1. Introducción

La búsqueda de estructuras ligeras con un alto rendimiento mecánico es un objetivo común en diversos sectores industriales. En la industria del transporte (terrestre, marítimo, aéreo y espacial), la tendencia a la reducción del peso estructural favorece la reducción del consumo durante el uso y contribuye a avanzar hacia sistemas sostenibles. Como resultado, el uso de laminados de polímero reforzado con fibra de carbono (CFRP) en la estructura primaria de vehículos ligeros está aumentando. En estas aplicaciones típicamente las placas rectangulares (con cualquier tipo de mecanismo de soporte) están sometidas a condiciones de carga multiaxial en el plano durante servicio. En particular, cuando estén sometidas a estados de tensión de compresión bidireccionales pueden producirse inestabilidades geométricas en paneles delgados. Aunque la literatura sobre pandeo en materiales compuestos es extensa, el número de estudios que incluyen experimentación con ensayos biaxiales de laminados planos es limitado, particularmente cuando se considera un fuerte acoplamiento flexión-torsión.

En base a la literatura, la investigación experimental sobre el comportamiento de pandeo de paneles planos de material compuesto sometidos a cargas de compresión biaxial ha sido documentada por Kim y Hoa [1], Tuttle et al. [2] y Romeo y Ferrero [3]. Kim y Hoa [1] analizaron paneles cuadrados y apoyados en el contorno hechos de laminados cross-ply de grafito/epoxi sometidos a fuerzas de compresión en el plano de igual magnitud en las dos direcciones de carga. Mientras tanto, Romeo y Ferrero [3] examinaron la secuencia de apilamiento de grafito-bismaleimida [452 905 452 02 902]2S mediante paneles rectangulares sujetos a compresión biaxial con una carga longitudinal uniforme y tres cargas transversales que varían linealmente en el contorno. Sin embargo, particularmente complejo es el análisis del pandeo en laminados simétricos de ±45˚ con un bajo número de capas alternas que presentan un acoplamiento flexión-torsión significativo. Solo el trabajo de Tuttle et al. [2] incluyen en su estudio experimental un laminado angle-ply de grafito-epoxi con una configuración [±45]2S, así como secuencias de apilamiento [0]8, [0 90]2S y [45]8, realizando ensayos de compresión biaxial aplicando diferentes combinaciones de carga en paneles rectangulares y cuadrados simplemente apoyados. Estos primeros estudios monitorean el estado de deformación en el plano mediante galgas extensométricas para identificar la carga crítica de pandeo y observan campos de desplazamiento fuera del plano en patrones 2D adquiridos mediante la técnica con sombras de Moiré. También desarrollaron marcos de carga ad-hoc para ensayar paneles laminados con grandes dimensiones, describiendo modificaciones en los paneles rectangulares/cuadrados ideales para evitar el contacto entre las cuatro mordazas de carga (cortes en las esquinas de los paneles o dimensiones mayores de los paneles que las de las mordazas). Además, todos ellos comparten un factor común con cualquier otro estudio de pandeo: la alta sensibilidad de los ensayos de compresión a las condiciones de contorno y las imperfecciones geométricas iniciales, lo que conduce a la dispersión de resultados y dificultades para correlacionar experimentos y modelos. Los resultados experimentales dependen del diseño de la muestra y del procedimiento de ensayo, lo que es particularmente evidente a escala de cupón debido al pequeño tamaño de la región de estudio. Por lo tanto, la tendencia general es cambiar de escala de cupón a escala de elemento, probando paneles en instalaciones experimentales avanzadas [4] que permiten espacio suficiente para evitar la influencia de las condiciones de contorno o estudiar la respuesta agregando refuerzos locales.

A escala de cupón, las probetas cruciformes se han desarrollado en las últimas décadas para analizar la respuesta del material bajo tensiones biaxiales. Estas evaluaciones se han realizado tradicionalmente bajo relaciones de carga positivas, pero más recientemente han comenzado a proponerse para analizar casos de carga biaxial en laminados compuestos planos donde al menos una dirección está comprimida [5-11]. Se pueden encontrar ejemplos de ensayos de tracción-compresión exitosos con probetas cruciformes en los trabajos de Nguyen [5], Zumaquero et al. [9] u Horta y Serna [10]. Sin embargo, sólo los trabajos experimentales de Zumaquero [9] y Serna y Horta [11] utilizan una probeta cruciforme para la realización de un ensayo de compresión-compresión (ensayo CC). Horta y Serna expusieron los resultados del ensayo CC en un laminado de CFRP [∓45]S igualmente bi-comprimido. Por su parte, Zumaquero analizó la respuesta transversal de un CFRP unidireccional ante estados de bi-compresión, en el que se puede intuir que el pandeo global puede afectar al comportamiento de la probeta cruciforme.

En este trabajo se analiza la idoneidad de las probetas cruciformes para estimar la evolución tensión-deformación y los modos de pandeo de laminados planos bajo compresión equi-biaxial. El desafío radica en determinar si el diseño de la probeta y el procedimiento experimental pueden ser adecuados para observar la inestabilidad geométrica a nivel de laboratorio y utilizando probetas con pequeñas dimensiones de la región de interés (ROI). Para ello se estudia la ROI de interés de una probeta cruciforme en la que se encuentra un laminado [∓45]S de CFRP con una forma y condiciones de contorno cercanas a las de una placa de pequeñas dimensiones empotrada en su contorno.

2. Material, probeta y equipos

El ensayo CC se lleva a cabo en un laminado simétrico de capas a ∓45˚ hechas de un CFRP pre-impregnado designado M21E/34%/UD268/IMA-12K (Hexcel™) [12]. Cada lámina curada consiste en una matriz epoxi reforzada con fibras de carbono unidireccionales (UD) con un espesor nominal de 0.25 mm. En una investigación previa [13] con laminados [∓45]4S bajo compresión uniaxial determinó una evolución de tensión-deformación pseudo-dúctil caracterizada por una primera etapa lineal, seguida por una meseta (o plateau) y finalmente una re-rigidización. En la dirección de carga, el módulo de elasticidad aparente y la tensión mínima en la etapa de meseta σplateau (dada en valor absoluto) se estimaron experimentalmente (Tabla 1). Mientras tanto, el coeficiente de Poisson aparente mayor en el plano se calculó analíticamente en la referencia [14] utilizando la Teoría Clásica de Placas Laminadas. Por favor, téngase en cuenta que la respuesta no convencional de los laminados se refleja en un coeficiente de Poisson aparente mayor de 0.5.

Ea (GPa) νa Failed to parse (MathML with SVG or PNG fallback (recommended for modern browsers and accessibility tools): Invalid response ("Math extension cannot connect to Restbase.") from server "https://mathoid.scipedia.com/localhost/v1/":): {\textstyle {\sigma }_{plateau}}
(MPa)
18.20 0.74 137.48


Tabla 1. Respuesta mecánica aparente bajo compresión uniaxial de un laminado [∓45]4S [13].

Se emplea la técnica de laminación manual para fabricar placas cuadradas de 300 mm x 300 mm con una secuencia de apilado [∓45]4S. Se utiliza la prensa hidráulica de platos calientes LabEcon 300 del Grupo Fontijne Grotnes para aplicar un ciclo de curado de 7 bares a 180°C durante 120 minutos [12]. A continuación, se obtienen la geometría y las dimensiones finales de la muestra (Figura 1) mediante fresado por control numérico computarizado. En la probeta se ha ejecutado una reducción escalonada del espesor hasta conseguir un laminado [∓45]S en su zona central. La relación entre el espesor de los brazos H y el espesor de la región central h es un parámetro fundamental para imponer las condiciones de contorno en la zona central cargada biaxialmente [14]. En este trabajo, se ha elegido una relación de espesores H/h = 4 que hace que se pueda aproximar la región central bi-comprimida a una placa cuadrada empotrada en todo su contorno. Para mejorar la estabilidad de los brazos de la cruz y mitigar los posibles problemas derivados de imperfecciones de la muestra o errores de alineación durante la aplicación de la carga, se utiliza el dispositivo anti-pandeo biaxial descrito en [15]. Asimismo, para evitar dañar los brazos de la probeta al aplicar la carga, estos se han reforzado con tacos de espesor t = 3 mm y ancho igual al del brazo (l = 30 mm), en los que las esquinas están achaflanadas para reducir el riesgo de choque durante el ensayo. Se trabaja bajo la hipótesis de que la configuración cuasi-isotrópa de vidrio/epoxi de los tacos ante cargas uniaxiales presenta un módulo de elasticidad elástico de aproximadamente Ee = 6.76 GPa [11].

Draft Serna Moreno 472553502-image1-c.png

Figura 1. Geometría y dimensiones de la probeta cruciforme para el ensayo CC. Los tacos de los extremos están coloreados en azul y la región central en rojo. Unidades en mm.

El ensayo CC se realiza en una máquina multiaxial electromecánica de la empresa Microtest. En este trabajo se utilizan cuatro de sus actuadores con sus respectivos transductores de fuerza de 50 kN de capacidad. El ensayo se realiza controlando la fuerza aplicada en los cuatro brazos de la probeta, eligiéndose para este trabajo aplicar fuerzas iguales de compresión a una velocidad de carga de 20 N/s. La carga se aplica a través de tres placas de compresión y un soporte en forma de L [15], todos ellos agarrados por mordazas neumáticas. La medición de deformaciones se realiza utilizando la técnica de correlación digital de imagen (DIC) en la parte frontal de la ROI y con galgas extensométricas en la parte trasera. En cuanto a la técnica DIC, los desplazamientos y deformaciones se obtienen utilizando un sistema estéreo-DIC LaVision Strain-Master y el software Davis v8.4.0 se utiliza para la calibración, adquisición de imágenes y postproceso. Mientras tanto, en la superficie trasera de la ROI se utiliza una roseta de deformación 0˚/45˚/90˚ (ángulos con respecto a la dirección x definida en la Figura 1) que está conectada a un sistema Kyowa PCD-300B para extraer las deformaciones.

3. Resultados y discusión

La máquina multiaxial está configurada para aplicar fuerzas de compresión iguales Fx = Fy = F en los brazos x e y de la probeta (definidos en la Figura 1). Durante la etapa de respuesta lineal se asume que las componentes de tensión normal en las direcciones de carga x e y son iguales, es decir, se trabaja con la hipótesis de que σxx = σyy = -σ, valor que se calcula utilizando la Ecuación 1. La tensión central se calcula a partir de la fuerza aplicada, las dimensiones promedio de las secciones transversales de los brazos y un factor de conversión estimado numéricamente f = 1.496 [11], que es igual en ambas direcciones de carga. También se asume que las deformaciones longitudinales son iguales en ambas direcciones debido a la similar respuesta aparente del material en las direcciones de carga, utilizándose para el análisis el valor de deformación medio ε dado por la Ecuación 2. Este enfoque se mantiene incluso cuando aparecen no linealidades en la evolución de la tensión-deformación y existen momentos predominantes de flexión y torsión.

Failed to parse (MathML with SVG or PNG fallback (recommended for modern browsers and accessibility tools): Invalid response ("Math extension cannot connect to Restbase.") from server "https://mathoid.scipedia.com/localhost/v1/":): \sigma =f\frac{\left| F\right| }{lH}
(1)
Failed to parse (MathML with SVG or PNG fallback (recommended for modern browsers and accessibility tools): Invalid response ("Math extension cannot connect to Restbase.") from server "https://mathoid.scipedia.com/localhost/v1/":): \epsilon =\frac{{\epsilon }_{xx}+{\epsilon }_{yy}}{2}
(2)


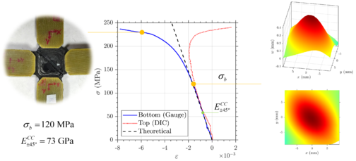
Se han ensayado tres probetas utilizando el dispositivo anti-pandeo biaxial, y en todos los casos se ha conseguido limitar la inestabilidad a la región central cargada biaxialmente. A pesar de la repetitividad encontrada en los modos de fallo, los principales parámetros de la respuesta tensión-deformación divergen debido a las posibles imperfecciones geométricas y la desalineación de las cargas. En aras de la claridad, el análisis se centra en una de las probetas con valores cuantitativos cercanos a los teóricos. La Figura 2 muestra su curva σ-ε, donde se han representado tanto la deformación obtenida a partir de la medición del DIC en la superficie frontal de la ROI (línea punteada roja) como la obtenida a partir de la medición de las galgas en la superficie trasera (línea continua azul). El resultado experimental se contrasta con la estimación lineal (línea negra discontinua) de pendiente Failed to parse (MathML with SVG or PNG fallback (recommended for modern browsers and accessibility tools): Invalid response ("Math extension cannot connect to Restbase.") from server "https://mathoid.scipedia.com/localhost/v1/":): {\textstyle {E}_{\pm 45}^{CC}} = 73 GPa, que representa la rigidez aparente del laminado en ambas direcciones de carga en el ensayo CC . El inicio de la respuesta inestable se identifica por la bifurcación de las mediciones de deformación a cada lado de la zona de interés. Esto ocurre a un nivel de tensión cercano a σb = 120 MPa, desviando la pendiente tensión-deformación de la evolución lineal. Antes de alcanzar este umbral, se supone una respuesta gobernada por las cargas biaxiales aplicadas en el plano, mientras que después se espera una respuesta impulsada por los momentos flectores y torsor. Una vez que las mediciones de deformación se separan, la deformación en la cara superior de la región central (línea punteada roja) se mueve hacia valores de tracción, mientras que la cara inferior (línea continua azul) continúa disminuyendo de longitud a una mayor velocidad. La Figura 2 muestra su fallo final, en el que se observan grietas en la matriz en paralelo a las fibras y bandas en zig-zag típicas de fallo por pandeo.

Draft Serna Moreno 472553502-image2-c.png

Figura 2. Respuesta biaxial σ-ε de un laminado [∓45]S sometido a un ensayo CC. Se incluyen la superficie de deflexión medida en el momento de la bifurcación y el fallo final de la probeta.

A pesar de las limitaciones visuales impuestas por la apertura del dispositivo anti-pandeo, la Figura 2 muestra la superficie de deflexión adquirida por el sistema DIC 3D en el inicio de la bifurcación y su proyección 2D. Si la región central de la muestra pudiera aproximarse a una placa cuadrada de lado l y espesor h, empotrada en todos sus bordes, aquí la ROI se considera una zona cuadrada con un lado igual a la longitud efectiva de pandeo L = Failed to parse (MathML with SVG or PNG fallback (recommended for modern browsers and accessibility tools): Invalid response ("Math extension cannot connect to Restbase.") from server "https://mathoid.scipedia.com/localhost/v1/":): {\textstyle \beta}

l. Entonces, dentro de la ROI, se espera que la deformada sea similar a la superficie de deflexión de una placa simplemente apoyada. Investigaciones numéricas previas desarrolladas en [15] determinaron un coeficiente de pandeo Failed to parse (MathML with SVG or PNG fallback (recommended for modern browsers and accessibility tools): Invalid response ("Math extension cannot connect to Restbase.") from server "https://mathoid.scipedia.com/localhost/v1/":): {\textstyle \beta}
 = 0.605 para el laminado [∓45]S propuesto. Por tanto, teniendo en cuenta que la dimensión de la región de la probeta cargada biaxialmente es l = 30 mm, el análisis se centra en una región cuadrada de lado L = 18.15 mm.

En cuanto a la respuesta de la probeta cruciforme, cabe recordar que los brazos están compuestos por una configuración [∓45]4S y están sometidos a cargas uniaxiales de compresión. Es necesario comprobar si se inducen grandes deformaciones en las regiones cargadas uniaxialmente para determinar si el posible comportamiento no lineal de los brazos pudiera afectar la respuesta de la región cargada biaxialmente. Dado que los tacos cubren toda la longitud de los brazos, en la región cargada uniaxialmente se considera que la fuerza aplicada F se distribuye tanto en la sección transversal de los tacos como en la sección transversal del brazo. A partir de la hipótesis de que los tacos y los brazos sufren la misma deformación uniaxial, la tensión aplicada sobre los brazos de la probeta se puede calcular utilizando la Ecuación 3. La sección transversal de los tacos y los brazos son Failed to parse (MathML with SVG or PNG fallback (recommended for modern browsers and accessibility tools): Invalid response ("Math extension cannot connect to Restbase.") from server "https://mathoid.scipedia.com/localhost/v1/":): {\textstyle {A}_{e}=} Failed to parse (MathML with SVG or PNG fallback (recommended for modern browsers and accessibility tools): Invalid response ("Math extension cannot connect to Restbase.") from server "https://mathoid.scipedia.com/localhost/v1/":): 2lt

y Failed to parse (MathML with SVG or PNG fallback (recommended for modern browsers and accessibility tools): Invalid response ("Math extension cannot connect to Restbase.") from server "https://mathoid.scipedia.com/localhost/v1/":): {\textstyle {A}_{a}=lH}
(Figura 1), respectivamente, mientras que sus correspondientes módulos elásticos aparentes bajo compresión uniaxial se denotan como Ee y Ea.
Failed to parse (MathML with SVG or PNG fallback (recommended for modern browsers and accessibility tools): Invalid response ("Math extension cannot connect to Restbase.") from server "https://mathoid.scipedia.com/localhost/v1/":): {\sigma }_{a}=\frac{\left| F\right| }{{A}_{a}+\frac{{A}_{e}{E}_{e}}{{E}_{a}}}
(3)


Teniendo en cuenta la carga final registrada al final del ensayo CC, la tensión máxima aplicada al laminado de CFRP [∓45]4S que compone los brazos de la muestra es de Failed to parse (MathML with SVG or PNG fallback (recommended for modern browsers and accessibility tools): Invalid response ("Math extension cannot connect to Restbase.") from server "https://mathoid.scipedia.com/localhost/v1/":): {\textstyle {\sigma }_{a}} = 113.3 MPa. El resultado es que Failed to parse (MathML with SVG or PNG fallback (recommended for modern browsers and accessibility tools): Invalid response ("Math extension cannot connect to Restbase.") from server "https://mathoid.scipedia.com/localhost/v1/":): {\textstyle {\sigma }_{a}<{\sigma }_{plateau}}

 (ver Tabla 1), lo que indica que el nivel de tensión necesario para desencadenar la respuesta no lineal de los brazos de la muestra no se alcanza durante el proceso de carga. Esto se confirma mediante la observación directa de los brazos de la muestra, que no presentan cambios geométricos ni reorientación de las fibras al final del ensayo. Por lo tanto, las no linealidades observadas en la evolución de la tensión-deformación de la región cargada biaxialmente son independientes de la respuesta de los brazos.

4. Conclusiones

Se analiza la capacidad del ensayo CC con probetas cruciformes para análisis de pandeo biaxial considerando uno de los peores escenarios: ensayar un laminado [∓45]S con un elevado acoplamiento flexión-torsión. Se utiliza un dispositivo anti-pandeo para evitar la inestabilidad en los brazos de la probeta. Además, se asegura que la evolución tensión-deformación biaxial central no se vea afectada por posibles efectos no-lineales en los brazos cargados uniaxialmente. Observando las curvas tensión-deformación se comprueba que el ensayo permite medir el módulo de elasticidad aparente en la primera etapa de evolución lineal. Asimismo, la metodología desarrollada permite estimar la tensión de bifurcación y medir el modo de pandeo con técnicas DIC.

Como puntos positivos con respecto a otras metodologías, caben destacarse:

  • El ensayo en una máquina biaxial con cuatro actuadores sincronizados permitiría analizar la inestabilidad de la zona central de la probeta cruciforme ante cualquier ratio de carga biaxial.
  • Variando las relaciones de espesores de los brazos y la región central, H/h, se puede trabajar con distintas condiciones de contorno sobre la región central bi-comprimida. Igualmente, podría analizarse el pandeo en regiones rectangulares adaptando las dimensiones del ancho de los brazos de la probeta.
  • Permite analizar la zona de estudio sin influencia de concentraciones de tensiones indeseadas debidas a la aplicación de la carga, ya que ésta se introduce lejos de la ROI.
  • Permite analizar el pandeo en paneles de pequeñas dimensiones.

Como puntos negativos generales, cabe destacar:

  • Para su ejecución es necesario la utilización de máquinas de ensayo biaxial, o en su defecto dispositivos que permitan realizar el ensayo en máquinas uniaxiales.
  • Las tensiones en la ROI difieren de las aplicadas en los brazos de la probeta. Por ello, es necesario aplicar un factor de conversión determinado de forma numérica, que puede depender del caso de carga, la geometría de la muestra o la respuesta del material.
  • Se detecta dispersión en las estimaciones cuantitativas potenciadas a las posibles diferencias geométricas entre las probetas con forma de cruz, las condiciones de contorno imperfectas y las desalineaciones de carga.

5. Agradecimientos

Este trabajo se engloba en el marco de los proyectos DPI2016-77715-R, PDC2021-121154-I00, PID2022-137387OB-I00 y and SBPLY/23/180225/000114 financiados por MICIU/AEI /10.13039/501100011033, “ERDF UE A way of making Europe”, “European Union NextGenerationEU/PRTR” y la Junta de Comunidades de Castilla-La Mancha. Los autores desean también agradecer a la empresa Airbus por proporcionar el material utilizado en la preparación de las probetas.

6. Bibliografía

[1] Y.S. Kim y S.V. Hoa, «Bi-axial buckling behavior of composite rectangular plates», Composite Structures 1995;31: 247-252. DOI: https://doi.org/10.1016/0263-8223(95)80018-2.

[2] M. Tuttle, P. Singhatanadgid y G. Hinds, «Buckling of composite panels subjected to biaxial loading», Experimental Mechanics 1999;39(3):191:201. DOI: http://dx.doi.org/10.1007/BF02323552.

[3] G. Romeo y G. Ferrero, «Analytical/Experimental behavior of anisotropic rectangular panels under linearly varying combined loads», AIAA Journal 2001;39(5):932:941. DOI: http://dx.doi.org/10.2514/2.1398.

[4] M. Ginot, C. Bouvet, B. Castanié, J. Serra y N. Mahuet, «Local buckling on large sandwich panels used in light aviation: Experimental setup and failure scenarios», Composite Structures 2023;304:116439. DOI: https://doi.org/10.1016/j.compstruct.2022.116439.

[5] M.C. Serna Moreno y J.L. Martínez Vicente, «In-plane shear failure properties of a chopped glass-reinforced polyester by means of traction-compression biaxial testing», Composite Structures 2015;122:440. DOI: https://doi.org/10.1016/j.compstruct.2014.12.018.

[6] H.D. Nguyen, «Bi‑axial testing of composite laminates and adhesive bonded joints», Tesis Doctoral, Nanyang Technological University (Singapore), 2018. DOI: https://doi.org/10.32657%2F10356%2F74090.

[7] J.C. Marín y A. Barroso, «Comparison of the shear behavior in graphite-epoxy composites evaluated by means of biaxial test and off-axis tension test», Science and Engineering of Composite Materials 2021;28(1):215–222. DOI: http://dx.doi.org/10.1515/secm-2021-0022.

[8] P.L. Zumaquero Bernal, «Diseño y Desarrollo de ensayos ante carga biaxial transversal en material compuesto para el estudio del fallo entre fibras», Tesis Doctoral, Universidad de Sevilla (Spain), 2022. URI: https://hdl.handle.net/11441/141220.

[9] P.L. Zumaquero, E. Correa, J. Justo y F. París, «Transverse biaxial tests on long fibre reinforced composites», Composite Structures 2022;297:115868. DOI: https://doi.org/10.1016/j.compstruct.2022.115868.

[10] S. Horta Muñoz y M.C. Serna Moreno, «Tension–compression biaxial test with ±45◦ symmetric angle-ply laminates for determining the pure shear response in principal material directions of a lamina», Composites Part B 2023;261:110792. DOI: http://dx.doi.org/10.1016/j.compositesb.2023.110792.

[11] M.C. Serna Moreno y S. Horta Muñoz, «Experimental evaluation of the use of cruciform specimens for biaxial stability analysis», Composites Part B 2024;286:111764. DOI: https://doi.org/10.1016/j.compositesb.2024.111764.

[12] Hexcel®. HexPly® M21 datasheet. Specifications sheet. Disponible online: https://www.hexcel.com/user_area/content_media/raw/HexPly_M21_global_DataSheet.pdf. [Último acceso el 07/03/2025].

[13] M.C. Serna Moreno, S. Horta Muñoz, «Pseudo-ductile effects in ±45◦ angle-ply CFRP laminates under uniaxial loading: Compression and cyclic tensile test», Composites Part B 2022;233:109631. DOI: https://doi.org/10.1016/j.compositesb.2022.109631.

[14] M.C. Serna Moreno, S. Horta Muñoz, «Elastic stability in biaxial testing with cruciform specimens subjected to compressive loading», Composite Structures 2020;234:111697. DOI: https://doi.org/10.1016/j.compstruct.2019.111697.

[15] M.C. Serna Moreno, S. Horta Muñoz, «Dispositivo para evitar pandeo en ensayos biaxiales de probetas cruciformes», Modelo de Utilidad 2022/20461. Disponible online: https://patentscope.wipo.int/search/es/detail.jsf?docId=WO2020016467 [Último acceso el 07/03/2025].

Back to Top

Document information

Published on 21/01/26
Accepted on 28/07/25
Submitted on 25/07/25

Volume 09 - Comunicaciones MatComp25 (2025), Issue Núm. 3 - Caracterización Experimental, 2026
DOI: 10.23967/r.matcomp.2025.09.21
Licence: Other

Document Score

0

Views 18
Recommendations 0

Share this document