Abstract

In recent times, hybrid renewable energy systems are increasingly being utilized to provide electricity in remote areas especially where the grid extension is considered too expensive. This study presents the results of techno-economic analysis of hybrid system comprising of solar and wind energy for powering a specific remote mobile base transceiver station (BTS) in Nigeria. All the necessary modeling, simulation, and techno-economic evaluation are carried out using the assessment software package HOMER (Hybrid Optimization Model for Electric Renewable). Two best optimal system configurations namely PV–diesel–battery and PV–wind–diesel–battery systems are compared with the conventional stand-alone diesel generator (DG) system. Findings indicated that PV array (10 kW) – DG (5.5 kW) – battery (64 units Trojan L16P) is the most economically viable option with the total net present cost of $69,811 and per unit cost of electricity of $0.409. The sensitivity analysis is also carried out to find the effects of probable variation in solar radiation, wind speed, and diesel price in the optimal system configurations. Finally, the environmental benefit of hybrid systems over the conventional stand-alone diesel system is described. The obtained results show that the hybrid PV–diesel–battery system provides a reduction in CO2 emissions of about 16.4 tons per year as compared to the stand-alone DG system.

Introduction

Nigeria, a developing nation with population of about 174.5 million is the most populous country in Africa, whereas more than 50% of its population live in urban areas [1]. The current status of electric power infrastructure in Nigeria is playing a negative role in the growth of mobile telecommunications in terms of network coverage and tremendous impact on the operation cost of running the system due to nonavailability of grid power supply. On average, power availability from the national grid across Nigerias electrified communities is less than 5 h in a day [2]. It was reported that about 11,692 mobile sites are connected to national grid, out of which only 9% have up to 6 h grid outage/day, 10% have 6–12 h outage/day, and 81% have more than 12 h outage per day, whereas about 12,560 sites are completely off-grid [2]. These uncertainties in power availability have compelled telecom operators in Nigeria to the use of diesel generator (DG) for proving uninterrupted power supply to the telecom equipment in order to meet the needs of its numerous subscribers. Powering these sites with generators requires significant maintenance, fuel costs and also increases environmental pollution. Annually, more than 500 million liters of diesel are consumed by telecom sites in Nigeria, which produce about 1.3 million metric tonnes of resulting CO2 [3]. Owning to the deregulation of diesel prices and for reducing carbon emission, it has become an imperative issue for telecom operators in the country to evaluate all alternative options in order to improve network operation and reduce energy cost.

Several efforts have been made in some countries around the world to optimize energy cost by converting indoor base transceiver station (BTS) into outdoor one in order to eliminate the use of air conditioner [4], installing energy efficient equipment [5] and the use of green energy sources to power telecom sites [6]. Research and development in renewable energy have shown excellent potential as a form of contribution to the improvement of conventional power generation systems. It has been observed and verified that the green energy sources reduce the level of diesel usage, thereby lessen carbon emission and bring in expansion of telecom infrastructure to off-grid areas at reasonable cost.

With the availability of several forms of renewable energy sources such as solar, wind, biomass, fuel cell, and geothermal, etc., there is a possibility of vast expansion of cost-effective and reliable telecommunications in rural and remote areas [7]. Renewable technologies offer clean, sustainable, environmental friendly, reliable as well as low operating and maintenance cost of power supply [8-10]. Among these energy sources, solar and wind have proven their abilities to meet the rapidly growing energy demand and contribute substantially to global climate protection effort (reduction in greenhouse gas emission) [11-14]. However, standalone solar and wind system alone cannot provide reliable power supply due to the intermittent nature of the resources because of changes in atmospheric conditions [15]. Therefore, in order to meet the continuous typical load demand of a mobile base station during varying atmospheric conditions, different energy sources need to be integrated for extended usage of alternative energy.

A hybrid renewable energy system (HRES) is defined as a cluster of different renewable energy sources operating in a coordinated and independent manner [16]. Several studies on the feasibility, techno-economic analysis and performance of HRES have be reported in the literatures [17-21], These literatures have found the system to exhibit higher degree of reliability as well as lower cost of energy production as compare to system consisting only one energy source. The combination of different energy sources also allows improving the system efficiency and reduces the energy storage requirements compared to systems with single renewable energy source [21]. With the complementary nature of solar and wind energy resources, hybrid solar/wind power generation systems with storage banks offer a highly reliable source of power [22]. The use of the stand-alone solar-wind with diesel backup hybrid system for the power supply of remote areas gives an economically attractive alternative for mobile telecom sector over the use of conventional standalone DG [23]. A HRES with DG offers several advantages including reduction in operating cost by decreasing operating time of the generator, reduction in environmental pollution, and lower maintenance costs, etc. The inclusion of battery storage reduces the number of start/stop cycle of the generator and thus minimizing fuel consumption considerably [15].

This study therefore, presents the results of technical and economic feasibility of employing HRES to power a remote location mobile telecom BTS in Nigeria. The study aimed to determine the viability of hybrid PV–diesel–battery and PV–wind–diesel–battery power systems as well as selecting the most cost-effective and environmental friendly configuration for the site. Hybrid optimization model for electric renewable (HOMER), one of the most widely used optimization tool for renewable energy systems was employed to carry out the techno-economic analysis [24, 25]. The selection of the suitable configuration was based on net present cost (NPC), levelized cost of energy (LCOE), and renewable energy fraction.

The rest of the study is organized as follows: Assessment and analysis presents the brief description of HOMER software, location, load profile, and solar and wind resources of the study area. Configuration of the proposed system discusses the configuration of the proposed system as well as basic mathematical models and cost summaries of the require hybrid system components. Results and Discussion presents the optimization and sensitivity analysis results. Finally, concluding remarks are included in Conclusions.

Assessment and Analysis

HOMER software

HOMER, a renewable-energy-based system optimization tool developed by National Renewable Energy Laboratory (NREL), USA was used to model the hybrid system [25]. This is a general-purpose system design tool that facilitates the design of electric power system either for off-grid or grid-connected application. HOMER sizes up the system specifications such as the load profile, wind resources, solar resources, diesel price, system control parameter, constraint parameter as well as components technical and economics details. HOMER performs numbers of hourly simulation to ensure the best possible matching between the load and the supply in order to design an optimal system. Thereafter, it creates a list of feasible system configurations sorted according to cost effectiveness and presents the optimal configuration based on the lowest NPC. HOMER also performs the sensitivity analysis to explore the effect of changes of different factors on the different system configurations [26]. Climatic data (wind speed and solar irradiation), site load profile, hybrid system components technical details and costs, system control as well as system constraints serve as input to the software.

Site location

The mobile telecom base station considered for this study is located at Doka-Sharia nature reserve, in Kaduna state, Northern region of Nigeria with latitude (9° 47′N) and longitude (7° 20′E). The weather in the Northern part of Nigeria can be characterized as hot and humid, and there are two major seasons namely rainy and dry seasons. Each season remains about 6 months. People living in this study location usually dependent on wood for cooking, gas lamps for lightings and the electrical equipment in most of the cases are powered by DGs.

Site load profile

Typically, a conventional BTS site load consists of BTS equipment load (base station RBS and microwaves) as well as air conditioner and lighting loads. Figure 1 shows a typical off-grid PV–wind–diesel powered mobile base station. A second-generation GSM mobile base station consisting of one number BTS with three transceivers was considered in this study. The maximum power consumption of air conditioner is considered as 1.8 kW, whereas the BTS equipments power and miscellaneous loads (battery charging load and lighting) are 1500 W and 480 W, respectively [27]. Normally, the full load will be the constant BTS equipment load, miscellaneous load, and the air conditioner running power, but when the temperature goes low, the air conditioner can be configured to switch off automatically, thereby minimizing the energy consumption [28]. Although, measured hourly load data for the considered site are not available, it is, however, important to note that, the stated rating of BTS equipment (base station RBS and microwaves) will not be loaded to full capacity at all times due to the variability in operating hour of the equipment which often depends on the level of usage by the mobile subscribers. This load is therefore classified into three categories according to the level of usage, namely; low hour, medium hour, and busy hour load. Based on the first category, it is assumed that the subscriber utilized only 10% of the total BTS load, this usually occurred during 12 am to 6 am in the morning, whereas in the second category is considered 30% usage, this occurred between 7 am and 10 am in the morning and between 6 pm and 11 pm in the night. Finally the third category is taking as 50% and usually occurs during the business hours of the day (10 am to 6 pm). It should also be noted, that the air conditional is considered to only operate during the business hour (sunshine hour) of the day when high power is expected to be demanded from the BTS equipment, whereas the miscellaneous loads (lighting) is operated only in the night hours (6 pm to 6 am). Based on this variation, a day-to-day random variability of 5% and hour-to-hour random variability of 10% was specified in HOMER so as not to underestimate the peak load the proposed system can serve. The hourly load profile of the site for a typical day (1 January) is shown in Figure 2 from where scaled average energy consumption per day, scaled daily peak demand, and daily average demand are found to be approximately 37 kWh, 3.3 kW, and 1.53 kW, respectively. The mismatch in the peak value and value shown in Figure 2 is due to the scaling process and the random variability introduced in HOMER to make the load pattern unique. In addition, monthly averages of AC primary load for the considered BTS site is shown in Figure 3. From this figure, it can be observed that the maximum load ranges between 2.8 kW and 3.6 kW monthly with lowest in May and highest in August and the daily peak it seen to vary from 2.4 kW to 2.7 kW, whereas the average load is almost the same in all the months. All this variation is due to the above mentioned random variability factor introduced in HOMER to cater for the variation that may occur in the load each day of the year.


Figure 1.


Figure 1.

Off-grid hybrid PV–wind–diesel powered mobile base station.


Figure 2.


Figure 2.

Daily load profile of the site [25].


Figure 3.


Figure 3.

Annual energy load profile of the site [25].

Solar energy

Nigeria is endowed with abundant renewable energy resources due to its coordinate position. It lies within a high sunshine belt and thus has enormous solar energy potential. Monthly mean daily solar radiation data averaged over a period of 22 years (1983–2005) were obtained for the site from NASA surface meteorology and solar energy database [29]. Scaling this data to consider the long-term annual average, HOMER introduces a clearness index from the latitude and longitude of the site considered. Figure 4 shows the monthly variation in solar radiation with the clearness index. These data serve as input to the HOMER for the analysis. Solar radiation is seen to be well distributed in the site with average monthly solar radiation of 5.8 kWh/m2 per day and average daily sunshine of 6 h. In addition, Figure 5 shows synthesized daily solar radiation distribution over a year. From this figure it can be seen that solar energy resources is well distributed in the site, with highest value close to 8.0 kWh/m2 per day in some days of the year, whereas the minimum value occurs only during the peak rainy season months (July and August) in the country. The average value close to 6.0 kWh/m2 occurs most days in the year. From this analysis, it can be seen that the considered site has enormous potentials for PV applications.


Figure 4.


Figure 4.

Average monthly solar radiation and clearness index profile at the selected site [25].


Figure 5.


Figure 5.

Daily distribution of solar radiation over a year.

Wind resource

Wind energy is available with an annual average speed of about 2.0 m/sec in the coastal region and 4.0 m/sec in the far northern region of the country [30]. With an air density of 1.1 kg/m3, the intensity of wind energy perpendicular to the wind direction ranges between 44 W/m2 at the coastal areas and 352 W/m2 at the far northern region of the country [31]. In order to estimate the expected power output of the wind turbine in the proposed hybrid system, monthly mean data pertaining the wind resources of the site are obtained from NASA surface meteorology and solar energy database [29]. According to NASA, the data were recorded over a 10-year period from 1996 to 2005 at an anemometer height of 10 m. Figure 6 shows the monthly wind speed variation in the site where the average wind speed is found to be 3.2 m/sec. In addition, the wind speed variation over a period at the site is described by the probability density function (PDF) shown in Figure 7. This distribution is generated by HOMER from the wind resource data input. Weibull shape factor (k), which is a measure of wind speed distribution over a year obtained by MATLAB curve fitting toolbox is given as 1.96, the autocorrelation factor, which shows the randomness of the wind speed is found to be 0.85, and the diurnal pattern, which is a measure of wind speed variation over a day is given as 0.25 [26]. From this figure it can be seen that the most probable wind speed range 2.5–3.5 m/sec occurs approximately 60% of time, whereas high value of wind speed above this occurs only for limited period of time. This shows the site to be unsuitable for wind power production, unless with application of low speed wind turbine due to the low wind speed regime at the site.


Figure 6.


Figure 6.

Average monthly wind speed of the site.


Figure 7.


Figure 7.

Probability distribution function of wind speed data synthesized by HOMER [25].

Configuration of the Proposed System

In this study, solar- and wind-based hybrid system is proposed for the site based on the justification from previous authors as earlier discussed in Introduction. A typical hybrid power system consisting of PV, wind, DG, and battery is shown in Figure 8. The solar PV, wind, and DG components are combined to harness the output power of the system as well as to compensate for the unpredictable variation in the climatic condition. The converter is added to maintain the flow of energy between the AC and DC components, whereas the battery is employed as a backup in order to ensure uninterrupted power and to maintain the desired power quality at the load point. In such a system, the battery bank absorbs energy when the renewable energy output exceeds the load and discharges energy when the load exceeds the renewable output. The use of these three energy sources in parallel with battery storage provides a smooth and uninterrupted power supply. Hence makes the hybrid system more reliable and efficient. The initial choice of the components size is based on the site load profile. The brief description of the main components of the proposed hybrid system is summarized in the following section;


Figure 8.


Figure 8.

Typical hybrid PV/wind/diesel/battery configuration.

Basic mathematical model and economic details of system components

A more detailed mathematical model of the components of the proposed hybrid system (Solar PV, wind turbines, DG, batteries, and converter) and the control strategy can be found in previous literatures [32-34]. Nonetheless, a brief summary of each mathematical models and economic parameters is presented as follows:

PV model

A photovoltaic system employs solar panels composed of a number of solar cells in series/parallel to generate power from solar PV. The power output of the PV panel is given by the following equation [32]:

(1)

where is the power output of the PV cell, is the PV rated power at reference condition, G is solar radiation (W/m2), Gref is the solar radiation at standard temperature condition (Gref = 1000 W/m2), Tref is cell temperature as reference conditions (Tref = 25°C), and KT is temperature coefficient of the PV module. The cell temperature Tc = Tamb + (0.0256 × G), where Tamb is ambient temperature. In this study, capital cost and replacement cost for 1 kW of PV array are taken as $2500 and $2000, respectively. In this case, six different types of PV arrays are considered to get the optimal size (0, 2, 5, 7, 8, 9, and 10 kW). The lifetime of PV arrays was taken as 20 years and no tracking system was considered. Derating factor of the PV modules was assumed as 90%.

Wind turbine model

Wind energy is transformed into mechanical power through wind turbine and then converted into electrical power. The mechanical power over an area A is given by the following equation [34]:

(2)

where ρ is the air density (1.225 kg/m3), and V the wind speed (m/sec). The electrical power of the wind energy conversion system is given by the following equation:

(3)

where Ce the maximum power extraction efficiency of the wind generator and other electrical components connected to the generator. A BWCXL.1 model wind turbine with a rated capacity of 1 kW is considered in this study. The initial cost of one unit is considered as $6760. Replacement and operational maintenance costs were assumed as $4595 and $25/year, respectively. In order to find an optimal size, five different wind turbine options were analyzed: 0, 1, 2, 3, 4, and 5 turbines. The operational lifetime of a turbine is considered as 20 years [35].

Diesel generator model

The renewable energy systems have intermittent output characteristics and are integrated with conventional power sources to deliver a steady power output. In various HRES, DG acts as steady source of power. The DG systems are designed to supply the load and also charge the battery energy storage system, if the renewable energy source along with battery is unable to supply the load. Proper energy balance is required for optimum system operation as the consumption of fuel is proportional to the power being supplied by the DG. The fuel consumption of the DG, FG (L/h) is modeled as dependent on the DG output power as [33]:

(4)

where is the nominal power of the DG, is the output power, whereas AG and BG represents the coefficients of fuel consumption curve as defined by the user (L/kWh).

The initial capital cost of the DG is assumed $230/kW. Replacement and operational costs were assumed $230/kW and $0.5/h, respectively. The operating lifetime was also considered 15,000 h [35]. Currently, per liter price of diesel in Nigeria is $1.1. In this study, 0, 5.5, and 7.5 kW sizes of DGs were also considered for simulation. The maximum load ratio was set at 10%.

Battery energy storage system

Battery is a storage device essential for storing electrical energy for maximum utilization of intermittent renewable resources. The lead-acid battery which is often used in HRES is complex, nonlinear device controlling operational states of the system. Modeling of lead-acid batteries for real time analysis of HRES must account for the dependence of battery parameters on (a) state of charge, (b) battery storage capacity, (c) rate of charge/discharge, (d) ambient temperature, (e) life and other internal phenomenon, such as gassing, double layer effect, self-discharge, heating loss, and diffusion. The battery storage capacity is given as [36]:

(5)

where EL is the average daily load energy (kWh/day), AD is daily autonomy of the battery, DoD is battery depth of discharge, whereas ηinv and ηBatt, respectively, represent the inverter and battery efficiency. A Trojan L16P model battery with 6 V, 360 Ah, and 2.16 kWh is selected in the proposed system. The initial cost of one unit is considered as $174. Replacement and operational maintenance costs were assumed as $174 and $5/year, respectively. In order to find an optimal configuration, the battery bank was assumed to consist of any number of batteries (0, 16, 32, 48, 64, and 80 units). Each battery string contains eight batteries and the lifetime throughput of each battery is estimated to be 1075 kWh.

Power converter

The proposed hybrid system consist of both AC and DC system, hence a power converter is needed to maintain the flow of power between the system and the load. Both capital and replacement cost of the converter used in this work are taken as $329/kW. The operational and maintenance cost is assumed $10/year. The efficiency of the converter is assumed to be 90% and the lifetime is considered as 10 years [35]. Different sizes of converters (0, 2, 4, 6, 8, and 10 kW) are considered during analysis using HOMER.

The overall summary of technical and economic parameters of the hybrid system component are presented in Table 1.

Table 1. Technical and economic parameters of the hybrid system component
Component parameters Values Component parameters Values
Wind turbine Diesel generator
Brand/model Bergey wind Brand/model Cummins
Rated power (kW) 1 Rated power (kW) 5.5
Cut-in speed (m/sec) 3 Rated current (A) 22.6
Cut-off speed (m/sec) 14 Minimum load ratio (%) 10
Initial capital cost ($/kW) 6760 Fuel curve ratio (L/h per kW) 0.33
Replacement cost ($/kW) 4595 Fuel curve intercept (L/h per kW) 0.05
O & M cost ($/year) 25 Fuel price ($/L) 1.1
Operational lifetime (year) 20 Initial capital cost ($/kW) 230
Solar PV Replacement cost ($/kW) 230
Rated power (Wp) 250 O & M cost ($/h) 0.5
Max power (Wp) 250 Operational lifetime (h) 15,000
Max voltage (V) 31.1 Battery
Short circuit current (A) 8.28 Brand/model Trojan LI6p
Derating factor (%) 90 Nominal voltage (V) 6
Initial capital cost ($/kW) 2500 Nominal capacity (Ah) 360
Replacement cost ($/W) 2500 Maximum charging current (A) 11
O & M cost ($/year) Round-trip efficiency (%) 85
Operational lifetime (year) 20 Minimum SOC (%) 30
Power converter Initial capital cost ($/unit) 174
Rated power (kW) 4 Replacement cost ($/unit) 174
Efficiency (%) 90 O & M cost ($/unit/year) 5
Initial capital cost ($/kW) 329 Operational lifetime (kWh/unit) 1075
Replacement cost ($/kW) 329    
O & M cost ($/year) 10    
Operational lifetime (year) 10    

Sensitivity variables

Sensitivity analysis helps in exploring the effect of the changes in the available resource and economic condition. This analysis shows the range of the variables for which it makes sense to include the renewable energy in the system design. Three sensitivity parameters were considered in this study, namely: solar radiation, wind speed, and diesel price. The sensitivity values entered for each of these parameters are presented in Table 2.

Table 2. Sensitivity parameter values
Sensitivity variables    
Solar radiation (kWh/m2 per day) Wind speed (m/sec) Diesel price ($/L)
5.0 2.0 0.7
5.5 2.5 0.8
5.8 3.0 0.9
6.0 3.2 1.0
6.5 3.5 1.1
    1.2
    1.3
    1.4
    1.5

System control parameters, economic inputs and constraints

System control parameters defines how HOMER model the operation of battery and generator in the hybrid system, economic inputs play an integral role in the entire HOMER simulation and optimization process, whereas the constraints are set of predefined conditions which systems must fulfill. These parameters are further discussed below;

Simulation time set

The simulation time step is the time step that HOMER uses to simulate the operation of each system configuration. The time for simulation can be entered from several hours down to 1 min. In the proposed system, the duration of simulation is set to 60 min.

Dispatch strategy

A dispatch strategy is a set of rules that controls the operations of the DG and the battery bank. Two types of dispatch strategies are available in HOMER, namely; cycle charging and load following [37]. Under the load-following strategy, a generator produces only enough power to serve the load and does not charge the battery bank. On the other hand, under the cycle charging strategy, the generator operates at its maximum rated capacity to serve the load and charges the battery bank using excess power. The type of dispatch strategy which will be optimal for the proposed system depends on various characteristics including the sizes of the generators and battery bank, the price of fuel, the O&M cost of the generators, the amount of renewable power output in the system, and the nature of the renewable resources. In the proposed system, both the strategies are considered which means HOMER will simulate each system using both dispatch strategies and finally, will determine the optimal configuration.

Economics inputs

In HOMER, the system life-cycle cost is represented by total NPC. The NPC is comprised of initial capital cost, replacement cost, annual operating, and maintenance cost as well as fuel costs. Thus is given by the following equation [26]:

(6)

where TAC is the total annualized cost ($/year) and CRF is the capital recovery factor which is a function of annual real interest rate (i), and the project lifetime (N in years). CRF is given by the following equation [26]:

(7)

In this study, the project lifetime is considered to be 25 years and the annual interest rate is fixed at 6%. HOMER aimed to minimize the total NPC and cost of electricity (COE) by finding the optimal system configuration. It should be noted that all economic factors considered in HOMER are calculated in constant dollar (US$) terms.

Constraints

Constraints are preconditions which systems must fulfill; otherwise HOMER neglects those systems that do not content the defined constraints. In the proposed system, the maximum renewable fraction is considered as a range from 0 to 100% and the maximum unserved energy is assumed 0%, whereas the different values (0, 4, 6, and 10%) are taken as the maximum annual capacity shortage. The maximum allowable value of the capacity shortage fraction, which is the total capacity shortage divided by the total annual electric load.

Results and Discussion

An hourly time series simulation was performed by HOMER for every possible system configuration on a yearly basis in order to evaluate the operational characteristics such as, annual electricity production, annual load served, excess electricity, renewable fraction, etc. The renewable energy sources and the DG were evaluated in order to determine the feasibility of the system to meet load demand. HOMER searches for optimum system configuration and component sizes that meet the load requirement at the lowest NPC and then presents the results of the simulation in terms of optimal systems and sensitivity analysis. The optimal results are categorized based on the sensitivity variables chosen. The following subsections discuss the results of optimum configuration.

Optimization results

The result panel shows the list of configurations available based on the input data earlier introduced to HOMER and ordered according to the lowest NPC. In this section, first best two optimal hybrid system configurations will be compared with the conventional stand-alone diesel/battery system. The performance parameters of PV, wind, DG, battery and converter, respectively, for PV/diesel/battery, PV/wind/diesel/battery and stand-alone diesel systems configuration is presented in Table 3.

Table 3. Performance parameters of different system configurations
Parameter Configurations
  PV/diesel/battery hybrid system (best optimal) PV/wind/diesel/battery hybrid system (second best optimal) Stand-alone diesel system (third best optimal)
PV capacity (kW) 10 10
Wind turbine capacity (kW) 1
Diesel generator capacity (kW) 5.5 5.5 5.5
Battery capacity (no) 64 48 32
Converter capacity (kW) 4 4 4
Dispatch strategy CC CC CC
Total capital cost ($) 44,393 48,369 13,825
Total NPC ($) 69,811 76,023 245,855
Total annual capital cost ($/year) 3473 3784 1081
Total annual replacement ($/year) 1383 1623 2664
Total O&M cost ($/year) 720 731 9151
Total fuel cost ($/year) 249 243 6477
Total annual cost ($/year) 5461 5947 19,232
Operating cost ($/year) 1988 2163 18,151
Cost of energy (COE) ($/year) 0.409 0.445 1.440
PV production (kWh/year) 17,241 17,241
Wind production (kWh/year) 775
Diesel production (kWh/year) 654 611 17,823
Total electricity production (kWh/year) 17,896 18,627 17,823
AC primary load serve (kWh/year) 13,359 13,359 13,359
Renewable fraction (%) 95.1 95.4 0
Capacity shortage (kW) 0 0 0
Unmet load (kWh/year) 0 0 0
Excess electricity (%) 9.6 13.5 0
Fuel consumption (L/year) 224 221 5888

PV/diesel/battery configuration

The best optimal combination at 5.8 kWh/m2 per day average global solar radiation, 3.2 m/sec annual average wind speed and $1.1/L diesel price comprised of 10 kW PV array, 5.5 kW DG, 64 units Trojan-L16P battery and a 4 kW converter. There is no inclusion of wind turbine in this configuration due to low intensity of wind speed at the site. This system has a total NPC of $69,811, COE of $0.409/kWh, and a renewable fraction of 95.1%. The NPC for the PV, diesel, and battery bank were 39.7%, 19.9%, and 37.2% of total NPC, respectively. The total NPC for the stand-alone diesel system is $245,855 which is 252% higher than PV/diesel/battery configuration. Therefore, renewable-energy-based hybrid system is considered as a cost-effective solution in comparison to the diesel standalone system.

The monthly mean electric production from PV array and DG is presented in Figure 9. It can be seen that the site can adequately rely on the RE source (solar) to power the BTS loads due to high presence of solar radiation at the site and the DG only contributes to meet up the load demand during the months of low solar irradiance (i.e., June, July August and September) as PV module provides 95% of the total energy production during the year. The DG operates for just 138 h/year (capacity factor 1.36%), to produce 564 kWh/year of energy with 224 L of fuel. Limited hour of operation of DG will reduce the operating cost and also contribute to reduce CO2 emission. Increasing the size of the PV panel and the addition of more string of battery can also compensate the shortage of electrical production and thereby optimize the usage of excess electricity and increase the overall system autonomy. The percentage excess electricity production for this hybrid system if found to be 9.6%.


Figure 9.


Figure 9.

Monthly average electricity production of PV/diesel/battery hybrid system [25].

PV/wind/diesel/battery

The second best optimal combination at 5.8 kWh/m2 per day average global solar radiation, 3.2 m/sec annual average wind speed and $1.1/L diesel price comprised of 10 kW PV array, 1 BWCXL.1 wind turbine, 5.5 kW DG, 48 units Trojan L16P battery and a 4 kW converter. The COE of this system is $0.445/kWh with renewable fraction of 95.4%. The initial capital cost and total NPC of the above system were found to be $48,369 and $76,023, respectively. On the other hand, NPC of the stand-alone diesel system is more than 223% higher than this system. Therefore, this system configuration is still considered as a cost-effective solution in comparison with diesel-alone system. It should be noted that the total cost of the PV array in this system is nearly 36% of the total NPC, out of which the initial capital cost occupies about 90%. The cost of 48 units Trojan L16P battery accounts for 30% of the system total NPC, followed by the cost of DG and wind turbine, which takes up approximately 19% and 11%, respectively. The least cost item is the converter, which is 3% of the total NPC.

The monthly average electric production from the hybrid system is shown in Figure 10. Solar energy provides almost 93% of the total annual production followed by wind turbine and then diesel, accounting 4% and 3%, respectively. As the PV system will operate more compared to the wind turbine, which means the PV array serves the base load. The electricity production from the wind turbine is limited due to the lower wind speed at the site, but the DG contributes to fulfill the demand during the period of low solar irradiance. The DG operates for 155 h/year (capacity factor 1.27%) during the month of June, July, August and September to produce 611 kWh/year with 221 liters of fuel. On the other hand, the stand-alone diesel system consumes a total of 5888 L/year and run for 3255 h to produce 17,823 kWh/year of electricity. The excess electricity of this hybrid system is 13.5%. The excess electricity produced can be used to supply the dump load (water pumping, street lighting, heating, or cooling load), it can as well be sold to the grid.


Figure 10.


Figure 10.

Monthly average electricity production of PV/wind/diesel/battery hybrid system [25].

Sensitivity analysis

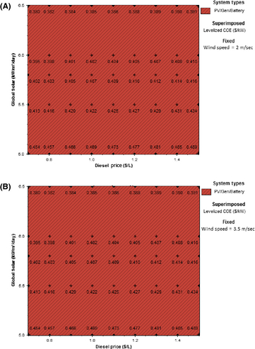
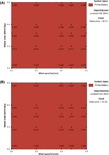
For each sensitivity variable presented in sensitivity variables, HOMER simulates the entire system with respect to the search space. The feasible systems are ranked based on increasing NPC, whereas the software eliminates all infeasible combinations. Figures 11, 12, and 13 shows the Optimal System Type (OST) sensitivity results for three different scenarios, namely; variation in wind speed and solar radiation with constant diesel price, variation in wind speed and diesel price with constant solar radiation and finally, the variation in solar radiation and diesel price with constant wind speed.


Figure 11.


Figure 11.

Optimal system types graph for varying wind speed values: (A) 2.0 m/sec, (B) 3.5 m/sec [25].


Figure 12.


Figure 12.

Optimal system types for varying solar radiation values: (A) 5 kWh/m2 per day, (B) 6.5 kWh/m2 per day [25].


Figure 13.


Figure 13.

Optimal system types for varying diesel price: (A) $0.7/L, (B) $1.5/L [25].

Varying average wind speed value

In this sensitivity analysis, OSTs are investigated for five different values of wind speed, as presented in Table 2. Optimal system types graph for wind speed range 2.0 and 3.5 m/sec are shown in Figure 11. It is obvious from this figures that for the specified ranges of wind speed values is no output power from the wind turbine system irrespective of the variation in solar radiation and diesel price. Hence, HOMER does not consider wind turbine to be feasible at the considered site, therefore it is more economical to exclude wind turbine from the system and consider PV/diesel/battery configuration to be the best optimal. It can also be observed that the superimposed LCOE remains the same for the two cases. It is further observed from these figures that the superimposed LCOE reduces as the global solar radiation increases, whereas the reversed is the case for the increase in diesel price.

Varying average solar radiation value

In this analysis, OSTs are tested for five different value of solar radiation as specified in Table 2. Optimal system types graph for two samples of these scenarios are shown in Figure 12. At all values of solar radiation irrespective of the variation in wind speed and diesel price, PV/diesel/battery configuration is still considered more feasible and economical than any other system configurations. However, increasing in solar radiation, reduces the LCOE, whereas wind speed variation has no effect on the superimposed LCOE.

Varying diesel price

In this analysis, OSTs are investigated for nine different diesel prices as contained in Table 2 OSTs graph for these different diesel prices (lowest and highest) are shown in Figure 13. For both the lower and higher diesel price, same PV/diesel/battery hybrid system shows to be more feasible and economical other system configuration. However, reduction in the price of diesel reduces the LCOE.

Environmental effects

Renewable energy sources are one of the most efficient and effective clean and sustainable energy solutions in a country. Table 4 shows the quantity of pollutants emission (Carbon dioxide, carbon monoxide, unburned hydrocarbons, sulfur dioxide, nitrogen oxides, etc.) in the first and second best optimal hybrid systems compared with the conventional-diesel-based configuration. The conventional-diesel-based power generation system produces 15,505 kg/year of CO2 in the site. On the other hand, the hybrid PV/diesel/battery and PV/wind/diesel/battery systems produce a total of 591 and 582 kg/year of CO2, respectively. Therefore, a total of 96.1% and 96.6% of CO2 emission can be reduced if the first and second best optimal systems, respectively, are considered. The percentage of reduction of pollutants in the system is related to the penetration of renewable energy in the system. Other pollutants also reduce in the hybrid system compared to the conventional diesel system. Therefore, in addition to the PV/diesel/battery hybrid system configuration being more economically viable option, the system also can help to abate prevalent global warming which usually occurred as a result of CO2 emission into the environment.

Table 4. Pollutants emission in different system configurations
Emissions (kg/year) Configurations
  PV/diesel/battery PV/wind/diesel/battery Diesel only
Carbon dioxide 591 582 15,505
Carbon monoxide 1.46 1.44 38.3
Unburned hydrocarbons 0.162 0.159 4.24
Particulate matter 0.11 0.108 2.89
Sulfur dioxide 1.19 1.17 31.1
Nitrogen oxides 13 12.8 341
Total 606.9 597.7 15,922

Conclusions

Techno-economic analysis of hybrid power system for a remote telecommunication mobile base station (BTS) using HOMER, hybrid system optimization tools is presented in this study. The study indicates that the site, Doka-Sharia rural area of Kaduna State in Nigeria blessed with considerable annual average global solar radiation (5.8 kWh/m2 per day) and average wind speed (3.2 m/sec) is a potential site for installation of PV/diesel/battery hybrid system. The simulation results from HOMER show that the most economically feasible configuration for the site load is composed of 10 kW PV array, 5.5 kW DG and 64 units of batteries of which each has a nominal voltage of 6 V and capacity of 360 Ah. The configuration has a renewable penetration of about 95%. The study shows that the conventional standalone diesel configuration is not economically feasible due to the high cost of diesel, which might have significant effect on the operating cost of the mobile telecom operation and also environmental impact due to high CO2 emission from the system. Also, from the sensitivity analysis results, it could be concluded that the selected site is not a potential site for wind turbine applications due to low wind speed regime at the site. Therefore, utilizing renewable-energy-based hybrid system in conjunction with conventional DG for powering BTS sites will not just only decrease the operating hours of the DG leading to reduction in operating cost of the telecom company which has direct impact on the low-income rural telecoms subscriber, but as well reduces diesel consumption, thereby bring low greenhouse gas emission to the environment.

This present proposal can bring about improvement in the standard of living and increase in the economic activities among the rural dweller in the location where the BTS is situated, as the excess electricity generated from such hybrid system can serve to supply dump loads (water pumping and street lighting, etc.) as a form of social responsibility of on the part of the telecom company to the area. Finally, the results of the findings from the sensitivity analysis carried out, as well as information gained from the entire study can be applied in the design, execution, or development of HRES for any applications in other locations in the country having similar geographical coordinate as the site considered in this study.

Acknowledgments

The authors thank the Ministry of Higher Education, Malaysia, and the Bright Spark Unit of University of Malaya, Malaysia, for providing the enabling environment and financial support under the grant no. UMRG project RP015D-13AET, to successfully carry out this research.

Conflict of Interest

None declared.

References

  1. Central Intelligence Agency. 2014. The World Factbook: Afirca-Nigeria. Available at http://www.cia.gov/library/publications/the-world-factbook/geos/ni.html (accessed 30 October 2014).
  2. GSMA. 2013. Powering Telecoms: West Africa Market Analysis. London.
  3. GSMA. 2013. Market research and Analysis. London.
  4. Roy, S. N. 2008. Energy logic: a road map to reducing energy consumption in telecom munications networks. in Telecommunications Energy Conference, INTELEC 2008. IEEE 30th International. 2008. IEEE.
  5. Koutitas, G., and P. Demestichas. 2010. A review of energy efficiency in telecommunication networks. Telfor J.2:2–7.
  6. Hashimoto, S., T. Yachi, and T. Tani. 2004. A new stand-alone hybrid power system with wind generator and photovoltaic modules for a radio base station. in Telecommunications Energy Conference, INTELEC 2004. 26th Annual International. 2004. IEEE.
  7. Nema, P., R. Nema, and S. Rangnekar. 2010. Minimization of green house gases emission by using hybrid energy system for telephony base station site application. Renew. Sustainable Energy Rev.14:1635–1639.
  8. Daud, A.-K., and M. S. Ismail. 2012. Design of isolated hybrid systems minimizing costs and pollutant emissions. Renew. Energy44:215–224.
  9. Hrayshat, E. S.2009. Techno-economic analysis of autonomous hybrid photovoltaic-diesel-battery system. Energy Sustainable Dev.13:143–150.
  10. Hessami, M.-A., H. Campbell, and C. Sanguinetti. 2011. A feasibility study of hybrid wind power systems for remote communities. Energy Pol.39:877–886.
  11. Dihrab, S. S., and K. Sopian. 2010. Electricity generation of hybrid PV/wind systems in Iraq. Renew. Energy35:1303–1307.
  12. Dursun, B., C. Gokcol, I. Umut, E. Ucar, and S. Kocabey. 2013. Techno-economic evaluation of a hybrid PV—Wind power generation system. Int. J. Green Energy10:117–136.
  13. Nandi, S. K., and H. R. Ghosh. 2010. Techno-economical analysis of off-grid hybrid systems at Kutubdia Island, Bangladesh. Energy Policy38:976–980.
  14. Shaahid, S. M., and I. El-Amin. 2009. Techno-economic evaluation of off-grid hybrid photovoltaic–diesel–battery power systems for rural electrification in Saudi Arabia—A way forward for sustainable development. Renew. Sustainable Energy Rev.13:625–633.
  15. Jacobus, H., et al. 2011. Evaluating the impact of adding energy storage on the performance of a hybrid power system. Energy Convers. Manage.52:2604–2610.
  16. Wang, C. 2006. Modeling and control of hybrid wind/photovoltaic/fuel cell distributed generation systems. Montana State University Bozeman.
  17. Neves, D., C. A. Silva, and S. Connors. 2014. Design and implementation of hybrid renewable energy systems on micro-communities: a review on case studies. Renew. Sustainable Energy Rev.31:935–946.
  18. Nema, P., R. K. Nema, and S. Rangnekar. 2009. A current and future state of art development of hybrid energy system using wind and PV-solar: a review. Renew. Sustainable Energy Rev.13:2096–2103.
  19. Adaramola, M., O. Oyewola, and S. Paul. 2012. Technical and economic assessment of hybrid energy systems in South-West Nigeria. Energy Explor. Exploit.30:533–552.
  20. Rehman, S., and L. M. Al-Hadhrami. 2010. Study of a solar PV–diesel–battery hybrid power system for a remotely located population near Rafha. Saudi Arabia. Energy35:4986–4995.
  21. Nandi, S. K., and H. R. Ghosh. 2010. Prospect of wind–PV-battery hybrid power system as an alternative to grid extension in Bangladesh. Energy35:3040–3047.
  22. Zhou, W., C. Lou, Z. Li, L. Lu, and H. Yang. 2010. Current status of research on optimum sizing of stand-alone hybrid solar–wind power generation systems. Appl. Energy87:380–389.
  23. Kusakana, K., and H. J. Vermaak. 2013. Hybrid renewable power systems for mobile telephony base stations in developing countries. Renewable Energy51:419–425.
  24. Connolly, D., H. Lund, B. V. Mathiesen, and M. A. Leahy. 2010. A review of computer tools for analysing the integration of renewable energy into various energy systems. Appl. Energy87:1059–1082.
  25. NREL. 2009. HOMER. Available at http://www.homerenergy.com.
  26. Lambert, T., P. Gilman, and P. Lilienthal. 2006. Micropower system modeling with HOMER. Integration Alternative Sources Energy1:379–385.
  27. Naikodi, A. Solar-wind hybrid power for rural Indian cell sites. in IEEE International Energy Conference and Exhibition (EnergyCon). 2011. Manama.
  28. Diamantoulakis, P. D., and G. K. Karagiannidis. 2013. On the design of an optimal hybrid energy system for base transceiver stations. J. Green Eng.3:127–146.
  29. NASA/SSE. 2013. Surface meteorology and energy. Available at http://eosweb.larc.nasa.gov/sse.
  30. Uzoma, C. C., C. E. Nnaji, C. N. Ibeto, C. G. Okpara, O. O. Nwoke, and I. O. Obi. 2011. Renewable energy penetration in Nigeria: a study of the South-East zone. Continental. J. Environ. Sci.5:1–5.
  31. Sambo, A. S.2009. Strategic Developments in Renewable Energy in Nigeria. International Association for Energy Economics. Ohio, United State. 3rd Quarter: pp.15–19.
  32. Elhadidy, M.2002. Performance evaluation of hybrid (wind/solar/diesel) power systems. Renew. Energy26:401–413.
  33. Dufo-López, R., and J. L. Bernal-Agustín. 2008. Multi-objective design of PV–wind–diesel–hydrogen–battery systems. Renew. Energy33:2559–2572.
  34. Mahmoud, M. M., and I. H. Ibrik. 2006. Techno-economic feasibility of energy supply of remote villages in Palestine by PV-systems, diesel generators and electric grid. Renew. Sustainable Energy Rev.10:128–138.
  35. Olatomiwa, L., S. Mekhilef, and A. Huda. 2014. Optimal sizing of hybrid energy system for a remote telecom tower: A case study in Nigeria. Pp. 243–247in IEEE Conference on Energy Conversion (CENCON).
  36. Erdinc, O., and M. Uzunoglu. 2012. Optimum design of hybrid renewable energy systems: overview of different approaches. Renew. Sustainable Energy Rev.16:1412–1425.
  37. Farret, F. A., and M. G. Simões. 2006. Integration of alternative sources of energy. John Wiley & Sons, Hoboken, New Jersey.
Back to Top

Document information

Published on 01/06/17
Submitted on 01/06/17

Licence: Other

Document Score

0

Views 234
Recommendations 0

Share this document

claim authorship

Are you one of the authors of this document?