existe una relación clara entre un mayor número de reproducciones de un vídeo y un mayor número de acciones en las opciones señaladas. En el presente estudio, aunque efectivamente el vídeo más visionado es el que recibe el mayor número de «Me gusta» y «Compartir», no se establece una relación en este sentido para el resto de los vídeos visionados en órdenes consecutivos (tabla 2). En términos generales, se aprecia una volatilidad en la decisión del prosumidor a la hora de señalar una u otra opción, en relación al volumen de reproducciones.

3.3. El prosumidor como comentarista

Tampoco el prosumidor genera un número representativo de comentarios en relación con el número de visionados (tabla 2). No existe una correlación entre los vídeos más vistos y más comentados. Otra variable importante es la fecha de los comentarios: se establece, como tendencia mayoritaria, la relación entre número de comentarios recibidos y año de publicación del vídeo. Todos los vídeos publicados en 2013 reciben el mayor porcentaje de comentarios desde el 7 de septiembre de 2013 hasta un mes después, los publicados en 2012 reciben más comentarios ese año 2012, y así sucesivamente. Por tanto, se considera que, si bien es cierto que los prosumidores consiguen poner de actualidad un vídeo pasado en número de reproducciones, no actualizan significativamente los comentarios de estos vídeos antiguos.


Draft Content 598875814-29646-en014.jpg

Mención especial merece la forma y contenido de los comentarios recibidos. La mayoría de las opiniones que los prosumidores vierten en estos vídeos se vinculan a lo que Sunstein (2010) denomina «cascada de conformismo», en cuanto a que estos comentarios son mensajes muy breves, que reafirman el mensaje de la mayoría. Ninguno de los mensajes analizados son informativos –entendiendo como tales aquellos que ofrecen una información no contemplada en el vídeo o un argumento justificado–, solo dos vídeos registran mayoritariamente mensajes polarizados entre dos grupos de prosumidores que establecen una discusión entre ellos –mediante insultos entre los diferentes usuarios y opiniones sin argumentos–, y el resto son opiniones que siguen, como se ha referido, el hilo de la mayoría.

3.4. El prosumidor como productor

Tampoco se aprecia una actividad significativa en el prosumidor como autor del vídeo. Únicamente se ha detectado un vídeo elaborado plenamente por un usuario común y publicado por él en YouTube –un rap musical–. La acción de producción mayoritaria en este caso se aprecia cuando el prosumidor toma un fragmento de un programa de televisión –en su mayoría de «El Intermedio» de La Sexta– en el que aparece Ana Botella y lo publica en YouTube sin edición alguna en el contenido del vídeo, introduciendo únicamente un título y una descripción o, en su caso, un subtítulo. De esta forma, la mayoría de los vídeos (71%) han sido publicados sin alterar su contenido visual, sonoro o textual. Se corresponde con el mismo número de vídeos cuya autoría pertenece a un medio de comunicación o a la imagen institucional proporcionada por el COI de la intervención de Ana Botella, aunque solo en un 9,5% de los casos esos vídeos de medios de comunicación fueron publicados en YouTube por el propio medio de comunicación o programa.

4. Discusión y conclusiones

El prosumo de «politainment» en Internet se caracteriza por ser consumido masivamente por los usuarios pero por una acción muy pasiva en su producción. El prosumidor basa su consumo y producción en acciones colaborativas, pero no es el productor hegemónico de estos contenidos. Si bien es cierto que cada vídeo recibe un número significativo de comentarios, no es un volumen proporcional al número de reproducciones: como se ha comprobado, solo un porcentaje reducido de reproducciones se traduce también en comentarios. Además, su contenido es vacuo y únicamente tiende a seguir el hilo de conversación de la mayoría, sin argumentos, y mediante mensajes breves conformando así la «cascada de conformismo» de Suntein (2010). Muy inferior es, todavía, la acción del prosumidor en la producción total del vídeo, donde se aprecia una clara tendencia a la «transmediación» en cuanto toma mensajes de los «viejos medios», televisión, y transforma el mensaje con una pequeña acción –textual, visual, sonora– para adaptarlo al «nuevo medio», YouTube, mediante la creación de un título, un subtítulo y, en su caso, una descripción.

Esta caracterización del prosumidor mediático del «politainment» viene a abrir una nueva línea de estudio en España, que indague en la acción pasiva del prosumidor del entretenimiento político en Internet, para verificar si efectivamente los usuarios adquieren un menor conocimiento y competencia en cuanto a sus derechos y capacidades democráticas en la intervención de la vida política cuando desarrollan un consumo (pasivo) mayoritario de «infoentretenimiento» político (Gibson & McCallister, 2011). Si la tendencia descrita en este trabajo se confirma en España, el prosumidor mediático del «politainment» se caracterizaría por ejercer un prosumo muy reducido en la creación de mensajes y un consumo mayoritario, pero también muy polarizado y reducido en la variedad temática, en cuanto tiende a reproducir reiteradamente un mismo mensaje –el mismo contenido versionado de diferentes formas–, sin apenas ejercer un papel participativo como prosumidor.

Notas

1 Contratado como responsable de los mensajes de la candidatura de Madrid. Burns, presidente de Helios Partners, una consultora internacional especializada en eventos deportivos, había asesorado anteriormente a las candidaturas olímpicas de Pekín 2008, Vancouver 2010, Sochi 2014 y PyeongChang 2018.

2 Desde el día 8 de septiembre (día siguiente a la votación del COI) al 14 de septiembre, «El País» publicó quince noticias al respecto así como dos editoriales y dos artículos de opinión y la información apareció en portada en cuatro ocasiones. «El Mundo» publicó trece noticias, cinco artículos de opinión y dos editoriales, llevando la noticia a primera en tres ocasiones. Para los dos periódicos los motivos del fracaso estarían en la pérdida del peso de España y el deterioro de su imagen en el ámbito internacional, la crisis económica, las presiones e intereses dentro del COI y el dopaje en el deporte español.

3 Información disponible en: http://goo.gl/CNSmAU (22-11-2013).

4 Información disponible en: http://goo.gl/VU6MAO (22-11-2013).

5 Vídeo titulado «Ana Botella y su inglés haciendo el ridículo en Buenos Aires (subtitled in English, Russian)*» y disponible en: http://goo.gl/iXV2sY (20-11-2013).

6 Los autores contactaron, vía correo electrónico y durante el desarrollo de este análisis, con YouTube para obtener datos complementarios sobre la segregación de estos datos por países. Portavoces de YouTube explicaron que la plataforma no cuenta con datos seccionados por países.

7 Debe tenerse en cuenta que los datos comparativos son meramente contextuales, ya que la metodología aplicada para cada caso es diferente, y concretamente en YouTube se miden número de reproducciones, y no usuarios únicos, dato que no ha sido posible obtener en esta investigación.

8 Datos facilitados por Barlovento Comunicación, relativos al mes de septiembre de 2013. La información se ha obtenido por la colaboración de esta empresa de comunicación, como Entidad Promotora Observadora del proyecto de investigación dentro del que se lleva a cabo este estudio.

Apoyos

Proyecto subvencionado: Proyecto de Investigación CSO2012-34698: «El infoentretenimiento político en televisión e Internet. Formatos, audiencias y consecuencias en la comunicación política española» (INFOPOLTNET), financiado por el Ministerio de Economía y Competitividad.

References

Arnstein, S.R. (1969). A Ladder of Citizen Participation. Journal of the American Institute of Planners, 35, 4, 216-224.

Arroyo, E. (2008). El infotainment: de «Caiga quien Caiga» a «Noche Hache». In P. Sangro & A. Salgado (Eds.), El entretenimiento en TV: Guion y creación de formatos de humor en España (pp. 173-192). Barcelona: Laertes.

Arvidsson, A. (2005). Brands: A Critical Perspective. Journal of Consumer Culture, 5, 2, 235-258. (DOI: http://dx.doi.org/10.1177/1469540505053093).

Bahry, L. (2001). The New Arab Media Phenomenon: Qatar’s Al-Jazeera. Middle East Policy, 8, 88-99. (DOI: http://dx.doi.org/10.1111/1475-4967.00020).

Baum, M.A. (2002). Sex, Lies, and War: How Soft News Brings Foreign Policy to the Inattentive Public. American Political Science Review, 96, 91-109.

Baum, M.A. (2003a). Soft News and Political Knowledge: Evidence of Absence or Absence of Evidence? Political Communication, 20, 173-190. (DOI: http://dx.doi.org/10.1080/10584600390211181).

Baum, M.A. (2003b). Soft News goes to War: Public Opinion and American Foreign Policy in the New Media Age. Princeton (USA): Princeton University Press.

Baum, M.A. (2005). Talking the Vote: Why Presidential Candidates Hit the Talk Show Circuit. American Journal of Political Science, 49, 213-234. (DOI: http://dx.doi.org/10.1111/j.0092-5853.2005.t01-1-00119.x).

Berrocal, S., Abad, L., Cebrián, E. & Pedreira, E. (2001). La imagen de los partidos políticos en «El Informal», «CQC» y «Las Noticias del Guiñol en las elecciones legislativas de 2001». Zer, 11, 167-185.

Berrocal, S., Campos-Domínguez, E. & Redondo, M. (2012a). El infoentretenimiento en Internet. Un análisis del tratamiento político de José Luis Rodríguez Zapatero, Mariano Rajoy, Gaspar Llamazares y Rosa Díez en YouTube. Doxa Comunicación, 15, 13-34.

Berrocal, S., Campos-Domínguez, E. & Redondo, M. (2012b). Comunicación Política en Internet: La tendencia al infoentretenimiento político en YouTube. Estudios sobre el Mensaje Periodístico, 18, 634-659. (DOI: http://dx.doi.org/10.5209/rev_ESMP.2012.v18.n2.41037).

Blumler, J.G. (Ed.) (1992). Television and the Public Interest. London (UK): Sage.

Brants, K. & Neijens, P. (1998). The infotainment of politics. Political Communication, 15, 149-164.

Brants, K. (1998).Who’s afraid of infotainment. European Journal of Communication, 13, 315-335.

Bratlinger, P. (1985). Bread and Circuses: Theories of Mass Culture as Social Decacy. New York (USA): Cornell University Press.

Bruns, A. (2008). Blogs, Wikipedia, Second Life and Beyond: From Production to Produsage. New York (USA): Peter Lang.

Carpio, J. A. (2009). El humor en los medios de comunicación. Estudio de «Los Guiñoles» y sus efectos en las opiniones políticas. Salamanca: Universidad Pontificia de Salamanca: Tesis doctoral inédita.

Castells, M. (2010). Comunicación y poder. Madrid: Alianza.

Castells, M. (2012). Redes de esperanza y de indignación. Los movimientos sociales en la era de Internet. Madrid: Alianza.

Cheong, P. & Lundry, C. (2012). Prosumption, Transmediation, and Resistance: Terrorism and Man-hunting in Southeast Asia. American Behavioral Scientist, 56 (4), 488-510. (DOI: http://dx.doi.org/10.1177/0002764211429365).

Chia, A. (2012). Welcome to Me-Mart. American Behavioral Scientist, 56 (4), 421-438. (DOI: http://dx.doi.org/10.1177/0002764211429359).

Dader, J.L. (2003). Ciberdemocracia y comunicación política virtual. En Berrocal, S. (Comp.). Comunicación política en televisión y nuevos medios. Barcelona: Ariel.

Debord, G. (1967). La société du spectacle. París: Buchet/Chastel.

Ferré, C. & Gayá, C. (2009). Infoentreteniment i percepció ciutadana de la política: el cas de Polònia. Barcelona: Consell de l’Audiovisual de Catalunya.

García Avilés, J.A. (2007). El infoentretenimiento en los informativos líderes de audiencia en la Unión Europea. Anàlisi, 35, 47-63.

Gibson, R. & McCallister, I. (2011). How the Internet is driving the Political Knowledge Gap. Paper Congreso «Information Technology and Politics, ‘Are We Really Bowling Alone: Civic Engagement and the Internet», The American Political Science Association, panel 40-6, Seattle, 31 August-4 September (http://goo.gl/ahFCbl) (27-11-2013).

Grabe. M.E., Zhou, S, Lang, A & Bolls, P.D. (2000). Packaging Television News: The Effects of Tabloid on Information Processing and Evaluative Responses. Journal of Broadcasting & Electronic Media, 44 (4), 581-598.

Hardt, M. & Negri, A. (2000). Empire. Cambridge, MA (USA): Harvard University Press.

Hershkovitz, S. (2012). Masbirim Israel: Israel’s PR Campaign as Glocalized and Grobalized Political Prosumption. American Behavioral Scientist, 56, 4, 511-530. (DOI: http://dx.doi.org/10.1177/0002764211429366).

Hollander, B.A. (2005). Late-night Learning: Do Entertainment Programs Increase Political Campaign Knowledge for Young Viewers? Journal of Broadcasting and Electronic Media, 49, 402-415.

Jenkins, H. (1992). Textual Poachers: Television Fans & Participatory Culture. New York: Routledge.

Lazzarato, M. (1996). Immaterial Labour. In M. Hardt & P. Virno (Eds.), Radical thought in Italy: A Potential Politics. (pp. 133-147). Minneapolis (USA): University of Minnesota Press.

Leadbeater, C. & Miller, P. (2004). The Pro-Am Revolution: How Enthusiasts are Changing our Economy and Society. London: Demos.

Lynch, M. (2004a). America and the Arab Media Environment. In W.A. Rugh (Ed.), Engaging the Arab and Islamic Worlds through Public Diplomacy. (pp. 90-108). Washington, DC (USA): Public Diplomacy Council.

Lynch, M. (2004b). Shattering the Politics of Silence: Satellite Television Talk Shows and the Transformation of Arab Political Culture. Arab Reform Bulletin, 2, 3-4.

Moy, P., Xenos, M.A. & Hess, V.K. (2006). Priming Effects of Late-night Comedy. International Journal of Public Opinion Research, 18, 198-210. (DOI: http://dx.doi.org/10.1093/ijpor/edh092).

Nieland, J. (2008). Politainment. In W. Donsbach (Ed.), The International Encyclopedia of Communication. Oxford: Blackwell Publishing. Blackwell Reference Online. 24 November 2013. (DOI: http://dx.doi.org/10.1111/b.9781405131995.2008.x).

Ortells, S. (2009). La mercantilización de la información: la nueva era informativa en televisión. Revista Latina de Comunicación Social, 64, 341-353. Tenerife: Universidad de La Laguna. (DOI: http://dx.doi.org/10.4185/RLCS-64-2009-827-341-353).

Patterson, T.E. (2000). Doing Well and Doing Good: How Soft News and Critical Journalism are Shrinking the News Audience and Weakening Democracy ?and What News Outlets Can do about it. Cambridge, MA (USA): Harvard University, John F. Kennedy School of Government.

Postman, N. (1985). Amusing Ourselves to Death: Public Discourse in the Age of Show Business. Nueva York (USA): Viking Penguin.

Prior, M. (2005). News vs. Entertainment: How Increasing Media Choice Widens Gaps in Political Knowledge and Turnout. American Journal of Political Science, 49, 577-592. (DOI: http://dx.doi.org/10.1111/j.1540-5907.2005.00143.x).

Ritzer, G., Dean, P. & Jurgenson, N. (2012). The Coming of Age of the Prosumer. American Behavioral Scientist, 56 (4), 379-398. (DOI: http://dx.doi.org/10.1177/0002764211429368).

Sartori, G. (1998). Homo videns. La sociedad teledirigida. Madrid (España): Tecnos.

Sayre, S. & King, C. (2010). Entertetainment and Society. Influences, Impacts and Innovations. New York (USA): Routledge.

Schultz, D. (2012). Politainment: The Ten Rules of Contemporary Politics: A Citizens’ Guide to Understanding Campaigns and Elections. USA: Amazon.com.

Shaw, A. & Benkler, Y. (2012). A Tale of Two Blogospheres: Discursive Practices of the Left and Right. American Behavioral Scientist, 56 (4), 459-487. (DOI: http://dx.doi.org/10.1177/0002764211433793).

Shirk, S. L. (2007). Changing Media, Changing Foreign Policy in China. Japanese Journal of Political Science, 8, 43-70. (DOI: http://dx.doi.org//10.1017/S1468109907002472).

Stockwell, S. (2004). Reconsidering the Fourth Estate. In Australian Political Studies Association. Adelaide (Australia): University of Adelaide.

Sunstein, C. (2001). Republic.com. Woodstock (UK): Princeton University Press.

Sunstein, C. (2010). Rumorología. Cómo se difunden las falsedades, por qué nos las creemos y qué se puede hacer. Barcelona: Debate.

Taniguchi, M. (2007). Changing Media, Changing Politics in Japan. Japanese Journal of Political Science, 8, 147-166. (DOI: http://dx.doi.org/10.1017/S1468109907002514).

Toffler, A. (1980). The Third Wave. Nueva York (USA): Bantam Books.

Towner, T.L. & Dulio, A.D. (2011). An Experiment of Campaign Effects during the YouTube Election. New Media & Society, 13, 4, 626-644. (DOI: http://dx.doi.org/10.1177/0002764213489016).

Tryon, Ch. (2008). Pop Politics: Online Parody Videos, Intertextuality, and Political Participation. Popular Communication: The International Journal of Media and Culture, 6, 4, 209-213. (DOI: http://dx.doi.org/10.1080/15405700802418537).

Valhondo, J.L. (2011). Sátira televisiva y democracia en España. La popularización de la información política a través de la sátira. Barcelona: UOC.



Click to see the English version (EN)

Resumen

Este artículo analiza la figura del prosumidor del «infoentretenimiento» político en Internet. Si durante la segunda mitad del siglo XX predomina la «telecracia», un modelo de comunicación unidireccional que supone la popularización de la política pero también su conversión en espectáculo o «politainment», el siglo XXI se inicia con el convencimiento de que Internet conducirá a un modelo comunicacional bidireccional en el que se establezca un diálogo real entre el poder político y la ciudadanía. Esta investigación explora un nuevo campo de estudio, como es el «politainment» en la Web 2.0 y la actuación del prosumidor en esta nueva esfera comunicativa. El interés del estudio es detectar qué contenidos políticos consumen y producen los usuarios en red. Para ello, se realiza un estudio de caso sobre la información política producida y consumida en YouTube sobre la comparecencia de la alcaldesa de Madrid, Ana Botella ante el Comité Olímpico Internacional (COI) en septiembre de 2013. Se analizan los 40 vídeos más vistos en YouTube la semana de su comparecencia y un mes después, así como 3.000 comentarios a estos vídeos. Las conclusiones señalan que el prosumo del «politainment» en Internet se caracteriza por un consumo masivo de información pero un comportamiento muy pasivo en su producción y participación.

Descarga aquí la versión PDF

1. Introducción y estado de la cuestión

Esta investigación parte del concepto de prosumidor de Alvin Toffler (1980) por el que se entiende al usuario como la unión del productor y consumidor. El productor en este trabajo, además, se vincula al concepto de la «fábrica social» (Hardt & Negri, 2000) y a la producción inmaterial (Lazzarato, 1996) que toda actividad comunicativa conlleva. La proliferación de Internet pone de actualidad el «prosumo»: la Web 2.0 es una nueva fábrica social (Ritzer, Dean & Jurgenson, 2012) donde los usuarios consumen información, producen contenidos y se convierten en prosumidores a través de wikis, blogs y redes sociales como Facebook, Twitter, Flickr o YouTube (Chia, 2012; Shaw & Benkler, 2012). La Web 2.0 permite la movilización del trabajo inmaterial de productores y consumidores de información en una cantidad sin precedentes: los prosumidores se convierten en un elemento hegemónico en este entorno comunicativo.

Las redes sociales son claramente un medio de «prosumo» donde los prosumidores se convierten en altavoces que producen conversaciones con y para un público consumidor. En esta conversación, la audiencia no solo consume esos contenidos, sino que responde y re-produce estos mensajes y crea otros casi simultáneos. Significa que cualquier actividad en el mundo off-line puede tener transcendencia en el mundo on-line, conformando un «espacio de autonomía» (Castells, 2012) mediante la «auto-comunicación de masas» (Castells, 2010). En casos en los que los ciudadanos consumen información a través de los medios tradicionales, también pueden utilizar los nuevos medios –y concretamente, la Web 2.0– para mezclar la «vieja información» con una «nueva información», es el proceso denominado por algunos autores como «transmediación» (Cheong & Lundry, 2012).

Al mismo tiempo que se potencia la personalización y la individualización de la información, los prosumidores contribuyen, en comunidad, a la producción de un significado que rodea al contenido y al producto en sí, compartiendo un significado, una participación que no existía antes o una relación social. Se genera así, en el contenido y en el mensaje, un excedente ético en comunidad (Arvidsson, 2005). Es decir, se establece un modelo informativo a la carta (Sunstein, 2001) o pro-am (Leadbeater & Miller, 2004), al mismo tiempo que se conforma un esfuerzo conjunto de prosumidores en el desarrollo de estos mensajes. Por ello, Bruns (2008) se refiere, en estos entornos del prosumo, a la figura del «produser», como aquel que se basa en la colaboración para producir y consumir la información, en lugar de trabajar por sí mismo como prosumidor. Asienta su fundamento en la producción de contenidos mediante la filosofía de colaboración en redes de trabajo de la Web 2.0 con otros usuarios.

En el caso del prosumidor de la comunicación política en la Web 2.0, se habla de la «political prosumption» (Hershkovitz, 2012). Una de las líneas fundamentales de estudio del prosumidor en la comunicación política ha estado centrada en el estudio del tipo de contenido producido y consumido por los usuarios en Internet: informativo o de entretenimiento. En esta investigación, el ámbito de observación que interesa, por su novedad, es el «politainment» (Nieland, 2008; Sayre & King, 2010; Schultz, 2012), un término relativamente reciente que reúne dos funciones relativas a los medios de comunicación, como son la información política y el entretenimiento. El «infoentretenimiento» surge en los años noventa vinculado a la importante competencia que se desarrolla en el mercado audiovisual y que engloba todas las temáticas incluyendo la política, aunque, ya en 1967 Debord proféticamente anunciaba el deslizamiento de la vida social desde lo genuino a lo espectacular y, en los años ochenta, Postman (1985) planteaba que el discurso público en Estados Unidos se transforma en entretenimiento y Bratlinger (1985) mencionaba el circo romano al referirse al espectáculo que ofertan los medios de comunicación.

De manera concreta, los estudios sobre «infoentretenimiento» político televisivo se desarrollan en España a finales de los noventa (Berrocal, Abad, Cebrián & Pedreira, 2001; Dader, 2003; Carpio, 2009; Arroyo, 2008; Ferré & Gayá, 2009; García Avilés, 2007; Valhondo, 2011; Ortells, 2009), en consonancia con los principales estudios en el ámbito internacional: en Europa (Brants, 1998; Brants & Neijen, 1998), en Asia (Shirk, 2007), en el mundo árabe (Bahry, 2001; Lynch, 2004a, 2004b) y en Estados Unidos (Patterson, 2000; Baum, 2002, 2003a; 2003b; 2005; Hollander, 2005; Moy, Xenos & Hess, 2006). A pesar de que la mayoría de estudios sobre «politainment» se han centrado en la televisión, lo cierto es que el término hace referencia a una tendencia periodística hacia la representación de la realidad en clave espectacular que puede producirse en cualquier medio de comunicación. De ahí que Internet abra un horizonte nuevo para su estudio, en el que aún escasean los trabajos, ya no solo en el panorama nacional sino también internacional (Tryon, 2008; Towner & Dulio, 2011; Berrocal, Campos & Redondo, 2012).

La discusión académica ha intentado comprender qué tipo de contenidos producen y consumen los ciudadanos cuando son ellos, y no los medios de comunicación, los que establecen las preferencias informativas. No existen opiniones unánimes: mientras autores como Gibson y McCallister (2011) argumentan que los usuarios más activos en política, en Internet adquieren un mayor conocimiento y competencia en cuanto a sus derechos y capacidades en la intervención en la vida política, otros teóricos, como Sartori (1997), defienden que en la Red los sujetos mantienen la misma actitud pasiva y narcotizada que frente al televisor. En cuanto a los posibles efectos del «politainment», gran parte de los investigadores interpretan que el «infoentretenimiento» supone una degradación de la información política que impide que los ciudadanos capten la realidad con el rigor preciso para tomar decisiones fundamentadas (Blumler, 1992; Prior, 2005; Moy, Xenos & Hess; 2006), mientras que otros autores, como Grabe, Zhou, Lang y Bolls (2000), afirman que una noticia ofrecida desde técnicas de «infoentretenimiento» capta mejor la atención de la audiencia que la misma información presentada de una forma tradicional. Brants (1998), Baum (2002; 2003a; 2003b; 2005), Stockwell (2004) o Taniguchi (2007) consideran que los riesgos que supone abordar cuestiones políticas en programas de info-show son menores y que tiene ventajas como la de conseguir popularizar la información política en sectores poco proclives a interesarse por ella.

Hasta la fecha, los estudios del «politainment» en Internet se han centrado en el estudio de contenido de vídeos en YouTube (Berrocal, Campos & Redondo, 2012a; Berrocal, Campos & Redondo, 2012b) sin que existan trabajos que aborden el papel del prosumidor en los contenidos de «infoentretenimiento» político en la Red. De ahí, la necesidad de abordar qué papel tienen los prosumidores ante el «political infotainment» en España.

2. Material y métodos

Este trabajo se basa en un estudio de caso que toma como hecho noticioso la intervención de la alcaldesa de Madrid, Ana Botella, ante el Comité Olímpico Internacional (COI) en el acto de elección de la sede de los Juegos Olímpicos de 2020. El 7 de septiembre de 2013, la candidatura de Madrid fue descartada en la primera ronda de la votación del COI, tras un empate con Estambul, y en la que resultó vencedora Tokio. El acto de defensa de la candidatura madrileña ante los miembros del COI duró cuarenta y cinco minutos, tiempo en el que intervinieron nueve ponentes –el Príncipe Felipe de Borbón, el presidente del Gobierno, Mariano Rajoy, el presidente de la Comunidad de Madrid, Ignacio González, la alcaldesa de la ciudad, Ana Botella, entre otros–. Los discursos de la presentación fueron encargados al estadounidense Terrence Burns1. Los dos principales diarios impresos españoles, «El País» y «El Mundo»2, apostaron por el análisis de las causas de la derrota y las repercusiones políticas que podía tener el fin del sueño olímpico. Ninguno de los dos diarios consideró que la presentación española ante el COI fuese incorrecta y menos aún motivo de la derrota, aunque sí realizaron alusiones al nivel de inglés de los políticos participantes.

No fue así en el caso de las redes sociales, donde rápidamente los usuarios se hicieron eco de la intervención de Ana Botella ante el comité del COI, principalmente con una frase de su intervención con una invitación a los miembros del Comité para que disfrutaran de una «relaxing cup of café con leche en Plaza Mayor». A las pocas horas, los usuarios crearon una cuenta en Twitter llamada @Relaxingcup3 que alcanzó, en apenas dos días, más de 12.350 seguidores. El mismo día del discurso de Ana Botella, la referida frase se convirtió en tendencia en la red social Twitter4, se crearon grupos de Facebook sobre el tema, canciones y todo tipo de llamadas de atención que eran compartidas a través de la Web 2.0. Entre ellas los vídeos en YouTube donde, en apenas unas horas, los usuarios comenzaron a difundir el vídeo con la intervención completa de Ana Botella y sus múltiples versionados con subtítulos y canciones elaboradas con el discurso y mezclas musicales. En solo unas horas, el vídeo más visto en YouTube sobre Ana Botella5 alcanzó 2.400.000 reproducciones. El alcance se comprende cuando, según datos del EGM, YouTube es el sitio web más visitado en España –según últimos datos disponibles, de abril a mayo, registró un total de 17.958.000 visitantes únicos–.

Para conocer el interés que este hecho noticioso despertaba en los usuarios de Internet y su papel como prosumidores del mismo, se realizó un primer análisis de los 20 vídeos más reproducidos en YouTube durante esa semana sobre Ana Botella –concretamente, hasta el 14 de septiembre de 2013–. Para determinar si el interés perduraba o, por el contrario, se apagaba con el transcurso del tiempo, se repitió un segundo estudio con los 20 vídeos más reproducidos un mes después de las declaraciones referidas –exactamente, el 7 de octubre de 2013–. Al mismo tiempo, se analizó el contenido y autoría de los comentarios realizados a cada vídeo, sumando 3.000 comentarios analizados.

En los 40 vídeos examinados en total, en las dos oleadas, se detecta una importante coincidencia, a excepción de cuatro vídeos; el resto se mantienen desde la primera fecha de muestreo como los más vistos. Lo que indica que los vídeos subidos a YouTube, nada más producirse el hecho noticioso, son los que reciben mayor número de reproducciones y es difícil que desaparezcan de los primeros lugares de visionado o que se incorporen vídeos nuevos a la lista de los más reproducidos.

Con el fin de analizar el contenido de los vídeos y los comentarios se diseñó ad hoc una ficha de análisis estructurada en tres categorías principales, combinando las respuestas abiertas y cerradas. Se planteó un análisis considerando cuatro niveles de «prosumo», a partir de la escalera de participación de Arnstein (1969).

En un primer nivel, el prosumidor es únicamente consumidor de información: selecciona el tipo de vídeos que visiona, pero no ejerce ninguna otra acción sobre el contenido. Los ítems de la primera categoría de la ficha de análisis pretendían detectar qué vídeos de información política sobre Ana Botella elegían los usuarios en su papel de consumidores de información, con el objetivo de determinar si se trataba de vídeos de contenido «politainment» o puramente informativos.


Draft Content 598875814-29646 ov-es013.jpg

En un segundo nivel, el prosumidor es únicamente un fan o seguidor del mensaje. Se toma como base el primer nivel de «fandom» teorizado por Jenkins (1992) donde el usuario ejerce una interacción social con otros usuarios creando significados compartidos mediante el «me gusta» o «no me gusta» o «compartir» el contenido del mensaje en redes sociales, pero no elabora ningún comentario ni contenido sobre el propio mensaje. Los ítems de la segunda categoría pretenden explorar el nivel de implicación «fandom» de los prosumidores en los vídeos analizados.

En un tercer nivel, el prosumidor elabora, a partir de un mensaje principal –el vídeo–, contenidos sobre el mensaje con el resto de la comunidad. Se analizan los comentarios realizados por los usuarios a cada vídeo considerando las cascadas de información y rumorología de Sunstein (2010): la cascada de la información, la cascada del conformismo y la polarización grupal. Se analizan un total de 3.000 comentarios clasificándolos en estas tres categorías referidas –información, conformismo y polarización de grupos–.

Finalmente, en un cuarto nivel, el prosumidor es el productor del mensaje. Se contempla la acción del prosumidor como creador total o parcial del vídeo –en cuanto toma el contenido generado por otro autor y modifica elementos sonoros, visuales o textuales–.

El análisis y codificación fue realizado por cuatro codificadoras investigadoras del grupo de investigación reconocido «Nuevas tendencias en Comunicación» de la Universidad de Valladolid, que, entrenadas al efecto, aplicaron, en un sistema de pares, la ficha de análisis de contenido a los 40 vídeos y a 3.000 comentarios –75 en cada vídeo–. Este análisis, con enfoque cuantitativo, se complementó con un análisis cualitativo, mediante fichas de análisis con respuesta abierta en la que las codificadoras –tras la previa lectura y discusión de contribuciones científicas internacionales que permitieron establecer el estado de la cuestión– complementaron el análisis cuantitativo. Una vez concluida la codificación por pares, los resultados obtenidos fueron discutidos y unificados por las cuatro codificadoras. Los datos –número de reproducciones, número total de «me gusta», «no me gusta» y «compartir»– han sido extraídos de YouTube, por tanto los límites de este análisis quedan limitados a la credibilidad de los datos proporcionados por la propia plataforma de vídeos analizada6.

3. Análisis y resultados

3.1. El prosumidor como consumidor

El prosumidor visiona fundamentalmente vídeos de entretenimiento político en YouTube: la temática de la mayoría de los vídeos más reproducidos sobre Ana Botella es una parodia de la intervención de la alcaldesa de Madrid ante el COI hablando en inglés –el 81% de los analizados–. En apenas unas horas, el vídeo más visionado alcanzó 2.400.000 reproducciones. Si de forma meramente contextual, se compara7 con la audiencia registrada en España en televisión en el mismo mes de septiembre, se observa que este vídeo alcanzó, en una semana, cifras semejantes a aquellos programas que se sitúan alrededor de la posición 25 en la lista de los más vistos, como la emisión del partido «Champion League Galatsaray-Madrid» con 2.500.000 de espectadores y por encima de «El peliculón de Antena 3» con 2.380.000 espectadores o «El Hormiguero» con 2.169.000. La diferencia es todavía mayor si se compara con los programas informativos: el más visto fue «Antena 3 Noticias 1» con 1.956.000 espectadores, seguido del «Telediario 1 de La 1» con 1.891.000 espectadores o de «Informativos Tele 5, 21:00», con 1.812.000. También resulta relevante comparar la repercusión del vídeo más visto de Ana Botella con datos del usuario de Internet; en ese mes de septiembre de los 22.640.000 usuarios registrados, 7.920.000 acudieron a páginas de contenido informativo mientras que 10.144.000 se dirigieron a buscar entretenimiento: en las páginas informativas, el usuario utilizó una media de 13,9 minutos diarios, mientras que los contenidos vinculados al entretenimiento televisivo le ocuparon 226 minutos8. Todos estos indicadores convienen en señalar la importancia del entretenimiento y, en el caso que nos ocupa, el triunfo del «infoentretenimiento» político en YouTube. Así, además de encontrar que el 81% de los vídeos sobre Ana Botella corresponden al género de la parodia o sátira informativa, la temática del 19% de los videos restantes se corresponde con mensajes pasados puestos en actualidad por el hecho noticioso de Ana Botella en la intervención del COI –como por ejemplo: vídeos de su marido José María Aznar hablando tejano ante George Bush o vídeos producidos anteriormente y procedentes de canales de televisión como una pieza de Ana Botella del programa «El Intermedio» de La Sexta, o una conversación de la alcaldesa de Madrid con Sánchez Dragó antes de una entrevista en un programa de televisión–.

Mayoritariamente la alcaldesa de Madrid es la protagonista de los vídeos –en el 90,5% de los casos–, algo que, si bien se entiende porque en YouTube la búsqueda se realiza precisamente con su nombre como palabra clave, también constituye una de las características del «politainment».

El prosumidor convierte una anécdota política en novedad política en apenas unas horas, e incluso traslada a la actualidad un hecho pasado: la mayoría de los vídeos más reproducidos en YouTube de Ana Botella fueron publicados en 2013 (77,3%) y la mitad de los vídeos analizados, el mismo día de su intervención ante el COI y durante los cinco días siguientes. Al mismo tiempo, se hicieron actuales –a través de comentarios sobre la intervención en inglés de la líder– vídeos publicados en YouTube durante el año 2013 (de marzo a septiembre, antes del día 7), y siete vídeos publicados desde 2006 y 2012 (tabla 2).

3.2. El prosumidor como fan o seguidor del mensaje

La acción de los prosumidores en el nivel de política «fandom» es prácticamente nula. Apenas, en el mejor de los casos, un 0,4 de reproducciones conlleva una acción del usuario en «Me gusta», «No me gusta» o «Compartir». Tampoco existe una relación clara entre un mayor número de reproducciones de un vídeo y un mayor número de acciones en las opciones señaladas. En el presente estudio, aunque efectivamente el vídeo más visionado es el que recibe el mayor número de «Me gusta» y «Compartir», no se establece una relación en este sentido para el resto de los vídeos visionados en órdenes consecutivos (tabla 2). En términos generales, se aprecia una volatilidad en la decisión del prosumidor a la hora de señalar una u otra opción, en relación al volumen de reproducciones.

3.3. El prosumidor como comentarista

Tampoco el prosumidor genera un número representativo de comentarios en relación con el número de visionados (tabla 2). No existe una correlación entre los vídeos más vistos y más comentados. Otra variable importante es la fecha de los comentarios: se establece, como tendencia mayoritaria, la relación entre número de comentarios recibidos y año de publicación del vídeo. Todos los vídeos publicados en 2013 reciben el mayor porcentaje de comentarios desde el 7 de septiembre de 2013 hasta un mes después, los publicados en 2012 reciben más comentarios ese año 2012, y así sucesivamente. Por tanto, se considera que, si bien es cierto que los prosumidores consiguen poner de actualidad un vídeo pasado en número de reproducciones, no actualizan significativamente los comentarios de estos vídeos antiguos.


Draft Content 598875814-29646 ov-es014.jpg

Mención especial merece la forma y contenido de los comentarios recibidos. La mayoría de las opiniones que los prosumidores vierten en estos vídeos se vinculan a lo que Sunstein (2010) denomina «cascada de conformismo», en cuanto a que estos comentarios son mensajes muy breves, que reafirman el mensaje de la mayoría. Ninguno de los mensajes analizados son informativos –entendiendo como tales aquellos que ofrecen una información no contemplada en el vídeo o un argumento justificado–, solo dos vídeos registran mayoritariamente mensajes polarizados entre dos grupos de prosumidores que establecen una discusión entre ellos –mediante insultos entre los diferentes usuarios y opiniones sin argumentos–, y el resto son opiniones que siguen, como se ha referido, el hilo de la mayoría.

3.4. El prosumidor como productor

Tampoco se aprecia una actividad significativa en el prosumidor como autor del vídeo. Únicamente se ha detectado un vídeo elaborado plenamente por un usuario común y publicado por él en YouTube –un rap musical–. La acción de producción mayoritaria en este caso se aprecia cuando el prosumidor toma un fragmento de un programa de televisión –en su mayoría de «El Intermedio» de La Sexta– en el que aparece Ana Botella y lo publica en YouTube sin edición alguna en el contenido del vídeo, introduciendo únicamente un título y una descripción o, en su caso, un subtítulo. De esta forma, la mayoría de los vídeos (71%) han sido publicados sin alterar su contenido visual, sonoro o textual. Se corresponde con el mismo número de vídeos cuya autoría pertenece a un medio de comunicación o a la imagen institucional proporcionada por el COI de la intervención de Ana Botella, aunque solo en un 9,5% de los casos esos vídeos de medios de comunicación fueron publicados en YouTube por el propio medio de comunicación o programa.

4. Discusión y conclusiones

El prosumo de «politainment» en Internet se caracteriza por ser consumido masivamente por los usuarios pero por una acción muy pasiva en su producción. El prosumidor basa su consumo y producción en acciones colaborativas, pero no es el productor hegemónico de estos contenidos. Si bien es cierto que cada vídeo recibe un número significativo de comentarios, no es un volumen proporcional al número de reproducciones: como se ha comprobado, solo un porcentaje reducido de reproducciones se traduce también en comentarios. Además, su contenido es vacuo y únicamente tiende a seguir el hilo de conversación de la mayoría, sin argumentos, y mediante mensajes breves conformando así la «cascada de conformismo» de Suntein (2010). Muy inferior es, todavía, la acción del prosumidor en la producción total del vídeo, donde se aprecia una clara tendencia a la «transmediación» en cuanto toma mensajes de los «viejos medios», televisión, y transforma el mensaje con una pequeña acción –textual, visual, sonora– para adaptarlo al «nuevo medio», YouTube, mediante la creación de un título, un subtítulo y, en su caso, una descripción.

Esta caracterización del prosumidor mediático del «politainment» viene a abrir una nueva línea de estudio en España, que indague en la acción pasiva del prosumidor del entretenimiento político en Internet, para verificar si efectivamente los usuarios adquieren un menor conocimiento y competencia en cuanto a sus derechos y capacidades democráticas en la intervención de la vida política cuando desarrollan un consumo (pasivo) mayoritario de «infoentretenimiento» político (Gibson & McCallister, 2011). Si la tendencia descrita en este trabajo se confirma en España, el prosumidor mediático del «politainment» se caracterizaría por ejercer un prosumo muy reducido en la creación de mensajes y un consumo mayoritario, pero también muy polarizado y reducido en la variedad temática, en cuanto tiende a reproducir reiteradamente un mismo mensaje –el mismo contenido versionado de diferentes formas–, sin apenas ejercer un papel participativo como prosumidor.

Notas

1 Contratado como responsable de los mensajes de la candidatura de Madrid. Burns, presidente de Helios Partners, una consultora internacional especializada en eventos deportivos, había asesorado anteriormente a las candidaturas olímpicas de Pekín 2008, Vancouver 2010, Sochi 2014 y PyeongChang 2018.

2 Desde el día 8 de septiembre (día siguiente a la votación del COI) al 14 de septiembre, «El País» publicó quince noticias al respecto así como dos editoriales y dos artículos de opinión y la información apareció en portada en cuatro ocasiones. «El Mundo» publicó trece noticias, cinco artículos de opinión y dos editoriales, llevando la noticia a primera en tres ocasiones. Para los dos periódicos los motivos del fracaso estarían en la pérdida del peso de España y el deterioro de su imagen en el ámbito internacional, la crisis económica, las presiones e intereses dentro del COI y el dopaje en el deporte español.

3 Información disponible en: http://goo.gl/CNSmAU (22-11-2013).

4 Información disponible en: http://goo.gl/VU6MAO (22-11-2013).

5 Vídeo titulado «Ana Botella y su inglés haciendo el ridículo en Buenos Aires (subtitled in English, Russian)*» y disponible en: http://goo.gl/iXV2sY (20-11-2013).

6 Los autores contactaron, vía correo electrónico y durante el desarrollo de este análisis, con YouTube para obtener datos complementarios sobre la segregación de estos datos por países. Portavoces de YouTube explicaron que la plataforma no cuenta con datos seccionados por países.

7 Debe tenerse en cuenta que los datos comparativos son meramente contextuales, ya que la metodología aplicada para cada caso es diferente, y concretamente en YouTube se miden número de reproducciones, y no usuarios únicos, dato que no ha sido posible obtener en esta investigación.

8 Datos facilitados por Barlovento Comunicación, relativos al mes de septiembre de 2013. La información se ha obtenido por la colaboración de esta empresa de comunicación, como Entidad Promotora Observadora del proyecto de investigación dentro del que se lleva a cabo este estudio.

Apoyos

Proyecto subvencionado: Proyecto de Investigación CSO2012-34698: «El infoentretenimiento político en televisión e Internet. Formatos, audiencias y consecuencias en la comunicación política española» (INFOPOLTNET), financiado por el Ministerio de Economía y Competitividad.

Referencias

Arnstein, S.R. (1969). A Ladder of Citizen Participation. Journal of the American Institute of Planners, 35, 4, 216-224.

Arroyo, E. (2008). El infotainment: de «Caiga quien Caiga» a «Noche Hache». In P. Sangro & A. Salgado (Eds.), El entretenimiento en TV: Guion y creación de formatos de humor en España (pp. 173-192). Barcelona: Laertes.

Arvidsson, A. (2005). Brands: A Critical Perspective. Journal of Consumer Culture, 5, 2, 235-258. (DOI: http://dx.doi.org/10.1177/1469540505053093).

Bahry, L. (2001). The New Arab Media Phenomenon: Qatar’s Al-Jazeera. Middle East Policy, 8, 88-99. (DOI: http://dx.doi.org/10.1111/1475-4967.00020).

Baum, M.A. (2002). Sex, Lies, and War: How Soft News Brings Foreign Policy to the Inattentive Public. American Political Science Review, 96, 91-109.

Baum, M.A. (2003a). Soft News and Political Knowledge: Evidence of Absence or Absence of Evidence? Political Communication, 20, 173-190. (DOI: http://dx.doi.org/10.1080/10584600390211181).

Baum, M.A. (2003b). Soft News goes to War: Public Opinion and American Foreign Policy in the New Media Age. Princeton (USA): Princeton University Press.

Baum, M.A. (2005). Talking the Vote: Why Presidential Candidates Hit the Talk Show Circuit. American Journal of Political Science, 49, 213-234. (DOI: http://dx.doi.org/10.1111/j.0092-5853.2005.t01-1-00119.x).

Berrocal, S., Abad, L., Cebrián, E. & Pedreira, E. (2001). La imagen de los partidos políticos en «El Informal», «CQC» y «Las Noticias del Guiñol en las elecciones legislativas de 2001». Zer, 11, 167-185.

Berrocal, S., Campos-Domínguez, E. & Redondo, M. (2012a). El infoentretenimiento en Internet. Un análisis del tratamiento político de José Luis Rodríguez Zapatero, Mariano Rajoy, Gaspar Llamazares y Rosa Díez en YouTube. Doxa Comunicación, 15, 13-34.

Berrocal, S., Campos-Domínguez, E. & Redondo, M. (2012b). Comunicación Política en Internet: La tendencia al infoentretenimiento político en YouTube. Estudios sobre el Mensaje Periodístico, 18, 634-659. (DOI: http://dx.doi.org/10.5209/rev_ESMP.2012.v18.n2.41037).

Blumler, J.G. (Ed.) (1992). Television and the Public Interest. London (UK): Sage.

Brants, K. & Neijens, P. (1998). The infotainment of politics. Political Communication, 15, 149-164.

Brants, K. (1998).Who’s afraid of infotainment. European Journal of Communication, 13, 315-335.

Bratlinger, P. (1985). Bread and Circuses: Theories of Mass Culture as Social Decacy. New York (USA): Cornell University Press.

Bruns, A. (2008). Blogs, Wikipedia, Second Life and Beyond: From Production to Produsage. New York (USA): Peter Lang.

Carpio, J. A. (2009). El humor en los medios de comunicación. Estudio de «Los Guiñoles» y sus efectos en las opiniones políticas. Salamanca: Universidad Pontificia de Salamanca: Tesis doctoral inédita.

Castells, M. (2010). Comunicación y poder. Madrid: Alianza.

Castells, M. (2012). Redes de esperanza y de indignación. Los movimientos sociales en la era de Internet. Madrid: Alianza.

Cheong, P. & Lundry, C. (2012). Prosumption, Transmediation, and Resistance: Terrorism and Man-hunting in Southeast Asia. American Behavioral Scientist, 56 (4), 488-510. (DOI: http://dx.doi.org/10.1177/0002764211429365).

Chia, A. (2012). Welcome to Me-Mart. American Behavioral Scientist, 56 (4), 421-438. (DOI: http://dx.doi.org/10.1177/0002764211429359).

Dader, J.L. (2003). Ciberdemocracia y comunicación política virtual. En Berrocal, S. (Comp.). Comunicación política en televisión y nuevos medios. Barcelona: Ariel.

Debord, G. (1967). La société du spectacle. París: Buchet/Chastel.

Ferré, C. & Gayá, C. (2009). Infoentreteniment i percepció ciutadana de la política: el cas de Polònia. Barcelona: Consell de l’Audiovisual de Catalunya.

García Avilés, J.A. (2007). El infoentretenimiento en los informativos líderes de audiencia en la Unión Europea. Anàlisi, 35, 47-63.

Gibson, R. & McCallister, I. (2011). How the Internet is driving the Political Knowledge Gap. Paper Congreso «Information Technology and Politics, ‘Are We Really Bowling Alone: Civic Engagement and the Internet», The American Political Science Association, panel 40-6, Seattle, 31 August-4 September (http://goo.gl/ahFCbl) (27-11-2013).

Grabe. M.E., Zhou, S, Lang, A & Bolls, P.D. (2000). Packaging Television News: The Effects of Tabloid on Information Processing and Evaluative Responses. Journal of Broadcasting & Electronic Media, 44 (4), 581-598.

Hardt, M. & Negri, A. (2000). Empire. Cambridge, MA (USA): Harvard University Press.

Hershkovitz, S. (2012). Masbirim Israel: Israel’s PR Campaign as Glocalized and Grobalized Political Prosumption. American Behavioral Scientist, 56, 4, 511-530. (DOI: http://dx.doi.org/10.1177/0002764211429366).

Hollander, B.A. (2005). Late-night Learning: Do Entertainment Programs Increase Political Campaign Knowledge for Young Viewers? Journal of Broadcasting and Electronic Media, 49, 402-415.

Jenkins, H. (1992). Textual Poachers: Television Fans & Participatory Culture. New York: Routledge.

Lazzarato, M. (1996). Immaterial Labour. In M. Hardt & P. Virno (Eds.), Radical thought in Italy: A Potential Politics. (pp. 133-147). Minneapolis (USA): University of Minnesota Press.

Leadbeater, C. & Miller, P. (2004). The Pro-Am Revolution: How Enthusiasts are Changing our Economy and Society. London: Demos.

Lynch, M. (2004a). America and the Arab Media Environment. In W.A. Rugh (Ed.), Engaging the Arab and Islamic Worlds through Public Diplomacy. (pp. 90-108). Washington, DC (USA): Public Diplomacy Council.

Lynch, M. (2004b). Shattering the Politics of Silence: Satellite Television Talk Shows and the Transformation of Arab Political Culture. Arab Reform Bulletin, 2, 3-4.

Moy, P., Xenos, M.A. & Hess, V.K. (2006). Priming Effects of Late-night Comedy. International Journal of Public Opinion Research, 18, 198-210. (DOI: http://dx.doi.org/10.1093/ijpor/edh092).

Nieland, J. (2008). Politainment. In W. Donsbach (Ed.), The International Encyclopedia of Communication. Oxford: Blackwell Publishing. Blackwell Reference Online. 24 November 2013. (DOI: http://dx.doi.org/10.1111/b.9781405131995.2008.x).

Ortells, S. (2009). La mercantilización de la información: la nueva era informativa en televisión. Revista Latina de Comunicación Social, 64, 341-353. Tenerife: Universidad de La Laguna. (DOI: http://dx.doi.org/10.4185/RLCS-64-2009-827-341-353).

Patterson, T.E. (2000). Doing Well and Doing Good: How Soft News and Critical Journalism are Shrinking the News Audience and Weakening Democracy ?and What News Outlets Can do about it. Cambridge, MA (USA): Harvard University, John F. Kennedy School of Government.

Postman, N. (1985). Amusing Ourselves to Death: Public Discourse in the Age of Show Business. Nueva York (USA): Viking Penguin.

Prior, M. (2005). News vs. Entertainment: How Increasing Media Choice Widens Gaps in Political Knowledge and Turnout. American Journal of Political Science, 49, 577-592. (DOI: http://dx.doi.org/10.1111/j.1540-5907.2005.00143.x).

Ritzer, G., Dean, P. & Jurgenson, N. (2012). The Coming of Age of the Prosumer. American Behavioral Scientist, 56 (4), 379-398. (DOI: http://dx.doi.org/10.1177/0002764211429368).

Sartori, G. (1998). Homo videns. La sociedad teledirigida. Madrid (España): Tecnos.

Sayre, S. & King, C. (2010). Entertetainment and Society. Influences, Impacts and Innovations. New York (USA): Routledge.

Schultz, D. (2012). Politainment: The Ten Rules of Contemporary Politics: A Citizens’ Guide to Understanding Campaigns and Elections. USA: Amazon.com.

Shaw, A. & Benkler, Y. (2012). A Tale of Two Blogospheres: Discursive Practices of the Left and Right. American Behavioral Scientist, 56 (4), 459-487. (DOI: http://dx.doi.org/10.1177/0002764211433793).

Shirk, S. L. (2007). Changing Media, Changing Foreign Policy in China. Japanese Journal of Political Science, 8, 43-70. (DOI: http://dx.doi.org//10.1017/S1468109907002472).

Stockwell, S. (2004). Reconsidering the Fourth Estate. In Australian Political Studies Association. Adelaide (Australia): University of Adelaide.

Sunstein, C. (2001). Republic.com. Woodstock (UK): Princeton University Press.

Sunstein, C. (2010). Rumorología. Cómo se difunden las falsedades, por qué nos las creemos y qué se puede hacer. Barcelona: Debate.

Taniguchi, M. (2007). Changing Media, Changing Politics in Japan. Japanese Journal of Political Science, 8, 147-166. (DOI: http://dx.doi.org/10.1017/S1468109907002514).

Toffler, A. (1980). The Third Wave. Nueva York (USA): Bantam Books.

Towner, T.L. & Dulio, A.D. (2011). An Experiment of Campaign Effects during the YouTube Election. New Media & Society, 13, 4, 626-644. (DOI: http://dx.doi.org/10.1177/0002764213489016).

Tryon, Ch. (2008). Pop Politics: Online Parody Videos, Intertextuality, and Political Participation. Popular Communication: The International Journal of Media and Culture, 6, 4, 209-213. (DOI: http://dx.doi.org/10.1080/15405700802418537).

Valhondo, J.L. (2011). Sátira televisiva y democracia en España. La popularización de la información política a través de la sátira. Barcelona: UOC.

Back to Top
GET PDF

Document information

Published on 30/06/14
Accepted on 30/06/14
Submitted on 30/06/14

Volume 22, Issue 2, 2014
DOI: 10.3916/C43-2014-06
Licence: CC BY-NC-SA license

Document Score

0

Times cited: 33
Views 142
Recommendations 0

Share this document

claim authorship

Are you one of the authors of this document?