Abstract

The NCAR Community Atmosphere Model (CAM4.0) was used to investigate the climate effects of land use/land cover change (LUCC). Two simulations, one with potential land cover without significant human intervention and the other with current land use, were conducted. Results show that the impacts of LUCC on diurnal temperature range (DTR) are more significant than on mean surface air temperature. The global average annual DTR change due to LUCC is −0.1°C, which is three times as large as the mean temperature change. LUCC influences regional DTR as simulated by the model. In the mid-latitudes, LUCC leads to a decrease in DTR, which is mainly caused by the reduction in daily maximum temperature. However, there are some differences in the low latitudes. The reduction in DTR in East Asia is mainly the result of the decrease in daily maximum temperature, while in India, the decrease in DTR is due to the increase in daily minimum temperature. In general, the LUCC significantly controls the DTR change through the changes in canopy evaporation and transpiration.

Keywords

land use/land cover change ; diurnal temperature range ; climate change

1. Introduction

Since the middle of the 20th century, global warming is unequivocal and has been closely related to human activities, as is evident from observations of increases in global average temperatures [ IPCC , 2007 ]. Some studies [ Karl et al., 1991  and Easterling et al., 1997 ] suggested that the global diurnal temperature range (DTR) has decreased as a result of the increase in daily minimum temperature. DTR provides more information for climate change research than the mean temperature [ Braganza et al. , 2004 ], and shows a more direct indicative role for human activity induced climate change [ Wang et al. , 2010 ].

Land use/land cover change (LUCC) is one of the main anthropogenic factors impacting the global climate. LUCC influences radiation, momentum, and the water cycle between the atmosphere and land surface by modifying the physical properties of the land surface (e.g., albedo and roughness) [ Pielke , 2005 ]. For instance, deforestation can lead to warming in the tropical regions [ Henderson-Sellers et al. , 1993 ], but cooling in higher latitudes of the Northern Hemisphere [ Bonan et al. , 1992 ]. LUCC can also produce noticeable impacts on regional precipitation and atmospheric general circulation [ Fu and Yuan, 2001  and Gao et al., 2007 ]. It is found that the effect of LUCC on climate exhibits significant regional differences [ Bounoua et al. , 2002 ]. In addition, LUCC alters the greenhouse gas emissions (e.g., CO2 , N2 O, CH4 ) in the atmosphere, and almost one-third of the CO2 is emitted due to LUCC in the last 150 years [ Houghton , 2003 ].

Both observational and numerical studies demonstrated that urbanization, which is a typical type of LUCC, can produce remarkable impacts on DTR [ Kalnay and Cai, 2003  and Zhou et al., 2004 ].Feddema et al. [2005] reported a significant effect of future LUCC on global DTR. Asymmetric changes between daily maximum and minimum temperature are demonstrated to be the direct cause of the change in DTR. In addition, clouds, soil moisture, precipitation, and relative humidity can affect daily maximum and minimum temperature [ Dai et al. , 1999 ]. Further studies concerning the mechanisms of changes in DTR are still needed. Li et al. [2013] explored the possible influences of LUCC on the land surface energy balance and hydrological cycle by using the National Center of Atmospheric Research (NCAR) Community Atmosphere Model (CAM4.0). However, the related physical mechanism was not well explored, and their experimental schemes used a fixed sea surface temperature (SST), ignoring the possible climate feedbacks of SST. So far, the mechanisms of DTR changes are still not well understood. Since there is no systematic investigation to address the effects of LUCC on DTR, our study aims to explore the potential impacts of LUCC on DTR and its related mechanisms based on sensitivity experiments by taking into account the effect of SST based on CAM4.0.

2. Model description and methodology

The model used in this study is the global atmospheric general circulation model of the NCAR CAM4.0 [ Neale et al. , 2010 ]. The finite-volume (FV) dynamical core was selected, and the model was run with 1.9°×2.5° horizontal resolution and 26 levels in vertical direction on a σ-P coordinate. The CAM4.0 can be run together with the land surface model (Community Land Model Version 4.0, CLM4.0), which can provide the energy, momentum, and water exchange between the atmosphere and the land surface [ Oleson et al. , 2010 ]. CLM4.0 and CAM4.0 are the land and atmosphere component models of the Community Earth system model (CESM), respectively, and have proven to be effective tools for climate research [ Gent et al., 2011 , Lawrence et al., 2011  and Lawrence et al., 2012 ]. Two sensitivity experiments are conducted, one with current land cover and the other with potential vegetation cover without human intervention. Ramankutty and Foley [1999] reconstructed the global and historical change in cropland. Based on this dataset, NCAR developed the potential natural vegetation model, which reflects the global vegetation without significant human activities since 1850. For the current vegetation experiment, the NCAR CLM4.0 land cover as taken from the MODIS global dataset was used. Lawrence and Chase [2007] suggested that the current land cover use in CLM4.0 is basically reasonable and suitable for climate simulation studies. Figure 1 presents the differences in cropland of current minus potential vegetation, implying that global croplands are increasing in current times. Significant crop expansions are found in North America, Brazil, Eurasia, India and China.


Differences in croplands of current minus potential vegetation


Figure 1.

Differences in croplands of current minus potential vegetation

Two 30-year integration experiments were performed. The model schemes are the same except for the land cover setting. The observed monthly SST and sea ice cover were prescribed for the period 1971–2000 to drive the model. The differences of the two land cover data (current minus potential vegetation) represent the impacts of LUCC on vegetation cover due to human activities. After a spin-up time of 5 years, the last 25-year model results were used for the analysis. We employed the student’s t -test to examine the significance of the differences.

3. Results

The comparison between potential and current vegetation indicates that the global cropland areas have increased significantly in the 20th century. Figure 2 a shows the spatial distribution of changes in annual mean surface air temperature due to LUCC. Significant regional differences are found at low and midlatitudes (e.g., eastern North America, Brazil, and India), where the global mean temperature changes induced by LUCC are greater than 0.4°C. However, the temperature responses to LUCC at high latitudes are relatively weak. The climatic effect of LUCC deserves further study, as Hasler et al. [2009] demonstrated that the deforestation in the tropics can influence the boreal climate by atmospheric teleconnections.


Changes in (a) annual mean surface air temperature, and (b) DTR due to LUCC ...


Figure 2.

Changes in (a) annual mean surface air temperature, and (b) DTR due to LUCC (hollow circles show the 0.05 significant level)

LUCC has evidently more influence on DTR than on mean temperature, which generally results in decreased DTR. The areas with significant changes in DTR are closely related to LUCC (Fig. 2 b). Figure 3 a represents the changes in zonal-averaged annual mean surface air temperature and DTR due to LUCC. Surface air temperature increases at low latitudes, but decreases at mid- and high latitudes, which is consistent with previous results [ Henderson-Sellers et al., 1993  and Bonan et al., 1992 ]. However, LUCC generally leads to a decrease of DTR. To illustrate the changes in DTR associated with LUCC, five typical sub-regions are selected for further investigation.


Changes in zonal-averaged (a) annual mean surface air temperature and DTR, and ...


Figure 3.

Changes in zonal-averaged (a) annual mean surface air temperature and DTR, and (b) evaporation due to LUCC

LUCC can alter the physical properties of the surface (e.g., albedo and roughness length) leading to changes in the energy balance and water cycle of the land surface as well as the exchange with the atmosphere. The increase in surface albedo usually results in a reduction in solar radiation due to absorption by the land surface, while the decrease in the surface roughness length leads to the reduction in evapotranspiration. Figure 3 b shows the changes in zonal-averaged evaporation due to LUCC. Generally, the changes in canopy transpiration induced by LUCC are remarkable at low latitudes while ignorable at high latitudes. LUCC effects in the tropics are dominantly controlled by evapotranspiration rather than by albedo, while albedo evidently drives the LUCC influences in boreal regions [ Bala et al., 2007  and Betts, 2000 ].

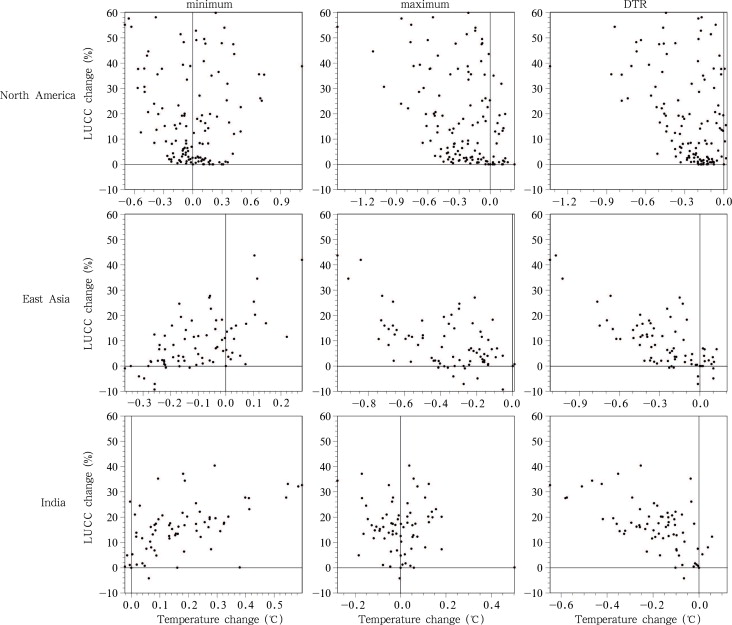
At mid-latitudes, such as in North America, South America and Eurasia, LUCC increases the albedo and latent heat fluxes. The changes in latent heat might increase the cloud cover (Table 1 ), which is closely related to daily maximum temperature [ Dai et al. , 1999 ]. As a result, LUCC leads to a decrease in DTR, resulting mainly from the reduction in daily maximum temperature. Figure 4 represents the scatter plots of daily minimum and maximum air temperature, and DTR due to LUCC. In East Asia, canopy evaporation and transpiration vary significantly, and LUCC decreases the surface latent heat fluxes and cloud cover (Table 1 ). Furthermore, LUCC can alter the surface albedo and the surface absorption of solar radiation, thus influencing the DTR. In general, the reduction of DTR in East Asia is mainly caused by the decrease in daily maximum temperature (Fig. 4 b). However in India (Fig. 4 c), the decrease in DTR is mainly due to the increase in daily minimum temperature. Absorption of solar radiation by land surface increases due to LUCC in India, but decreases over East Asia. That is because the albedo due to LUCC is changing greatly in India (three times as large as in East Asia). Feddema et al. [2005] demonstrated that there is a significant increase in daily minimum temperature in the Amazon, when the areas are converted from tropical broadleaf ever green forest to agricultural land.

Table 1. Changes in climate factors over the sub-regions due to LUCC
Region DTR (°C) Daily maximum temperature (°C) Daily minimum temperature (°C) Latent heat flux (W m–2 ) Low cloud amount (%) Absorbed solar radiation (W m–2 )
North America –0.27 –0.28 –0.01 0.15 1.56 –1.77
South America –0.43 –0.31 0.12 0.92 4.77 –1.92
Eurasia –0.23 –0.25 –0.02 0.15 1.73 –1.40
India –0.18 0.01 0.18 –0.82 –1.96 0.42
East Asia –0.27 –0.37 –0.10 –0.69 –0.60 –1.20


Scatter plots of daily minimum (left) and maximum (middle) air temperature, and ...


Figure 4.

Scatter plots of daily minimum (left) and maximum (middle) air temperature, and DTR (right) due to LUCC in North America (upper), East Asia (middle), and India (lower)

4. Discussion and conclusions

Based on numerical experiments with NCAR CAM4.0, potential impacts of LUCC on DTR are investigated in this study. Results show that changes from potential vegetation to current land use yield evident effects on DTR. In the mid-latitudes (e.g., North America, South America and Eurasia), the decreases in DTR are mainly caused by decreasing in daily maximum temperature, which is closely related to LUCC through enhancing the latent heat fluxes, and thus the cloud cover increased. In East Asia and India, however, the impacts of canopy evaporation and transpiration induce both the latent heat and cloud cover to be lower. The reasons for the decreasing in DTR in East Asia are the reduction of daily maximum temperature, while in India it mainly depends on the increases in daily minimum temperature with the influences of changes in evaporation and surface albedo. The differences between the DTR responses to LUCC in low and mid-latitudes. The greater changes in albedo in East Asia (three times as that in India) and the stronger effects of canopy evaporation and transpiration in India (twice as high as that in East Asia) may be the major causes. Generally, LUCC in East Asia reduces the gain of solar radiation followed by a decrease in daily maximum temperature, whereas the significant decrease in evapotranspiration is responsible for the increase in daily minimum temperature.

Dai et al. [1999] found that LUCC can affect the DTR through evapotranspiration. The results of this study indicate that the effects of LUCC are highly regionalized phenomenon, which can further reveal the physical mechanisms. Additionally, Pitman et al. [2011] demonstrated that the climate background is also important for determining the climatic responses of LUCC. For example, the variations in snow and precipitation pattern can change the surface albedo and the hydrological cycle, which dominates the regional climate effects of LUCC. The incorporation of current climate characteristics (e.g., solar radiation and other natural forcing) may introduce some uncertainties in the conclusions. Hua and Chen [2013] also pointed out that the climate characteristics seem to play an important role on the regional impact of LUCC, especially at high latitudes. In this study, we only investigated the possible causes of DTR change induced by LUCC from aspects of solar radiation, cloud cover, and evaporation. However, aerosol also plays an important role on DTR. Thus, various factors should be considered in future research to better understand the impacts of LUCC on DTR.

Acknowledgements

This work was jointly supported by the National Basic Research Program of China (No. 2011CB952000) and through a project funded by the Priority Academic Program Development of Jiangsu Higher Education Institutions (PAPD).

References

  1. Bala et al., 2007 G. Bala, K. Caldeira, M. Wickett, et al.; Combined climate and carbon-cycle effects of largescale deforestation; Proceedings of the National Academy of Sciences, 104 (2007), pp. 6550–6555
  2. Betts, 2000 R.A. Betts; Offset of the potential carbon sink from boreal forestation by decreases in surface albedo; Nature, 408 (2000), pp. 187–190
  3. Bonan et al., 1992 G.B. Bonan, D. Pollard, S.L. Thompson; Effects of boreal forest vegetation on global climate; Nature, 359 (1992), pp. 716–718
  4. Bounoua et al., 2002 L. Bounoua, R.S. Defries, G.J. Collatz, et al.; Effects of land cover conversion on surface climate; Climatic Change, 52 (2002), pp. 29–64
  5. Braganza et al., 2004 K. Braganza, D.J. Karoly, J.M. Arblaster; Diurnal temperature range as an index of global climate change during the twentieth century; Geophys. Res. Lett, 31 (L13217) (2004) http://dx.doi.org/10.1029/2004GL019998
  6. Dai et al., 1999 A. Dai, K.E. Trenberth, T.R. Karl; Effects of clouds, soil moisture, precipitation, and water vapor on diurnal temperature range; J. Climate, 12 (1999), pp. 2451–2473
  7. Easterling et al., 1997 D.R. Easterling, B. Horton, P.D. Jones, et al.; Maximum and minimum temperature trends for the globe; Science, 277 (5324) (1997), pp. 364–367
  8. Feddema et al., 2005 J.J. Feddema, K.W. Oleson, G.B. Bonan, et al.; The importance of land-cover change in simulating future climates; Science, 310 (2005), pp. 1674–1678
  9. Fu and Yuan, 2001 C.-B. Fu, H.-L. Yuan; An virtual numerical experiment to understanding the impacts of recovering natural vegetation on the summer climate and environmental conditions in East Asia; Chinese Science Bulletin, 46 (2001), pp. 1199–1203
  10. Gao et al., 2007 X.-J. Gao, D.-F. Zhang, Z.-X. Chen, et al.; Land use effects on climate in China as simulated by a regional climate model; Science China Earth Sciences, 50 (2007), pp. 620–628
  11. Gent et al., 2011 P.R. Gent, G. Danabasoglu, L.J. Donner, et al.; The community climate system model version 4; J. Climate, 24 (2011), pp. 4973–4991
  12. Hasler et al., 2009 N. Hasler, D. Werth, R. Avissar; Effects of tropical deforestation on global hydroclimate: Amultimodel ensemble analysis; J. Climate, 22 (2009), pp. 1124–1141
  13. Henderson-Sellers et al., 1993 A. Henderson-Sellers, R.E. Dickinson, T.B. Durbridge, et al.; Tropical deforestation: Modeling local- to regional-scale climate change; J. Geophys. Res., 98 (1993), pp. 7289–7315
  14. Houghton, 2003 R.A. Houghton; Revised estimates of the annual net flux of carbon to the atmosphere from changes in land use and land management 1850–2000; Tellus, 55B (2003), pp. 378–390
  15. Hua and Chen, 2013 W.-J. Hua, H.-S. Chen; Recognition of climatic effects of land use/land cover change under global warming; Chinese Science Bulletin (2013) http://dx.doi.org/10.1007/s11434-013-5902-3
  16. IPCC, 2007 IPCC; S. Solomon (Ed.), et al. , Climate Change 2007: The Physical Science Basis. Contribution of Working Group I to the Fourth Assessment Report of the Intergovernmental Panel on Climate Change., Cambridge University Press (2007), p. 996
  17. Kalnay and Cai, 2003 E. Kalnay, M. Cai; Impact of urbanization and land-use change on climate; Nature, 423 (2003), p. 528531
  18. Karl et al., 1991 T.R. Karl, G. Kukla, V.N. Razuvayev, et al.; Global warming: Evidence for asymmetric diurnal temperature change; Geophys. Res. Lett., 18 (12) (1991), pp. 2253–2256
  19. Lawrence et al., 2011 D.M. Lawrence, K.W. Oleson, M.G. Flanner, et al.; The CCSM4 land simulations, 1850–2005: Assessment of surface climate and new capabilities; J. Climate, 25 (2011), pp. 2240–2260
  20. Lawrence and Chase, 2007 P.J. Lawrence, T.N. Chase; Representing a new MODIS consistent land surface in the community land model (CLM3.0); J. Geophys. Res, 112 (G01023) (2007) http://dx.doi.org/10.1029/2006JG000168
  21. Lawrence et al., 2012 P.J. Lawrence, J.J. Feddema, G.B. Bonan, et al.; Simulating the biogeochemical and biogeophysical impacts of transient land cover change and wood harvest in the community climate system model (CCSM4) from 1850 to 2100; J. Climate, 25 (2012), pp. 3071–3095
  22. Li et al., 2013 J.-H. Li, H.-S. Chen, W.-J. Hua; Sensitivity experiments on impacts of large-scale land use change on surface energy balance, hydrological cycle and regional climate over East Asia; Transactions of Atmospheric Sciences (in Chinese), 36 (2) (2013), pp. 184–191
  23. Neale et al., 2010 R.B. Neale, J.H. Richter, A.J. Conley, et al.; Description of the NCAR community atmosphere model (CAM4.0); NCAR Technical Note NCAR/TN-485+STR (2010), p. 224
  24. Oleson et al., 2010 K.W. Oleson, D.M. Lawrence, G.B. Bonan, et al.; Technical description of version 4.0 of the community land model (CLM); NCAR Technical Note NCAR/TN-478+STR (2010), p. 266
  25. Pielke, 2005 R.A. Pielke Sr.; Land use and climate change; Science, 310 (2005), pp. 1625–1626
  26. Pitman et al., 2011 A.J. Pitman, F.B. Avila, G. Abramowitz, et al.; Importance of background climate in determining impact of land-cover change on regional climate; Nature Climate Change, 1 (2011), pp. 472–475
  27. Ramankutty and Foley, 1999 N. Ramankutty, J.A. Foley; Estimating historical changes in global land cover: Croplands from 1700 to 1992; Global Biogeochemical Cycles, 13 (1999), pp. 997–1027
  28. Wang et al., 2010 K. Wang, H. Ye, L.-N. Tang, et al.; Research progresses on diurnal temperature range: Variation trend and influential factors; Advances in Climate Change Research (in Chinese), 6 (6) (2010), pp. 417–423
  29. Zhou et al., 2004 L. Zhou, R.E. Dickinson, Y. Tian, et al.; Evidence for a significant urbanization effect on climate in China; Proceedings of the National Academy of Sciences, 101 (26) (2004), pp. 9540–9544
Back to Top

Document information

Published on 15/05/17
Submitted on 15/05/17

Licence: Other

Document Score

0

Views 16
Recommendations 0

Share this document

claim authorship

Are you one of the authors of this document?