Resumen

Existen pocos programas de intervención para disminuir las conductas infantiles de acoso escolar en el aula. El propósito del estudio fue conocer la eficacia de un programa de intervención basado en los principios del Análisis Conductual Aplicado para reducir las conductas infantiles de acoso en el ámbito escolar. El programa está diseñado para entrenar al profesor del grupo en el manejo de ocho técnicas conductuales (i.e., control de estímulos, costo de respuesta, entrenamiento en respuesta alternativa, auto-control de enojo, contingencia grupal, análisis de tareas, monitoreo y moldeamiento). Se entrenó a ocho profesores de tres escuelas primarias públicas para que implementaran el programa durante la jornada escolar. Participaron 223 alumnos, 28 de ellos identificados como acosadores y 28 identificados como víctimas. Se evaluó la conducta de acoso por parte de esos 28 niños y la conducta disruptiva de los 223 estudiantes pre, durante y post tratamiento. Los resultados mostraron que el programa de intervención redujo significativamente el acoso escolar por parte de los niños acosadores. El programa también fue exitoso para reducir las conductas disruptivas de los niños en todo el grupo, especialmente fue efectivo disminuyendo el comportamiento antisocial.

Abstract

There are few intervention programs designed for reducing bullying in the classrooms. The purpose of the study was to determine the effectiveness of an intervention program based on the principles of applied behavior analysis to reduce bullying in the classroom. The program was designed to train elementary school teachers in the application of eight behavioral techniques (i.e., stimuli control, cost of response, reinforcing alternative responses, self-control of anger, group contingencies, task analysis, monitoring, and shaping). Eight teachers from three public schools were trained and they implemented the program during a whole school year. Those teachers had 223 students. From that total 28 were identified as bullies and 28 as victims. The bullying behavior of those 28 children as well as the disruptive behaviors of the 223 students were measured pre, during and post treatment. Results showed that the intervention program was successful in reducing bullying as well as disruptive behaviors. The program was especially effective in reducing antisocial behavior.

Palabras Clave

Bullying ; Cambio Conductual ; Educación Primaria ; Programa de Intervención ; Análisis Conductual Aplicado

Keywords

Bullying ; Behavioral Change ; Elementary Education ; Intervention ; Applied Behavior Analysis

El bullying se caracteriza por ser un comportamiento agresivo por parte de un niño o grupo de niños dirigido hacia un individuo de forma consistente, que causa daño emocional o físico. La conducta de bullying implica un desequilibrio de poder, dado que el acosador se siente poderoso o feliz al lastimar a su víctima, mientras que la víctima se siente triste, avergonzada y débil (Olweus, 2001 ). Se ha identificado que el bullying es proactivo o instrumental ya que se usa como medio para obtener ganancias sociales o materiales (Dodge and Schwartz, 1997 ; Hawley, Stump, & Ratliff, 2010 ). El bullying se refiere a usar fuerza o influencia para intimidar a alguien con el fin de forzar a una persona a hacer lo que uno quiere. Aunque no existe una traducción literal del término bullying al español, en castellano se le denomina acoso escolar.

Algunas conductas incluidas en el acoso escolar son el excluir a alguien en juegos o grupos de trabajo, el esparcir rumores maliciosos sobre alguien buscando un rechazo por parte de los miembros de un grupo, conducta de agresión verbal consistente en insultos, apodos o burlas, agresión física a niños o a sus pertenencias, que puede incluir el tocamiento de genitales; el obligar a otros mediante amenazas o armas a realizar algo, como hacerle las tareas, a proporcionar dinero o comida al acosador, robar o golpear a otros (Olweus, 2001 ). Recientemente se ha identificado en investigación en aulas mexicanas que los niños que participan en bullying, son alumnos que además de agredir a sus compañeros exhiben comportamiento disruptivo en el salón de clases, impidiendo al profesor dar la clase y afectando la convivencia escolar entre los compañeros, así como el clima escolar (Arriaga, 2015 ).

Se ha investigado el rol que desempeña el alumnado en el bullying, con el objetivo de identificar los factores que sitúan a los niños en mayor riesgo de participar en episodios agresivos en el contexto escolar. Aguilera, Pedroza y Cervantes (2013) realizaron un análisis de los diferentes estudios que se han desarrollado para especificar los roles que desempeñan los participantes en el acoso escolar. Identificaron que la mejor opción para su estudio es la propuesta por Lebakken (2008) . Esta propuesta describe la participación en el bullying de cuatro tipos de alumnos. El primero es el agresor o bully (persona que realiza conductas de acoso hacia otros alumnos). El segundo es la víctima (persona que es objeto de la agresión por parte del alumno bully). El tercer tipo se refiere al alumnado que desempeña un doble rol de víctima y de acosador (persona que se ve envuelta en incidentes como agresor de bullying y receptor del mismo con actores diferentes) y el cuarto tipo es el de observador (persona que es testigo de la conducta de bullying y puede afectar la conducta del agresor o de la víctima en función de su reacción ante el evento).

La descripción del acoso escolar como el tipo de bullying que el alumnado exhibe, así como los roles de sus participantes, permite su explicación y predicción para poder desarrollar programas de intervención que permitan controlarlo y evitar que el comportamiento agresivo sea estable a través del tiempo y se presente en diferentes contextos (Kazdin, 1985 ; Patterson, 1982 ). El estudio del desarrollo y de la estabilidad del comportamiento agresivo de niños es un tema de relevancia social, dado que puede progresar hacia el desarrollo de comportamiento delictivo (Ayala et al., 2001 ).

Merrell e Isava (2008) realizaron un meta-análisis para identificar los componentes de los programas de intervención existentes durante un periodo de 25 años para reducir el bullying. Incluyeron en su análisis investigaciones que describían programas de intervención para disminuir el bullying y no otro tipo de agresión en el contexto escolar. Encontraron que en la mayoría de las investigaciones se emplearon auto-reportes de los pares o el reporte de los educadores para identificar a los alumnos que participan en acoso escolar. Los programas estaban dirigidos al entrenamiento del profesorado para que implementaran prácticas dentro del aula, adquirieran habilidades para el control de comportamiento del alumnado, así como para la reducción de la participación del alumnado en los roles de acosador y de víctima. Los programas también incluyeron el entrenamiento a los niños en habilidades sociales, auto-estima e integración y aceptación por parte del grupo de pares. Los autores resaltaron la necesidad de contar con programas en los que se utilicen registros de observación y se cuente con estrategias para medir el impacto de las intervenciones.

Recientemente se probó la efectividad de un programa de intervención dirigido al profesorado, alumnado, u otros miembros de la comunidad escolar, para reducir el acoso escolar (Nese, Horner, Dickey, Stiller & Tomlanovich, 2014 ). El programa consistió en entrenar a los participantes a hacer una señal que consistió en decir ”alto” cada vez que se presentaba una conducta de acoso dirigida a ellos. Los resultados demostraron que no hubo una disminución significativa del acoso escolar y los estudiantes tampoco percibieron sentirse más seguros en la escuela. Otros programas se han dirigido a entrenar al profesorado para identificar el comportamiento de acoso escolar y para saber cómo actuar ante un caso de acoso escolar (e.g., Schultes, Stefanek, Van de Schoot, Strohmeier, & Spiel, 2014 ). Los resultados mostraron que existió un incrementó en la respuesta del profesor para detener el acoso escolar, así como su compromiso para proteger al alumnado víctima. Existe un programa en Oregón, que plantea el decremento de acoso escolar a partir del clima de la escuela (Low and Van Ryzin, 2014 ). En ese programa se establecen once lecciones de habilidades centradas en aspectos socio-emocionales, se entrena a los niños en habilidades positivas entre compañeros, el auto-control de las emociones, así como en el reconocimiento, rechazo y denuncia del acoso escolar. El entrenamiento se lleva a cabo a través de actividades lúdicas, instrucción directa, entrenamiento de las habilidades, así como en grupos de discusión. Los resultados mostraron que el comportamiento de acoso escolar no tuvo cambios antes y después de la intervención. Low y Van Ryzin (2014) identificaron que el clima escolar predice cambios en la actitud del alumnado hacia el bullying. Específicamente, cuando los estudiantes percibían un clima escolar positivo había menos niveles de victimización y acoso escolar que cuando percibían un ambiente negativo.

En México se carece de investigación dirigida a probar la efectividad de programas de intervención para disminuir y erradicar el comportamiento de acoso escolar. La Secretaría de Educación Pública (SEP, 2004) tiene una propuesta denominada PACE cuya efectividad no está probada científicamente y tampoco se determina bajo qué modelo teórico fue construida. Existen programas dirigidos para disminuir comportamiento disruptivo y comportamiento agresivo en el aula (Ayala et al., 2001 ), sin embargo, no existe evidencia de programas de intervención desarrollados con el enfoque del análisis conductual aplicado dirigidos específicamente a disminuir el comportamiento de bullying diseñados para aulas mexicanas y basados en la currículo de educación del país.

El objetivo del presente trabajo fue identificar comportamiento de acoso escolar en aulas de educación básica con la finalidad de implementar y evaluar la efectividad de un programa de intervención dirigido a profesores con base en el análisis conductual aplicado para disminuir comportamiento disruptivo y acoso escolar en aulas de educación básica.

Método

Participantes

Participaron ocho maestros de primaria a cargo de 223 alumnos inscritos en ocho grupos escolares de tres escuelas públicas de educación básica. Aunque participó en el estudio ese total de niños, con el fin de contar con acosadores y víctimas, de entre todos los participantes se seleccionó a 28 que fueron identificados como acosadores y a 28 que fueron identificados como víctimas. Los acosadores y las víctimas fueron identificados como tales por un mínimo de tres personas en la escuela (profesor, auxiliar, psicólogo escolar y directivo; Cairns and Cairns, 1994 ; Santoyo, 2007 ) y por nominaciones de los pares (Mendoza, 2014a ). Ambos grupos, de acosadores y de víctimas, tuvieron características similares en cuanto al género, edad, grupo y grado escolar. Los participantes estaban cursando uno de los seis grados de primaria y tenían entre 6 y 13 años de edad.

Las autoridades escolares solicitaron apoyo a psicólogos especialistas en atención de comportamiento agresivo en el aula (acoso escolar y violencia escolar) debido a las constantes agresiones entre los alumnos (exclusión, golpes, organización de peleas, tocamiento de genitales, robos, amenazas con objetos escolares). Los padres dieron autorización para que sus hijos participaran en el estudio.

Escenario

Las escuelas a las que asistían los participantes se encontraban en una zona con un alto índice delictivo. El 95% de los padres de familia del alumnado participante se dedicaba a vender en las calles objetos a bajo costo, que podían incluir ”copias” de marcas registradas de diversos artículos (e.g., películas, ropa, perfumes, licores, e incluso pornografía). Conviene destacar que alrededor de las escuelas se encuentran ”puestos ambulantes”, lo que dificulta el ingreso mediante automóvil o transporte público a ésta y debe accederse caminando. En las escuela es común que en un salón de clases existan alumnos cuyos padres se encuentran recluidos en cárceles por haber cometido diversos delitos.

Instrumentos

Sistema de observación directa: Con el objetivo de registrar el comportamiento disruptivo y agresivo del alumnado, se utilizó un registro de actividades planeadas que fue construido para el cumplimiento del objetivo de esta investigación y que permitió registrar el comportamiento de todos los alumnos en cada una de las ocho aulas participantes. Cada observación fue realizada por un par de observadores previamente capacitados, logrando un coeficiente de concordancia del 95%. Se utilizó un formato de registro de intervalo parcial de tiempo de 15 segundos a lo largo de 15 minutos. En el formato de registro de intervalo parcial, se registraron conductas disruptivas (motriz y verbal) y agresivas (verbal y física). La conducta disruptiva motriz que se registró fue el estar fuera de su lugar, desplazarse por el aula, subirse a la mesa, comer, aventar objetos, o salirse del aula sin permiso. La conducta disruptiva verbal registrada fue silbar, reír, gritar, conversar con otros, jugar con otros o eructar. La conducta agresiva verbal fue insultar, burlarse, llamar por apodos, amenazar, excluir a otros de juegos o actividades académicas o grupos. La conducta agresiva física hizo referencia a empujar, arrebatar objetos, tomar objetos sin permiso, pegar, robar, tocar genitales de otros, levantar la falda a las niñas, uso de material escolar como armas, robos, daño a objetos de otros pares, o romper objetos.

Auto-informe (Buzón de Quejas). Se empleó un auto-reporte denominado Buzón de Quejas, que ha sido utilizado en otras investigaciones para detectar agresión extrema dentro del aula (Mendoza, 2009 ; Mendoza, 2014a ). Esta técnica permite identificar la frecuencia con la que cada alumno de un grupo reporta haber sido objeto de comportamiento agresivo por parte de alguno o algunos de sus compañeros (ser insultado, golpeado, obligado a hacer algo que no se quiere, mentiras del acosador que sitúan a la víctima en una situación de conflicto, ser amenazado, tocamiento de genitales y robos). Se pide a los alumnos que reporten el número de veces que fueron objeto de cada una de las conductas mencionadas durante una semana y se pregunta el nombre del alumno que emitió dichas conductas.

Procedimiento

Se empleó un diseño cuasi experimental con medidas pre y postratamiento. Se realizaron reuniones con directivos y profesorado de cada escuela participante para informar sobre los objetivos de la investigación y se obtuvo su consentimiento para llevar a cabo la investigación.

Identificación de bullies y víctimas

Para seleccionar a los niños acosadores, se preguntó a cuatro adultos que eran personal de la escuela (profesor de grupo, psicólogo escolar, maestro de apoyo de Unidad de Servicios de Apoyo a la Educación Regular y al directivo escolar) mencionar quienes eran los estudiantes que emitían conductas agresivas. Una vez identificados los acosadores según la opinión del personal escolar, se identificaron las aulas escolares en las que se encontraban inscritos. En dichas aulas se llevó a cabo una Asamblea Escolar, en la que se dio a los niños las siguientes instrucciones: por favor coloquen sus sillas para formar un círculo. Deben solicitar la palabra levantando la mano y proporcionar información derivada de lo que han visto o escuchado. Deben expresarse verbalmente en primera persona. Durante la asamblea se solicitó a los niños mencionar las conductas de agresión que les dirigían compañeros de clase, que ellos recibían de otros o que eran observadas. Al finalizar la asamblea se utilizó una hoja con preguntas específicas (auto-informe) denominada ”Buzón de quejas”. Éste consiste en una papeleta a través de la cual los niños informan y describen los episodios de agresividad del que fueron víctimas, señalando el tipo de agresión recibida, así como quién fue o quiénes fueron los agresores. La hoja denominada ”Buzón de quejas” se aplicó y se recogió en el momento y una vez por semana. El desarrollo de la Asamblea permitió corroborar que los niños identificados como acosadores por los adultos también eran identificados como acosadores por los integrantes de los grupos. Se consideró como acosador a aquellos estudiantes que fueron nominados por lo menos tres veces por los cuatro adultos y por lo menos por un alumno durante un periodo de tiempo prolongado (quince días de recibir cualquier tipo de agresión como burlas, apodos, golpes, rumores maliciosos, romper, robar sus pertenencias, tocar genitales, amenazas, uso de objetos escolares como armas para lastimar, entre otras).

Fase de Intervención

El objetivo del Programa Integral para Mejorar la Convivencia Escolar (PRIMCE; Mendoza, 2013 , Mendoza, 2014b ), fue entrenar a cada uno de los ochos profesores participantes para utilizar estrategias de cambio conductual con la finalidad de disminuir la conducta disruptiva y agresiva, particularmente los episodios de acoso escolar. El programa se conforma por ocho componentes, que brindan al profesor estrategias derivadas de análisis conductual aplicado como: control de estímulos, monitoreo, moldeamiento, entrenamiento en respuesta alternativa, costo de respuesta, programa de contingencias, reforzamiento de conducta funcionalmente equivalente, comunicación asertiva, habilidades para la solución de problemas, técnicas de auto-control, técnica de análisis de tareas, aprendizaje cooperativo, así como contingencia de grupo, específicamente el Juego de la Buena Conducta (Ayala et al., 2001 ; Joslyn, Vollmer, & Hernández, 2014 ). Para la intervención se siguió el procedimiento contenido en el manual de aplicación del programa (Mendoza, 2014b ). El profesor fue entrenado por psicólogos especialistas en análisis conductual aplicado.

Para el entrenamiento al profesorado en cada uno de los componentes del programa de intervención se siguió el siguiente procedimiento, durante cada semana:

Fase de Retroalimentación

El psicólogo estableció con cada profesor una sesión semanal de una hora, en la cual le brindó información sobre las estrategias que se emplearían durante la semana de aplicación del componente. Se explicó al profesor que se fortalecería la información proporcionada en la fase de retroalimentación con la demostración de las estrategias por parte del psicólogo en el aula (fase de modelamiento). Durante la retroalimentación, se establecían los acuerdos (profesor y psicólogo) para la implementación de las estrategias.

Fase de Modelamiento

El modelamiento lo llevó a cabo el psicólogo en el aula escolar durante una sesión semanal, durante la clase. El psicólogo modeló al profesor las técnicas de análisis conductual aplicado correspondientes a cada componente.

Implementación por el profesorado

El profesor implementó las estrategias inmediatamente después de la fase de modelamiento. La implementación se desarrolló durante toda la jornada escolar y para todo el grupo de escolares. Por ejemplo, en el primer componente se implementó que el alumno levantara la mano cuando quisiera un turno para participar (en lugar de gritar, lo anterior como técnica de auto-control).

Observaciones en el aula

El psicólogo evaluó la implementación de las técnicas por parte del profesor mediante tres observaciones de 15 minutos. El propósito de dichas observaciones fue identificar si el profesor estaba aplicando las técnicas enseñadas, así como el comportamiento del alumnado. En caso de que el profesor no estuviera aplicando correctamente las técnicas, el psicólogo moldeó en ese momento la estrategia correspondiente al componente enseñado. Las observaciones permitieron señalar al profesorado durante la sesión de retroalimentación sus errores y la forma correcta de aplicar cada técnica. Además se les instruyó sobre prácticas que favorecen la aparición de conducta disruptiva, exclusión, agresión de cualquier tipo, como por ejemplo la falta de monitoreo del profesor.

Conviene destacar que las estrategias enseñadas fueron aplicadas con todos los alumnos. El programa de intervención tuvo una duración de nueve semanas. El profesor de cada grupo implementó el programa de intervención durante toda la jornada escolar. A continuación se específica el objetivo de cada uno de los componentes que conforman el Programa de Entrenamiento al Profesorado.

En el primer componente se entrenó a los profesores durante una sesión semanal a la que se le denomina retroalimentación en la aplicación de técnicas de control de estímulos, monitoreo, moldeamiento y auto-control. El objetivo de este componente fue lograr contar con un aula limpia y ordenada, estableciendo ciertos hábitos como regular las salidas al baño, levantar la mano para participar, trabajar sin exhibir conducta disruptiva y tener el material completo en su mesa.

El segundo componente tuvo como objetivo entrenar a los maestros a desarrollar un reglamento en el aula, estableciendo los costos que el alumnado tendría al romper las reglas, se enseñaron técnicas de respuesta alternativas (respuestas que reemplazan la conducta no deseada), consecuencias contingentes y consistentes al comportamiento de acoso escolar.

El tercer componente tuvo como objetivo entrenar a los maestros para fomentar comportamiento pro-social por parte de sus estudiantes, así comportamiento de sobre-corrección (i.e., enseñar al alumno a exhibir comportamiento que implique ayudar, colaborar o cuidar de otros alumnos, especialmente al alumnado al que se ha lastimado).

El cuarto componente tuvo como objetivo que el profesorado enseñara a sus alumnos técnicas de auto-control, comunicación asertiva, habilidades para la solución de problemas y aprendizaje vicario.

En el quinto componente se enseñó al profesor técnicas de contingencias grupales (i.e., reforzamiento basado en el comportamiento del grupo como unidad). Este tipo de reforzamiento se logra mediante por ejemplo el Juego de la Buena Conducta. Este juego consiste en que el profesor organizó al grupo en equipos de trabajo durante una actividad cotidiana, y con base en el trabajo académico (finalizar el trabajo académico con los requisitos establecidos por el profesor) y conducta adecuada (sin disrupción, ni agresión) entregará consecuencias reforzantes al equipo de trabajo que hizo mejor el trabajo.

El sexto componente tuvo como objetivo enseñar al profesor para la aplicación de técnicas de auto-control de enojo, como relajación, y comunicación asertiva de la emoción de enojo.

En el séptimo componente se tuvo como objetivo enseñar al profesor técnicas para motivar al alumnado para participar en actividades académicas, como la técnica de análisis de tareas y aprendizaje cooperativo.

En el octavo componente se tuvo como objetivo enseñar al profesorado técnicas de retroalimentación y monitoreo cotidiano al trabajo académico del alumnado.

Medición de efectividad del programa de intervención

Para la evaluación del impacto del programa de intervención se realizaron evaluaciones pre y post tratamiento, así como durante la intervención. Para las evaluaciones pre y post tratamiento se utilizó el sistema de observación directa para medir conducta disruptiva y agresiva del alumnado participante. Se hicieron tres observaciones de 15 min cada una, durante una semana antes del tratamiento y tres observaciones de 15 min después de terminado el tratamiento. La evaluación durante el tratamiento se realizó a través del auto-informe denominado buzón de quejas, que permite identificar el tipo de agresión, el número de veces que los alumnos fueron objeto de agresión y el nombre del agresor (insultar, pegar, obligar a hacer algo que no quiere, amenazar, tocamiento de genitales y robar).

Resultados

La evaluación pre y post tratamiento de la ocurrencia de la conducta disruptiva y de acoso escolar, permitió identificar que antes del tratamiento, la conducta que más se presentó fue la conducta disruptiva motriz (permanecer fuera de su lugar, caminar por el aula, subirse a la mesa, comer, aventar objetos, salirse del aula sin permiso) con un total de 106 veces, seguida por la conducta disruptiva verbal (silbar, reír, gritar, conversar con otros, jugar con otros, eructar) con 94 veces. Después del tratamiento la conducta disruptiva motriz disminuyó notablemente de 106 eventos a 16 episodios y la conducta disruptiva verbal de 94 a 15 episodios. Con respecto a la conducta agresiva física (empujar, arrebatar, pegar, romper objetos), antes del tratamiento se presentó con mayor frecuencia en el aula escolar con 51 episodios y la verbal (insultar, llamar apodos, amenazar) con 38 episodios. Después del tratamiento no hubo registros del comportamiento agresivo verbal y se registró un solo episodio de agresión física. En la Tabla 1 se muestra la frecuencia de conducta disruptiva y agresiva en las ocho aulas focales durante tres periodos de observación antes y después del tratamiento.

Tabla 1. Frecuencia de conducta disruptiva y agresiva en ocho aulas focales.
Condición Pre Tratamiento Post tratamiento
Observación 1 2 3 1 2 3
Conducta Motriz 39 34 33 5 8 3
Disruptiva Verbal 32 30 32 5 3 7
Conducta Física 19 18 14 0 1 0
Agresiva Verbal 11 19 8 0 0 0

Buzón de quejas

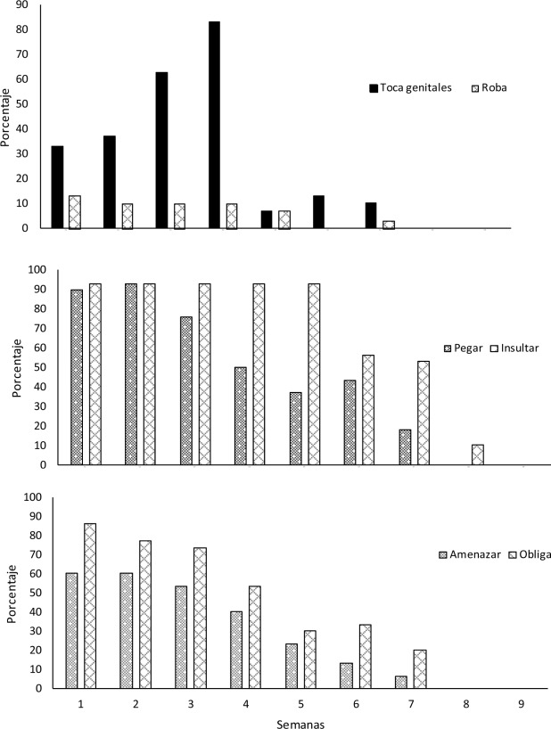
En la Figura 1 se muestra el porcentaje semanal de ocasiones en que durante nueve semanas los alumnos acosadores pegaron, insultaron, le tocaron los genitales, robaron, amenazaron u obligaron a las víctimas a realizar comportamiento que no querían. El periodo que se muestra corresponde a las nueve semanas de intervención. Como muestra la figura, la conducta de pegar estuvo por arriba del 70% durante las tres primeras semanas del programa. A partir de la cuarta semana la conducta fue disminuyendo, hasta no tener reportes de agresión por parte de los alumnos víctimas. Con respecto a los insultos que recibieron las víctimas, se identificó que la conducta de insultar se mantuvo por arriba del 80% durante las primeras cinco semanas del programa, a partir de la sexta semana la conducta comenzó a disminuir hasta tener menos del 10% de reportes por parte del alumnado victimizado en la última semana del tratamiento.


Porcentaje semanal de ocasiones que el alumnado bully pegó, insultó, tocó ...


Figura 1.

Porcentaje semanal de ocasiones que el alumnado bully pegó, insultó, tocó genitales, robó, amenazó u obligó al alumnado víctima a realizar comportamiento que no quería. El periodo que se muestra corresponde a las nueve semanas de intervención.

En la misma figura se muestra que la conducta de tocar genitales reportada por el alumnado víctima tuvo una disminución significativa a partir de la quinta semana de tratamiento, hasta tener menos del 10% de reportes en las siguientes semanas. Con respecto a la conducta de robar, ésta mantuvo un reporte estable por parte de los alumnos victimizados durante cinco semanas, en la sexta, octava y novena semana, no hubo denuncia de robo por parte de los alumnos víctimas.

Se identifica también que la conducta del acosador para obligar a otros a realizar algo que no quería, se mantuvo por arriba del 70% hasta la tercer semana, tuvo un decremento por debajo del 40% en la quinta semana y no hubo reporte del alumnado en las dos últimas semanas del tratamiento. Con respecto, a la conducta de amenazar, su registro durante tres semanas fue por arriba del 50% y en las dos últimas semanas no hubo registros de la conducta por parte de las víctimas.

Discusión

El objetivo del presente estudio fue evaluar la efectividad de un programa de intervención dirigido a para profesores con el fin de disminuir el comportamiento disruptivo y de acoso por parte de alumnos de educación primaria. Los resultados mostraron que éste fue efectivo para que los maestros controlaran la conducta de sus estudiantes y consecuentemente disminuyeran las conductas de acoso escolar. Específicamente, la conducta disruptiva motriz y verbal que el alumnado exhibía durante la clase, tuvo un decremento significativo después de haber implementado el programa. Concurrentemente, las conductas asociadas con seguir instrucciones del profesorado como trabajar en su lugar sin permanecer fuera de su lugar, sin caminar por el aula, sin comer o subirse a los muebles escolares, sin aventar objetos y sin salirse del aula sin permiso aumentaron. La conducta de seguir instrucciones u obediencia, se encuentra estrechamente relacionada con la conducta agresiva en niños (Kazdin, 1985 ) y específicamente con bullying (Arriaga, 2015 ), por lo que el programa de intervención implementado no sólo fue efectivo para disminuir el acoso escolar, sino para aumentar la conducta deseable.

Los resultados de esta investigación demuestran que el profesor es un agente de cambio que contribuye a la disminución significativa de comportamiento de acoso escolar, a través de estrategias de cambio conductual (monitoreo, auto control, costo de respuesta, juego de la buena conducta) y cambios físicos en el aula (control de estímulos). Este efecto se debió a que los profesores implementaron las técnicas aprendidas durante el entrenamiento de forma sistemática durante toda la jornada escolar. El psicólogo dio retroalimentación continua a los profesores para que aplicaran de forma correcta cada técnica conductual. El hallazgo de la efectividad del programa de intervención con profesores para reducir el acoso escolar es similar al reportado por Ayala et al. (2001) quienes reportaron la efectividad de un tratamiento para disminuir el comportamiento agresivo del alumnado. Estos autores utilizaron un programa multi-agente con alumnado de educación básica cuyo objetivo fue disminuir el comportamiento agresivo en el aula (sin que se midiera específicamente acoso escolar). En ese estudio se encontró que la falta de habilidades de los profesores para controlar la conducta disruptiva y agresiva de los alumnos, disminuía la efectividad de las intervenciones con los niños, dado que el maestro no reforzaba dicha disminución. En ese estudio se concluyó que el profesor como agente de cambio fue de gran impacto en la disminución del comportamiento agresivo en los niños. En otras investigaciones también se ha documentado que los programas más exitosos para modificar la conducta infantil han sido aquellos que están dirigidos a brindar información a los profesores sobre habilidades para el control de comportamiento del alumnado, así como sobre cómo reducir la participación del alumnado en los roles de acosador y de víctima (e.g., Merrell and Isava, 2008 ). En cambio, los programas en los que sólo se ha entrenado a los niños han tenido un éxito escaso (Nese et al., 2014 ). El programa zero (Stephens, 2011 ), diseñado para ser aplicado en aulas Noruegas, redujo en un 43% el reporte del alumnado víctima, sin embargo dicho programa está diseñado principalmente para incrementar la vigilancia en la escuela, ya que implica visitas del director a las aulas, vigilancia en los recreos, patrullaje de alumnos para denunciar bullying y anuncios que indican al alumnado la tolerancia cero al bullying. El programa utilizado en el presente estudio tuvo una eficacia de un 90% para reducir la conducta de acoso y de un 100% para la reducción de conductas antisociales. El éxito del programa empleado posiblemente se debió a que se diseñó con base en el supuesto de que el bullying es una conducta aprendida y proactiva, que se usa como medio para obtener ganancias sociales o materiales (Dodge and Schwartz, 1997 ; Hawley et al., 2010 ); por lo tanto para reducirlo eficazmente se hace necesario el uso de leyes de aprendizaje y motivación como las que sustentan las bases del análisis conductual aplicado.

A partir de los resultados obtenidos en el presente estudio, se plantea el desarrollo de programas de intervención basados en análisis experimental de la conducta que permitan poner en práctica durante toda la jornada escolar técnicas de auto-control, control de estímulos, costo de respuesta al romperse reglas, entrenamiento en respuesta funcionalmente equivalente o respuesta alternativas al comportamiento de acoso escolar entre otras.

En esta investigación, se demostró que un programa de intervención dirigido al profesorado como agente de cambio, tiene como efecto el que haya un decremento significativo en el comportamiento de acoso escolar. En consecuencia, los resultados permiten afirmar que el programa de intervención derivado del análisis conductual aplicado, es efectivo para disminuir la conducta de agresión (Kazdin, 1985 ; Patterson, 1982 ), específicamente de bullying.

Los resultados permiten constatar que el programa empleado es efectivo en la reducción del comportamiento de acoso escolar, siendo el profesor quien recibe información para aprender a controlar la conducta de bullying, brindando una repuesta a la denuncia del alumnado víctima a través de costo de respuestas, manejo de contingencias, enseñando técnicas de auto control, poniendo en práctica durante la clase estrategias de cambio conductual que motiven la realización de tareas académicas como el juego de la buena conducta, análisis de tareas y aprendizaje cooperativo.

Finalmente, es importante mencionar que Merrel e Isava (2008) destacaron la necesidad de evaluar programas de intervención a través de medidas de observación, por lo que esta investigación hizo una contribución al respecto.

Una de las limitantes de este trabajo, fue que no se evaluaron las conductas pro-sociales que el alumnado adquirió a través de la implementación del programa de intervención, como la conducta de cooperación, auto-control, hábitos sociales, siendo éstos importantes de evaluar ya que son conductas que protegen al alumnado de la exhibición de comportamiento de acoso. En futuros estudios sería conveniente registrar tanto la frecuencia de conducta de acoso, como la frecuencia de conducta pro-social.

Referencias

  1. Aguilera et al., 2013 S.J. Aguilera, F.J. Pedroza, A.R. Cervantes; Roles desempeñados en el bullying: Implicaciones prácticas; F.J. Pedroza, S.J. Aguilera (Eds.), La construcción de identidades agresoras: El acoso escolar en México, CONACULTA, México (2013), pp. 31–48
  2. Ayala et al., 2001 H. Ayala, A. Chaparro, M. Fulgencio, F.J. Pedroza, S. Morales, A. Pacheco, B. Mendoza, A. Ortiz, E. Vargas, N. Barragán; Tratamiento de agresión infantil: Desarrollo y evaluación de programas de intervención conductual; Revista Mexicana de Análisis de la Conducta, 3 (2001), pp. 1–34
  3. Arriaga, 2015 Y. Arriaga; Tipos de adolescentes y factores de riesgo asociados a episodios de violencia y acoso escolar; Universidad Autónoma del Estado de México, México (2015) Tesis inédita
  4. Cairns and Cairns, 1994 R.B. Cairns, B.D. Cairns; Lifelines and risks: Pathways of youth in our time; Cambridge University Press, Cambridge (1994)
  5. Dodge and Schwartz, 1997 K.A. Dodge, D. Schwartz; Social information processing: An investigation of intra and extra familiar bullying; Journal of Interpersonal Violence, 14 (1997), pp. 871–886
  6. Hawley et al., 2010 P.H. Hawley, K.N. Stump, J.M. Ratliff; Side stepping the jingle fallacy: Bullying, aggression, and the importance of knowing the difference; D. Espelage, S. Swearer (Eds.), Bullying in American schools (2ed), Rutledge, New York (2010), pp. 101–115
  7. Joslyn et al., 2014 P.R. Joslyn, T.R. Vollmer, V. Hernández; Implementation of the good behavior game in classrooms for children with delinquent behavior; Acta de Investigación Psicológica, 4 (3) (2014), pp. 1673–1681
  8. Kazdin, 1985 A. Kazdin; Treatment of antisocial behavior in children and adolescents; Brooks/Cole, Pacific Grove, CA (1985)
  9. Lebakken, 2008 J.M. Lebakken; Implementing the Wisconsin bullying prevention curriculum in a family and consumer sciences education classroom. Tesis de Maestría inédita; Universidad de Wisconsin-Stout (2008)
  10. Low and Van Ryzin, 2014 S. Low, M. Van Ryzin; The moderating effects of school climate on bullying prevention efforts; School Psychology Quarterly, 29 (2014), pp. 306–319
  11. Merrell and Isava, 2008 K. Merrell, D. Isava; How effective are school bullying intervention programs?. A meta-analysis of intervention research; School Psychology Quarterly, 23 (2008), pp. 26–42
  12. Mendoza, 2009 B. Mendoza; Taller para la detección de casos de abuso sexual infantil en niños de educación básica; Revista Iberoamericana de Psicología, 17 (2009), pp. 13–25
  13. Mendoza, 2013 B. Mendoza; Programa anti-bullying para mejorar la convivencia escolar; F. Pedroza, S.J. Aguilera (Eds.), La construcción de identidades agresoras: El acoso escolar en México, CONACULTA, México (2013), pp. 229–230
  14. Mendoza, 2014a B. Mendoza; Asambleas escolares. Estrategia para resolver conflictos a través de competencias; Pax México, México (2014) a
  15. Mendoza, 2014b B. Mendoza; Bullying: Los mútiples rostros del acoso escolar; (2 ed)Pax México, México (2014) b
  16. Olweus, 2001 D. Olweus; Bullying at school: Tackling the problem; Observer, 225 (2001), pp. 24–26
  17. Nese et al., 2014 R. Nese, R. Horner, R. Dickey, B. Stiller, A. Tomlanovich; Decreasing bullying behaviors in middle school: Expect respect; School Psychology Quarterly, 29 (3) (2014), pp. 272–286
  18. Patterson, 1982 G. Patterson; Coercive family process; Castalia Publishing Company, Eugene, Oregon (1982)
  19. Santoyo, 2007 C. Santoyo; Estabilidad y cambio de patrones de comportamiento en escenarios naturales: Un estudio longitudinal en Coyoacán; UNAM/CONACYT, México (2007)
  20. Schultes et al., 2014 M. Schultes, E. Stefanek, R. Schoot van de, D. Strohmeier, C. Spiel; Measuring implementation of a school-based violence prevention program; ZeitschriftfürPsychologie, 222 (1) (2014), pp. 49–57
  21. Stephens, 2011 P. Stephens; Preventing and confronting school bullying: A comparative study of two national programmes in Norway; British Educational Research Journal, 37 (3) (2011), pp. 381–404
Back to Top

Document information

Published on 28/03/17

Licence: Other

Document Score

0

Views 67
Recommendations 0

Share this document

claim authorship

Are you one of the authors of this document?