Resumo

Uma avaliação do desempenho de diversas alternativas de parametrização dos comprimentos de rugosidade para quantidade de movimento e vapor d'água foi realizada com dados medidos sobre a água no reservatório de Itaipu, Brasil. Foram testadas 4 parametrizações para a estimativa da rugosidade da quantidade de movimento, e 4 para a estimativa da rugosidade do vapor d'água. As parametrizações para quantidade de movimento consistem na equação de Charnock e generalizações, enquanto que as parametrizações para vapor d'água baseiam-se em equações propostas por Brutsaert. As 4 parametrizações para quantidade de movimento produziram resultados muito parecidos em termos de qualidade do ajuste e estatísticas de erros, e se revelaram apenas fracamente dependentes da velocidade de atrito. Já as parametrizações para vapor d'água produziram resultados mais dispersos, sendo que as melhores parametrizações encontradas dependem muito fracamente do número de Reynolds de rugosidade, ou são independentes do mesmo. Tanto no caso de quantidade de movimento quanto de vapor d'água, os valores dos parâmetros ótimos de cada parametrização encontrados para Itaipu são significativamente maiores (uma ordem de grandeza para o parâmetro de Charnock e para a rugosidade de quantidade de movimento; e cerca de sete vezes maior para o inverso do número de Dalton) do que os reportados na literatura.

Palavras chave: Teoria de similaridade de Monin-Obukhov, comprimentos de rugosidade, fluxos superficiais

Abstract

An assessment of the performance of various parameterization alternatives for roughness lengths of momentum and water vapour was performed. The micrometereological data used in this work was measured in the Itaipu reservoir, Brazil. Four models was tested for momentum roughness length, and four for water vapour. The parameterization for horizontal momentum flux are based on the Charnock equation and generalizations while the water vapour model are based on equations proposed by Brutsaert. The four models for momentum flux produced very similar results, in terms of goodness of fit and errors, and turned out only weakly dependent on friction velocity. Already the parameterizations for water vapor produced more dispersed results, and the best parameterizations found very poorly depend on the Reynolds roughness number, or are independent of it. Both in the case of momentum and water vapour, the optimal parameter values of each parameterization found for Itaipu are significantly larger than those reported in the literature (one order of magnitude for the Charnock parameter and for the momentum roughness; and about seven times greater for the inverse of Dalton's number).

Keywords: Monin-Obukhov similarity theory, roughness lengths, superficial fluxes

1. Introdução

A estimativa correta dos fluxos superficiais de quantidade de movimento, calor sensível e massa de vapor d’água é um fator crucial em muitas aplicações de engenharia, incluindo a modelagem de interações superfície-atmosfera em modelos atmosféricos e modelagem e gerenciamento de recursos hídricos [1-5]. A partir de medições feitas na parte superior da camada limite atmosférica, denominada subcamada inercial (onde se aplica a Teoria da Similaridade de Monin-Obukhov (Raupach et. al. [6]), os fluxos de escalares podem ser obtidos a partir da teoria de Brutsaert para a estimativa do comprimento de rugosidade para os escalares [7-9], que estende a Teoria da Renovação Superficial (TRS) de Danckwerts [10] para produzir um conjunto fechado de equações para os comprimentos de rugosidade de um escalar (no nosso caso, a rugosidade para o vapor d’água) e o tempo médio de contato dos vórtices de menores escalas com a superfície. Para ser aplicada, a teoria requer o conhecimento do comprimento de rugosidade para quantidade de movimento característico da superfície.

Para superfícies sólidas e com vegetação, geralmente pode ser considerado constante, pelo menos sobre uma certa faixa de direções do vento. Sobre a água, (m) é mais comumente estimado usando a equação de Charnock [11],

(1)

onde (m s) é a velocidade de atrito e (m s) é a aceleração da gravidade e o número adimensional é o parâmetro de Charnock. Para oceanos abertos, é da ordem de como sugerido originalmente (Charnock [11], ); (Charnock [12], ) e corroborado por estudos posteriores (Smith [13], ); (Smith [14], ).

Para o caso de corpos de água rasos, existem evidências de que a parametrização de Charnock não explica totalmente a relação entre a velocidade média do vento e a velocidade de atrito [15]. Por exemplo, nessas condições valores um pouco maiores do coeficiente de Charnock foram encontrados por Garratt [16] () e Wu [17] () e uma ordem de magnitude maiores por Shabani et al. [18] ().

Devido aos diferentes valores encontrados para o parâmetro de Charnock em corpos de água rasos e profundos, e devido à pequena bibliografia sobre o tema, é importante a realização de outros estudos sobre a parametrização de em lagos. Uma parte do presente trabalho consiste em parametrizar adequadamente , utilizando dados provenientes de uma extensa campanha micrometeorológica no reservatório de Itaipu, Brasil.

Para lagos, a parametrização para o comprimento de rugosidade de escalares da teoria original foi testada por diversos autores (por exemplo, Verburg et. al. [19] e Dias et. al. [20]), com valores de parâmetros sempre muito próximos daqueles propostos originalmente por Charnock [11] e Brutsaert [8,9]. Neste trabalho, nós avaliamos experimentalmente as alternativas existentes, com particular atenção aos erros que elas produzem, e aos valores ótimos de seus parâmetros.

Este trabalho está organizado da seguinte maneira: na Seção 2, a metodologia é apresentada e são revisitadas parametrizações alternativas tanto para quanto para ; na Seção 3, o sítio experimental do reservatório de Itaipu, cujos dados são utilizados neste trabalho, é brevemente descrito; na Seção 4, as diversas parametrizações são comparadas, e os resultados obtidos são discutidos. As conclusões são apresentadas na Seção 5.

2. Metodologia

2.1 Fluxos turbulentos e Teoria de Similaridade de Monin-Obukhov

Neste trabalho, nós lidamos com os fluxos turbulentos de quantidade de movimento, calor sensível e calor latente, dados por

(2)
(3)
(4)

Nas equações acima, (m s) é a velocidade longitudinal do vento; (m s) é a velocidade vertical; (kg m) é a densidade do ar; (J KgK) é o calor específico a pressão constante do ar; (K) é a temperatura do ar; (KgKg) é a umidade específica, e (J Kg) é o calor latente de evaporação. As equações (2)–(4) definem as escalas turbulentas (m s), (K) e (KgKg) (velocidade de atrito e escalas turbulentas de temperatura e umidade, respectivamente), a partir das quais obtém-se a variável de similaridade de Obukhov,

(5)

onde (m) é uma altura arbitrária acima da superfície, é a constante de vón Kármán. A temperatura virtual média () é

(6)

e a escala turbulenta de temperatura virtual (K) é

(7)

Nas equações acima, uma barra indica uma média e uma linha a flutuação turbulenta em torno da média.

Os fluxos turbulentos e podem ser estimados a partir da medição de grandezas médias via Teoria de Similaridade de Monin-Obukhov (TSMO), com

(8)
(9)

e substituição em (2) e (4), onde a (m) é a altura de medição da velocidade média (m s), e (m) é a altura de medição da umidade específica média (KgKg). Em (8) e (9), e são as funções de similaridade para os fluxos de quantidade de movimento e vapor d’água de Businger-Dyer (Brutsaert [9], seção 4.2). O foco central deste trabalho é a comparação de parametrizações para os comprimentos de rugosidade para a quantidade de movimento e para o vapor d'água, (m). Dias et. al. [20] encontraram discrepâncias na parametrização do fluxo de calor sensível que eles atribuíram à advecção de calor sobre o lago. Por esse motivo, neste trabalho nós avaliamos apenas a estimativa do fluxo de calor latente, associado ao fluxo de massa de vapor d'água, via equação (9).

2.2 A parametrização de 2.2 A parametrização de z 0 {\displaystyle z {0}}

Em interfaces água-ar é usualmente parametrizado através de , e da viscosidade cinemática do ar (ms). Alguns trabalhos também incluem outras grandezas, relacionadas com o estado das ondas na superfície [21]-[29]. Porém em lagos e outros corpos d’água rasos as ondas não conseguem se desenvolver completamente; além disso, em várias aplicações (mesmo no oceano), as características das ondas na superficie nem sempre estão disponíveis. Por isso neste trabalho nós testamos parametrizações para somente com , e . As parametrizações avaliadas são generalizações de parametrizações existentes, com a forma

(10)

Em (10), e são constantes adimensionais, e , e precisam atender ao sistema subdeterminado

(11)
(12)

para produzir um resultado com dimensões de comprimento. O caso e produz o comprimento de rugosidade para escoamentos turbulentos lisos [14], que é exatamente o segundo argumento de na Eq. (10). Note que essa restrição (a escolha do maior valor entre as duas expressões) evita que valores demasiadamente pequenos (ou mesmo negativos) resultem de combinações arbitrárias dos parâmetros , , , e , principalmente em buscas automáticas do algoritmo de otimização. Para um conjunto de dados medidos, a equação (10) pode ser otimizada em função de , , e . Para cada , e ficam determinados via (11)–(12):

(13)

Na seção 4, diversas combinações de , e são obtidos por otimização, com o método de Levenberg-Marquardt, para o reservatório de Itaipu.

2.3 A parametrização de 2.3 A parametrização de z 0 E {\displaystyle z {0E}}

Para estimar o fluxo de massa de vapor d'água através da expressão (4) é necessário determinar o comprimento de rugosidade na expressão (9). Um resultado clássico apresentado em Brutsaert [9] é

(14)

onde é o número de Dalton interfacial, e é o coeficiente de arrasto interfacial. Brutsaert [8] utilizou . A equação (14) é válida apenas para o regime turbulento rugoso, que é predominante em condições de campo. Para o regime liso, Brutsaert [9] propõe

(15)

Neste trabalho, quando o regime é turbulento liso, a Eq. (15) é sempre adotada, independentemente da parametrização que está sendo utilizada para o regime turbulento rugoso (que constitui a maioria dos casos). Com a Teoria de Renovação Superficial é possível quantificar Da 0 na Eq. (14); Brutsaert [8] obteve

(16)

Em (16), é um número adimensional, é o número de Reynolds de rugosidade, definido como

(17)

e é o número de Schmidt,

(18)

onde (ms) é a difusividade molecular de vapor de água no ar. Note que o expoente do número de Schmidt em (16) vem da solução transiente da equação da difusão para uma parcela de fluido na Teoria de Renovação Superficial [7][10]; o valor de é confirmado por uma série de resultados experimentais (c.f. Figura 2 de Lorke e Peetres [30]). Por este motivo, neste trabalho nós mantivemos o expoente de fixo em para todas as alternativas de parametrização de .

Uma expressão alternativa para foi apresentada, por exemplo, por Soloviev et. al. [31] (para regimes de ventos moderados), Csanady [32] e Lorke et. al. [30], que encontraram

(19)

onde é uma constante da ordem de .

Neste trabalho nós propomos e avaliamos uma generalização das duas expressões para apresentadas anteriormente, da forma

(20)

com sendo um número a ser determinado experimentalmente. Em particular quando fazemos obtemos a expressão (16) de Brutsaert, enquanto que dá origem a (19).

3. Sítio experimental

Os dados utilizados foram medidos em uma estação micrometeorológica instalada em uma pequena ilha do reservatório da usina hidrelétrica de Itaipu, Estado do Paraná, Brasil. As coordenadas da ilha são −25°03'25,72"S e −54°24'33,67"O, e sua altitude é de 220m em relação ao nível do mar. Devido à proximidade do município de Missal - PR, a estação foi denominada Estação Missal.

Na estação micrometeorológica foram instalados sensores de resposta rápida operando a 20Hz, e sensores de resposta lenta medindo a 0,1Hz e calculando médias em intervalos de tempo de 10 minutos. Entre os sensores de resposta rápida instalados na estação, utilizou-se neste trabalho os dados medidos por um Anemômetro Sônico (Campbell Scientific Instruments (CSI) CSAT3), por um analisador de gás infravermelho de CO2 e H2O (Licor LI7500) e por um Termopar (CSI FW03) instalado no centro do caminho ótico do analisador de gás infravermelho. Com isso tanto (medida pelo termopar) quanto (obtida a partir da densidade de vapor d'água medida pelo analisador infravermelho) ficam referenciadas ao mesmo ponto, no centro do caminho ótico do analisador. Note que a separação espacial entre o analisador infravermelho e o anemômetro sônico é pequena, tendo pouco impacto sobre o cálculo dos fluxos de escalares.

Tanto o analisador de gás infravermelho quanto o anemômetro sônico estavam na altura de 3,76m em relação à base da estação.

As variáveis medidas na estação pelos sensores de resposta lenta foram temperatura e umidade relativa do ar (CS500, Campbell Scientific Instruments; 2,85m), pressâo atmosférica (CS100, Campbell Scientific Instruments; 1,73m) e radiaçâo solar líquida (Kipp & Zönen; 2,67m).

Para medir a temperatura da água foram instalados dois sensores modelo L108 da Campbell Scientific Instruments em uma bóia nautica situada aproximadamente a 3km a noroeste da estação micrometeorológica. Um dos sensores mediu a temperatura da superfície da água e o outro a temperatura a uma profundidade de 25cm.

As medições apresentadas neste trabalho vão do dia 09 de outubro de 2013 ao dia 01 de novembro de 2013. Durante este período a ilha estava na maior parte do tempo submersa, com a altura da base da estação variando entre 0,95cm de profundidade a 30cm acima do nível da água.

Os fluxos verticais de calor sensível e latente foram obtidos pelo método de covariâncias turbulentas, com as equações (3)-(4). Os fluxos de vapor de água (E) foram corrigidos com a metodologia WPL [33]. Uma rotação de coordenadas [34] foi aplicada em cada bloco de 30 minutos de dados instantâneos (medidos a 20 Hz) para alinhar a direção x do eixo cartesiano com a direção média do vento. As flutuações turbulentas foram obtidas após a remoção da tendência linear de cada amostra [35].

4. Resultados e discussão

4.1 Fluxo de quantidade de movimento

Para a estimativa de na Eq. (10), classicamente os modelos apresentados na literatura consideram . Entre outros trabalhos podemos citar como exemplo dessa abordagem Smith [14] e Fairall et al. [36]. Em oceanos, os valores usuais da Equação (10) com considerados em interfaces água-ar são e .

Neste trabalho, nós consideramos 5 alternativas para a parametrização dada pela Eq. (10), com as seguintes siglas:

CHA (Parametrização de Charnock). Fixamos , e otimizamos .

CLA (Parametrização "clássica"). Fixamos , e otimizamos e . Neste caso, estamos apenas verificando o quanto os parâmetros e ótimos no sítio experimental diferem dos valores para mar aberto.

CLM (Parametrização "clássica modificada"). Otimizamos ao mesmo tempo , e . Isso corresponde a modificar as parametrizações clássicas e dar bastante liberdade ao parâmetro b. Note que para cada os valores de e ficam restritos pela equação (13).

NCL (Parametrização "não clássica"). Fixamos , e otimizamos e . Essencialmente, já que é praticamente constante para o ar, e que é constante, estamos agora investigando qual é o expoente "ótimo" para .

CTE (Parametrização com constante). Como veremos na sequência, ocorre que a dependência de com é relativamente fraca. Assim, nós testamos a qualidade de uma parametrização extremamente simples, em que é independente de .

O valor estimado da velocidade de atrito, , foi obtido por meio das equações (8) e (10). Neste processo, os valores de e, consequentemente, e , foram considerados conhecidos do lado direito das expressões. Isso significa que, no processo de otimização dos parâmetros , , , e , o valor de utilizado foi o medido; além disso, uma vez obtidos os parâmetros ótimos de cada parametrização descrita acima, os valores de e da escala de temperatura virtual , necessários para o cálculo de a que aparece na equação (8), novamente foram os medidos. Esse procedimento elimina a incerteza adicional gerada por estimativas iterativas de e que utilizam exclusivamente o método fluxo-gradiente.

Para cada alternativa de parametrização, obtêve-se os parâmetros ótimos correspondentes por meio de otimização não-linear, utilizando a rotina leastsq do pacote scipy.optimize.minpack de scipy (https://www.scipy.org). Em seguida, para cada parametrização, obtêve-se um conjunto ótimo de parametrizados com a Eq. (8). Esses valores foram então testados estatisticamente contra os valores medidos de . Note que esse procedimento utiliza o mesmo conjunto de dados para a obtenção dos parâmetros ótimos e para o teste de desempenho da parametrização: cada parametrização é avaliada para o conjunto “ótimo” de parâmetros. Novamente, este procedimento apenas avalia o melhor desempenho possível com a parametrização proposta.

Para cada parametrização, as estatísticas de desempenho calculadas são as seguintes: REMQ (raiz quadrada do erro médio quadrático), EMA (erro médio absoluto), VIÉS (viés), os valores de , , e (respectivamente: coeficiente angular, raiz quadrada do coeficiente de determinação, erro padrão das estimativas e erro padrão da estimativa de ) para a regressão linear pela origem

(21)

Finalmente, calculou-se os estimadores de Siegel [37] e Stein [38] para e na equação

(22)

Os estimadores de Siegel são baseados na mediana das inclinações de cada ponto do conjunto de dados, e são menos influenciados por valores extremos (outliers). Para uma parametrização perfeita, esperamos e .

As Figuras 1a-1d mostram os resultados obtidos para as 4 primeiras parametrizações, e a Tabela 1 os valores correspondentes dos parâmetros ótimos. A Tabela 2 dá as estatísticas de erros correspondentes.

Review 220770795596 4913 fig01.jpg
Figura 1. Valores previstos (no eixo vertical) contra observados (no eixo horizontal) de para 4 parametrizações testadas de : (a) CHA. (b) CLA. (c) CLM. (d) NCL. A linha contínua é a reta (indicando concordância perfeita), e a linha tracejada é a linha ajustada pelo método de Siegel (Equação (22); parâmetros e na Tabela 2)
Tabela 1. Parâmetros ótimos obtidos para cada parametrização de
Parametrização (m)
CHA - - - - -
CLA -
CLM -
NCL - -
CTE - - - - -
Tabela 2. Estatísticas de erros de para cada parametrização de
Parametrização REMQ EMA VIÉS
CHA
CLA
CLM
NCL
CTE


A análise da Figura 1 e das Tabelas 1 e 2 leva a diversas conclusões. Primeiramente, note que as 4 primeiras parametrizações têm desempenhos praticamente iguais. É virtualmente impossível escolher uma parametrização mais adequada. Embora haja duas variáveis físicas além de na Eq. (10), é constante, e é praticamente constante. Isso significa que, na prática, a única variável que efetivamente funciona como preditora de é . Entretanto, parametrizações tão diversas quanto CHA e NCL (com expoentes de iguais a 2 e a 3{,}89; vide Tabela 1) produzem essencialmente as mesmas estatísticas de erros. Somos levados a concluir que depende apenas fracamente de .

Por sua vez, isso levanta a questão: será melhor utilizar um constante, independente de ? Será possível que a utilização de parametrizações dependentes de esteja piorando as estimativas de ? Como se pode ver na 5\ira\ linha da Tabela 2, isso não é verdade: a parametrização para uma rugosidade constante conduz a erros maiores do que os encontrados para as 4 primeiras parametrizações. Mesmo assim, a parametrização CTE leva a uma importante conclusão: o valor de encontrado, que pode ser considerado representativo da rugosidade da superfície da água para o sítio experimental, é dez vezes maior do que o reportado por Brutsaert [39] para superfícies líquidas, que é de .

Outra observação importante é a comparação dos parâmetros ótimos obtidos para CHA e para CLM na Tabela 1: uma rápida inspeção mostra que, na verdade, o algoritmo de otimização encontrou, essencialmente, a mesma forma da equação de Charnock. De fato, além de já ser praticamente constante, o seu expoente é muito pequeno (); o expoente de , , é praticamente igual ao 2 da equação de Charnock, e o expoente de , , também é muito próximo ao da equação de Charnock. Portanto, na prática CLM é quase igual à equação de Charnock com um valor de (para um médio dos dados), que não difere tanto do parâmetro ótimo para a equação de Charnock "pura", que é . Note que CLM é a parametrização que utiliza o maior número de parâmetros, e que isso se reflete em um desempenho marginalmente melhor para algumas estatísticas da Tabela 2. Dadas as diferenças muito pequenas encontradas, entretanto, é altamente questionável a utilização de CLM. Entre outras coisas, isso mostra que o ganho obtido com o termo em que aparece na Eq. (10) é muito pequeno.

É importante observar que o sinal da estabilidade atmosférica possui um efeito razoável tanto sobre os valores dos parâmetros encontrados quanto sobre as estatísticas de erro. A Tabela 3 mostra os valores ótimos de e de CLA para 3 situações: todos os dados, dados estáveis () e dados instáveis (). A inclusão de () na classe dos dados estáveis é meramente convencional, já que esse valor exato nunca ocorre na prática. Já a Tabela 4 mostra os erros para esses 3 casos (note que a primeira linha de cada uma dessas tabelas é uma repetição das linhas correspondentes nas Tabelas 1 e 2). Apresenta-se apenas os resultados para CLA porque eles são bastante representativos do que ocorre (em termos de dependência da estabilidade atmosférica) com todas as demais parameterizações, e porque ela é a parametrização utilizada na próxima seção, que trata da parametrização da rugosidade para vapor d’água. Note que os parâmetros em condições estáveis são bastante diferentes, mas o resultado em termos de erros varia muito menos. De modo geral, os erros em condições estáveis são um pouco maiores e os erros em condições instáveis são um pouco menores do que os erros para o conjunto de todos os dados.

Tabela 3. Parâmetros ótimos obtidos para cada parametrização da CLA de , em função da estabilidade atmosférica
Estabilidade
Todas
Tabela 4. Estatísticas de erros de para a parametrização CLA de , em função da estabilidade atmosférica
Estabilidade REMQ EMA VIÉS
Todas


Finalmente, uma última observação muito importante: em consonância com o alto valor médio de encontrado para a parametrização CTE, os valores de e de CLA são muito maiores em módulo do que os valores típicos para o oceano. Compare com o valor de da literatura, e com . O valor ótimo de encontrado no presente trabalho é cerca de uma ordem de grandeza maior que o usual para corpos de água profundos. Esse valor no entanto é coerente com alguns trabalhos realizados em águas rasas presentes na literatura. Por exemplo os trabalhos de Hsu [40], Geernaert et al. [41] e Smith [14] que observaram um aumento de relacionada à profundidade do corpo de água e Shabani et al. [19] que mediram em uma zona de arrebentação de ondas e obtiveram um valor médio de da ordem de .

4.2 Parametrização do fluxo de calor latente

Para testar os modelos para o fluxo de vapor de água foram utilizadas medições de , , e . Com tais dados é possível estimar o fluxo de vapor de água através das expressões (9), (14), (15) e (20).

As parametrizações testadas foram as seguintes, todas baseadas na Eq. (20):

BRT. Este é o modelo originalmente proposto por Brutsaert [9] (expressão (20) com , e ).

BRM ("Brutsaert modificado"). Otimizamos , mantendo .

SOL ("Soloviev"). Forçamos e otimizamos .

GEN ("Modelo generalizado"). Otimizamos e .

O valor estimado do fluxo de calor latente, , foi obtido por meio das equações (4), (8) e (9), com sempre estimado com a parametrização CLA (note que as 4 parametrizações CHA, CLA, CLM e NCL produzem resultados muito parecidos). Em todos os casos, o calor latente de evaporação, foi calculado à temperatura da superfície da água. O valor de rugosidade para vapor d'água, , foi estimado com as Eqs. (14)-(15), mantendo (tentativas de otimizar também este parâmetro produziram estimativas de parâmetros com valores muito grandes; note que e se somam dentro do argumento da expoencial, e que não faz sentido tentar otimizar ambos; portanto, preferimos manter constante).

Da mesma maneira que no caso da otimização dos parâmetros envolvidos na estimativa de , os valores de , e foram considerados conhecidos do lado direito das expressões. Também da mesma maneira, para cada alternativa de parametrização, obtêve-se os parâmetros ótimos correspondentes por meio de otimização não-linear, novamente com a rotina leastsq mencionada acima.

Da mesma maneira que antes, os testes de desempenho envolvem o REMQ, o EMA, o VIÉS, e os valores de , , , , e , exceto que as regressões são, agora,

(23)
(24)

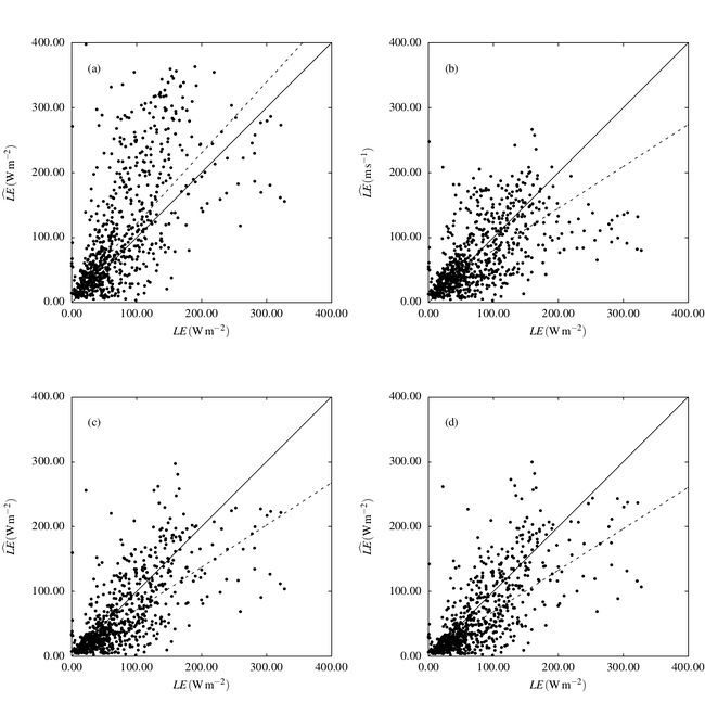
onde é a estimativa do fluxo de calor latente obtida em cada parametrização e é o fluxo de calor latente medido. As Figuras 2a-2d mostram os resultados obtidos para cada uma das 4 parametrizações. A Tabela 5 lista os valores de e encontrados em cada caso, e a Tabela 6 lista as estatísticas de erros correspondentes.

Review 220770795596 9269 fig02.jpg
Figura 2. Valores previstos (no eixo vertical) contra observados (no eixo horizontal) de para 4 parametrizações testadas de : (a) BRT. (b) BRM. (c) SOL. (d) GEN. A linha contínua é a reta (indicando concordância perfeita) e a linha tracejada é a linha ajustada pelo método de Siegel (Equação (22); parâmetros e na Tabela 6
Tabela 5. Parâmetros ótimos obtidos para cada parametrização de (para a parametrização BRT, os valores são de literatura)
Parametrização
BRT
BRM
SOL
GEN


Tabela 6. Estatísticas de erros de LE para cada parametrização de
Parametrização REMQ EMA VIÉS
BRT
BRM
SOL
GEN


A análise desses resultados leva a algumas conclusões importantes. A primeira delas é que o uso da parametrização BRT sem otimização local dos parâmetros produz erros muito maiores do que todas as outras. As causas desse comportamento não estão claras, mas talvez seja possível reunir argumentos físicos, e em particular argumentos relacionados com a transferência de vapor d'água sobre uma superfície líquida natural, para explicá-lo. Mesmo com otmização de , o expoente que também aparece na parametrização BRM não leva aos melhores resultados.

As parametrizações SOL e GEN, que possuem ou próximo disso, foram as que obtiveram os menores erros, e o melhor desempenho, de maneira geral. A conclusão é que as melhores parametrizações de em Itaipu são aquelas em que não entra o número de Reynolds de rugosidade . É importante enfatizar que o escopo de nossa investigação aqui é puramente empírico: uma investigação mais profunda das possíveis causas físicas do comportamento encontrado será necessária em estudos adicionais.

Para a rugosidade do vapor d'água , a superioridade das duas últimas parametrizações é evidente. Além disso, o ganho adicional de se otimizar é muito pequeno: é evidente que é suficiente fazer , e utilizar a parametrização SOL.

5. Conclusões

No presente trabalho foram testadas algumas parametrizações para os comprimentos de rugosidade de momentum e vapor de água em lagos. Com relação a a comparação dos diferentes modelos leva a conclusão que tem pouca capacidade preditiva do mesmo. Isso ocorre porque modelos com expoentes muito diferentes de fornecem estatísticas de erro muito similares. O modelo que resulta em um maior erro é considerar constante; neste caso o valor ótimo encontrado para foi uma ordem de grandeza maior que o usualmente considerado em superfícies líquidas. Os valores encontrados para as constantes de calibração dos melhores modelos (com variando em função de ) foram consideravelmente diferentes dos valores usuais para corpos de água profundos; o valor ótimo do parâmetro de Charnock encontrado é também uma ordem de grandeza maior que em oceanos. Esse resultado está de acordo com o valor sugerido em Shabani et al. [18] para medições realizadas em uma zona de arrebentação de ondas, e também com o comentário de Smith [14] de que o parâmetro de Charnock é maior em regiões costeiras onde as ondas mais íngremes parecem produzir rugosidades maiores.

Com relação a foi observado que o modelo clássico BRT com a constante de calibração original () produziu o maior erro. Com a parametrização clássica o valor ótimo de obtido com os dados de Itaipu resultou em uma diminuição do erro de com relação à parametrização BRT. Com isso podemos concluir os coeficientes de calibração de diferentes experimentos têm que ser usados com cuidado em situações diversas do experimento original. Os modelos que apresentaram os melhores desempenhos foram os independentes do número de Reynolds de rugosidade. Do ponto de vista prático podemos concluir que a parametrização SOL com o coeficiente de calibração gerou os melhores resultados. Note que esse coeficiente de calibração é maior que o sugerido por Soloviev et. al. [31] que é .

Os resultados obtidos neste estudo indicam que a parametrização de Charnock para pode ser utilizada de maneira direta sem perda considerável de performace com a inclusão de outros termos. Já para também a parametrização mais simples (independente do número de Reynolds de rugosidade) se mostrou mais eficiente. Porém as contantes de calibração encontradas foram considerávelmente diferentes, e isso levanta a dúvida sobre a universalidade dessas parametrizações. Outros estudos da mesma natureza devem ser realizados em outras localidades para essa questão ser sanada.

É importante notar também que durante o período analisado a ilha da estação de medição estava praticamente coberta por água. Com isso, a própria ilha não representava um obstáculo aerodinâmico, o que foi um importante critério de qualidade dos dados analisados. No entanto, isso também limitou a análise a um período específico do ano. Embora a época do ano e as condições sinóticas não influenciem diretamente as parametrizações de rugosidade, efeitos indiretos podem ser importantes, porque tanto a direção quanto a velocidade do vento podem ter impacto sobre a formação de ondas e consequentemente sobre (pelo menos) a rugosidade para a quantidade de movimento. Estudos adicionais serão necessários para levar em conta esses efeitos indiretos.

Referências

[1] Mahrer Y., Assouline S. Evaporation from lake kinneret: 2. estimation of the horizontal variability using a two-dimensional numerical mesoscale model. Water. Resour. Res., 29:911–916, 1993.

[2] Heikinheimo M., Kangas M., Tourola T., Venalainen A., Tattari S. Momentum and heat fluxes over lakes tamnaren and raksjo determined by the bulk-aerodynamic and eddy-correlation methods. Agric. For. Meteorol., 98:521–534, 1999.

[3] Kelman J., Kelman R., Pereira M.V.F. Energia firme de sistemas hidrelétricos e usos múltiplos dos recursos hídricos. Rev. Bras. Rec. Hídr., 9:189–198, 2004.

[4] Thomas C., Martin J., Goeckede M., Siqueira M., Foken T., Law B., Loescher H., Katul G. Estimating daytime subcanopy respiration from conditional sampling methods applied to multi-scalar high frequency turbulence time series. Agric. For Meteorol., 148:1210–1229, 2008.

[5] Siqueira M., Katul G. A sensitivity analysis of the nocturnal boundary-layer properties to atmospheric emissivity formulations. Boundary-Layer Meteorol., 2:223–242, 2010.

[6] Raupach M.R., Thom A.S. Turbulence in and above plant canopies. Annu. Rev. Fluid Mech., 13:97–129, 1981.

[7] Brutsaert W. A model for evaporation as a molecular diffusion process into a turbulent atmosphere. J. Geophys. Res., 70:5017–5024, 1965.

[8] Brutsaert W. A theory for local evaporation (or heat transfer) from rough and smooth surfaces at ground level. Water. Resour. Res., 11:543–550, 1975.

[9] Brutsaert W. The roughness length for water vapor, sensible heat and other scalars. J. Atmos. Sci., 32:2028–2031, 1975.

[10] Danckwerts P.V. Signficance of liquid-film coefficients in gas absorption. Ind. Eng. Chem., 43:1460–1467, 1951.

[11] Charnock H. Wind stress on a water surface. Q. J. R. Meteorol. Soc., 81:639–640, 1955.

[12] Charnock H. A note on empirical wind-wave formulae. Quarterly Journal of the Royal Meteorological Society, 84:443–447, 1958.

[13] Smith S. Wind stress and heat flux over the ocean in gale force winds. J. Phys. Ocean., 10:709–726, 1980.

[14] Smith S. Coefficients for sea surface wind stress, heat flux, and wind profiles as a function of wind speed and temperature. J. Geophys. Res-Oceans, 93:467–472, 1988.

[15] Anctil F., Donelan M. Air-water momentum flux observations over shoaling waves. J. Phys. Oceanogr., 26:1344–1354, 1996.

[16] Garratt J. Review of drag coefficients over oceans and continents. Mon. Wea. Rev., 105:915–929, 1977.

[17] Wu J. Wind-stress coefficients over sea surface near neutral conditions—a revisit. J. Phys. Oceanogr., 10:727–740, 1980.

[18] Shabani B., Nielsen P., Baldock T. Direct measurements of wind stress over the surf zone. J. Geophys. Res., 119:2949–2973, 2014.

[19] Verburg P., Antenucci J.P. Persistent unstable atmospheric boundary layer enhances sensible and latent heat loss in a tropical great lake: Lake tanganyika. J. Geophys. Res. Atmos., 115:D11109, 2010.

[20] Dias N.L., Vissotto D. The effect of temperature-humidity similarity on bowen ratios, dimensionless standard deviations, and mass transfer coefficients over a lake. Hydrol. Process., 31:256–269, 2017.

[21] Drennan W.M., Graber H.C., Hauser D., Quentin C. On the wave age dependence of wind stress over pure wind seas. J. Geophys. Res., 108:C3, 2003.

[22] Johnson H.K., Hojstrup J., Vested H.J., Larsen S.E. On the dependence of sea surface roughness on wind waves. J. Phys. Oceanogr., 28:1702–1716, 1998.

[23] Kitaigorodskii S.A., Volkov Y.A. On the roughness parameter of the sea surface and the calculation of momentum flux in the near-water layer of the atmosphere. Izv. Atm. Oceanic Phys., 1:973–988, 1965.

[24] Maat N., Kraan C., Oost W. The roughness of wind waves. Boundary-Layer Meteorol., 54:89–103, 1991.

[25] Mascart P., Noilhan J., Giordani H. A modified parameterization of flux-profile relationships in the surface layer using different roughness length values for heat and momentum. Boundary-Layer Meteorol., 72:331–344, 1995.

[26] Monbaliu J. On the use of the donelan wave spectral parameter as a measure for the roughness of wind waves. Boundary-Layer Meteorol., 67:277–291, 1994.

[27] Oost W., Komen G., Jacobs C., Van Oort C. New evidence for a relation between wind stress and wave age from measurements during asgamage. Boundary-Layer Meteorol., 103:409–438, 2002.

[28] Taylor P.K., Yelland M.J. The dependence of sea surface roughness on the height and steepness of the waves. J. Phys. Oceanogr., 31:572–590, 2001.

[29] Vickers D., Mahrt L. Fetch limited drag coefficients. Boundary-Layer Meteorol., 85:53–79, 1997.

[30] Lorke A., Peetres F. Toward a unified scaling relation for interfacial fluxes. J. Phys. Oceanogr., 36:955–961, 2006.

[31] Soloviev A.V., Schlüssel P. Parameterization of the cool skin of the ocean and air-ocean gas transfer on the basis of modelling surface renewal. J. Phys. Oceanogr., 24:1339–1347, 1994.

[32] Csanady G.T. The role of breaking wavelets in air-sea gas transfer. J. Geophys. Res., 95:749–759, 1990.

[33] Webb E.K., Pearman G.I., Leuning R. Correction of flux measurements for density effects due to heat and water vapor transfer. Q. J. Roy. Meteorol. Soc., 106:85–100, 1980.

[34] Finnigan J.J., Clement R., Malhi Y., Leuning R., Cleugh H.A. A re-evaluation of long-term flux measurement techniques part I: averaging and coordinate rotation. Boundary-Layer Meteorol., 107:1–48, 2003.

[35] Falge E., Baldocchi D., Olson R., Anthoni P., Aubinet M., Bernhofer C., Burba G., Ceulemans R., Clement R., Dolman H., Granier A., Gross P., Grenwald T., Hollinger D., Jensen N.O., Katul G., Keronen P., Kowalski A., Lai C.T., Law B.E., Meyers T., Moncrieff J., Moors E., Munger J.W., Pilegaard K., Rannik R., Rebmann C., Suyker A., Tenhunen J., Tu K., Verma S., Vesala T., Wilson K., Wofsy S. Gap filling strategies for long term energy flux data sets. Agric. For Meteorol., 107:71–77, 2001

[36] Fairall C.W., Bradley E.F., Grachev A.A. Bulk parameterization of air sea fluxes: Updates and verification. J. Climate, 16:571–591, 2003.

[37] Siegel A.F. Robust regression using repeated medians. Biometrika, 69:242–244, 1982.

[38] Stein A., Werman M. Finding the repeated median regression line. Proceedings of the Third Symposium on Discrete Algorithms (SODA). Society for Industrial and Applied Mathematics (SIAM), 409–413, 1992.

[39] Brutsaert W. Evaporation into the atmosphere. Dordrecht, D. Reidel, September 1982.

[40] Hsu S. A dynamic roughness equation and its application to wind stress determination at the air-sea interface. J. Phys. Oceanogr., 4:116–120, 1974.

[41] Geernaert G.L., Larsen S.E., Hansen F. Measurements of the wind stress, heat flux and turbulence intensity during storm conditions over the north sea. J. Geophys. Res., 92:127–139, 1987.

Back to Top

Document information

Published on 10/06/20
Accepted on 02/06/20
Submitted on 02/12/19

Volume 36, Issue 2, 2020
DOI: 10.23967/j.rimni.2020.06.001
Licence: CC BY-NC-SA license

Document Score

0

Views 139
Recommendations 0

Share this document