Resumen

Actualmente en las zonas sísmicas existen estructuras altamente vulnerables, puesto que han sido construidas sin seguir las especificaciones de normas de diseño sismorresistente o siguiendo normas obsoletas. Muchas veces los métodos para evaluar la vulnerabilidad de las estructuras no tienen en cuenta que su comportamiento sísmico es dinámico y fuertemente no lineal y que, además, las características estructurales y de la acción tienen grandes incertidumbres. En este artículo se propone evaluar la vulnerabilidad de las estructuras, considerando que las propiedades mecánicas de los materiales y la acción sísmica son variables aleatorias, mediante técnicas avanzadas con base en el método de Monte Carlo y en la dinámica estocástica no lineal. Los resultados obtenidos con estas técnicas se comparan con los correspondientes a una evaluación de vulnerabilidad estándar, que utiliza modelos deterministas, a fin de resaltar las diferencias entre los 2 enfoques. La principal conclusión de este trabajo es que existe una necesidad de abordar el problema de la evaluación de la vulnerabilidad de estructuras desde una perspectiva probabilista que, al ser combinada con técnicas avanzadas de análisis del comportamiento estructural no lineal estático y dinámico, proporciona una poderosa herramienta que permite obtener información imposible de conseguir mediante modelos deterministas. Se incluyen resultados detallados obtenidos sobre un edificio con forjados reticulares, que es una tipología estructural muy utilizada en España.

Abstract

Currently, many structures existing in seismic areas are highly vulnerable because they have been built without the use of seismic design codes or by using outdated codes. Often, methods for assessing the vulnerability of the structures do not take into account that their seismic behavior is dynamic and highly nonlinear and, moreover, that the structural characteristics and action have large uncertainties. This article aims to assess the vulnerability of structures taking into account that the mechanical properties of materials and the seismic action are random variables, by using advanced techniques based on the Monte Carlo method and on the nonlinear stochastic dynamics. The results obtained with these techniques are compared with those corresponding to a standard vulnerability assessment, based on deterministic models, in order to highlight the differences between both approaches. The main conclusion of this work is the need to address the vulnerability assessment problem from a probabilistic perspective which, combined with advanced nonlinear static and dynamic structural analysis techniques, provides a powerful tool giving information impossible to be captured by means of deterministic models. Finally, detailed results obtained for a building with waffle slabs, which is a structural typology widely used in Spain, are included and discussed.

Palabras clave

Fragilidad ; Daño sísmico ; Incertidumbres ; Edificios de hormigón armado

Keywords

Fragility ; Seismic damage ; Uncertainties ; Reinforced concrete buildings

1. Introducción

Muchas de las variables involucradas en la evaluación de la vulnerabilidad y del riesgo sísmico de estructuras son altamente aleatorias. La variabilidad de las características estructurales y de la acción sísmica tiene especial relevancia, pero también la aleatoriedad de la respuesta del sistema, especialmente cuando el comportamiento de este último es no lineal. En lo referente a la estructura, son aleatorias las variables relacionadas con las características de los materiales, la geometría y la dimensión de las secciones, entre otras. Para cubrir esta variabilidad, las normas de diseño sismorresistente recomiendan que se efectúe un cálculo determinista, utilizando valores disminuidos para la resistencia de los materiales y valores aumentados para las acciones, mediante coeficientes de seguridad. De esta manera, se reconoce implícitamente la aleatoriedad tanto de las características mecánicas de los materiales como de las propiedades de las acciones. Una desventaja de este método es que, cuando la respuesta de la estructura es no lineal, el nivel de confianza asociado a la respuesta puede y suele ser diferente al de las variables de entrada.

Por otra parte, existen en la actualidad estructuras en las zonas sísmicas que no se diseñaron para resistir acciones dinámicas horizontales y, por tanto, fueron construidas sin seguir los requisitos de una norma de diseño sismorresistente e incluso, muchas veces, sin control de los materiales. En el proyecto de otras muchas estructuras se utilizaron normas que no cumplen criterios de diseño que hoy son generalmente aceptados. Por todo ello, las variables asociadas a la estructura y a su respuesta pueden tener incertidumbres aún mayores. Por supuesto, no debe olvidarse que si se proyecta una estructura incluso con las normas actuales más avanzadas y se efectúan controles de proyecto, de materiales y de obra, tendrán que considerarse igualmente las incertidumbres en el proceso de evaluación de su vulnerabilidad.

Además, todas las acciones, estáticas y dinámicas, que se deben considerar en el proyecto de las estructuras generan también incertidumbres. En las normas, las acciones se suelen incrementar mediante coeficientes que tratan de considerar, de una manera aproximada, el efecto de dichas incertidumbres y aumentar así la seguridad del proyecto. Sin embargo, el caso sísmico es muy especial, ya que la variabilidad de la acción es mucho mayor que la esperada en las acciones estáticas. Puede observarse también que la acción sísmica definida por las normas más antiguas puede diferir considerablemente de la que se prescribe en las normas actuales aunque estas sean, a su vez, fuente de incertidumbre. Esta fuente de aleatoriedad es, generalmente, la más importante de todas, puesto que todos los parámetros que describen la señal sísmica, como la aceleración máxima en el suelo —peak ground acceleration (PGA)—, el contenido frecuencial del acelerograma y la duración de la acción, entre otros, son variables aleatorias. Partiendo de los espectros de respuesta elástica correspondientes a la aceleración sísmica de una zona, las normas de diseño buscan salvar esta aleatoriedad proponiendo curvas suavizadas que representen los espectros de aceleración de la zona. En algunos países los espectros se obtienen a partir de estudios realizados en otros lugares, relacionando las condiciones en las que se hizo el estudio inicial con las condiciones propias de la zona. Esta forma de proceder puede ser desacertada, como expone Bermúdez [1] , ya que si se comparan los espectros de respuesta de los sismos que ocurren en la zona con el espectro que proporciona la norma, los resultados pueden mostrar diferencias significativas. Es mejor práctica realizar estudios de microzonificación para la zona estudiada y proponer los modelos adecuados [2] .

Para conocer y prevenir el riesgo sísmico es necesario evaluar la vulnerabilidad de las estructuras que existen actualmente en zonas sísmicas. Con este propósito se han desarrollado diversos métodos. Uno de ellos es el método del índice de vulnerabilidad, en el cual se define la acción a partir de la EMS-98 mediante intensidades macrosísmicas y el comportamiento estructural mediante un índice de vulnerabilidad [3]  and [4] . Otro método muy difundido es el basado en el espectro de capacidad, en el que la acción sísmica se define mediante espectros elásticos de respuesta y la vulnerabilidad o fragilidad del edificio mediante el espectro de capacidad; este último se calcula a partir de un análisis estático no lineal incremental (pushover analysis [PA]). Esta metodología ha sido aplicada en varios estudios anteriores [5] , [6] , [7]  and [8] . Sin embargo, estos trabajos no tienen en cuenta las incertidumbres en los parámetros que describen el problema, que deben tratarse como variables aleatorias. Por otra parte, para evaluar el comportamiento de una estructura ante acciones sísmicas fuertes resulta conveniente efectuar un análisis dinámico no lineal que, en muchos casos, se usa como referencia para comparar los resultados obtenidos con métodos más simplificados [9] , [10]  and [11] . No obstante, en estos trabajos tampoco se trata el problema dinámico no lineal desde un enfoque probabilista.

El propósito de este artículo es evaluar la vulnerabilidad sísmica de una tipología estructural frecuentemente utilizada en España como vivienda multifamiliar, concretamente la de los edificios de hormigón armado con forjados reticulares, que es conocida por su ductilidad limitada [12]  and [13] . En la evaluación de su vulnerabilidad se va a considerar la aleatoriedad de las variables que describen el problema, lo que requiere el uso de técnicas avanzadas basadas en la simulación por Monte Carlo y en el análisis dinámico no lineal de estructuras. Cabe destacar que cuando una estructura trabaja en régimen no lineal y se incorporan a su análisis las incertidumbres en sus características, la variabilidad de su respuesta es mucho mayor que cuando el sistema es lineal. Técnicas como las antes mencionadas han sido usadas por Fragiadakis y Vamvatsikos [14] para evaluar el comportamiento no lineal de estructuras mediante el análisis estático no lineal, considerando las incertidumbres en las propiedades mecánicas de los materiales y utilizando la simulación de datos por el método de Monte Carlo. Por otra parte, Dolsek [15] propone tener en cuenta la acción sísmica como variable aleatoria a partir de acelerogramas reales en este tipo de estudios, pero no las incertidumbres en las características estructurales. Siguiendo el enfoque dado en estos trabajos, en este artículo se propone evaluar la vulnerabilidad de la estructura considerando las incertidumbres tanto en las propiedades mecánicas de los materiales como en la acción sísmica y tratándolas como variables aleatorias. Como metodología de evaluación de la vulnerabilidad se usa la técnica basada en el espectro de capacidad. Los resultados para un edificio con forjados reticulares serán comparados con el enfoque determinista clásico para analizar y cuantificar los niveles de incertidumbre cuando un fenómeno altamente aleatorio se reduce a uno determinista.

2. Descripción del edificio

La estructura analizada en este trabajo es de hormigón armado, típica en España para viviendas de tipo multifamiliar, tiene 8 niveles y 6 vanos y está compuesta por forjados reticulares y pilares (fig. 1 ). En el modelado de este edificio los forjados reticulares se aproximan por vigas de inercia equivalente. Además, debido a su simetría en planta, la estructura puede ser modelizada en 2D aproximándola mediante un pórtico virtual.


Edificio estudiado, con H=25,65m, B=24m y período fundamental de 1,444s.


Figura 1.

Edificio estudiado, con H = 25,65 m, B = 24 m y período fundamental de 1,444 s.

En el modelo de cálculo, los elementos estructurales (vigas equivalentes y pilares) siguen una ley de comportamiento elasto-plástica en la que no se tienen en cuenta el endurecimiento ni el ablandamiento. Las superficies de plastificación están definidas por el diagrama de interacción momento-fuerza axial en los pilares y por el de momento-deformación angular en las vigas. Las acciones aplicadas siguen las recomendaciones dadas por el Eurocódigo 8 (EC8) [16] para estructuras de hormigón armado. El modelo estructural empleado es capaz de reproducir solo el fallo por momento flector y por cortante. Por ahora se ha usado esta aproximación para poder manifestar la gran incertidumbre en la respuesta estructural. Las características mecánicas del hormigón y del acero se definen a partir de los valores dados en los planos. Como se ha mencionado en la introducción, las normas de diseño proponen valores característicos de la resistencia de los materiales que se obtienen durante el control de calidad tanto en su fabricación como en la obra, a partir de ensayos de compresión en muestras de hormigón y de tracción en muestras de acero. Mediante estos ensayos, la resistencia de los materiales se puede representar como una variable aleatoria. En el caso de proyecto, el valor característico de la resistencia de los materiales garantiza que la probabilidad de ocurrencia, de una muestra de resistencia menor a este, es del 5%. Sin embargo, las condiciones en las que se hace el ensayo son muy diferentes a las condiciones reales de la construcción, y por tanto las dispersiones en la resistencia a compresión del hormigón (fc ) y en la resistencia de fluencia del acero (fy ) pueden ser mayores. La tabla 1 muestra el valor medio, la desviación estándar y el coeficiente de variación de las variables aleatorias consideradas, en el supuesto de que sigan una distribución normal.

Tabla 1. Características de las variables aleatorias de entrada
Valor medio (kPa ) Desviación estándar (kPa ) Coeficiente de variación
fc 30.000 1.500 0,05
fy 420.000 21.000 0,05

El coeficiente de variación es la relación que existe entre la desviación estándar y el valor medio de la variable aleatoria. A partir de los valores de la tabla 1 , y suponiendo una función de distribución gaussiana de fc y fy , se calculan los valores característicos de resistencia de los materiales, que para el hormigón será f’c  = 27.525 kPa y para el acero será f’y  = 385.350 kPa.

3. Método de evaluación de la vulnerabilidad y del riesgo sísmico basándose en el espectro de capacidad

Se describen a continuación los aspectos metodológicos de la evaluación de la vulnerabilidad de las estructuras de hormigón armado. Para mayor claridad se utiliza como ejemplo ilustrativo la estructura descrita en el apartado anterior, y se supone que las propiedades mecánicas de los materiales son las correspondientes a los valores característicos dados previamente. Es decir, en este apartado se estudia la vulnerabilidad desde una perspectiva determinista.

3.1. Análisis estático no lineal y curva de capacidad

Una herramienta frecuentemente usada para evaluar el comportamiento de las estructuras frente a acciones horizontales es el análisis estático no lineal de carga incremental, comúnmente llamado pushover analysis (PA). Esta herramienta numérica consiste en aplicar una carga horizontal a la estructura de acuerdo con un patrón de fuerzas determinado e ir incrementando su valor hasta que se considere que la estructura ha colapsado. Utilizando este tipo de análisis, se considera una variable de control que, en este trabajo, es el desplazamiento en el techo de la estructura, δ , que dependerá de la fuerzas aplicadas sobre esta y cuya suma es igual al cortante en la base del edificio V . La relación entre las variables V y δ es la curva de capacidad. Como se ha mostrado en otros trabajos, el patrón de carga —es decir, la forma que tenga la carga en función de la altura (triangular, rectangular u otros patrones)— tiene una influencia relevante sobre los resultados [9] . Un criterio muy usado consiste en considerar que la forma de la carga es proporcional al primer modo de vibración. Sin embargo, cuando se realiza un cálculo no lineal incremental y el modelo estructural empieza a plastificar, es necesario recalcular el patrón de acciones debido a que, por la pérdida de rigidez de la estructura, la forma asociada a la frecuencia del primer modo de vibración cambia. En este trabajo, debido al enfoque probabilista, el PA será ejecutado repetidamente, con lo que conviene aplicar un procedimiento que defina automáticamente el patrón de carga y el límite de carga horizontal. Para resolver estos problemas, Satyarno [17] propone el análisis no lineal incremental adaptativo que establece el límite de carga horizontal como una función del decremento de la frecuencia fundamental tangente, es decir, de la frecuencia asociada al primer modo de vibración, que se calcula en cada incremento de carga. Por tanto, en cada paso se calcula el primer modo para determinar la forma de la carga en la altura. Una descripción detallada de este procedimiento se encuentra en los manuales del programa Ruaumoko [18] , en el que se encuentra implementado el procedimiento de Satyarno. Realizando un análisis estático no lineal de la estructura [19]  and [20] , se obtiene la curva de capacidad que se muestra en la figura 2 .


Curva de capacidad obtenida a partir del enfoque determinista.


Figura 2.

Curva de capacidad obtenida a partir del enfoque determinista.

3.2. Espectro de capacidad

La resistencia de un edificio puede ser representada a partir de la curva de capacidad que se muestra en la figura 2 , que puede ser transformada en un espectro de capacidad, el cual relaciona el desplazamiento espectral con la aceleración espectral mediante las siguientes ecuaciones [21] :

( 1)
( 2)

El subíndice i de las ecuaciones (1) y (2) hace referencia a los incrementos de carga aplicados sobre la estructura durante el análisis no lineal incremental. sdi es el desplazamiento espectral, δi es el desplazamiento en el techo de la estructura, PF1 es el factor de participación modal del primer modo de vibración, sai es la aceleración espectral, Vi es el cortante en la base, W es el peso de la estructura y α1 es el coeficiente de masa modal del primer modo de vibración.

Reemplazando en las ecuaciones (1) y (2) los valores de la curva de capacidad mostrados en la figura 2 , se obtiene el espectro de capacidad de la figura 3 . Dicho espectro puede ser representado en un formato bilineal, lo que es útil para definir los estados de daño. Las hipótesis para construir el espectro de capacidad bilineal son: 1) El área bajo la curva bilineal debe ser igual al área de la curva original. 2) Las coordenadas del punto de máximo desplazamiento deben coincidir en las 2 curvas. 3) La pendiente del tramo inicial debe ser igual en las 2 curvas. En la figura 3 se muestra también la representación bilineal del espectro de capacidad, que se puede definir completamente mediante los puntos (Dy , Ay ) y (Du , Au ) mostrados en la figura 3 . Estos puntos corresponden a la fluencia y al colapso de la estructura, respectivamente.


Espectro de capacidad y la representación bilineal.


Figura 3.

Espectro de capacidad y la representación bilineal.

3.3. Estados de daño

En diferentes trabajos se ha propuesto calcular el daño de la estructura partiendo de la definición de unos estados de daño ds , que son una descripción del daño en la estructura para un desplazamiento espectral dado. Por ejemplo, en HAZUS 99 [22] y en RISK UE [23] se definen 4 ds: leve, moderado, extensivo y completo. Su descripción depende de la tipología estructural. Por ejemplo, en el caso de estructuras de hormigón armado, el ds leve se describe como el inicio de fisuras por momento o por cortante en las vigas y columnas; en el ds completo se considera que la estructura colapsa o que hay un inminente riesgo de colapso (HAZUS 99) [22] . RISK UE [23] propone definir los ds , de forma simplificada, a partir del espectro de capacidad en su representación bilineal. Partiendo de los valores (Dy ,Ay ) y (Du ,Au ), se definen los desplazamientos espectrales correspondientes a los umbrales de los 4 estados de daño dsi :

( 3)

De estas ecuaciones se obtiene que para la estructura modelada los estados de daño son: ds1  = 8, 8 cm , ds2  = 12, 7 cm , ds3  = 14, 8 cm y ds4  = 21, 2 cm .

3.4. Curvas de fragilidad

Las curvas de fragilidad representan la probabilidad de que se alcance o exceda un estado de daño en función del parámetro que representa la acción sísmica, que en este trabajo será el desplazamiento espectral. Para construir las curvas de fragilidad se consideran las siguientes hipótesis: 1) En los desplazamientos espectrales de los umbrales de cada estado de daño dsi , la probabilidad de que se iguale o exceda el estado de daño es del 50%. 2) Las curvas de fragilidad siguen una función de probabilidad lognormal cumulativa descrita por la siguiente ecuación:

( 4)

donde sd   es el desplazamiento espectral y es la desviación estándar del logaritmo natural de la variable dsi . 3) El daño sísmico esperado en los edificios sigue una distribución de probabilidad binomial. Por tanto, a partir de las hipótesis 1 y 3 se obtiene la distribución de probabilidades para los dsi que se muestra en la tabla 2 .

Tabla 2. Distribución de probabilidades para los dsi
P (ds1 ) P (ds2 ) P (ds3 ) P (ds4 )
P (ds1 ) = 0, 5 0,5 0,119 0,012 0
P (ds2 ) = 0, 5 0,896 0,5 0,135 0,008
P (ds3 ) = 0, 5 0,992 0,866 0,5 0,104
P (ds4 ) = 0, 5 1 0,988 0,881 0,5

Una vez calculadas estas probabilidades, la hipótesis 2 permite calcular las curvas de fragilidad por medio de una técnica de mínimos cuadrados. En la figura 4 se muestran las curvas de fragilidad para los dsi correspondientes al edificio calculado. En esta misma figura se muestra también cómo a partir de las curvas de fragilidad se pueden calcular las probabilidades de ocurrencia de cada estado de daño.


Curvas de fragilidad para el edificio estudiado.


Figura 4.

Curvas de fragilidad para el edificio estudiado.

3.5. Índice de daño esperado

A partir de las probabilidades de ocurrencia de cada estado de daño P(dsi) que, a su vez, se obtienen fácilmente a partir de las curvas de fragilidad, se puede calcular el índice de daño esperado (ID ), que es el estado de daño medio normalizado y puede interpretarse como una medida del daño global esperado en la estructura.

( 5)

donde n es el número de estados de daños considerados, en este caso 4, y P (dsi ) es la probabilidad de que ocurra un dsi . En la figura 5 se puede apreciar el ID calculado con el enfoque determinista, a partir de las curvas de fragilidad de la figura 4 y los desplazamientos espectrales comprendidos entre 0 y 0,4 m. La curva de la figura 5 puede interpretarse como una curva de vulnerabilidad.


Índice de daño esperado calculado con el enfoque determinista.


Figura 5.

Índice de daño esperado calculado con el enfoque determinista.

3.6. Demanda sísmica

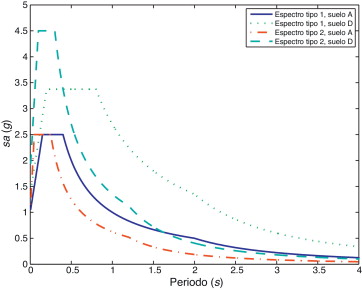
En la metodología basada en el espectro de capacidad es necesario calcular la demanda sísmica en términos del desplazamiento espectral sd . Existen diversas metodologías para evaluar la amenaza sísmica de una zona, desde métodos basados en la intensidad macrosísmica, pasando por espectros de respuesta propuestos en normativas de diseño, hasta la caracterización por medio de acelerogramas reales. En este trabajo, la acción sísmica se define en términos del espectro de respuesta elástica en aceleración con 5% de amortiguamiento. Los resultados obtenidos utilizando esta definición serán comparados con los del análisis dinámico no lineal, en el cual la acción sísmica es evaluada por medio de acelerogramas reales tomados de bases de datos españolas y europeas. Para ello se seleccionan acelerogramas, de forma que los espectros elásticos de respuesta de los registros sean compatibles con el espectro usado en la metodología basada en el espectro de capacidad. Caracterizar la acción sísmica desde el punto de vista de los espectros de respuesta resulta ser una buena alternativa para evaluar el riesgo de la zona ya que, como se verá más adelante, es posible calcular el desplazamiento espectral mediante procedimientos simplificados. Actualmente, la mayoría de los países proponen, en sus normas de diseño sismorresistente, espectros de diseño en el formato de espectros de respuesta con 5% de amortiguamiento. Por ejemplo, España tiene la NCSE-02 y Europa el EC8, que es aplicable a los países de la Unión Europea. En este artículo se trabaja con los espectros del EC8, en el que se proponen 2 tipos de espectros que se diferencian por la magnitud de la onda superficial Ms . Concretamente, el EC8 recomienda usar los espectros tipo 1 si la Ms es mayor a 5,5; de lo contrario, se usan los espectros tipo 2. Este hecho es interesante, ya que permite calificar de una mejor manera las zonas con peligrosidad sísmica entre moderada y baja. En la figura 6 a se muestra el espectro tipo 1 para suelo A del EC8. Por otra parte, los espectros de respuesta relacionan la aceleración espectral sa con el período T para un sistema con un grado de libertad. Mahaney et al. [24] proponen transformar el espectro de respuesta desde el formato sa-T a un formato sa-sd por medio de la ecuación (6). Este formato permite comparar directamente la demanda y la capacidad de la estructura. En la figura 6 b se muestra el espectro tipo 1 suelo A del EC8 después de aplicar esta transformación y también la curva de capacidad determinista del edificio obtenida con los valores característicos de la resistencia de los materiales

( 6)


a)Espectro normalizado tipo1, sueloA (tomado del EC8). b)Espectro tipo1, sueloA, ...


Figura 6.

a) Espectro normalizado tipo 1, suelo A (tomado del EC8). b) Espectro tipo 1, suelo A, en formato sa-sd escalado a 0,5 g y espectro de capacidad determinista del edificio objeto de estudio.

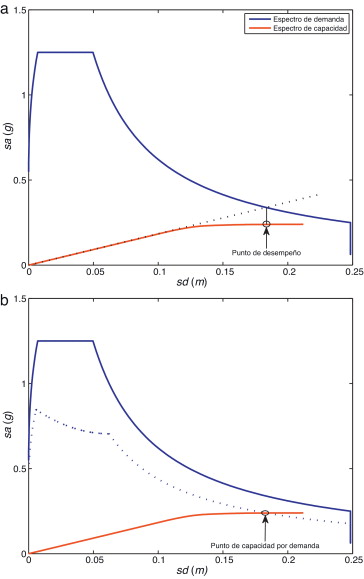
3.7. Punto de capacidad por demanda

Una vez calculada la capacidad de la estructura y la demanda a la que estará sometida, es posible calcular el punto de capacidad por demanda que define el desplazamiento espectral sd que experimenta el edificio cuando se somete a una acción sísmica. Este sd puede estimarse mediante métodos simplificados propuestos en el ATC-40. En este trabajo se utilizan 2 de estos métodos. El primero es la aproximación lineal equivalente (ALE), que consiste en prolongar el tramo elástico del espectro de capacidad y cruzarlo con el espectro elástico de demanda en formato sa-sd . La proyección de este punto de cruce sobre la curva de capacidad será el punto de capacidad por demanda. El segundo es un método iterativo en el que el espectro de demanda es reducido debido a la ductilidad de la estructura que se calcula a partir de la forma bilineal del espectro de capacidad. Este método se denomina procedimiento A en el ATC-40 y se encuentra en el capítulo 8, y por tanto en este artículo será llamado PA-8. La figura 7 a,b muestra el procedimiento para calcular el sd con la ALE y el PA-8. Si se escala el espectro de demanda para un PGA de 0,5 g, con la ALE se obtiene un sd  = 0,1765 y con el PA-8 un sd  = 0,1685 m. Los ID asociados a estos valores son 0,7144 y 0,6789, respectivamente.


a)Método ALE para calcular el sd. b)Método PA-8 para calcular el sd.


Figura 7.

a) Método ALE para calcular el sd . b) Método PA-8 para calcular el sd .

3.8. Análisis dinámico no lineal incremental

El análisis dinámico no lineal (ADNL) permite evaluar la respuesta de una estructura sometida a una historia de aceleraciones. En este trabajo se usa el programa Ruaumoko [18] , que permite calcular tanto la respuesta estática no lineal como la dinámica no lineal para estructuras de hormigón armado y de acero, entre otros materiales. El modelo de amortiguamiento usado en este artículo, cuando se lleva a cabo un ADNL, es del tipo Rayleigh y se considera un valor del 5% del amortiguamiento crítico para los modos de vibración 1 y 8 de la estructura.

El análisis dinámico incremental (ADI) propuesto por Vamvatsikos y Cornell [25] es una herramienta usada para evaluar el comportamiento de las estructuras frente a acciones sísmicas por medio de acelerogramas. El objetivo del ADI es obtener una medida del daño de la estructura mediante el incremento de la intensidad de la acción escalándola para diferentes niveles de PGA. Vamvatsikos y Cornell [25] hacen una interesante analogía entre el PA y el ADI, ya que en ambos procedimientos se incrementa la carga aplicada a la estructura y se mide la respuesta del sistema desde el punto de vista de una variable de control que puede ser el desplazamiento de techo o la deriva máxima de piso, entre otras. Este procedimiento permite obtener la respuesta de una estructura a medida que aumenta la acción sísmica. En este artículo se utiliza un procedimiento similar al ADI cuando se calcula la respuesta por medio de los métodos simplificados propuestos en el ATC-40 (véanse los apartados 4.5 y 4.6); de esta manera se puede hacer una comparación de resultados en un intervalo de PGA y no en un solo punto.

4. Cálculo de la vulnerabilidad de la estructura con el enfoque probabilista

En el apartado anterior se ha hecho una descripción de métodos para evaluar la vulnerabilidad y el daño físico esperado de las estructuras debido a la acción sísmica de una zona. Ahora se propone realizar esta evaluación teniendo en cuenta que las variables de entrada del problema son aleatorias, particularmente las propiedades mecánicas de los materiales y la acción sísmica.

4.1. Análisis estático no lineal incremental mediante el método de Monte Carlo

En este trabajo se efectúa el análisis estático no lineal incremental 10.000 veces, considerando como variables aleatorias la resistencia a compresión del hormigón, fc , y la resistencia a tracción del acero, fy . Los valores de las variables aleatorias pueden verse en la tabla 2 . Como se muestra en la figura 1 , la estructura está compuesta por 54 pilares, que se dividen en 7 grupos según las características de la sección transversal. Estos pilares se unen a forjados reticulares que son modelados como vigas que tienen una inercia equivalente. Puesto que los forjados son iguales en todos los niveles, solo habrá un tipo de sección transversal. Para cada sección transversal se genera una muestra aleatoria de resistencia del hormigón y del acero según el procedimiento expuesto en Kalos y Whitlock [26] . Por tanto, en cada ejecución del PA la resistencia de los elementos estructurales es diferente. Estas variables generadas siguen una distribución de probabilidad gaussiana.

En la figura 8 se muestran las 10.000 curvas de capacidad obtenidas, la curva de capacidad media y la curva de capacidad obtenida con los valores característicos en el análisis determinista. El valor de desplazamiento máximo determinista es excedido por el 82,5% de los valores máximos de desplazamiento de todas las curvas de capacidad, lo que quiere decir que la probabilidad de que la estructura alcance el estado de daño de colapso antes de este valor es del 17,5%. Por otra parte, las curvas de capacidad calculadas tienen características que se distribuyen de forma aleatoria, como la rigidez inicial Ko o el desplazamiento último du . En la figura 9 a estas características se relacionan con las variables de entrada fc y fy , respectivamente. Se puede observar que el desplazamiento último de la estructura tiende a ser levemente mayor a medida que la resistencia de plastificación del acero, fy , aumenta. La figura 9 b muestra la dependencia entre la rigidez inicial de la estructura y la resistencia a compresión del hormigón, fc . Para medir el grado de dependencia entre las variables de entrada y salida se calcula la matriz de correlación, que tiene por componentes el coeficiente de correlación entre cada par de variables aleatorias. Antes de calcular esta matriz se obtiene la representación bilineal para todas las curvas de capacidad, mediante el procedimiento descrito en el apartado 3.2. De esta manera se obtienen el desplazamiento espectral de plastificación, denominado dy , y el desplazamiento último de la estructura, denominado du . Nótese que dy y du se calculan sobre la curva de capacidad y no sobre el espectro de capacidad, y por tanto son diferentes a Dy y Du mostrados en la figura 3 . Otras variables aleatorias que se deben calcular son el factor de ductilidad de la estructura q:

( 7)

y la rigidez del tramo elástico de la curva de capacidad, denominada Ko . Una vez definidas las variables aleatorias de salida, se procede a calcular la matriz de correlación mediante la siguiente ecuación:

( 8)

donde ρij define la correlación entre las variables aleatorias xi y xj , Cov   es la covarianza y es la desviación estándar de xj . La matriz de correlación entre todas las variables aleatorias consideradas se muestra en la tabla 3 .


Las 10.000 curvas de capacidad obtenidas a partir del enfoque probabilista, la ...


Figura 8.

Las 10.000 curvas de capacidad obtenidas a partir del enfoque probabilista, la curva de capacidad media y la curva de capacidad obtenida con el enfoque determinista.


a)Correlación entre du y fy. b)Correlación entre Ko y fc.


Figura 9.

a) Correlación entre du y fy . b) Correlación entre Ko y fc .

Tabla 3. Matriz de correlación entre las variables aleatorias del sistema
fy fc q Ko dy du
fy 1,000 0,000 0,126 –0,006 0,335 0,205
fc 0,000 1,000 –0,137 0,551 0,178 –0,098
q 0,126 –0,137 1,000 –0,477 –0,203 0,973
Ko –0,006 0,551 –0,477 1,000 0,713 –0,318
dy 0,335 0,178 –0,203 0,713 1,000 0,028
du 0,205 –0,098 0,973 –0,318 0,028 1,000

En general, 2 variables aleatorias son independientes cuando el correspondiente elemento ρij de la matriz de correlación tiende a cero, aunque también existe la posibilidad de que no se relacionen linealmente. Destaca la correlación entre la rigidez inicial y el desplazamiento de plastificación y entre la ductilidad y el desplazamiento de capacidad última. Al calcular la matriz de correlación se observa la riqueza de la información obtenida cuando se hace el cálculo del PA usando el método de Monte Carlo.

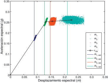
4.2. El espectro de capacidad bilineal como variable aleatoria

Las ecuaciones (1) y (2) permiten calcular los espectros de capacidad a partir de la curva de capacidad, transformando las variables dy y du en Dy y Du . Aplicando las ecuaciones (3) se obtienen los umbrales de los estados de daño dsi como variables aleatorias. La figura 10 muestra los resultados obtenidos y la tabla 4 muestra el valor medio y la desviación estándar de cada estado de daño y los estados de daño calculados con el enfoque determinista dsi ,det .


Estados de daño obtenidos con el enfoque probabilista y el determinista.


Figura 10.

Estados de daño obtenidos con el enfoque probabilista y el determinista.

Tabla 4. Valores medios y desviaciones estándar de los umbrales de los estados de daño considerados como las variables aleatorias. La tercera fila muestra los coeficientes de variación y la cuarta los umbrales correspondientes al espectro de capacidad determinista
ds1 ds2 ds3 ds4
μds  (cm ) 9,2 13,2 15,6 22,7
σds  (cm ) 0,16 0,22 0,51 1,6
0,0164 0,0164 0,0315 0,0706
dsdet  (cm ) 8,8 12,7 14,8 21,2

En la figura 10 se aprecia que los umbrales ds1 y ds2 están fuertemente correlacionados con la aceleración espectral porque los desplazamientos espectrales asociados a estos están muy cerca del campo de comportamiento lineal de la estructura. Por otra parte, los umbrales ds3 y ds4 muestran un comportamiento más aleatorio. Destaca la alta aleatoriedad asociada al umbral del estado de daño de colapso. Se recuerda que en las simulaciones cuyos resultados se muestran en la figura 10 , solo se han tenido en cuenta como variables aleatorias las propiedades mecánicas de los materiales que constituyen la estructura y no las fuerzas aplicadas.

Es importante observar en la figura 10 que, a medida que el umbral del estado de daño dsi aumenta, los dsi ,det cubren un menor intervalo de los valores obtenidos con el enfoque probabilista, es decir, aumenta la probabilidad de que se produzca un dsi menor que dsi ,det . Esto muestra que no es suficiente enfocar un problema no lineal desde una perspectiva determinista cuando las variables de entrada son aleatorias, ya que el nivel de confianza asignado a dichas variables no será el mismo que tendrá la respuesta del sistema modelado en términos probabilistas. En la tabla 5 se muestran la probabilidades de que el dsi probabilista sea menor que dsi ,det .

Tabla 5. Probabilidad de que los umbrales de los estados de daño obtenidos con el método probabilista sean menores al estado de daño calculado con el método determinista
P[ds1  < ds1,det ] P[ds2  < ds2,det ] P[ds3  < ds3,det ] P[ds4  < ds4,det ]
0,4% 0,4% 2% 17,5%

Se observa que la probabilidad aumenta con el estado de daño. Del 0,4% para los estados de daño leve y moderado se pasa al 2% para el estado de daño severo y al 17,5% para el de colapso.

4.3. Curvas de fragilidad probabilistas

Una vez calculados los dsi como variables aleatorias, se calculan las curvas de fragilidad siguiendo las hipótesis descritas en el apartado 3.4. La figura 11 muestra las curvas de fragilidad calculadas, donde se puede apreciar que la variabilidad es mucho mayor a medida que se incrementa el estado de daño, debido probablemente a la no linealidad creciente en la respuesta de la estructura.


Curvas de fragilidad obtenidas con el enfoque probabilista.


Figura 11.

Curvas de fragilidad obtenidas con el enfoque probabilista.

Tal como se ha visto, cada curva de fragilidad queda completamente definida si se conocen dsi y . En la figura 11 se puede ver que las curvas de fragilidad asociadas al estado de daño leve y moderado muestran poca dispersión tanto en dsi como en  ; por el contrario, respecto a los estados de daño extensivo y de colapso se observa una importante dispersión en ambos parámetros dsi y . La dispersión en el parámetro , particularmente para las curvas de fragilidad del estado de colapso, se refleja en la pendiente de las curvas que decae a medida que aumenta el umbral del estado de daño. En la figura 12 se muestra la correlación entre dsi y . La tabla 6 muestra los coeficientes de correlación, que ponen de manifiesto el incremento del grado de correlación a medida que dsi aumenta. Es importante observar que el intervalo en el que fluctúa la variable también aumenta cuanto mayor sea dsi , lo que no es más que otra confirmación de la mayor aleatoriedad e incertidumbre asociadas a la respuesta cuando la estructura empieza a comportarse en régimen no lineal.


Correlación entre dsi y βdsi y análisis de correlación.


Figura 12.

Correlación entre dsi y y análisis de correlación.

Tabla 6. Coeficiente de correlación entre dsi y
ds1 y ds2 y ds3 y ds4 y
ρi ,j –0,1967 –0,2007 0,8171 0,9720

Es interesante buscar una forma compacta de representar las curvas de fragilidad obtenidas mediante el enfoque probabilista sin perder la riqueza de la información. Para ello será necesario evaluar si las variables aleatorias dsi y responden a alguna distribución de probabilidad, lo que permitiría almacenar los resultados en términos de las variables que definen dichas distribuciones. Para hacer esta comprobación, las variables de salida se agrupan en histogramas y los valores obtenidos se dividen por el número total de muestras. Con los histogramas normalizados se calcula la función de probabilidad cumulativa de la variable, y esta se compara con la función de probabilidad cumulativa dada por un modelo clásico que, en este caso, es la función de probabilidad cumulativa gaussiana. Las Figura 13  and Figura 14 muestran los resultados obtenidos a partir de estas comparaciones para las variables dsi y , respectivamente. De esta comparación se deduce que estas variables responden adecuadamente a una función de probabilidad gaussiana. Los valores medios y las desviaciones estándar de las variables aleatorias comparadas en las Figura 13  and Figura 14 se muestran en la tabla 7 . Con esto se conocen las características de las variables aleatorias de salida y se pueden obtener curvas de fragilidad para cualquier nivel de confianza. En la figura 15 a se muestran las curvas de fragilidad medias, las curvas de fragilidad para un nivel de confianza del 95% a partir de las variables de salida y las curvas de fragilidad calculadas con el enfoque determinista con el fin de comparar los resultados obtenidos.


Histogramas para los dsi y comparación con una variable aleatoria gaussiana.


Figura 13.

Histogramas para los dsi y comparación con una variable aleatoria gaussiana.


Histogramas para los βdsi y comparación con una variable aleatoria gaussiana.


Figura 14.

Histogramas para los y comparación con una variable aleatoria gaussiana.

Tabla 7. Valores medios y desviaciones estándar de las variables aleatorias que definen las curvas de fragilidad
ds1  (cm ) ds2  (cm ) ds3  (cm ) ds4  (cm )
μ 9,2 0,267 12,8 0,218 16,1 0,231 22,7 0,28
σ 0,2 0,004 0,2 0,015 0,5 0,03 1,6 0,035


a)Curvas de fragilidad obtenidas con el enfoque probabilista y determinista; ...


Figura 15.

a) Curvas de fragilidad obtenidas con el enfoque probabilista y determinista; además se muestran las curvas de fragilidad para un nivel de confianza del 95% b) Desviación estándar de las curvas de fragilidad probabilistas.

En la comparación de la figura 15 a puede verse que las curvas de fragilidad con un nivel de confianza del 95%, obtenidas a partir del enfoque probabilista, tienen siempre ordenadas mayores que las de las curvas de fragilidad que resultan del método determinista. La diferencia entre estas curvas se acentúa a medida que el estado de daño y el desplazamiento espectral aumenta, lo que demuestra la importancia de trabajar este problema desde un punto de vista probabilista. Por otra parte, para obtener una medida de los tramos en que las curvas de fragilidad tienen mayor dispersión, en la figura 15 b se muestra la desviación estándar en cada curva de fragilidad como una función del desplazamiento espectral, y además puede observarse que la mayor incertidumbre ocurre alrededor del dsi de las curvas de fragilidad medias.

4.4. La acción sísmica como variable aleatoria

Tal como se ha mencionado anteriormente, es importante caracterizar la acción sísmica teniendo en cuenta su aleatoriedad. En el apartado 3.7 se ha visto que, para aplicar el método basado en el espectro de capacidad, es necesario definir la acción sísmica en términos de espectros elásticos de respuesta con el 5% de amortiguamiento crítico. La figura 16 muestra los 4 espectros seleccionados (2 por cada tipo del EC8). Puesto que uno de los propósitos de este trabajo es comparar los resultados obtenidos mediante variables deterministas y probabilistas, la acción sísmica también debe definirse en términos probabilistas. Para ello, se utilizan registros de acelerogramas reales de 2 bases de datos, una española y la otra europea, y se calculan los espectros de respuesta elástica para cada registro. Los valores obtenidos se comparan con los espectros suavizados dados por los códigos y, después, se seleccionan los que se aproximen a los propuestos en el EC8. Para cada uno de ellos se han obtenido 20 registros de aceleración. En la figura 17 se muestran los espectros elásticos seleccionados del EC8, el valor medio de los espectros de los acelerogramas reales seleccionados y su valor medio más una desviación estándar; además, para cada espectro se muestra uno de los 20 registros seleccionados para representar la acción sísmica.


Espectros considerados en el análisis tomado del EC8 para los tipos1 y 2, suelos ...


Figura 16.

Espectros considerados en el análisis tomado del EC8 para los tipos 1 y 2, suelos tipos A y D.


Espectros de respuesta elástica con 5% de amortiguamiento crítico tomados del ...


Figura 17.

Espectros de respuesta elástica con 5% de amortiguamiento crítico tomados del EC8; además se muestra el valor medio de los espectros correspondientes a acelerogramas reales que son compatibles y la respectiva desviación estándar. A la derecha de cada espectro se muestra un ejemplo de los acelerogramas seleccionados.

A partir de los espectros seleccionados y con el período de vibración fundamental del edificio, se puede hacer una valoración preliminar de los registros que van a producir más desplazamiento y, por tanto, más daño. En la figura 17 , que muestran los espectros de respuesta, se representa el período fundamental del edificio y se obtiene la ordenada del espectro; cuanto mayor es el valor de dicha ordenada, mayor será el daño en el edificio. Sin embargo, como el período es también una variable aleatoria, en la figura 17 se muestra el período medio obtenido con el enfoque probabilista. En este caso, se dibuja el período del edificio sobre el espectro de respuesta normalizado. De aquí se obtiene que los acelerogramas que más van a dañar la estructura son los compatibles con el espectro tipo 1 suelo D y que los que menos daño causarán son los compatibles con el espectro tipo 2 suelo A. Comparando los registros con espectros de respuesta compatibles con los espectros tipo 1 suelo A y tipo 2 suelo D del Eurocódigo, se observa que las ordenadas asociadas al período fundamental son muy parecidas, por lo que habría que evaluar los períodos asociados a los modos de vibración superiores al fundamental. Sin embargo, hay que tener en cuenta 2 aspectos en el espectro tipo 2 suelo D: 1) A medida que el período decrece, la aceleración espectral crece más rápido que en el caso del espectro tipo 1 suelo A. 2) La meseta de aceleración constante del espectro tipo 2 suelo D tiene ordenadas mayores que en el caso del espectro tipo 1 suelo A. Esto sugiere que los registros compatibles con el espectro tipo 2 suelo D serán más perjudiciales para el edificio que los espectros tipo 1 suelo D. Esta consideración preliminar será constatada y confirmada usando los 2 métodos simplificados del ATC-40, ALE y PA-8, para estimar el punto de capacidad por demanda y también usando el ADNL.

4.5. Aproximación lineal equivalente, enfoque probabilista

Los resultados obtenidos con el enfoque probabilista por medio de la metodología ALE se muestran en la figura 18 . Como se mencionó en el apartado 3.8, en este trabajo se quiere evaluar la respuesta de la estructura como una función del PGA siguiendo el procedimiento ADI. En la ALE es suficiente escalar los espectros de respuesta para un solo PGA, ya que el resultado es lineal, por lo que solo es necesario extender una recta desde el origen que pase por este punto, con lo que se consigue que el desplazamiento espectral sea una función del PGA. Como los espectros de respuesta y los de capacidad son variables aleatorias, las rectas que relacionan el PGA y el desplazamiento espectral también serán aleatorias. La figura 18 a muestra solo las rectas medias que permiten comprobar el análisis hecho a partir de los espectros de respuesta y el período fundamental del edificio. La figura 18 b muestra la desviación estándar de estas rectas, que también varía de forma lineal. La desviación estándar es mayor para el espectro tipo 2 suelo A y menor para el espectro tipo 1 suelo D, por lo que habría que evaluar la variación de la relación entre el PGA y el desplazamiento espectral cuando se quiere trabajar con curvas que garanticen niveles de confianza superiores a las asociadas al valor medio.


a)Desplazamiento espectral obtenido con la ALE. b)Desviación estándar del ...


Figura 18.

a) Desplazamiento espectral obtenido con la ALE. b) Desviación estándar del desplazamiento espectral obtenido con la ALE.

4.6. Procedimiento PA-8

El otro método simplificado propuesto en el ATC-40 que será usado en este trabajo es el PA-8, en el que el espectro de demanda se reduce por la ductilidad de la estructura. Dicho método ha sido estudiado rigurosamente por Fajfar [27] , que concluye que es una buena aproximación para obtener el desplazamiento espectral de una estructura teniendo en cuenta su comportamiento no lineal. Al aplicar el PA-8 también se utilizan espectros de acelerogramas reales, al igual que en el apartado anterior cuando se aplicó la ALE. Sin embargo, cuando dichos espectros son transformados al formato sa-sd , se obtienen funciones que no tienen una forma sencilla, tal como puede verse en la figura 19 . Este hecho complica la automatización del proceso iterativo que es de más fácil aplicación para espectros suavizados, como son los espectros de diseño, definidos mediante funciones analíticas sencillas.


Muestra de un espectro de respuesta en formato sa-sd para un sismo compatible ...


Figura 19.

Muestra de un espectro de respuesta en formato sa-sd para un sismo compatible con el espectro tipo 1 suelo D dado por el EC8.

En la figura 20 se comparan los resultados obtenidos con los métodos PA-8 y ALE. Esta comparación permite establecer que con el ALE se obtienen resultados que están del lado de la seguridad, puesto que nunca se subestima el desplazamiento espectral. En el siguiente apartado se avanza en estas comparaciones y discusión usando el análisis dinámico no lineal


a)Desplazamiento espectral obtenido con el PA-8 y comparado con la ALE. ...


Figura 20.

a) Desplazamiento espectral obtenido con el PA-8 y comparado con la ALE. b) Desviación estándar del desplazamiento espectral calculado con el PA-8 y comparado con la ALE.

Después de aplicar los métodos simplificados de evaluación del daño sísmico, se establece que el daño esperado de la estructura modelada es muy alto en zonas sísmicas compatibles con el espectro de respuesta tipo 1, suelo D. Por ejemplo, para un PGA de 0,3 g, el desplazamiento espectral asociado es aproximadamente de 0,25 m, valor que corresponde a una alta probabilidad de colapso. Por otra parte, si la zona sísmica es compatible con el espectro de respuesta tipo 2, suelo A, el daño esperado es menor. Esto se refleja en el hecho de que para que el colapso sea probable debería ocurrir un terremoto con un PGA superior a 1,5 g, valor que es altamente improbable, y más teniendo en cuenta que este tipo de espectros corresponden a sismos de baja magnitud.

5. Análisis dinámico no lineal. Enfoque probabilista

En este apartado se muestra el análisis dinámico no lineal desde una perspectiva probabilista. En la figura 20 se aprecia que las acciones sísmicas que producen mayores desplazamientos espectrales en la estructura para un PGA menor son las compatibles con el espectro tipo 1, suelo tipo D. Para los otros espectros, tendría que escalarse la aceleración hasta valores que son poco probables en España, donde las PGA para un periodo de retorno de 500 años son inferiores a 0,25 g (NCSE-02, 2002). Por tanto, en este artículo solo se hace el análisis dinámico incremental (ADI) para los sismos compatibles con el espectro mencionado, suficiente para el objetivo de este trabajo. De acuerdo con los resultados obtenidos mediante los procedimientos propuestos en el ATC-40, para los sismos compatibles con el espectro tipo 1 y suelo tipo D, se escala el PGA hasta 0,36 g para llegar al desplazamiento de colapso. El PGA se incrementará en intervalos de 0,06 g hasta llegar a 0,36 g. Para mantener el enfoque probabilista, las propiedades mecánicas de los materiales se han tratado como variables aleatorias, tal y como se hizo en el análisis estático pero generando solo 100 muestras aleatorias de las propiedades mecánicas para el conjunto de estas variables ya que, como se verá en los resultados, la mayor fuente de aleatoriedad proviene de la acción sísmica. Dicha acción se representa por 20 acelerogramas seleccionados entre datos reales. Al final se ejecutarán 2.000 análisis dinámicos no lineales por cada PGA. En la figura 21 se muestran los resultados obtenidos después de ejecutar todos los ADNL. Se puede apreciar cómo evoluciona el desplazamiento máximo en el techo y el cortante en la base a medida que aumenta el PGA. Si se hace una ampliación de los resultados obtenidos con el primer PGA, que es de 0,06 g, se puede ver claramente que la principal fuente de aleatoriedad es la acción sísmica, ya que se pueden distinguir con claridad 20 estructuras de nubes asociadas a cada acelerograma, cada nube contiene 100 puntos correspondientes a los resultados asociados a las propiedades mecánicas como variable aleatoria. Vale la pena observar que, a medida que aumenta el PGA, estas nubes pierden su organización, su dispersión aumenta de forma significativa y, en consecuencia, también se incrementa la desviación estándar; es decir, cuando el PGA aumenta, la influencia de las propiedades mecánicas de los materiales en la respuesta también lo hace. Este es un resultado importante de este estudio.


Resultados del ADNL probabilista. Zoom a los resultados para valores del PGA de ...


Figura 21.

Resultados del ADNL probabilista. Zoom a los resultados para valores del PGA de 0,06 y 0,36 g.

Para comparar estos resultados con los obtenidos previamente por las metodologías del ATC-40, se calcula el valor medio y la desviación estándar para cada PGA. En los cambios de pendiente de la desviación estándar se aprecian variaciones significativas del comportamiento de la estructura, como exponen Vargas et al. [28] . La figura 22 a muestra con todas las metodologías usadas el promedio del desplazamiento esperado y la figura 22 b muestra la desviación estándar. En la figura 22 a se muestran también los desplazamientos de plastificación Dy y de capacidad última Du , junto con sus respectivos intervalos de confianza del 95%.


a)Relación entre el PGA y el desplazamiento espectral obtenido con todos los ...


Figura 22.

a) Relación entre el PGA y el desplazamiento espectral obtenido con todos los métodos simplificados y el ADNL; enfoque determinista. b) Comparación de la desviación estándar.

Esto quiere decir que las aproximaciones propuestas en el ATC-40 no subestiman el desplazamiento espectral esperado si se comparan con los resultados obtenidos con el análisis dinámico no lineal. Sin embargo, el PA-8 da una mejor estima del desplazamiento espectral que la ALE si se comparan los resultados con el ADNL.

6. Comparación de los resultados obtenidos con el enfoque probabilista y determinista

Para calcular con el ADNL en términos deterministas la relación entre el PGA y el desplazamiento espectral esperado, es necesario disponer de una acción sísmica que sea representativa para los acelerogramas seleccionados en el análisis aleatorio. Por tanto, a partir del espectro medio y la desviación estándar de los espectros reales seleccionados y usados en el análisis dinámico no lineal se procede a calcular un espectro que será llamado espectro característico , cuya probabilidad de ser excedido es del 5%, tal y como se muestra en la figura 23 a. Con el espectro característico así definido se genera un acelerograma sintético a partir del procedimiento de Gasparini y Vanmarcke [29] , usando la envolvente trapezoidal propuesta por Hou [30] . Como en el modelo de cálculo no se considera la degradación de la rigidez de los elementos, la duración de la señal generada no influye en la respuesta de la estructura [31] , por lo que la duración del acelerograma sintético se ha definido como la duración media de los 20 acelerogramas usados en el ADNL probabilista. Para calcular el desplazamiento espectral esperado se usan, además del ADNL, las 2 aproximaciones del ATC-40. Utilizando el enfoque determinista con el espectro característico y el correspondiente acelerograma sintético, se calculan resultados para los mismos PGA considerados en el estudio probabilista. La figura 23 b muestra los resultados obtenidos después de aplicar los 3 métodos mencionados y el enfoque determinista, usando la acción compatible con el espectro característico, tal como se ha definido más arriba. De nuevo, se observa que las metodologías simplificadas ALE y PA-8 son conservadoras respecto al análisis dinámico no lineal; además, el PA-8 sigue siendo una mejor estima para el cálculo del desplazamiento espectral que la ALE, si se comparan los resultados con el ADNL.


a)Espectro característico obtenido a partir de los acelerogramas reales. ...


Figura 23.

a) Espectro característico obtenido a partir de los acelerogramas reales. b) Resultados del enfoque determinista utilizando el espectro característico y el acelerograma artificial generado a partir de aquel.

En la figura 24 se pueden ver los ID calculados a partir de los procedimientos del ATC-40 y el ADNL. En cada figura se compara el ID obtenido después de utilizar las curvas de fragilidad medias y las curvas de fragilidad para un nivel de confianza del 95% ( fig. 15 a). También se muestran los resultados obtenidos mediante el enfoque determinista. En estas figuras se puede apreciar la gran dispersión que existe en los resultados, que se ve reflejada en las diferencias significativas entre el ID medio correspondiente a un nivel de confianza del 50% en las curvas de fragilidad y el ID calculado para un nivel de confianza del 95%. Los resultados confirman que suponer niveles de confianza del 95% en las variables de entrada y enfocar el problema desde un punto de vista determinista no garantiza que las variables de salida tengan este mismo nivel de confianza. En la figura 24 puede verse que el índice de daño esperado que resulta del enfoque determinista es menor que el obtenido en términos probabilistas para un nivel de confianza del 95% en la variable de salida. La diferencia entre estos enfoques es más acentuada cuando se usan procedimientos que tienen en cuenta el comportamiento no lineal de la estructura, es decir, el PA-8 y el ADNL. Por otra parte, las aproximaciones propuestas en el ATC-40 no subestiman el desplazamiento espectral si se comparan los resultados con el ADNL. En la figura 24 d se comparan los ID obtenidos con los 3 métodos para un nivel de confianza del 95%. Se han logrado resultados similares para edificios de la misma tipología estructural pero con diferentes alturas, como puede verse en [32] .


a)Índice de daño esperado a partir de la ALE. b)Índice de daño esperado a partir ...


Figura 24.

a) Índice de daño esperado a partir de la ALE. b) Índice de daño esperado a partir del PA-8. c) Índice de daño esperado a partir del ADNL. d) Índice de daño esperado por todas las metodologías para un nivel de confianza del 95%.

7. Conclusiones

En este trabajo se ha propuesto una metodología de evaluación probabilista de la vulnerabilidad y del riesgo sísmico de estructuras de hormigón armado utilizando el método de Monte Carlo. Se ha tenido en cuenta el carácter aleatorio no solo de las propiedades mecánicas de los materiales sino también de la acción sísmica. Esta última ha sido considerada mediante acelerogramas reales compatibles con los espectros de respuesta elástica dados en el EC8. Para ello, se han considerado los 2 tipos de espectros del EC8 para 2 tipos de suelo, para abarcar diferentes contenidos frecuenciales de la señal sísmica. Asimismo, se han evaluado la vulnerabilidad y el riesgo mediante un enfoque determinista a partir de los valores característicos de las propiedades mecánicas de los materiales y definiendo una acción sísmica característica a partir de acelerogramas reales. El daño sísmico esperado se evalúa mediante un índice calculado a partir de las curvas de fragilidad que, a su vez, son funciones que dependen del desplazamiento espectral. Dicho desplazamiento ha sido calculado por medio de métodos simplificados propuestos en el ATC-40. Los resultados obtenidos con estos métodos han sido comparados con el análisis dinámico no lineal.

Una importante conclusión es que, a pesar de trabajar con herramientas avanzadas de análisis estructural, como son el análisis estático incremental y el análisis dinámico no lineal, estos procedimientos muestran incertidumbres significativas cuando se tiene en cuenta la aleatoriedad de las variables asociadas al problema. Es necesario subrayar que en este trabajo se han considerado coeficientes de variación relativamente pequeños para las variables de entrada en relación con las incertidumbres que pueden existir en estructuras que no han sido proyectadas de acuerdo con criterios sismorresistentes.

Es importante resaltar que si el sistema tiene un comportamiento no lineal, no se garantiza que el nivel de confianza de la respuesta obtenida con el enfoque probabilista sea el mismo que el asignado a las variables de entrada cuando se hace un cálculo determinista. Este hecho es visible en las diferencias significativas que existen entre los índices de daño esperado, ID , obtenidos a partir del desplazamiento espectral calculado mediante el análisis dinámico no lineal. Concretamente, el índice de daño esperado obtenido con un enfoque determinista llega a ser en algunos casos un 20% menor que el que se obtiene con un enfoque probabilista.

Para el cálculo del desplazamiento esperado se ha hecho un estudio comparativo sobre los enfoques determinista y probabilista, y los métodos simplificados del ATC-40, como la aproximación lineal equivalente y el que tiene en cuenta la reducción por la ductilidad de la estructura. De esta comparación se concluye que, si se utilizan como referencia los resultados del análisis dinámico no lineal, el procedimiento simplificado con base en la reducción del espectro de demanda por la ductilidad de la estructura proporciona una mejor estima que la aproximación lineal equivalente. Sin embargo, cabe anotar que las 2 metodologías simplificadas están del lado de la seguridad.

Otro resultado relevante y muy interesante del estudio probabilista realizado en este artículo es la matriz de correlación entre las variables de entrada y de salida, que proporciona una valiosa información que puede ser muy útil tanto en la fase de diseño de las estructuras nuevas como en el caso de la evaluación del riesgo sísmico de las estructuras existentes.

Finalmente, es importante recalcar que en la evaluación de la vulnerabilidad y del riesgo sísmico, sea cual sea la metodología utilizada, es importante seguir un enfoque que tenga en cuenta el comportamiento no lineal de la estructura, la aleatoriedad de las propiedades mecánicas de los materiales y la enorme incertidumbre asociada a la acción sísmica.

Agradecimientos

Este trabajo ha sido parcialmente financiado por el Instituto Geográfico de Cataluña (IGC), por el Ministerio de Ciencia e Innovación de España, por la Comisión Europea y por una beca para los siguientes proyectos de investigación: CGL-2005-04541-C03-02/BTE, CGL2008-00869/BTE, CoPASRE, CGL2011-29063, INTERREG: POCTEFA 2007-2013/73/08 y MOVE—FT7-ENV-2007-1-211590. El autor Jorge Eduardo Hurtado agradece a la Universidad Nacional de Colombia, Sede Manizales, la financiación de una pasantía en la Universidad Politécnica de Cataluña para la realización de esta investigación.

Bibliografía

  1. [1] C. Bermúdez, Vulnerabilidad sísmica de edificios de acero [tesis doctoral], Departamento de Ingeniería del Terreno, Cartográfica y Geofísica, Universidad Politécnica de Cataluña, 2010
  2. [2] J.E. Hurtado, Modelización estocástica de la acción sísmica, Centro Internacional de Métodos Numéricos en Ingeniería (CIMNE), IS-33, Barcelona, España, 1999.
  3. [3] A.H. Barbat, F. Yépez Moya, J.A. Canas; Damage scenarios simulation for risk assessment in urban zones; Earthq. spectra, 2 (3) (1996), pp. 371–394
  4. [4] A.H. Barbat, U. Mena, F. Yépez; Evaluación probabilista del riesgo sísmico en zonas urbanas; Rev. int. métodos numér. cálc. diseño ing., 14 (2) (1998), pp. 247–268
  5. [5] B. Borzi, R. Phino, H. Crowley; Simplified pushover analysis for large-scale assessment of RC buildings; Eng. Struct., 30 (2008), pp. 804–820
  6. [6] A.H. Barbat, L.G. Pujades, N. Lantada, R. Moreno; Seismic damage evaluation in urban areas using the capacity spectrum method: application to Barcelona; Soil Dyn. Earthquake Eng., 28 (2008), pp. 851–865
  7. [7] N. Lantada, L.G. Pujades, A.H. Barbat; Vulnerability index and capacity spectrum based methods for urban seismic risk evaluation. A comparison; Nat. Hazard. Rev., 51 (2009), pp. 501–524
  8. [8] L.G. Pujades, A.H. Barbat, R. González-Drigo, J. Avila, S. Lagomarsino; Seismic performance of a block of buildings representative of the typical construction in the Eixample district in Barcelona (Spain); Bull. Earthquake Eng., 10 (1) (2012), pp. 331–349
  9. [9] A.M. Mwafy, A.S. Elnashai; Static pushover versus dynamic collapse analysis of RC buildings; Eng. Struct., 23 (2001), pp. 407–424
  10. [10] M. Poursha, F. Khoshnoudian, A.S. Moghadam; A consecutive modal pushover procedure for estimating the seismic demands of tall buildings; Eng. Struct., 31 (2009), pp. 591–599
  11. [11] S.P. Kim, Y.C. Kuruma; An alternative pushover analysis procedure to estimate seismic displacement demands; Eng. Struct., 30 (2008), pp. 3793–3807
  12. [12] J.C. Vielma, A.H. Barbat, S. Oller; Seismic performance of waffled-slabs floor buildings; Proc. Inst. Civ. Eng. Struct. Build., 162 (SB3) (2009), pp. 169–182
  13. [13] J.C. Vielma, A.H. Barbat, S. Oller; Seismic safety of limited ductility buildings; Bull. Earthquake Eng., 8 (1) (2010), pp. 135–155
  14. [14] M. Fragiadakis, D. Vamvatsikos; Estimation of uncertain parameters using static pushover methods; Safety Reliability and Risk of Structures, Infrastructures and Engineering Systems (2010)
  15. [15] M. Dolsek; Effects of uncertainties on seismic response parameters of reinforced concrete frames; Safety Reliability and Risk of Structures, Infrastructures and Engineering Systems (2010)
  16. [16] Eurocódigo 8, Design of structures for earthquake resistance. Part 1: General rules, seismic actions and rules for building, 2004.
  17. [17] I. Satyarno I, Pushover analysis for the seismic assessment of reinforced concrete buildings [doctoral thesis], Department of Civil Engineering, University of Canterbury, 1999.
  18. [18] A.J. Carr; Ruaumoko-Inelastic Dynamic Analisys Program; Department of Civil Engineering, University of Canterbury, Christchurch, New Zealand (2000)
  19. [19] P.A. Mata, S. Oller, A.H. Barbat; Static analysis of beam structures under nonlinear geometric and constitutive behaviour; Comput. Meth. Appl. Mech. Eng., 196 (2007), pp. 4458–4478
  20. [20] J. Faleiro, S. Oller, A.H. Barbat; Plastic-damage seismic model for reinforced concrete frames; Comput. Struct., 86 (7-8) (2008), pp. 581–597
  21. [21] ATC-40, Seismic evaluation and retrofit of concrete buildings, Applied Technology Council, Redwood City, California, 1996.
  22. [22] HAZUS 99, Earthquake Loss Estimation Methodology Earthquake. Technical Manual, Vol. 1, Federal Emergency Management Agency (FEMA). Washington D.C., 1999.
  23. [23] RISK UE Project of the European Commission (2004) An advanced approach to earthquake risk scenarios with applications to different European towns. Contract number: EVK4-CT-2000-00014.
  24. [24] J.A. Mahaney, T.F. Paret, B.E. Kehoe, S.A. Freeman; The capacity spectrum method for evaluating structural response during the Loma Prieta earthquake; National Earthquakes Conference, Memphis (1993)
  25. [25] D. Vamvatsikos, C.A. Cornell; The incremental dynamic analysis; Earthquake Eng. Struct. Dyn., 31 (3) (2001), pp. 491–514
  26. [26] M. Kalos, P.A. Whitlock, Monte Carlo Methods, Vol. I, Basics, 1986.
  27. [27] P. Fajfar; Capacity spectrum method based on inelastic demand spectra; Earthquake Eng. Struct. Dyn., 28 (1999), pp. 979–993
  28. [28] Y.F. Vargas, L.G. Pujades, A.H. Barbat, J.E. Hurtado; Probabilistic Assessment of the Global Damage in Reinforced Concrete Structures; Proceeding of the 14th European Conference on Earthquake Engineering, Ohrid (2010)
  29. [29] D. Gasparini, E.H. Vanmarcke, Simulated earthquake motions compatible with prescribed response spectra. M.I.T. Department of Civil Engineering. Research report R76-4, Order No. 527, 1976.
  30. [30] S. Hou; Earthquake simulation models and their applications; M.I.T. Department of Civil Engineering. Research Report. (1968) R68-17
  31. [31] J. Hancock, J. Bommer; A state of knowledge Review of the influence of strong motion duration on structural damage; Earthq. spectra, 22 (3) (2006), pp. 827–845
  32. [32] Y.F. Vargas, L.G. Pujades, A.H. Barbat, J.E. Hurtado; Incremental dynamic analysis and pushover analysis. A probabilistic comparison; III ECCOMAS Thematic Conference on Computational Methods in Structural Dynamics and Earthquake Engineering, Corfu, Greece (2011)
Back to Top

Document information

Published on 01/06/13
Accepted on 28/10/11
Submitted on 27/03/11

Volume 29, Issue 2, 2013
DOI: 10.1016/j.rimni.2013.04.003
Licence: Other

Document Score

0

Times cited: 12
Views 405
Recommendations 0

Share this document

claim authorship

Are you one of the authors of this document?