Resumo

Em muitas aplicações práticas da engenharia verifica‐se a interação de domínios distintos, onde os efeitos de acoplamento são importantes na avaliação da resposta estrutural. Um caso de interesse é dado pela interação existente entre uma estrutura vibrante e um reservatório, convenientemente simplificado para um modelo acústico. Este trabalho apresenta uma solução analítica fechada e uma abordagem simplificada para o problema de interação dinâmica existente entre uma estrutura reticulada e uma cavidade acústica bidimensional. Inicialmente, frequências e modos de vibração são obtidos de forma exata e em seguida as contribuições individuais de cada modo são combinadas para a construção da resposta dinâmica estrutural. Uma rotina de integração numérica Runge‐Kutta de 4. ª ordem é empregada na avaliação de deslocamentos relativos. Finalmente, são apresentadas aplicações práticas onde os procedimentos propostos são empregados de forma eficaz na solução de excitações senoidais e sísmicas. Estes resultados são comparados a soluções obtidas com modelos em elementos finitos, indicando a validade do procedimento proposto. A participação dominante do modo fundamental revela que a abordagem simplificada pode ser empregada com expressões práticas para os termos envolvidos na equação de movimento. Resultados imediatos incluem a validação de soluções numéricas e a análise paramétrica das variáveis envolvidas. Adicionalmente, o procedimento proposto pode ser generalizado para situações envolvendo condições de contorno diversas.

Summary

In many practical engineering applications there is the interaction of distinct domains, where coupling effects are important in assessing the structural response. A particular case is given by the interaction between a vibrating structure and a reservoir, with the latter conveniently simplified to an acoustic model. This paper presents a closed form analytical solution to the dynamic interaction problem of a framed structure and a two dimensional acoustic cavity system. Initially, eigenvalues and eigenmodes are obtained accurately and then individual contributions of each mode are combined to build the structural dynamic response. A fourth order Runge‐Kutta numerical integration routine is applied on the evaluation of relative displacements. Finally, practical applications are given, where the proposed method is employed effectively in the solution of sine and seismic excitations. These results are compared to finite element models, with an excellent agreement achieved by the proposed procedure. It is also verified that the fundamental mode shape governs the dynamic response, enabling the use of simplified expressions for the generalized parameters. Immediate results include validation of numerical solutions as well as parametric studies of the involved variables. The proposed procedure can be extended for different sets of boundary conditions.

Palavras‐chave

Interação fluido‐estrutura ; Vibroacústica ; Dinâmica das estruturas ; Superposição modal ; Analítica ; Numérica

Keywords

Fluid‐structure interaction ; Vibroacoustics ; Structural dynamics ; Mode superposition ; Analytical ; Numerical

1. Introdução

Em diversas aplicações práticas da engenharia encontra‐se o problema de interação entre um fluido e uma estrutura vibrante, tais como: barragens e elementos constituintes, pontes, reatores nucleares, propulsores de foguetes, estruturas «off‐shore», aeronaves, dentre outros. Quando significativos, os efeitos produzidos por um fluido são capazes de influenciar a magnitude, as frequências e a estabilidade de um sistema estrutural. Dentre as diversas categorias de interação destaca‐se, por sua simplicidade, a interação entre uma estrutura e um fluido acústico. Este campo de estudo é denominado Vibroacústica ou Acústica Estrutural [1] .

A abordagem desses problemas envolve a idealização do reservatório como uma cavidade acústica, com condições de contorno previamente definidas, submetida à ação de uma fronteira vibrante representada pela estrutura em contato com o fluido. Assim, o problema é reduzido às seguintes soluções: (1) equação da onda combinada com a equação de movimento da estrutura, indicando a resposta dinâmica do sistema estrutural; (2) equação de Helmholtz combinada com a equação da estrutura em vibração livre, fornecendo os autovalores e autovetores do sistema acoplado. Resultados imediatos incluem a avaliação dos efeitos dinâmicos produzidos pelo fluido e sua influência no cálculo de deslocamentos e tensões no sistema estrutural. De maneira geral, a complexidade matemática envolvida na segunda abordagem é consideravelmente reduzida quando um procedimento de superposição modal é empregado na avaliação da resposta dinâmica (procedimento indireto). Ainda assim, existem referências clássicas onde o problema é solucionado de forma direta no domínio do tempo [2] . Embora possível para problemas de natureza simplificada, uma abordagem exata geralmente resulta na avaliação de séries infinitas, com expressões de grande complexidade. Assim, a solução deste tipo de problema requer a utilização de um computador. Uma alternativa surge com a utilização de procedimentos simplificados, onde considerações particulares são introduzidas nas formulações. Dentre estas destaca‐se a consideração de um fluido incompressível, que simplifica em grande parte a avaliação das expressões envolvidas.

Esta pesquisa apresenta uma solução analítica fechada e uma abordagem simplificada para o problema de interação dinâmica existente entre uma estrutura reticulada e uma cavidade acústica bidimensional. Problema semelhante foi estudado por [3] , [4] , [5] , [6]  and [7] , com a avaliação de autovalores e autovetores do sistema viga‐cavidade. Em todos os trabalhos a estrutura analisada foi associada a uma viga esbelta, incluindo apenas a rigidez à flexão. As condições de contorno da cavidade acústica foram aplicadas a um reservatório de extensão longitudinal infinita, com a consideração ou não de ondas de superfície. Um trabalho mais recente de [8] aborda o mesmo problema incluindo a condição de radiação de Sommerfeld. Este pequeno retrospecto indica o interesse da comunidade científica nesta temática, com aplicações diretas em estudos paramétricos e validação de códigos numéricos. Outro campo de interesse é dado por problemas de interação fluido‐estrutura em estruturas hidráulicas, tais como píeres, ou torres em contato com um fluido, submetidas a excitações sísmicas. Esse problema foi inicialmente estudado por [9] . Uma investigação mais recente foi realizada por [10] .

Neste trabalho será apresentada uma contribuição adicional, onde uma solução no domínio do tempo é obtida de forma indireta por meio da superposição modal das respostas exatas individuais. Adicionalmente, a abordagem simplificada proposta permite a avaliação dos parâmetros generalizados envolvidos na equação de movimento do modo fundamental. Assim, um problema relativamente complexo pode ser solucionado de forma prática, produzindo resultados satisfatórios para excitações de natureza sísmica.

2. Modelo matemático do fluido acústico

Adota‐se um modelo de pequenos deslocamentos com o fluido suposto invíscido, homogêneo e linearmente compressível. Neste caso, o domínio é governado pela equação da onda (fluido acústico), com condições de contorno tributárias da interface entre os meios e dos limites do reservatório. A figura 1 indica uma representação esquemática deste problema, onde S 1 − S 4 são condições de contorno e u (y , t ) a função de deslocamentos da estrutura associada.


Representação da cavidade acústica.


Figura 1.

Representação da cavidade acústica.

As condições de contorno são estabelecidas com a consideração de um reservatório finito de comprimento horizontal Lx e vertical Ly . Para o caso particular onde os efeitos de ondas de superfície são desprezados e assumindo uma hipótese de não‐perturbação em x  = Lx , resulta:

( 1)
( 2)
( 3)
( 4)

onde ρf corresponde a massa específica do fluido. Uma solução conveniente para o problema anterior é dada pela hipótese de vibrações harmônicas, com a fronteira e o fluido acústico governados pelas equações abaixo:

( 5)
( 6)

onde ω indica a pulsação do sistema viga‐cavidade.

Neste caso, o fluido tem a equação da onda reduzida a equação de Helmholtz:

( 7)

Como consequência, as condições de contorno anteriores tornam‐se independentes da variável temporal (t ). Assim, verifica‐se que [6] :

( 8)

A solução da cavidade acústica é obtida com o emprego de (8) em (7), onde é aplicada a técnica de separação de variáveis [11]  and [12] . Desta forma:

( 9)

onde En é uma constante a ser obtida com a condição de contorno remanescente S 1, e κn e αn são dados por:

( 10)
( 11)

3. Modelo matemático da estrutura reticulada

O modelo corresponde a uma estrutura reticulada, dada por uma viga de altura H  = Ly (cavidade totalmente preenchida) e espessura F . Especifica‐se rigidez a flexão EI  e massa específica ρs . As análises são limitadas a vibrações de vigas esbeltas (hipóteses válidas para F  ≪ H ), onde apenas a rigidez a flexão é considerada na formulação da equação de equilíbrio. Neste caso:

( 12)

onde o termo do lado direito da equação indica a força de interação produzida pelo fluido. De acordo com (6) e (9):

( 13)

Adicionalmente, de acordo com (5), (12) e (13):

( 14)

onde:

( 15)

Assim, o problema fica reduzido a solução da equação diferencial ordinária (14).

4. Solução da equação de deslocamentos

A solução geral de (14) é dada pela soma de suas soluções homogênea (h ) e particular (p ). Assim:

( 16)

Para a contribuição particular verifica‐se que:

( 17)

onde:

( 18)

A solução homogênea, por sua vez, é dada por:

( 19)

onde cj indicam constantes e ϕj uma base de funções representadas por:

( 20)

A solução completa é dada por (17) e (19):

( 21)

A condição de contorno em S 1 estabelece:

( 22)

Substituindo (9) no lado esquerdo de (22):

( 23)

Finalmente, a substituição de (21) em (23) resulta em:

( 24)

Esta última equação pode ser resolvida com o auxílio da propriedade de ortogonalidade da função cosseno, onde:

( 25)

Então, multiplicando ambos os lados de (25) por e integrando a expressão de 0 a Ly , em y , obtém‐se:

( 26)

onde:

( 27)
( 28)

Da expressão (18) resulta:

( 29)

Substituindo este último termo em (26) e manipulando algebricamente a expressão resultante:

( 30)

Então:

( 31)

onde:

( 32)

Da expressão (15) resultam 2 manipulações de interesse prático, que tornam o problema adimensional:

( 33)
( 34)

onde ωb é uma pulsação de referência definida por:

( 35)

Assim, substituindo (10), (33) e (34) em (32):

( 36)

onde o termo é dado por:

( 37)

Um termo adicional é definido por:

( 38)

onde χ é número arbitrário. Assim, a substituição de (11) e (38) em (36) resulta em:

( 39)

onde os termos r   , e são definidos por:

( 40)
( 41)
( 42)

Os 2 últimos termos exercem influência especial nos resultados obtidos, indicando, respectivamente: a relação entre a frequência base da estrutura no vácuo e a primeira frequência transversal da cavidade, além da relação entre massas do sistema fluido‐estrutura.

A solução completa de deslocamentos (21) pode ser representada de forma compacta por:

( 43)

onde:

( 44)

Os termos adicionais necessários a aplicação de (43) são indicados pelas equações (10), (20), (27), (28), (37), (39), (40), (41) e (42). Para definição do problema em uma variável χ também é conveniente estabelecer com o auxílio de (34) e (38):

( 45)

5. Avaliação dos valores próprios do problema

A equação (43) pode ser aplicada de forma eficiente na solução de frequências e modos de vibração do sistema viga‐cavidade. Verifica‐se inicialmente a presença de 4 constantes cj desconhecidas, além do parâmetro de frequência χ . O problema pode ser definido de forma adequada com a introdução de 4 condições de contorno relacionadas às vinculações da estrutura. Para uma viga engastada em y  = 0 e livre em y  = H  = Ly , por exemplo, resultam as seguintes condições de contorno referentes a compatibilidade de deslocamentos e esforços internos:

( 46)
( 47)

Resulta assim, um sistema de equações lineares cuja notação matricial é definida por:

( 48)

Portanto:

( 49)

onde os termos são dados por:

( 50)
( 51)
( 52)
( 53)

A matriz indicada em (49) deve satisfazer a seguinte condição para a obtenção de soluções não‐triviais:

( 54)

Esta última expressão define a equação característica do problema, de onde resultam as frequências de vibração do sistema viga‐cavidade em termos de χ . Em seguida, são obtidos os modos de vibração associados, por meio de uma substituição deste último termo em (49) e posterior solução para as constantes cj .

6. Vibração livre da estrutura acoplada

Os valores próprios, uma vez obtidos, permitem a avaliação dos parâmetros generalizados da estrutura relacionados a um dado modo de vibração m . Um esquema auxiliar é indicado na figura 2 para uma deformada modal Um (y   ), convenientemente normalizada em . Neste caso, representa a parte dinâmica da resposta e pm (0, y , t ) as pressões hidrodinâmicas associadas ao respectivo modo de vibração.


Esquema do «m» modo de vibração.


Figura 2.

Esquema do «m » modo de vibração.

Aplicando o princípio dos trabalhos virtuais verifica‐se que [13] :

( 55)
( 56)
( 57)

que indicam, respectivamente: massa, rigidez e excitação generalizadas do modo m . Neste caso:

( 58)

Uma consideração especial deve ser feita ao problema, com a hipótese de vibrações harmônicas de pulsação ω , conforme indicado em (5) e (6). Neste caso:

( 59)

onde é uma amplitude em . Verifica‐se que:

( 60)
( 61)

Da condição de contorno (1), (6), (9) e (61) resulta:

( 62)

A constante En da expressão anterior é obtida com auxílio da propriedade de ortogonalidade indicada em (25). Assim:

( 63)

Substituindo (63) em (13):

( 64)

De (59) resulta:

( 65)

A expressão (64) pode ser reescrita com auxílio de (65):

( 66)

onde:

( 67)

Finalmente, substituindo (57) e (67) em (58):

( 68)

onde:

( 69)

corresponde a massa generalizada produzida pelo fluido para o ' m  ' modo de vibração. Desta forma, o problema de vibração forçada indicado em (58) fica reduzido ao caso de vibração livre indicado em (68), onde o termo adicional de massa surge devido ao acoplamento inercial.

7. Vibração forçada da estrutura acoplada

Neste caso, o problema fica reduzido a uma nova avaliação de um esquema semelhante ao indicado na figura 2 , com a consideração dos parâmetros obtidos em vibração livre. De maneira geral:

( 70)

onde:

( 71)
( 72)

que correspondem, respectivamente a: massa total generalizada do sistema e força generalizada em decorrência de um carregamento arbitrário f (y , t   ). Para o caso de uma excitação sísmica com aceleração do solo é conveniente a utilização de um esquema clássico auxiliar de um sistema de um grau de liberdade, de massa m e rigidez k onde o problema é tratado em termos de componentes translacionais e relativas. Este é um procedimento clássico empregado por [14] . A figura 3 esclarece.


Decomposição do movimento do solo.


Figura 3.

Decomposição do movimento do solo.

Assim, verifica‐se a presença de 2 componentes inerciais produzidas pela interação com o fluido, dadas por fg e . Esta observação pode ser traduzida em um esquema equivalente, onde surgem os conceitos de massa efetiva e força efetiva. A figura 4 esclarece.


Modelo equivalente.


Figura 4.

Modelo equivalente.

Assim, a equação de movimento sistema equivalente é dada por:

( 73)

Em um sistema desacoplado as 2 componentes anteriores são nulas e o problema recai no caso original de uma excitação sísmica clássica. De grande interesse é a generalização do esquema anterior para uma abordagem em coordenadas generalizadas. Neste caso, a equação de movimento não‐amortecida do «m » modo do sistema é obtida com:

( 74)

onde:

( 75)
( 76)

A expressão (74) revela a influência do reservatório em ambos os lados da equação, com contribuições na massa e na excitação generalizadas. O termo indicado em (76) pode ser interpretado como o efeito inercial produzido pelo fluido para uma translação da estrutura como um corpo rígido. Ou seja: o campo de pressões produzido por uma fronteira rígida em direção a um fluido incompressível. Esta expressão é obtida de forma imediata com auxílio de (64), (65) e (66). Assim, definindo a aceleração do solo com sendo a aceleração de corpo rígido:

( 77)

e substituindo este último termo em (66):

( 78)

onde é obtido com a manipulação algébrica de (67), com e ω /c  → 0. Desta forma:

( 79)

Uma vez que todos os parâmetros de (70) e (74) são conhecidos, a resposta dinâmica da estrutura para um determinado modo de vibração pode ser avaliada sem maiores dificuldades. De maneira geral, empregando a superposição modal das respostas individuais:

( 80)

8. Abordagem simplificada (modos no vácuo)

As análises descritas nas etapas anteriores podem ser consideravelmente simplificadas com uma abordagem onde os modos de vibração acoplados são tomados como inalterados pela presença do fluido. Procedimento semelhante foi investigado por [6] . O objetivo é exatamente eliminar a necessidade de uma solução envolvendo o determinante indicado em (54). Neste caso:

( 81)

onde corresponde ao ' m  ' modo de vibração da estrutura no vácuo. Desta forma, a substituição de (81) em (68) revela uma equação de pulsações, definida por:

( 82)

onde a avaliação indica uma série de valores próprios associados ao modo de vibração em análise. É evidente que a expressão (82) é tributária do modo em questão e é por isto que este procedimento é conhecido como solução com deformadas impostas na interface [7] . A precisão dos resultados depende diretamente da hipótese indicada em (81). Ou seja: melhores resultados são obtidos quando os efeitos de interação produzem pequenas alterações na configuração da deformada no vácuo. Após esta avaliação o procedimento prossegue normalmente, com os parâmetros generalizados e a formulação da equação de movimento obtidos de forma simplificada.

Em muitas aplicações práticas verifica‐se a validade da hipótese anterior, com o fluido alterando de forma muito discreta a deformada do modo fundamental [6] . Uma simplificação adicional é dada pela hipótese de um fluido incompressível, que torna a solução de pressões hidrodinâmicas (67) independente da frequência de vibração do sistema viga‐cavidade.

Para a hipótese de um fluido incompressível (c → ∞), reservatório com comprimento longitudinal infinito (Lx → ∞) e considerando apenas o modo fundamental no vácuo de uma estrutura engastada‐livre a avaliação das expressões (69), (75) e (76), com 10 termos na série, resulta em:

( 83)
( 84)
( 85)

De forma semelhante, os parâmetros generalizados da estrutura no vácuo (55) e (56) são obtidos de forma imediata, resultando em:

( 86)
( 87)

As expressões (83) a (87) representam uma alternativa em relação a solução exata. No caso, a pulsação do modo fundamental é dada por:

( 88)

que pode ser avaliada sem maiores dificuldades. Assim, verifica‐se que a abordagem simplificada pode ser empregada de 2 formas distintas, com a primeira, indicada em (82), resultando em uma equação de frequências para um dado modo de vibração. Uma alternativa é a utilização do conjunto de equações (83) a (88), onde simplificações adicionais são introduzidas e apenas o modo fundamental é considerado.

9. Exemplo de aplicação

Neste exemplo as respostas transientes obtidas analiticamente para excitações senoidais e sísmicas são comparadas aos resultados de uma análise acoplada de um modelo numérico em elementos finitos, utilizando o software ANSYS v.11 [15] . Para avaliação dos termos envolvidos na equação de movimento e cálculo de valores próprios foi empregado o software Maple v.12 [16] . A resposta dinâmica para excitações senoidais foi desenvolvida de forma analítica fechada, ao passo que para excitações sísmicas foi empregada uma rotina de integração numérica de Runge‐Kutta de 4. ª ordem, desenvolvida em linguagem FORTRAN [17] .

A figura 5 indica a configuração geométrica da cavidade acústica analisada.


Representação esquemática do problema.


Figura 5.

Representação esquemática do problema.

As propriedades dos materiais (fluido e estrutura) empregados são indicadas na tabela 1 .

Tabela 1. Propriedades dos materiais
Estrut.
H (m ) 10
F (m ) 1
E (Pa ) 1011
ρs (kg /m3 ) 7.800
Fluido
Lx (m ) 50
Ly (m ) 10
1.500
ρf (kg /m3 ) 1.000

9.1. Modelo numérico em elementos finitos

Um modelo numérico da estrutura e da cavidade acústica associada foi construído com o auxílio do software ANSYS v.11 [15] . Para a estrutura foram empregados elementos clássicos de pórtico plano com 2 graus de liberdade translacionais (x e y ) e 1 grau de liberdade rotacional por nó (Beam3). São permitidas orientações globais arbitrárias no plano e assume‐se que os ângulos direcionais permanecem inalterados após as deformações. O domínio da cavidade foi discretizado com elementos quadrilaterais aplicados na solução da Equação da Onda Bidimensional (Fluid29). Apresentam 4 nós por elemento, com 3 graus de liberdade cada (deslocamentos em x e y, além da pressão acústica). Os graus de liberdade translacionais são válidos apenas em problemas de interação fluido‐estrutura e neste caso é feita uma particularização para os elementos da interface. Nas demais situações, o elemento é aplicado com a consideração de apenas um grau de liberdade por nó (pressão) para o restante do domínio ou em análises modais de uma cavidade acústica com ausência da estrutura.

Um estudo de convergência foi realizado com o auxílio de 4 malhas, sendo compostas por: 510, 2.020, 8.040 e 32.080 elementos. Os modelos numéricos são apresentados na figura 6 . Um resumo das pulsações obtidas para os 2 primeiros modos é indicado na tabela 2 . Percebe‐se pouca diferença em relação aos valores obtidos com a Malha 1.


Representação do modelo numérico.


Figura 6.

Representação do modelo numérico.

Tabela 2. Resumos das análises modais
Malha Frequência do Modo 1 (rad/s) Erro % em relação a Malha 4 Frequência do Modo 2 (rad/s) Erro % em relação a Malha 4
01 31,82 0,28 183,83 0,62
02 31,75 0,06 183,00 0,16
03 31,73 0,00 182,76 0,03
04 31,73 0,00 182,70 0,00

Os valores indicados na tabela 2 e a participação dominante do modo fundamental na resposta dinâmica (a ser apresentada no Item 9.4) justificam o emprego da Malha 1, com uma excelente precisão e baixo custo computacional. De fato, o erro relativo da Malha 1 é de apenas 0,28% quando comparado aos resultados obtidos com a Malha 4.

Deste ponto em diante todas as referências aos resultados numéricos serão associadas a essa discretização.

9.2. Análise em vibração livre (frequências e modos)

Os procedimentos descritos nos Itens 5 e 8 foram empregados na avaliação de valores próprios do problema. Na sequência foram obtidos os parâmetros generalizados relacionados aos 2 primeiros modos de vibração da estrutura. Os resultados de frequências e modos obtidos analiticamente e com o modelo numérico são apresentados nas Tabela 3 , Tabela 4  and Tabela 5 .

Tabela 3. Pulsações e modos analíticos exatos
m ω (rad /s ) Estrutura Cavidade ‐
1 31,85
Full-size image (17 K)
Full-size image (10 K)
2 184,67
Full-size image (11 K)
Full-size image (10 K)

Tabela 4. Pulsações e modos analíticos simplificados
m ω (rad /s ) Estrutura Cavidade ‐
1 31,91
Full-size image (17 K)
Full-size image (10 K)
2 180,38
Full-size image (18 K)
Full-size image (10 K)

Tabela 5. Pulsações e modos numéricos (MEF)
m ω (rad /s ) Estrutura Cavidade ‐
1 31,82
Full-size image (12 K)
Full-size image (12 K)
2 183,83
Full-size image (18 K)
Full-size image (13 K)

Merece atenção especial o contraste existente entre a configuração da deformada modal acoplada e a respectiva configuração no vácuo. A tabela 6 ilustra este resultado.


Draft Content 114305299-1-s2.0-S0213131515000218-fx13.jpg


Tabela 6.

Deformadas modais (acoplada x vácuo)

Verifica‐se um modo fundamental inalterado pelos efeitos de interação. O mesmo não ocorre com o segundo modo de vibração. Ainda assim, a abordagem simplificada produz resultados satisfatórios, indicando frequências próximas às obtidas com a solução exata. A hipótese de um fluido incompressível e de uma cavidade longitudinal infinita permite a aplicação direta de (88). Assim:

( 89)

Os parâmetros generalizados do problema são obtidos com o auxílio das expressões (55), (56), (68) e (69). Resultados de avaliações com a solução exata e a abordagem simplificada são relacionados na tabela 7 .

Tabela 7. Parâmetros generalizados
m Parâmetro Solução
simplificada exata
1 1.95 × 104 1.97 × 104
2.58 × 107 2.60 × 107
0.59 × 104 0.60 × 104
2 1.95 × 104 1.32 × 104
1.01 × 109 6.33 × 108
1.17 × 104 0.56 × 104

Os resultados da tabela 7 revelam uma excelente aproximação obtida com a abordagem simplificada para o modo fundamental do problema. Entretanto, este resultado tem sua qualidade comprometida para o segundo modo de vibração do sistema. De certa forma, esta diferença já era esperada, já que os efeitos produzidos pela interação modificam a configuração da deformada modal acoplada em relação a sua respectiva configuração no vácuo, conforme indicado na tabela 6 . Ainda assim, conforme será demonstrado adiante, a abordagem simplificada revela sua importância, principalmente em situações onde modo fundamental governa o problema.

9.3. Vibração forçada (excitação senoidal)

As soluções transientes obtidas com o modelo numérico podem ser comparadas às obtidas analiticamente (com os parâmetros generalizados indicados na tabela 7 ). Considerando, por exemplo, a seguinte excitação aplicada na extremidade livre da estrutura:

( 90)

onde indica a pulsação do carregamento aplicado.

As equações de movimento não‐amortecidas para os 2 primeiros modos do sistema são dadas, respectivamente, por:

( 91)
( 92)

As equações anteriores representam problemas clássicos da dinâmica das estruturas e suas soluções são obtidas de forma fechada sem maiores dificuldades.

Considerações especiais devem ser feitas em relação à participação dos modos superiores na resposta dinâmica. Os exemplos a seguir ilustram estes casos para diversos valores do parâmetro de relação de frequências β , definido por:

( 93)

Inicialmente são apresentadas as soluções envolvendo a contribuição dos 2 primeiros modos do sistema, conforme indicado nas Figura 7  and Figura 8 . Em ambos os casos verifica‐se uma excelente aproximação entre as soluções analíticas e numéricas.


Resposta de deslocamentos (2 modos).


Figura 7.

Resposta de deslocamentos (2 modos).


Resposta de deslocamentos (2 modos).


Figura 8.

Resposta de deslocamentos (2 modos).

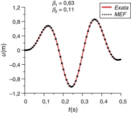
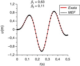
A contribuição de modos superiores é ilustrada nas Figura 9  and Figura 10 , onde apenas o modo fundamental foi empregado na construção da resposta dinâmica, para parâmetros βn com valores idênticos aos apresentados na Figura 7  and Figura 8 . Embora a aproximação com β1  = 0.63 e β2  = 0.11 seja preservada, o mesmo não ocorre para β1  = 4.71 e β2  = 0.81. Neste último caso, a participação do segundo modo de vibração é significativa e a resposta com o modo fundamental insatisfatória.


Resposta de deslocamentos (1 modo).


Figura 9.

Resposta de deslocamentos (1 modo).


Resposta de deslocamentos (1 modo).


Figura 10.

Resposta de deslocamentos (1 modo).

Um caso de grande interesse prático é dado por uma excitação sísmica, onde a participação do modo fundamental é dominante. Neste caso, o próprio espectro de frequências produzido pelo movimento do solo limita a participação de modos superiores. Esta situação contrasta com a apresentada neste item, onde as amplitudes são independentes da pulsação do carregamento aplicado e será analisada a seguir.

9.4. Vibração forçada (excitação sísmica)

Nesta análise é empregado o esquema indicado na figura 4 , com a equação de movimento representada pela expressão (74). Os parâmetros generalizados são obtidos com o auxílio de (75), (76) e (79).

A tabela 8 ilustra os parâmetros generalizados adicionais associados à análise sísmica. Neste caso, as equações de movimento não‐amortecidas para os 2 primeiros modos do sistema são dadas, respectivamente, por:

( 94)
( 95)

Tabela 8. Parâmetros generalizados adicionais
m Parâmetro Solução
exata
1 3.08 × 104
1.53 × 104
2 −0.70 × 104
−1.16 × 108

Caso a excitação do solo seja do tipo harmônica, as soluções das equações (94) e (95) ficam reduzidas aos casos anteriores, com a possibilidade de soluções analíticas fechadas. Entretanto, para um registro sísmico real, este procedimento não é possível. Neste caso deve‐se empregar uma rotina de integração numérica para avaliação da resposta dinâmica. As Figura 11 , Figura 12  and Figura 13 ilustram registros dos eventos sísmicos analisados [18] , que correspondem a componente norte‐sul do terremoto Imperial Valley‐1940 (estação El Centro), o sismo de Hollister‐1974 (estação City Hall) e o registro de Loma Prieta‐1989 (estação Emeryville).


Janela de 5s do sismo Imperial Valley.


Figura 11.

Janela de 5 s do sismo Imperial Valley.


Janela de 5s do sismo Hollister.


Figura 12.

Janela de 5 s do sismo Hollister.


Janela de 5s do sismo Loma Prieta.


Figura 13.

Janela de 5 s do sismo Loma Prieta.

Resultados obtidos com as equações de movimento e com um modelo numérico em elementos finitos são apresentados nas Figura 14 , Figura 15 , Figura 16 , Figura 17 , Figura 18  and Figura 19 . Inicialmente é apresentada a resposta do modo fundamental e em seguida a resposta do segundo modo do sistema.


Resposta do 1.o modo (Imperial Valley).


Figura 14.

Resposta do 1.o modo (Imperial Valley).


Resposta do 2.o modo (Imperial Valley).


Figura 15.

Resposta do 2.o modo (Imperial Valley).


Resposta do 1.o modo (Hollister).


Figura 16.

Resposta do 1.o modo (Hollister).


Resposta do 2.o modo (Hollister).


Figura 17.

Resposta do 2.o modo (Hollister).


Resposta do 1.o modo (Loma Prieta).


Figura 18.

Resposta do 1.o modo (Loma Prieta).


Resposta do 2.o modo (Loma Prieta).


Figura 19.

Resposta do 2.o modo (Loma Prieta).

A análise das Figura 14 , Figura 15 , Figura 16 , Figura 17 , Figura 18  and Figura 19 indica uma tendência já esperada para um registro de natureza sísmica. Neste caso é evidente a participação dominante do modo fundamental, com amplitudes muitas vezes superiores às obtidas com o segundo modo de vibração. Esta é uma informação de interesse prático imediato, uma vez que os parâmetros generalizados obtidos com o procedimento simplificado são praticamente idênticos aos obtidos com a solução analítica exata, conforme indicado na tabela 7 . A participação do modo fundamental fica ainda mais clara quando um espectro de amplitudes (A ) × frequências (f ) da excitação sísmica é analisado. Este diagrama é apresentado nas Figura 20 , Figura 21  and Figura 22 . Verifica‐se uma pequena faixa de baixas frequências com elevadas amplitudes. Para o segundo modo, por exemplo, a frequência é de aproximadamente 29Hz , o que implica em amplitudes consideravelmente menores que as obtidas com o modo fundamental.


Espectro de amplitudes (Imperial Valley).


Figura 20.

Espectro de amplitudes (Imperial Valley).


Espectro de amplitudes (Hollister).


Figura 21.

Espectro de amplitudes (Hollister).


Espectro de amplitudes (Loma Prieta).


Figura 22.

Espectro de amplitudes (Loma Prieta).

10. Conclusões

Uma solução analítica exata e uma abordagem simplificada foram apresentadas para avaliação de valores próprios, parâmetros generalizados e reposta dinâmica de um sistema viga‐cavidade. O problema foi solucionado inicialmente de forma exata, com a determinação de frequências e modos vibração acoplados. Esta abordagem é função direta da solução do determinante de uma matriz de ordem 4 (para uma cavidade totalmente preenchida), onde os termos componentes estão associados a séries infinitas. Uma alternativa proposta neste trabalho consiste na utilização de deformadas no vácuo, com posterior formulação de uma equação de frequências para um dado modo de vibração. Neste caso, o problema independe da solução de um determinante, o que é um dos grandes atrativos do método. De maneira geral, o procedimento proposto terá sua validade restrita a situações onde os efeitos de interação não alteram de forma significativa a configuração dos modos de vibração no vácuo.

Após a obtenção de frequências e modos de vibração o problema apresenta a mesma sequência de solução, tanto para a solução exata, como para a abordagem simplificada. Assim, é adotada uma estratégia em coordenadas generalizadas com a consideração inicial de uma vibração livre do sistema viga‐cavidade. Surge assim o conceito de acoplamento inercial, onde as forças produzidas pelo fluido complementam a massa da estrutura vibrante.

No caso de uma vibração forçada, surge efetivamente o conceito de força generalizada, que mais uma vez é obtida com a aplicação do princípio dos trabalhos virtuais para posterior construção da equação de movimento da estrutura acoplada. Um caso de interesse especial é dado pelo problema de excitação sísmica, onde os efeitos de interação resultam em componentes translacionais e relativas. Neste caso, ambos os lados da equação de movimento são influenciados pela interação, com o lado esquerdo recebendo contribuição da parte relativa, ao passo que o lado direito recebe contribuição do movimento translacional. Surge assim o conceito de massa e força efetivas, convenientemente ilustrado na figura 4 .

Os resultados obtidos com as abordagens exata e simplificada foram confrontados com uma análise modal obtida em um modelo acoplado em elementos finitos. A aproximação de frequências em ambos os métodos é excelente, com a solução exata apresentando maior precisão. Em relação aos parâmetros generalizados verifica‐se uma ótima concordância obtida entre as 2 abordagens para o modo fundamental. Entretanto, o mesmo não ocorre para o segundo modo do sistema, já que os efeitos de interação modificam a deformada acoplada, tornando‐a distinta de sua respectiva configuração no vácuo. As equações de movimento foram formuladas com os parâmetros generalizados da solução exata e posteriormente avaliadas para excitações senoidais e sísmicas. Os resultados da análise em vibração forçada estão de acordo com os obtidos no modelo numérico. A excitação senoidal permitiu a avaliação da contribuição efetiva de modos superiores, confirmando a validade do procedimento proposto para análises envolvendo superposição da contribuição de modos individuais. No caso de excitações de origem sísmica a participação do modo fundamental foi dominante e o procedimento envolvendo apenas a contribuição do primeiro modo foi suficiente para solução do problema.

Os resultados desta pesquisa envolvem contribuições de interesse prático imediato, já que problemas envolvendo condições de contorno distintas, tanto para estrutura, como para cavidade, podem ser formulados sem maiores dificuldades. Em situações onde acoplamento é importante, recomenda‐se a utilização da solução exata, com posterior construção de equações de movimento para os modos de vibração envolvidos na análise. No caso de excitações de origem sísmica, a participação do modo fundamental mostrou‐se satisfatória e o procedimento simplificado é suficiente para solução do problema com precisão considerável. As 2 soluções permitem tanto a validação de soluções numéricas, como a análise paramétrica das variáveis envolvidas no problema acoplado. Embora uma avaliação totalmente analítica não seja possível, ambos os procedimentos surgem como alternativas viáveis para complementação de soluções numéricas.

Bibliografia

  1. [1] F. Fahy; Sound and structural vibration: Radiation, transmission, and response; (2 a ed.)Academic Press (2007)
  2. [2] G.C. Lee, C.S. Tsai; Time domain analyses of dam reservoir system. I: Exact solution; Journal of Engineering Mechanics, ASCE, 117 (9) (1991), pp. 1990–2006
  3. [3] J.T. Xing, W.G. Price, M.J. Pomfret, L.H. Yam; Natural vibration of a beam‐water interaction system; Journal of Sound and Vibration, 199 (3) (1997), pp. 491–512
  4. [4] B.R.C. Getelina; Vibrações naturais em um sistema de interação viga‐água. Dissertação de Mestrado, Universidade Federal do Rio Grande do Sul; Programa de Pós‐Graduação em Matemática Aplicada (2002)
  5. [5] N.E. Donin; Vibrações naturais em um sistema de interação viga‐água incluindo o efeito de onda de superfície. Dissertação de Mestrado, Universidade Federal do Rio Grande do Sul; Programa de Pós‐Graduação em Matemática Aplicada (2003)
  6. [6] P.M.V. Ribeiro; Soluções analíticas para cavidades acústicas bidimensionais com aplicação ao estudo da interação dinâmica barragem‐reservatório, Tese de Doutorado em Estruturas e Construção Civil, Publicação E.TD‐004A/10, Departamento de Engenharia Civil e Ambiental; Universidade de Brasília, Brasília, DF (2010), p. 306
  7. [7] P.M.V. Ribeiro, L.J. Pedroso; Solution of the dynamic interaction problem between a framed structure and an acoustic cavity using imposed deformation functions at the interface; Mathematical problems in engineering, research article, 2010 (2010)
  8. [8] J.T. Xing; Natural vibration of two‐dimensional slender structure–water interaction systems subject to Sommerfeld radiation condition; Journal of Sound and Vibration, 308 (1–2) (2007), pp. 67–79
  9. [9] C.Y. Liaw, A.K. Chopra; Dynamics of towers surrounded by water; International Journal of Earthquake Engineering and Structural Dynamics, 3 (1974), p. 33
  10. [10] R.P.S. Han, H. Xu; A simple and accurate added mass model for hydrodynamic fluid‐structure interaction analysis; Journal of the Franklin Institute, 333B (6) (1996), pp. 929–945
  11. [11] A.N. Tychonov, A.A. Samarski; Partial differential equations of mathematical physics, 1, Holden‐Day Inc, San Francisco (1964)
  12. [12] T. Myint-U; Partial differential equations of mathematical physics; (2 a ed.)Elsevier Publishing Company, New York (1976)
  13. [13] A.K. Chopra; Dynamics of structures: Theory and applications to earthquake engineering; (2 a ed.)Prentice Hall, New Jersey (2001)
  14. [14] FERC (Federal Energy Regulatory Commission), 2002. “Chapter III Gravity Dams”. In: Federal Energy Regulatory Commission, Office of Hydropower Licensing. Engineering guidelines for evaluation of hydropower projects. Washington.
  15. [15] ANSYS Multiphysics v.11. Ansys Inc.
  16. [16] Maple v.12.0. Maplesoft. Waterloo Maple Inc.
  17. [17] Microsoft Developer Studio. Fortran PowerStation v. 4.0. Microsoft Corporation. 1995.
  18. [18] Seismosignal v. 3.3.0. Seismosoft Ltd.
Back to Top

Document information

Published on 01/06/16
Accepted on 03/02/15
Submitted on 26/07/14

Volume 32, Issue 2, 2016
DOI: 10.1016/j.rimni.2015.02.001
Licence: Other

Document Score

0

Views 107
Recommendations 0

Share this document

claim authorship

Are you one of the authors of this document?