Abstract

Natural fiber reinforced polymer composites have emerged as a potential environmentally friendly and cost-effective alternative to synthetic fiber reinforced composites. Therefore, in the past decade, a number of major industries, such as the automotive, construction and packaging industries, have shown a considerable interest in the progress of new natural fiber reinforced composite materials. The availability of natural fibers and the ease of manufacturing have tempted researchers to study their feasibility of their application as reinforcement and the extent to which they satisfy the required specifications in tribological applications. However, less information concerning the tribological performance of natural fiber reinforced composite material is available in the literature. Hence, the aim of this bibliographic review is to demonstrate the tribological behavior of natural fiber reinforced composites and find a knowledge about their usability for various applications that tribology plays a dominant role. This review presents the reported work on natural fiber reinforced composites with special reference to the type of fibers, matrix polymers, treatment of fibers and test parameters. The results show that composites reinforced with natural fibers have an improvement in tribological properties and their properties are comparable with conventional fibers. In addition, fiber treatment and fiber orientation are two important factors can affect tribological properties where treated fibers and normal oriented fibers exhibit better friction and wear behavior. This review is trying to evaluate the effect of test parameter including normal load and sliding speed on tribological properties, and the results vary based on type of reinforcement. Generally, due to their positive economic and environmental aspects, as well as their good tribological properties, natural composites are showing a good potential for employing in several applications.

Keywords

Friction ; Wear ; Tribology ; Natural fiber ; Polymer composite ; Green materials ; Biodegradability

1. Introduction

In the recent decade, polymers have become attractive materials for various applications due to several attractive properties, including light weight, ease of processing and cost-effectiveness. Hence, attempts have been significantly made to utilize polymers in different industrial applications, using various kinds of reinforcements including fibers that are incorporated into the polymers to increase their physical and mechanical properties. Thus, fiber reinforced polymer matrix composites are extensively attractive due to their light weight, biodegradability [1] , high strength [2]  and [3] , high stiffness [4] , good corrosion resistivity [5] , and low friction coefficient [6] in many applications that are important in mechanical and tribological properties, from households to aerospace applications and, today, these materials are used in nearly all areas of daily life [7] , [8] , [9] , [10] , [11] , [12] , [13] , [14] , [15]  and [16] . Due to increased environmental awareness and having more environmental regulations, the growing demand for using nonconventional materials leads to the development of renewable, recyclable, biodegradable, sustainable and ecofriendly materials [17] , [18] , [19] , [20] , [21]  and [22] . There is a drawback in using natural fibers, such as pollution problems of processing, where processing can generate high levels of water pollutants, mainly organic wastes and leave residues. However, most of these residues mainly consist of biodegradable compounds, in contrast to the persistent chemicals, including heavy metals released in the effluent from synthetic fiber processing. On the other hand, the environmental benefits of natural fiber products accrue well beyond the production phase. Since the fibers are lighter in weight, they reduce fuel consumption as well as carbon dioxide emissions and air pollution [23] . Generally, two important advantages of natural fiber composites are recyclability and biodegradability of products, after a useful life.

1.1. Biodegradability

A possible solution to waste-disposal problems is using biodegradable polymers reinforced by natural fibers instead of traditional petroleum-derived plastics. Direct sunlight can break the covalent bonds in organic polymers. It tends to cause yellowing, color fading, weight loss, surface roughening, mechanical property deterioration and embrittlement with more reduction in wetter condition. After weathering periods, because of degradation of fibers and matrix, the tensile strength of a composite is decreased. A schematic diagram of the degradation of natural fiber/polymer composite due to UV exposure is presented in Fig. 1[24] . Fakhru and Islam [25] used FTIR spectrum to analyze polypropylene/saw dust composite compositions before and after exposure. The FTIR analysis shows the disappearance of functional groups due to breakdown of the corresponding groups. It is an evidence for degradation of polymer composites. Three peaks disappeared at peaks at 1725 cm−1 , 1646.9 cm−1 and 1376.6 cm−1 , which positively indicates the dissociation of the bonds; carbonyl (C

O), carbon–carbon double bond (C

C) and methyl group (CH3 ) respectively. Furthermore, pure PP samples showed no visible changes in the spectra before and after exposure to any of the degradation conditions thus confirming the non-biodegradable nature of PP.


UV degradation of natural fiber/polymer composite and its components [24].


Fig. 1.

UV degradation of natural fiber/polymer composite and its components [24] .

Another part of composites is the matrix. The shape, the surface appearance, the environmental tolerance and the durability of composites depend on the matrix. On the markets, 80 percentage of polymer are from non-renewable petroleum resources. In general, Polypropylene and Polyethylene which are petroleum based thermoplastics are the two most commonly employed thermoplastics in natural fiber reinforced composites. During recent years, due to awareness on environmental issues, climate change and limited fossil fuel resources, governments, companies and scientists are trying to discover a substitute for the conventional petroleum matrix material. The common polymer matrices currently used in natural fiber composites are shown in Fig. 2 based on bio-based or petroleum based plastics and also on their biodegradability.


Full-size image (58 K)


Fig. 2.

Current and emerging plastics and their biodegradability [17] .

1.2. Chemical, physical and mechanical properties of natural fibers

Also, natural fibers reinforced polymers are considered as light-weight and low-cost in comparison with many synthetic composites. Natural fibers are easier to handle and have good thermal and acoustic insulation properties [26] , [27]  and [28] . Recently, a number of significant industries, such as the automotive, construction and packaging industries have been fascinated in the development of new green natural fiber reinforced composite materials. Among numerous materials and applications, bio-based polymer composites are very important for the automotive industry [29] , [30] , [31]  and [32] , where the benefits of bio-based polymer composites impose the automotive manufacturers to employ natural fiber composites (NFC), for several components, as illustrated in Table 1 , in order to protect the environment and develop a sustainable technology. Furthermore, low cost and low weight of natural fiber composites tend to increase the application of natural fiber composites rather than glass or carbon fiber ones.

Table 1. Applications of NFC in automobile [33] , [34] , [35]  and [36] .
Manufacturer Model Applications
BMW 3, 5, and 7 series Door panels, headliner panel, boot lining, seat backs, noise insulation panels molded foot, and well linings
Audi A2,A3, A4, A4, Avant, A6, A6, Avant, A8, Roadster, Coupe Seat backs, side and back door panel, boot lining, hat rack, and spare tire lining
Ford Mondeo CD 162, Focus Door panels, B-pillar, and boot liner
Mercedes-Benz Trucks Internal engine cover, engine insulation, sun visor, interior insulation, bumper, wheel box, and roof cover
TOYOTA Brevis, Harrier, Celsior, RAUM Door panels, seat backs, and spare tire cover
Volkswagen Golf, Passat, Variant, Bora, Fox, Polo Door panel, seat back, boot lid finish panel, and boot liner

All natural fibers are categorized in three categories, based on main sources: animals, vegetables and minerals, as shown in Fig. 3 .


Source of natural fibers [36].


Fig. 3.

Source of natural fibers [36] .

Table 2  and Table 3 exhibit the chemical composition, and physical/mechanical properties of some important natural fibers, respectively. Moreover, Table 3 compares physical and mechanical properties of natural fibers with synthetic fibers. Therefore, natural fibers are now considered as serious alternatives to synthetic fibers for use in various application fields, due to comparable physical and mechanical properties. By embedding natural fibers as reinforcing materials into polymer matrices (thermoplastic and thermoset), it is possible to manufacture green materials, with positive environmental profits with respect to ultimate disposability and best utilization of raw materials. Thus, in the last few years, some studies have been done to investigate the feasibility of replacing the conventional synthetic fibers with natural fiber in composites. For instance, hemp, sisal, jute, cotton, flax and broom are the most commonly used fibers to reinforce polymers like polyethylene [40] , polyolefin [41] , polystyrene [42] and epoxy [43] . The important advantages of using natural fibers as an alternative for traditional reinforcements such as glass and carbon fibers, are acoustic absorption, enhanced energy recovery, high toughness, non-corrosive nature, good thermal properties, reduced tool wear and reduced dermal and respiratory irritation. Therefore, natural fiber composites have the acceptable properties which also increase their demand for several applications, including automobile components [36] , as mentioned in Table 1 .

Table 2. Chemical composition of selected natural fibers [36] , [37]  and [38] .
Fiber name Cellulose (wt%) Lignin (wt%) Hemi-cellulose (wt%) Pectin (wt%) Wax (wt%) Ash (wt%) Micro-fibrillar angle (°)
Jute 61–71.5 12–13 17.9–22.4 0.2 0.5 0.5–2 8
Kenaf 45–57 21.5 8–13 0.6 0.8 2–5 2–6.2
Sisal 78 8 10 2 1
Coir 37 42 30.45
Rice Husk 38–45 - 12–20 20

Table 3. Physical and mechanical properties of selected natural and synthetic fibers [36]  and [39] .
Fiber name Density (g cm3 ) Diameter (mm) Tensile strength (MPa) Specific strength (S/ρ) Tensile modulus (GPa) Specific modulus (E/ρ) Elongation at break (%)
Natural Fibers Jute 1.46 40–350 393–800 269–548 10–30 6.85–20.6 1.5–1.8
Kenaf 1.45 70–250 930 641 53 36.55 1.6
Sisal 1.45 50–300 530–640 366–441 9.4–22 6.5–15.2 3–7
Coir 1.2 - 175 146 4–6 3.3–5 30
Man-made fibers E-glass 2.55 <17 3400 1333 73 28 3.4
S-glass 2.5 - 4580 1832 85 34 4.6
Aramid 1.4 11.9 300 1916 124 86 2.5
HS Carbon 1.82 8.2 2550 1401 200 109 1.3

1.3. Fiber treatment

There are several limitations to substituting natural fibers with conventional fibers in automobiles components. The most important issue is the hydrophilic nature of fibers used as reinforcements in plastics, which depends on the content of non-crystalline parts and the void content of the fibers. Table 4 shows the equilibrium moisture content of some natural fibers. The moisture content can affect the mechanical properties and interface bonding [45] . Therefore, lower mechanical properties and weak interface bonding between fiber/matrix are other important problems. To achieve good mechanical and tribological properties and reduce the moisture absorption capability of natural fibers, several techniques have been employed, such as surface treatment, additives, and coatings [36] , [45] , [46]  and [47] .

Table 4. The equilibrium moisture content of different natural fibers at 65% relative humidity (RH) and 21 °C [44] .
Fiber Moisture content (%)
Jute 12
Sisal 11
Coir 10
Bagasse 8.8

Table 5 summarizes different fiber treatments for each type of fiber in order to modify the fiber surface for better properties. Also, the most common methods for reducing moisture absorption capability are alkali treatment and acetylation of natural fibers [48] , [49] , [50] , [51] , [52]  and [53] . For example, SEM micrographs for both untreated and alkali treated jute fibers are shown in Fig. 4 (a) and (b), respectively. The surface of untreated samples shows some trapped foreign substances before chemical treatment while after the treatment, the surface of jute fiber did not show any foreign substances. The removal of surface impurities can make the fiber cleaner and rougher than before. The cleaner and rougher surface is advantageous in jute/PBS adhesion, as it facilitates both mechanical interlocking and the bonding reaction [54] . The influences of fiber treatment on tribological properties of polymer matrix composites were discussed in other section of this review.

Table 5. Chemical treatments used for modification of natural fibers [45] .
Fiber Chemical treatments
Jute Phenol–formaldehyde, malemine–formaldehyde, cardanol–formaldehyde
Sisal NaOH, isocyanate, sodium alginate, N-substituted methacrylamide
Coir Sodium alginate, sodium carbonate


SEM micrographs showing the difference of untreated and treated jute fiber [54].


Fig. 4.

SEM micrographs showing the difference of untreated and treated jute fiber [54] .

2. Tribological properties of PMCs reinforced by natural fibers

Friction and wear are two important tribological phenomena during relative motion of solid surfaces, and they usually tend to dissipate energy and deteriorate materials [55] , [56] , [57] , [58]  and [59] . In general, there are various ways to improve the tribological behavior of neat polymer alloys. The popular method is embedding fibers in polymers to make composites [60] , [61] , [62] , [63] , [64] , [65]  and [66] . Well-known reinforcements for polymers are glass fibers, aramid and carbon fibers which achieve majority of the market in the composites industry. Some studies have been investigated to find the possibility of replacement of natural fibers with conventional reinforcement. For example, the tribological properties of polyester composites reinforced by woven glass reinforced polyester (WGRP) are compared with seed oil palm reinforced polyester (S-OPRP). Fig. 5 shows the variation of friction coefficient and wear rate of polyester composite reinforced by woven glass and seed oil palm at different sliding distance. A tribomachine using block-on-disk (BOD) against stainless steel counterface was carried out in the wear tests. The results revealed that the glass fiber reinforced polymer composites have better COF and wear rate than seed oil palm reinforced polyester composites. However, the seed oil palm reinforced polyester composite reinforced by 35 vol. % of seed oil palm exhibited a promising wear result. Accordingly, the woven glass fibers can be replaced by the seed oil palm fibers in polymeric composites reinforcements. Studies on worn surfaces showed that the wear mechanisms for seed oil palm reinforced polyester composites were micro-cracks, deformation and pulled-out of fibers while abrasive wear was dominant mechanism for the WGRP composites [67] .


Full-size image (56 K)


Fig. 5.

Variation of friction coefficient and specific wear rate with sliding distance [67] .

Few studies have been done on the tribological performance of natural fiber reinforced composite. In this study, an attempt has been made to show the effect of natural fibers on tribological properties of natural fiber reinforced composite, at major parameters responsible for the excessive wear and friction, such as fiber treatment, fiber orientation, volume fraction and test parameters, such as temperature, applied load and speed.

2.1. Jute

Jute is produced from plants of the genus Corchorus , which includes about 100 species. It is one of the cheapest natural fibers and is currently the best fiber with the highest production volume. Jute fibers are available in cheap eco-friendly products with superior drivability and moisture retention capacity. Jute is the most useful material that is commercially available that can be molded into different shapes [17] . The tribological properties of jute fiber reinforced polyester composite have been investigated. Generally, coefficient of friction (COF) is a quantitative number that defines the frictional behavior of materials. During a wear test, the friction values whether it is an average of the entire test or a stable value at the end of the test. COF is a dimensionless scalar value. Wear is a progressive loss of material from one or both mating surfaces during sliding brought about by mechanical and/or chemical processes [68] . Wear rate can be reported by two different methods: (1) weight loss and (2) volume loss. Weight loss is the subtracting final weight from initial weight of the material after a tribotest. The following equation shows the correlation between mass loss and volume loss:

The effect of untreated jute fiber orientation (Fig. 6 ) and volume fraction on friction coefficient and wear rate of these composites were studied. Tests are carried out on specimens of the two composite systems developed, in dry conditions, at low and high energy values (pressure-velocity (PV) product). Two values for PV are chosen, namely, 0.61 MPa m s−1 (low PV) and 1.65 MPa m s−1 (high PV). Wear and friction tests are carried out against steel disk with the hardness of 57 HRC steel plate and the surface roughness of 0.15 µm. Results revealed that the friction coefficient of the composites increases the fiber volume fraction in the composite while the wear rate of composites decreases with increasing the fiber volume fraction in the composite. In addition, composites with normal orientation of fibers against sliding direction have the best wear rate than the parallel and anti-parallel orientations [70] .


Fiber orientations with respect to the sliding direction [69].


Fig. 6.

Fiber orientations with respect to the sliding direction [69] .

Studies showed that treating the jute fiber can aid further improvements in wear rate. Fig. 7 shows the effect of several method of fiber treatment on wear rate of polylactide/jute composites. Pin-on-disk apparatus at sliding speed of 0.418 m/s and a load of 9.8 N applied was employed for abrasive wear tests to investigate the effect of the natural fibers on tribological properties of the biocomposites. Because of lower stiffness and poor interfacial bonding between matrix and fiber for untreated composite, untreated samples showed higher weight loss. Incorporating fiber treatment, it is possible to improve stiffness and interfacial bonding of the fibers with the matrix. Consequently, all treated fibers showed better wear resistance. Among different methods of fiber treatments, Silane 2 treated jute fiber/polylactide composite showed highest wear resistance due to the strong interfacial adhesion. Moreover, the weight loss increased with increasing the sliding distance, which was due to progressive material removal including matrix and fiber with the distance [71] .


Plots between weight loss and sliding distance for untreated and several treated ...


Fig. 7.

Plots between weight loss and sliding distance for untreated and several treated composites [71] .

The effect of different sliding speed (1, 2 and 3 m/s), applied load (10, 20, and 30 N) on coefficient of friction and specific wear rate of neat polypropylene (PP) and jute fabric (JF) reinforced polypropylene composites are depicted in Fig. 8  and Fig. 9 , respectively. Wear tests are performed by using a pin-on-disc tester against a hardened steel disc (62 HRC) and surface roughness of 1.6 µm Ra. An important factor that can affect the tribological properties of composites is the surface temperature due to thermal softening which can cause an increase in wear intensity. The reduction in COF at higher applied load showed that the temperature between the composites and counterface is increased. This may be the likely mechanism behind the reduction in COF values at higher load. Fig. 9 exhibits the variation of wear rate at different applied load and sliding speed for neat polypropylene and woven jute/polypropylene composite. There is an increase in specific wear rate at higher applied load for both neat polypropylene and jute/polypropylene fabricated composites [72] . The jute/pp composite showed poor wear performance at higher sliding speeds.


Full-size image (38 K)


Fig. 8.

Friction coefficient against applied load for (a) neat PP; (b) jute/PP [72] .


Full-size image (36 K)


Fig. 9.

Variation of specific wear rate against applied load for (a) neat PP; (b) jute/PP [72] .

As mechanical properties of natural fibers reinforced composites are not very satisfactory, some research is undergone to make hybrid polymer composites by embedding micron and nano sized particles to improve both mechanical and tribological properties of composites. Table 6 presents a significant increase in mechanical properties of hybrid composites by adding SiC particles into jute/epoxy composites. This modification helped to have better tribological properties [73] . Further, adding SiC or alumina improved wear resistance of jute/epoxy as shown in Fig. 10 . According to ASTM G99 , a pin-on-disc wear test machine was employed to conduct dry sliding wear tests for a constant sliding distance of 1800 m. The maximum weight loss of jute/epoxy is achieved at 50 N normal load and 3 m/s sliding velocity, where the value of weight loss is 21.8 × 10−3  g, while a drastic reduction in wear loss is observed by adding SiC and Al2 O3 as complementary reinforcements to make hybrid polymer composite, where weight loss is 2.9 × 10−3 and 3.3 × 10−3  g in the presence of 15 wt% Al2 O3 and SiC, respectively. With respect to COF, it is evident that COF for jute/epoxy composites is 0.58 at 50 N normal load and a sliding velocity of 3 m/s, while COF is 0.5 and 0.54 for 15 wt% Al2 O3 and SiC, respectively [74] .

Table 6. Mechanical properties of the composites [73] .
Composite Hardness (Hv) Tensile strength (MPa) Flexural strength (MPa)
Epoxy/20 wt% jute 57 302 312
Epoxy/30 wt% jute 59 331 345
Epoxy/40 wt% jute 63 349 368
Epoxy/40 wt% jute/10 wt% SiC 83 304 357
Epoxy/40 wt% jute/20 wt% SiC 86 279 353


Full-size image (70 K)


Fig. 10.

Wear loss and COF versus normal load for constant velocity of 3 m/s: (a) for Al2O3 and (b) for SiC [74] .

Fig. 11  and Fig. 12 exhibit the worn surface of jute/polyester composites in parallel and normal orientation, respectively. Fig. 11 shows fibers cell debonding due to shear on the sliding surface. Besides, micro-pittings are present on the worn surface due to adhesion between pin and counterface. Adhesion tends to transfer part of composite on counterface and then pits are formed. In some region, brittle polyester resin has detached due to high pressure and the plastic deformation and then debris are created. Some of the debris has filled the pits. Similar to composites with parallel orientation, pits are formed on contact film, which is visible in the Fig. 12 . Additionally, during the wear test, frictional heat in contact surface elevates. It causes partial softening of the material built on a thin transfer film. Some micro-cracks are present on the worn surface due to combination of effect of applied force and thermal mismatching between fiber and resin in the composite, which is clearly visible in the worn microstructures. The important wear mechanism for composites with normal orientation is micro-cracks [75] .


The SEM micrographs of worn surface of parallel orientation sample under sliding ...


Fig. 11.

The SEM micrographs of worn surface of parallel orientation sample under sliding mode [75] .


The SEM micrographs of worn surface of normal orientation sample under sliding ...


Fig. 12.

The SEM micrographs of worn surface of normal orientation sample under sliding mode [75] .

2.2. Kenaf

Kenaf belongs to the genus Hibiscus and there are about 300 species. Kenaf is a new crop in the United States and shows a good potential as a raw material for usage in composite products. Latest advances in decortications equipment which separates the core from the bast fiber combined with fiber shortages have renewed the interest in kenaf as a fiber source [17] . Studies showed that embedding kenaf as reinforcement can reduce the wear rate of polymer composites. As shown in Fig. 13 , regardless of fiber orientation, kenaf is able to improve tribological properties of epoxy where composites reinforced by kenaf with parallel, anti-parallel, and normal orientation show better tribological properties. In addition, among different orientation for fibers, kenaf fibers decrease the wear rate of the epoxy more when the fibers' orientation is normal [69] . Another research investigated the effect of kenaf on epoxy under wet condition. Fig. 14 exhibits the variation of wear rate at different applied loads and different fiber orientations. Wear experiments was conducted with Block-On-Disk (BOD) machine against AISI 304 stainless steel with 1250 HB hardness and surface roughness of 0.1 µm under wet condition. Results revealed that the wear rate is high at 50 N applied load, and subsequently it reduced at higher applied loads. Besides, the orientation of fibers greatly influences the wear behavior of the composites where normal orientation shows the lowest wear rate in comparison with neat epoxy and other fiber orientations, due to the fact that the ends of the fibers are exposed to the sliding counterface. Therefore, pulling out or detachment of fibers from the matrix is almost difficult and it tends to reduce wear rate [76] .


Full-size image (41 K)


Fig. 13.

Specific wear rate versus applied load and sliding velocity after 3.36 km sliding distance at 2.8 m/s sliding velocity for neat epoxy (NE) and kenaf fibers reinforced epoxy composite (in three different orientations as Parallel, Anti-Parallel and Normal Orientation) [69] .


Specific wear rate results of the epoxy composites at different operating ...


Fig. 14.

Specific wear rate results of the epoxy composites at different operating parameters [76] .

The worn surface of the kenaf fibers reinforced epoxy (KFRE) composite and neat epoxy (NE) at different operating parameters are shown in Fig. 15 . At 50 N applied load and 2.8 m/s sliding velocity, the worn surface of KFRE composite in normal orientation illustrates some deformed and softened regions (Fig. 15a ). The fiber ends are present on worn surface that shows a good bonding between fiber and matrix and no pull-out. The cross-section of the fibers is covered with an epoxy layer generated by either back-transfer film or debris transformation from the resinous regions which in turn reduces the material removal from the composite surface leading to lower specific wear rate. On the other hand, debonding occurred at higher applied load (70 N), as shown in Fig. 15b . High thermo-mechanical is the main reason for debonding which deteriorated the interfacial between the fibers and the matrix. Therefore, deformation at the end fibers was observed, but still there is no sign of pull-out of fibers. As observed in Fig. 15c , micro-cracks were generated on the worn surface at very high applied load (100 N). Micro-cracks were propagated due to the high side force. Micro-cracks cause failure of materials and increase the wear rate at higher applied load. It can be concluded that micro-cracks are predominated wear mechanisms at severe conditions (higher load and/or velocity) [69] .


Worn surface of the KFRE composite tested in N-O at different operating ...


Fig. 15.

Worn surface of the KFRE composite tested in N-O at different operating parameters: (a) at 50 N applied load and 2.8 m/s sliding velocity for 3.36 km sliding distance; (b) at 70 N applied load and 2.8 m/s sliding velocity for 3.36 km sliding distance; (c) at 100 N applied load and 3.9 m/s sliding velocity for 3.36 km sliding distance; (d) at 70 N applied load and 3.9 m/s sliding velocity for 3.36 km sliding distance [69] .

2.3. Sisal

Sisal fiber (SF) is extracted from the leaves of the Agave sisalana plants, which are commercially produced in Brazil and East Africa. During the past decade, sisal fibers have been gradually utilized as an economical and environmentally friendly reinforcement material for green polymer composites. However, some disadvantages including the high moisture absorption, poor wettability, adhesion to the matrix, and the low thermal stability during processing limit the practical utility of sisal fiber reinforced composites [77] . Tribological properties of phenol formaldehyde composites at different volume fraction of sisal fiber were investigated at high temperatures. Fig. 16 shows the effect of different fiber contents on the coefficient of friction and the wear rate of sisal fiber/phenol formaldehyde composites, where the friction coefficient shows different trends at different temperature. Pin-on-disk apparatus was employed to investigate tribological properties against cast iron (HT250) with a hardness of 210 HB at normal load of 0.98 MPa and sliding speed of 480 r min−1 for temperature range of 100–300 °C. At 300 °C, maximum friction coefficient appeared when the content of sisal fiber was 15 wt%, and by adding more sisal fibers, the COF decreases. The wear rate significantly increased at higher temperatures. The unattached fibers on the worn surface of composites bear the majority of the friction loads. At higher amount of fiber content, defects probably formed in the composites due to the worse dispersion of fibers in the matrix [77] . In addition, the effect of sisal fiber for other polymer matrices, such as polyester, was investigated. Fig. 17 shows the variation of wear rate with sisal fiber content at different temperatures. The wear test was conducted against cast iron disk (210 HB) at normal load of 0.98 MPa and sliding speed of 480 rpm. There is no significant influence of sisal fiber on wear rate at 100 and 150 °C; the sisal fiber has a slight influence while the wear rate significantly reduced 55.6%–64.4% at 200 °C in the presence of sisal fiber. Hence, the friction and wear properties of polyester composite are significantly improved at high temperatures (300 °C) due to smooth and flat worn surface without clear pits and stripping off of fibers for sisal/polyester composite rather than pure polyester [78] .


The influence of sisal fiber content on (a) friction coefficient and (b) wear ...


Fig. 16.

The influence of sisal fiber content on (a) friction coefficient and (b) wear rate of the fiber composites [77] .


Effects of SFCM content on the volume wear rate of SFCM/UP composites [78].


Fig. 17.

Effects of SFCM content on the volume wear rate of SFCM/UP composites [78] .

Another important factor that can affect tribological properties of sisal reinforced composites is the orientation of natural fiber in the composite. Fig. 18 shows the variation in wear rate with load for different sisal orientations reinforced polysulfide-modified epoxy (PSEP). The wear tests were conducted for a constant sliding speed of 2.56 m/min and different normal loads of 1, 3, 5, and 7 N. Results revealed that the addition of sisal fiber regardless of orientation of fibers can improve the tribological properties of epoxy. In addition, the specific wear rate decreases with increasing the applied load, for all composites. The best orientation of sisal fibers to have the best tribological properties is when the fibers are normally aligned to the sliding direction [79] (Fig. 19 ).


Specific wear rate of sisal/polysulfide-modified epoxy composite [79].


Fig. 18.

Specific wear rate of sisal/polysulfide-modified epoxy composite [79] .


SEM photographs of worn surface of different composites: (a) worn surface of ...


Fig. 19.

SEM photographs of worn surface of different composites: (a) worn surface of epoxy sample at 7 N load; (b) magnified view of worn surface of epoxy sample at 7 N load; (c) worn surface of longitudinal fiber direction sample at 7 N load; (d) magnified view of worn surface of longitudinal fiber direction sample at 7 N load; (e) worn surface of normal orientation sample at 7 N load showing interface filled by fine debris; (f) magnified view of worn surface of normal orientation sample at 7 N load [79] .

The worn surface of the unreinforced epoxy sample where fragmentation, microcutting, and microploughing of epoxy matrix was observed is shown in Fig. 20a and 20b , and is a testimony for poor abrasive wear resistance. At higher magnification, debris of brittle fragmented matrix is present on the wear tracks. In parallel orientation samples, delamination on fiber surface and matrix occurred by hard asperities and then debris were formed from composite surface. By comparing Fig. 20 (a,b) and Fig. 20 (c,d), it is obvious that less amount of debris were formed on the worn surface of composites, and it can be concluded that natural fibers are effective to improve tribological properties. Therefore, dominated wear mechanisms are delamination of fiber and microploughing. The remaining attached fiber got fibrillated, which is visible on the worn surfaces along with wear debris as shown in Fig. 20c . A magnified view of worn surface of the parallel orientation sample shows the long fibrils in Fig. 20d . Fig. 20e and Fig. 20f show the worn surface of composites with normal orientation. Fig. 20e exhibits the unworn surface, and it can be concluded that the composite with normal orientation has lower wear rate. At higher magnification (Fig. 20f ), it is obvious that fine abraded debris fill interface gaps, which formed during wear test [79] (Fig. 19 ).


Wear volumes of (a) untreated, (b) alkali treated, and (c) silane treated ...


Fig. 20.

Wear volumes of (a) untreated, (b) alkali treated, and (c) silane treated composites for different abrading distances [80] .

2.4. Coir

Coir husk fibers are located between the husk and the outer shell of the coconut. As a by-product of the production of other coconut products, coir production is largely determined by demand. Abundant quantities of coconut husk imply that for a given availability of labor and other inputs, coir producers can relatively adjust rapidly to market conditions and prices [17] . As mentioned earlier, good bonding between the matrix and natural fiber can help in protecting the rubbing surface from being worn. The method of modifying the interfacial bonding is fiber treatment in order to enhance better tribological properties [81] . Fig. 20 shows the effect of volume fraction and fiber treatment on wear volume of coir/polyester composites. The test was carried out at a rotation speed of 200 rpm and load of 33N for sliding distance of 500 m. Regardless of fiber treatments, the results showed that addition of 1 wt% of coir fibers can improve wear resistance of composites. Adding more weight percentage of coir fiber resulted in negative effects on wear rate of polymer composites. Moreover, for all weight percentage of coir fibers, the treated fiber reinforced composites showed better wear resistance due to improvement in interfacial bonding between the polymer chains and the coir fibers. Among two different treatments, lowest wear volume was noted in silane treated composites [80] . Another study showed the effect of chemical treatment on tribo-performance of coir fiber reinforced polyester (CFRP) composite. The variation of friction coefficient and wear rates with sliding distance is shown in Fig. 21 for coir fiber reinforced polyester composites with alkaline and bleaching treatment methods. As expected, treated coir fiber reinforced polyester composites showed lower friction and wear due to a good interfacial adhesion bonding of the coir fibers with the polyester matrix. Among these two treatment methods, alkaline treatment is more effective where coir fiber reinforced polyester composites showed low friction and better wear resistance compared to the bleached treated and untreated coir fiber reinforced polyester composites [82] .


Variation of friction coefficient and wear rates with sliding distance for coir ...


Fig. 21.

Variation of friction coefficient and wear rates with sliding distance for coir fiber reinforced polyester composite with different chemical treatments [82] .

2.5. Rice husk

Rice husk (RH) is produced as agricultural waste in huge quantities. Rice husk is the outer covering which surrounds the paddy grain and accounts for 20%–25% of its weight. It is removed during rice milling. During milling of paddy about 20% of the weight of paddy is received as husk [83] . Tribological properties of rice husk reinforced epoxy composite have been studied. Fig. 22 shows the variation of the specific wear rate of the composite with different fiber content at different sliding distance. A pin-on-disc tribomachine was employed at 1.57 m/s sliding speed and 10 N normal load to study the effect of rice husk on tribological behavior. Results revealed that embedding rice husk can improve the tribological properties by reducing the wear rate for all weight percentage of rice husk. In addition, there is an optimum weight percentage for rice husk content where the wear rate is minimum. The optimum point is 10%. Consequently, increasing the amount of fibers more than 10% has a reverse effect on wear rate and tends to increase in wear rate [83] . The tribological properties of brake pads by using rice straw (RS) and rise husk dust have been investigated. As shown in Table 7 the tribological properties were significantly improved by the addition of rice straw and rice husk dust in the composites and it was concluded that these composites can be effectively used in brake pad formulations [84] .


Variation of specific wear rate with sliding distance for untreated rice husk ...


Fig. 22.

Variation of specific wear rate with sliding distance for untreated rice husk (UTRH) [83] .

Table 7. Tribological properties of RS and RH based composite materials [84] .
Samples COF Wear rate (mg mm−2 )
RS4 0.315 0.853
RS20 0.347 1.214
RH4 0.341 0.964
RH20 0.381 1.041

2.6. Date and oil palm

The date palm tree, a member of the palm tree family (Phoenix dactylifera ), is normally found in the Middle East, Northern Africa, the Canary Islands, Pakistan, India, and in the United States (California). The palm tree stem is covered with a mesh made of single fiber. Usually, these fibers create a natural woven mat of crossed fibers of different diameters. The possibility of finding use for date palm leaves (DPL) fiber in fiber composite opened a new market for normally considered waste or used in low products [85] . The effects of date palm leaf as reinforcement on polyvinylpyrrolidone polymer matrix composite have been investigated. Fig. 23 exhibits the effect of volume fraction of DPL on the specific wear rate of polyvinylpyrrolidone/date palm leaves composite at different sliding speeds. A pin-on-disc (POD) wear testing machine against a rotating EN 31 Steel disc (polished with paper of 400 grade, grit size ≈ 23 ??m) was used for total sliding distance of 376 m. It was observed that the wear rate decreases by increasing the weight percentage of date palm leaves up to 26 wt% of date palm leaves fiber. The minimum value of wear rate was observed when 26 wt% of date palm leaves fiber was embedded into the matrix and thereafter, the wear rate increases with increasing the date palm leaves' content. In addition, the optimum value of weight percentage of date palm leaves to have a minimum value of COF was found to be 26 wt% (Fig. 23 ). This can be attributed to the proper combination of various properties including tensile properties, hardness, toughness, and above all the fiber-matrix adhesion. However, at higher fiber contents, above the 26 wt%, internal slippage of chain molecules was increased that led to lower wear resistance and consequently, increased weight loss at higher fiber contents. The variation of COF and weight loss with normal load at different sliding speeds are presented in Fig. 24  and Fig. 25 . It can be observed that the friction coefficient decreased with increasing applied load and the weight loss of the composites increased as the applied load increased for all sliding speeds for both the neat polyvinylpyrrolidone and its composites. At higher normal load, temperature at the contact surface between composites and counterface is also increased, and it caused micromelting and mechanical deterioration. Thus, the friction coefficient decreased. Higher weight loss at higher load is due to the deeper grooving and more material removal from the sample with increasing load [86] .


Comparison of specific wear rate with fiber loading [86].


Fig. 23.

Comparison of specific wear rate with fiber loading [86] .


Effect of friction coefficient on variations of load of PVP/DPL composite at (a) ...


Fig. 24.

Effect of friction coefficient on variations of load of PVP/DPL composite at (a) 0.392 m/s, (b) 0.471 m/s, and (c) 0.549 m/s [86] .


Effect of weight loss with load of PVP/DPL composite at (a) 0.392 m/s, (b) ...


Fig. 25.

Effect of weight loss with load of PVP/DPL composite at (a) 0.392 m/s, (b) 0.471 m/s, and (c) 0.549 m/s [86] .

The effect of oil palm fiber on the tribological properties of polyester composite (OPRP) and neat polyester (NP) was studied. The variation in specific wear rate and friction coefficient with sliding distance for polyester composite and neat polyester is shown in Fig. 26  and Fig. 27 , respectively. Dry sliding tests were conducted at ambient condition for various sliding distances (0–5 km), sliding velocities (1.7, 2.8, and 3.9 m/s), and applied loads (30, 50, 70, and 100 N). It was found that the presence of oil palm fiber in the polyester enhanced the wear property by about three to four times compared to neat polyester. In addition, the friction coefficient of polyester composite was less by about 23% than that of the neat polyester [87] .


Specific wear rate with sliding distance at different applied loads for (a) ...


Fig. 26.

Specific wear rate with sliding distance at different applied loads for (a) polyester composite (OPRP) and (b) neat polyester [87] .


Averages of friction coefficient with applied load for polyester composite ...


Fig. 27.

Averages of friction coefficient with applied load for polyester composite (OPRP) and neat polyester [87] .

The effect of solid lubricant on tribological properties of date palm leaves/epoxy have been investigated and is shown in Fig. 28 . Dry block-on-ring wear tests were carried out in ambient conditions (temperature: 25 °C and humidity: 50 ± 5) against AISI 304 stainless steel (hardness = 1250 HB and Ra  = 0.1 µm) counterface for 7.56 km sliding distance, and 2.8 m/s sliding speed at applied load of 50 N. It is evident that addition of reinforcements helped to decrease the friction coefficient of the epoxy. In addition, embedding 3 wt% graphite as solid lubricant caused reduction in the friction coefficient significantly when compared to date palm leaves/epoxy composites where the graphite/date palm leaves/epoxy has 10% lower COF than epoxy while date palm leaves/epoxy showed 7% reduction in COF [88] .


(a) Variation of coefficient of friction with sliding load of different epoxy ...


Fig. 28.

(a) Variation of coefficient of friction with sliding load of different epoxy composites based on graphite and date palm fiber; (b) Reduction in COF at the steady state of different epoxy composites based on graphite and date palm fiber at 70 N km sliding load using BOR technique. (NE = neat epoxy, GE = epoxy/3%graphite, FE = epoxy/35% date palm and GFE = epoxy/35% date palm/3%graphite) [88] .

2.7. Sugarcane

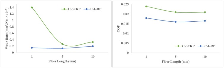
Sugarcane is a Poaceae, commonly cultivated in tropical areas that it is the fibrous residue which remains after sugarcane stalks are crushed to extract their juice. Due to the low economic value of sugarcane bagasse, most of it is utilized mainly like fuel in order to produce energy, contributing to the greenhouse effect. Recently, studies have reported the use of sugarcane bagasse fibers as filler in thermoplastic composite [17] . The wear rate and friction coefficient of chopped sugarcane fiber reinforced polyester (C-SCRP) is compared with chopped glass fiber reinforced polyester (C-GRP) composites at different fiber length. The variation of wear rate and friction coefficient of composites is shown in Fig. 29 . Dry sliding tests were conducted at ambient conditions of temperature and humidity against stainless steel disc with surface roughness of 0.06 µm for sliding velocity 2.5 m/s and 1800 s. Results revealed that the wear rate of composites reinforced by sugarcane fiber is better than those reinforced by glass fiber while the composite reinforced by glass fibers showed better coefficient of friction but the results are close together for both composites. Therefore, polymer composite reinforced by sugarcane is a promising composite which can be substituted for glass fiber polymer composites. In addition, increasing the length of fibers lead to improve tribological properties of polymer matrix composites reinforced by fibers. The variation of friction coefficient and wear resistance of composite at different applied loads and fiber lengths is presented in Fig. 30 . C-SCRP composite showed the same trends of the friction coefficient for all fiber lengths tested (1, 5 and 10 mm) where slight increase in friction and then decreases in friction with increasing load were observed. Because of mechanical interlocking at the interface, there is an initial increase in the friction coefficient [89] .


Wear rate and friction coefficient of C-SCRP and C-GRP composites [89].


Fig. 29.

Wear rate and friction coefficient of C-SCRP and C-GRP composites [89] .


Friction coefficient and wear resistance of composites with load for different ...


Fig. 30.

Friction coefficient and wear resistance of composites with load for different fiber lengths (1, 5 and 10 mm) tested under different loads (20–80 N), 2.5 m/s, and 2.25 km sliding distance [89] .

Tribological behavior of unidirectional sugarcane/polyester (U-SCRP) and chopped strand mat of glass fiber reinforced polyester (CSM-GRP) composites at different load tested along two different orientations at 2.5 m/s sliding speed for 2.25 km sliding distance. For unidirectional sugarcane/polyester (U-SCRP) composite in anti-parallel orientation (AP-O) at 60 N load, the matrix support the fibers and carry out the most part of load without any fracture as evidenced in Fig. 31a . This figure also shows how well the fibers were bonded to the polyester. On the other hand, the chopped strand mat of glass fiber reinforced polyester (CSM-GRP) composite in anti-parallel orientation (AP-O), the fibers breakage and pull out happened and they were able to provide micro-plowing as a dominating wear mechanism (Fig. 31b ). By comparing Fig. 31a and Fig. 31b , more surface damage and deterioration of both fibers and matrix was pronounced for CSM-GRP composite. It is also evident from Fig. 31c and d that debonding between fibers and matrix and also pulling out fiber for CSM-GRP composite in parallel orientation (P-O) was the main dominant wear mechanism [89] .


SEM micrographs showing how the SCF and GF reacted during the sliding wear ...


Fig. 31.

SEM micrographs showing how the SCF and GF reacted during the sliding wear process (2.25 km): (a) SCFs well attached to the matrix (U-SCRP in AP-O); (b) GFs break and pulled out from the surface (CSM-GRP in AP-O); (c) less extent of damage for SCFs and matrix (U-SCRP in P-O); and (d) severe damage for GFs and matrix (CSM-GRP in P-O) [89] .

2.8. Bio-waste

Effects of different bio-waste on the tribological properties of polymer composites have been studied. Well-known bio-waste reinforcement is agricultural waste, such as coconut and wood apple shell due to their good mechanical strength and thermal stability when compared to other agricultural waste to manufacture biodegradable polymer composites. The effect of wood apple and coconut as bio-waste reinforcement on wear is shown in Fig. 32 . It is clearly seen that the bio-wastes can decrease the wear rate of polymer composites rather than neat epoxy. Additionally, composites reinforced by wood apple showed the lowest erosion wear than that of the coconut composites [90] .


Comparisons between wear behavior of 10 wt% wood apple and coconut shell filler ...


Fig. 32.

Comparisons between wear behavior of 10 wt% wood apple and coconut shell filler composite at impact velocity 48 m/s [90] .

3. Conclusions

Natural fiber reinforced polymer composites are attractive and demanding materials to replace conventional materials in order to solve critical environmental problems. As demands for utilization of bio-degradable materials increase due to environmental concerns and government regulations, several industries attempt to replace the conventional materials in automobiles with biodegradable materials where friction and wear are important. This paper reviews the tribological behavior of key natural fiber reinforced polymer composites, such as jute, kenaf, sisal, coir, rice husk, date and oil palm, sugarcane, and bio-waste products. Results show that natural fibers play an important role on the effect of tribological properties. Hence, these “green” composites can find several industrial applications where the tribological concern is more important due to enhanced tribological properties. Effects of fiber treatment, fiber orientation and fiber volume fraction, at various loads and temperatures, on tribological properties of polymer matrix composites reinforced by natural fibers are discussed in this review. In addition, fiber treatments are a very important factor to manufacture polymer composites because it can improve the tribological properties to a great extent by making good interfacial bonding between fibers and matrix. This means that the intersurface plays a dominant role in tribological properties. Also, orientations of fibers are one of the factors that can affect wear and friction behavior where the best orientation to have the greatest tribological properties is normal orientation of fibers against sliding direction. The effect of volume fraction of fibers and applied load can vary friction and wear performance according to the type of natural fibers and matrix selection. Generally, the wear rate increases by increasing the applied load.

References

  1. [1] V.K. Thakur, M.K. Thakur, R.K. Gupta; Review: raw natural fiber-based polymer composites; Int. J. Polym. Anal. Charact, 19 (2014), pp. 256–271
  2. [2] H. Ku, H. Wang, N. Pattarachaiyakoop, M. Trada; A review on the tensile properties of natural fiber reinforced polymer composites; Compos. Part B Eng, 42 (2011), pp. 856–873
  3. [3] B. Barari, T. Ellingham, I. Qamhia, K. Pillai, R. El-Hajjar, L.-S. Turng, et al.; Mechanical characterization of scalable cellulose nano-fiber based composites made using liquid composite molding process; Compos. Part B Eng (2015) http://dx.doi.org/10.1016/j.compositesb.2015.08.040
  4. [4] C. Unterweger, O. Brüggemann, C. Fürst; Synthetic fibers and thermoplastic short-fiber-reinforced polymers: properties and characterization; Polym. Compos, 35 (2014), pp. 227–236
  5. [5] T. Santos, G. Vasconcelos, W. de Souza, M. Costa, E. Botelho; Suitability of carbon fiber-reinforced polymers as power cable cores: Galvanic corrosion and thermal stability evaluation; Mater. Design, 65 (2015), pp. 780–788
  6. [6] X.-Q. Pei, R. Bennewitz, A.K. Schlarb; Mechanisms of friction and wear reduction by carbon fiber reinforcement of PEEK; Tribol. Lett, 58 (2015), pp. 1–10
  7. [7] S. Bahadur, Y. Zheng; Mechanical and tribological behavior of polyester reinforced with short glass fibers; Wear, 137 (1990), pp. 251–266
  8. [8] S. Zhang; State-of-the-art of polymer tribology; Tribol. Int, 31 (1998), pp. 49–60
  9. [9] K. Friedrich, Z. Zhang, A.K. Schlarb; Effects of various fillers on the sliding wear of polymer composites; Compos. Sci. Technol, 65 (2005), pp. 2329–2343
  10. [10] D.L. Burris, B. Boesl, G.R. Bourne, W.G. Sawyer; Polymeric nanocomposites for tribological applications; Macromol. Mater. Eng, 292 (2007), pp. 387–402
  11. [11] Y. Zhang, S. Zhu, Y. Liu, B. Yang, X. Wang; The mechanical and tribological properties of nitric acid-treated carbon fiber-reinforced polyoxymethylene composites; J. Appl. Polym. Sci, 132 (2015)
  12. [12] V. Dhand, G. Mittal, K.Y. Rhee, S.-J. Park, D. Hui; A short review on basalt fiber reinforced polymer composites; Compos. Part B Eng, 73 (2015), pp. 166–180
  13. [13] E. Omrani, B. Barari, A. Dorri Moghadam, P.K. Rohatgi, K.M. Pillai; Mechanical and tribological properties of self-lubricating bio-based carbon-fabric epoxy composites made using liquid composite molding; Tribol. Int, 92 (2015), pp. 222–232 http://dx.doi.org/10.1016/j.triboint.2015.06.007
  14. [14] I. Avdeev, M. Gilaki; Structural analysis and experimental characterization of cylindrical lithium-ion battery cells subject to lateral impact; J. Power Sources, 271 (2014), pp. 382–391
  15. [15] P. Yang, S.S. Shams, A. Slay, B. Brokate, R. Elhajjar; Evaluation of temperature effects on low velocity impact damage in composite sandwich panels with polymeric foam cores; Compos. Struct, 129 (2015), pp. 213–223
  16. [16] P.L. Menezes, S.V. Kailas, M.R. Lovell; Friction and transfer layer formation in polymer–steel tribo-system: role of surface texture and roughness parameters; Wear, 271 (2011), pp. 2213–2221
  17. [17] O. Faruk, A.K. Bledzki, H.-P. Fink, M. Sain; Biocomposites reinforced with natural fibers: 2000–2010; Prog. Polym. Sci, 37 (2012), pp. 1552–1596
  18. [18] I.I. Qamhia, S.S. Shams, R.F. El-Hajjar; Quasi-isotropic triaxially braided cellulose-reinforced composites; Mech. Adv. Mater. Struct, 22 (2015), pp. 988–995
  19. [19] F. Arrakhiz, M. El Achaby, M. Malha, M. Bensalah, O. Fassi-Fehri, R. Bouhfid, et al.; Mechanical and thermal properties of natural fibers reinforced polymer composites: doum/low density polyethylene; Mater. Design, 43 (2013), pp. 200–205
  20. [20] V.K. Thakur, M.K. Thakur; Processing and characterization of natural cellulose fibers/thermoset polymer composites; Carbohydr. Poly, 109 (2014), pp. 102–117
  21. [21] A. Elkhaoulani, F. Arrakhiz, K. Benmoussa, R. Bouhfid, A. Qaiss; Mechanical and thermal properties of polymer composite based on natural fibers: Moroccan hemp fibers/polypropylene; Mater. Design, 49 (2013), pp. 203–208
  22. [22] P.L. Menezes, P.K. Rohatgi, M.R. Lovell; Tribology of Natural Fiber Reinforced Polymer Composites; ASME/STLE 2011 International Joint Tribology Conference, American Society of Mechanical Engineers  (2011), pp. 341–343
  23. [23] H. van Tilborg; Why natural fibres?; http://naturalfibres2009.org/en/iynf/index.html (2009)
  24. [24] Z. Azwa, B. Yousif, A. Manalo, W. Karunasena; A review on the degradability of polymeric composites based on natural fibres; Mater. Design, 47 (2013), pp. 424–442
  25. [25] T. Fakhrul, M. Islam; Degradation behavior of natural fiber reinforced polymer matrix composites; Procedia Engineering, 56 (2013), pp. 795–800
  26. [26] P.L. Menezes, P.K. Rohatgi, M.R. Lovell; Studies on the tribological behavior of natural fiber reinforced polymer composite; Green Tribology, Springer (2012), pp. 329–345
  27. [27] D.B. Dittenber, H.V. GangaRao; Critical review of recent publications on use of natural composites in infrastructure; Compos. Part A Appl. Sci. Manuf, 43 (2012), pp. 1419–1429
  28. [28] W. Brouwer; Natural fibre composites: where can flax compete with glass?; Sampe J., 36 (2000), pp. 18–23
  29. [29] H. Dhakal, Z. Zhang, R. Guthrie, J. MacMullen, N. Bennett; Development of flax/carbon fibre hybrid composites for enhanced properties; Carbohydr. Poly, 96 (2013), pp. 1–8
  30. [30] V.K. Thakur, A.S. Singha, I.K. Mehta; Renewable resource-based green polymer composites: analysis and characterization; Int. J. Polym. Anal. Charact, 15 (2010), pp. 137–146
  31. [31] C. Alves, P. Ferrão, A. Silva, L. Reis, M. Freitas, L. Rodrigues, et al.; Ecodesign of automotive components making use of natural jute fiber composites; J. Clean. Prod, 18 (2010), pp. 313–327
  32. [32] M.J. John, S. Thomas; Biofibres and biocomposites; Carbohydr. Poly, 71 (2008), pp. 343–364
  33. [33] K. Hill, B. Swiecki, J. Cregger; The bio-based materials automotive value chain; Center for Automotive Research, 112  (2012)
  34. [34] G. Cristaldi, A. Latteri, G. Recca, G. Cicala; Composites based on natural fibre fabrics; Woven Fabric Engineering (2010), pp. 317–342
  35. [35] G. Koronis, A. Silva, M. Fontul; Green composites: a review of adequate materials for automotive applications; Compos. Part B Eng, 44 (2013), pp. 120–127
  36. [36] F. Ahmad, H.S. Choi, M.K. Park; A review: natural fiber composites selection in view of mechanical, light weight, and economic properties; Macromol. Mater. Eng, 300 (2015), pp. 10–24
  37. [37] M.S. Huda, L.T. Drzal, A.K. Mohanty, M. Misra; Chopped glass and recycled newspaper as reinforcement fibers in injection molded poly (lactic acid)(PLA) composites: a comparative study; Compos. Sci. Technol, 66 (2006), pp. 1813–1824
  38. [38] J. Summerscales, N.P. Dissanayake, A.S. Virk, W. Hall; A review of bast fibres and their composites. Part 1–Fibres as reinforcements; Compos. Part A Appl. Sci. Manuf, 41 (2010), pp. 1329–1335
  39. [39] R.M. Rowell, A.R. Sanadi, D.F. Caulfield, R.E. Jacobson; Utilization of natural fibers in plastic composites: problems and opportunities; Lignocellulosic-plastic Composites (1997), pp. 23–51
  40. [40] E. Roumeli, Z. Terzopoulou, E. Pavlidou, K. Chrissafis, E. Papadopoulou, E. Athanasiadou, et al.; Effect of maleic anhydride on the mechanical and thermal properties of hemp/high-density polyethylene green composites; J. Therm. Anal. Calorim, 121 (1) (2015), pp. 93–105
  41. [41] P. Russo, G. Simeoli, D. Acierno, V. Lopresto; Mechanical properties of virgin and recycled polyolefin-based composite laminates reinforced with jute fabric; Polym. Compos, 36 (11) (2015), pp. 2022–2029
  42. [42] A.N. Oumer, D. Bachtiar; Modeling and experimental validation of tensile properties of sugar palm fiber reinforced high impact polystyrene composites; Fiber Polym, 15 (2014), pp. 334–339
  43. [43] A.P. Irawan, I.W. Sukania; Tensile strength of banana fiber reinforced epoxy composites materials; Appl. Mech. Mater (2015), pp. 260–263 Trans Tech Publ
  44. [44] R. Ell; Natural fibres: types and properties; Properties and Performance of Natural-Fibre Composites (2008), p. 1
  45. [45] D.N. Saheb, J. Jog; Natural fiber polymer composites: a review; Adv. Polym. Tech, 18 (1999), pp. 351–363
  46. [46] J. Riccieri, L.H. De Carvalho, A. Vazquez; Interfacial properties and initial step of the water sorption in unidirectional unsaturated polyester/vegetable fiber composites; Polym. Compos, 20 (1999), p. 29
  47. [47] N. Lou, A. Netravali; Mechanical and thermal properties of environment friendly “green” composites made from pineapple leaf fibres and poly (hydroxyl butyrate-co-valerate) resin; Polym. Compos, 20 (1999), pp. 367–378
  48. [48] X. Li, L.G. Tabil, S. Panigrahi; Chemical treatments of natural fiber for use in natural fiber-reinforced composites: a review; J. Polym. Environ, 15 (2007), pp. 25–33
  49. [49] M.J. John, R.D. Anandjiwala; Recent developments in chemical modification and characterization of natural fiber-reinforced composites; Polym. Compos, 29 (2008), p. 187
  50. [50] S. Kalyanasundaram, S. Jayabal; The effect of fiber treatment on the mechanical properties of Christmas palm fiber-polyester composites; Appl. Mech. Mater, 467 (2013), p. 208
  51. [51] M.Z. Rong, M.Q. Zhang, Y. Liu, G.C. Yang, H.M. Zeng; The effect of fiber treatment on the mechanical properties of unidirectional sisal-reinforced epoxy composites; Compos. Sci. Technol, 61 (2001), pp. 1437–1447
  52. [52] H.A. Khalil, A. Bhat, A.I. Yusra; Green composites from sustainable cellulose nanofibrils: a review; Carbohydr. Poly, 87 (2012), pp. 963–979
  53. [53] H. Ishikawa, H. Takagi, A.N. Nakagaito, M. Yasuzawa, H. Genta, H. Saito; Effect of surface treatments on the mechanical properties of natural fiber textile composites made by VaRTM method; Compos. Interface, 21 (2014), pp. 329–336
  54. [54] L. Liu, J. Yu, L. Cheng, W. Qu; Mechanical properties of poly (butylene succinate)(PBS) biocomposites reinforced with surface modified jute fibre; Compos. Part A Appl. Sci. Manuf, 40 (2009), pp. 669–674
  55. [55] A.D. Moghadam, E. Omrani, P.L. Menezes, P.K. Rohatgi; Mechanical and tribological properties of self-lubricating metal matrix nanocomposites reinforced by carbon nanotubes (CNTs) and graphene–a review; Compos. Part B Eng, 77 (2015), pp. 402–420
  56. [56] E. Omrani, A.D. Moghadam, P.L. Menezes, P.K. Rohatgi; Influences of graphite reinforcement on the tribological properties of self-lubricating aluminum matrix composites for green tribology, sustainability, and energy efficiency – a review; Int. J. Adv. Manuf. Technol (2015), pp. 1–22 http://dx.doi.org/10.1007/s00170-015-7528-x
  57. [57] A.D. Moghadam, B.F. Schultz, J. Ferguson, E. Omrani, P.K. Rohatgi, N. Gupta; Functional metal matrix composites: self-lubricating, self-healing, and nanocomposites – an outlook; JOM, 66 (2014), pp. 872–881
  58. [58] M. Tabandeh-Khorshid, E. Omrani, P.L. Menezes, P.K. Rohatgi; Tribological performance of self-lubricating aluminum matrix nanocomposites: role of graphene nanoplatelets; Eng. Sci. Technol (2015) http://dx.doi.org/10.1016/j.jestch.2015.09.005
  59. [59] P.K. Rohatgi, M. Tabandeh-Khorshid, E. Omrani, M.R. Lovell, P.L. Menezes; Tribology of metal matrix composites; Tribology for Scientists and Engineers, Springer (2013), pp. 233–268
  60. [60] H. Unal, T. Saylan, A. Mimaroglu; Thermal, mechanical and tribological performance of polymer composites rubbed against polymer composites in application in electrical contact breakers; Proc. Inst. Mech. Eng. Part J J. Eng. Tribol, 228 (2014), pp. 608–615
  61. [61] X. Zhang, X. Pei, Q. Wang, T. Wang; Friction and wear of potassium titanate whisker filled carbon fabric/phenolic polymer composites; J. Tribol, 137 (2015), p. 011605
  62. [62] M. Lv, F. Zheng, Q. Wang, T. Wang, Y. Liang; Friction and wear behaviors of carbon and aramid fibers reinforced polyimide composites in simulated space environment; Tribol. Int, 92 (2015), pp. 246–254
  63. [63] M. Sanjay, G. Arpitha, B. Yogesha; Study on mechanical properties of natural-glass fibre reinforced polymer hybrid composites: a review; Mater. Today, 2 (2015), pp. 2959–2967
  64. [64] A. Alavudeen; Studies on the mechanical properties and wear behavior of banana/kenaf fiber reinforced polyester hybrid composites; (2014)
  65. [65] L. Mohammed, M.N. Ansari, G. Pua, M. Jawaid, M.S. Islam; A review on natural fiber reinforced polymer composite and its applications; Int. J. Polym. Sci, 2015 (2015) http://dx.doi.org/10.1155/2015/243947
  66. [66] G. Tang, X. Hu, D. Sun, X. Li, Q. Chen, W. Wang; The research on the friction and wear properties of ionic liquid-treated cellulose fibre-filled polyoxymethylene composites; J. Thermoplast. Compos. Mater (2014) 0892705714531976
  67. [67] B. Yousif; Replacing of glass fibres with seed oil palm fibres for tribopolymeric composites; Tribol. Mater. Surf. Interfaces, 2 (2008), pp. 99–103
  68. [68] P.L. Menezes, M. Nosonovsky, S.V. Kailas, M.R. Lovell; Friction and wear; Tribology for Scientists and Engineers, Springer (2013), pp. 43–91
  69. [69] C. Chin, B. Yousif; Potential of kenaf fibres as reinforcement for tribological applications; Wear, 267 (2009), pp. 1550–1557
  70. [70] A. El-Sayed, M. El-Sherbiny, A. Abo-El-Ezz, G. Aggag; Friction and wear properties of polymeric composite materials for bearing applications; Wear, 184 (1995), pp. 45–53
  71. [71] B.K. Goriparthi, K. Suman, N.M. Rao; Effect of fiber surface treatments on mechanical and abrasive wear performance of polylactide/jute composites; Compos. Part A Appl. Sci. Manuf, 43 (2012), pp. 1800–1808
  72. [72] T.B. Yallew, P. Kumar, I. Singh; Sliding wear properties of jute fabric reinforced polypropylene composites; Procedia Engineering, 97 (2014), pp. 402–411
  73. [73] F.K. Behera, M.G.B. Murali; Study of the mechanical properties & erosion properties of jute-epoxy composite filled with sic particulate; International Journal of Research in Engineering and Science (IJRES), 3 (2) (2015), pp. 10–18
  74. [74] K.S. Ahmed, S.S. Khalid, V. Mallinatha, S.A. Kumar; Dry sliding wear behavior of SiC/Al 2 O 3 filled jute/epoxy composites; Mater. Design, 36 (2012), pp. 306–315
  75. [75] U. Dwivedi, N. Chand; Influence of fibre orientation on friction and sliding wear behaviour of jute fibre reinforced polyester composite; Appl. Compos. Mater, 16 (2009), pp. 93–100
  76. [76] B. Yousif, C. Chin; Epoxy composite based on kenaf fibers for tribological applications under wet contact conditions; Surf. Rev. Lett, 19 (2012), p. 1250050
  77. [77] C. Wei, M. Zeng, X. Xiong, H. Liu, K. Luo, T. Liu; Friction properties of sisal fiber/nano-silica reinforced phenol formaldehyde composites; Polym. Compos, 36 (2015), pp. 433–438
  78. [78] J. Lv, D. Zeng, C. Wei; Mechanical and wear properties of sisal fiber cellulose microcrystal reinforced unsaturated polyester composites; Adv. Polym. Tech, 34 (2015)
  79. [79] N. Chand, U. Dwivedi; Influence of fiber orientation on high stress wear behavior of sisal fiber-reinforced epoxy composites; Polym. Compos, 28 (2007), pp. 437–441
  80. [80] G. Divya, A. Kakhandaki, B. Suresha; Wear behavior of coir reinforced treated and untreated hybrid composites; Int. J. Innov. Res. Dev, 3 (2014)
  81. [81] A. Khan, M.A. Ahmad, S. Joshi, S.A. Al Said; Abrasive wear behavior of chemically treated coir fibre filled epoxy polymer composites; Am. J. Mech. Eng. Autom, 1 (2014), pp. 1–5
  82. [82] B. Yousif, O.B. Leong, L.K. Ong, W.K. Jye; The effect of treatment on tribo-performance of CFRP composites; Recent Patents on Materials Science, 2 (2009), pp. 67–74
  83. [83] S. Majhi, S. Samantarai, S. Acharya; Tribological behavior of modified rice husk filled epoxy composite; Int. J. Sci. Eng. Res, 3 (2012), pp. 1–5
  84. [84] I. Mutlu; Investigation of tribological properties of brake pads by using rice straw and rice husk dust; J. Appl. Sci, 9 (2009), pp. 377–381
  85. [85] T. Alsaeed, B. Yousif, H. Ku; The potential of using date palm fibres as reinforcement for polymeric composites; Mater. Design, 43 (2013), pp. 177–184
  86. [86] J.R. Mohanty, S.N. Das, H.C. Das; Effect of fiber content on abrasive wear behavior of date palm leaf reinforced polyvinyl pyrrolidone composite; ISRN Tribol, 2014 (2014)
  87. [87] B. Yousif, N. El-Tayeb; The effect of oil palm fibers as reinforcement on tribological performance of polyester composite; Surf. Rev. Lett, 14 (2007), pp. 1095–1102
  88. [88] A. Shalwan, B. Yousif; Influence of date palm fibre and graphite filler on mechanical and wear characteristics of epoxy composites; Mater. Design, 59 (2014), pp. 264–273
  89. [89] N. El-Tayeb; A study on the potential of sugarcane fibers/polyester composite for tribological applications; Wear, 265 (2008), pp. 223–235
  90. [90] S. Ojha, G. Raghavendra, S. Acharya; A comparative investigation of bio waste filler (wood apple-coconut) reinforced polymer composites; Polym. Compos, 35 (2014), pp. 180–185
Back to Top

Document information

Published on 10/04/17

Licence: Other

Document Score

0

Views 377
Recommendations 0

Share this document

claim authorship

Are you one of the authors of this document?