Line 1: Line 1:
 
+
==1 Introduction==
==Hybrid Discontinuous Galerkin method for perturbations of the modified Helmholtz equation==
+
 
+
'''Danalie de los Angeles Azofeifa, Miguel Angel Morelesmoreles@cimat.mx'''
+
 
+
==2 Introduction==
+
  
 
The modified Helmholtz equation appears in a common physical model; its numerical solution is an active line of research.  See the discussion in Yaman & zdemir <span id='citeF-1'></span>[[#cite-1|[1]]] and the more recent Yaman et al <span id='citeF-2'></span>[[#cite-2|[2]]]. In the former, an integral equation method is proposed for the numerical solution.  In this work, a Galerkin approach is preferred for the numerical solution of perturbations of the modified Helmholtz equation.
 
The modified Helmholtz equation appears in a common physical model; its numerical solution is an active line of research.  See the discussion in Yaman & zdemir <span id='citeF-1'></span>[[#cite-1|[1]]] and the more recent Yaman et al <span id='citeF-2'></span>[[#cite-2|[2]]]. In the former, an integral equation method is proposed for the numerical solution.  In this work, a Galerkin approach is preferred for the numerical solution of perturbations of the modified Helmholtz equation.
Line 16: Line 11:
 
The outline is as follows. In Section 2,  we follow the HDG methodology and introduce a first-order system associated with the perturbed modified Helmholtz equations. Then, we delve into the discretization of the first-order system and show that the resulting finite-dimensional problem is well posed.  Numerical tests are presented in Section 3. First, we illustrate its performance as a Poisson solver in a preliminary comparison with a leading method in the literature. Accurate approximations are also shown for some benchmark Helmholtz problems in Coastal Ocean Modeling.  In all examples, we highlight approximations on coarse meshes.  We close our exposition with conclusions and future work.
 
The outline is as follows. In Section 2,  we follow the HDG methodology and introduce a first-order system associated with the perturbed modified Helmholtz equations. Then, we delve into the discretization of the first-order system and show that the resulting finite-dimensional problem is well posed.  Numerical tests are presented in Section 3. First, we illustrate its performance as a Poisson solver in a preliminary comparison with a leading method in the literature. Accurate approximations are also shown for some benchmark Helmholtz problems in Coastal Ocean Modeling.  In all examples, we highlight approximations on coarse meshes.  We close our exposition with conclusions and future work.
  
==3 Material and Methods==
+
==2 Material and Methods==
  
===3.1 A first order system for perturbations of the modified Helmholtz equation===
+
===2.1 A first order system for perturbations of the modified Helmholtz equation===
  
 
For a bounded Lipschitz domain <math display="inline">\Omega </math> in <math display="inline">\mathbb{R}^d</math>, let us consider the diffusion-advection-reaction equation for the unknown function <math display="inline">u</math>,
 
For a bounded Lipschitz domain <math display="inline">\Omega </math> in <math display="inline">\mathbb{R}^d</math>, let us consider the diffusion-advection-reaction equation for the unknown function <math display="inline">u</math>,
Line 105: Line 100:
 
|}
 
|}
  
===3.2 A Hybrid Discontinuous Galerkin Method===
+
===2.2 A Hybrid Discontinuous Galerkin Method===
  
 
Here we introduce the essentials of HDG, for full details see Bui-Thanh <span id='citeF-5'></span>[[#cite-5|[5]]].
 
Here we introduce the essentials of HDG, for full details see Bui-Thanh <span id='citeF-5'></span>[[#cite-5|[5]]].
Line 357: Line 352:
 
'''Remark. ''' Notice that the result is valid for Poisson problems, <math display="inline">c=0</math>, <math display="inline">\mathbf{v}=\mathbf{0}</math>.
 
'''Remark. ''' Notice that the result is valid for Poisson problems, <math display="inline">c=0</math>, <math display="inline">\mathbf{v}=\mathbf{0}</math>.
  
==4 Numerical results==
+
==3 Numerical results==
  
 
Here we simply illustrate some numerical results on a variety of problems, where the perturbed modified Helmholtz equation HDG solver is the computational engine.
 
Here we simply illustrate some numerical results on a variety of problems, where the perturbed modified Helmholtz equation HDG solver is the computational engine.
Line 367: Line 362:
 
To report the approximation's accuracy, we use the Root Mean Square Error (RMSE) as customary. Sometimes, we normalize by the corresponding norm of the exact solution to obtain the Normalized Root Mean Square Error (NRMSE).
 
To report the approximation's accuracy, we use the Root Mean Square Error (RMSE) as customary. Sometimes, we normalize by the corresponding norm of the exact solution to obtain the Normalized Root Mean Square Error (NRMSE).
  
===4.1 Poisson problems===
+
===3.1 Poisson problems===
  
 
For <math display="inline">c=0</math> and <math display="inline">\mathbf{v}=0</math> in ([[#eq-1|1]]) we have the pure diffusion equation
 
For <math display="inline">c=0</math> and <math display="inline">\mathbf{v}=0</math> in ([[#eq-1|1]]) we have the pure diffusion equation
Line 477: Line 472:
 
It is apparent that these results compare favorably with those in <span id='citeF-6'></span>[[#cite-6|[6]]]. A full comparison is to be carried out.
 
It is apparent that these results compare favorably with those in <span id='citeF-6'></span>[[#cite-6|[6]]]. A full comparison is to be carried out.
  
===4.2 Helmholtz equation===
+
===3.2 Helmholtz equation===
  
 
We consider two benchmark problems in Coastal Ocean Modeling (COM) that lead to Helmholtz equations. A comparison is made with the Finite Volume  (FVCOM) as presented in Chen et al <span id='citeF-7'></span>[[#cite-7|[7]]].  Therein, FVCOM is applied for the modeling of tidal simulation in a semienclosed basin with tidal forcing at the open boundary under near-resonance conditions.
 
We consider two benchmark problems in Coastal Ocean Modeling (COM) that lead to Helmholtz equations. A comparison is made with the Finite Volume  (FVCOM) as presented in Chen et al <span id='citeF-7'></span>[[#cite-7|[7]]].  Therein, FVCOM is applied for the modeling of tidal simulation in a semienclosed basin with tidal forcing at the open boundary under near-resonance conditions.
Line 483: Line 478:
 
Here we apply HDG to illustrate the accurate simulation of the troublesome near resonance case. We remark that for the Helmholtz equation, condition ([[#eq-7|7]]) is not valid. Nevertheless, the numerical results are highly satisfactory.
 
Here we apply HDG to illustrate the accurate simulation of the troublesome near resonance case. We remark that for the Helmholtz equation, condition ([[#eq-7|7]]) is not valid. Nevertheless, the numerical results are highly satisfactory.
  
====4.2.1 A Rectangular Channel====
+
====3.2.1 A Rectangular Channel====
  
 
Consider a fluid layer of uniform density that propagates along a channel aligned with the <math display="inline">x-</math>direction. More precisely, a semienclosed narrow channel with length <math display="inline">L</math> and variable depth <math display="inline">H(x)</math> and a closed boundary at <math display="inline">x=L_1</math> and an Open Boundary at <math display="inline">x=L</math>.
 
Consider a fluid layer of uniform density that propagates along a channel aligned with the <math display="inline">x-</math>direction. More precisely, a semienclosed narrow channel with length <math display="inline">L</math> and variable depth <math display="inline">H(x)</math> and a closed boundary at <math display="inline">x=L_1</math> and an Open Boundary at <math display="inline">x=L</math>.
Line 670: Line 665:
 
'''Remark. '''As pointed out in Chen et al <span id='citeF-7'></span>[[#cite-7|[7]]], regardless of the numerical method, a proper selection of horizontal resolution recover accurately this tidal resonance problem.  We argue that the accuracy attained by HDG in coarse meshes yields a better choice.
 
'''Remark. '''As pointed out in Chen et al <span id='citeF-7'></span>[[#cite-7|[7]]], regardless of the numerical method, a proper selection of horizontal resolution recover accurately this tidal resonance problem.  We argue that the accuracy attained by HDG in coarse meshes yields a better choice.
  
====4.2.2 A Sector Channel====
+
====3.2.2 A Sector Channel====
  
 
Now consider a flat bottom channel in the form of a semicircular section, which in polar coordinates is defined from <math display="inline">0</math> to <math display="inline">L</math> in the radial direction and from <math display="inline">-\alpha /2</math> to <math display="inline">\alpha /2</math> in the angular direction.
 
Now consider a flat bottom channel in the form of a semicircular section, which in polar coordinates is defined from <math display="inline">0</math> to <math display="inline">L</math> in the radial direction and from <math display="inline">-\alpha /2</math> to <math display="inline">\alpha /2</math> in the angular direction.
Line 856: Line 851:
 
'''Remark. '''Noteworthy, the <math display="inline">10\times 10</math> <math display="inline">\mbox{HDG}_4</math> solution is of grater quality that the <math display="inline">40\times 40</math> FV solution. In regards to execution time, the former is attained in half a second on a personal laptop. A solution of the same quality would require in the order of minutes with the Finite Volume Method in a much finer mesh.
 
'''Remark. '''Noteworthy, the <math display="inline">10\times 10</math> <math display="inline">\mbox{HDG}_4</math> solution is of grater quality that the <math display="inline">40\times 40</math> FV solution. In regards to execution time, the former is attained in half a second on a personal laptop. A solution of the same quality would require in the order of minutes with the Finite Volume Method in a much finer mesh.
  
===4.3 <span id='lb-4.3'></span>A θ-method for semilinear parabolic equations===
+
===3.3 <span id='lb-4.3'></span>A θ-method for semilinear parabolic equations===
  
 
The general linear parabolic second-order operator in <math display="inline">d-</math>space variables can be written in the form
 
The general linear parabolic second-order operator in <math display="inline">d-</math>space variables can be written in the form
Line 955: Line 950:
 
It is apparent that for sufficiently small <math display="inline">\Delta t</math> the reaction term is dominant and condition ([[#eq-7|7]]) is valid. Thus, in each time iteration, we solve the corresponding equations ([[#eq-9|9]]) and ([[#eq-10|10]]).
 
It is apparent that for sufficiently small <math display="inline">\Delta t</math> the reaction term is dominant and condition ([[#eq-7|7]]) is valid. Thus, in each time iteration, we solve the corresponding equations ([[#eq-9|9]]) and ([[#eq-10|10]]).
  
==5 Conclussions==
+
==4 Conclussions==
  
 
We have introduced a first-order system formulation for a regularly perturbed Modified Helmholtz equation. A discretization is derived by means of the Hybrid Discontinuous Galerkin method with an ad-hoc numerical flux. The Well-posedness of the finite-dimensional HDG discrete linear system follows from a dominant reaction condition.
 
We have introduced a first-order system formulation for a regularly perturbed Modified Helmholtz equation. A discretization is derived by means of the Hybrid Discontinuous Galerkin method with an ad-hoc numerical flux. The Well-posedness of the finite-dimensional HDG discrete linear system follows from a dominant reaction condition.

Revision as of 18:17, 2 December 2025

1 Introduction

The modified Helmholtz equation appears in a common physical model; its numerical solution is an active line of research. See the discussion in Yaman & zdemir [1] and the more recent Yaman et al [2]. In the former, an integral equation method is proposed for the numerical solution. In this work, a Galerkin approach is preferred for the numerical solution of perturbations of the modified Helmholtz equation.

The classical Galerkin approach is the Continuous Galerkin, Finite Element Method. A recent attractive alternative is the Discontinuous Galerkin (DG) Method. Unlike FEM, it is locally conservative and -adaptative. On the downside, the application of the Discontinuous Galerkin Method to elliptic problems usually leads to underdetermined linear systems, and penalization or suitable constraints are necessary. Also, Discontinuous Galerkin methods are more expensive in part because of the need for numerical fluxes at the edges of the mesh elements, thus yielding more coupled unknowns than FEM. See Riviere [3] and Di Pietro & Ern [4] for a thorough exposition.

These shortcomings of the DG method can be addressed in part by its descendant, the Hybrid Discontinuous Galerkin Method (HDG), Bui Tahn [5]. The numerical flux is hybridized, introducing unknowns on the edges of the mesh, thus breaking the coupling. The global solution is then obtained by solving small and independent linear systems on each element.

For the elliptic problem under study, we use a simple, physically motivated hybrid numerical flux that yields a well-posed linear system. This is guaranteed by the dominant reaction term in the modified Helmholtz equation.

The outline is as follows. In Section 2, we follow the HDG methodology and introduce a first-order system associated with the perturbed modified Helmholtz equations. Then, we delve into the discretization of the first-order system and show that the resulting finite-dimensional problem is well posed. Numerical tests are presented in Section 3. First, we illustrate its performance as a Poisson solver in a preliminary comparison with a leading method in the literature. Accurate approximations are also shown for some benchmark Helmholtz problems in Coastal Ocean Modeling. In all examples, we highlight approximations on coarse meshes. We close our exposition with conclusions and future work.

2 Material and Methods

2.1 A first order system for perturbations of the modified Helmholtz equation

For a bounded Lipschitz domain in , let us consider the diffusion-advection-reaction equation for the unknown function ,

(1)

The diffusion term is uniformly elliptic, that is is symmetric and there exist constants such that for almost all

(2)

Also, assume that , and .

For and , equation (1) is known as the modified Helmholtz equation. To construct a Discontinuous Galerkin approximation, a first step is to construct a hyperbolic-like first-order system. A small advection term is allowed; the smallness condition is made precise below.

Define the new variable (flux) . Since the matrix is invertible, , we obtain the following system

Let , and be the th canonical vector. Define

The system becomes

(3)

2.2 A Hybrid Discontinuous Galerkin Method

Here we introduce the essentials of HDG, for full details see Bui-Thanh [5].

For any matrix , we denote by its row , and column respectively.

Let us define

and

We apply operators component-wise. For instance, for the divergence operator, we have,

We can write the system (3) in the form

(4)

Assume we have a valid element partition of the domain . In DG, functions are approximated locally in each element by polynomials, then coupled with others in adjacent elements by means of a numerical flux. The basic process is as follows.

Let be an element in the partition. Compute the inner product on of each side of (4) with a (polynomial) test function , to obtain

(5)

Integrating by parts,

(6)

Continuity is not enforced at the boundary of adjacent elements. Therefore, the boundary term is replaced with a boundary numerical flux where solves a Riemann problem with Cauchy data . As customary, the – superscript denotes limits from the interior of , and the superscript, limits from the exterior. In this context, element is denoted by and the outer normal by .

To hybridize the flux, and break the coupling, is regarded as an extra unknown to be solved on the skeleton of the mesh. Renaming as and as , the problem is to propose a suitable hybrid numerical flux .

Let us apply this scheme to equation (1) under the following condition

(7)

This condition implies a dominant reaction term, which yields a tamed advection. Consequently, the diffusive flux is assumed to be continuous across any interface. Instead of the Riemann problem solution approach, we set the hybrid flux

(8)

Notice dependence only in the unknown .

For each element , the DG local unknown and the extra trace unknown need to satisfy

(9)

This is complemented by a weak jump condition in the skeleton, the set of elements edges . Namely, for each edge

(10)

Where in (9), in (10) are polynomial test functions defined on elements and edges respectively.

Here, is the jump operator,

On each element, we are led to solving the equations (9) and (10). Let us show that this finite-dimensional problem is well-posed by showing that under null data, the solution is the trivial one.

Lemma. Assume condition (7) holds. If and on , then in .

Proof.

Let us split the test function in the form . The equation (9) using the hybrid flux can be written as

(11)
(12)

By integration by parts in (12)

(13)

Let , and add equations (11), (13) to obtain

.

Notice that in the boundary term, is the inner limit .

We are led to

Hence, on , and in . Equation (11) becomes

Integrating by parts

Since is arbitrary, , and consequently in each element .

We conclude that in . .

Remark. Notice that the result is valid for Poisson problems, , .

3 Numerical results

Here we simply illustrate some numerical results on a variety of problems, where the perturbed modified Helmholtz equation HDG solver is the computational engine.

We will test benchmark problems in rectangular geometries and regular meshes for simplicity. Application to irregular geometries and unstructured meshes is straightforward.

We use the classical element functions on the reference segment for 1D applications, we denote by a order bilinear approximation. In 2D, refer to basis functions on the reference square , as products of first-order, respectively second order 1D basis functions.

To report the approximation's accuracy, we use the Root Mean Square Error (RMSE) as customary. Sometimes, we normalize by the corresponding norm of the exact solution to obtain the Normalized Root Mean Square Error (NRMSE).

3.1 Poisson problems

For and in (1) we have the pure diffusion equation

To illustrate the HDG method with continuous diffusion numerical flux, as a Poisson solver, we consider as the identity matrix.

First a smooth Dirichlet Problem for Poisson's equation on the domain ,

The exact solution is . The numerical solution using on a grid yields .

The DG method is -adaptative. Local high order is straightforward, and accurate approximations are possible on coarse meshes. For instance, we use for the Dirichlet problem

On a grid the .

A preliminary comparison with the method in [6]. The latter relies on an internal-penalty numerical flux requiring a penalty parameter, see (34) therein. Accuracy is shown in an exhaustive list of test problems. The simplest of such is the Dirichlet problem

with analytic solution is . Our solution is in Table 1.


Table. 1 Convergence of the two-dimensional Poisson problem using the Root means square error (RMSE).
Elements by dimension
20 0.0051 1.97 5.71e-5 2.94
30 0.0022 2.07 1.7e-5 2.98
50 0.00079 2.00 3.7e-6 2.98
70 0.00041 1.94 1.34e-6 3.01
100 0.00022 1.74 4.57e-7 3.01
150 8.93e-5 2.22 1.34e-7 3.02

It is apparent that these results compare favorably with those in [6]. A full comparison is to be carried out.

3.2 Helmholtz equation

We consider two benchmark problems in Coastal Ocean Modeling (COM) that lead to Helmholtz equations. A comparison is made with the Finite Volume (FVCOM) as presented in Chen et al [7]. Therein, FVCOM is applied for the modeling of tidal simulation in a semienclosed basin with tidal forcing at the open boundary under near-resonance conditions.

Here we apply HDG to illustrate the accurate simulation of the troublesome near resonance case. We remark that for the Helmholtz equation, condition (7) is not valid. Nevertheless, the numerical results are highly satisfactory.

3.2.1 A Rectangular Channel

Consider a fluid layer of uniform density that propagates along a channel aligned with the direction. More precisely, a semienclosed narrow channel with length and variable depth and a closed boundary at and an Open Boundary at .

Neglecting Coriolis force and advection of momentum, the governing equations modeling tidal waves propagation in the semienclosed channel (see Figure 1) are given as

Here, is the total water depth, is acceleration due to gravity, is speed in the direction, and is sea-level elevation .

Configuration of the semienclosed channel.
Figure 1: Configuration of the semienclosed channel.

Assuming harmonic solutions,

we obtain the one dimensional Helmholtz problem for

(14)

We specify a periodic tidal forcing with amplitude at the mouth of the channel,

and a no-flux boundary condition at the wall,

Let the channel depth decrease linearly toward the end of the channel, so that can be written as

It is readily seen that (14) is a Bessel's equation. With the given boundary conditions, the analytic solution is given by

where

are the Bessel's functions of degree zero and one respectively.

To compare with the HDG approximation, we solve the system,

Here we have defined in (14).

The following parameters are considered for a channel very close to resonance.

The HDG method is applied using nodal polynomials of degree 2 (). It is compared with the FV method and the analytic solution. For consistency with the FV method, we consider the approximation at the middle point of the element . As illustrated in Table 4, a second-order approximation with HDG in a coarse resolution is of greater quality than FV.


Table. 2 Relative root mean square error for and FV.
Elements NRMSE NRMSE
10 0.180784 22.3052
20 0.0748017 0.585413
40 0.0235224 0.553751
80 0.00684013 0.43336
160 0.00187985 0.297118
320 0.000495726 0.181964
640 0.000127432 0.102475
1280 0.0546902

The analytic solution describes a standing wave with a node point near the closed side of the channel. As expected, the reproduction of these features by HDG is accurate. See Figure 2

Solution for the rectangular channel near resonance case, with HDG nodal with polynomials of degree 2 and 80 elements.
Figure 2: Solution for the rectangular channel near resonance case, with HDG nodal with polynomials of degree 2 and 80 elements.

Remark. As pointed out in Chen et al [7], regardless of the numerical method, a proper selection of horizontal resolution recover accurately this tidal resonance problem. We argue that the accuracy attained by HDG in coarse meshes yields a better choice.

3.2.2 A Sector Channel

Now consider a flat bottom channel in the form of a semicircular section, which in polar coordinates is defined from to in the radial direction and from to in the angular direction.

The semicircular line of radius corresponds to an open border, while along the semicircular line of radius and the two sides, they are closed, (Figure 3).

Semienclosed sector channel in the polar region L₁≤r≤L, -\fracα2≤θ≤\fracα2. The sector is open at r=L and closed elsewhere.
Figure 3: Semienclosed sector channel in the polar region , . The sector is open at and closed elsewhere.

The following equations govern the nonrotating tidal oscillation,

(15)
(16)
(17)

is the constant water depth, are the radial and angular velocity components, and is the free surface water elevation.

Assuming a harmonic solution,

we can reduce the equations (15-17) to an elliptic equation

(18)

The physical boundary conditions are as follows

  1. At the open mouth of the channel, a harmonic tidal forcing is assumed,
  2. On the solid walls, null flux is prescribed,

The analytic solution of this boundary-value problem is:

where

are the th-order Bessel function of the first and second types.

Let us show the HDG solution in the rectangular domain .

Let denote the gradient with respect to and let

Equation (18) becomes a perturbation of the two-dimensional Helmholtz equation,

(19)

We apply the fourth order () scheme developed above for a near-resonance case. The geometric parameter values are:

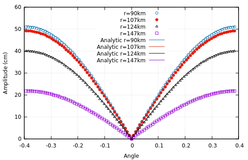
Figure (4) compares the analytic and numerical solutions. The relative mean square error is shown in Table 3.

Draft Tinoco Guerrero 710966872-cortes r.png Comparison between the analytic solution to the sector problem with the HDG₄ solution using 30×50 elements. a) Solution for some r values, b) Solution for some θ values.
Figure 4: Comparison between the analytic solution to the sector problem with the solution using elements. a) Solution for some values, b) Solution for some values.


Table. 3 Relative root mean square error for and FV.
Elements NRMSE NRMSE
0.441213 0.920939
0.009879 0.887757
0.0026408 0.803039
0.00115041 0.794262

Remark. Noteworthy, the solution is of grater quality that the FV solution. In regards to execution time, the former is attained in half a second on a personal laptop. A solution of the same quality would require in the order of minutes with the Finite Volume Method in a much finer mesh.

3.3 A θ-method for semilinear parabolic equations

The general linear parabolic second-order operator in space variables can be written in the form

(20)

Assume that is symmetric and there exists a constant such that

(21)

Consequently, the operator is uniformly parabolic.

We consider the semilinear equation

or

(22)

For we propose the method linear on the gradient term of to obtain

We are led to the linear diffusion-advection-reaction elliptic equation

Which we write in the form

(23)

Let us define the function

It is apparent that for sufficiently small the reaction term is dominant and condition (7) is valid. Thus, in each time iteration, we solve the corresponding equations (9) and (10).

4 Conclussions

We have introduced a first-order system formulation for a regularly perturbed Modified Helmholtz equation. A discretization is derived by means of the Hybrid Discontinuous Galerkin method with an ad-hoc numerical flux. The Well-posedness of the finite-dimensional HDG discrete linear system follows from a dominant reaction condition.

The preliminary comparison with a leading Poisson solver shows promise as a competitive alternative. Research on this is ongoing.

The proposed HDG discrete method is also applied to Helmhotlz's problems arising from Coastal Ocean Modeling. It outperforms the Finite Volume method commonly used in this setting.

The application to irregular regions with more general meshes is more elaborate but straightforward. Also, a parallel computing implementation is desired. Both tasks are left for future work.

BIBLIOGRAPHY

[1] Yaman, Olha Ivanyshyn and zdemir, Gazi. (2021) "Numerical solution of a generalized boundary value problem for the modified Helmholtz equation in two dimensions", Volume 190. Elsevier. Mathematics and Computers in Simulation 181–191

[2] Ivanyshyn Yaman, Olha and zdemir, Gazi. (2025) "An interior inverse generalized impedance problem for the modified Helmholtz equation in two dimensions", Volume 105. Wiley Online Library. ZAMM-Journal of Applied Mathematics and Mechanics/Zeitschrift für Angewandte Mathematik und Mechanik 1 e202300711

[3] Riviere, Béatrice. (2008) "Discontinuous Galerkin methods for solving elliptic and parabolic equations: theory and implementation". SIAM

[4] Di Pietro, Daniele Antonio and Ern, Alexandre. (2011) "Mathematical aspects of discontinuous Galerkin methods", Volume 69. Springer Science & Business Media

[5] Bui-Thanh, Tan. (2015) "From Godunov to a unified hybridized discontinuous Galerkin framework for partial differential equations", Volume 295. Elsevier. Journal of Computational Physics 114–146

[6] Fischer, Nils L and Pfeiffer, Harald P. (2022) "Unified discontinuous Galerkin scheme for a large class of elliptic equations", Volume 105. APS. Physical Review D 2 024034

[7] Chen, Changsheng and Huang, Haosheng and Beardsley, Robert C and Liu, Hedong and Xu, Qichun and Cowles, Geoffrey. (2007) "A finite volume numerical approach for coastal ocean circulation studies: Comparisons with finite difference models", Volume 112. Wiley Online Library. Journal of Geophysical Research: Oceans C3

Back to Top

Document information

Published on 27/12/25
Submitted on 02/12/25

Licence: CC BY-NC-SA license

Document Score

0

Views 67
Recommendations 0

Share this document

claim authorship

Are you one of the authors of this document?