Abstract

Three total column dry-air mole fractions of CO2 (XCO2 ) products from satellite retrievals, namely SCIAMACHY, NIES-GOSAT, and ACOS-GOSAT, in the Northern Hemisphere were validated by ground data from the Total Carbon Column Observing Network (TCCON). The results showed that the satellite data have the same seasonal fluctuations as in the TCCON data, with maximum in April or May and minimum in August or September. The three products all underestimate the XCO2 . The ACOS-GOSAT and the NIES-GOSAT products are roughly equivalent, and their mean standard deviations are 2.26 × 10−6 and 2.27 × 10−6 respectively. The accuracy of the SCIMACHY product is slightly lower, with a mean standard deviation of 2.91 × 10−6 .

Keywords

CO2 ; Satellite remote sensing ; Validation

1. Introduction

As the main greenhouse gas in the atmosphere (Xiang et al., 2009 ), CO2 has produced the radiation force which causes the global warming and has become one of the most influential global environmental problems (IPCC, 2007 , Zou et al., 2008  and Feng et al., 2008 ). Although traditional ground-based observation methods have the advantages of high precision and reliability, they are constrained by the distribution and number of the sites, and the lack of ability of a wide range of real-time monitoring. Satellite remote sensing of atmospheric CO2 concentration offers stable, continuous, large-scale observation and many other advantages (Zhang et al., 2007 ), so in the monitoring of CO2 , satellite has played an increasingly important role. With the development of satellite hyper spectral remote sensing technology, a series of satellites with the ability to detect CO2 have been launched one after another. The AIRS sensor carried on the Aqua satellite of the United States can extract the information of CO2 in the middle troposphere through the infrared spectrum detection (Bai et al., 2010 ). The SCIAMACHY sensor carried on the Envisat satellite of the European Space Agency is detecting with the near infrared spectrum and has become the first sensor sensitive to the boundary layer; the TANSO sensor carried on GOSAT satellite has gained the global observation data of CO2 for nearly six years; and other new carbon monitoring satellites such as the small satellite constellation and the orbiting carbon observatory are also under development (He et al., 2012 ). The first CO2 monitoring satellite in China will be launched and it will fill the blank in greenhouse gas monitoring technology in China. The results will help to study the variation of global warming and global carbon distribution, and provide effective support in response to global climate change and other aspects of the country.

There are many research results about the inversion algorithm and validation of total column dry-air mole fractions of CO2 (XCO2 ) products from different satellites. Using the measurement results of FTS, Reuter et al. (2011a) validated the XCO2 product accuracy of SCIAMACHY, which was inverted by the BESD algorithm (Reuter et al., 2010 , Reuter et al., 2011b  and Morino et al., 2011 ). The result showed that the standard deviation is 2.5 × 10−6 . Some scholars (Morino et al., 2011 , Yoshida et al., 2011  and Yoshida et al., 2013 ) used the ground data and model simulation results to validate the NIES/JAXA/MOE GOSAT TANSO-FTS SWIR XCO2 L2 products, and their results showed that the GOSAT XCO2 products of version 01.xx have a negative deviation of (8.85 ± 4.75) × 10−6 (2.3% ± 1.2%), and the standard deviation is about 1% after the negative deviation correction. Compared with the version 01.xx, the version 02.xx product has a smaller standard deviation of 2.1 × 10−6 . The ACOS project in the United States also obtained the XCO2 products using the data of GOSAT satellite. Using the Total Carbon Column Observing Network (TCCON) data, Wunch et al. (2011a) validated the precision of this XCO2 product and the results showed that the standard deviation is 2.2 × 10−6 .

In the present study, three XCO2 products from satellite retrievals were validated by using ground data from the TCCON in the Northern Hemisphere. These three XCO2 products are the SCIAMACHY product, which was inverted by the BESD algorithm; NIES/JAXA/MOE GOSAT TANSO-FTS SWIR XCO2 L2 product (hereinafter referred to as NIES-GOSAT product); and the XCO2 product inverted by the ACOS project (hereinafter referred to as ACOS-GOSAT product). A quantitative evaluation of the products’ precision should be made.

2. Data and methods

The seven Northern Hemisphere ground XCO2 data used in this study were from the TCCON website (https://tccon-wiki.caltech.edu/ ) (Wunch et al., 2011b ). The distribution of the sites is shown in Fig. 1 . TCCON is a network of ground-based Fourier Transform Spectrometers that record direct solar spectra in the near-infrared. From these spectra, accurate and precise column-averaged abundances of atmospheric constituents including CO2 , CH4 , N2 O, CO and O2 , are retrieved, providing ground validation data for satellite products. For details of the inversion method of XCO2 one can refer to Washenfelder et al. (2006) . Wunch et al. (2010) used aircraft observations to validate its accuracy, indicating that the maximum error for sites around the globe was less than 0.8 × 10−6 .


The locations of the seven TCCON stations used in this study.


Fig. 1.

The locations of the seven TCCON stations used in this study.

The data of XCO2 products are from April 2010 to March 2012. The SCIAMACHY is a global XCO2 orbit product (version v01.00.01) coming from Bremen University in Germany, which was inverted by the BESD method. The specific processing method can be found in Reuter et al. (2010 , Reuter et al., 2011a  and Reuter et al., 2011b ). The NIES-GOSAT product is a global TANSO-FTS SWIR XCO2 L2 product (version v0211) coming from NIES GOSAT website (https://data.gosat.NIES.Go.Jp/ ), which was preprocessed, screened, extracted and post-processed from L1 data. For details of this processing method one can refer to Yoshida et al. (2011) . The ACOS-GOSAT product is global XCO2 v2.9 dataset coming from Goddard Data and Information Services Center, which was inverted from the GOSAT satellite data using the orbiting carbon observatory inversion method by the ACOS project in the United States.

3. The sensitivity test of time-space matching method

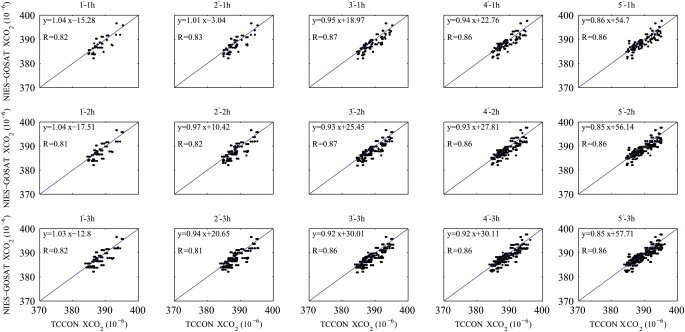
By consulting to the validation work of others (Reuter et al., 2010 , Reuter et al., 2011a , Reuter et al., 2011b , Yoshida et al., 2011 , Yoshida et al., 2013 , Morino et al., 2011  and Wunch et al., 2010 ), the space matching scope of 1°–5° and time matching scope of 1–3 h were used respectively, and through matching, the comparison between satellite XCO2 products and TCCON is shown in Fig. 2 . Resulted statistics such as the absolute error, the standard deviation, the correlation coefficient and matching point number are given in Table 1 . Here we only list the comparison between NIES-GOSAT data and Park Falls ground-based observations. These results showed that as the range of time and space relaxed, matching points increase gradually, while the difference between the statistical results of different time-space matching methods is not significant, indicating that satellite XCO2 products is not sensitive to the selected time-space matching method, XCO2 change little in this range of time and space. Keppel-Aleks et al. (2011) detailed the use of the potential temperature coordinate as a proxy for equivalent latitude for CO2 gradients in the Northern Hemisphere, and for the coincidence criteria of Wunch et al. (2011a) , they found GOSAT measurements were within 10 days, latitudes within ±10° and longitudes within ±30° of the TCCON site, for which pressure (700 hPa) was ±2 K of the value over the TCCON site. Such a broad space-time matching method further illustrates the XCO2 change little in space (time). Thus, in order to ensure enough matching points in relatively small range of time and space scope, the satellite XCO2 products are restricted to within 2 h, latitude to within ±1.5°, longitude to within ±3.5° of TCCON site.


Comparison of NIES-GOSAT data and Park Falls ground-based observations.


Fig. 2.

Comparison of NIES-GOSAT data and Park Falls ground-based observations.

Table 1. The statistical results of comparison between NIES-GOSAT data and Park Falls ground-based observations.
Matching method Absolute error (10−6 ) Standard deviation (10−6 ) Correlation coefficient Matching point number
1° – 1 h −0.64 2.11 0.82 53
2° – 1 h −0.69 1.97 0.83 77
3° – 1 h −0.90 1.81 0.87 108
4° – 1 h −0.68 1.72 0.86 136
5° – 1 h −0.66 1.75 0.86 167
1° – 2 h −0.64 2.10 0.81 107
2° – 2 h −0.71 2.02 0.82 158
3° – 2 h −0.91 1.85 0.87 218
4° – 2 h −0.69 1.77 0.86 274
5° – 2 h −0.66 1.77 0.86 333
1° – 3 h −0.62 2.10 0.82 161
2° – 3 h −0.72 2.06 0.81 242
3° – 3 h −0.91 1.88 0.86 330
4° – 3 h −0.67 1.78 0.86 410
5° – 3 h −0.63 1.77 0.86 494

4. Results

4.1. The quantitative comparison

Table 2 , Table 3  and Table 4 present the statistics results of three comparisons between satellite data and TCCON, including the absolute error, the standard deviation, the correlation coefficient and matching point numbers, and the correlation coefficients all passed the significance test of 0.05. It can be seen from the tables that the mean absolute error of the three satellite products are all negative, indicating that the three products all underestimate the XCO2 . This underestimation may be caused by instrumental calibration error (Morino et al., 2011 , Yoshida et al., 2011  and Yoshida et al., 2013 ). Further to analysis the mean standard deviation, it can be seen that the accuracy of the ACOS-GOSAT product and the NIES-GOSAT product is almost the same, and their mean standard deviation are 2.26 × 10−6 and 2.27 × 10−6 respectively. The accuracy of the SCIMACHY product is slightly lower with mean standard deviation of 2.91 × 10−6 .

Table 2. The statistical results of comparison between SCIAMACHY data and TCCON ground-based observations.
Site name Absolute error (10−6 ) Standard deviation (10−6 ) Correlation coefficient Matching point number
Bialystok −1.01 2.73 0.53 26
Eureka
Garmisch
Lamont −2.22 3.01 0.65 210
Orleans −0.29 2.93 0.64 43
Park Falls −0.63 2.91 0.70 79
Sodankgla −0.97 2.11 0.50 20
Mean −1.52 2.91 0.64 378

Table 3. The statistical results of comparison between NIES-GOSAT data and TCCON ground-based observations.
Site name Absolute error (10−6 ) Standard deviation (10−6 ) Correlation coefficient Matching point number
Bialystok −1.15 1.84 0.90 30
Eureka
Garmisch −1.05 2.46 0.65 81
Lamont −2.27 2.62 0.87 321
Orleans −1.29 1.87 0.73 69
Park Falls −0.70 1.99 0.82 172
Sodankgla −0.84 1.83 0.86 82
Mean −1.49 2.27 0.82 755

Table 4. The statistical results of comparison between ACOS-GOSAT data and TCCON ground-based observations.
Site name Absolute error (10−6 ) Standard deviation (10−6 ) Correlation coefficient Matching point number
Bialystok −0.02 2.42 0.72 43
Eureka
Garmisch −0.18 2.65 0.63 63
Lamont −1.70 2.36 0.78 362
Orleans −0.02 2.42 0.72 43
Park Falls 0.30 2.02 0.84 99
Sodankgla 0.59 1.94 0.53 38
Mean −0.94 2.26 0.76 659

4.2. Comparison of time series

Further to compare the matching data in time series, as shown in Fig. 3 , part did not find matching data. It can be seen that the satellite data have the same seasonal fluctuations as TCCON, in general with maximum in April or May and minimum in August or September. This is mainly because in summer and fall, plants are flourishing and CO2 is consumed by photosynthesis, so the concentration is low. However in winter and spring, the plants withered and photosynthesis is weak, with the CO2 emissions of winter heating system, CO2 reaches the highest value in April or May.


Comparison of time series between satellite data NIES-GOSAT, ACOS-GOSAT, ...


Fig. 3.

Comparison of time series between satellite data NIES-GOSAT, ACOS-GOSAT, SCIAMACHY and TCCON ground-based observations.

5. Conclusions and discussion

Three XCO2 products from satellite retrievals, including SCIAMACHY, NIES-GOSAT, and ACOS-GOSAT, in the Northern Hemisphere were validated by ground data from TCCON. As a result, conclusions are as follows:

  • Compared to TCCON, the three products of satellite retrievals all underestimate the XCO2 .
  • The accuracy of the ACOS-GOSAT and the NIES-GOSAT products is almost the same, and their mean standard deviations are 2.26 × 10−6 and 2.27 × 10−6 respectively. The accuracy of the SCIMACHY product is slightly lower, with mean standard deviation of 2.91 × 10−6 .
  • The satellite data show the same seasonal fluctuations with TCCON, in general with maximum in April or May and minimum in August or September.

The SCIAMACHY products are retrieved from the bands near 0.76 μm and 1.58 μm. In addition to these two bands, the NIES-GOSAT and ACOS-GOSAT products use the band near 2.06 μm as well (Reuter et al., 2013 ), which is the main reason that SCIAMACHY has a worse precision. The discrepancies of the precision between NIES-GOSAT and ACOS-GOSAT are mainly caused by the difference of scattering module used in the inversion and cloud removal methods.

Acknowledgements

This paper was funded by the 863 Project (2011AA12A104 ) and National Natural Science Foundation of China (41375025 ).

References

  1. Bai et al., 2010 W.-G. Bai, X.-Y. Zhang, P. Zhang; Temporal and spatial distribution of tropospheric CO2 over China based on satellite observations  ; Chin. Sci. Bull., 55 (31) (2010), pp. 3612–3618 (in Chinese)
  2. Feng et al., 2008 X.-Z. Feng, X.-C. Wang, H.-F. Chen; Analysis of factors impacting Chinas CO2 emissions during 1971–2005  ; Adv. Clim. Change Res., 4 (1) (2008), pp. 42–47 (in Chinese)
  3. He et al., 2012 Q.-T. He, T. Yu, H. Cheng, et al.; Atmospheric carbon dioxide satellite remote sensing retrieval accuracy inspection and spatio-temporal characteristics analysis; J. Geo-Information Sci., 14 (2) (2012), pp. 250–257 (in Chinese)
  4. IPCC, 2007 IPCC; Climate Change 2007: Synthesis Report; Cambridge University Press, Cambridge (2007)
  5. Keppel-Aleks et al., 2011 G. Keppel-Aleks, P.O. Wennberg, T. Schneider; Sources of variations in total column carbon dioxide; Atmos. Chem. Phys., 11 (2011), pp. 3581–3593
  6. Morino et al., 2011 I. Morino, O. Uchino, M. Inoue, et al.; Preliminary validation of column-averaged volume mixing ratios of carbon dioxide and methane retrieved from GOSAT short-wave length infrared spectra atmospheric measurement techniques; Atmos. Meas. Tech., 4 (6) (2011), pp. 1061–1076
  7. Reuter et al., 2010 M. Reuter, M. Buchwitz, O. Schneising, et al.; A method for improved SCIAMACHY CO2 retrieval in the presence of optically thin clouds  ; Atmos. Meas. Tech., 3 (2010), pp. 209–232
  8. Reuter et al., 2011a M. Reuter, H. Bovensmann, M. Buchwitz, et al.; Retrieval of atmospheric CO2 with enhanced accuracy and precision from SCIAMACHY: Validation with FTS measurements and comparison with model results  ; J. Geophys. Res., 116 (2011), p. D04301 http://dx.doi.org/10.1029/2010JD015047
  9. Reuter et al., 2011b M. Reuter, H. Bovensmann, M. Buchwitz, et al.; Algorithm Theoretical Basis Document (ATBD) Bremen Optimal Estimation DOAS (BESD) Version 1; (2011) Accessed http://www.iup.uni-bremen.de/∼mreuter/besd.php
  10. Reuter et al., 2013 M. Reuter, H. Bosch, H. Bovensmann, et al.; A joint effort to deliver satellite retrieved atmospheric CO2 concentrations for surface flux inversions: the ensemble median algorithm EMMA  ; Atmos. Chem. Phys., 13 (2013), pp. 1771–1780
  11. Washenfelder et al., 2006 R.A. Washenfelder, G.C. Toon, J.F. Blavier, et al.; Carbon dioxide column abundances at the Wisconsin tall tower site; J. Geophys. Res., 111 (2006), p. D22 http://dx.doi.org/10.1029/2006JD007154
  12. Wunch et al., 2010 D. Wunch, G. Toon, P.O. Wennberg, et al.; Calibration of the total carbon column observing network using aircraft profile data; Atmos. Meas. Tech., 3 (5) (2010), pp. 1351–1362
  13. Wunch et al., 2011a D. Wunch, P.O. Wennberg, G.C. Toon, et al.; A method for evaluating bias in global measurements of CO2 total columns from space  ; Atmos. Chem. Phys., 11 (23) (2011), pp. 12317–12337
  14. Wunch et al., 2011b D. Wunch, G.C. Toon, J.F.L. Blavier, et al.; The total carbon column observing network; Philosophical Trans. R. Soc. A: Math. Phys. Eng. Sci., 369 (1943) (2011), pp. 2087–2112
  15. Xiang et al., 2009 L.-Q. Xiang, X. Gao, S.-Q. Zhou, et al.; Comparisons of CO2 emission from fuel combustion among major countries and regions  ; Adv. Clim. Change Res., 5 (5) (2009), pp. 278–284 (in Chinese)
  16. Yoshida et al., 2011 Y. Yoshida, Y. Ota, N. Eguchi, et al.; Retrieval algorithm for CO2 and CH4 column abundances from short-wavelength infrared spectral observations by the greenhouse gases observing satellite  ; Meas. Tech., 4 (2011), pp. 717–734
  17. Yoshida et al., 2013 Y. Yoshida, N. Kikuchi, I. Morino, et al.; Improvement of the retrieval algorithm for GOSAT SWIR XCO2 and XCH4 and their validation using TCCON data; Atmos. Meas. Tech. Discuss., 6 (2013), pp. 949–988
  18. Zhang et al., 2007 X.-Y. Zhang, P. Zhang, Z.-Y. Fang, et al.; The progress in trace gas remote sensing study based on the satellite monitoring; Meteorol. Mon., 33 (2007), pp. 1–14 (in Chinese)
  19. Zou et al., 2008 Y.-C. Zou, X.-Q. Yang, Z.-X. Pan, et al.; Effect of CO2 doubling on extreme precipitation in eastern China  ; Adv. Clim. Change Res., 4 (2) (2008), pp. 84–89 (in Chinese)
Back to Top

Document information

Published on 15/05/17
Submitted on 15/05/17

Licence: Other

Document Score

0

Views 24
Recommendations 0

Share this document

claim authorship

Are you one of the authors of this document?