Abstract

This study investigates a retailer's ordering strategy under the framework of the economic order quantity (EOQ) model. A supplier offers a retailer a disposable coupon and allows it to place a special order at any time in a promotion period. The promotion period is not necessary short and shortages are allowed throughout the time horizon. In addition to the special order time and the special order quantity, the retailer needs to decide whether to place some regular orders in the promotion period before placing the special order for the purpose of making better use of this coupon. We show that the coupon should be used to the retailer's first order in the promotion period regardless of the duration of the promotion period. Moreover, the retailer's maximum inventory level is higher than that in the classical EOQ model. We find that a longer promotion period can benefit the retailer by endowing it with more flexibility in its decision-making. Therefore, the supplier can improve the cash flow and reduce the overstock by integrating a disposable coupon with a longer promotion period. Numerous managerial insights are obtained from sensitivity analysis and numerical experiments.

Keywords: Inventory, price discount, disposable coupon, promotion period, economic order quantity, shortages

1. Introduction

“Small profits and quick returns” has been widely adopted by functional managers in real industrial practices. To accelerate cash flow and reduce overstock, it is common for a supplier to encourage a retailer to place a larger order by temporarily charging a lower wholesale price. In this context, the retailer can improve its inventory system by placing one or more special orders. Despite a reduced wholesale price, the retailer's order decision is driven by a trade-off between the benefit from the special order (e.g., reduced purchasing cost and unit inventory holding cost) and the loss from it (e.g., increased ordering cost and inventory level). As such, the retailer is generally prudent to make its order decision, which depends on the discount rate and the promotion period simultaneously [1].

Given the diversity of retailers, the motivation effect of a short promotion period may be marginally pronounced because it undermines the flexibility of retailers in their decision-making. Nevertheless, if the length of the promotion period is long, retailers may repeatedly place small special orders for the purpose of cutting the purchasing cost and the inventory holding cost simultaneously, which works to the disadvantage of the supplier. To resolve the problem, the supplier can set a longer promotion period and offer the retailer a disposable coupon whereby the latter can order a special quantity only once during the promotion period [2]. We are interested in the following research questions:

RQ1: Will the retailer place some regular orders in the promotion period before the special order?
RQ2: How does the discount rate influence the retailer's optimal order decision?
RQ3: How does the duration of the promotion period affect the retailer's total cost?

To address the above questions, we develop an inventory model in which a supplier offers a retailer a disposable coupon whereby the retailer can order a special quantity at a reduced wholesale price in a promotion period. The promotion period is not necessary short. Thus, in addition to the special order time and the special order quantity, the retailer needs to decide whether to place some regular orders in the promotion period before the special order. Shortages are allowed and all shortages are backordered. We derive the retailer's optimal order decision by first constructing its total cost function and then minimizing it. It is worthy mentioning that the retailer's total cost function is continuous with respect to the special order time and the special order quantity, while discrete with respect to the number of regular orders.

Our analytical results generate numerous managerial insights. Specifically, the coupon should be used to the first order in the promotion period regardless of the duration of the promotion period. Even if the supplier sets a long promotion period, the retailer has no incentive to deliberately postpone its special order, which improves the supplier's cash flow. Moreover, the maximum inventory level in our model is always higher than that in the classical economic order quantity (EOQ) model, indicating that the disposable coupon can reduce the supplier's overstock by passing on its excess stock to the downstream retailer. We investigate the effect of the discount rate on the retailer's optimal order decision. Overall speaking, a higher (lower) discount rate results in the retailer placing its special order earlier (later) and ordering less (more) special quantity simultaneously. In this sense, the supplier needs to make a trade-off between a earlier special order and a larger special order when setting the discount rate. Interestingly, the retailer's total cost decreases with the length of the promotion period, which implies that the supplier can attract more retailers by extending the promotion period in addition to reducing the wholesale price. The intuition is that a longer promotion period can make the retailer better off by endowing it with more flexibility in its ordering decision-making.

The remainder of this paper is organized as follows. Section 2 reviews the relevant literature. Section 3 describes the model. The retailer's optimal order decision and the corresponding managerial insights are presented in Section 4. In Section 5, we conduct numerical experiments to validate the proposed model. Section 6 concludes this study. All proofs are presented in Appendix.

2. Literature Review

The literature is reviewed from two perspectives: price discounts at a future time and price discounts over a short period.

For instantaneous price discounts, Lev and Weiss [3] investigated how a retailer adjusts its order quantity according to fluctuations of various operational costs. Tersine and Barman [4] developed a composite EOQ model which can be disaggregated into a family of hybrid models to deal with specific conditions. Wee and Yu [5] determined the optimal order quantity for deteriorating products. Cárdenas-Barrón et al. [6] generalized Tersine and Barman's model by allowing for shortages and two backorder costs. Yang et al. [7] examined an inventory setting in which the leading time hinges on the retailer's order quantity. Chang and Lin [8] generalized Lev and Weiss's model by incorporating perishable items. Yang et al. [9] formulated an inventory model with limited warehouse capacity. Taleizadeh [10] further extended Tersine and Barman's model by considering partial backordering shortages. Shaposhnik [11] developed an inventory model with a stochastic price discount. Inventory models with instantaneous price discounts include, among many others, [12,13,14,15,16,17,18,19].

For price discounts over a short period, Ardalan [20] suggested that the special order should be placed at a time when the inventory level reaches the minimum (i.e., the minimum inventory principle). Aull-Hyde [21] extended Ardalan's model by incorporating some supplier-restricted purchasing options. Ardalan [22] examined the retailer's replenishment and pricing strategy in a three-echelon supply chain. Aull-Hyde [23] investigated the retailer's ordering strategy under allowable shortages and restricted promotion period. Chu et al. [24] showed that the minimum inventory principle is still valid for Aull-Hyde's model. Abad [25] examined the retailer optimal order decision under a price-dependent demand. Sarker and Kindi [26] extended the time horizon from the special replenishment cycle to the whole year. Cárdenas-Barrón [27,28] generalized Sarker and Kindi's model by considering some practical extensions. Kindi and Sarker [29] further generalized Sarker and Kindi's model by allowing for shortages. Sari et al. [30] formulated an inventory model with time-based price discounts. Karimi-Nasab and Konstantaras [31] investigated the retailer's order strategy with stochastic replenishment cycles. Cárdenas-Barrón et al. [32] revised Kindi and Sarker's model and derived the closed-form optimal total gain costs. Wang et al. [33] developed an inventory model with a stochastic short-term price discount. Gao et al. [34] generalized Wang et al.'s model by allowing for partial backorders.

The literature referred to above generally assumes that the promotion period is too short to tolerate more than one order, which undermines the practicality of the price discount. Although Kindi and Sarker [26,29] examined the retailer's ordering strategy under a long promotion period, the start time of the promotion period is required to be exactly coincident with a regular replenishment point of the classical EOQ model. In this sense, the supplier's promotion policy is actually exclusive to a particular retailer and, thus, is hardly appropriate to various retailers. This paper complements the above literature by relaxing the assumption on the start time of the promotion period. To our best knowledge, this study is the first to allow the retailer to place some regular orders in the promotion period to better prepare for the subsequent special order, which endows the retailer with more flexibility in its decision-making and, thus, is suitable for a variety of retailers.

Our study is also related to Arcelus et al. [35], who investigated the retailer's special order time and special order quantity under a promotion period of unknown length. This study also examines the retailer's ordering strategy with a promotion period of arbitrary length, but differs from their model in two aspects. First, they allow the retailer to repeatedly place special orders throughout the promotion period, which enables the retailer to fully take advantage of the price discount. In contrast, we restrict the number of special orders to hurry the retailer into placing a larger special order for the purpose of improving the supplier's cash flow. Second, shortages are prohibited in their study, but they are allowed in this study, which endow the retailer with more flexibility in its decision-making.

3. Model Setup

Consider a supply chain setting in which a supplier sells a product to a retailer and charges a wholesale price for each unit of its product. To promote sales, the supplier offers the retailer a disposable coupon whereby the latter can place a special order in a promotion period at a reduced wholesale price , . The promotion period may include one or more regular replenishment points. If that is the case, the retailer needs to decide whether to continue placing some regular orders after the coupon is available (at time ) to prepare for the special order. Shortages are allowed and fully backordered throughout the time horizon. The length of the time horizon is exogenously given and long enough to include the special order period. In addition to the special order time , the special order quantity , the retailer needs to determine the number of regular orders placed in . For convenience, we denote simply by a triple the retailer's ordering strategy with a disposable coupon. To highlight the retailer's inventory mechanism, we adopt a constant demand rate under the framework of the classical EOQ model. To better illustrate our analytical model, we consider a two-echelon supply chain in which Coca-Cola and Costo act as the supplier and the retailer, respectively. The product is cola, which is produced by Coca-Cola and sold to Costco. It is worthy noting that the local demand for cola has tended to be steady [36]. A summary of the model notation is listed in the Table 1.

Table 1. Model notation
Notation Description
Annual market demand
Wholesale price
Discount rate,
Fixed ordering cost
Unit inventory holding cost
Fixed backorder cost
Unit backorder cost
Regular economic order quantity (EOQ) order quantity
Regular economic order quantity (EOQ) backorder level
The length of the time horizon
The start time of the promotion period
The end time of the promotion period
The number of regular orders placed in
The number of regular orders placed in
Special order quantity
Special order time


3.1 Inventory Level

In this subsection, we characterize the retailer's inventory level with respect to its ordering strategy. To this end, we first examine the fixed number of regular EOQ orders placed before the promotion period. Let , where denotes the smallest integer greater than or equal to . Thus, denotes the number of regular orders placed in , which satisfies .

We then investigate the number of regular orders placed in , wherein denotes the period from the coupon being available (at time ) to the special order being placed (at time ). Note that in the classic EOQ model, the -th, , regular order is placed at time . If the retailer decides to place , , regular orders in , it will place a total of regular orders in . In particular, the -th regular order is to be placed at time . To measure the retailer's inventory level at the special order time , let us define for and . In this light, is exactly the inventory level at the special order time .

Given that all items purchased through the last regular order before the promotion period will be sold out at time , we refer to as the regular order interval. Since all items purchased through the special order will be sold out at time , we refer to as the the special order interval. The retailer's inventory level is illustrated in Figure 1, where “RI”, “SI”, and “RH” denote the regular order interval, the special order interval, and the remaining time horizon, respectively.

Retailer's Ordering Strategy with n=0.
Figure 1. Retailer's ordering strategy with n=0

3.2 Total Cost

In this subsection, we examine the retailer's total cost with respect to the ordering strategy by adding up its total costs in the regular order interval, the special order interval, and the remaining time horizon.

We first consider the retailer's total cost in the regular order interval. According to [37], the average cost caused by the regular order is , where and if ; otherwise, and . Thus, the total cost in the regular order interval is , where is the backorder cost caused by the last regular order before the promotion period, which actually occurs in the subsequent special order interval.

Next, we investigate the retailer's total cost in the special order interval. It is worthy noting that when the wholesale price is reduced from to , the unit inventory holding cost falls from to , while two backorder costs and remain unchanged [6,29].

Lemma 1: When , the retailer can never achieve the minimum total cost.

Lemma 1 indicates that the inventory level should be non-negative after the retailer places a special order (i.e., ). Thus, we additionally assume that to simplify our discussion, which occurs if and only if . If , the retailer will bear the ordering cost, the purchasing cost, and the inventory holding cost simultaneously, in which case, the total cost in the special order interval is given by

if , the retailer will additionally pay the fixed backorder cost and the linear backorder cost for its special order, in which case, the corresponding cost is


Then, we examine the retailer's total cost in the remaining time horizon . Given that our inventory model converts to the classical EOQ model after time , we adopt the average cost of the regular EOQ ordering strategy in the remaining time horizon, where is large enough to contain the special order interval.1

Combining the above analysis, we can derive the retailer's total cost

where if and otherwise. One can check that is continuous with respect to and while discrete with respect to . The retailer can determine the optimal order decision by minimizing subject to the constraints: , , and .

(1) The retailer's optimal order decision is actually independent of the length of the time horizon ; see Proposition 1.

4. Analysis

Thus far, we have established the retailer's total cost function . In this subsection, we further examine the retailer's optimal order decision by minimizing . To this end, we first derive the minimizer, denoted by , of for a fixed and then determine the optimal number . For ease of exposition, let us define and ; then can be seen as a piecewise-defined function consisting of two sub-functions and .

Lemma 2: For a given , (i) is strictly decreasing in and convex in ; (ii) is strictly convex in and .

Lemma 2 reveals the structural property of the sub-function for . Solving yields , where . It is evident that strictly decreases in when and increases in when . Next, we derive the minimizer, denoted by , of for a given .

Lemma 3: For a given , (i) the minimum of the sub-function occurs at , where and ; (ii) the minimum of the sub-function occurs at , where and such that if , then , otherwise,

Building upon the minimizers of the sub-functions and for a given , we then examine the minimum of the piecewise function .

Lemma 4: For a given , the minimum of occurs at , where if ; otherwise .

Although the retailer can determine the optimal special order time and the optimal special order quantity given the number of regular orders , it is not clear whether the retailer should place some regular orders in the promotion period to prepare for the special order. In the following, we derive the retailer's optimal order decision, , by substituting and into and solving the optimization problem for .

Proposition 1: With a disposable coupon, the retailer's optimal order decision is .

Proposition 1 indicates that the coupon should be applied to the retailer's first order in the promotion period (i.e., ). Even if the promotion period lasts for a long time, the retailer will quickly place a special order after the coupon is available, which improves the supplier's cash flow and mitigates its overstock simultaneously. In particular, when , the retailer always places the special order at the end time of the promotion period (i.e., ). The following proposition demonstrates how the discount rate affects the maximum inventory level of the retailer.

Proposition 2: The maximum inventory level is always higher than that in the classical EOQ model and is strictly decreasing in the discount rate .

From Proposition 2, it would be better for the retailer to check on the capacity of its own warehouse before placing a special order, especially when the forecasted discount rate is highly seductive.

Proposition 3: When and , shortages cannot benefit the retailer unless the promotion period sets in.

Proposition 3 shows that if the fixed backorder cost is in an intermediate range and the promotion period ends late, the retailer should take shortages into account in the promotion period, even if shortages are futile in the previous regular orders (see Figure 4 for a visual illustration). This result emphasizes the importance of flexibly utilizing shortages.

Proposition 4: When the supplier raises (reduces) the discount rate, (i) the retailer will bring forward (postpone) its special order if the inventory level is negative at the original special order time; otherwise, the retailer will keep the special order time unchanged; (ii) the retailer will reduce (increase) its special order quantity regardless of the current inventory level.

Proposition 4 demonstrates how the retailer adjusts its order decision with respect to the discount rare. In particular, when the inventory level is non-negative throughout the promotion period (i.e., ), the retailer always places the special order at a time when the inventory level reaches the minimum (i.e., ), regardless of the discount rate; see Proposition 1. This result coincides with the minimum inventory principle in [20]. Differently, our result complements the minimum inventory principle by allowing for shortages and extending the duration of the promotion period.

Proposition 5: The longer the promotion period is, the more attractive the coupon will be to the retailer.

While a lower discount rate can help the supplier sell its products to more retailers, it may hurt the supplier by cutting its sales revenue. Proposition 5 indicates that the supplier can attract more retailers by properly extending the promotion period in addition to reducing the wholesale price. The intuition is that a longer promotion period endows the retailer more flexibility in ordering decision-making, which benefits the retailer and, thus, renders the supplier better off. This result enlightens the supplier on the promotion strategy.

5. Numerical Experiments

In this section, some numerical experiments are performed to illustrate the validity of the model.

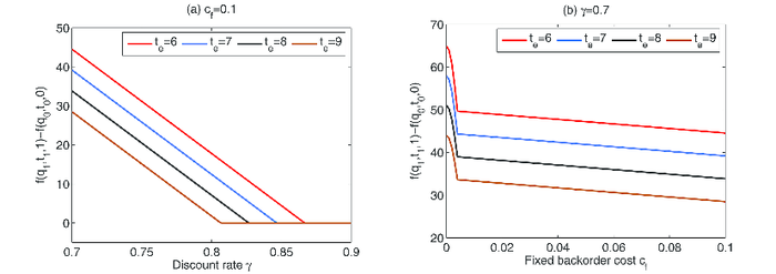
When the promotion period contains a regular replenishment point, the retailer needs to decide whether to place a regular order at this point. If the retailer does so (i.e., ), it incurs a total cost ; otherwise (i.e., ), the corresponding total cost is . Given that the retailer must make a trade-off between `` and ``, the loss caused by the retailer adopting the ordering strategy with can be measured by , whose graphical illustration is shown in Figure 2. We observe that the ordering strategy with always incurs a higher total cost than that with . Therefore, the retailer should promptly place the special order after the coupon is available, which is consistent with Proposition 1.

As depicted in Figure 2(a), the higher the discount rate is (or the later the promotion period ends), the lower the retailer's loss will be. In particular, when the discount rate is relatively high (e.g., ), the retailer may postpone placing its special order because there is no difference between the ordering strategies with and . As such, it would be better for the supplier to reduce the wholesale price and shorten the promotion period simultaneously to facilitate the retailer to place the special order earlier. Figure 2(b) shows that the loss of the retailer increases as the fixed backorder cost decreases. In particular, when is reduced to below a certain threshold (i.e., ), there is a rapid jump in the loss of retailer due to the change of the regular order quantity and backorder level . This emphasizes the importance of utilizing the coupon in time for a retailer who confronts a low fixed backorder cost.

Comparison of Retailer's Ordering Strategies with n=0 and n=1 (D=1000, A=0.1, h=0.07, cₗ=0.1, w=5, tₛ=0.25, k=7).
Figure 2. Comparison of retailer's ordering strategies with and (, , , , , , )


The graphical illustration of Proposition 2 is depicted in Figure 3. It implies that the maximum inventory level caused by the special order is always higher than that caused by the regular order. Moreover, the curves gradually decrease and ultimately intersect at . This displays how the maximum inventory level varies with the discount rate . In particular, when , the maximum inventory level is an invariant constant regardless of the wholesale price and whether the retailer makes use of the coupon, because the benefit of the coupon vanishes. Another feature of Figure 3 is that the curve corresponding to a higher wholesale price (e.g., ) is higher than that corresponding to a lower wholesale price (e.g., ), indicating that a retailer who is charged a higher wholesale price should, if necessary, prepare a larger warehouse for the forthcoming promotion season.

Maximum Inventory Level for γ and w (D=1000, A=1, h=0.1, cf=0.2, cₗ=0.1, tₛ=0.25, tₑ=1, k=7).
Figure 3. Maximum inventory level for and (, , , , , , , )


A graphical illustration of Proposition 3 can be seen in Figure 4. Note that shortages are currently not attractive to the retailer in the regular EOQ ordering strategy [37]. There are two noteworthy observations. First, the curve corresponding to “Shortages” is lower than that corresponding to “No shortages”, indicating that although shortages cannot render the retailer better off in its regular orders, they benefits the retailer in the promotion season. Second, the gap between the two curves becomes wider as the discount rate decreases. This implies that making use of shortages in due time can help the retailer cut back on more spending from a lower discount rate.

Comparison of Retailer's Total Costs under Allowable and Prohibitive Shortages (D=1000, A=0.1, h=0.2, cf=0.1, cₗ=0.06, w=3, tₛ=0.25, tₑ=0.7, k=7).
Figure 4. Comparison of retailer's total costs under allowable and prohibitive shortages (, , , , , , , , )


Figure 5 illustrates the effect of the discount rate elaborated in Proposition 4. As shown in plot (a), the lower the discount rate is, the later the retailer will be to place a special order. Namely, a lower discount rate postpones the retailer's special order. From plot (b), a lower discount rate always facilitates the retailer to place a larger special order. An interesting observation is that the curves are smoother with a lower wholesale price (e.g., ), but steeper as increases. This implies that a retailer who suffers from a higher wholesale price is more sensitive to the discount rate.

Retailer's Order Decision for γ and w (D=1000, A=0.1, h=0.07, cf=0.2, cₗ=1, tₛ=0.25, tₑ=1, k=7).
Figure 5. Retailer's order decision for and (, , , , , , , )


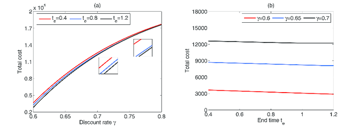
We illustrate Proposition 5 in Figure 6. It is evident that for any fixed end time (e.g., ), the retailer's total cost strictly increases with the discount rate (see plot (a)). This result is intuitive because a higher discount rate increases the retailer's purchasing cost. In contrast, given the discount rate (e.g., ), the retailer's total cost slightly decreases with the end time (see plot (b)). This indicates that the later the coupon expires, the better off the retailer will be. Thus, the supplier can promote sales by extending the promotion period in addition to setting a lower wholesale price.

Retailer's Total Cost for γ and tₑ (D=1000, A=0.1, h=0.07, cf=0.2, cₗ=0.1, w=3, tₛ=0.25, k=7).
Figure 6. Retailer's total cost for and (, , , , , , , )

6. Conclusions

Many suppliers charge lower wholesale prices at times with an intent to attract more retailers and, thus, promote sales. To accelerate cash flow, the suppliers usually encourage their retailers to place one large order in the promotion period instead of many small orders. This paper focuses on an inventory system with allowable shortages under the framework of the EOQ model. The supplier offers the retailer a coupon, which can be utilized only once in the promotion season. The distinguishing feature of the model is that the duration of the promotion period is not necessary temporary, which makes the model more practical. In this sense, the retailer needs to decide the number of regular orders placed in the promotion period before making use of the coupon, in addition to the special order time and the special order quantity.

We derive the retailer's optimal order decision on the disposable coupon. With it, numerous managerial insights are obtained. First, the coupon should be applied to the first order in the promotion period regardless of the length of the promotion period. Second, we show that the maximum inventory level in our model is always higher than that in the classic EOQ model, which highlights the importance of the retailer checking its storage capacity before placing a special order. Third, we find that if the fixed backorder cost is in an intermediate range and the promotion period ends later, shortages can make the retailer better off even if they are not attractive to the retailer before the promotion period. Fourth, when the discount rate becomes lower, the retailer should place a larger special order while postponing the special order to a certain extent. Finally, in addition to reducing the discount rate, the supplier can promote sales by extending the promotion period, which benefits the retailer by endowing it with more flexibility in decision-making.

This paper has some limitations. First, the analysis in our model is constructed on the assumption that the market demand is common knowledge between the retailer and the supplier. The model could be generalized by considering a robust model with uncertain parameters (e.g., unpredictable demands and changeable lead times) [38,39]. Second, for analytical tractability, we assume that the demand rate is constant while normalize the leading time to zero. It could be interesting to consider inventory systems with random leading times and multi-period resupply [40,41]. Third, in this paper, the supplier sells the product only through the retailer. In addition to the resell channel, the supplier can directly sell to end consumers by establishing a direct selling channel. Future research would be conducted to incorporate supplier encroachment [42,43].

Acknowledgments

This work was supported by the National Natural Science Foundation of China (11271175) and the Natural Science Foundation of Shandong Province (ZR2021MA079, ZR2021MA088).

References

[1] Andriolo A., Battini D., Grubbstrüm R.W., Persona A., Sgarbossa P. A century of evolution from Harris's basic lot size model: Survey and research agenda. International Journal of Production Economics, 155:16-38, 2014.

[2] Ben-Zion U., Hibshoosh A., Spiegel U. The optimal face value of a discount coupon. Journal of Economics & Business, 51(2):159-174, 1999.

[3] Lev B., Weiss H.J. Inventory models with cost changes. Operations Research, 38(1):53-63, 1990.

[4] Tersine R.J., Barman S. Economic purchasing strategies for temporary price discounts. European Journal of Operational Research, 80(2):328-343, 1995.

[5] Wee H., Yu J. A deteriorating inventory model with a temporary price discount. International Journal of Production Economics, 53(1):81-90, 1997.

[6] Cárdenas-Barrón L.E., Smith N.R., Goyal S.K. Optimal order size to take advantage of a one-time discount offer with allowed backorders. Applied Mathematical Modelling, 34(6):1642-1652, 2010.

[7] Yang C., Ouyang L.Y., Wu K.S., Yen H. An inventory model with temporary price discount when lead time links to order quantity. Journal of Scientific & Industrial Research, 69(3):180-187, 2010.

[8] Chang H.J., Lin W.F. A simple solution method for the finite horizon EOQ model for deteriorating items with cost changes. Asia-Pacific Journal of Operational Research, 28(6):689-704, 2011.

[9] Yang C.T., Ouyang L.Y., Wu K.S., Yen H.F. Optimal ordering policy in response to a temporary sale price when retailer's warehouse capacity is limited. European Journal of Industrial Engineering, 6(1):26-49, 2012.

[10] Taleizadeh A.A., Pentico D.W., Aryanezhad M., Ghoreyshi S.M. An economic order quantity model with partial backordering and a special sale price. European Journal of Operational Research, 221(3):571-583, 2012.

[11] Shaposhnik Y., Herer Y.T., Naseraldin H. Optimal ordering for a probabilistic one-time discount. European Journal of Operational Research, 244(3):803-814, 2015.

[12] Arcelus F.J., Shah N.H., Srinivasan G. Retailer's response to special sales: price discount vs. trade credit. Omega, 29(5):417-428, 2001.

[13] Gaither N., Park M.S. Analysis of constrained, one-time, multi-item discount offers. AIIE Transactions, 23(3):228-235, 1991.

[14] Goyal S.K., Srinivasan G., Arcelus F.J. One time only incentives and inventory policies. European Journal of Operational Research, 54(1):1-6, 1991.

[15] Chang H.J., Lin W.F., Ho J.F. Closed-form solutions for Wee's and Martin's EOQ models with a temporary price discount. International Journal of Production Economics, 131(2):528-534, 2011.

[16] Arcelus F.J., Shah N.H., Srinivasan G. Retailer's pricing, credit and inventory policies for deteriorating items in response to temporary price/credit incentives. International Journal of Production Economics, 81-82:153-162, 2003.

[17] Abad P.L. Buyer's response to a temporary price reduction incorporating freight costs. European Journal of Operational Research, 182(3):1073-1083, 2007.

[18] Hsu W.K.K., Yu H.F. EOQ model for imperfective items under a one-time-only discount. Omega, 37(5):1018-1026, 2009.

[19] Chakraborty T., Chauhan S.S., Awasthi A., Bouzdine-Chameeva T. Two-period pricing and ordering policy with price-sensitive uncertain demand. Journal of the Operational Research Society, 70(3):377-394, 2019.

[20] Ardalan A. Optimal ordering policies in response to a sale. IIE Transactions 20(3):292-294, 1988.

[21] Aull-Hyde R.L. Evaluation of supplier-restricted purchasing options under temporary price discounts. AIIE Transactions, 24(2):184-186, 1992.

[22] Ardalan A. Optimal prices and order quantities when temporary price discounts result in increase in demand. European Journal of Operational Research, 72(1):52-61, 1994.

[23] Aull-Hyde R.L. A backlog inventory model during restricted sale periods. Journal of the Operational Research Society, 479:1192-1200, 1996.

[24] Chu P., Chen P.S., Niu T. Note on supplier-restricted order quantity under temporary price discounts. Mathematical Methods of Operations Research, 58(1):141-147, 2003.

[25] Abad P.L. Optimal price and lot size when the supplier offers a temporary price reduction over an interval. Computers and Operations Research, 30(1):63-74, 2003.

[26] Sarker B.R., Kindi M.A. Optimal ordering policies in response to a discount offer. International Journal of Production Economics, 100(2):195-211, 2006.

[27] Cárdenas-Barrón L.E. Optimal ordering policies in response to a discount offer: Corrections. International Journal of Production Economics, 122(2):783-789, 2009.

[28] Cárdenas-Barrón L. E. Optimal ordering policies in response to a discount offer: Extensions. International Journal of Production Economics, 122(2):774-782, 2009.

[29] Kindi M.A., Sarker B.R. Optimal inventory system with two backlog costs in response to a discount offer. Production Planning and Control, 22(3):325-333,2011.

[30] Sari D.P., Rusdiansyah A., Huang L. Models of joint economic lot-sizing problem with time-based temporary price discounts. International Journal of Production Economics, 139(1):145-154, 2012.

[31] Karimi-Nasab M., Konstantaras I. An inventory control model with stochastic review interval and special sale offer. European Journal of Operational Research, 227(1):81-87, 2013.

[32] Cárdenas-Barrón L.E., Chung, K.J., Kazemi N., Shekarian E. Optimal inventory system with two backlog costs in response to a discount offer: corrections and complements. Operational Research, 18:97-104, 2018.

[33] Wang Y., Gao H., Wei X. Optimal replenishment and stocking strategies for inventory mechanism with a dynamically stochastic short-term price discount. Journal of Global Optimization, 70(1):27-53, 2018.

[34] Gao H., Wang D., Santibanez Gonzalez E.D.R., Ju Y. Optimal stocking strategies for inventory mechanism with a stochastic short-term price discount and partial backordering. International Journal of Production Research, 57(2):1-30, 2019.

[35] Arcelus F.J., Pakkala T.P.M., Srinivasan G. A retailer's decision process when anticipating a vendor's temporary discount offer. Computers & Industrial Engineering 57(1):253-260, 2009.

[36] Zhang Z., Zhang S.T., Yue M.S. Joint ordering policy for a conditional trade credit model with two retailers. European Journal of Industrial Engineering, 16(4):398-417, 2022.

[37] Sphicas G.P. EOQ and EPQ with linear and fixed backorder costs: Two cases identified and models analyzed without calculus. International Journal of Production Economics, 98(1):59-64, 2006.

[38] Shang C., You F.Q. Distributionally robust optimization for planning and scheduling under uncertainty. Computers & Chemical Engineering, 110:53-68, 2018.

[39] Wang Y.D., Shi Q., Li L., Li F., Xia W. Spare parts supply network optimization with uncertain distributed lead times and demands. Revista Internacional de Métodos Numéricos para Cálculo y Diseño en Ingeniería, 37(1), 1, 2021.

[40] Bashyam S., Fu M.C. Optimization of inventory systems with random lead times and a service level constraint. Management Science, 44:S243-S256, 1998.

[41] Deng H.Y., Shi Q., Wang Y.D. Joint optimization of condition-based maintenance and inventory ordering based on status monitoring for multi-unit system. Revista Internacional de Métodos Numéricos para Cálculo y Diseño en Ingeniería, 37(4), 45, 2021.

[42] Huang S., Guan X., Chen Y.J. Retailer information sharing with supplier encroachment. Production & Operations Management, 27(6):1133-1147, 2018.

[43] Yue M.S., Zhang S.T., Zhang Z. Deterrence effect of risk aversion information sharing on supplier encroachment. Computers & Industrial Engineering, 169, 108246, 2022.

Appendix

Proof of Lemma 1: We denote by the retailer's ordering strategy satisfying and define , where . Note that although and involve the same special order quantity , the special order time in is earlier than the special order time in (i.e., ). We then prove that the total cost of is higher than that of .

Since , , and , the two ordering strategies (i.e., and ) lead to the same inventory level in the time horizon except for the interval . Thus, we need only to compare the total costs of and in . Given that the inventory level of is always non-positive and higher than that of in , and lead to the same fixed backorder cost and incurs a lower linear backorder cost than . Therefore, the ordering strategy with cannot help the retailer reach the minimum total cost.


Proof of Lemma 2: Taking the partial derivatives of and with respect to and yields , , . The corresponding second partial derivatives are , , , , and .

Since and , is decreasing and convex in . Constructing the Hessian matrix of and calculating the determinant of it yields . Hence, is convex with respect to and .


Proof of Lemma 3: (i) For a given , because if and only if , we need only to minimize subject to the constrains: and . The result directly follows from Lemma 2(i) and the first-order optimality condition (i.e., ).

(ii) By the same token, we minimize for a fixed subject to and . The stable point, (), of for a fixed satisfies and . We then discuss whether the stable point () locates in the feasible domain of mentioned above. It is worthy noting that always holds under the condition of , which occurs if and only if . Following , we have . Given that if and only if , the discussion is divided into the following two cases based on the values of and [37].


Case 1: . Following , we have (or equivalently, ) and thus . In this case, locates in the feasible domain of if and only if . Thus, if ; if ; and if . And follows from the first-order optimality condition.


Case 2: . In this case, we have . Since and , the feasible domain of is reduced to and . If , then and . In this context, locates in the feasible domain of if and only if . Alternatively, if , then . In this context, does not locate in the feasible domain of . Thus, and .


Proof of Lemma 4: The discussion is divided into the following two cases.

Case 1 . Given that for any , we always have . In this context, the feasible domain of is empty; thus, the minimizer of is coincident with that of .


Case 2: . If , then reaches the minimum at , where and (see Lemma 3). Since , the minimizer of also locates in the feasible domain of . Hence, the minimizer of can be regarded as that of . Alternatively, if , then always holds for any . In this context, the domain of is empty. Thus, the minimizer of is exactly that of .


Proof of Proposition 1: We first show that the optimal number . To this end, we need to find some for any ordering strategy with such that , where is the minimizer of . Specifically, when , let ; then and . Following , we have , where is the minimizer of . Similarly, when , let ; then . Therefore, it is not necessary for the retailer to place more than one regular orders in ; that is, .

Next, we examine when the retailer places a regular order in . For ease of exposition, we denote by the first regular replenishment point after time , i.e., . Specifically, if , there is no regular replenishment point in the promotion period ; thus, the retailer never places regular orders in (i.e., ). If , the discussion is divided into two cases based on the relationship between and . Note that all items will be sold out at time if the retailer places a regular order at time .


Case 1: . Given that is the unique regular replenishment point in the promotion period , the retailer needs to decide whether to place a regular order at time . If he does so (i.e., ), by , Lemmas 3(i), and Lemma 4, reaches the minimum at ; that is for any and . If he does not so (i.e., ), given that , the minimum of occurs at ; that is, for any and . In this sense, the retailer places a regular order at time (i.e., ) if and only if . Let , the discussion is further divided into the following two subcases based on the relationship between and .

Case 1.1: . From Lemma 3 (ii), we have , where is the minimizer of . We then prove by mildly extending the promotion period from to , where . It is straightforward that Lemmas 1-3 hold for the alternative promotion period . Following Lemma 2(i) and , we have . Combining the above analysis, we have . Thus, .

Case 1.2: . Suppose that , following and , we have , which contradicts with . Thus, . It is evident that when , if and only if , which always holds because . Following and , we have . We then prove the result by extending the promotion period from to , where and . Note that Lemmas 1-3 still hold for the alternative promotion period . Following Lemma 2(i) and , we have . Because , is strictly decreasing in when , where satisfying (see Lemma 2). Thus, . Given that and that is the minimizer of under the condition of the promotion period being , we have . Based on the above, we conclude that ; that is, .


Case 2: . By Lemmas 3 and 4, the retailer's minimum total cost is if the retailer places a regular order at time ; otherwise, its minimum total cost is . If , then (see Lemma 3(ii)). Otherwise, following , , and Lemma 3(ii), we have . Let , then . Using , we have . In this sense, the retailer places a regular order at time (i.e., ) if and only if . Specifically, if , using , we have , where is the minimizer of . Thus, . Alternatively, if , the discussion is further divided into the following two subcases based on the relationship between and . Note that .

Case 2.1: . Suppose that , then . Using , , and , we have , which contradicts with . Hence, . Following and , we have and thus . The result will be proven by replacing with . Lemmas 1-3 still hold for the promotion period . By , , and Lemma 3 (ii), we have . Thus, is strictly decreasing in when (see Lemma 2). In this sense, we have that , where is the minimizer of under the condition of the promotion period being . Thus, .

Case 2.2: . By Lemma 3 (ii), we have . We prove by replacing with . Lemmas 1-3 hold for . Following and , we have that is strictly decreasing in when . Thus, (i.e., ), where is the minimizer of under the condition of the promotion period being .


Proof of Proposition 2: Let , the result directly follows from and .


Proof of Proposition 3: Following , we have and , indicating that shortages cannot make the retailer better off through regular EOQ orders. We then prove by showing that the minimum inventory level in the promotion period is negative (i.e., ). Using and Lemma 4, we have . From , we have and thus . According to and , we have (see Lemma 3(ii)). Given that and , . Thus, .


Proof of Proposition 4: (i) If , then . Suppose that , we have , which yields a contradiction. Thus, . Suppose that , then , wherein . This contradicts with . Following , , and Lemma 3(ii), we have if ; otherwise . Alternatively, if , then . Recall that holds for all . Suppose that and hold simultaneously, using , we have (see Lemma 3(ii)). This contradicts with . Thus, we can conclude that either or holds, which leads to .

(ii) The result directly follows from .


Proof of Proposition 5: If the supplier extends the promotion period, the retailer will always have an option to place the same special order as before. As a consequence, a longer promotion can only benefit the retailer instead of making it worse off

Back to Top

Document information

Published on 26/06/23
Accepted on 21/06/23
Submitted on 17/05/23

Volume 39, Issue 2, 2023
DOI: 10.23967/j.rimni.2023.06.006
Licence: CC BY-NC-SA license

Document Score

0

Views 60
Recommendations 0

Share this document

claim authorship

Are you one of the authors of this document?