PRESENTACIÓN

En los Países Desarrollados existen comités de normas que se encuentran trabajando en forma continua, esto se debe a que día a día existen nuevos conocimientos generados por los centros de investigación de las universidades, fundamentalmente. Es así como en estos Países aparecen nuevos códigos cada cierto período regular de tiempo.

De tal manera que una normativa o código tiene un número determinado de años de vigencia y luego es obsoleto. Con estas ideas como base y pensando en un futuro Código Ecuatoriano de la Construcción se desarrolló el proyecto: “Factor de reducción de las fuerzas sísmicas”, financiado por la Escuela Politécnica del Ejército.

En este proyecto se obtuvo el factor de reducción de las fuerzas sísmicas, con el cual se pasa del Espectro Elástico al Inelástico, en edificios de hormigón armado conformado por vigas y columnas sin muros de corte. Es decir en una sola tipología estructural pero que tiene gran demanda.

El objetivo principal fue contribuir a una futura Normativa Sísmica de Ecuador, contribuir a quienes están estudiando y calculando edificios en Ibero América, para que conozcan la parte cuantitativa del factor de reducción de las fuerzas sísmicas ya que en algunas normativas se presentan los valores de Draft Samper 263272875-image1.png para algunas tipologías estructurales y muy poco o nada se comentan sobre ellas y esto es muy crítico ya que se puede estar subestimando la acción sísmica por una elección inadecuada del factor Draft Samper 263272875-image1.png .

En este libro se verá que el factor Draft Samper 263272875-image1.png depende del período de vibración, del tipo se suelo, de la ductilidad local de sus elementos, de la deriva de piso máxima permitida, de la forma como se obtiene esa deriva máxima de piso en el rango no lineal, del índice de estabilidad de piso, de la capacidad de ductilidad, de la sobre resistencia y de la redundancia. Son muchos los factores que están relacionados con Draft Samper 263272875-image1.png y que deberán ser revisados en futuras normativas sísmicas para que no existan inconsistencias.


CAPÍTULO 1. FACTOR DE REDUCCIÓN DE LAS FUERZAS SÍSMICAS

RESUMEN

Se presenta el factor de reducción de las fuerzas sísmicas Draft Samper 263272875-image10.png de las normativas sísmicas de: Venezuela, Colombia, Ecuador, Perú y Chile, en estructuras de hormigón armado conformadas por vigas y columnas, sin muros de corte. Pero no solo se presenta el factor Draft Samper 263272875-image10.png si no también las combinaciones de carga que se estipulan en cada normativa, la deriva máxima de piso permitida y la forma como se obtiene la deriva de piso. Porque todas estas variables están relacionadas.

Luego se compara el factor Draft Samper 263272875-image10.png de las cinco normativas sísmicas pero para ello, en algunos casos se halla Draft Samper 263272875-image10.png asociados a espectros últimos. De igual manera se compara la deriva de piso máxima pero todas obtenidas a partir de un análisis elástico, en este caso también se infieren esta deriva.

Posteriormente, se presentan los resultados de varias investigaciones a nivel mundial tendientes a cuantificar el factor Draft Samper 263272875-image10.png el mismo que está compuesto por los siguientes componentes: Factor de resistencia por ductilidad, Factor de sobre resistencia y Factor de redundancia, fundamentalmente. Con el propósito de visualizar la forma como se obtienen fuerzas sísmicas reducidas se presenta un modelo numérico para calcular las dos primeras componentes del factor Draft Samper 263272875-image10.png .

1.1 INTRODUCCIÓN

El factor de reducción de las fuerzas sísmicas Draft Samper 263272875-image10.png , con el cual se pasa del espectro elástico al espectro inelástico, depende de una serie de variables, que van a ser analizadas a lo largo de este libro y lastimosamente no se les menciona en algunos códigos, lo que puede ocasionar que el proyectista estructural se encuentre diseñando para fuerzas sísmicas muy bajas ya que no seleccionó en forma apropiada el valor Draft Samper 263272875-image10.png .

Los espectros de diseño, prescritos en las normativas sísmicas tienen un período de retorno de 475 años, cuya probabilidad de ocurrencia es muy baja durante la vida útil de la estructura. Por este motivo, es que se diseña pensando que la estructura va a sufrir daño ante el espectro de diseño pero no va a colapsar, ya que la misión fundamental de todo profesional es salvar vidas.

Este libro está orientado a estudiar el factor Draft Samper 263272875-image10.png en edificios de hormigón armado, conformado por vigas y columnas, sin muros de corte. En este tipo de edificios, ante el sismo de diseño expresado en el espectro, se espera el siguiente comportamiento:

  • Las vigas tengan daño y las columnas no. Debido a que el daño en las columnas puede afectar a la estabilidad de la estructura. Por este motivo se diseña con el criterio de columna fuerte – viga débil.
  • El daño se espera en lugares visibles, donde sea posible reparar y reforzar luego de un sismo severo. De ahí que no se espera daño en la unión viga – columna, sino que se espera el daño en la viga. Por lo que se diseña con el criterio de nudo fuerte – viga débil.
  • El daño que se espera en los elementos estructurales, es por flexión y más no por corte. Ya que la falla por flexión es una falla dúctil y la falla por corte es una falla frágil. Por lo que la fuerza de corte de las vigas y columnas se obtiene en base a la máxima capacidad a flexión de sus elementos.
  • La deriva máxima de piso Draft Samper 263272875-image11.png no sobrepase los valores permisibles, ya que valores muy altos esperados de Draft Samper 263272875-image12.png , implican mucho daño en elementos no estructurales y su reparación es muy costosa. Por está razón es conveniente que el valor máximo permitido de Draft Samper 263272875-image12.png no sea alto.
  • El índice de estabilidad de piso Draft Samper 263272875-image13.png no supere valores prefijados. Valores altos de Draft Samper 263272875-image14.png pueden llevar al colapso del edificio. De ahí que se debe ser cauteloso para tener valores de Draft Samper 263272875-image14.png bajos, confiriendo a la estructura suficiente rigidez.

Es importante destacar que no está dicha la última palabra respecto a lo indicado en los tres primeros puntos, de ahí que se continúa investigando. Duong (2006). De igual manera se puede decir de los dos últimos puntos. Gupta y Krawinkler (2000), por lo que se debe tomar precauciones cuando se selecciona el valor de reducción de las fuerzas sísmicas Draft Samper 263272875-image10.png .

Por lo tanto, ante el sismo prescrito en las normativas de diseño, se espera daño en la estructura y para ello el proyectista estructural debe conferirle suficiente ductilidad Draft Samper 263272875-image15.png , debe proporcionarle una adecuada sobre resistencia y redundancia. Pero adicionalmente se debe fijar valores de Draft Samper 263272875-image11.png y Draft Samper 263272875-image14.png bajos, para lo cual la estructura debe ser rígida. Talvez el costo inicial es un poco mayor con respecto a una estructura flexible pero en la vida útil de la misma va a soportar varios sismos, no tan fuertes como el de las normativas sísmicas y si la estructura es flexible habrá un daño apreciable en los elementos no estructurales, cuya reparación es costosa.

En la figura 1.1, se presenta en la parte superior el espectro de diseño elástico del Código Ecuatoriano de la Construcción, CEC-2000. Si se diseña una estructura con este espectro no va a presentar ningún daño ante el sismo severo del código que tiene un período de retorno de 475 años pero los elementos estructurales serán de dimensiones considerables ya que las fuerzas sísmicas son bastante altas.

Se diseña, para el espectro inelástico que está indicado en la parte inferior de la figura 1.1. El mismo que se obtiene dividiendo las ordenadas del espectro elástico para el factor de reducción Draft Samper 263272875-image10.png . Si el valor que se asigna a Draft Samper 263272875-image10.png es alto las fuerzas sísmicas serán bajas y si Draft Samper 263272875-image10.png es pequeño las fuerzas debido a sismo serán altas. Para seleccionar en forma adecuada el valor de Draft Samper 263272875-image10.png se ha escrito este libro.

Draft Samper 263272875-image16.png
Figura 1.1 Espectros Elástico e Inelástico.

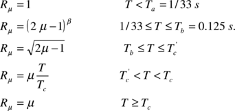
1.2 VALORES DE R Y TIPO DE ESPECTRO

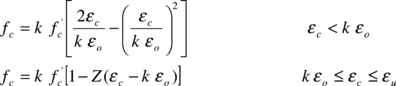
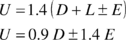
El CEC-2000 para Estructuras conformadas por Vigas y Columnas, EVC, sin muros de corte, establece un valor de Draft Samper 263272875-image17.png pero se establece que las combinaciones de carga deben ser las siguientes:

Draft Samper 263272875-image18.png (1.1)


Donde Draft Samper 263272875-image19.png son los estados de carga muerta, viva y sísmica respectivamente. Lo importante es notar que las fuerzas y momentos debidos al estado de carga sísmico deben ser mayoradas por 1.4 en la segunda combinación y por 1.43 en la tercera combinación. Esto se debe a que el espectro del CEC-2000 es a nivel de servicio.

La Norma Colombiana NSR-98 prescribe un valor de Draft Samper 263272875-image20.png para estructuras EVC pero en las combinaciones de carga que se indican en la ecuación ( 1.2 ) no se mayora la acción sísmica debido a que su espectro es de cargas factoradas o cargas últimas.

Draft Samper 263272875-image21.png (1.2)


En la ecuación ( 1.2 ) se ha omitido la combinación de carga vertical para centrar más la atención, en las combinaciones de carga en que interviene la acción sísmica.

A nivel de espectro último, el valor de Draft Samper 263272875-image22.png estipulado por el CEC-2000 es de 7. Cantidad que se halla dividiendo 10 para 1.43. De tal manera que los valores de Draft Samper 263272875-image22.png para estructuras EVC del CEC-2000 y de la NSR-98 son los mismos.' Lo que difiere son las combinaciones de carga.

Con la aparición del ACI 318S-05, algunos proyectistas estructurales del Ecuador trabajan con Draft Samper 263272875-image17.png para estructuras EVC y las combinaciones de carga del ACI 318S-05, que son las del IBC-2003, que se indican a continuación:

Draft Samper 263272875-image23.png (1.3)


Quienes así han procedido, mezclando dos normativas sísmicas, están diseñando para un defecto del 30% de las fuerzas sísmicas. De tal manera que están subvalorando las cargas sísmicas.

Por otra parte, el valor de Draft Samper 263272875-image20.png de la normativa NSR-98 para estructuras EVC corresponde a una disipación de energía especial. En otras palabras corresponde a estructuras que tienen una gran ductilidad y que van a disipar mucha energía ante el sismo del código. Por lo tanto se trata de estructuras con gran detallamiento sísmico que van a cumplir todos los requerimientos del ACI 318S-05. Si no se piensa cumplir con lo estipulado en el código en el diseño del refuerzo habrá que pensar en disminuir el valor de Draft Samper 263272875-image22.png .

En la tabla 1.1, se indican algunos valores de Draft Samper 263272875-image22.png para estructuras EVC estipuladas por algunas normativas y el tipo de espectro que contemplan. Se han seleccionado dos normativas que trabajan con espectros factorizados y tres con normativas con espectros de servicio.

Tabla 1.1 Valores de Draft Samper 263272875-image22.png para estructuras EVC y tipo de espectro.
País Norma Factor Draft Samper 263272875-image22.png Tipo de Espectro
Venezuela COVENIN 1756-98 6 Último
Colombia NSR-98 7 Ultimo
Ecuador CEC-2000 10 Servicio
Chile NCh 433-96 11 (R0) Servicio
Perú E.030 8 Servicio

1.3 VALORES DE R Y DERIVA MÁXIMA PERMITIDA

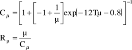
En la tabla 1.1 se indicó el valor Draft Samper 263272875-image24.png de la Norma Chilena Ch 433-96, es de 11 para estructuras EVC, ya que el factor de reducción de las fuerzas sísmicas Draft Samper 263272875-image25.png se halla con la siguiente ecuación.

Draft Samper 263272875-image26.png (1.4)


Donde Draft Samper 263272875-image27.png es el período con mayor masa traslacional en la dirección de análisis; Draft Samper 263272875-image28.png período que depende del tipo de suelo; Draft Samper 263272875-image29.png es factor de modificación de la respuesta estructural, depende del sistema estructural y del material empleado y Draft Samper 263272875-image30.png es el factor de reducción de la aceleración espectral. Con la nomenclatura que se está utilizando es el factor de reducción de las fuerzas sísmicas.

En la figura 1.2, se presenta la variación del factor de reducción de las fuerzas sísmicas en función del período para estructuras EVC en un perfil de suelo S1. Se aprecia que el valor inicia en 1 llega hasta 15 para un período de 4 s., Para estructuras con período mayor a 0.5 s., el valor de reducción de las fuerzas sísmicas es mayor a 10.

Draft Samper 263272875-image31.png
Figura 1.2 Factor Draft Samper 263272875-image32.png para estructuras EVC en suelo S1, de la Norma Chilena. NCh 433-96.

A primera vista se puede pensar que en las combinaciones de carga, el estado de carga Draft Samper 263272875-image33.png estará multiplicado por un valor bien alto, ya que son altos los valores de Draft Samper 263272875-image34.png pero no es así. Las combinaciones de carga de la norma NCh 433-96, son:

Draft Samper 263272875-image35.png (1.5)


La interrogante continúa ¿Por qué son altos los valores de Draft Samper 263272875-image34.png ? de la norma de Chile NCh 433-96, para estructuras EVC. La respuesta se tiene en la deriva de piso máxima permitida.

La Norma de Chile NCh 433-96 establece que la deriva de piso máxima sea menor a 0.001. Luego para valores de Draft Samper 263272875-image36.png muy bajos se puede tener valores de Draft Samper 263272875-image34.png muy altos. Para tener derivas de piso Draft Samper 263272875-image37.png la estructura tiene que ser bastante rígida, de tal manera que no se puede pensar que uso un valor de Draft Samper 263272875-image34.png muy alto y se tendrá una estructura con dimensiones de vigas y columnas bajas. Para cumplir la deriva máxima de la norma de Chile las secciones de vigas y columnas deben ser las adecuadas para zonas de alta peligrosidad sísmica. A los proyectistas de Ecuador a lo mejor les llame la atención las dimensiones de los elementos estructurales de los edificios de Chile porque estamos acostumbrados a tener estructuras flexibles.

En la norma de Perú E.030 de 2003, las combinaciones de carga son las siguientes:

Draft Samper 263272875-image38.png (1.6)


Luego si se trabajará con un espectro normalizado, en el que no se mayora las combinaciones de carga sísmica. El valor de Draft Samper 263272875-image39.png , para la norma E.030.

En la tabla 1.2 se presentan las derivas de piso máximas permitidas por varias normativas sísmicas. En la normativa Venezolana el valor de Draft Samper 263272875-image40.png depende de la importancia de la estructura y de la disposición de los elementos no estructurales, en cuanto al daño esperado. El valor de 0.018 que se ha indicado corresponde a viviendas o edificios de apartamentos y en los cuales el daño en los elementos no estructurales es importante. Si se tienen edificaciones más importantes el valor máximo de Draft Samper 263272875-image40.png disminuye.

Tabla 1.2 Derivas máxima de piso permitidas y tipo de Análisis
Norma Deriva de piso máxima Draft Samper 263272875-image41.png Tipo de Análisis Desplazamiento Inelástico
COVENIN 1756-98 0.018 Inelástico Draft Samper 263272875-image42.png
NSR-98 0.01 Inelástico Draft Samper 263272875-image43.png
CEC-2000 0.02 Inelástico Draft Samper 263272875-image43.png
NCh 433-96 0.001 Elástico
E.030 0.007 Inelástico Draft Samper 263272875-image44.png
Draft Samper 263272875-image45.png es el desplazamiento lateral total inelástico en el piso i.

Draft Samper 263272875-image46.png es el desplazamiento lateral total para el piso i, calculado para las fuerzas sísmicas suponiendo que la estructura se comporte elásticamente.


En el apartado 1.2 se vio que si se trabaja con espectros factorizados o últimos, los valores de Draft Samper 263272875-image47.png del CEC-2000 y de NSR-98 son los mismos para estructuras EVC y tiene un valor de Draft Samper 263272875-image48.png . Pero ahora, se aprecia en la tabla 1.2, que la deriva de piso máxima permitida por la normativa Colombiana es la mitad de lo que permite Ecuador.

Por lo tanto, si en el Ecuador se acepta una deriva máxima de piso de 0.02 el valor de Draft Samper 263272875-image47.png tiene que ser menor al de Colombia. Tiene que ser similar al de la normativa Venezolana, para estructuras EVC en que se espera una gran disipación de energía, ante el sismo de la norma.

La deriva máxima de piso permitida, también depende de la forma como se obtiene. Si se trabaja con inercias gruesas en los elementos, para hallar la matriz de rigidez y se halla la deriva máxima de piso con un análisis elástico, caso de Chile. Los valores máximos de Draft Samper 263272875-image49.png son menores.

Por el contrario, si la deriva máxima de piso se obtiene a partir de desplazamientos inelásticos, como es el caso de Ecuador, Perú, Colombia y Venezuela, la deriva máxima de piso permitida es mayor. En estas normativas, los desplazamientos laterales se obtienen con un análisis elástico utilizando inercias gruesas y los desplazamientos inelásticos aplicando las ecuaciones indicadas en la última columna de la tabla 1.2.

Estrictamente, en la norma NSR-98 los desplazamientos inelásticos se hallan a partir del espectro elástico con teoría lineal elástica. Que viene a ser equivalente a calcular los desplazamientos elásticos Draft Samper 263272875-image50.png con un espectro reducido por el factor Draft Samper 263272875-image51.png y aplicando teoría elástica y luego los desplazamientos inelásticos se hallan multiplicando los desplazamientos elásticos por el factor de reducción de las fuerzas sísmicas.

La deriva de piso se obtiene como el desplazamiento relativo de piso dividido para la altura de entrepiso Draft Samper 263272875-image52.png .

Draft Samper 263272875-image53.png (1.7)


El subíndice Draft Samper 263272875-image54.png de la ecuación ( 1.7 ) representa el piso. El valor de Draft Samper 263272875-image55.png es el mayor valor de los Draft Samper 263272875-image56.png .

1.4 DERIVAS DE PISO ELÁSTICAS Y VALOR Draft Samper 263272875-image57.png

En la última columna de la tabla 1.2, se presenta la forma como se hallan los desplazamientos inelásticos a partir de los desplazamientos elásticos. Todas estas son ecuaciones aproximadas y muy sencillas para un problema tan complejo como es hallar los desplazamientos inelásticos mediante análisis no lineal.

Por este motivo y con el propósito de comparar las derivas máximas de piso, para estructuras EVC, es mejor que el valor de Draft Samper 263272875-image58.png se obtengan a partir de los desplazamientos elásticos Draft Samper 263272875-image59.png . Para comparar el valor de Draft Samper 263272875-image57.png se debe tener estos valores con espectros factorizados. En la tabla 1.3 se presentan los mencionados valores.

El valor de 0.0029 para el caso de Ecuador, que está indicado en la última columna de la tabla 1.3, se halló dividiendo 0.02/7.

En la tabla 1.3 se aprecia que a mayores valores de Draft Samper 263272875-image57.png la deriva máxima permitida, calculada en forma elástica es menor. El mayor valor de Draft Samper 263272875-image57.png lo tiene la Norma de Chile pero la deriva máxima permitida es del 1 por mil.

Tabla 1.3 Valores de Draft Samper 263272875-image57.png con espectros factorizados y derivas de piso elásticas
Norma Valor Draft Samper 263272875-image57.png Tipo de Espectro Deriva de piso máxima Draft Samper 263272875-image41.png
COVENIN 1756-98 6 Último 0.00375 (**)
NSR-98 7 Último 0.0014 (**)
CEC-2000 7 (* ) Último 0.0029 (**)
NCh 433-96 7.86 ( * ) Último 0.001
E.030 6.4 ( * ) Último 0.0014 (**)
( * ) Valor Draft Samper 263272875-image57.png inferido.
( ** ) Valor de Draft Samper 263272875-image58.png inferido para control con desplazamientos elásticos


Ecuador tiene un valor de Draft Samper 263272875-image60.png , similar al de Colombia y parecido al de Perú pero la deriva de piso máxima permitida es el doble de la de dichos Países. Esta fue una de las causas que dieron origen a la presente investigación y la otra que debemos calcular este factor Draft Samper 263272875-image57.png en base a nuestros materiales y sistemas constructivos.

1.5 COMPONENTES DEL FACTOR Draft Samper 263272875-image61.png

En las últimas dos décadas se ha realizado un gran trabajo para cuantificar el factor de reducción de las fuerzas sísmicas Draft Samper 263272875-image62.png y se tienen varias formulaciones con sustento teórico y experimental. Una de ellas reconoce que el factor Draft Samper 263272875-image62.png es igual al producto de cuatro factores. Bertero et al (1991), Miranda (1997), Whittaker et al (1999).

Draft Samper 263272875-image63.png (1.8)


Donde Draft Samper 263272875-image64.png es el factor de reducción de resistencia por ductilidad, se lo obtiene en un sistema de un grado de libertad; Draft Samper 263272875-image65.png es el factor de sobre resistencia definida como la capacidad última de la estructura con respecto a la capacidad de diseño; Draft Samper 263272875-image66.png es un factor de reducción que toma en cuenta que el sistema tiene múltiples grados de libertad y Draft Samper 263272875-image67.png es el factor de redundancia que indica la eficiencia de los elementos estructurales para transmitir cargas en el rango no lineal.

Existen otras propuestas, muy similares a la ecuación (1.8) en la que cambian el factor Draft Samper 263272875-image68.png por el factor de amortiguamiento Draft Samper 263272875-image69.png . Uang (1991), Whittaker et al (1999), Elnashai and Mwafy (2002).

Draft Samper 263272875-image70.png (1.9)


Cuando la estructura ingresa al rango no lineal, disipa energía por histéresis (daño). El factor de amortiguamiento Draft Samper 263272875-image71.png se incrementa conforme más se daña la estructura. El factor Draft Samper 263272875-image64.png es un factor de reducción debido a disipación de energía y existen trabajos que consideran el amortiguamiento Draft Samper 263272875-image71.png en el valor de Draft Samper 263272875-image64.png de tal manera que se tiene un factor Draft Samper 263272875-image72.png . Riddell y Newmark (1979). En otra palabras los factores Draft Samper 263272875-image64.png y Draft Samper 263272875-image69.png pueden formularse en un solo factor Draft Samper 263272875-image72.png .

El ATC-19 (1995) considera que el factor Draft Samper 263272875-image62.png es igual al producto de tres factores, pasando de la ecuación ( 1.8 ) a:

Draft Samper 263272875-image73.png (1.10)


Si en una estructura se aplican cargas monotónicas crecientes en cada uno de los pisos y se analiza con teoría elástica, la relación entre el cortante basal Draft Samper 263272875-image74.png y el desplazamiento lateral en el tope del edificio Draft Samper 263272875-image75.png es lineal y esto se lo ha representado en la figura 1.3, con líneas entrecortadas. Analizar con teoría elástica significa que la rigidez del sistema nunca cambia por más que la estructura experimente desplazamientos considerables.

Draft Samper 263272875-image76.png
Figura 1.3 Curva de capacidad sísmica y factores Draft Samper 263272875-image77.png y Draft Samper 263272875-image78.png . Mwafy y Elnashai (2002)

Ahora bien, si se considera un modelo de análisis no lineal, en el cual va cambiando la rigidez del sistema de acuerdo al nivel de deformación de la estructura la relación entre el cortante basal y el desplazamiento lateral, tiene la forma indicada en la figura 1.3, con línea continua. La pendiente en cualquier punto de la curva es la rigidez, la misma que va disminuyendo conforme se deforma la estructura.

En base a la curva, obtenida con análisis no lineal, se obtiene un modelo bilineal en el cual se define un punto de fluencia Draft Samper 263272875-image79.png por las coordenadas Draft Samper 263272875-image80.png que son el desplazamiento y cortante de fluencia. Este modelo idealizado de dos rectas se lo encuentra aplicando algún criterio. Aguiar (2002). El criterio más utilizado es el de iguales áreas en el que se determina el punto Draft Samper 263272875-image79.png como aquel en el cual el área de la curva continua, hallada con análisis no lineal, es aproximadamente igual al área del modelo bilineal idealizado.

En el modelo idealizado, el cortante de fluencia Draft Samper 263272875-image81.png es constante, de tal manera que por más que se deforme la estructura el valor del cortante es Draft Samper 263272875-image81.png . Ahora en la figura 1.3, se presentan las definiciones del factor de reducción por ductilidad Draft Samper 263272875-image82.png y del factor de sobre resistencia Draft Samper 263272875-image83.png .

Draft Samper 263272875-image84.png (1.11)
Draft Samper 263272875-image85.png (1.12)


Donde Draft Samper 263272875-image86.png es el cortante basal elástico, Draft Samper 263272875-image87.png es el cortante de diseño. En los próximos capítulos se va a tratar con detenimiento el cálculo de estos factores. Ahora lo que se pretende es visualizar estas definiciones.

Cuando se realiza el análisis sísmico a una estructura se obtienen fuerzas estáticas equivalentes que actúan a nivel de cada piso. La suma de estas fuerzas laterales determina el cortante basal. Si se realiza un análisis elástico este cortante basal vale Draft Samper 263272875-image88.png .

Si se diseña la estructura para este cortante Draft Samper 263272875-image88.png no va a existir daño ante el sismo del análisis pero las fuerzas laterales van a ser muy altas. Ahora si estas se reducen por medio del factor Draft Samper 263272875-image89.png , las fuerzas laterales van a ser pequeñas pero existirá daño.

En la figura 1.3, también se ilustra la definición de demanda de ductilidad Draft Samper 263272875-image90.png como la relación entre el desplazamiento lateral máximo Draft Samper 263272875-image91.png con relación al desplazamiento de fluencia Draft Samper 263272875-image92.png . Mientras mayor demanda tenga la estructura, mayor será su incursión en el rango inelástico y mayor será su daño.

Es conveniente que la estructura tenga suficiente capacidad de ductilidad pero durante un terremoto es conveniente que la estructura tenga una demanda de ductilidad baja para que el daño sea bajo.

1.6 CONCLUSIONES

Se ha presentado el factor de reducción de las fuerzas sísmicas Draft Samper 263272875-image89.png de cinco normativas sísmicas, a saber: Venezuela, Colombia, Ecuador, Perú y Chile. En algunas el factor Draft Samper 263272875-image89.png está asociado con un espectro de diseño último y en otras con un espectro de servicio. Para poder comparar los valores de Draft Samper 263272875-image89.png para estructuras compuestas por vigas y columnas todas se obtienen a nivel de espectro último.

Por otra parte, se obtuvo las derivas de piso máximas a nivel de desplazamientos elásticos para los cinco Países indicados. Del estudio realizado se desprende lo siguiente:

* En algunos países no hay consistencia entre el factor Draft Samper 263272875-image89.png y la deriva de piso máxima permitida. En el caso del CEC-2000 el valor de la deriva de piso es demasiado alta para el valor de Draft Samper 263272875-image89.png asignado.

1.7 RECOMENDACIONES

Se ha presentado la forma como se obtiene el factor de reducción de las fuerzas sísmicas y se ha visto que es función del factor de resistencia por ductilidad, del factor de sobre resistencia y del factor de redundancia, por dos motivos. El primero para que se conozca la forma como se obtiene este factor en los siguientes capítulos y segundo con el propósito de que se amplié esta investigación a otras tipologías estructurales, como por ejemplo al caso de estructuras con muros de corte.

Se ha visto que la curva de capacidad sísmica resistente es la base para hallar el factor Draft Samper 263272875-image89.png y esta curva es función de los materiales que se utilizan. Concretamente de la curva constitutiva del hormigón y del acero. En este libro se obtiene el factor Draft Samper 263272875-image89.png de estructuras de hormigón armado conformadas por vigas y columnas sin muros de corte, en las cuales la resistencia a la compresión del hormigón es Draft Samper 263272875-image93.png que es la resistencia que normalmente se utiliza en este tipo de estructuras en el Ecuador. S ha utilizado un hierro con un límite de fluencia de Draft Samper 263272875-image94.png .

En otros países tienen otros materiales, tienen otras formas de construir. En el Ecuador, por ejemplo, se diseñan edificios bastante flexibles tal vez por que la deriva máxima permitida es bastante alta. Son edificios en los cuales las columnas tienen pequeñas dimensiones y las vigas sobresalen ligeramente de la losa. Para ésta realidad es que se ha obtenido el factor de reducción de las fuerzas sísmicas, que se muestra en los siguientes capítulos.

REFERENCIAS

1. ACI 318S-05, (2005), Requisitos de Reglamento para Concreto Estructural y Comentario (ACI 318 S-05) Versión en Español del ACI. American Concrete Institute. Fundación Capítulo Ecuador del ACI, Quito.
2. Aguiar R., (2002), Sistema de Computación CEINCI3 para evaluar daño sísmico en los Países Bolivarianos, Centro de Investigaciones Científicas. Escuela Politécnica del Ejército, 302 p.
3. CEC-2000, “Código Ecuatoriano de la Construcción”, XIII Jornadas Nacionales de Ingeniería Estructural. Pontificia Universidad Católica del Ecuador, 325-350, Quito.
4. Bertero V., Anderson J., Krawinkler H., and Miranda E., (1991), “ Design guidelines for ductility and drift limits: Review of state-of-the-practice ando f-the-art on ductility and drift-based earthquake-resistant design of buildings”, Report on Task1, A CUREe-Kajima Research Report.
5. Duong K., (2006), Seismic Behaviour of a shear-critical reinforced concrete frame: An experimental and numerical investigation, Master of Applied Science. University of Toronto.
6. Elnashai A., and Mwafy A., (2002), “Overstrength and force reduction factors of multistory reinforced-concrete buildings”, Struct. Design Tall Building, 11, 329-351.
7. Gupta A., and Krawinkler H., (2000), “Estimation of seismic drift demands for frame structures”, Earthquake Engineering and Structural Dynamics, 29, 1287-1305.
8. Gupta A., and Krawinkler H., (2000), “Dynamic P-Delta effects for flexible inelastic steel structures”, Journal of Structural Engineering, 126 (1), 145- 154.
9. IBC, (2003), International Building Code, International Building Conference of Building Officials, Whittier, California.
10. Miranda E., (1997), Strength reduction factors in performance-base design, UCB/EERC-97/05, University of California, Berkeley.
11. Mwafy A., and Elnashai A., (2002), “Calibration of force reduction factors of RC buildings”, Journal of Earthquake Engineering, 6 (2), 230-273.
12. Norma NCh 433.Of 96, (1996). “Diseño sísmico de edificios”, Instituto de Normalización. INN-Chile, 42 p, Santiago.
13. Norma COVENIN 1756-98 (Rev. 2001), “Edificaciones Sismorresistentes”, FUNVISIS. Ministerio de Desarrollo Urbano, 69 p., Caracas.
14. Norma E.030, (2003), Reglamento Nacional de Construcciones. Norma Técnica de Edificaciones. Diseño Sismo resistente, Servicio Nacional de Normalización, Capacitación e Investigación para la Industria de la Construcción. SENCICO, 36 p., Quito.
15. NSR-98, (1998). “Normas colombianas de diseño y construcciones sismo resistente”, Asociación Colombiana de Ingeniería Sísmica, Tomo 1, Bogotá.
16. Riddell R., and Newmark N., (1979), Statistical Analysis of the response of nonlinear systems subjected to earthquakes, Civil Engineering Studies, Structural Research Series, Department of Civil Engineering, University of Illinois, 468, Urbana, Illinois.
17. Uang C (1991), “Establishing Draft Samper 263272875-image95.png (or Draft Samper 263272875-image96.png ) and Draft Samper 263272875-image97.png factor for building seismic provisions”, Journal of Structural Engineering ASCE, 117 (1), 9-28.
18. Whittaker A., Hart G., and Rojahn C., (1999), “Seismic response modification factor”, Journal of Structural Engineering ASCE, 125 (4), 438-444.


CAPÍTULO 2. FACTOR DE RESISTENCIA POR DUCTILIDAD

RESUMEN

Se presentan 14 contribuciones científicas, realizadas a nivel mundial, sobre el factor de reducción de las fuerzas sísmicas por ductilidad. El primer trabajo corresponde al realizado por Newmark y Veletsos en 1962 y el último al efectuado por Lobo, Vielma y Rivero en el 2004.

Posteriormente, se indican cuatro trabajos desarrollados en el Centro de Investigaciones Científicas, CEINCI, de la Escuela Politécnica del Ejército, sobre éste factor, que fueron elaborados por Aguiar y Guerrero en el 2006, por Aguiar y González en el mismo año y dos por Aguiar, Romo y Aragón en el 2007.

El primer trabajo, realizado en el Ecuador, fue obtenido en base a 63 registros de 15 sismos registrados en Colombia, Perú, Chile y Argentina con aceleraciones del suelo mayor al 15% de la aceleración de la gravedad pero no se clasificaron los registros de acuerdo al tipo de suelo. Los resultados obtenidos fueron comparados con los trabajos de Nassar y Krawinkler, publicado en 1991 y con el de Miranda, publicado en el 2000, encontrando una muy buena aproximación a pesar de que la base de datos es diferente ya que los últimos autores trabajaron con sismos registrados en los Estados Unidos de Norte América.

En el segundo trabajo, efectuado en la ESPE, se generaron 28 acelerogramas artificiales, los mismos que reproducen en forma aproximada los espectros de diseño elástico del Código Ecuatoriano de la Construcción, CEC-2000 para los cuatro perfiles de suelo estipulados en el Código para la zona de mayor peligrosidad sísmica.

En el tercer trabajo se obtuvo el factor de reducción de las fuerzas sísmicas por ductilidad, a partir de 80 acelerogramas registrados en el Ecuador con aceleraciones menores al 10% de la aceleración de la gravedad y 112 sismos artificiales para las cuatro zonas de peligrosidad sísmica, siguiendo la metodología propuesta por Chopra en el 2005. Se obtienen tres ecuaciones para ductilidades de 2, 3 y 4.

En el cuarto trabajo se considera la misma base de datos del tercero pero el ajuste de los puntos se realiza de manera diferente. Se encuentra una sola ecuación que es valida para cualquier valor de ductilidad.

Las formas del factor de reducción por ductilidad obtenidas para el Ecuador, han sido graficadas con los resultados obtenidos para Venezuela por Lobo, Vielma y Rivero en el 2004, encontrando que este último reporta valores bajos, debido a que trabajan con valores medios menos una desviación estándar.

Finalmente, se han graficado los resultados hallados por Riddell y Newmark en 1979 y que fueron acogidos por el Código de Costa Rica de 2002, también se graficaron los trabajos de Miranda y Bertero ejecutados en 1994 y los resultados hallados para el Ecuador, se aprecia que los resultados de Riddell y Newmark presentan valores mayores a la ductilidad para períodos largos. Lo propio sucede con el trabajo de Miranda y Bertero pero en este caso, para períodos intermedios.

2.1 ANTECEDENTES

Existen dos caminos para hallar el factor de reducción Draft Samper 263272875-image98.png , el uno a partir de la relación entre el desplazamiento máximo inelástico Draft Samper 263272875-image99.png con respecto al desplazamiento máximo elástico Draft Samper 263272875-image100.png , en este caso se obtiene Draft Samper 263272875-image101.png y luego se halla Draft Samper 263272875-image98.png , con las siguientes ecuaciones.

Draft Samper 263272875-image102.png (2.1)
(2.2)


La segunda forma de calcular Draft Samper 263272875-image98.png es mediante un análisis lineal elástico de las estructuras o en sistemas de un grado de libertad, en el que se determina el cortante basal Draft Samper 263272875-image103.png y encontrando la curva de capacidad sísmica de la estructura aplicando la técnica del pushover. En esta curva de capacidad se halla el cortante Draft Samper 263272875-image104.png .

Draft Samper 263272875-image105.png (2.3)

2.2 TRABAJOS REALIZADOS A NIVEL MUNDIAL

2.2.1 Newmark y Veletsos (1960)

El primer trabajo para determinar Draft Samper 263272875-image98.png fue desarrollado por Newmark y Veletsos (1960) en base a las clásicas reglas de igual desplazamiento y de igual energía. La propuesta por ellos realizada, se presenta en la tabla 2.1.

Tabla 2.1 Propuesta de Newmark y Veletsos (1960)
Período Draft Samper 263272875-image106.png
Draft Samper 263272875-image107.png 1
Períodos cortos Draft Samper 263272875-image108.png
Períodos moderados Draft Samper 263272875-image109.png
Períodos largos Draft Samper 263272875-image110.png


A pesar de que esta propuesta fue realizada a mediados del siglo pasado, todavía tiene vigencia para Draft Samper 263272875-image107.png y para períodos largos. Lo que se ha venido afinando es para los períodos intermedios. En esa época tenían bien claro que el factor Draft Samper 263272875-image111.png depende del período Draft Samper 263272875-image112.png y de la ductilidad Draft Samper 263272875-image113.png . Newmark (1962)

2.2.2 Newmark y Hall (1973)

Es una ampliación del trabajo de Newmark y Veletsos (1960), ahora ya definen los diferentes períodos, que en la tabla 2.1 estaban como períodos cortos, moderados y largos.

Draft Samper 263272875-image114.png (2.4)

Las regiones espectrales están limitadas por los siguientes períodos.

Draft Samper 263272875-image115.png (2.5)

Donde Draft Samper 263272875-image116.png , Draft Samper 263272875-image117.png , Draft Samper 263272875-image118.png , son los valores máximos de aceleración, velocidad y desplazamiento del terreno; Draft Samper 263272875-image119.png son los factores de amplificación, con los cuales se obtienen las ordenadas espectrales en las zonas de aceleración, velocidad y desplazamiento al multiplicar por los movimientos máximos del suelo. Para un 5% de amortiguamiento recomiendan Draft Samper 263272875-image120.png Newmark y Hall (1973).

Para suelos firmes y a una distancia epicentral de 100 Km., Newmark y Hall recomiendan un valor para Draft Samper 263272875-image121.png . Para registros en roca recomiendan valores entre 80 y 90 Draft Samper 263272875-image122.png . Por otro lado, la relación Draft Samper 263272875-image123.png es constante para todos los tipos de suelo.

Se destaca que estas relaciones fueron obtenidas en base a los sismos registrados en la costa oeste de los Estados Unidos, en zonas cercanas a la falla de San Andrés en California.

2.2.3 Ridell y Newmark (1979)

El factor de reducción por ductilidad, propuesto por Riddell y Newmark (1979) incorpora el factor de amortiguamiento Draft Samper 263272875-image124.png . De tal manera que se estaría hablando de un factor Draft Samper 263272875-image125.png , pero se seguirá denominado Draft Samper 263272875-image126.png . Es muy importante esto ya que de alguna forma están relacionados la ductilidad con el factor de amortiguamiento.

En este modelo, los valores de los períodos de las esquinas del espectro, son:

Draft Samper 263272875-image127.png (2.6)

Para un amortiguamiento del 5% Riddell y Newmark (1979) recomiendan Draft Samper 263272875-image128.png Las restantes variables de ( 2.6 ) son:

Draft Samper 263272875-image129.png (2.7)

Los factores Draft Samper 263272875-image130.png son:

Draft Samper 263272875-image131.png (2.8)

Riddell y Newmark (1979) encontraron que la relación Draft Samper 263272875-image132.png , y que Draft Samper 263272875-image133.png .

El trabajo de Ridell y Newmark (1979) ha sido adoptado en el Código Sísmico de Costa Rica de 2002. Leandro y Santana (2004). Por este motivo será comparado con las propuestas que se han realizado para el Ecuador.

2.2.4 Newmark y Hall (1982)

Tanto el trabajo de Riddell y Newmark (1979) como el trabajo de Newmark y Hall (1982) dependen del tipo de suelo, para ello se necesita conocer las relaciones Draft Samper 263272875-image134.png y Draft Samper 263272875-image135.png en cada tipo de suelo.

Draft Samper 263272875-image136.png (2.9)
Draft Samper 263272875-image137.png (2.10)


Donde Draft Samper 263272875-image138.png es el período en el cual la aceleración espectral deja de ser constante y empieza la zona descendente.

Después del sismo del 19 de septiembre de 1985, que afectó a la ciudad de México, Meli y Avila (1988) demostraron que en la zona blanda del Distrito Federal, para el rango de períodos comprendidos entre 1.8 y 2.8 s., los valores de Draft Samper 263272875-image139.png son mucho mayores que los obtenidos con la regla de Newmark y Hall (1982). No queda la menor duda que el factor Draft Samper 263272875-image139.png depende del tipo de suelo.

2.2.5 Riddell, Hidalgo y Cruz (1989)

Proponen el factor de reducción de las fuerzas sísmicas por ductilidad en función del factor de reducción por resistencia Draft Samper 263272875-image140.png . Estrictamente deja de llamarse Draft Samper 263272875-image141.png y debe llamarse Draft Samper 263272875-image142.png .

Draft Samper 263272875-image143.png (2.11)


2.2.6 Wu y Hason (1989)

En base a la respuesta sísmica de sistemas de un grado de libertad con un modelo elasto perfectamente plástico. Wu y Hason (1989) proponen en primer lugar una expresión para calcular Draft Samper 263272875-image144.png para cualquier valor de ductilidad Draft Samper 263272875-image145.png y de amortiguamiento Draft Samper 263272875-image146.png . Para calcular Draft Samper 263272875-image147.png se necesita definir los valores de Draft Samper 263272875-image148.png los mismos que están definidos en la tabla 2.2 en función del período.

Draft Samper 263272875-image149.png
Draft Samper 263272875-image150.png
Draft Samper 263272875-image149.png
Draft Samper 263272875-image150.png (2.12)
Tabla 2.2 Valores de p,q,r,s obtenidos por Wu y Hason (1989).
T(s) Draft Samper 263272875-image151.png Draft Samper 263272875-image152.png Draft Samper 263272875-image153.png s
0.1 -0.35 0.10 2.9 -0.24
0.5 -0.55 0.42 1.8 -0.56
0.5 – 0.3 -0.47 0.52 1.5 -0.70
3.0 -0.48 0.48 1.0 -1.0
10 -0.29 0.05 1.0 -1.0


El factor Draft Samper 263272875-image154.png es igual a la relación entre el factor Draft Samper 263272875-image147.png evaluado para Draft Samper 263272875-image155.png y Draft Samper 263272875-image156.png con respecto al valor Draft Samper 263272875-image147.png calculado para un determinado valor de Draft Samper 263272875-image145.png y de Draft Samper 263272875-image146.png .

2.2.7 Nassar y Krawinkler (1991)

En base al estudio de sistemas de un grado de libertad ante la acción de 15 sismos registrados en California sobre suelo firme y aluvial. Nassar y Krawinkler (1991) definen la siguiente ecuación para hallar el factor de reducción Draft Samper 263272875-image157.png .

Draft Samper 263272875-image158.png
Draft Samper 263272875-image159.png (2.13)


Los valores de Draft Samper 263272875-image160.png se encuentran en la tabla 2.3 para dos valores de Draft Samper 263272875-image161.png , el valor de Draft Samper 263272875-image162.png corresponde a un modelo elasto perfectamente plástico. El parámetro Draft Samper 263272875-image161.png relaciona la rigidez post fluencia con respecto a la rigidez elástica de un sistema de un grado de libertad.

Tabla 2.3 Valores de a, b propuestos por Nassar y Krawinkler (1991).
Draft Samper 263272875-image163.png Draft Samper 263272875-image164.png Draft Samper 263272875-image165.png
0.00 1.00 0.42
0.02 1.00 0.37
0.10 0.80 0.29


En el trabajo realizado por Aguiar y Guerrero (2006) se tomó como modelo la ecuación propuesta por Nassar y Krawinkler (1991) y se determinó los parámetros Draft Samper 263272875-image166.png en base a los registros de Sur América, como se verá posteriormente.

2.2.8 Vidic, Fajfar y Fischinger (1994)

Plantean un espectro básico que define la demanda sísmica en el diseño por medio de cuatro componentes: espectro de resistencia, espectro de desplazamiento, espectro de energía de entrada y espectro de energía acumulativa. El espectro de resistencia Draft Samper 263272875-image167.png presenta dos ramas lineales en función del período.

Draft Samper 263272875-image168.png (2.14)


Donde Draft Samper 263272875-image169.png aproximadamente representa el período predominante del sismo.

2.2.9 Miranda y Bertero (1994)

En este trabajo se realiza un análisis no lineal en el suelo para determinar la respuesta en la superficie y se utilizó un modelo elasto plasto para el análisis inelástico de la estructura, considerada como un sistema de un grado de libertad. Las expresiones a las que llegan, son.

Draft Samper 263272875-image170.png (2.15)

Donde Draft Samper 263272875-image171.png es un factor que depende del período y del tipo de suelo.

Draft Samper 263272875-image172.png
(2.16)
(2.17)
(2.18)


Siendo Draft Samper 263272875-image173.png el período característico del suelo. La ecuación ( 2.16 ) es para un perfil de suelo S1; la ( 2.17 ) para un perfil S2 y la ( 2.18 ) para un perfil S3.

2.2.10 Priestley (1995)

Priestley (1995) define una relación bilineal para Draft Samper 263272875-image167.png en función del período predominante del sismo Draft Samper 263272875-image174.png .

Draft Samper 263272875-image175.png (2.19)


2.2.11 Ordaz y Pérez (1999)

Del análisis de sistemas de un grado de libertad sujetos a 445 acelerogramas registrados en diferentes tipos de suelo, Ordaz y Pérez (1998) proponen la siguiente ecuación para estimar el factor por resistencia Draft Samper 263272875-image176.png que puede aplicarse a cualquier tipo de suelo.

Draft Samper 263272875-image177.png (2.20)


Donde Draft Samper 263272875-image178.png es el desplazamiento espectral para el período considerado y Draft Samper 263272875-image179.png es el desplazamiento máximo del suelo. Estas expresiones pueden ser utilizadas para estimar factores de reducción por resistencia para valores de amortiguamiento hasta el 10%, obteniendo los desplazamientos espectrales correspondientes al nivel de amortiguamiento para el cual se desea estimar el factor de reducción. Arroyo (2001).

2.2.12 Lee, Han y Oh (1999)

Consideran un modelo de histéresis que contempla incremento de rigidez en la post fluencia mediante la variable Draft Samper 263272875-image180.png , deterioro de resistencia con la variable Draft Samper 263272875-image181.png , deterioro de rigidez en la descarga con Draft Samper 263272875-image182.png y el deterioro de cierre de grietas mediante Draft Samper 263272875-image183.png . La propuesta de Lee et al (1999) es la siguiente:


Draft Samper 263272875-image184.png (2.21)


Donde Draft Samper 263272875-image185.png es el factor de reducción de las fuerzas sísmicas obtenido con un modelo elasto perfectamente plástico. Draft Samper 263272875-image186.png , son los factores de corrección debido a los modelos bilineal Draft Samper 263272875-image187.png , degradación de resistencia Draft Samper 263272875-image188.png , degradación de rigidez en la descarga Draft Samper 263272875-image189.png , y efecto de cierre de grietas Draft Samper 263272875-image190.png , respectivamente.

El factor de corrección debido al modelo bilineal viene definido por:

Draft Samper 263272875-image191.png (2.22)


El factor de corrección por el deterioro de resistencia, viene dado, por:

Draft Samper 263272875-image192.png (2.23)


El factor de corrección por deterioro de rigidez en la descarga, es:

Draft Samper 263272875-image193.png (2.24)


Finalmente, el factor de corrección por efecto de cierre de grietas, es:

Draft Samper 263272875-image195.png (2.25)


Encontraron que a mayor valor de rigidez post fluencia Draft Samper 263272875-image196.png ; siendo Draft Samper 263272875-image197.png la rigidez elástica, mayor será el factor de reducción Draft Samper 263272875-image198.png . Por otra parte, a mayor degradación de resistencia, menor será Draft Samper 263272875-image198.png . A mayores valores de Draft Samper 263272875-image199.png y Draft Samper 263272875-image200.png , mayor es Draft Samper 263272875-image198.png . En Aguiar (2003) se presenta, en castellano, en forma gráfica y con tablas lo expuesto, que corresponde al trabajo realizado por Lee et al (1999)

2.2.13 Miranda (2000)

En base a los resultados obtenidos en sistemas de un grado de libertad, con comportamiento elasto perfectamente plástico, con 264 acelerogramas registrados en Estados Unidos de Norte América, sobre suelo firme. Miranda (1999, 2000) obtiene la siguiente ecuación.

Draft Samper 263272875-image201.png (2.26)


La ecuación de Miranda (2000) se aproxima muy bien con la ecuación propuesta por Aguiar y Guerrero (2006), como se verá posteriormente.

2.2.14 LOBO, VIELMA Y RIVERO (2004)

Los factores de Draft Samper 263272875-image202.png propuestos por Lobo et al (2004) fueron obtenidos, a partir de espectros promedios menos una desviación estándar para tener valores menores de Draft Samper 263272875-image202.png y por tanto valores mayores de la acción sísmica, para cuatro tipologías estructurales, a saber: estructuras de hormigón armado sin muros de corte; estructuras de hormigón armado sin muros de corte y con mampostería; estructuras de acero y estructuras de hormigón armado con muros de corte. Además se utilizó el modelo de degradación histerética de Sivaselvan y Reinhorn (2000).

Por otra parte consideran tres casos de ubicación de las estructuras con respecto a las fallas geológicas que son: cercanas, intermedias y lejos de la falla. En todo esto consideraron comportamiento no lineal del suelo y la estructura. Las ecuaciones propuestas, son:

Draft Samper 263272875-image203.png (2.27)


Donde Draft Samper 263272875-image204.png es el período característico del suelo; Draft Samper 263272875-image205.png son parámetros obtenidos en el estudio. Tanto Draft Samper 263272875-image206.png como Draft Samper 263272875-image207.png dependen de la tipología estructural, de la ductilidad y del tipo de suelo. En la tabla 2.4 se presentan estos valores para estructuras de hormigón armado sin muros de corte. Lobo et al (2004) y Vielma et al (2006).

Tabla 2.4 Valores de Draft Samper 263272875-image208.png , Draft Samper 263272875-image209.png , Draft Samper 263272875-image210.png para estructuras de hormigón armado sin muros de corte.
Suelo Draft Samper 263272875-image211.png Cerca de la falla Intermedio a la falla Lejos a la falla
Draft Samper 263272875-image212.png Draft Samper 263272875-image213.png Draft Samper 263272875-image214.png Draft Samper 263272875-image215.png Draft Samper 263272875-image216.png Draft Samper 263272875-image217.png Draft Samper 263272875-image215.png Draft Samper 263272875-image216.png Draft Samper 263272875-image217.png
S1 2 0.11 2.703 0.030 0.19 2.469 0.002 0.19 2.469 0.002
4 0.15 1.778 -0.011 0.24 1.650 -0.013 0.24 1.650 -0.013
6 0.23 1.644 -0.128 0.28 1.618 -0.063 0.28 1.618 -0.063
S2 2 0.20 3.792 0.061 0.23 3.230 0.032 0.23 3.230 0.032
4 0.25 1.963 0.012 0.27 1.866 0.007 0.27 1.866 0.007
6 0.33 1.894 -0.026 0.37 1.769 -0.025 0.37 1.769 -0.025
S3 2 0.24 3.355 0.061 0.28 2.697 0.027 0.28 2.697 0.027
4 0.28 1.768 0.002 0.32 1.719 0.010 0.32 1.719 0.010
6 0.34 1.763 -0.024 0.43 1.650 0.019 0.43 1.650 0.019
S4 2 0.32 3.908 0.097 0.34 2.698 0.040 0.34 2.698 0.040
4 0.46 1.784 0.028 0.44 1.747 0.043 0.44 1.747 0.043
6 0.54 1.881 0.001 0.64 1.662 0.126 0.64 1.662 0.126

2.3 TRABAJOS REALIZADOS EN EL ECUADOR

En el CEINCI-ESPE, cuatro trabajos se han realizado para determinar el factor de reducción de las fuerzas sísmicas Draft Samper 263272875-image218.png y son los desarrollados por Aguiar y Guerrero (2006); Aguiar y González (2006), y, Aguiar, Romo y Aragón (2007,1). En este último trabajo se siguió la metodología propuesta por Chopra (2005) para realizar el ajuste y hay un cuarto trabajo, Aguiar, Romo y Aragón (2007,2) en que se presenta una ecuación más compacta para determinar Draft Samper 263272875-image218.png .

2.3.1 Aguiar y Guerrero (2006)

Aguiar y Guerrero (2006) trabajaron con 63 acelerogramas de sismos registrados en Colombia, Perú, Chile y Argentina con aceleraciones del suelo mayores a 0.15 g., los datos más sobresalientes de estos eventos se indican en la tabla 2.5. El único problema que se tienen con estos datos es que no se conoce a ciencia cierta, el tipo de suelo en el cual fueron registrados, razón por la cual no se les clasificó de acuerdo al tipo de suelo.

Tabla 2.5 Sismos considerados en el estudio realizado por Aguiar y Guerrero (2006)
Draft Samper 263272875-image219.png


Se encontró la respuesta lineal y no lineal en sistemas de un grado de libertad y luego se determinó Draft Samper 263272875-image220.png que relaciona el desplazamiento máximo inelástico con respecto al desplazamiento máximo elástico. Se obtuvieron valores para dos modelos bilineales, para Draft Samper 263272875-image221.png que corresponde al modelo elasto perfectamente plástico y para Draft Samper 263272875-image222.png .

En la figura 2.1 se presenta la curva de valores medios hallados en el estudio para el parámetro Draft Samper 263272875-image220.png , la curva superior, de cada una de ellas, es para ductilidad 4, la intermedia para ductilidad 3 y la inferior para ductilidad 2. Se aprecia que para cuando el período tiende a cero estas curvas tienden al valor de la ductilidad. Por otro lado, para períodos mayores a 0.5 segundos el valor de Draft Samper 263272875-image220.png tiende a la unidad; en consecuencia el valor de Draft Samper 263272875-image223.png .

Draft Samper 263272875-image224.png
Figura 2.1 Valores medios de Draft Samper 263272875-image220.png . Aguiar y Guerrero (2006)


En la figura 2.2 se indica la variación de la desviación estándar encontrada en el estudio, para períodos muy cortos la desviación promedio es del orden de 0.4 pero para el resto de períodos varía entre 0.2 y 0.3, que son bastante bajos.

Las ecuaciones de Draft Samper 263272875-image220.png encontradas, son las siguientes:

Draft Samper 263272875-image225.png (2.28)


En la figura 2.3 se indica los valores medios hallados en el estudio y las curvas que se obtienen con las ecuaciones de Aguiar y Guerrero (2006); Nassar y Krawinkler (1991) y Miranda (2000) para Draft Samper 263272875-image226.png , encontrando una muy buena aproximación, el error encontrado con las curvas de ajuste con relación al valor medio hallado en el estudio se indica en la tabla 2.6.

Draft Samper 263272875-image227.png
Figura 2.2 Desviación estándar de Draft Samper 263272875-image220.png . Aguiar y Guerrero (2006)
Draft Samper 263272875-image228-c.png
Figura 2.3 Valores medios de Draft Samper 263272875-image229.png y ecuaciones de Miranda, Nassar y Krawinkler
Tabla 2.6 Error medio encontrado con las diferentes ecuaciones. Draft Samper 263272875-image230.png
DUCTILIDAD MIRANDA (2000) NASSAR (1991) PROPUESTA
2 0.034 0.030 0.027
3 0.032 0.063 0.031
4 0.048 0.105 0.067


La diferencia entre las curvas de ajuste encontradas por los tres trabajos está alrededor del 3%. Algo similar se obtuvo para Draft Samper 263272875-image231.png . Se destaca que se está comparando Draft Samper 263272875-image232.png , no Draft Samper 263272875-image233.png pero ésta última es igual a Draft Samper 263272875-image234.png de tal manera que en forma indirecta también se compara Draft Samper 263272875-image233.png .

El tener tan buena aproximación conduce a pensar que el factor Draft Samper 263272875-image233.png no depende del origen de los sismos, ya que Nassar y Krawinkler al igual que Miranda trabajaron con sismos registrados en Estados Unidos de Norte América y Aguiar y Guerrero trabajaron con sismos registrados en Sur América.

2.3.2 Aguiar y González (2006)

Se generaron 28 sismos artificiales compatibles con los espectros del CEC-2000 para los cuatro tipo de suelos, para la zona de mayor peligrosidad sísmica del Ecuador, que tiene una aceleración máxima de 0.4 g.

En la figura 2.4 se presenta la forma del espectro elástico del CEC-2000 y en ella se indica las ecuaciones de cada una de las ramas del espectro. Se destaca que en esta figura Draft Samper 263272875-image235.png es el factor de importancia de la estructura a diferencia del significado que tenía anteriormente; Draft Samper 263272875-image236.png es la aceleración máxima en roca y para el Ecuador varía desde 0.15 g., para la zona de menor peligrosidad sísmica, hasta 0.40 g., para la zona de mayor peligrosidad sísmica; g, es la aceleración de la gravedad. Los factores Draft Samper 263272875-image237.png , Draft Samper 263272875-image238.png y S están definidos en la tabla 2.7 y dependen del perfil del suelo.

Draft Samper 263272875-image239.png
Figura 2.4 Espectro Elástico del Código Ecuatoriano de la Construcción CEC-2000


Se obtuvieron 7 sismos artificiales para cada tipo de suelo, con esa base de datos se realizó el trabajo en forma similar a la indicada en el apartado anterior pero trabajando con un modelo elasto perfectamente plástico. Antes de presentar los resultados conviene ver en la figura 2.5, a manera de ejemplo, el espectro promedio que se obtuvo con los 7 sismos para el perfil de suelo S2; en ésta figura se muestra también el espectro elástico del CEC-2000 para suelo S2, se aprecia una muy buena similitud entre los dos espectros, para períodos menores a 1.5 s. Esto es debido a que se generaron acelerogramas compatibles con los espectros del CEC-2000.

Tabla 2.7 Parámetros que definen el espectro elástico del CEC-2000
Perfil de suelo Draft Samper 263272875-image240.png

( s )

Draft Samper 263272875-image241.png

( s )

Draft Samper 263272875-image242.png Draft Samper 263272875-image243.png
S1 0.50 2.50 2.5 1.0
S2 0.52 3.11 3.0 1.2
S3 0.82 4.59 2.8 1.5
S4 2.00 10.00 2.5 2.0


Draft Samper 263272875-image244.png
Figura 2.5 Espectro promedio obtenido con acelerogramas artificiales y espectro de diseño


La ecuación a la que se llegó con Aguiar y González (2006) se presenta ( 2.29 ) y en la tabla 2.8 se indican las variables Draft Samper 263272875-image245.png y Draft Samper 263272875-image246.png , encontrados en el estudio, para los cuatro perfiles de suelo del CEC-2000.

Draft Samper 263272875-image247.png (2.29)


Tabla 2.8 Valores de a,b,c,d encontrados por Aguiar y González (2006)
Perfil de Suelo Draft Samper 263272875-image248.png Draft Samper 263272875-image249.png Draft Samper 263272875-image250.png Draft Samper 263272875-image251.png Draft Samper 263272875-image252.png
S1 30.00 1.34 -1.49 0.60 0.50
S2 71.80 2.00 -1.50 0.50 0.52
S3 81.04 2.00 -2.55 0.50 0.82
S4 86.00 2.10 -2.60 0.48 2.00

2.3.3 Aguiar, Romo y Aragón (2007,1)

En base a 80 acelerogramas registrados en el Ecuador, con aceleraciones menores al 10% de la aceleración de la gravedad y 112 sismos artificiales para las cuatro zonas de peligrosidad sísmica del CEC-2000, se obtuvo una ecuación para Draft Samper 263272875-image253.png siguiendo la metodología propuesta por Chopra (2005).

Para ilustrar el proceso de cálculo, en la figura 2.6 se presenta la variación de Draft Samper 263272875-image254.png , para los sismos artificiales en suelo S1, para una ductilidad de 4 y para una aceleración máxima del suelo en roca de 0.15 g.

Draft Samper 263272875-image255.png
Figura 2.6 Variación de Draft Samper 263272875-image253.png encontrada con sismos artificiales.


La curva de valores medios de Draft Samper 263272875-image256.png de la figura 2.6 se coloca en el formato, logaritmo de base 10 de la relación Draft Samper 263272875-image257.png en el eje de las X, y logaritmo de base 2 de Draft Samper 263272875-image258.png en el eje de las Y., como se observa en la figura 2.7. no se trabajó con el período característico del suelo Draft Samper 263272875-image259.png como lo propone Chopra (2005) sino con Draft Samper 263272875-image260.png que es el período en el cual empieza la rama descendente del espectro. Es en este formato en el cual se realizó el ajuste, llegando a los siguientes resultados. Aguiar et al (2007,1).

Draft Samper 263272875-image261.png (2.30)


Draft Samper 263272875-image262.png
Figura 2.7 Relación logarítmica de la relación Draft Samper 263272875-image258.png en función de Draft Samper 263272875-image263.png .


En la tabla 2.9 se indican el valor de las variables Draft Samper 263272875-image264.png encontrados en el estudio para ductilidades de 2, 3 y 4 y para los cuatro perfiles de suelo del CEC-2000.

Tabla 2.9 Valores obtenidos en el estudio para diferentes tipos de suelo y ductilidades.
Ductilidad 2
Perfil de Suelo Draft Samper 263272875-image265.png Draft Samper 263272875-image266.png Draft Samper 263272875-image267.png Draft Samper 263272875-image268.png Draft Samper 263272875-image269.png
S1 0.35 -3.50 1.40 0.17 0.87
S2 0.60 -2.90 1.31 0.17 0.82
S3 3.40 -1.00 1.50 0.21 1.00
S4 2.10 -1.40 1.00 0.12 1.70
Ductilidad 3
S1 1.00 -2.70 1.40 0.04 0.15
S2 1.00 -1.20 1.40 0.05 0.49
S3 3.00 -1.00 1.80 0.07 0.73
S4 15.00 -0.08 1.40 0.07 0.30
Ductilidad 4
S1 1.30 -1.50 1.76 0.03 0.25
S2 7.80 1.00 1.40 0.02 0.50
S3 1.30 -0.20 1.41 0.01 0.93
S4 0.23 -0.60 1.80 0.04 2.91

2.3.4 Aguiar, Romo y Aragón (2007,2)

Desde el punto de vista práctico la ecuación ( 2.30 ) con los valores indicados en la tabla 2.9 trae problemas cuando se desea hallar Draft Samper 263272875-image270.png para un factor de ductilidad que no es entero ya que se debería interpolar entre los valores de ductilidad enteros. Por ejemplo, para Draft Samper 263272875-image271.png se debe calcular el valor de Draft Samper 263272875-image270.png para Draft Samper 263272875-image272.png y luego para Draft Samper 263272875-image273.png y finalmente interpolar entre estos valores para Draft Samper 263272875-image271.png . Por esta razón es que se encontró otra ecuación que se ajuste a los resultados obtenidos con la ecuación ( 2.30 ) y los valores de la tabla 2.9. Esta ecuación es la siguiente.

Draft Samper 263272875-image274.png (2.31)

Los valores de Draft Samper 263272875-image275.png para los cuatro tipos de suelo, se indican en la tabla 2.10. Nótese que del ajuste de los datos sólo se tiene una variable, que es la Draft Samper 263272875-image276.png .

Tabla 2.10 Valores de la variable Draft Samper 263272875-image277.png
Variable Suelo S1 Suelo S2 Suelo S3 Suelo S4
Draft Samper 263272875-image278.png 100500 91000 73600 38900

2.4 COMPARACIÓN DE RESULTADOS PARA ECUADOR

En la figura 2.8 se presenta la variación de Draft Samper 263272875-image279.png encontrado para el Ecuador, para una ductilidad de 4 y para los cuatro tipos de suelo. Del análisis de ésta gráfica se desprende lo siguiente:

  • La ecuación propuesta por Aguiar y Guerrero (2006) no depende del tipo de suelo, por ese motivo se aprecia la misma curva en los cuatro tipos de suelo.
  • La ecuación propuesta por Aguiar y González (2006) presenta valores bajos para los perfiles de suelo S3 y S4. Esto se debe a los pocos datos con que se realizaron el estudio.
  • Las dos ecuaciones propuestas por Aguiar, Romo y Aragón (2007) son muy parecidas especialmente para los perfiles de suelo S1, S2 y S3. Para períodos altos tiende a confundirse con la curva de Aguiar y Guerrero (2006). Las ecuaciones propuestas por Aguiar, Romo y Aragón, inician en Draft Samper 263272875-image280.png y para períodos altos se tiene Draft Samper 263272875-image281.png . Además se encuentran entre las otras curvas halladas, en los otros trabajos, por este motivo se considera que estas ecuaciones son más representativas para el Ecuador.
Draft Samper 263272875-image282.png
Figura 2.8 Factores Draft Samper 263272875-image283.png encontrados para el Ecuador, para ductilidad 4.

2.5 FACTORES PARA ECUADOR Y VENEZUELA

Es muy interesante el factor de reducción Draft Samper 263272875-image279.png propuesto por Lobo et al (2004) para Venezuela ya que presentan ecuaciones en función de la distancia a la falla y para diferentes tipologías estructurales. En este contexto se va a ver la variación de Draft Samper 263272875-image279.png con el período que se obtienen al emplear las cuatro ecuaciones obtenidas para Ecuador con la propuesta para Venezuela para distancia cercana a la falla y lejana a la falla. No se puede comparar los resultados ya que la definición de los perfiles de suelo son diferentes para la normativa sísmica de Venezuela y el CEC-2000 de Ecuador.

En estructuras de hormigón armado sin muros de corte, que corresponde al caso que se considera, el valor de Draft Samper 263272875-image283.png para distancias intermedias y lejanas a la falla son las mismas.

En la figura 2.9 se presentan los resultados que se obtienen para ductilidad 2. Del análisis de esta gráfica se desprende, lo siguiente:

  • Los valores de Draft Samper 263272875-image283.png propuestos por Lobo et al (2004) son bajos, en ningún caso llegan al valor de la ductilidad.
  • Para distancias intermedias y lejanas a la falla, los valores de Draft Samper 263272875-image283.png son más altos que los obtenidos para distancias cercanas a la falla.
Draft Samper 263272875-image284.png
Figura 2.9 Factores Draft Samper 263272875-image283.png encontrados para Ecuador y Venezuela, para ductilidad 2.

2.6 FACTORES DE ECUADOR Y OTROS TRABAJOS

En la figura 2.10 se presentan los factores de reducción Draft Samper 263272875-image285.png , para una ductilidad de 3, encontrados para el Ecuador, el encontrado por Miranda (2000) para suelo duro, el hallado por Miranda y Bertero (1994) para tres perfiles de suelo y la propuesta de Riddell y Newmark (1979). Nuevamente se destaca que la definición de los perfiles de suelo del CEC-2000 son diferentes a los definidos por los otros autores, sin embargo de ello vale la pena ver las tendencias de las curvas.

Se destaca que en todo el artículo se ha dibujado la ecuación de Aguiar y Guerrero (2006) para un modelo elasto perfectamente plástico, es decir para Draft Samper 263272875-image286.png La curva para Draft Samper 263272875-image287.png tiene valores más altos para el rango de valores comprendidos entre los períodos de 0.5 y 1.5 s. Con esta acotación, se puede realizar los siguientes comentarios a la figura 2.10.

  • Para períodos mayores a 3 segundos, la ecuación propuesta por Riddell y Newmark (1979) presenta valores más altos a la ductilidad. Es verdad que muy difícilmente se encontrarán estructuras con períodos mayores a los 3 segundos.
Draft Samper 263272875-image288.png
Figura 2.10 Factores Draft Samper 263272875-image283.png encontrados para Ecuador y por otros autores. Para ductilidad 3.
  • Para perfiles de suelo S1 y S2 el factor Draft Samper 263272875-image289.png hallado con Miranda y Bertero (1994) para períodos superiores a 0.5 s., son superiores a la ductilidad. Este comportamiento no se observó en los estudios realizados en el Ecuador ya que para períodos superiores a 0.5 s., el desplazamiento inelástico es aproximadamente igual al desplazamiento elástico. Luego se cumple la regla de igual energía que conduce a tener Draft Samper 263272875-image290.png .

En forma similar a la figura 2.10, ahora en la figura 2.11 se presenta la variación del factor de reducción por ductilidad para una ductilidad de 4 pero en la ecuación propuesta por Aguiar y Guerrero se ha considerado Draft Samper 263272875-image291.png con lo que se incrementa el factor Draft Samper 263272875-image292.png y para un perfil de suelo S2 es similar al obtenido por Miranda y Bertero

Para suelos blandos, el factor hallado por Miranda y Bertero son mucho más altos que la ductilidad para la cercanía al período predominante del suelo Draft Samper 263272875-image293.png que en este artículo se consideró igual a 0.205 s., pero para sistemas con período menor a las dos terceras partes de Draft Samper 263272875-image293.png el valor de Draft Samper 263272875-image292.png es menor a la ductilidad.

Draft Samper 263272875-image294.png
Figura 2.11 Factores Draft Samper 263272875-image283.png encontrados para Ecuador y por otros autores. Para ductilidad 4.

2.7 CONCLUSIONES

Se han presentado catorce contribuciones científicas realizadas a nivel mundial y tres trabajos realizados en el Centro de Investigaciones Científicas de la Escuela Politécnica del Ejército, para encontrar el factor de reducción de las fuerzas sísmicas por ductilidad, esto demuestra el gran interés que existe en el tema y es justificado ya que este es uno de los factores que intervienen en el cálculo de la reducción de las fuerzas sísmicas con el cual se pasa del espectro elástico al espectro inelástico. Del estudio realizado se desprenden las siguientes conclusiones:

  • En el trabajo realizado por Aguiar y Guerrero se consideró la forma de ajuste similar a la de Nassar y Krawinkler pero en el primer caso se trabajó con sismos registrados en Sur América y en el segundo caso con sismos registrados en los Estados Unidos, del estudio se obtuvo que los factores de reducción por ductilidad encontrados con las dos formulaciones halladas eran muy parecidas, la diferencia es del orden del 3%, esto demuestra que el factor de reducción por ductilidad no depende del origen de los sismos, depende de la forma de la ecuación que se considere para el ajuste.
  • El trabajo de Miranda y Bertero reporta valores mayores a la ductilidad para períodos intermedios, tiene un comportamiento similar al de Aguiar y Guerrero para Draft Samper 263272875-image295.png . Son los únicos trabajos que presentan este comportamiento y esto depende de la forma de realizar el ajuste de los datos.
  • El trabajo de Riddell y Newmark para períodos altos, mayores a 3 segundos presenta valores del factor de reducción por ductilidad mayores a la ductilidad, lo que no está de acuerdo con lo observado de que para períodos largos el desplazamiento máximo inelástico es aproximadamente igual al desplazamiento máximo elástico lo que conduce a que el factor de reducción por ductilidad sea igual a la ductilidad.
  • Para el Ecuador es conveniente utilizar las ecuaciones halladas por Aguiar, Romo y Aragón, por dos motivos, el primero en el trabajo de Aguiar y Guerrero no se clasificó los registros sísmicos de acuerdo al tipo de suelo por que no se conocía con certeza el tipo de suelo en que fueron registrados, el segundo radica que en el trabajo con Aguiar y González se trabajó con pocos datos, 28 sismos artificiales.

REFERENCIAS

19. Aguiar R., (2006), Deriva máxima de piso y curvas de fragilidad en edificios de hormigón armado, Centro de Investigaciones Científicas. Escuela Politécnica del Ejército, 188 p., Quito.
20. Aguiar R., y Guerrero P., (2006), “Relación entre desplazamiento máximo: inelástico a elástico en la evaluación del drift”, XXXII Jornadas Sudamericanas de Ingeniería Estructural. Universidad Estatal de Campiñas, 3056-3066, Campiñas, Brasil.
21. Aguiar R., y González A., (2006), “Influencia del suelo en el cálculo de la relación entre el desplazamiento máximo inelástico a elástico”, II Congreso de Ingeniería Estructural y Puentes. Instituto de la Construcción y Gerencia, 10 p., Lima, Perú.
22. Aguiar R., Romo M., Aragón E., (2007,1), “Estimación de demandas inelásticas de desplazamiento en osciladores bilineales sujetos a movimientos sísmicos en Ecuador”, IX Encuentro de Investigadores y Profesionales Argentinos de la Construcción, EIPAC, Salta, 2007.
23. Aguiar R., Romo M., Aragón E., (2007,2), “Nueva propuesta del parámetro Draft Samper 263272875-image296.png para el Ecuador”, XIX Jornadas Nacionales de Ingeniería Estructural. Universidad Nacional del Chimborazo, 93-106.
24. Aguiar R., (2007), Dinámica de Estructuras con MATLAB, Centro de Investigaciones Científicas. Escuela Politécnica del Ejército, 280 p. Quito.
25. Aguiar R., (2003), Análisis Sísmico por Desempeño, Centro de Investigaciones Científicas, Escuela Politécnica del Ejército, 340 p., Quito, Ecuador.
26. Arroyo D., (2001), Factores de reducción para el diseño de sistemas pasivos de disipación de energía, Tesis de Maestría, Universidad Nacional Autónoma de México, 102 p., México.
27. ATC (1995), Structural response modification factors, Applied Technology Council, Rep. N. ATC-19, Redwood City, California.
28. Chopra A., (2005) “Estimating seismic demands for performance-based engineering of buildings”, Congreso Chileno de Sismología e Ingeniería Antisísmica. IX Jornadas, 34 p, Concepción, Chile.
29. Código Ecuatoriano de la Construcción (2000), CEC-2000, Capítulo 1: Peligro sísmico, espectros de diseño y requisitos de cálculo para diseño sismo resistente, XIII Jornadas Nacionales de Ingeniería Estructural. Universidad Católica, 325-350, Quito.
30. Leandro R y Santana G., (2004), Código sísmico de Costa Rica Versión 2002. Factores de reducción de resistencia por ductilidad, Revista Ingeniería. Universidad de Costa Rica, 4 (1,2), 15-30, San José de Costa Rica.
31. Lobo W., Vielma J.C., and Rivero P., (2004), “Hysteretic determination of the response factors Draft Samper 263272875-image297.png according to structural types”, Proceeding of the 13th World Conference on Earthquake Engineering, Paper 3469, Vancouver.
32. Lee L., Han S., and Oh Y., (1999), “Determination of ductility factor considering different hysterestic models”, Eathquake Engineering and Structural Dynamics, 28, 957-977.
33. Meli R., and Ávila J., (1988), “Analysis of building response”, Earthquake Spectra, 5, 1-18.
16. Miranda E., (1999), “Aproxímate seismic lateral deformation demands in multistory buildings”, Journal of Structural Engineering, 125 (4), 417-425.
17. Miranda E., (2000), “Inelastic displacement ratios for structures on firm sites”, Journal of Structural Engineering, 126 (10), 1150-1159.
18. Miranda E., and Bertero V., (1994), “Evaluation of strength reduction factors for earthquake resistant design”, Earthquake Spectra, 10 (2), 357-379.
19. Nassar A., and Krawinkler H., (1991), Seismic demands for SDOF and MDOF systems, John Blume Earthquake Engineering. Ctr. Dept. of Civil Engineering, Rep. 95, Stanford University, Stanford, California.
20. Newmark N. (1962), An evaluation of scaling methods for earthquake response spectra, Civil Engineering Studies, Structural Research Series, Department of Civil Engineering, University of Illinois, 449, Urbana, Illinois.
21. Newmark N., and Hall W., (1973), “Seismic design criteria for nuclear reactor facilities”, Building Practices for Disaster Mitigation, National Bureau of Standards, 46, 209-236. U.S. Department of Commerce.
22. Newmark N., and Hall W., (1982), Earthquake Spectra and Design, California United States of America. Earthquake Engineering Research Institute.
23. Ordaz M., y Pérez L., (1999), Estimación de espectros de respuesta elastoplástica, Centro Nacional de Prevención de Desastres. Cuaderno de Investigación 48, 29 p, México.
24. Riddell R., and Newmark N., (1979), Statistical Analysis of the response of nonlinear systems subjected to earthquakes, Civil Engineering Studies, Structural Research Series, Department of Civil Engineering, University of Illinois, 468, Urbana, Illinois.
25. Riddell R., Hidalgo P., Cruz E., “Response modification for earthquake resistant designo f short buildings”, Earthquake Spectra, Journal of the Earthquake Engineering Research Institute, U.S.A. 5 (3), 571-590.
26. Sivaselvan M., and Reinhorn A., (2000), “Hysteretic models for deteriorating inelastic structures”, Journal of Engineering Mechanics, 126 (6), 633-640.
27. Vidic T., Fajfar P., and Fischinger M., (1994), “Consistent inelastic design spectra: strength and displacement”, Earthquake Engineering and Structural Dynamics, 23, 507-521.
28. Vielma J.C., Barbat A., Oller S., (2006), “Factores de reducción de respuesta. Estado del arte y Estudios comparativos entre códigos”, Revista Internacional de Ingeniería de Estructuras, Centro de Investigaciones Científicas. Escuela Politécnica del Ejército, 11 (1), 77-106.
29. Wu J., and Hanson R., (1989), “Study of inelastic spectra with high damping”, Journal of Structural Engineering”, 115 (6).

CAPÍTULO 3. FACTOR DE SOBRE RESISTENCIA

RESUMEN

Se obtiene la sobre resistencia a nivel local de elementos en 12 edificios de hormigón armado y a nivel global de la estructura en 432 edificios de hormigón armado. Todos ellos están compuestos por vigas y columnas, sin muros de corte y son de uno a seis pisos. Pero primero se presenta el origen de la sobre resistencia en las estructuras, agrupado en el: Diseño, análisis, modelado y construcción. Luego se presenta el resultado de varios trabajos realizados a nivel mundial sobre el factor Draft Samper 263272875-image298.png .

El tema fundamental de este capítulo es encontrar la sobre resistencia de una estructura en función de la deriva máxima de piso, para el efecto se presenta una metodología de cálculo. Se encontró que si la deriva de piso, esperada, es baja, la sobre resistencia es alta y viceversa. Para el efecto se analizaron 216 edificios de 2 vanos e igual número de edificios pero de 3 vanos, en total 432 edificios.

Por otra se diseñaron 12 edificios, la mitad de ellos eran de dos vanos y la otra mitad de 3 vanos para la zona de mayor peligrosidad sísmica del Ecuador sobre un perfil de suelo S2. Utilizando el espectro de diseño del Código Ecuatoriano de la Construcción CEC-2000 para un factor de reducción de las fuerzas sísmicas Draft Samper 263272875-image299.png y con una deriva de piso, máxima permisible del 2%. En estos edificios se halló la sobre resistencia local de sus elementos y la sobre resistencia global. Se obtuvieron valores medios de la sobre resistencia local, para ver el rango de variación a nivel de vigas y a nivel de columnas. Finalmente, se halló la variación de la sobre resistencia a nivel local y global en función del período.

3.1 INTRODUCCIÓN

En una estructura se identifica dos tipos de sobre resistencia, el uno a nivel local de elementos Draft Samper 263272875-image300.png y el otro a nivel de estructura Draft Samper 263272875-image301.png . Tanto Draft Samper 263272875-image300.png como Draft Samper 263272875-image301.png son factores de seguridad que tiene la estructura debido a varios factores que se pueden agrupar de la siguiente manera:

  • Sobre resistencia en el Diseño.
  • Sobre resistencia en el Análisis.
  • Sobre resistencia en el modelado y construcción.

3.1.1 Sobre resistencia en el diseño

Los materiales tienen mayores esfuerzos con relación a los que se consideran en el diseño y normalmente se coloca una mayor cantidad de armadura por el sistema constructivo. Por otro lado, para cumplir con los requerimientos exigidos, por ejemplo, para la conexión viga-columna se agrandan las secciones de los elementos estructurales si el caso lo requiere; algo similar sucede cuando se realiza el control de columna fuerte-viga débil. Únicamente se va a ilustrar la sobre resistencia que se tiene en el diseño de un eje de vigas.

En la obtención de los formularios para el diseño a flexión de una viga se considera el bloque rectangular de Whitney (1942) para el comportamiento del hormigón y el modelo elasto perfectamente plástico para el acero, los mismos que se indican en la figura 3.1.

Draft Samper 263272875-image302.png
Figura 3.1 Modelos constitutivos para el hormigón y acero utilizados en diseño.


En el modelo de Whitney el esfuerzo máximo del hormigón, vale: Draft Samper 263272875-image303.png , donde Draft Samper 263272875-image304.png es la resistencia máxima del hormigón a compresión. En el modelo elasto plasto del acero el esfuerzo máximo vale: Draft Samper 263272875-image305.png , siendo Draft Samper 263272875-image306.png el esfuerzo de fluencia del acero. En base a estos modelos se deduce la siguiente ecuación con la cual se halla la armadura longitudinal Draft Samper 263272875-image307.png de una viga.

Draft Samper 263272875-image308.png (3.1)


Las variables no definidas todavía, son Draft Samper 263272875-image309.png que es la base de la viga; Draft Samper 263272875-image310.png el peralte efectivo de la viga; Draft Samper 263272875-image311.png es el momento último de diseño y Draft Samper 263272875-image312.png es el factor de minoración de esfuerzos, igual a 0.9, para flexión.

Para ilustrar el cálculo de Draft Samper 263272875-image300.png se presenta en la figura 3.2 los momentos de diseño de un eje de vigas de un edificio de 5 pisos, tomado del capítulo VI del libro Temas de Hormigón Armado, Romo (2007), con autorización del autor.

Draft Samper 263272875-image313.png
Figura 3.2 Momentos de diseño en de una viga de 30/55


El eje de viga es de 30/55, se utilizó un hormigón con Draft Samper 263272875-image314.png y acero con Draft Samper 263272875-image315.png . El recubrimiento es de 4 cm., de tal manera que la altura efectiva Draft Samper 263272875-image316.png Al utilizar la ecuación ( 3.1 ) se halla la armadura indicada en la figura 3.3.

Draft Samper 263272875-image317.png
Figura 3.3 Armadura longitudinal requerida en cm2.


La armadura mínima que debe tener una sección, es el mayor valor de:

Draft Samper 263272875-image318.png
Draft Samper 263272875-image319.png (3.2)


Al reemplazar valores, se halla que Draft Samper 263272875-image320.png , con lo que la armadura mínima vale: Draft Samper 263272875-image321.png . Por lo tanto, la armadura inferior del centro de luz tiene que cambiar a 4.90 cm2, es otro factor que aporta a Draft Samper 263272875-image322.png . Con este cambio, la armadura longitudinal, queda como se indica en la figura 3.4.

Draft Samper 263272875-image323.png
Figura 3.4 Armadura longitudinal luego de control de armadura mínima en cm2.


En la figura 3.5 se indica el armado del eje de viga que satisface lo requerido en la figura 3.4, y sobre todo para tener armadura uniforme a lo largo del elemento que facilite la redistribución de momentos. La armadura Draft Samper 263272875-image324.png real coloca se indica en la figura 3.6. En este eje de vigas se colocó estribos de 8 mm., de diámetro a 10 en los apoyos y 20 cm., en el centro de luz.

Draft Samper 263272875-image325.png
Figura 3.5 Armado longitudinal del eje de viga.
Draft Samper 263272875-image326.png
Figura 3.6 Armadura real colocada y luces de la viga.


Cuando se realiza el análisis de un elemento cualquiera, sea viga o columna, se debe modelar el comportamiento del hormigón y del acero, de la manera más exacta posible. Por lo tanto, para el comportamiento del hormigón se debe utilizar un modelo de hormigón confinado ya que el refuerzo transversal da confinamiento a la sección y para el acero se debe considerar un modelo trilineal que considere incremento de resistencia en la zona de endurecimiento.

Draft Samper 263272875-image327.png
Figura 3.7 Modelo de Park et al (1982) y trilineal.


En la figura 3.7 se indican los modelos con los cuales se trabaja en este capítulo, a la izquierda el de Park et al (1982) para el hormigón confinado y a la derecha el trilineal para el acero. Nótese que la resistencia máxima del hormigón es Draft Samper 263272875-image328.png pero Draft Samper 263272875-image329.png y se evalúa con la siguiente expresión.

Draft Samper 263272875-image330.png (3.3)


Donde, Draft Samper 263272875-image331.png es la relación volumétrica entre el refuerzo transversal y el hormigón confinado; y, Draft Samper 263272875-image332.png es la fluencia del refuerzo transversal. Por lo tanto, para el diseño se utiliza un esfuerzo máximo del hormigón de 0.85 Draft Samper 263272875-image333.png en cambio para saber cuanto mismo soporta la sección se utiliza una resistencia máxima de Draft Samper 263272875-image328.png . Esto es otro de los factores que da origen a la sobre resistencia. Las ecuaciones del modelo de Park et al (1982) son las siguientes:

Draft Samper 263272875-image334.png (3.4)
Draft Samper 263272875-image335.png (3.5)
Draft Samper 263272875-image336.png (3.6)


Donde Draft Samper 263272875-image337.png es la deformación unitaria asociada a la máxima resistencia del hormigón a compresión, vale alrededor de 0.002; Draft Samper 263272875-image338.png es el espaciamiento del refuerzo transversal; Draft Samper 263272875-image339.png es el ancho del elemento medido de borde a borde de los estribos.

En la figura 3.7, de la derecha se aprecia que para la zona de endurecimiento el esfuerzo del acero es mayor que Draft Samper 263272875-image340.png , de tal manera que por este lado también hay sobre resistencia. Aguiar (2003).

Se utilizó la versión tres del programa CEINCI1 Aguiar (2003) para encontrar la relación momento curvatura de las secciones del eje de vigas. En la figura 3.8 se indican los resultados para los apoyos (todos tienen la misma armadura). Con línea entre cortada la curva real que se obtiene y con línea continua el modelo numérico que contempla cuatro puntos, que son los siguientes:

Draft Samper 263272875-image341.png
Figura 3.8 Relación momento-curvatura para un apoyo de la viga.


  • A se obtiene este punto cuando el hormigón de la viga que trabaja a tracción llega a su máximo esfuerzo a tracción.</span>
  • Y se encuentra cuando el acero a tracción llega a la fluencia.</span>
  • S se alcanza cuando el acero a tracción se encuentra al inicio de la zona de endurecimiento.</span>
  • U se determina cuando se produce la primera de las siguientes condiciones: el hormigón llega a su máxima deformación Draft Samper 263272875-image342.png , el acero llega a su máxima deformación o se produce el pandeo del acero longitudinal.</span>

En la tabla 3.1, se indican los puntos notables para los apoyos, encontrados con el programa CEINCI1.

Tabla 3.1 Puntos notables del diagrama Draft Samper 263272875-image343.png en los apoyos.
Punto A Y S U
Curvatura

(1/m)

0.0005263 0.0086294 0.01591 0.1380
Momento

(Tm.)

3.04 21.03 21.44 32.20


La sobre resistencia Draft Samper 263272875-image344.png se halló con la siguiente ecuación.

Draft Samper 263272875-image345.png (3.7)


Donde Draft Samper 263272875-image346.png es el factor de minoración de esfuerzos, considerado 0.9 para flexión y para columnas varía entre 0.7 y 0.9 dependiendo de la carga axial. Draft Samper 263272875-image347.png es el momento último que se halla del diagrama momento curvatura Draft Samper 263272875-image348.png ; Draft Samper 263272875-image349.png es el momento de diseño. Para el ejemplo son los valores que se indican en la figura 3.2. Para el apoyo izquierdo, la sobre resistencia local vale:

Draft Samper 263272875-image350.png

En la figura 3.9 se tiene los valores de Draft Samper 263272875-image351.png para el eje de vigas analizado, se aprecia que varían entre 1.579 y 3.996.

Draft Samper 263272875-image352.png
Figura 3.9 Sobre resistencia local en eje de viga.

3.1.2 Sobre resistencia en el análisis sísmico

Lo presentado en el apartado anterior, es un ejemplo de la sobre resistencia que se tiene a nivel de diseño. De igual manera a nivel de análisis sísmico se tiene también otra fuente de sobre resistencia como sucede con la torsión accidental, en el cual se incluye unas fuerzas adicionales debido a la acción de unos momentos Draft Samper 263272875-image353.png que actúan en el centro de masas. En algunas normativas se tiene:

Draft Samper 263272875-image354.png (3.8)


Donde Draft Samper 263272875-image355.png es el cortante del piso i; Draft Samper 263272875-image356.png es la excentricidad estática del piso i; Draft Samper 263272875-image357.png es la distancia perpendicular a la dirección del análisis sísmico en el piso i., Draft Samper 263272875-image358.png es un porcentaje que varía entre el 5 y 15 % dependiendo de la normativa sísmica; Draft Samper 263272875-image359.png , son factores de amplificación dinámica por efectos de torsión ya que no es lo mismo hacer un análisis lineal elástico que un análisis no lineal. Los valores de Draft Samper 263272875-image359.png , varían entre 1 y 1.5. Draft Samper 263272875-image353.png es el momento de torsión accidental en el piso i.

Si bien es cierto que con los momentos de torsión accidental se trata de cubrir algunas hipótesis que se consideran en el análisis sísmico (i.e no se toma en consideración la componente rotacional. De la Llera y Chopra, 1994) no es menos cierto que se toman ciertos factores de seguridad.

Se puede decir también que la sobre resistencia depende también de la normativa sísmica que se aplique (i.e el CEC-2000 considera Draft Samper 263272875-image360.png . La Norma de Venezuela COVENIN-2001 recomienda valores mayores a la unidad, para ciertos casos vale la unidad).

EL CEC-2000 considera Draft Samper 263272875-image361.png de tal manera que en el aspecto de la torsión accidental se puede decir que el CEC-2000 proporciona valores bajos de sobre resistencia, es verdad que incluye además un factor Draft Samper 263272875-image362.png que toma en cuenta los efectos de torsión. Con el CEC-2000 el momento de torsión accidental en el piso i se evalúa con:

Draft Samper 263272875-image363.png (3.9)


Donde Draft Samper 263272875-image364.png es el desplazamiento lateral máximo del piso considerado y Draft Samper 263272875-image365.png es el desplazamiento promedio en los puntos extremos (pórticos extremos) de la estructura, para el piso considerado. El valor de Draft Samper 263272875-image366.png tiene que ser mayor a la unidad y menor que 3.

Para encontrar los desplazamientos laterales y poder calcular Draft Samper 263272875-image364.png y Draft Samper 263272875-image365.png se necesita conocer las fuerzas laterales pero estas se conocen únicamente del efecto de traslación. Por lo tanto Draft Samper 263272875-image366.png se debe calcular en forma sucesiva empezando con un valor Draft Samper 263272875-image367.png , para este valor se hallan las fuerzas laterales debidas a torsión accidental y las fuerzas laterales que estás generan. Con las fuerzas laterales de traslación y de torsión se halla un nuevo Draft Samper 263272875-image366.png y se repite el cálculo hasta lograr una convergencia entre dos valores consecutivos de Draft Samper 263272875-image366.png .

Lo cierto es que existe una fuente de sobre resistencia en el análisis sísmico, que será mayor en algunos códigos con respecto a otros códigos.

3.1.3 Sobre resistencia en el modelado

Normalmente en el modelado sólo se considera la presencia de las vigas, columnas y muros de corte. No se toma en consideración el aporte de la mampostería que resiste cargas verticales y horizontales de tal manera es otra fuente de sobre resistencia. Esto siempre y cuando se acople la mampostería a la estructura.

Si se compara la matriz de rigidez lateral que se tiene en un marco formado por vigas y columnas, con la matriz de rigidez lateral que se halla en ese mismo marco pero con el aporte de la mampostería se verá que la diferencia de valores es notable. La mampostería rigidiza notablemente a la estructura.

Es verdad que en algunos partes, desacoplan la mampostería de la estructura pero en otros sitios no. Ahora bien no siempre se tiene un resultado positivo al acoplar la mampostería a la estructura habrá casos en que es bueno (i.e estructura y mampostería son simétricas) pero habrá casos en que es negativo sobre todo cuando hay problemas de torsión o se forman columnas cortas. De tal manera que dependiendo de la situación se podrá tener o no sobre resistencia con la mampostería y con los elementos no estructurales.

3.2 ANTECEDENTES

Se describen varios trabajos que se han realizado en edificios de Hormigón Armado, H.A, sobre el cálculo de Draft Samper 263272875-image368.png . Osteraas y Krawinkler (1990) realizaron estudios en tres sistemas estructurales, el primero en base a pórticos distribuidos resistentes a momentos y hallaron que Draft Samper 263272875-image368.png varía entre 2.1 a 6.5 el primer valor corresponde a períodos largos, 4 s., y el segundo a períodos cortos. El segundo sistema en pórticos perimetrales resistentes, aquí, Draft Samper 263272875-image368.png varía entre 1.8 a 3.5 nuevamente el primer valor es para períodos largos, 4 s., y el segundo a períodos cortos. El tercer sistema es con pórticos con diagonales aquí Draft Samper 263272875-image368.png varía entre 2.2 a 2.8. El primer valor está asociado a un período de 0.9 s., y el segundo a 0.1 s., La geometría en planta tiene 3 ejes de columnas en el un sentido y 5 ejes de columnas en el otro sentido, se hallan ubicadas en la zona sísmica 4 del UBC y sobre un perfil de suelo S2.

Tabla 3.2 Valores de Draft Samper 263272875-image368.png en edificios de H.A.
Autor Casos estudiados Draft Samper 263272875-image368.png
Osteraas y Krawinkler (1990) Pórticos distribuidos resistentes a momentos. Zona 4 UBC, suelo S2. 2.1 – 6.5
Pórticos perimetrales resistentes 1.8 – 3.5
Pórticos con diagonales 2.2 – 2.8
Freeman (1990) Edificio de 4 pisos 2.8
Edificio de 7 pisos 4.8
Miranda y Bertero (1989) Edificios da baja altura de México 2 – 5
Cassis y Bonelli (1992) Edificios con muros y pórticos de Chile 3 – 5
Zhu et al (1992) Edificio de 4 pisos. En 3 zonas sísmicas de Canadá. 1.23 – 1.71
Uang y Maarouf (1993) Edificio de 6 pisos. Loma Prieta (1989) 1.9
Hwang y Shinozuka (1994) Edificio de 4 pisos. Zona 2 del UBC 2.2
Fischinger et al (1994) Edificios de mediana y baja altura 1.6 – 4.6
Jain and Navin (1995) Edificios de 3, 6 y 9 pisos en Zona 5 de India 2 – 3
Panagiotakos y Fardis (1998) Edificios de H.A. 2.0 – 2.5
Elnashai y Mwafi (2002) Edificios de mediana altura e irregularidad vertical 2.0 – 3.0


Freeman (1990) encontró que el Draft Samper 263272875-image369.png en una estructura de HA de 4 pisos y Draft Samper 263272875-image370.png en una de 7 pisos.

Uang y Maarouf (1993) analizaron un edificio de HA de 6 pisos, con pórticos perimetrales resistententes, que fue sacudido por el sismo de Loma Prieta de 1989 y se halló un Draft Samper 263272875-image368.png igual a 1.9.

Hwang y Shinozuka (1994) estudiaron un edificio de 4 pisos de HA situada en la zona sísmica 2 del UBC y se encontró que Draft Samper 263272875-image371.png .

En Vielma et al (2006) se presentan otros resultados de Draft Samper 263272875-image368.png en edificios de H.A. En base a todos estos trabajos, se presenta en la tabla 3.2 los resultados encontrados sobre este factor.

Al analizar los resultados de la tabla 3.2 se puede ver que el rango de variación de Draft Samper 263272875-image372.png es muy grande, se tiene valores desde 1.23 a 6.5. Por otra parte, parece ser que los valores tan altos de Draft Samper 263272875-image372.png , en algunos casos, refleja el aporte de la losa de entrepiso y de la mampostería y elementos no estructurales que normalmente no se los considera en el cálculo de Draft Samper 263272875-image372.png . Otro aspecto puede ser que ante cargas cíclicas los materiales tienen mayor resistencia que ante cargas estáticas.

3.3 RELACIÓN ENTRE DERIVA DE PISO Y DERIVA GLOBAL

En la metodología que se propone, en el siguiente apartado para hallar Draft Samper 263272875-image373.png , se necesita establecer una relación entre la deriva máxima de piso Draft Samper 263272875-image374.png , con la deriva global de la estructura Draft Samper 263272875-image375.png . Se conoce que:

Draft Samper 263272875-image376.png
(3.10)
(3.11)


Donde Draft Samper 263272875-image377.png es el desplazamiento lateral máximo en el tope de un edificio; Draft Samper 263272875-image378.png es la altura total del edificio; Draft Samper 263272875-image379.png es el desplazamiento lateral en el piso Draft Samper 263272875-image380.png ; Draft Samper 263272875-image381.png es la altura del entrepiso Draft Samper 263272875-image382.png ; Draft Samper 263272875-image383.png es la deriva del piso Draft Samper 263272875-image382.png . El mayor valor de los Draft Samper 263272875-image384.png es Draft Samper 263272875-image374.png . Se define la relación entre la deriva de piso y la deriva global de la siguiente manera:

Draft Samper 263272875-image385.png (3.12)


Para determinar el parámetro Draft Samper 263272875-image386.png se realizó un análisis no lineal en 120 estructuras de H.A. de 1 a 10 pisos, conformadas por vigas y columnas, sin muros de corte, ante la acción de 32 acelerogramas de sismos registrados en Colombia, Ecuador, Perú, Argentina y Chile, con aceleraciones máximas del suelo mayores a Draft Samper 263272875-image387.png ., siendo Draft Samper 263272875-image388.png la aceleración de la gravedad. Aguiar (2006) y Aguiar et al (2006).

En la figura 3.10 se indica los valores medios del parámetro Draft Samper 263272875-image386.png encontrado para cada grupo de edificios. Para las estructuras de un piso, Draft Samper 263272875-image389.png ya que Draft Samper 263272875-image390.png . Los mayores valores de Draft Samper 263272875-image391.png se hallan en los edificios de 6 y 7 pisos y tienen un valor de 1.66. En base a estos valores se ajustó una curva, en función del número de pisos Draft Samper 263272875-image392.png , la misma que está definida, por:

Draft Samper 263272875-image393.png (3.13)
Draft Samper 263272875-image394.png
Figura 3.10 Valores medios del parámetro Draft Samper 263272875-image395.png en función del número de pisos.

En la figura 3.11 se presenta la desviación estándar obtenida en función del número de pisos. La mayor desviación se halló en los edificios de 7 pisos, con un valor de 0.275.

Draft Samper 263272875-image396.png
Figura 3.11 Desviación estándar del parámetro Draft Samper 263272875-image395.png en función del número de pisos.


Otro trabajo, para hallar Draft Samper 263272875-image395.png es el de Miranda y Reyes (2002) quienes resuelven una viga de corte acoplada a una viga de flexión de sección variable y determinan Draft Samper 263272875-image395.png en función de Draft Samper 263272875-image397.png que es la relación entre la rigidez lateral en el tope del edificio con respecto a la rigidez lateral en la base; es función también de Draft Samper 263272875-image398.png que a su vez depende de la altura total del edificio Draft Samper 263272875-image399.png , de la relación entre la rigidez al corte Draft Samper 263272875-image400.png con respecto a la rigidez a flexión Draft Samper 263272875-image401.png .

Draft Samper 263272875-image402.png

En la tabla 3.3 se muestran algunos valores de Draft Samper 263272875-image395.png hallados con la propuesta de Miranda y Reyes (2002).

Tabla 3.3 Draft Samper 263272875-image403.png para diferentes valores de Draft Samper 263272875-image404.png y Draft Samper 263272875-image405.png usando propuesta de Miranda y Reyes (2002)
Draft Samper 263272875-image406.png Draft Samper 263272875-image407.png Draft Samper 263272875-image408.png Draft Samper 263272875-image409.png
Draft Samper 263272875-image410.png 1.39 1.34 1.28 1.24
Draft Samper 263272875-image411.png 1.46 1.40 1.33 1.25


Zavala et al (2004) al analizar estructuras de H.A., con períodos comprendidos entre 0.4 y 1.2 s., encuentran valores de Draft Samper 263272875-image395.png que están entre 1.4 y 1.6; para períodos menores a 0.4 s., los valores decrecen.

Con todo esto, los valores que se hallan con las ecuaciones ( 3.12 ) y ( 3.13 ) son parecidos a los que se han obtenido en otras partes.

3.4 METODOLOGÍA PROPUESTA PARA HALLAR Draft Samper 263272875-image2.png

Se propone encontrar Draft Samper 263272875-image2.png en función de la deriva máxima de piso Draft Samper 263272875-image412.png . Si una estructura es diseñada para un valor de Draft Samper 263272875-image413.png pequeño, tendrá desplazamientos laterales bajos ya que la estructura será bastante rígida, tendrá un cortante basal bajo por lo que Draft Samper 263272875-image2.png será alto. Con este preámbulo se propone el siguiente procedimiento para hallar Draft Samper 263272875-image2.png .

1. Se determina la curva de capacidad sísmica resistente de la estructura, que relaciona el desplazamiento lateral máximo en el tope Draft Samper 263272875-image414.png con el cortante basal Draft Samper 263272875-image415.png , mediante análisis no lineal estático, empleando la técnica del pushover. En la figura 3.12 se presenta esta curva para una determinada estructura.
2. A partir de la curva Draft Samper 263272875-image416.png se encuentra la relación Draft Samper 263272875-image417.png , para ello los valores de Draft Samper 263272875-image418.png de la curva de capacidad sísmica resistente se dividen para la altura total del edifico. En la figura 3.13 se presenta esta curva para la estructura cuya curva de capacidad es la indicada en la figura 3.12.
Draft Samper 263272875-image419.png
Figura 3.12 Curva de capacidad sísmica resistente.


3. Se halla la curva de capacidad en el formato Draft Samper 263272875-image420.png , para lo cual se obtiene Draft Samper 263272875-image421.png con la siguiente ecuación.
Draft Samper 263272875-image422.png (3.14)


Draft Samper 263272875-image423.png
Figura 3.13 Curva de capacidad que relaciona Draft Samper 263272875-image424.png .


En la figura 3.14 se presenta esta relación Draft Samper 263272875-image425.png . Al aplicar la técnica del pushover, también se puede encontrar directamente la curva que relaciona la deriva máxima de piso Draft Samper 263272875-image426.png con el cortante basal Draft Samper 263272875-image427.png .

Draft Samper 263272875-image428.png
Figura 3.14 Relación entre la deriva máxima de piso y el cortante basal.


4. Con la curva Draft Samper 263272875-image429.png se puede hallar Draft Samper 263272875-image430.png para diferentes valores de Draft Samper 263272875-image431.png , aplicando la ecuación ( 3.15 ). En la figura 6, se ilustra el cálculo para Draft Samper 263272875-image432.png .
Draft Samper 263272875-image433.png (3.15)


Donde Draft Samper 263272875-image434.png es la capacidad máxima al cortante basal que tiene una estructura, Draft Samper 263272875-image435.png es el cortante basal de diseño.

3.5 RESULTADOS DE Draft Samper 263272875-image430.png EN FUNCIÓN DEL NÚMERO DE PISOS

Se analizaron 216 edificios, de dos vanos de uno a seis pisos de H.A., con la configuración en planta indicada a la izquierda de la figura 3.15, e igual número de edificios pero de tres vanos, con las luces indicadas a la derecha de la figura 3.15.

Las dimensiones de las columnas varían desde 20/20 para las estructuras de dos vanos, para un piso, hasta 45/45 en la planta baja para las de 6 pisos; las vigas son de 20/20 para las de un piso hasta 50/30 en planta baja para las de 6 pisos. La primera dimensión es la base y la segunda la altura, de tal forma que son estructuras bastante flexibles pero responden a la forma como se construye en el Ecuador, en que las vigas no sobresalen de la losa o sobresalen muy poco. En Aguiar y Mora (2007) se detalla la geometría, cargas actuantes, armadura longitudinal y transversal de sus elementos; de las estructuras con luces de 4.0 m. Adicionalmente en el próximo capítulo se resume esta información.

Para las estructuras de 3 vanos y luces de 5.0 m., las columnas de un piso son de 30/30 y vigas de 40/20. Las columnas de seis pisos de 65/65 y las vigas de 50/60 en la planta baja. En Aguiar, Guadalupe y Mora (2007) se describe la geometría y armado de las columnas y vigas de las estructuras de 3 vanos.

Draft Samper 263272875-image436.png
Figura 3.15 Distribución en planta de edificios analizados.

Si en la curva de capacidad sísmica resistente se determina un modelo bilineal, con rigidez Draft Samper 263272875-image437.png para la zona elástica y Draft Samper 263272875-image438.png para el rango no lineal; se define Draft Samper 263272875-image439.png . Los valores promedios de Draft Samper 263272875-image440.png para las estructuras analizadas se indican en la tabla 3.4.

Tabla 3.4 Valores medios del parámetro Draft Samper 263272875-image441.png
Número de Pisos Dos vanos Tres vanos
1 0.152 0.077
2 0.096 0.057
3 0.061 0.058
4 0.066 0.063
5 0.063 0.075
6 0.056 0.063


En la figura 3.16 se indica la variación de Draft Samper 263272875-image442.png para una deriva de piso del 0.5 %, para las 432 estructuras analizadas. Se aprecia que varía desde 1.25 hasta 3.30, son valores relativamente altos porque la deriva de piso es baja.

En base a los resultados de la figura 3.16, se encontró los valores promedios, los mismos que se presentan en la figura 3.17, para las estructuras de 2 vanos y para las estructuras de 3 vanos.

En las estructuras de 1 piso y 2 vanos, el valor medio de Draft Samper 263272875-image443.png , es prácticamente el doble que el valor medio de las estructuras de 1 piso y 3 vanos. Por este motivo es la diferencia apreciable que existe en los valores de Draft Samper 263272875-image444.png para los restantes pisos el valor de Draft Samper 263272875-image443.png es semejante en las estructuras de 2 vanos y de 3 vanos. En estas condiciones se aprecia que las estructuras de 3 vanos tienen mayor Draft Samper 263272875-image444.png que las de 2 vanos.

Draft Samper 263272875-image445.png
Figura 3.16 Resultados obtenidos para derivas de piso del 0.5%
Draft Samper 263272875-image446.png
Figura 3.17 Valores medios de Draft Samper 263272875-image447.png en las estructuras de 2 vanos y 3 vanos. Para Draft Samper 263272875-image448.png .


En la figura 3.18 se muestran los valores de Draft Samper 263272875-image449.png para una deriva de piso de 1.0%. Se aprecia que la dispersión de los valores se ha reducido en comparación a los obtenidos para 0.5% de Draft Samper 263272875-image450.png . Con estos valores, se halló los valores medios, los mismos que se indican en la figura 3.19 para las estructuras de 2 vanos y de 3 vanos; en esta gráfica ya no se aprecia que para 3 vanos el valor de Draft Samper 263272875-image449.png es mayor. Concretamente para las estructuras de 6 pisos se tiene mayores valores en las estructuras de 2 vanos que en las de 3 vanos a pesar de que el valor de Draft Samper 263272875-image451.png es mayor en la de tres vanos.

Draft Samper 263272875-image452.png
Figura 3.18 Resultados obtenidos para derivas de piso del 1.0%
Draft Samper 263272875-image453.png
Figura 3.19 Valores medios de Draft Samper 263272875-image447.png en las estructuras de 2 vanos y 3 vanos. Para Draft Samper 263272875-image454.png


En la figura 3.20 se presentan los valores hallados de Draft Samper 263272875-image447.png para Draft Samper 263272875-image455.png . Como era de esperarse la dispersión de valores se ha reducido considerablemente desde 1.05 hasta 1.90. De igual manera, en la figura 3.21 se indican los valores medios y cada vez se observa que no se cumple que conforme se incrementa el número de vanos el valor de Draft Samper 263272875-image447.png se incrementa. Es más únicamente para los edificios de 5 pisos se tiene mayor de Draft Samper 263272875-image447.png en las estructuras de 3 vanos.

En las figuras 3.22 y 3.23 se indica algo similar para una deriva de piso del 2%, con un comportamiento similar al encontrado para Draft Samper 263272875-image456.png

Draft Samper 263272875-image457.png
Figura 3.20 Resultados obtenidos para derivas de piso del 1.5%
Draft Samper 263272875-image458.png
Figura 3.21 Valores medios de Draft Samper 263272875-image447.png en las estructuras de 2 vanos y 3 vanos. Para Draft Samper 263272875-image459.png


Uno de los objetivos del estudio era ver si el número de vanos influye en el valor de Draft Samper 263272875-image460.png pero no se encontró ninguna regla. En las estructuras de 5 pisos se tiene mayor Draft Samper 263272875-image461.png en las estructuras de 3 vanos pero en las de tres pisos sucede lo contrario y en las de 6 pisos son prácticamente iguales. De tal manera que no se halló, en el estudio, una relación que permita afirmar que a mayor número de vanos se tiene mayor Draft Samper 263272875-image461.png .

Draft Samper 263272875-image462.png
Figura 3.22 Resultados obtenidos para derivas de piso del 2.0 %
Draft Samper 263272875-image463.png
Figura 3.23 Valores medios de Draft Samper 263272875-image447.png en las estructuras de 2 vanos y 3 vanos. Para Draft Samper 263272875-image464.png

3.6 RESULTADOS DE Draft Samper 263272875-image430.png EN FUNCIÓN DE Draft Samper 263272875-image3.png

En la figura 3.24 se presentan los valores medios de Draft Samper 263272875-image465.png encontrados para cada grupo de edificios, de un piso, de dos pisos, hasta edificios de seis pisos y para los casos de estructuras con dos vanos y tres vanos. Pero ahora se relaciona Draft Samper 263272875-image465.png con Draft Samper 263272875-image466.png . Los valores medios de Draft Samper 263272875-image465.png encontrados varían entre 1.06 para Draft Samper 263272875-image467.png hasta 2.4 para Draft Samper 263272875-image468.png .

Otro de los objetivos, era ver como varía la sobre resistencia en función de la deriva de piso máxima y esto se lo ve muy claro en la figura 3.24 que a menor deriva de piso esperada en la estructura, mayor sobre resistencia.

Draft Samper 263272875-image469.png
Figura 3.24 Relación deriva de piso y sobre resistencia.

3.7 SOBRE RESISTENCIA LOCAL

Se diseñó 6 edificios de 1 a 6 pisos con la configuración en planta indicada a la izquierda de la figura 3.15, a estos edificios se denominará de 2 vanos, las dimensiones de las columnas se indica en la parte superior de los casilleros de la tabla 3.5 y las dimensiones de las vigas se muestra dentro de un paréntesis en la parte inferior de los casilleros de la tabla 3.5 y en la última columna de esta tabla se indica la carga muerta considerada, que es igual en todos los pisos.

Igual número de edificios se diseñó con la configuración en planta mostrada a la derecha de la figura 3,15, a estos edificios se los identifica como de 3 vanos. Las dimensiones de las columnas y vigas, se indica en la tabla 3.6, en el mismo formato que los edificios de 2 vanos.

Los edificios están situados en la zona de mayor peligrosidad sísmica del Ecuador, que está caracterizada por una aceleración máxima del suelo en roca Draft Samper 263272875-image470.png , sobre un perfil de suelo S2. Se calculó para una carga viva de 0.2 T/m2, para el análisis sísmico se consideró el 25% de la carga viva y un factor de reducción de las fuerzas sísmicas Draft Samper 263272875-image471.png igual a 4.5 para todos los edificios.

Tabla 3.5 Dimensiones de columnas, vigas y carga muerta en edificios de 2 vanos.
EDIFICIO BASE Y ALTURA DE COLUMNAS (superior) Y VIGAS (inferior) (cm.) CARGA T/m2
1 nivel 2 nivel 3 nivel 4 nivel 5 nivel 6 nivel
1 piso 30/30

(25/30)

0.5
2 pisos 30/30

(25/30)

30/30

(25/30)

0.5
3 pisos 40/40

(25/35)

35/35

(25/30)

30/30

(25/30)

0.6
4 pisos 40/40

(30/35)

40/40

(30/35)

30/30

(25/30)

30/30

(25/30)

0.6
5 pisos 45/45

(35/45)

40/40

(30/35)

40/40

(30/35)

30/30

(25/30)

30/30

(25/30)

0.7
6 pisos 45/45

(35/45)

45/45

(35/45)

40/40

(30/35)

40/40

(30/35)

30/30

(25/30)

30/30

(25/30)

0.7


Las luces de los edificios de 2 vanos son de 4.0 m., en los dos sentidos y de los edificios de 3 vanos son de 5.0 m., como se aprecia en la figura 3.15. La altura de los entrepisos es de 3.0 m., cada uno. El hormigón utilizado tiene una resistencia Draft Samper 263272875-image472.png y el acero un límite de fluencia Draft Samper 263272875-image473.png . Las combinaciones de carga utilizadas son las del ACI 318S-05 y se indican a continuación.

Draft Samper 263272875-image474.png (3.16)


Donde Draft Samper 263272875-image475.png son las combinaciones de carga última, muerta, viva y sísmica. Las dimensiones de los elementos estructurales son las que se utilizan normalmente en el diseño de edificios de esas características en el Ecuador. Se utilizó Draft Samper 263272875-image476.png para pasar del espectro elástico al inelástico.

Tabla 3.6 Dimensiones de columnas, vigas y carga muerta en edificios de 3 vanos.
EDIFICIO BASE Y ALTURA DE COLUMNAS (superior) Y VIGAS (inferior) (cm.) CARGA T/m2
1 nivel 2 nivel 3 nivel 4 nivel 5 nivel 6 nivel
1 piso 30/30

(30/40)

0.5
2 pisos 35/35

(30/40)

30/30

(30/40)

0.5
3 pisos 40/40

(30/45)

35/35

(30/40)

30/30

(30/40)

0.6
4 pisos 45/45

(30/45)

40/40

(30/45)

35/35

(30/40)

30/30

(30/40)

0.6
5 pisos 50/50

(35/50)

45/45

(30/45)

40/40

(30/45)

35/35

(30/40)

30/30

(30/40)

0.7
6 pisos 55/55

(35/50)

50/50

(35/50)

45/45

(30/45)

40/40

(30/45)

35/35

(30/40)

30/30

(30/40)

0.7


El análisis sísmico se realizó utilizando un modelo de losa rígida. Por lo tanto, se consideró tres grados de libertad por planta, dos componentes de desplazamiento horizontal y una rotación de piso. Se aplicó el Método de Superposición Modal con un espectro inelástico del CEC-2000 para un perfil de suelo S2 y un valor Draft Samper 263272875-image477.png Los resultados generales del análisis sísmico se indican en la tabla 3.7.

En la tabla 3.7 se indica el período fundamental, calculado con inercias agrietadas. El CEC-2000 estipula que la rigidez a flexión de las vigas sea Draft Samper 263272875-image478.png y que la rigidez de las columnas Draft Samper 263272875-image479.png , donde Draft Samper 263272875-image480.png es la rigidez a flexión obtenido con inercias gruesas. Se muestra además, el cortante basal Draft Samper 263272875-image481.png en el centro de masas y por último se presenta la deriva de piso máxima expresada en porcentaje, nótese que las derivas de piso son bastante altas, esto se debe al factor Draft Samper 263272875-image482.png que es bajo.

Tabla 3. 7 Resultados generales del análisis sísmico
Edificio Dos Vanos Tres vanos
Draft Samper 263272875-image483.png

(s)

Draft Samper 263272875-image484.png

(T.)

Draft Samper 263272875-image485.png

(%)

Draft Samper 263272875-image486.png

(s)

Draft Samper 263272875-image487.png

(T.)

Draft Samper 263272875-image488.png

(%)

1 0.2584 9.856 0.66 0.3195 54.9484 0.94
2 0.5152 17.9677 1.39 0.5238 109.3717 1.62
3 0.6815 23.3769 1.41 0.7540 85.6776 1.58
4 0.8668 28.8271 1.54 0.9054 101.9626 1.54
5 1.0339 39.9356 1.66 1.1069 144.4732 1.56
6 1.1304 46.6475 1.69 1.2264 160.6271 1.59


Se diseñó para que las estructuras tengan una capacidad de ductilidad de 4. Con esta información se halló el factor de resistencia por ductilidad propuesto por Aguiar, Romo y Aragón (2007) descrito en el capítulo anterior; se encontró la sobre resistencia empleando ecuación (3.15) y el factor de redundancia se obtuvo de acuerdo a lo estipulado por el ATC-95, tabla 3.8, en que se penaliza el factor Draft Samper 263272875-image489.png con valores menores a la unidad si la estructura tiene menos de 4 ejes de columnas. Con estos tres factores se halló el factor Draft Samper 263272875-image490.png , los resultados se indican en la figura 3.25, hay un solo valor que es mayor a 4.5 que fue la cantidad que se utilizó en el diseño y los restantes están bajo 4.5.

Tabla 3.8 Valores propuesto de Draft Samper 263272875-image491.png por el ATC-1995
Número de ejes de columnas Factor Draft Samper 263272875-image491.png
2 0.71
3 0.86
4 1.00


El valor de Draft Samper 263272875-image492.png que interviene en la ecuación (3.15) se halló mediante la técnica del pushover, empleando el programa DISIPA, Aguiar (2007) que trabaja con el modelo de hormigón confinado de Park et al (1982) y con el modelo trilineal para el acero, indicados en la figura 3.7

Draft Samper 263272875-image493.png
Figura 3.25 Factor Draft Samper 263272875-image494.png encontrado en el estudio.

3.7.1 Resultados generales

A manera de ejemplo, en la figura 3.26 se presentan los valores de Draft Samper 263272875-image495.png hallados en un pórtico central de un edificio de cinco pisos y dos vanos. Valores similares y comportamiento parecido se obtuvieron en los demás pórticos de los edificios analizados.

Se aprecia que los valores de Draft Samper 263272875-image495.png de las columnas son mayores que los de las vigas. De igual manera a medida que sube el número de piso el valor de Draft Samper 263272875-image495.png disminuye, así los valores de Draft Samper 263272875-image495.png son mayores en el primer piso con relación a los encontrados en el quinto piso. En las vigas los valores de Draft Samper 263272875-image495.png son más altos en los primeros pisos que en los últimos pisos. Todo esto se debe en parte a que en los primeros se tienen mayores secciones.

No se diseñaron los edificios esperando tener un comportamiento determinado del factor Draft Samper 263272875-image495.png , se lo hizo como normalmente diseña un proyectista estructural, tratando de tener un armado uniforme y que las secciones de los elementos estructurales se mantengan en todo el piso y si es posible que en dos pisos consecutivos tengan las mismas dimensiones para utilizar los mismos encofrados.

Una vez hallados los valores de Draft Samper 263272875-image495.png en cabeza y pie de columna se obtuvo un valor promedio de todo el pórtico. Estos valores se indican en la tabla 3.9 y en base a estos valores medios se presentan las siguientes figuras. En la primera columna de la tabla se indica el número de pisos de la estructura que se analiza, en la segunda la ubicación del pórtico, si es central o lateral y en las restantes columnas los valores de Draft Samper 263272875-image496.png , primero del edificio de dos vanos y luego del de tres vanos.

Draft Samper 263272875-image497.png
Figura 3.26 Valores de Draft Samper 263272875-image496.png en pórtico central de edificio de 5 pisos y 2 vanos.
Tabla 3.9 Valores medios de Draft Samper 263272875-image496.png .
Pisos Pórtico Dos vanos Tres vanos
Vigas Columnas Vigas Columnas
1 Central 1.6947 1.6444 1.7300 1.1300
Lateral 2.1519 2.3702 2.3500 1.1400
2 Central 1.5214 1.4134 1.4600 1.1300
Lateral 2.1067 1.5410 2.0600 1.2017
3 Central 1.5518 2.1207 1.4100 1.3800
Lateral 2.1424 2.3332 1.9300 1.3069
4 Central 1.3950 2.3590 1.1400 2.4400
Lateral 1.8430 2.5820 1.1700 2.6590
5 Central 1.5475 2.4162 1.4100 2.030
Lateral 2.2454 2.6257 1.9447 2.1063
6 Central 1.4698 2.4777 1.3090 2.4614
Lateral 1.5900 2.6666 1.8600 2.5500

3.7.2 Sobre resistencia local en función del período

En la figura 3.27 se presentan los valores medios, en vigas y columnas de Draft Samper 263272875-image498.png , en función del período para los Pórticos Centrales y para los Pórticos Laterales. Se aprecia que los P. Laterales tienen mayores valores de Draft Samper 263272875-image498.png con respecto a los P. Centrales, debido a que todas las columnas y vigas de una misma planta tienen la misma sección transversal. La sobre resistencia promedio en vigas varía entre 1.17 y 2.35 en columnas varía entre 1.13 y 2.66.

Draft Samper 263272875-image499.png
Figura 3.27 Variación de Draft Samper 263272875-image498.png en función del período.

Tanto para vigas como para columnas se tienen valores medios, de Draft Samper 263272875-image498.png para los P. Centrales y P. Laterales, ahora bien al promediar estos valores se halla el valor medio para vigas y columnas del edificio. Estos valores se muestran en la figura 3.28, en función del período de vibración, aquí se aprecia que la tendencia de Draft Samper 263272875-image498.png en vigas es decreciente en cambio en columnas es ascendente.

3.7.3 Variación de la sobre resistencia global

En la tabla 3.10 se indica Draft Samper 263272875-image500.png hallado con la ecuación (3.15) para los P. Centrales y P. Laterales de las estructuras de dos y tres vanos. Con estos valores se halló la figura 3.29 que relaciona en la parte superior Draft Samper 263272875-image500.png con la deriva máxima de piso Draft Samper 263272875-image501.png y en la parte inferior con el período fundamental Draft Samper 263272875-image502.png obtenido con inercias agrietadas.

Draft Samper 263272875-image503.png
Figura 3.28 Valores medios de Draft Samper 263272875-image504.png en vigas y columnas.
Tabla 3.10 Sobre resistencia global.
Edif.

Pisos

Pórtico Dos Vanos Tres Vanos
Draft Samper 263272875-image505.png Promedio Draft Samper 263272875-image506.png Promedio
1 Central 1.83 2.435 1.20 1.36
Lateral 3.04 1.52
2 Central 1.00 1.22 1.00 1.00
Lateral 1.44 1.00
3 Central 1.28 1.44 1.00 1.215
Lateral 1.60 1.43
4 Central 1.00 1.18 1.00 1.145
Lateral 1.36 1.29
5 Central 1.00 1.00 1.00 1.08
Lateral 1.00 1.16
6 Central 1.00 1.00 1.00 1.00
Lateral 1.00 1.00


Draft Samper 263272875-image507.png
Figura 3.29 Sobre resistencia en función de deriva de piso y del período.
Draft Samper 263272875-image508.png
Figura 3.30 Comparación de sobre resistencia local y global.

En la figura 3.29 se aprecia que si existe relación entre Draft Samper 263272875-image509.png y la deriva de piso máxima Draft Samper 263272875-image510.png pero una mejor relación se aprecia entre Draft Samper 263272875-image509.png y el período fundamental de vibración Draft Samper 263272875-image511.png . En los dos casos se aprecia que a medida que aumenta Draft Samper 263272875-image510.png o aumenta Draft Samper 263272875-image512.png el valor de Draft Samper 263272875-image509.png disminuye. A pesar de que se tienen 24 puntos en cada gráfica no se realiza ningún ajuste por que los edificios son completamente regulares y con vanos iguales. Lo importante del estudio es ver las tendencias que se tienen y el rango de valores.

En base a los valores medios de Draft Samper 263272875-image513.png , columnas cuatro y seis de tabla 3.10 se halló el factor de reducción de las fuerzas sísmicas y se graficó también en la figura 3.30, donde se compara la sobre resistencia local Draft Samper 263272875-image514.png promedio de cada edificio con la sobre resistencia global Draft Samper 263272875-image513.png . Se observa que los valores de Draft Samper 263272875-image513.png son menores a los valores de Draft Samper 263272875-image515.png .

3.8 CONCLUSIONES

La investigación que se ha presentado en este capítulo puede dividirse en dos partes, la una en que se encuentra la sobre resistencia global en 432 edificios y la otra en que se halla la sobre resistencia local y global en 12 edificios.

En la primera parte, se ha encontrado la sobre resistencia en función de la deriva de pisos en 216 edificios de hormigón armado de 2 vanos y en 216 edificios de 3 vanos y de igual material, con el propósito de ver si el número de vanos influye en la sobre resistencia y con el objetivo de ver como varía la sobre resistencia en función de la deriva de piso. Del estudio realizado se desprenden las siguientes conclusiones:

  • No existe una relación clara que indique que a mayor número de vanos, mayor será el valor de la sobre resistencia.
  • Tampoco existe una relación clara que lleve a pensar que a mayor valor de la relación entre la rigidez post fluencia con relación a la rigidez elástica, en definitiva a mayor valor de Draft Samper 263272875-image516.png se tenga mayor sobre resistencia.
  • Se aprecia que para una deriva de piso del 0.5% el valor de la sobre resistencia está alrededor de 2, y para una deriva de piso del 1.0% éste valor está alrededor de 1.4.

Para la segunda parte, se diseñaron 12 edificios de hormigón armado para la zona IV del CEC-2000 y se obtuvo la sobre resistencia a nivel local de vigas y columnas y a nivel global de toda la estructura. Del estudio realizado se desprenden las siguientes conclusiones:

  • La sobre resistencia Draft Samper 263272875-image517.png , en vigas varió de 1.17 a 2.35 y en columnas de 1.13 a 2.66. A nivel global la sobre resistencia, Draft Samper 263272875-image518.png varío desde 1.0 hasta 2.43.
  • Evidentemente existe una relación entre la sobre resistencia, Draft Samper 263272875-image519.png y la deriva máxima de piso. De igual forma que hay una relación entre Draft Samper 263272875-image519.png y el período fundamental. A mayor deriva máxima de piso o mayor período de la estructura el valor de Draft Samper 263272875-image519.png disminuye.
  • La sobre resistencia global Draft Samper 263272875-image519.png es menor que la sobre resistencia local Draft Samper 263272875-image517.png .

REFERENCIAS

34. ACI 318S-05, (2005), Requisitos de Reglamento para Concreto Estructural y Comentario (ACI 318 S-05) Versión en Español del ACI. American Concrete Institute. Fundación Capítulo Ecuador del ACI, Quito.
35. Aguiar R., Romo M., Aragón E., (2007), “Estimación de demandas inelásticas de desplazamiento en osciladores bilineales sujetos a movimientos sísmicos en Ecuador”, IX Encuentro de Investigadores y Profesionales Argentinos de la Construcción, EIPAC, Salta, 2007.
36. Cassis J., and Bonelli P., (1992), “Lessons learned from the march 3, 1985 Chile earthquake and related research”, Proc., 10th World Conf. on Earthquake Engineering. A. Balkema, Rotterdam, The Netherlands, Vol X, 5675-5680.
37. Bertero V., Anderson J., Krawinkler H., and Miranda E., (1991), “Design guidelines for ductility and drift limits: Review of state of the practice and of the art on ductility and drift based earthquake resistant design of buildings”, Report on Task 1, A CUREe-Kajima Research Report.
38. Freeman S., (1990), “On the correlation of code forces to earthquake demands”, Proc., 4th U.S-Japan Worshop on improvement of Building Structural Des. and Constr. Practices. Applied Technology Council, Redwood City, California.
39. Elnashai A., and Mwafi A., (2002), “Overstreght and force reduction factors of multistory reinforced concrete buildings”, Structural design of tall buildings. 11, 329-351.
40. Frangopol D., and Curley J., (1987), “Effects of damage and redundancy on structural reliability”, Journal of Structural Engineering, 113 (7), 1533-1549.
41. Fischinger M., Fajfar P., and Vidic T., (1994), “ Factors contributing to the response reduction”, 5th US NCEE, 97-106, Chicago.
42. Furata H., Shinozuka M., and Yao J., (1985), “Probabilistic and fuzzy interpretation of redundancy in structural systems”, Proc. Ist. In. Fuzzy Systems Associated Congress, Palma de Mallorca, Spain.
43. Husain M., and Tsopelas P., (2004), “Measures of Structural Redundancy in Reinforced Concrete Buildings. I: Redundancy Indices”, Journal of Structural Engineering, 130 (11), 1651- 1658.
44. Hwang y Shinozuka (1994), “Effect of large earthquake on the design of buildings in eastern United States”., Proceedings 5th U.S. National Conference on Earthquake Engineering. Earthquake Engineering Reseach Institute, 223-231, Oakland.
45. Jain S., and Navin R., (1995), “Seismic overstrength in reinforced concrete frames”, Journal of Structural Engineering, 121 (3), 580-585.
46. Meli R., and Ávila J., (1988), “Analysis of building response”, Earthquake Spectra, 5, 1-18.
47. Miranda E., and Bertero V., (1989), “Response modification factors for earthquake resistant design of short period buildings”, Earthquake Spectra, 5 (1), 121-143.
48. Miranda E., (1997), Strength reduction factors in performance base design, Report UCB/EERC-97/05, University of California, Berkeley.
22. Miranda E., and Bertero V., (1994), “Evaluation of strength reduction factors for earthquake resistant design”, Earthquake Spectra, 10 (2), 357-379.
24. Nassar A., and Krawinkler H., (1991), Seismic demands for SDOF and MDOF systems, John Blume Earthquake Engineering. Ctr. Dept. of Civil Engineering, Rep. 95, Stanford University, Stanford, California.
25. Newmark N. (1962), An evaluation of scaling methods for earthquake response spectra, Civil Engineering Studies, Structural Research Series, Department of Civil Engineering, University of Illinois, 449, Urbana, Illinois.
26. Newmark N., and Hall W., (1973), “Seismic design criteria for nuclear reactor facilities”, Building Practices for Disaster Mitigation, National Bureau of Standards, 46, 209-236. U.S. Department of Commerce.
27. Newmark N., and Hall W., (1982), Earthquake Spectra and Design, California United States of America. Earthquake Engineering Research Institute.
28. Osteraas J., y Krawinkler (1990), Strength and ductility considerations on seismic design., Rep 90, the John Blume Earthquake Engineering Center. Stanford University.
29. Park R., Priestley M. and Gill W. (1982), “Ductility of Square Confined Concrete Columns”, Journal of Structural Division, ASCE, 108 (4), 929-950.
30. Riddell R., and Newmark N., (1979), Statistical Analysis of the response of nonlinear systems subjected to earthquakes, Civil Engineering Studies, Structural Research Series, Department of Civil Engineering, University of Illinois, 468, Urbana, Illinois.
31. Tsopelas P., and Husain M., (2004), “Measures of Structural Redundancy in Reinforced Concrete Buildings II: Redundancy Response Modification Factor Draft Samper 263272875-image520.png , Journal of Structural Engineering, 130 (11), 1659-1666.
32. Uang C., y Maarouf A., (1993), “Safety and economy considerations of UBC seismic force reduction factors”. Proceedings National Earthquake Conference. Central United States Earthquake Consortium, 121-130, Mempis.
33. Zhu T., Tso W., and Heidebrecht A., (1992), “Seismic performance of reinforced concrete ductile moment-resisting frame buildings located in different seismic regions”, Can. J. Civ. Engrg., 19 (4), 688-710.

CAPÍTULO 4. FACTOR DE REDUNDANCIA

RESUMEN

Se obtiene el factor de redundancia en 216 edificios de hormigón armado, de uno a seis pisos, de dos vanos y en 216 edificios de igual número de pisos pero de tres vanos. Los materiales utilizados y las dimensiones de los elementos estructurales corresponden a los que con frecuencia se utilizan en el Ecuador. Se halla este factor siguiendo la metodología propuesta por Tsopelas y Husain (2004) que tiene dos componentes una determinista y una probabilista. Luego se presenta una metodología para hallar el factor de redundancia desde un punto vista determinista. Los resultados se presentan por separado para los edificios de 2 vanos por un lado y para los edificios de 3 vanos por otro, con el objeto de ver como influye el número de vanos en el factor de redundancia; luego se presenta en un solo gráfico todos los valores encontrados.

Se encuentra también el factor de redundancia en función de la ductilidad por curvatura de vigas y en función de la ductilidad por curvatura de columnas. Para el efecto en cada una de las estructuras analizadas se obtuvo la ductilidad por curvatura promedio tanto en vigas como en columnas a partir de la ductilidad por curvatura hallada en los extremos del elemento.

4.1 INTRODUCCIÓN

El factor de redundancia Draft Samper 263272875-image521.png mide la capacidad de incursionar la estructura en el rango no lineal. La capacidad de una estructura en redistribuir las cargas de los elementos con mayor solicitación a los elementos con menor solicitación. Se evalúa como la relación entre el cortante basal máximo Draft Samper 263272875-image522.png con respecto al cortante basal cuando se forma la primera articulación plástica Draft Samper 263272875-image523.png .

Draft Samper 263272875-image524.png (4.1)

Con esta definición el factor de redundancia será siempre mayor que la unidad, ya que una estructura que no tenga redundancia y en la cual se forme la primera rótula plástica, y colapse se tendrá que Draft Samper 263272875-image525.png .

Tsopelas y Husain (2004) proponen el cálculo del factor de redundancia Draft Samper 263272875-image526.png en base a dos índices, el uno de naturaleza determinística Draft Samper 263272875-image527.png conocido como índice de resistencia y el otro de carácter probabilística Draft Samper 263272875-image528.png que es el índice de variación de redundancia. En éste artículo estos dos índices se obtienen mediante un análisis no lineal estático en estructuras planas, aplicando la técnica del Pushover. Aguiar (2003, 2007).

El índice de resistencia se evaluó con la ecuación ( 4.1 ) pero considerando que el valor Draft Samper 263272875-image529.png es el cortante a nivel de fluencia Draft Samper 263272875-image530.png , el mismo que se obtuvo encontrando un modelo bilineal de la curva de capacidad sísmica resistente que relaciona el desplazamiento lateral máximo Draft Samper 263272875-image531.png con el cortante basal Draft Samper 263272875-image532.png . Se empleó el criterio de igual área para determinar el punto de fluencia Draft Samper 263272875-image533.png . Aguiar (2002). Luego:

Draft Samper 263272875-image534.png (4.2)


Para el cálculo del índice de variación de redundancia Draft Samper 263272875-image535.png , en dos dimensiones Husain y Tsopelas (2004) deducen la siguiente ecuación:

Draft Samper 263272875-image536.png (4.3)


Donde Draft Samper 263272875-image537.png es el número de rótulas plásticas para el mecanismo de colapso considerado; Draft Samper 263272875-image538.png es el coeficiente de correlación promedio de las deformaciones.

Draft Samper 263272875-image539.png (4.4)


Donde Draft Samper 263272875-image540.png es el coeficiente de correlación entre los momentos Draft Samper 263272875-image541.png . Siendo Draft Samper 263272875-image542.png el momento de fluencia del elemento estructural donde se formó la rótula plástica Draft Samper 263272875-image543.png .

El valor de Draft Samper 263272875-image544.png varía desde Draft Samper 263272875-image545.png que corresponde a un sistema que tiene mucha redundancia estructural hasta Draft Samper 263272875-image546.png que es un sistema que no tiene redundancia. En efecto si Draft Samper 263272875-image547.png , la ecuación (4.3) vale la unidad, luego no tiene redundancia.

En la figura 4.1 se indican valores de Draft Samper 263272875-image544.png para valores del coeficiente de correlación promedio de Draft Samper 263272875-image548.png Se aprecia que a medida que Draft Samper 263272875-image549.png aumenta el valor de Draft Samper 263272875-image544.png aumenta es decir el sistema es menos redundante. Valores altos de Draft Samper 263272875-image549.png implican que hay una gran correlación entre los momentos Draft Samper 263272875-image541.png y valores bajos de Draft Samper 263272875-image549.png significa que hay poca correlación entre los momentos y se incrementa su redundancia debido a su efecto probabilístico.

Draft Samper 263272875-image550.png
Figura 4.1 Valores de Draft Samper 263272875-image552.png en función del número de rótulas plásticas.

En base a estos dos índices, Tsopelas y Husain (2004) determinan el factor de redundancia Draft Samper 263272875-image553.png con la siguiente ecuación:

Draft Samper 263272875-image554.png (4.5)


Donde Draft Samper 263272875-image555.png es el coeficiente de variación de las fuerzas y varía entre 0.08 y 0.14; Draft Samper 263272875-image556.png es un factor de forma de la resistencia que varía entre 1.5 y 2.5. De tal manera que Draft Samper 263272875-image557.png varía entre 0.12 y 0.35. Tsopelas y Husain (2004).

4.2 TRABAJO REALIZADO

En la figura 4.2 se indican las plantas de los 432 edificios analizados, de uno a seis pisos. De dos vanos se tuvieron 216 edificios y de tres vanos igual cantidad. Son las mismas estructuras que se describieron en el capítulo 3. Las dimensiones de las columnas y vigas de las estructuras de 2 y 3 vanos se indican en las tablas 4.1 y 4.2, respectivamente. En la última columna se presenta la carga vertical.

Para cada caso de armadura longitudinal se consideró tres casos de refuerzo transversal en columnas, el primero compuesto por estribos simples, el segundo por estribo más gancho y el tercero por estribo doble. El diámetro de los estribos tanto de vigas como de columnas es de 8 mm., y el espaciamiento es de 10 cm., en los extremos del elemento y 20 cm., en el centro de luz.

Tanto las dimensiones de las columnas y vigas, como la armadura longitudinal y transversal considerada, corresponden a la forma como se construye normalmente en el Ecuador. Se utilizó un hormigón con Draft Samper 263272875-image558.png y una cero con Draft Samper 263272875-image559.png .

Draft Samper 263272875-image436.png
Figura 4.2 Distribución en planta de edificios analizados.
Tabla 4.1 Dimensiones de columnas, vigas y carga muerta en edificios de 2 vanos.
EDIFICIO BASE Y ALTURA DE COLUMNAS (superior) Y VIGAS (inferior) (cm.) CARGA

MUERTA T/m2

1 nivel 2 nivel 3 nivel 4 nivel 5 nivel 6 nivel
1 piso 20/20

(20/20)

0.4
2 pisos 25/25

(25/20)

25/25

(25/20)

0.4
3 pisos 30/30

(30/30)

30/30

(30/30)

30/30

(30/30)

0.5
4 pisos 40/40

(40/30)

40/40

(40/30)

40/40

(40/30)

40/40

(40/30)

0.5
5 pisos 45/45

(50/30)

45/45

(50/30)

40/40

(45/30)

40/40

(45/30)

35/35

(40/30)

0.7,0.63, 0.567
6 pisos 45/45

(50/30)

45/45

(50/30)

40/40

(45/30)

40/40

(45/30)

35/35

(40/30)

35/35

(40/30)

0.7,0.63, 0.567


Se halló la curva de capacidad sísmica resistente, que relaciona el cortante basal con el desplazamiento lateral máximo en el tope, empleando el programa DISIPA. Aguiar (2007). Este programa trabaja con el modelo trilineal para el acero y con el modelo de hormigón confinado propuesto por Park et al (1982). Las cargas incrementales se aplicaron en forma proporcional al primer modo de vibración.

Tabla 4.2 Dimensiones de columnas, vigas y carga muerta en edificios de 3 vanos.
EDIFICIO BASE Y ALTURA DE COLUMNAS (superior) Y VIGAS (inferior) (cm.) CARGA T/m2
1 nivel 2 nivel 3 nivel 4 nivel 5 nivel 6 nivel
1 piso 30/30

(40/20)

0.5
2 pisos 40/40

(40/20)

40/40

(40/20)

0.55
3 pisos 50/50

(40/30)

50/50

(40/30)

45/45

(40/30)

0.6,0.6,

0.55

4 pisos 55/55

(40/40)

55/55

(40/40)

50/50

(40/30)

50/50

(40/30)

0.65,0.65

0.55,0.55

5 pisos 60/60

(40/50)

60/60

(40/50)

55/55

(40/30)

55/55

(40/30)

50/50

(40/30)

0.7,0.7,

0.65,0.60

6 pisos 65/65

(50/60)

65/65

(50/60)

60/60

(40/50)

60/60

(40/50)

55/55

(40/30)

55/55

(40/30)

0.75,0.65,

0.60


Tabla 4.3 Armadura longitudinal considerada en el estudio.
Caso Cuantía de columna

Draft Samper 263272875-image560.png en %

Cuantía de armadura inferior de viga

Draft Samper 263272875-image560.png en %

Cuantía de la armadura superior de viga

Draft Samper 263272875-image560.png en %

1 1.0 0.50 0.75
2 1.0 0.75 1.00
3 1.0 1.00 1.25
4 1.0 1.25 1.50
5 1.5 0.50 0.75
6 1.5 0.75 1.00
7 1.5 1.00 1.25
8 1.5 1.25 1.50
9 2.0 0.50 0.75
10 2.0 0.75 1.00
11 2.0 1.00 1.25
12 2.0 1.25 1.50


4.3 VARIACIÓN DE Draft Samper 263272875-image4.png Y Draft Samper 263272875-image5.png CON EL NÚMERO DE PISOS

En la figura 4.3 se muestra la relación entre el número de pisos y el índice de variación de redundancia. Se aprecia que mientras más pisos tiene una estructura el valor de Draft Samper 263272875-image561.png es menor lo que implica que la estructura tiene mayor factor de redundancia Draft Samper 263272875-image562.png .

El efecto probabilístico que se presenta en un mayor número de elementos produce un incremento de la redundancia debido a que disminuye Draft Samper 263272875-image563.png conforme se tienen construcciones de mayor número de pisos. Al disminuir Draft Samper 263272875-image563.png el valor de Draft Samper 263272875-image562.png que se obtiene con ecuación (4.5) aumenta.

En la figura 4.4 se indica la variación del índice de resistencia Draft Samper 263272875-image564.png con el número de pisos, a la izquierda se tiene para los edificios de dos vanos y a la derecha para los edificios de tres vanos. En los dos casos se aprecia que el valor medio, que se indica con línea continua es prácticamente constante y está alrededor de 1.40 para los edificios de 2 vanos y de 1.35 para los de 3 vanos.

Draft Samper 263272875-image565.png
Figura 4.3 Relación del número de pisos con el índice de variación de redundancia.
Draft Samper 263272875-image566.png
Figura 4.4 Relación del número de pisos con el índice de resistencia

4.4 VARIACIÓN DE Draft Samper 263272875-image6.png EN FUNCIÓN DE Draft Samper 263272875-image7.png

Los factores de incertidumbre del modelo de Tsopelas y Husain (2004) se los cuantifica en dos parámetros denominados Draft Samper 263272875-image567.png y Draft Samper 263272875-image568.png que son los coeficientes de variación de la fuerza y el factor de forma de la resistencia. Estás dos variables influyen notablemente en el cálculo del factor de redundancia Draft Samper 263272875-image569.png mediante la ecuación ( 4.5 ), como se aprecia en las figuras 4.5 a 4.7, para valores de Draft Samper 263272875-image570.png ; Draft Samper 263272875-image571.png ; y Draft Samper 263272875-image572.png , respectivamente.

En la parte superior de las figuras 4.5 a 4.7 se indica la variación de Draft Samper 263272875-image573.png para las estructuras de 2 vanos a la izquierda y para las estructuras de 3 vanos a la derecha. En la parte inferior de estas figuras se comparan los valores de Draft Samper 263272875-image573.png para las estructuras de 2 y 3 vanos, encontrando que las de 2 vanos tiene un mayor valor de Draft Samper 263272875-image573.png . Finalmente en la figura inferior derecha se presenta el valor de Draft Samper 263272875-image574.png . Siendo Draft Samper 263272875-image575.png la desviación estándar.

Draft Samper 263272875-image576.png
Figura 4.5 Variación de Draft Samper 263272875-image577.png para Draft Samper 263272875-image570.png
Draft Samper 263272875-image578.png
Figura 4.6 Variación de Draft Samper 263272875-image577.png para Draft Samper 263272875-image571.png
Draft Samper 263272875-image579.png
Figura 4.7 Variación de Draft Samper 263272875-image577.png para Draft Samper 263272875-image572.png

En la medida que Draft Samper 263272875-image580.png se incrementa, también se incrementa el valor de Draft Samper 263272875-image573.png . Como no se dispone de datos de estos dos parámetros es necesario encontrar una nueva metodología de evaluación de Draft Samper 263272875-image581.png que no dependa de estos parámetros.

4.5 PROPUESTA DE CÁLCULO DE Draft Samper 263272875-image573.png

Se plantea calcular el factor de redundancia Draft Samper 263272875-image573.png aplicando la ecuación ( 4.1 ) pero con otra interpretación de sus términos, razón por la cual se vuelve a copiar dicha ecuación.

Draft Samper 263272875-image582.png

Donde Draft Samper 263272875-image583.png es la capacidad de cortante basal de la estructura, asociada al fallo de la estructura, Draft Samper 263272875-image584.png es el cortante basal asociado a la formación de la primera rótula plástica. Ahora bien, si Draft Samper 263272875-image585.png se produce cuando se han formado rótulas plásticas en todos los extremos de las vigas y pies de columna, no hay ninguna reducción del valor de Draft Samper 263272875-image586.png . Pero si Draft Samper 263272875-image587.png se produce cuando en la estructura se han formado menos rótulas que el mecanismo de adoptado, que se indica en la figura 4.8, si se disminuye el valor de Draft Samper 263272875-image588.png en forma lineal.

Se entiende que el sistema tendrá mayor redundancia si se forman la mayor cantidad de rótulas antes de llegar al colapso. Lo ideal es que se formen las rótulas indicadas en la figura 4.8, en el colapso. Pero esto no siempre sucede hay ocasiones en que se alcanza el colapso sin que se formen todas las rótulas indicadas en la figura 4.8. En este caso al valor de Draft Samper 263272875-image588.png encontrado con la ecuación ( 4.1 ) se lo penaliza.

Draft Samper 263272875-image589.png
Figura 4.8 Mecanismo de colapso, adoptado en el estudio.

En la parte superior de la figura 4.9 se indican los valores del factor de redundancia para las estructuras de 2 y 3 vanos, con la metodología propuesta. En la parte inferior se presenta a la izquierda los valores medios, notando que un valor medio tanto de las estructuras de 2 vanos y de 3 vanos es 1.2 En la parte inferior derecha se presenta el valor medio de Draft Samper 263272875-image590.png más, menos la desviación estándar Draft Samper 263272875-image591.png . Se aprecia que la estructura de 3 vanos tiene menor dispersión que la estructura de 2 vanos.

Draft Samper 263272875-image592.png
Figura 4.9 Variación de Draft Samper 263272875-image588.png para las estructuras de 2 y 3 vanos.

En la figura 4.10, se presenta la variación de Draft Samper 263272875-image593.png en función del número de pisos, con todos los resultados encontrados en la estructuras de 2 y 3 vanos y con línea continua se indica la curva de valores medios. Nótese que el valor medio de Draft Samper 263272875-image593.png está alrededor de 1.6.

Draft Samper 263272875-image594.png
Figura 4.10 Valores de Draft Samper 263272875-image593.png en estructuras de 2 y 3 vanos.

4.6 REDUNDANCIA EN FUNCIÓN DE Draft Samper 263272875-image8.png

Con el propósito de conocer la variación de Draft Samper 263272875-image595.png en función de la ductilidad por curvatura Draft Samper 263272875-image596.png de vigas y columnas. Se procedió a encontrar los respectivos diagramas Momento – Curvatura Draft Samper 263272875-image597.png de las secciones de los elementos, de las estructuras, de 2 y 3 vanos, empleando el programa CEINCI 1. Aguiar (2002 y 2003).

Para encontrar el diagrama Draft Samper 263272875-image598.png se consideró un modelo trilineal para definir el comportamiento del acero y para el concreto se utilizó el modelo de Park et al (1982) para hormigón confinado. La ductilidad por curvatura de vigas y columnas se halló de la siguiente manera:

Draft Samper 263272875-image599.png

Siendo Draft Samper 263272875-image600.png la curvatura última y Draft Samper 263272875-image601.png la curvatura por fluencia. Para cada edificio analizado se obtuvo la ductilidad por curvatura de sus elementos en los extremos de los mismos, en base a la armadura longitudinal y transversal. Luego se halló el valor promedio de Draft Samper 263272875-image602.png en vigas y columnas. De tal manera que de cada edificio se obtuvieron dos valores medios de Draft Samper 263272875-image602.png , uno de vigas y otro de columnas. Por otra parte, cada edificio tiene un valor de Draft Samper 263272875-image603.png encontrado con la metodología descrita en el apartado anterior.

La ductilidad por curvatura en columnas depende de la carga axial que gravita sobre el elemento, para esto se obtuvo la carga axial pero únicamente debido a cargas verticales.

En la figura 4.11 se presenta, a la izquierda la gráfica que relaciona la ductilidad por curvatura en vigas con el factor Draft Samper 263272875-image595.png hallado con la metodología descrita en el apartado anterior y a la derecha la relación entre la ductilidad por curvatura en columnas con el factor Draft Samper 263272875-image595.png . Con línea continua se muestran las curvas de mejor ajuste y en la tabla 4.4 se indican las respectivas ecuaciones, con el error que se comete.

Draft Samper 263272875-image604.png
Figura 4.11 Variación del factor de redundancia en función de la ductilidad por curvatura.
Tabla 4.4 Ecuaciones de ajuste para Draft Samper 263272875-image595.png en función de la ductilidad por curvatura.
Ductilidad Promedio de Ecuación Error
Vigas Draft Samper 263272875-image605.png 10%
Columnas Draft Samper 263272875-image606.png 6%


En la curva de mejor ajuste de la figura 4.11, se aprecia que conforme se incrementa la ductilidad por curvatura, el factor de redundancia también se incrementa. Se aprecia también en esta curva lo siguiente:

  • Para una ductilidad por curvatura de 15, en vigas y columnas, el factor de redundancia es 1.25 (Valor medio.)
  • Para una ductilidad por curvatura de 20, en vigas, el factor de redundancia es 1.5 (Valor medio). Para esa misma ductilidad por curvatura en columnas, el factor de redundancia está cerca de 1.5.

4.7 CONCLUSIONES

Se ha hallado el factor de redundancia de 216 estructuras de 2 vanos y de 216 estructuras de 3 vanos, aplicando la metodología propuesta por Tsopelas y Husain, la misma que es función del producto de los factores Draft Samper 263272875-image607.png y mediante una propuesta que considera el número de rótulas que se forman en la estructura al llegar al colapso con respecto al número total de rótulas de un modelo de mecanismo de colapso, además de la relación de la capacidad máxima de cortante con respecto a la capacidad de cortante cuando se forma una sola rótula plástica. Del estudio realizado se desprenden las siguientes conclusiones:

  • En el modelo de Tsopelas y Husain influye notablemente el producto del coeficiente de variación de la fuerza Draft Samper 263272875-image608.png por el factor de forma de la resistencia Draft Samper 263272875-image609.png , en el cálculo del factor de redundancia Draft Samper 263272875-image610.png . Por lo tanto, para su correcta aplicación es necesario determinar primero cada uno de estos parámetros, caso contrario no conviene aplicar el modelo de Tsopelas y Husain.
  • Con el modelo propuesto en este estudio, descrito en el apartado 4.5, se halló que el factor de redundancia medio de las estructuras analizadas está alrededor de 1.6.
  • A mayor ductilidad por curvatura, tanto en vigas como en columnas, mayor es el factor de redundancia.

REFERENCIAS

1. Aguiar R., (2002), Sistema de Computación CEINCI3 para evaluar daño sísmico en los Países Bolivarianos, Centro de Investigaciones Científicas. Escuela Politécnica del Ejército, 302 p., Quito.
2. Aguiar R., (2003), Análisis Sísmico por Desempeño, Centro de Investigaciones Científicas, Escuela Politécnica del Ejército, 340 p., Quito, Ecuador.
4. Aguiar R., (2007), “Programa DISIPA para encontrar la curva de capacidad sísmica resistente en pórticos con disipadores de energía visco elásticos”, XIX Jornadas Nacionales de Ingeniería Estructural. Universidad Nacional del Chimborazo, 93-106, Riobamba, 107-127, Riobamba.
5. ATC (1995), Structural response modification factors, Applied Technology Council, Rep. N. ATC-19, Redwood City, California.
6. Husain M., and Tsopelas P., (2004), “Measures of Structural Redundancy in Reinforced Concrete Buildings. I: Redundancy Indices”, Journal of Structural Engineering, 130 (11), 1651- 1658.
7. Park R., Priestley M. and Gill W. (1982), “Ductility of Square Confined Concrete Columns”, Journal of Structural Division, ASCE, 108 (4), 929-950.
8. Tsopelas P., and Husain M., (2004), “Measures of Structural Redundancy in Reinforced Concrete Buildings II: Redundancy Response Modification Factor Draft Samper 263272875-image520.png , Journal of Structural Engineering, 130 (11), 1659-1666.


CAPÍTULO 5. PROPUESTA DE CÁLCULO DEL FACTOR R

RESUMEN

En base a los resultados presentados en los capítulos 2, 3 y 4 que corresponden a los factores de: resistencia por ductilidad Draft Samper 263272875-image611.png , de sobre resistencia Draft Samper 263272875-image612.png y de redundancia Draft Samper 263272875-image613.png , se obtiene el factor de reducción de las fuerzas sísmicas Draft Samper 263272875-image614.png , con el cual se pasa del espectro elástico al espectro inelástico, en estructuras de hormigón armado conformadas por vigas y columnas sin muros de corte.

En el capítulo 2, se obtuvo el factor de reducción por ductilidad, en base al análisis de 112 sismos artificiales, compatibles con los espectros del Código Ecuatoriano de la Construcción, CEC-2000. Se encontró una expresión para determinar el factor de reducción por ductilidad para los cuatro perfiles del suelo del CEC-2000 en función del período.

En el capítulo 3, se encontró el factor de sobre resistencia en función de la deriva máxima de piso y del número de pisos en 432 edificios de hormigón armado, de uno a seis pisos. Ahora se obtiene el factor de sobre resistencia en función del período y de la deriva máxima de piso.

En el capítulo 4, se halló el factor de redundancia en función del número de pisos en los mismos 432 edificios de uno a seis pisos. Ahora se obtiene éste factor en función del período.

Al tener los factores de reducción de las fuerzas sísmicas, de sobre resistencia y de redundancia en función del período, se presenta, en este capítulo el factor de reducción de las fuerzas sísmicas en función del período, para diferentes valores de ductilidad y para diferentes derivas de piso máximas, esperadas.

Finalmente, se presenta una propuesta del factor de reducción de las fuerzas sísmicas para el Ecuador, en estructuras compuestas por vigas y columnas, sin muros de corte, para tres niveles de diseño sísmico.

5.1 ANTECEDENTES

El factor de reducción de las fuerzas sísmicas Draft Samper 263272875-image615.png con el cual se pasa del espectro elástico al espectro inelástico, es función de la capacidad de ductilidad de la estructura Draft Samper 263272875-image616.png , de la deriva máxima de piso que se espera en la estructura Draft Samper 263272875-image617.png , del tipo de suelo, del período de vibración Draft Samper 263272875-image618.png y lógicamente de la tipología estructural.

Para que la estructura tenga un buen comportamiento en el rango no lineal, se le debe conferir en el diseño suficiente capacidad de ductilidad. Por otra parte, no es conveniente esperar derivas de piso muy altas en la estructura ya que el daño en los elementos no estructurales va a ser muy grande, ante sismos de menor intensidad al prescrito en la normativa sísmica y la reparación va a ser muy costosa, llegando al caso de debe desocupar la edificación con lo que se incrementa las pérdidas.

En este capítulo se obtiene el factor de reducción de las fuerzas sísmicas Draft Samper 263272875-image615.png siguiendo los lineamientos del ATC-10 (1995).

Draft Samper 263272875-image619.png (5.1)


Donde Draft Samper 263272875-image620.png es el factor de resistencia por ductilidad. Este es el factor que toma en cuenta la disipación de energía por comportamiento no lineal pero en un sistema de un grado de libertad; Draft Samper 263272875-image621.png es el factor de sobre resistencia y Draft Samper 263272875-image622.png es el factor de redundancia.

5.2 FACTOR DE RESISTENCIA POR DUCTILIDAD

En el Capítulo 2, se indicó los cuatro trabajos realizados por parte de Aguiar y Guerrero (2006), Aguiar y González (2006) y dos por Aguiar et al (2007,1), para hallar el factor Draft Samper 263272875-image620.png , el mismo que fue obtenido a partir de la siguiente ecuación.

Draft Samper 263272875-image623.png (5.2)


Siendo Draft Samper 263272875-image624.png la ductilidad del sistema, Draft Samper 263272875-image625.png el máximo desplazamiento inelástico y Draft Samper 263272875-image626.png el máximo desplazamiento elástico, todo esto en un sistema de un grado de libertad. El último trabajo realizado, Aguiar et al (2007,1) reportó lo siguiente:

Draft Samper 263272875-image274.png (5.3)


Donde el parámetro Draft Samper 263272875-image627.png depende del tipo de suelo y está definido en la tabla 5.1, para los cuatro perfiles de suelo que contempla en Código Ecuatoriano de la Construcción, CEC-2000.

Tabla 5.1 Valores del parámetro Draft Samper 263272875-image277.png , Aguiar et al (2007, 1)
Variable Suelo S1 Suelo S2 Suelo S3 Suelo S4
Draft Samper 263272875-image278.png 100500 91000 73600 38900


En la figura 5.1 se presenta la variación de Draft Samper 263272875-image628.png para una ductilidad de 4 y para un perfil de suelo S3. La curva (1) corresponde a la que se obtiene con el trabajo de Aguiar y Guerrero (2006) para un modelo bilineal con una relación entre la rigidez post fluencia y la rigidez elástica de 0.05, este modelo no toma en cuenta el tipo de suelo, de manera que se tiene la misma variación para cualquier perfil de suelo; los otros modelos si consideran el tipo de suelo. La curva (2) corresponde a la propuesta de Aguiar y González (2006) se obtuvo en base a 28 sismos artificiales compatibles con los espectros del CEC-2000, se aprecia en la figura 5.1, que reporta valores bajos. La curvas (3) y (4) se obtuvo con 112 sismos artificiales; en la (3) se siguió la metodología propuesta por Chopra (2005) para el ajuste de la curva y en la (4) que es muy parecida a la (3) se encontró la ecuación (3) que depende de un solo parámetro Draft Samper 263272875-image629.png .

Draft Samper 263272875-image630.png
Figura 5.1 Variación de Draft Samper 263272875-image631.png para suelo S3 y una ductilidad de 4.

Es importante destacar que para Draft Samper 263272875-image632.png el factor Draft Samper 263272875-image633.png ; para períodos altos el valor de Draft Samper 263272875-image634.png tiende a ser igual a la ductilidad Draft Samper 263272875-image635.png y para períodos menores a 0.5 s., los valores son menores a Draft Samper 263272875-image636.png . Por lo tanto las estructuras pequeñas tienen valores de Draft Samper 263272875-image637.png bajos.

5.3 FACTOR DE SOBRE RESISTENCIA

Se define el factor de sobre resistencia Draft Samper 263272875-image638.png como la relación entre la capacidad máxima al cortante basal que tiene una estructura Draft Samper 263272875-image522.png con respecto al cortante basal de diseño Draft Samper 263272875-image639.png , esto cuando se habla a nivel de estructura.

Draft Samper 263272875-image640.png (5.4)


En el capítulo 3, se obtuvo Draft Samper 263272875-image638.png en 432 estructuras de uno a seis pisos de hormigón armado conformadas por vigas y columnas, estructuras EVC; 216 estructuras eran de dos vanos y 216 de tres vanos, con la distribución en planta indicada en la figura 5.2. Se encontró la variación de Draft Samper 263272875-image638.png en función del número de pisos y de la deriva máxima de piso. No se halló Draft Samper 263272875-image638.png en función del período, razón por la cual en este apartado, se presenta en la figura 5.2 está relación para derivas de piso que varían desde 0.5 % hasta 2.0 %.

Draft Samper 263272875-image436.png
Figura 5.2 Distribución en planta de estructuras analizadas de 2 y 3 vanos.

Mientras menor es la deriva de piso Draft Samper 263272875-image641.png esperado en la estructura, mayor es la sobre resistencia. Esto se debe a que el cortante basal Draft Samper 263272875-image642.png es mucho mayor que el cortante basal de diseño Draft Samper 263272875-image643.png .

Por otra parte, se aprecia en la figura 5.3, que la curva de mejor ajuste de la sobre resistencia se incrementa ligeramente con el período, para derivas de piso que varían entre 0.5 y 1.5 %. Las ecuaciones de las curvas de mejor ajuste se indican en la tabla 5.2, con el error correspondiente.

Draft Samper 263272875-image644.png
Figura 5.3 Variación de la sobre resistencia en función del período de vibración.
Tabla 5.2 Ecuaciones de ajuste de la sobre resistencia
Draft Samper 263272875-image645.png Ecuación Error
0.5 % Draft Samper 263272875-image646.png 10 %
1.0 % Draft Samper 263272875-image647.png 10.4 %
1.5 % Draft Samper 263272875-image648.png 8.0 %
2.0 % Draft Samper 263272875-image649.png 8.0 %

5.4 FACTOR DE REDUNDACIA

El factor de redundancia Draft Samper 263272875-image521.png mide la capacidad de incursionar la estructura en el rango no lineal. Se obtiene como la relación entre el cortante basal máximo Draft Samper 263272875-image522.png con respecto al cortante basal cuando se forma la primera articulación plástica Draft Samper 263272875-image523.png .

Draft Samper 263272875-image524.png (5.5)


Pero adicionalmente, para el cortante basal Draft Samper 263272875-image522.png se deben haber formado rótulas plásticas en todos los extremos de las vigas y en los pies de columnas de tal manera que se forme un mecanismo. Si se han formado menos rótulas plásticas, cuando se alcanza Draft Samper 263272875-image522.png el valor de Draft Samper 263272875-image650.png obtenido con ecuación ( 5.5 ) se disminuye en forma proporcional al número de rótulas que se tengan. Aguiar et al (2007, 3).

En la figura 5.4, se presenta la variación de Draft Samper 263272875-image650.png con el período para las estructuras analizadas. Se ha indicado con línea continua la ecuación de mejor ajuste, que tiene un error del 5 %. Esta ecuación es la siguiente:

Draft Samper 263272875-image651.png
Draft Samper 263272875-image652.png
Figura 5.4 Variación del factor de reducción por redundancia con el período.

5.5 PROPUESTA DEL FACTOR R

En base a los estudios realizados se presentan dos formulaciones para el factor de reducción de las fuerzas sísmicas, para estructuras EVC. La primera en que el factor Draft Samper 263272875-image653.png es constante y no depende del período y la segunda en que el valor Draft Samper 263272875-image654.png es función del período.

5.5.1 Propuesta con factor R, constante

Al reemplazar la ecuación (5.3) que corresponde al factor de reducción por ductilidad, al sustituir también, las ecuaciones indicadas en la tabla 5.2 del factor de sobre resistencia y la ecuación (5.6) del factor de redundancia, al reemplazar todo esto en la ecuación (5.1) se halla el factor de reducción de las fuerzas sísmicas Draft Samper 263272875-image655.png .

En la figura 5.5, se aprecia que el factor Draft Samper 263272875-image655.png puede ser mayor a 7 si las derivas máximas permitidas son Draft Samper 263272875-image656.png o Draft Samper 263272875-image657.png pero dependen del período y del tipo de suelo. En efecto en un perfil de suelo S3 se tienen valores mayores de 7 sólo para derivas de piso igual a 0.5%.. Lo importante es notar que si puede ser mayor a 7 el factor Draft Samper 263272875-image655.png cuando se trabaja con un espectro de cargas últimas siempre y cuando la deriva máxima permitida sea menor o igual al 1%, en suelos S1 a S3.

Draft Samper 263272875-image658.png
Figura 5.5 Valores del factor de reducción de las fuerzas sísmicas para ductilidad igual a 4.

Para derivas de piso máximas de 1.5 % o 2 % el factor Draft Samper 263272875-image655.png es menor a 7, para el rango de períodos considerado. Para estructuras con período mayor a 0.6 s., se recomienda que el factor Draft Samper 263272875-image655.png sea igual a 6 para derivas máximas de piso permisibles mayores a 1.5 %, en suelos S1 a S3 y R = 5.5, en suelo tipo S4.

Para períodos menores a 0.6 los valores son bajos los valores de Draft Samper 263272875-image659.png , como se aprecia en la figura 5.5.

En la figura 5.6 se presentan los valores hallados del factor Draft Samper 263272875-image660.png , para una capacidad de ductilidad de 3, en los cuatro perfiles de suelo; la curva superior corresponde a una deriva de piso del 0.5%, le sigue la de 1%, luego la de 1.5% y finalmente la de 2%. Con línea un poco más gruesa se ha indicado el valor de Draft Samper 263272875-image661.png . Se aprecia que únicamente cuando la deriva de piso máxima es del 0.5 % se tienen valores de Draft Samper 263272875-image660.png mayores a 6.

Draft Samper 263272875-image662.png
Figura 5.6 Valores del factor de reducción de las fuerzas sísmicas para ductilidad igual a 3.

Para derivas de piso mayores a 1.5% y capacidad de ductilidad de 3, el factor Draft Samper 263272875-image663.png para períodos mayores a 0.65 s.

Finalmente, en la figura 5.7, se presentan los valores del factor Draft Samper 263272875-image660.png para una capacidad de ductilidad de 2, en los cuatro perfiles de suelo. Se observa que se tiene una ductilidad de 4 únicamente para perfiles de suelo S1, S2 y S3 y para períodos mayores a 0.80 s. Para derivas de piso mayores a 1.5 % el factor Draft Samper 263272875-image664.png en perfiles de suelo S1 y S2 y es igual a 2.5 en perfiles de suelo S3 y S4.

En base a los resultados presentados en las figuras 5.5 a 5.7, en la tabla 5.3 se recomiendan valores del factor Draft Samper 263272875-image665.png para tres niveles de diseño, que en términos de la energía disipada se denominan: Elevada, Moderada y Baja. Para derivas de piso máximas de 1.5%. Esto para cuando se considera el factor de reducción de las fuerzas sísmicas constante, que no depende del período.

Tabla 5.3 Valores recomendados del factor de reducción de las fuerzas sísmicas.
Nivel de

Diseño

Disipación de

Energía

Perfil de Suelo
S1 S2 S3 S4
ND3 Elevada Draft Samper 263272875-image666.png 6.0 6.0 6.0 5.0
ND2 Moderada Draft Samper 263272875-image667.png 4.5 4.5 4.0 4.0
ND1 Baja Draft Samper 263272875-image668.png 3.0 3.0 2.5 2.5


Draft Samper 263272875-image669.png
Figura 5.7 Valores del factor de reducción de las fuerzas sísmicas para ductilidad igual a 2.

5.5.2 Propuesta del factor R dependiente del período.

En las figuras 5.5 a 5.7 se aprecia que el factor Draft Samper 263272875-image670.png depende del período. También se aprecia que las estructuras analizadas tienen un período comprendido entre 0.35 y 1.05 s. Ahora se pretende extender el estudio para estructuras de mayor número de pisos y se presenta una propuesta para el cálculo del factor Draft Samper 263272875-image670.png , basado en la forma de la ecuación de la Norma de Chile NCh 433-96, que se indicó en el capítulo 1, lógicamente cambiando los coeficientes a la luz de los resultados realizados en esta investigación. La propuesta de cálculo del factor Draft Samper 263272875-image670.png para estructuras EVC, es la siguiente:

Draft Samper 263272875-image671.png (5.7)


Donde Draft Samper 263272875-image672.png es el período de vibración de la estructura; Draft Samper 263272875-image673.png es el período de vibración indicado en la tabla 5.4 y depende del tipo de suelo y Draft Samper 263272875-image674.png es el factor de reducción de las fuerzas sísmicas. Esta ecuación se debe utilizar siempre y cuando la deriva máxima de piso de la estructura EVC sea menor o igual a 0.015 y en estructuras con elevada disipación de energía.

En la figura 5.8 se muestra la curva propuesta en la ecuación (5.7) variando el período, desde 0 hasta 2.5 s., y la curva presentada en el sub apartado anterior, para un rango de período que varía entre 0.35 y 1.05 s., para una deriva de piso máxima de 0.015. Se aprecia una buena correlación entre estas dos curvas.

Tabla 5.4 Valores de Draft Samper 263272875-image675.png para diferentes tipo de suelo del CEC-2000.
Perfil de suelo S1 S2 S3 S4
Valor de Draft Samper 263272875-image675.png (s) 0.12 0.13 0.18 0.25


Draft Samper 263272875-image676.png
Figura 5.8 Curva propuesta del factor de reducción de las fuerzas sísmicas.

5.6 CONCLUSIONES

En base a varios trabajos de investigación realizados desde el 2005 hasta la presente fecha en el CEINCI-ESPE y que fueron presentados en los capítulos anteriores, se ha determinado el factor de reducción de las fuerzas sísmicas Draft Samper 263272875-image677.png , para ser utilizado con unas combinaciones de carga en la cual no se debe mayorar el estado de cargas sísmico. Se ha obtenido el factor Draft Samper 263272875-image677.png para tres niveles de diseño y para los cuatro perfiles de suelo que contempla el CEC-2000. Además se ha encontrado una ecuación que determina el factor Draft Samper 263272875-image677.png en función del período para estructuras con una deriva de piso máxima de 0.015 y con un nivel de diseño sísmico especial. Del estudio realizado se desprenden las siguientes conclusiones:

  • El factor de reducción de las fuerzas sísmicas Draft Samper 263272875-image677.png puede ser mayor a 10 si la estructura tiene una capacidad de ductilidad de 4 y si la deriva de piso, máxima permitida es menor o igual al 0.5%.
  • Para derivas de piso máximas del orden del 1.5 % hasta 2% se recomiendan los valores del factor de reducción de las fuerzas sísmicas Draft Samper 263272875-image677.png indicados en la tabla 4 para tres niveles de diseño.
  • Para estructuras con un nivel de diseño sísmico especial, que tienen una gran capacidad de disipación de energía y con una deriva máxima de piso menor o igual a 0.015, se ha propuesto una ecuación para calcular el factor de reducción de las fuerzas sísmicas en función del período, para los cuatro perfiles de suelo del CEC-2000.

REFERENCIAS

1. Aguiar R., y Guerrero P., (2006), “Relación entre desplazamiento máximo: inelástico a elástico en la evaluación del drift”, XXXII Jornadas Sudamericanas de Ingeniería Estructural. Universidad Estatal de Campiñas, 3056-3066, Campiñas, Brasil.
9. Aguiar R., y González A., (2006), “Influencia del suelo en el cálculo de la relación entre el desplazamiento máximo inelástico a elástico”, II Congreso de Ingeniería Estructural y Puentes. Instituto de la Construcción y Gerencia, 10 p., Lima, Perú.
10. Aguiar R., Romo M., Aragón E., (2007, 1), “Estimación de demandas inelásticas de desplazamiento en osciladores bilineales sujetos a movimientos sísmicos en Ecuador”, IX Encuentro de Investigadores y Profesionales Argentinos de la Construcción, EIPAC, Salta, 2007.
11. Aguiar R., Guadalupe M., y Mora P., (2007,2), “Comparación de la sobre resistencia global en función de la deriva máxima de piso en edificios de dos y tres vanos”, II Congreso de Ciencia, Tecnología e Innovación. Escuela Politécnica del Ejército, 14 p., Quito.
12. Aguiar R., Bernal O., y Guaiña J., (2007,3), “Factor de redundancia en edificios de dos y tres vanos de Hormigón Armado”, XX Jornadas Nacionales de Ingeniería Estructural. Escuela Politécnica Nacional. En etapa arbitral, 14 p. Quito.
13. ATC (1995), Structural response modification factors, Applied Technology Council, Rep. N. ATC-19, Redwood City, California.
14. Chopra A., (2005) “Estimating seismic demands for performance-based engineering of buildings”, Congreso Chileno de Sismología e Ingeniería Antisísmica. IX Jornadas, 34 p, Concepción, Chile.
15. Norma NCh 433.Of 96, (1996). “Diseño sísmico de edificios”, Instituto de Normalización. INN-Chile, 42 p, Santiago.

CAPÍTULO 6. APLICACIONES AL ANÁLISIS SÍSMICO

RESUMEN

Se realiza el análisis sísmico de dos estructuras de: dos y cuatro pisos, utilizando el espectro inelástico del Código Ecuatoriano de la Construcción, CEC-2000 y con un modelo de piso rígido que contempla tres grados de libertad por planta.

Se obtienen las dimensiones de vigas y columnas de cada edificio, para dos valores del factor de reducción de las fuerzas sísmicas Draft Samper 263272875-image678.png . Para Draft Samper 263272875-image679.png y para Draft Samper 263272875-image680.png ; en el primer caso la deriva de piso máxima permitida es 0.5% y en el segundo caso es 1.5%.

Las dimensiones de los elementos estructurales, de los edificios analizados para Draft Samper 263272875-image679.png son mayores a las encontradas en los edificios calculados para Draft Samper 263272875-image680.png . Esto se debe a la deriva de piso máxima permitida en cada caso.

Pero inicialmente se presenta con cierto detalle la forma como se realiza el análisis sísmico de acuerdo al CEC-2000 por el Método de Superposición Modal y utilizando un espectro de diseño inelástico.

6.1 INTRODUCCIÓN

En el primer capítulo, se indicó en forma rápida la forma como se obtiene la deriva de piso máximo en una estructura conformada por vigas y columnas, sin muros de corte. EVC, empleando el Código Ecuatoriano de la Construcción CEC-2000. Ahora se va a detallar el análisis sísmico con uno modelo de tres grados de libertad por planta.

En la figura 6.1 se indica el espectro elástico (curva superior) e inelástico (curva inferior) del CEC-2000. Se aprecia que el espectro inelástico se halla dividiendo las ordenadas espectrales del elástico para Draft Samper 263272875-image681.png . Siendo Draft Samper 263272875-image682.png el factor que toma en cuenta las irregularidades en planta y Draft Samper 263272875-image683.png el factor que toma en cuanta las irregularidades en elevación. Si se tiene una estructura irregular en planta y elevación estos factores serán menores a la unidad con lo que se disminuye la reducción de las fuerzas sísmicas.

Draft Samper 263272875-image684.png
Figura 6.1 Espectro elástico e inelástico del CEC-2000

Las ecuaciones que definen el espectro inelástico del CEC-2000, son las siguientes:

Draft Samper 263272875-image685.png
(6.1)
(6.2)
(6.3)


Donde Draft Samper 263272875-image686.png es el coeficiente de importancia de la estructura; Draft Samper 263272875-image687.png , Draft Samper 263272875-image688.png , Draft Samper 263272875-image689.png , Draft Samper 263272875-image690.png parámetros que están definidos en la tabla 6.1 y que dependen del perfil de suelo. Draft Samper 263272875-image691.png es la aceleración máxima del suelo y está definido en el mapa de peligrosidad sísmica indicado en la figura 6.2; Draft Samper 263272875-image692.png es el período de vibración de la estructura.

Tabla 6.1 Parámetros que definen el espectro elástico del CEC-2000
Perfil de suelo Draft Samper 263272875-image240.png

( s )

Draft Samper 263272875-image241.png

( s )

Draft Samper 263272875-image242.png Draft Samper 263272875-image243.png
S1 0.50 2.50 2.5 1.0
S2 0.52 3.11 3.0 1.2
S3 0.82 4.59 2.8 1.5
S4 2.00 10.00 2.5 2.0


El modelo de tres grados de libertad por planta, es apropiado cuando la losa o diafragma horizontal es completamente rígido, es decir debe tener un espesor adecuado, no debe ser la estructura muy alargada en planta y no contener demasiados orificios. Los grados de libertad se consideran en el Centro de Masa, CM. En la figura 6.3, se indican los grados de libertad que son los desplazamientos laterales en sentido X, los desplazamientos laterales en sentido Y, y las rotaciones de piso con respecto a un plano perpendicular a la losa.

Draft Samper 263272875-image693.png
Figura 6.2 Zonificación sísmica del Ecuador.

Si los grados de libertad se agrupan en un vector Draft Samper 263272875-image694.png . El mismo que está compuesto por los sub vectores Draft Samper 263272875-image695.png que contiene todos los desplazamientos horizontales en sentido X, medidos desde el primer piso hasta el último piso; Draft Samper 263272875-image696.png que contiene los desplazamientos horizontales en sentido Y, y por último Draft Samper 263272875-image697.png que contiene las rotaciones de piso ( torsión).

Draft Samper 263272875-image698.png
Draft Samper 263272875-image699.png
Draft Samper 263272875-image700.png
Draft Samper 263272875-image701.png
Draft Samper 263272875-image702.png
Draft Samper 263272875-image703.png
Draft Samper 263272875-image704.png

Un artificio que se utiliza para hallar la matriz de rigidez en coordenadas de piso Draft Samper 263272875-image705.png es considerar que los pórticos son elementos, de tal manera que la estructura esta compuesta por elementos (pórticos) que están unidos entre si por medio de las losas. En este contexto, se tiene:

Draft Samper 263272875-image706.png (6.4)


Donde Draft Samper 263272875-image707.png es la matriz de compatibilidad de deformaciones, que relaciona las coordenadas de piso, con las coordenadas laterales de los pórticos; Draft Samper 263272875-image708.png es la matriz de rigidez lateral del pórtico; Draft Samper 263272875-image709.png es el número de pisos. Aguiar (2004).

La matriz Draft Samper 263272875-image707.png tiene Draft Samper 263272875-image709.png filas y 3 X Draft Samper 263272875-image709.png columnas y tiene la siguiente forma:

Draft Samper 263272875-image710.png (6.5)


Donde Draft Samper 263272875-image711.png es el ángulo que forma la orientación positiva del pórtico con respecto al eje X, Draft Samper 263272875-image712.png es la distancia desde el origen de coordenadas CM hasta el pórtico (i) en el piso uno, Draft Samper 263272875-image713.png es la distancia medida en el último piso desde el origen de coordenadas hasta el pórtico. Los valores de Draft Samper 263272875-image714.png tienen signo, serán positivas si la orientación positiva del pórtico rota con respecto al CM en forma antihorario.

Draft Samper 263272875-image715.png
Figura 6.3 Grados de libertad considerados en el estudio

6.2 PROCEDIMIENTO DE ANÁLISIS USANDO ESPECTRO

El procedimiento de análisis sísmico de acuerdo al CEC-2000, para estructuras EVC, cuando se utiliza un espectro y empleando el Método de Súper Posición Modal, es el siguiente:

6.2.1 Matriz de rigidez en coordenadas de piso

El cálculo de la matriz de rigidez en coordenadas de piso, Draft Samper 263272875-image716.png se resume a continuación.

1. Se determina la matriz de rigidez lateral Draft Samper 263272875-image717.png de cada uno de los pórticos planos. Para el efecto de debe trabajar con inercias agrietadas. Draft Samper 263272875-image718.png ; Draft Samper 263272875-image719.png . Donde Draft Samper 263272875-image720.png es la inercia gruesa; Draft Samper 263272875-image721.png inercia agrietada de vigas y columnas. En Aguiar (2007) se presentan programas para hallar la matriz de rigidez lateral, que dicho sea de paso, es la matriz de rigidez asociada a las coordenadas laterales del pórtico.
2. Se encuentra la matriz de compatibilidad de deformaciones Draft Samper 263272875-image722.png de cada pórtico, utilizando la ecuación (6.5).
3. Se halla la matriz de rigidez en coordenadas de piso, Draft Samper 263272875-image716.png empleando la ecuación (6.4).

La matriz de rigidez Draft Samper 263272875-image716.png está formada por sub matrices y puede escribirse de la siguiente manera:

Draft Samper 263272875-image723.png (6.6)


La sumatoria se extiende a todos los pórticos de la estructura. La matriz de rigidez Draft Samper 263272875-image724.png es de orden 3NP por 3NPy es simétrica con respecto a la diagonal principal. De igual manera la matriz Draft Samper 263272875-image724.png se puede escribir así:

Draft Samper 263272875-image725.png (6.7)


Siendo Draft Samper 263272875-image726.png las matrices de rigidez lateral por traslación; Draft Samper 263272875-image727.png matriz de rigidez torsional; Draft Samper 263272875-image728.png matrices de rigidez de acoplamiento lateral con torsión; Draft Samper 263272875-image729.png es la matriz trasnacional de acoplamiento en las direcciones X,Y.

Draft Samper 263272875-image730.png
Draft Samper 263272875-image731.png
Draft Samper 263272875-image732.png (6.8)

6.2.2 Propiedades dinámicas

El cálculo de la frecuencia natural de vibración Draft Samper 263272875-image733.png y del período Draft Samper 263272875-image734.png en cada modo de vibración, es el siguiente. A partir de que se tiene calculado la matriz de rigidez. Por este motivo es que se continuación la numeración.

4. Se encuentra la matriz de masas Draft Samper 263272875-image735.png en coordenadas de piso. Esta tiene la siguiente forma:
Draft Samper 263272875-image736.png (6.9)


Donde Draft Samper 263272875-image737.png es la sub matriz compuesta por las masas totales de cada uno de los pórticos, Draft Samper 263272875-image738.png es la sub matriz que contiene los momentos de inercias de las masas de cada piso.


Draft Samper 263272875-image740.png Draft Samper 263272875-image742.png (6.10)


Draft Samper 263272875-image743.png (6.11)


Donde Draft Samper 263272875-image744.png es la masa del piso i; Draft Samper 263272875-image745.png es el momento de inercia de la masa con respecto al C.M.; Draft Samper 263272875-image746.png , Draft Samper 263272875-image747.png son las dimensiones en planta de la losa del piso i.

5. Se hallan los valores y vectores propios con Draft Samper 263272875-image748.png y con la matriz de masa Draft Samper 263272875-image749.png .
6. Con los valores propios Draft Samper 263272875-image750.png se determinan las frecuencias y períodos de vibración, en cada modo.
Draft Samper 263272875-image751.png
Draft Samper 263272875-image752.png (6.12)


7. Con cada período de vibración se ingresa en el espectro inelástico, reducido por el factor Draft Samper 263272875-image753.png y se halla la aceleración espectral en cada modo de vibración Draft Samper 263272875-image754.png .

6.2.3 Respuestas máximas modales

Hasta este punto no se ha especificado la dirección del análisis sísmico. Ahora es necesario definir esta dirección. Para el análisis sísmico en sentido X, se tiene:

8. Se encuentran los factores de participación modal Draft Samper 263272875-image755.png
Draft Samper 263272875-image756.png (6.13)


Draft Samper 263272875-image757.png (6.14)


Donde Draft Samper 263272875-image758.png es el vector unitario de orden NP; Draft Samper 263272875-image759.png es el vector que contiene solo ceros, de orden NP.

9. Se encuentran las cargas máximas modales en centro de masa Draft Samper 263272875-image760.png
Draft Samper 263272875-image761.png
Draft Samper 263272875-image762.png
Draft Samper 263272875-image763.png
(6.15)


El vector Draft Samper 263272875-image760.png está compuesto por las fuerzas horizontales en sentido X, que se denomina a continuación Draft Samper 263272875-image764.png y contienen las fuerzas van desde el primer piso al último piso; luego las fuerzas horizontales en sentido Y empezando por el primer piso Draft Samper 263272875-image765.png y finalmente los Momentos de Torsión Draft Samper 263272875-image766.png , desde el primer piso. El índice que está entre paréntesis identifica el modo de vibración.

Draft Samper 263272875-image767.png
10. Para el análisis sísmico en sentido X, se trabaja con el subvector Draft Samper 263272875-image768.png y se determinan los cortantes en cada modo de vibración.
11. Se aplica un criterio de combinación modal en los cortantes y se halla el cortante resultante.

El CEC-2000 no indica ningún criterio de combinación modal a utilizar. En Aguiar et al (2006) se realizó un estudio para ver el criterio más adecuado y se encontró que este era, el de la norma técnica de Perú (2003).

Draft Samper 263272875-image769.png (6.16)


En este caso Draft Samper 263272875-image770.png es el cortante en el modo i pero puede ser cualquier otra variable.

12. A partir del cortante resultante se encuentran las fuerzas resultantes Draft Samper 263272875-image768.png en el centro de masa.

6.2.4 Torsión accidental y fuerzas equivalentes.

Existen una serie de simplificaciones e hipótesis que se realizan en el análisis sísmico, las mismas que son cubiertas mediante la aplicación en cada piso de un momento de torsión Draft Samper 263272875-image771.png . Este momento es el que genera fuerzas laterales las mismas que se suman a las halladas en el paso anterior. Continuando con el procedimiento, se tiene:

13. Se obtienen las fuerzas laterales, debidas a la torsión accidental, en centro de masas.
Draft Samper 263272875-image772.png (6.17)


Donde Draft Samper 263272875-image773.png es el cortante en el piso i; Draft Samper 263272875-image774.png es la longitud del piso i, perpendicular al sentido de análisis sísmico. Se resuelve un problema estático y se hallan por torsión accidental Draft Samper 263272875-image775.png . El Momento de torsión accidental Draft Samper 263272875-image771.png , se aplica en los dos sentidos.

14. Se hallan las fuerzas finales, sumando las fuerzas obtenidas del método de superposición modal Draft Samper 263272875-image776.png con las fuerzas de torsión accidental Draft Samper 263272875-image775.png .

6.2.5 Control del Cortante Basal Mínimo.

Una vez que se han obtenido las fuerzas, que en el paso anterior se han denominado como finales, pero que no lo son, ya que todavía faltan los controles de corte basal mínimo, de la deriva de los pórticos y del efecto Draft Samper 263272875-image777.png . Se continúa con el análisis:

15. Se efectúa el control del Cortante Basal Mínimo Draft Samper 263272875-image778.png .
Draft Samper 263272875-image779.png (6.18)


Donde Z es el factor de zonificación sísmica, definido en la tabla 6.2; es el coeficiente de la aceleración de la gravedad, indicado en el mapa de zonificación sísmica presentado en la figura 6.2; Draft Samper 263272875-image780.png es el coeficiente de importancia de la estructura, Draft Samper 263272875-image781.png es un coeficiente mostrado en la figura 6.4, Draft Samper 263272875-image782.png es el factor de reducción de las fuerzas sísmicas debido a comportamiento inelástico de la estructura; Draft Samper 263272875-image783.png factores que toman en cuenta las irregularidades en planta y elevación; Draft Samper 263272875-image784.png es el peso total reactivo que se calcula únicamente con la carga muerta.

Tabla 6.2 Factor Z en función de la zona sísmica.
Zona Sísmica 1 2 3 4
Factor Z 0.15 0.25 0.30 0.40


Draft Samper 263272875-image785.png
Figura 6.4 Coeficiente C

En la figura 6.4 se observa que el coeficiente Draft Samper 263272875-image781.png se calcula con la siguiente ecuación:

Draft Samper 263272875-image786.png (6.19)


Los valores de Draft Samper 263272875-image787.png y Draft Samper 263272875-image788.png son los indicados en la tabla 6.1 y dependen del tipo de suelo. Si el cortante basal mínimo es menor que el cortante basal hallado en el numeral anterior se prosigue con los siguientes controles, caso contrario se halla un factor Draft Samper 263272875-image789.png por el cual se multiplican las fuerzas estáticas equivalentes halladas.

Draft Samper 263272875-image790.png (6.20)


Donde Draft Samper 263272875-image791.png es el cortante basal hallado en el numeral anterior.

6.2.6 Control de la deriva de los pórticos

16. Se obtienen los desplazamientos elásticos de la estructura en el CM. Para el efecto se debe hallar nuevamente la matriz de rigidez Draft Samper 263272875-image792.png con inercias gruesas.
Draft Samper 263272875-image793.png (6.21)


Donde Draft Samper 263272875-image794.png es el vector de cargas conformado por las fuerzas laterales y momentos en el CM. El vector Draft Samper 263272875-image794.png contiene en primer lugar a todas las fuerzas en sentido X, desde el primer piso hasta el tope, luego las fuerzas en sentido Y en el mismo orden y finalmente los momentos de torsión. El vector Draft Samper 263272875-image795.png se obtiene mediante la solución de un sistema de ecuaciones lineales. Para el control de la deriva de los pisos, solo interesa los desplazamientos laterales Draft Samper 263272875-image796.png ya que todo lo indicado corresponde al análisis sísmico en sentido X.

17. Se hallan los desplazamientos inelásticos en cada piso, que se van a denominar Draft Samper 263272875-image797.png . De acuerdo al CEC-2000, estos se hallan con la siguiente expresión.
Draft Samper 263272875-image798.png
Draft Samper 263272875-image782.png
Draft Samper 263272875-image796.png
(6.22)


18. Se encuentra la deriva máxima de piso Draft Samper 263272875-image799.png
Draft Samper 263272875-image800.png (6.23)


Donde Draft Samper 263272875-image801.png es la altura del entrepiso i. El subíndice representa en este caso el piso. El valor de Draft Samper 263272875-image802.png es el mayor valor de los Draft Samper 263272875-image799.png . El valor máximo de Draft Samper 263272875-image802.png estipulado por el CEC-2000 es 0.02. Pero en este capítulo se considera los siguientes valores máximos: Draft Samper 263272875-image803.png para cuando Draft Samper 263272875-image804.png y Draft Samper 263272875-image805.png para cuando Draft Samper 263272875-image806.png .

Si el valor de Draft Samper 263272875-image802.png supera los establecidos se vuelve a realizar el análisis sísmico incrementando las secciones de las columnas y vigas.

6.2.7 Control del efecto Draft Samper 263272875-image9.png

El efecto Draft Samper 263272875-image9.png tiene que ver con el incremento de las cargas por efecto de la estructura deformada. Si se tiene una estructura flexible con desplazamientos laterales considerables, el peso propio genera momentos de volteo debido a los desplazamientos laterales.

19. Se encuentra el índice de estabilidad de piso Draft Samper 263272875-image807.png
Draft Samper 263272875-image808.png (6.24)


Donde Draft Samper 263272875-image809.png es la carga vertical que gravita desde el piso i hasta el tope, se calcula en función de la carga muerta D más el porcentaje de la carga viva L; Draft Samper 263272875-image810.png es el cortante de piso; Draft Samper 263272875-image811.png es la deriva que es igual al desplazamiento relativo de piso y Draft Samper 263272875-image812.png es la altura de entrepiso. Se destaca que Draft Samper 263272875-image813.png es la deriva de piso.

El CEC-2000 establece que si Draft Samper 263272875-image814.png la estructura no tiene problemas de efecto Draft Samper 263272875-image815.png pero si Draft Samper 263272875-image816.png la estructura debe ser reforzada ya que tendrá problemas por el efecto de segundo orden. En consecuencia, si Draft Samper 263272875-image817.png se debe repetir el análisis sísmico con otras secciones de los elementos estructurales o a lo mejor con otros elementos como diagonales o muros de corte.

Finalmente, si Draft Samper 263272875-image818.png se debe encontrar un factor de corrección Draft Samper 263272875-image819.png que se indica a continuación y multiplicar todas las fuerzas laterales por esta cantidad.

Draft Samper 263272875-image820.png (6.25)


Una vez que se termina con el análisis sísmico en sentido X, se procede a realizar el análisis sísmico en sentido Y, repitiendo el procedimiento a partir del paso ix.

6.3 ESTRUCTURAS DE ANÁLISIS

Se realizó el análisis sísmico de dos estructuras de dos y cuatro pisos con la configuración en planta indicada en la figura 6.5. Considerando que la estructura se halla en la zona de mayor peligrosidad sísmica del Ecuador, sobre un perfil de suelo S2.

Se efectúa el análisis considerando dos valores de reducción de las fuerzas sísmicas y dos límites máximos de la deriva de piso. Los casos son los siguientes:

  • Draft Samper 263272875-image821.png y Draft Samper 263272875-image822.png
  • Draft Samper 263272875-image823.png y Draft Samper 263272875-image824.png

El análisis sísmico se realiza en la forma indicada en el apartado anterior, con los valores de Draft Samper 263272875-image825.png y Draft Samper 263272875-image826.png anotados.

6.4 RESULTADOS

Para facilitar el cálculo se consideró que todas las columnas tienen las mismas dimensiones en todos los pisos, lo propio con las vigas. En base a estas dimensiones se realizó el análisis sísmico y se controló la deriva de piso máxima y el índice de estabilidad de piso.

Draft Samper 263272875-image827.png
Figura 6.5 Configuración en planta de estructura de dos, cuatro y seis pisos.

6.4.1 Estructura de 2 pisos

En la última fila de la tabla 6.3 se indican las dimensiones finales de las columnas y vigas de la estructura de 2 pisos, con las cuales la deriva máxima de piso es menor a 0.005 y ha sido calculada para Draft Samper 263272875-image828.png . Nótese que las dimensiones son considerables a pesar de que se trabajó con Draft Samper 263272875-image828.png .Esto se debe al límite que se impuso a la deriva máxima de piso.

Tabla 6.3 Resumen del análisis sísmico para estructura de 2 pisos con Draft Samper 263272875-image828.png
Factor R Columnas

(cm.)

Vigas

(cm.)

Período

(s)

Draft Samper 263272875-image829.png

(%)

Draft Samper 263272875-image830.png


10 40/40 30/30 0.48 1.15 0.072
10 45/45 35/35 0.37 0.66 0.041
10 50/50 40/40 0.29 0.40 0.026


Ahora en la última fila de la tabla 6.4, se muestran las dimensiones de los elementos estructurales, con los que se consigue que la deriva de piso sea menor a 0.015 para Draft Samper 263272875-image831.png . A pesar de que el valor de Draft Samper 263272875-image832.png es menor las dimensiones de las columnas y vigas son menores debido a que la deriva de piso máxima permitida es mayor.

Tabla 6.4 Resumen del análisis sísmico para estructura de 2 pisos con Draft Samper 263272875-image831.png
Factor R Columnas

(cm.)

Vigas

(cm.)

Período

(s)

Draft Samper 263272875-image829.png

(%)

Draft Samper 263272875-image830.png


6 40/40 30/30 0.48 1.15 0.043
6 35/35 30/30 0.55 1.34 0.057

6.4.2 Estructura de 4 pisos

Con formato similar al anterior. En la tabla 6.5 se indican los resultados para la estructura de 4 pisos y con Draft Samper 263272875-image828.png y en la tabla 6.6 lo propio pero para Draft Samper 263272875-image828.png . En la penúltima fila de la tabla 6.6 se aprecia que Draft Samper 263272875-image833.png es mayor a 0.015 y que el índice de estabilidad de piso Draft Samper 263272875-image830.png es mayor a 0.3

Tabla 6.5 Resumen del análisis sísmico para estructura de 4 pisos con Draft Samper 263272875-image828.png
Factor R Columnas

(cm.)

Vigas

(cm.)

Período

(s)

Draft Samper 263272875-image829.png

(%)

Draft Samper 263272875-image830.png


10 50/50 40/40 0.63 0.89 0.205
10 55/55 45/45 0.51 0.70 0.136
10 60/60 50/50 0.42 0.47 0.092


Tabla 6.6 Resumen del análisis sísmico para estructura de 4 pisos con Draft Samper 263272875-image831.png
Factor R Columnas

(cm.)

Vigas

(cm.)

Período

(s)

Draft Samper 263272875-image829.png

(%)

Draft Samper 263272875-image830.png


6 50/50 40/40 0.63 0.89 0.123
6 40/40 30/30 1.08 1.59 0.354
6 40/40 35/35 0.87 1.28 0.240


En la tabla 6.7 se muestran las fuerzas estáticas máximas probables, que actúan en el CM., para los dos casos y como era de esperarse para Draft Samper 263272875-image828.png las fuerzas son menores con relación a las halladas para Draft Samper 263272875-image834.png pero nuevamente las dimensiones de los elementos estructurales son mayores debido a la deriva de piso permitida.

Tabla 6.7 Fuerzas en Centro de Masa.
Piso Draft Samper 263272875-image835.png Draft Samper 263272875-image836.png
1 2.51 T. 4.35 T.
2 4.32 T. 5.38 T.
3 6.65 T. 7.89 T.
4 10.51 T. 15.34 T.

6.5 CONCLUSIONES

Se ha realizado el análisis sísmico de dos estructuras de dos y cuatro pisos, considerando tres grados de libertad por planta y empleando el Método de Superposición Modal con espectro inelástico. Se realizó el análisis para Draft Samper 263272875-image837.png y para Draft Samper 263272875-image838.png . En el primer caso la deriva máxima de piso permitida es 0.005 y en el segundo caso 0.015. Del estudio realizado se desprende lo siguiente:

  • Con Draft Samper 263272875-image837.png las fuerzas sísmicas que actúan en la estructura son menores con relación a las obtenidas con Draft Samper 263272875-image838.png pero las dimensiones de sus elementos estructurales son mayores debido a que la deriva máxima de piso es menor.
  • La deriva máxima de piso permitida y la forma de encontrarla tiene una relación fundamental con el factor de reducción de las fuerzas sísmicas. Al igual que el tipo de suelo, el período de la estructura y la ductilidad.

REFERENCIAS

1. Aguiar R., (2004), Análisis Matricial de Estructuras, Centro de Investigaciones Científicas. Escuela Politécnica del Ejército, 550 p.
2. Aguiar R., (2007), Dinámica de Estructuras con MATLAB, Centro de Investigaciones Científicas. Escuela Politécnica del Ejército, 292 p.
3. Norma E.030, (2003), Reglamento Nacional de Construcciones. Norma Técnica de Edificaciones. Diseño Sismo resistente, Servicio Nacional de Normalización, Capacitación e Investigación para la Industria de la Construcción. SENCICO, 36 p., Quito.

CAPÍTULO 7. CEC-77, CEC-2000 Y PROPUESTA

RESUMEN

Se encuentra la variación del coeficiente sísmico Draft Samper 263272875-image839.png en función del período; aplicando lo propuesto en el Código Ecuatoriano de la Construcción de 1977, CEC-77 para estructuras conformadas por vigas y columnas, sin muros de corte. Aplicando también el CEC-2000 pero con dos valores del factor de reducción de las fuerzas sísmicas que son: Draft Samper 263272875-image840.png que es lo que estipula el código y Draft Samper 263272875-image841.png que es la propuesta para trabajar con espectros de servicio.

Se utilizó Draft Samper 263272875-image842.png en lugar de Draft Samper 263272875-image843.png que se había propuesto en el capítulo 6, debido a que este último valor es para cuando no se va a mayorar el estado de cargas sísmico. Pero tanto con el CEC-77 y CEC-2000 el estado de cargas sísmico se mayora. Para estar en igualdad de condiciones se incrementó el valor de Draft Samper 263272875-image844.png .

El coeficiente sísmico relaciona el cortante basal con el peso total de la estructura. De tal forma que al comparar el coeficiente sísmico en las cuatro zonas sísmicas del Ecuador se está comparando también las fuerzas sísmicas que se están aplicando en las estructuras.

7.1 INTRODUCCIÓN

En 1927 el UBC (Uniform Building Code) establecía que el cortante basal Draft Samper 263272875-image845.png se obtenga multiplicando el coeficiente sísmico Draft Samper 263272875-image846.png por el peso total de la estructura Draft Samper 263272875-image847.png . De tal manera que Draft Samper 263272875-image848.png . Los valores de Draft Samper 263272875-image849.png variaban entre 0.075 y 0.10. En 1933, en el Código de los Ángeles se mantiene la misma fórmula para hallar el cortante basal. Únicamente se indica que Draft Samper 263272875-image850.png . Posteriormente en 1943 para edificios de más de 13 pisos se estipula que el valor de Draft Samper 263272875-image851.png . Siendo Draft Samper 263272875-image852.png el número de pisos. Bozorgnia y Bertero (2007).

Fue en 1959, cuando por primera vez el SEAOC (Structural Engineers Association of California) incorpora el factor de reducción Draft Samper 263272875-image853.png que contempla comportamiento inelástico de la estructura, así aparece en el famoso libro azul. Se estipula este factor para cuatro tipologías estructurales:

Draft Samper 263272875-image854.png (7.1)


Donde Draft Samper 263272875-image855.png es el factor de reducción. En base a esta propuesta, se fue complementando la ecuación con la cual se halla el cortante basal, como se verá en el siguiente apartado.

7.2 CORTANTE BASAL DEL CEC-77

Antes de la promulgación del CEC-2000, estuvo vigente el Código Ecuatoriano de la Construcción de 1977 CEC-77, de tal manera que las construcciones realizadas entre 1977 y el 2000 responden a este código y como es lógico pensar se tiene una gran inquietud en conocer si las fuerzas sísmicas obtenidas con CEC-77 son adecuadas y si la deriva máxima permitida es aceptable, fundamentalmente.

La forma de comparar, las fuerzas sísmicas que se hallan al aplicar estas dos normativas es mediante el cortante basal mínimo Draft Samper 263272875-image856.png . De acuerdo al CEC-77 este se evalúa con la siguiente expresión:

Draft Samper 263272875-image857.png (7.2)


Donde Draft Samper 263272875-image858.png es el factor de importancia que varía de 1 a 1.5; Draft Samper 263272875-image859.png es un coeficiente numérico que depende del tipo de estructura; Draft Samper 263272875-image860.png es un coeficiente en función del período; Draft Samper 263272875-image861.png coeficiente numérico de resonancia entre la estructura y el sitio; Draft Samper 263272875-image862.png es la carga muerta total.

El coeficiente Draft Samper 263272875-image863.png para edificios con un pórtico espacial dúctil el valor de Draft Samper 263272875-image864.png . Por lo tanto, para las estructuras EVC formadas por vigas y columnas que se ha venido analizando en este libro el valor de Draft Samper 263272875-image864.png . Este factor es el que toma en cuenta la disipación de energía de las estructuras y está asociado a una ductilidad que está alrededor de Draft Samper 263272875-image865.png .

El coeficiente Draft Samper 263272875-image860.png se halla con la ecuación ( 7.3 ) y no debe exceder de 0.12.

Draft Samper 263272875-image866.png (7.3)


Siendo Draft Samper 263272875-image867.png el período de vibración. El factor Draft Samper 263272875-image868.png se evalúa con las siguientes ecuaciones:


Draft Samper 263272875-image869.png Para Draft Samper 263272875-image870.png
Draft Samper 263272875-image871.png Para Draft Samper 263272875-image872.png
(7.4)

Donde Draft Samper 263272875-image873.png es el período característico del suelo. Para cuando no se conoce Draft Samper 263272875-image874.png el valor de Draft Samper 263272875-image875.png

Por otra parte el producto: Draft Samper 263272875-image876.png .

Se ha copiado la ecuación ( 7.2 ) como aparece en el CEC-77 pero estrictamente debió aparecer de la siguiente manera:

Draft Samper 263272875-image877.png (7.5)


Donde Draft Samper 263272875-image878.png es el factor de zona sísmica, Draft Samper 263272875-image879.png es para la zona de mayor peligrosidad sísmica; Draft Samper 263272875-image880.png para las zonas de alta peligrosidad y Draft Samper 263272875-image881.png para mediana peligrosidad sísmica. UBC-85.

Por lo tanto la ecuación ( 7.2 ) considera que todo el País se encuentra en la zona de mayor peligrosidad sísmica.

7.3 DERIVA MÁXIMA DEL CEC-77

La deriva de piso máxima Draft Samper 263272875-image882.png del CEC-77 es 0.005 si esta se obtiene con desplazamientos inelásticos Draft Samper 263272875-image883.png . Nótese que el valor máximo de Draft Samper 263272875-image884.png es 0.5%. Ahora el CEC-77 establece que estos desplazamientos inelásticos se hallen de la siguiente manera:

Con las fuerzas sísmicas reducidas y con inercias gruesas en los elementos se hallen los desplazamientos elásticos Draft Samper 263272875-image885.png , mediante un análisis lineal. Los desplazamientos inelásticos se obtendrán con la siguiente ecuación:

Draft Samper 263272875-image886.png (7.6)


Para estructuras EVC se tiene Draft Samper 263272875-image887.png . Luego si se controla la deriva máxima de piso con los desplazamientos elásticos. El valor de Draft Samper 263272875-image888.png . Ahora se tiene una “contradicción”. Cuando se controla el valor de Draft Samper 263272875-image882.png con desplazamientos inelásticos el valor máximo es bastante bajo 0.5% y cuando se controla con valores elásticos el valor es bastante alto 3.4 por mil.

De todas maneras se puede indicar que la deriva máxima de piso elástica del CEC-77 es alto 3.4 por mil en comparación con el 2.0 por mil del CEC-2000. Se destaca que estos valores son con desplazamientos elásticos.

7.4 CORTANTE BASAL DEL CEC-2000

En el capítulo anterior se presentó la ecuación con la cual se obtiene el cortante basal, en el método estático. Ésta es:

Draft Samper 263272875-image889.png (7.7)


Se había denominado Draft Samper 263272875-image890.png al coeficiente de importancia que en el CEC-77 se llama Draft Samper 263272875-image891.png . El valor de zona Draft Samper 263272875-image892.png vale 0.4 para la región de mayor peligrosidad sísmica del Ecuador. Los restantes valores de Draft Samper 263272875-image892.png están indicados en la tabla 6.2. El coeficiente Draft Samper 263272875-image893.png se halla con la siguiente ecuación.

Draft Samper 263272875-image786.png

Los valores de Draft Samper 263272875-image894.png y Draft Samper 263272875-image895.png están indicados en la tabla 6.1. Las variables todavía no definidas en este capítulo son: Draft Samper 263272875-image782.png es el factor de reducción de las fuerzas sísmicas debido a comportamiento inelástico de la estructura; Draft Samper 263272875-image783.png factores que toman en cuenta las irregularidades en planta y elevación; Draft Samper 263272875-image784.png es el peso total reactivo que se calcula únicamente con la carga muerta.

Si se utiliza Draft Samper 263272875-image896.png en el CEC-77 o Draft Samper 263272875-image897.png en el CEC-2000 se debe mayorar el estado de cargas sísmico E. Las combinaciones de carga se indicaron en el capítulo 1 para el CEC-2000 y son las mismas para el CEC-77.

7.5 COMPARACIÓN DEL COEFICIENTE SÍSMICO

Se define el coeficiente sísmico Draft Samper 263272875-image898.png como la relación entre el cortante basal Draft Samper 263272875-image899.png con respecto al peso total de la estructura Draft Samper 263272875-image900.png .

Draft Samper 263272875-image901.png (7.8)


Se calcula la variación de Draft Samper 263272875-image898.png con el CEC-77, con el CEC-2000 con Draft Samper 263272875-image902.png y con el CEC-2000 con Draft Samper 263272875-image903.png . En el capítulo 5 se propuso el valor Draft Samper 263272875-image904.png para estructuras con nivel de diseño ND3 y en perfiles de suelo S1, S2 o S3. Si se usa Draft Samper 263272875-image905.png no se debe mayorar el estado de cargas Draft Samper 263272875-image906.png en las combinaciones de carga. Ahora si se va a comparar el coeficiente Draft Samper 263272875-image898.png se debe utilizar Draft Samper 263272875-image907.png . El 1.43 es el mayor coeficiente con el cual se mayora el estado de carga Draft Samper 263272875-image906.png en el CEC-77 y CEC-2000.

En la tabla 7.1 se indican los parámetros que se utilizaron para evaluar el coeficiente sísmico Draft Samper 263272875-image898.png en la zona de mayor peligrosidad sísmica del Ecuador, aplicando el CEC-77; el CEC-2000 con Draft Samper 263272875-image902.png y el CEC-2000 con Draft Samper 263272875-image908.png y en la figura 7.1 se muestran los resultados obtenidos.

Tabla 7.1 Parámetros utilizados para el cálculo del coeficiente sísmico.
CEC-77 CEC-2000 Draft Samper 263272875-image909.png CEC-2000 Draft Samper 263272875-image910.png
Z = 1 Z = 0.4 Z = 0.4
I = 1 I = 1 I = 1
K = 0.67 R = 10 R = 8.58
S = 1.5 S = 1.5 S = 1.5


Siempre se va a dar que el coeficiente sísmico Draft Samper 263272875-image911.png hallado con el CEC-2000 y con Draft Samper 263272875-image912.png es menor al hallado con el CEC-2000 y con Draft Samper 263272875-image913.png . Por lo tanto las fuerzas sísmicas obtenidas son menores en la forma propuesta por el CEC-2000, con relación a la propuesta que se realizó en el capítulo anterior. Por este motivo solo se compara los valores del CEC-2000 con Draft Samper 263272875-image913.png y los hallados con el CEC-77.

En la figura 7.1 se aprecia que el coeficiente sísmico Draft Samper 263272875-image911.png hallado con el CEC-77 es menor que los valores con el CEC-2000 y Draft Samper 263272875-image913.png para la zona de mayor peligrosidad sísmica del Ecuador.

Draft Samper 263272875-image914.png

Figura 7.1 Coeficiente sísmico Draft Samper 263272875-image915.png hallado en la zona de mayor peligrosidad sísmica del Ecuador.

En el CEC-77 todo el País tiene elevada peligrosidad sísmica luego Draft Samper 263272875-image916.png siempre pero con el CEC-2000 para la zona 3, el valor de Draft Samper 263272875-image917.png . Es el único cambio que se realiza con los parámetros indicados en la tabla 7.1 . Por cierto se está calculando para un perfil de suelo S3, que tiene un factor de amplificación por efecto del tipo de suelo Draft Samper 263272875-image918.png y se aprecia que el coeficiente sísmico Draft Samper 263272875-image919.png hallado con el CEC-77 es muy parecido al encontrado con el CEC-2000 y Draft Samper 263272875-image913.png .

Draft Samper 263272875-image920.png
Figura 7.2 Coeficiente sísmico Draft Samper 263272875-image915.png hallado en la zona 3 Draft Samper 263272875-image921.png

En la figura 7.3 se muestra el coeficiente sísmico Draft Samper 263272875-image922.png para las zonas sísmicas 2 y 1 que están caracterizadas por Draft Samper 263272875-image923.png y Draft Samper 263272875-image924.png respectivamente. Se aprecia que los valores reportados por el CEC-77 son más altos.


Draft Samper 263272875-image925.png
Draft Samper 263272875-image926.png


Figura 7.3 Coeficiente sísmico Draft Samper 263272875-image927.png para las zonas sísmicas 2 y 1.

En la tabla 7.2 se muestra la deriva máxima de piso, de las tres formas como se ha hallado el coeficiente sísmico Draft Samper 263272875-image928.png . Si Draft Samper 263272875-image929.png se obtiene a partir de los desplazamientos laterales elásticos Draft Samper 263272875-image930.png .

Tabla 7.2 Derivas de piso máxima calculadas en forma elástica.
Código Draft Samper 263272875-image931.png Deriva de piso máxima elástico
CEC-77 K = 0.67 0.0034
CEC-2000 10 0.002
CEC-2000 8.58 0.00175

7.6 CONCLUSIONES

Se ha obtenido el coeficiente sísmico Draft Samper 263272875-image932.png empleando el CEC-77 con el cual se habrán calculado las estructuras construidas en el Ecuador entre 1977 y el 2000. También empleando el CEC-2000 con Draft Samper 263272875-image933.png y con Draft Samper 263272875-image934.png que se propone en este libro cuando se va a mayorar el estado de cargas sísmicas Draft Samper 263272875-image935.png en las combinaciones de carga. Caso contrario la propuesta es Draft Samper 263272875-image936.png y deriva máxima de piso inelástica 0.015. Del estudio realizado se desprenden las siguientes conclusiones:

  • Las fuerzas sísmicas halladas con el CEC-77 son bajas para la zona sísmica 4 y adecuadas para las restantes zonas sísmicas. Son adecuadas ya que la deriva de piso máxima elástica es alta 3.4 por mil. Todo esto en estructuras compuestas por vigas y columnas sin muros de corte. Las principales ciudades del Ecuador: Quito y Guayaquil se hallan en zona 4 por lo que se recomienda que las estructuras construidas en el período 1977-2000 sean revisadas.
  • En el Ecuador la mayor parte de edificios se construyen con Draft Samper 263272875-image937.png y con un acero cuyo límite de fluencia es Draft Samper 263272875-image938.png . Con estos materiales y teniendo presente que las vigas sobresalen muy poco de la losa y las columnas son de dimensiones pequeñas. El valor de reducción de las fuerzas sísmicas, que se ha encontrado en esta investigación es Draft Samper 263272875-image936.png cuando no se va a mayorar el estado de cargas sísmicas y si se mayora es Draft Samper 263272875-image939.png . Con este valor de Draft Samper 263272875-image940.png las fuerzas sísmicas son mayores a las que se obtienen al aplicar el CEC-2000.

REFERENCIAS

1. Bozorgnia Y., and Bertero V., (2007), Earthquake Engineering from Enginering Seismology to performance- Based, CRC Press.
2. CEC-77, (1977), Código Ecuatoriano de la Construcción. Sección Reglamentaria. Instituto Ecuatoriano de Normalización, 141 p. Quito.
3. Código Ecuatoriano de la Construcción (2000), CEC-2000, Capítulo 1: Peligro sísmico, espectros de diseño y requisitos de cálculo para diseño sismo resistente, XIII Jornadas Nacionales de Ingeniería Estructural. Universidad Católica, 325-350, Quito.
Back to Top

Document information

Published on 01/01/2007

Licence: CC BY-NC-SA license

Document Score

0

Views 2776
Recommendations 0

Share this document

claim authorship

Are you one of the authors of this document?