Abstract

The peristaltic flow analysis in a tapered asymmetric channel has been made for a Johnson–Segalman fluid. The tapered asymmetric channel is assumed to be formed due to a peristaltic wave train on the non-uniform walls having different amplitudes and phase. Two-dimensional equations of a Johnson–Segalman fluid have been simplified by treating a long wavelength and low Reynolds number approximations. The reduced equations are then solved for the stream function, axial velocity and axial pressure gradient using a regular perturbation technique. The expressions for the pressure rise, axial velocity and stream function are sketched and the reasons for the variations observed in various physical parameters are interpreted with valid theory. It has been noticed that peristaltic pumping region and free pumping decrease with an increase in non-uniform parameter and the situation is quite complimentary to the case of augmented pumping. It has also been observed that the size of the tapped bolus decreases with an increase in Weissenberg number.

Keywords

Johnson–Segalman fluid; Peristaltic transport; Tapered asymmetric channel; Perturbation technique

1. Introduction

A variety of applications of a peristaltic motion in non-Newtonian fluids have led to renewed interest among the scientists and researchers. Such applications include urine transport from kidney to bladder, chime motion in the gastrointestinal tract, swallowing food through the esophagus, vasomotion of small blood vessels, movement of spermatozoa in human reproductive tract, blood pumps in dialysis and heart lung machine. Many studies are now found in the literature which includes analytical, numerical and experimental measurements [1], [2], [3], [4], [5], [6], [7], [8], [9], [10], [11] and [12] on the peristaltic flow in different geometries.

Though the earlier studies on peristaltic motion paid much attention on Newtonian fluids there are also systems involving non-Newtonian motion in which the relation between shear stress and shear rate appears to be nonlinear in character. In fact physiological fluids frequently fall under non-Newtonian category. It is quite appropriate to observe the dynamics of the fluids by taking their non-Newtonian behavior into deliberation. Only partial information on the peristaltic transport of non-Newtonian fluids is available in the literatures [13], [14], [15], [16], [17] and [18]. Some constitutive formulation including the Johnson–Segalman model and Giesekus model [19] and [20] contains a nonmonotone shear-stress–shear-rate curve. In the present problem, we focus on the Johnson–Segalman fluid. Johnson and Seglman [21] begin with a constitutive equation that is derived systematically from both the molecular theory of Gaussian networks, and the molecular bead-spring model with Hookean springs. Johnson–Segalman fluid is considered as one among the subclass of viscoelastic fluids. This model has an ability to explain the “spurt” phenomenon. The term “spurt” has been used for the description of large increase in the volume to a small increase in the driving pressure gradient. Researchers [22], [23], [24] and [25] often deployed this model to explain the spurt phenomenon. Several experimentalists have correlated the spurt with a slip at a wall. The three distinct flows of the Johnson–Segalman type have been extensively studied by Rao and Rajagopal [26].

The quest of getting accurate methods for solving resulted nonlinear models involving higher order is of utmost concern for many researchers in this field today. Various analytical methods have been put to use successfully to obtain solutions of classical nonlinear differential equations such as the method of Perturbation method, Adomian decomposition method, Differential transform method and Homotopy perturbation method, [27], [28], [29], [30] and [31]. Hajmohammadi et al. [32] proposed based on semi-analytical methods to solve the conjugate heat transfer problems. The two semi analytical algorithms, Differential Transform Method (DTM) and Adomian Decomposition Method (ADM) are examined for solving a characteristic value problem occurring in linear stability analysis by Hajmohammadi and Nourazar [33]. The same authors discussed that the semi-analytical solution for the nonlinear integro-differential equation occurring in the problem is handled easily and accurately by implementing the Differential Transform Method (DTM) [34].

Physiologists have also observed that the intrauterine fluid flow due to myometrial contractions is peristaltic-type motion and the myometrial contractions may occur in both symmetric and asymmetric directions, De Vries et al. [35]. Eytan et al. [36] had looked at the characterization of non-pregnant woman’s uterine contractions is extremely complicated as they are composed of variable amplitudes, a range of frequencies and different wavelengths. The flows in an asymmetric channel generated by peristaltic waves propagating on the walls with different amplitudes and phase have been observed by Mishra and Rao [37]. In general, asymmetric wall oscillation in non-uniform channels may also exist in biological conduits, e.g., the uterus [38], [39], [40] and [41]. Maxey and Riley [42] disused the particle motion under non-uniform flow and analytically derived an equation for the particle motion through which many forces are measured.

The peristaltic transport of Johnson–Segalman fluid under a magnetic field has been studied by Elshahed and Haroun [43]. Nadeem and Akbar [44] have carried out a detailed analysis on the peristaltic flow of a Johnson–Segalman fluid in a non-uniform tube. The effect of magnetic field on the motion of a Johnson–Segalman fluid has been sculpted by Hayat and Ali [45]. The peristaltic transport of MHD Johnson–Segalman fluid in a planar channel has been discussed by Hayat et al. [46]. Peristaltic motion of Johnson–Segalman fluid in an asymmetric and planar channel was also reported by Hayat et al. [47]. Nadeem and Akbar [48] have made significant study on the peristaltic flow of Johnson–Segalman fluid in a non-uniform tube with heat transfer. Numerous theoretical works have been performed by many authors to investigate the various effects related to the peristaltic transport of a non-Newtonian fluid [49], [50], [51], [52], [53] and [54].

Besides on the foregoing works, we are interested to study the effect of a Johnson–Segalman fluid in the peristaltic wave train on the non-uniform walls of having different amplitudes and phase. It is worthwhile to note that such analysis does not seem to be made available in the existing literature. The governing equations have been simplified by presuming long wavelength approximation and low Reynolds number. With the aid of regular perturbation method, asymptotic solutions for stream function and pressure gradient were obtained. The expressions for pressure rise per wave length were also calculated. The effects of different physical parameters appearing in the problem have been discussed in lucid manner and shown graphically for better understanding.

2. Governing equations

Consider an incompressible, Johnson–Segalman fluid confined in a two dimensional infinite asymmetric channel. We employ a rectangular coordinate system with X parallel and Y normal to the channel walls. Moreover, we consider an infinite wave train traveling with velocity c along the channel walls. The asymmetry in the channel is induced by assuming the non-uniform peristaltic wave train on the walls to have different amplitudes and phases Fig. 1. The shape of the channel walls is

(1)
(2)

Here and are the amplitudes of the waves, λ   is the wavelength, is the non-uniform parameter and is the phase difference. Note that corresponds to the channel with waves out of phase and describes waves in phase. Moreover and ϕ satisfy the following inequality at the inlet of divergent or outlet of convergent channel, otherwise both walls get collided,

(3)

The equations governing the flows of an incompressible fluid are

(4)

where the Cauchy stress tensor for a Johnson–Segalman fluid is [19], [20], [21] and [22]

(5)

(6)

(7)

(8)


Schematic diagram of a tapered asymmetric channel.


Figure 1.

Schematic diagram of a tapered asymmetric channel.

The above equations include the scalar pressure p, the identity tensor I, the dynamic viscosities μ and η, the relaxation time m, the slip parameter e and the respective symmetric and skew symmetric part of velocity gradient D and W. Note that model (4) reduces to the Maxwell fluid model for and , we recover the classical Navier–Stokes fluid model.

For the problem under consideration, the velocity for two dimensional flows is defined

(9)

From Eqs. (3), (4), (5), (6), (7) and (8), we obtain

(10)

(11)

(12)

(13)

(14)

(15)

Defining the following non-dimensional quantities

(16)

Using the above non-dimensional quantities, the Eqs. (10), (11), (12), (13), (14) and (15), which govern the stream function and by means of are

(17)

(18)

(19)

(20)

(21)

where δ is wave number, Re is the Reynolds number and We is the Weissenberg number. The continuity Eq. (10) is identically satisfied.

For the lowest order in δ, Eqs. (17), (18), (19), (20) and (21) take the form

(22)

(23)

(24)

(25)

(26)

Also under this approximation, Eq. (23) indicates that . Elimination of ψ from Eqs. (22) and (23) yields

(27)

Substituting Eqs. (24) and (26) into Eq. (25), we have

(28)

Upon making use of Eq. (28) in Eqs. (22) and (27), we can write

(29)

(30)

The corresponding boundary conditions for the problem are

(31a)

(31b)

3. Perturbed systems and perturbation solutions

After using binomial expansion for small , Eqs. (29) and (30) may be simplified

(32)

(33)

where

Eqs. (32) and (33) are coupled nonlinear differential equations. The exact solutions are not possible so we focus our attention to find the analytical solution. Therefore we use regular perturbation method. For perturbation solution, we express and F

(34a)

(34b)

(34c)

Invoking Eqs. (34a), (34b) and (34c) in Eqs. (31a), (31b), (32) and (33), and comparing the like power of , we have the following systems.

3.1. For the system of order zero,

(35)
(36)
(37)

3.2. For the system of order one,

(38)
(39)
(40)

3.3. For the system of order second,

(41)
(42)
(43)

3.4. Zeroth-order solution

The axial velocity and axial pressure gradient at this order are, respectively, given by

(44)
(45)

3.5. First-order solution

The axial velocity and axial pressure gradient at this order are, respectively, given by

(46)
(47)

3.6. Second-order solution

Substituting Eqs. (44) and (46) into Eq. (41) and solving the resulting equation subject to the boundary conditions 43 we obtain

(48)
(49)

where

Now we summarize our results using Eqs. (34a), (34b) and (34c) and the relations

(50)
(51)
(52)

The average rise in pressure over one period of wavelength is given by

(53)

4. Graphical results and discussion

In order to discuss the obtained results quantitatively, we assume the instantaneous volume rate of the flow periodic in [47], [48], [49], [50], [55], [56] and [57] as;

(54)

where Q is the time-average of the flow over one period of the wave.

The expression for involves the integration of . Due to complexity of , Eq. (53) is not integrable analytically. Consequently, a numerical integration scheme is required for the evaluation of the integrals. MATHEMATICA and MATLAB are used to evaluate the integrals and all the plots have been then generated for the various values of the parameters of interest.

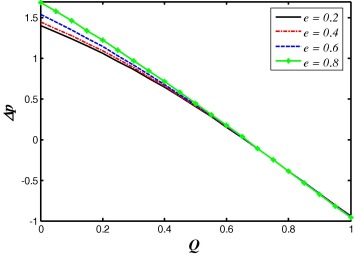
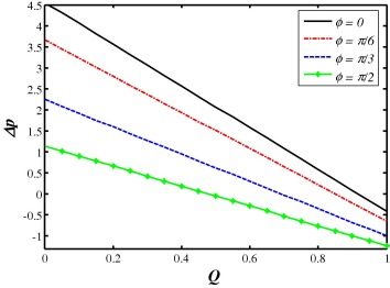
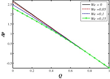
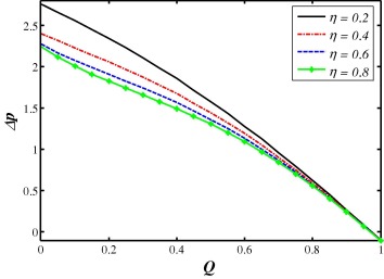
Figure 2, Figure 3, Figure 4, Figure 5, Figure 6 and Figure 7 show the graph of the average rise in pressure to against the variation of time-average flux Q  . The pumping regions such as peristaltic pumping (), augmented pumping () and retrograde pumping (), are also depicted in Figure 2, Figure 3, Figure 4, Figure 5, Figure 6 and Figure 7. The dependence of the average rise in pressure on a is illustrated in Fig. 2. One could notice from Fig. 2 that peristaltic pumping region becomes wider as a increases. Fig. 3 reveals that the peristaltic pumping region and free pumping decrease with an increase in non-uniform parameter k and the situation is quite complimentary to the case of augmented pumping. Fig. 4 shows the variation of average rise in pressure against mean flow rate Q, for different values of Weinberg number We. It is noticed that the pumping rate decreases with an increase in Weinberg number and in the free pumping, the curves appear to be overlapped. The plot shown in Fig. 5 reveals that the mean flow rate Q   increases as decreases and the pumping region decreases with the increase in the value of phase difference . Fig. 6 shows the plots of against mean flow rate Q for various values of slip parameter e  . It indicates that dispersion of in increasing trend due to slip parameter shows to be nonlinear. Fig. 7 shows the variation of the dynamic viscosity parameter on against . This graph reveals that the average rise in pressure decreases by increasing the dynamic viscosity parameter in the augmented pumping region . For large values of η, the curves of the average rise in pressure against Θ reflect the nonlinear character.


Effects of the upper wave amplitude of the channel a on variation of Δp with Q ...


Figure 2.

Effects of the upper wave amplitude of the channel on variation of with Q for and .


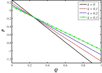
Effects of the non-uniform of the channel k on variation of Δp with Q for ...


Figure 3.

Effects of the non-uniform of the channel k   on variation of with Q for and .


Effects of the weissenberg of the channel We on variation of Δp with Q for ...


Figure 4.

Effects of the weissenberg of the channel We   on variation of with Q for and .


Effects of the phase difference of the channel η on variation of Δp with Q for ...


Figure 5.

Effects of the phase difference of the channel η   on variation of with Q for and .


Effects of the slip of the channel e on variation of Δp with Q for ...


Figure 6.

Effects of the slip of the channel e   on variation of with Q for and .


Effects of the dynamic viscosity of the channel η on variation of Δp with Q for ...


Figure 7.

Effects of the dynamic viscosity of the channel η   on variation of with Q for and .

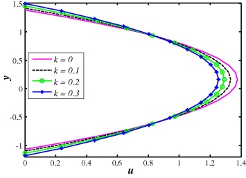
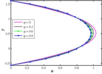
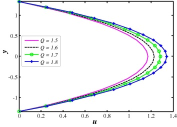
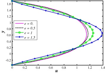
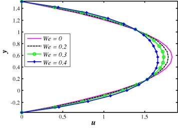
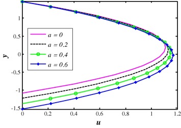
The effect of amplitude of lower wall on the axial velocity is displayed in Fig. 8. It is clear that the axial velocity increases by increasing a  . The upshot of the slip parameter on u is depicted in Fig. 9. It is inferred that the axial velocity u decreases in nearer part of lower and upper half on the trapped asymmetric channel, whereas a converse behavior seems to be observed in the core region of the trapped channel. Figure 10, Figure 11 and Figure 12 are plotted to study the velocity distribution of the fluid for different values of the dynamic viscosity parameter non-uniform parameter and Weinberg number . It could be perceived from the graphs that the increase in values of and We, decreases the axial velocity in the center region of the tapered asymmetric channel. Fig. 13 displays the influence of mean flow rate on the axial velocity distribution. It reveals that an increase in Q results in the increase in axial velocity.


Velocity profile for different values of a when ...


Figure 8.

Velocity profile for different values of a   when and .


Velocity profile for different values e when ...


Figure 9.

Velocity profile for different values e   when and .


Velocity profile for different values of η when ...


Figure 10.

Velocity profile for different values of η   when and .


Velocity profile for different values k when ...


Figure 11.

Velocity profile for different values k   when and .


Velocity profile for different values of We when ...


Figure 12.

Velocity profile for different values of We   when and .


Velocity profile for different values of Q when ...


Figure 13.

Velocity profile for different values of Q   when and .

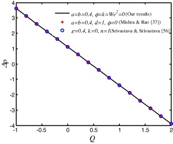
The phenomenon of trapping is another interesting area in peristaltic transport. In a reference wave frame, the formation of an internally circulating bolus of fluid by closed streamlines is called trapping and this trapped bolus is pushed ahead along with the peristaltic wave. It is interesting to notice that bolus also appears in the fixed frame which may probably be due to the influence of nonzero time-average of the flow over one period of the wave. The streamlines for different values of a are shown in Fig. 14. It is also observed that the size of bolus increases with increasing a. The sound effects of We on trapping are shown for the tapered asymmetric channel in Fig. 15. Fig. 15(a) shows that the bolus is asymmetric about the centerline and its size decreases with an increase in . The influence of the time average flow Q on the streamlines is displayed in Fig. 16. We observe that the trapped bolus increases in size as Q increases and more trapped bolus appears with increasing Q. Fig. 17 finally reveals that our results are in good agreement with Mishra and Rao [37] and Srivastava and Srivastava [56] in which we have taken half of mean flow rate in respect of Ref. [56].


Streamlines for (a) a=0, (b) a=0.3. ...


Figure 14.

Streamlines for (a) , (b) . (.


Streamlines for (a) We=0, (b) We=0.6. ...


Figure 15.

Streamlines for (a) , (b) . (.


Streamlines for (a) Q=1.5, (b) Q=1.6 ...


Figure 16.

Streamlines for (a) , (b) (.


Comparison result of average rise in pressure versus mean flow rate.


Figure 17.

Comparison result of average rise in pressure versus mean flow rate.

5. Conclusions

We have developed a mathematical model to study the peristaltic transport of a Johnson–Segalman fluid in the tapered asymmetric channel. The tapered asymmetry channel is produced by choosing the peristaltic wave train on the non-uniform walls to have different amplitudes and phase. A long-wavelength and low-Reynolds number approximations have been adopted. A regular perturbation method was employed to obtain the expression for stream function, axial velocity and pressure gradient. The interaction of the rheological parameters of the fluid with peristaltic flow is discussed. The main results can be summarized as follows:

  • It has been found that the average rise in pressure increases with the increase of a and e and decreases with and η.
  • It was also observed that the axial velocity decreases with increase of and ϕ.
  • The velocity increases with increasing and Q.
  • The size of trapped bolus decreases with an increase in the mean flow rate.
  • It is noticed that our results find a very good matches with Hayat et al. [47] in the absence of non-uniform parameter .

References

  1. [1] A.H. Shapiro, M.Y. Jaffrin, S.L. Weinberg; Peristaltic pumping with long wavelength at low Reynolds number; J. Fluid Mech., 37 (1969), pp. 799–825
  2. [2] M.R. Hajmohammadi, S.S. Nourazar, A. Campo; Analytical solution for two-phase flow between two rotating cylinders filled with power law liquid and a micro layer of gas; J. Mech. Sci. Technol., 28 (2014), pp. 1849–1854
  3. [3] M.R. Hajmohammadi, S.S. Nourazar; On the insertion of a thin gas layer in micro cylindrical Couette flows involving power-law liquids; Int. J. Heat Mass Transfer, 75 (2014), pp. 97–108
  4. [4] N.S. Akbar, S. Nadeem; Exact solution of peristaltic flow of biviscosity fluid in an endoscope: a note; Alex. Eng. J., 53 (2014), pp. 449–454
  5. [5] Y.C. Fung, C.S. Yih; Peristaltic transport; J. Appl. Mech., 35 (1968), pp. 669–675
  6. [6] M. Kothandapani, S. Srinivas; Non-linear peristaltic transport of a Newtonian fluid in an asymmetric channel through a porous medium; Phys. Lett. A, 372 (2008), pp. 1265–1276
  7. [7] A. Riaz, R. Ellahi, S. Nadeem; Peristaltic transport of a Carreau fluid in a compliant rectangular duct; Alex. Eng. J., 53 (2014), pp. 475–484
  8. [8] M.Y. Jaffrin, A.H. Shapiro; Peristaltic pumping; Annu. Rev. Fluid Mech., 3 (1971), pp. 13–16
  9. [9] A.R. Rao, M. Mishra; Peristaltic transport of a power-law fluid in a porous tube; J. Non-Newton. Fluid Mech., 121 (2004), pp. 163–174
  10. [10] K. Vajravelu, G. Radhakrishnamacharya, V.R. Murty; Peristaltic transport of a Herschel–Bulkley fluid in an inclined tube; Int. J. Non-Linear Mech., 40 (2005), pp. 83–90
  11. [11] M. Kothandapani, S. Srinivas; On the influence of wall properties in the MHD peristaltic transport with heat transfer and porous medium; Phys. Lett. A, 372 (2008), pp. 4586–4591
  12. [12] S. Srinivas, M. Kothandapani; Peristaltic transport in an asymmetric channel with heat transfer – a note; Int. Commun. Heat Mass Transfer, 35 (2008), pp. 514–522
  13. [13] M.H. Haroun; Effect of Deborah number and phase difference on peristaltic transport of a third-order fluid in an asymmetric channel; Commun. Nonlinear Sci. Numer. Simul., 12 (2007), pp. 1464–1480
  14. [14] M. Kothandapani, S. Srinivas; Peristaltic transport of a Jeffrey fluid under the effect of magnetic field in an asymmetric channel; Int. J. Non-Linear Mech., 43 (2008), pp. 915–924
  15. [15] P. Naga Rani, G. Sarojamma; Peristaltic transport of a Casson fluid in an asymmetric channel; Aust. Phys. Eng. Sci. Med., 27 (2004), pp. 49–59
  16. [16] D. Srinivasacharya, M. Mishra, A.R. Rao; Peristaltic pumping of a micropolar fluid in a tube; Acta Mech., 161 (2003), pp. 165–178
  17. [17] O. Eytan, D. Elad; Analysis of intra-uterine fluid motion induced by uterine contractions; Bull. Math. Biol., 61 (1999), pp. 221–228
  18. [18] Md. Asif Ikbal, S. Chakravarty, P.K. Mandal; An unsteady transport phenomenon of non-Newtonian fluid – a generalized approach; Appl. Math. Comput., 201 (2008), pp. 16–34
  19. [19] R. Kolkka, D. Malkus, M. Hansen, G. Ierley, R. Worthing; Spurt phenomena of the Johnson–Segalman fluid and related models; J. Non-Newton. Fluid Mech., 29 (1988), pp. 303–335
  20. [20] R. Kolkka, G. Ierley; Spurt phenomena for the Giesekus viscoelastic liquid Model; J. Non-Newton. Fluid. Mech., 33 (1989), pp. 305–323
  21. [21] M. Johnson, D. Segalman; A model for viscoelastic fluid behavior which allows non- deformation; J. Non-Newton. Fluid Mech., 2 (1977), pp. 255–270
  22. [22] T. Hayat, M. Javed, S. Asghar; MHD peristaltic motion of Johnson–Segalman fluid in a channel with compliant walls; Phys. Lett. A, 372 (2008), p. 5026
  23. [23] D.S. Malkus, J.A. Nohel, B.J. Plohr; Dynamics of shear flow of a non-Newtonian fluid; J. Comput. Phys., 87 (1990), pp. 464–487
  24. [24] T.C.B. McLeish, R.C. Ball; A molecular approach to the spurt effect in polymer melt flow; J. Polym. Sci. (B), 24 (1986), pp. 1735–1745
  25. [25] A.M. Kraynik, W.R. Schowalter; Slip at the wall and extrudate roughness with aqueous solutions of polyvinyl alcohol and sodium borate; J. Rheol., 25 (1981), pp. 95–114
  26. [26] I.J. Rao, K.R. Rajagopal; Some simple flows of a Johnson–Segalman fluid; Acta Mech., 132 (1999), pp. 209–219
  27. [27] M. Kothandapani; The influence of exponential viscosity on a MHD viscoelastic fluid flow over a stretching sheet; Int. J. Appl. Math. Mech., 9 (2013), pp. 81–91
  28. [28] A.M.A. El-Sayed, M. Gaber; The Adomian decomposition method for solving partial differential equations of fractal order in finite domains; Phys. Lett. A, 359 (2006), pp. 75–182
  29. [29] S.J. Liao; Comparison between the homotopy analysis method and homotopy perturbation method; Appl. Math. Comput., 169 (2005), pp. 1186–1194
  30. [30] S. Abbasbandy, E.J. Parkes; Solitary smooth hump solutions of the Camassa–Holm equation by means of the homotopy analysis method; Chaos Soliton. Fract., 36 (2008), pp. 581–591
  31. [31] J.H. He; A coupling method of a homotopy technique and a perturbation technique for non-linear problems; Int. J. Non-Linear Mech., 35 (2000), pp. 37–43
  32. [32] M.R. Hajmohammadi, S.S. Nourazar, A.H. Manesh; Semi-analytical treatments of conjugate heat transfer; J. Mech. Eng. Sci., 227 (2013), pp. 492–503
  33. [33] M.R. Hajmohammadi, S.S. Nourazar; On the solution of characteristic value problems arising in linear stability analysis; semi analytical approach; Appl. Math. Comput., 239 (2014), pp. 126–132
  34. [34] M.R. Hajmohammadi, S.S. Nourazar; Conjugate forced convection heat transfer from a heated flat plate of finite thickness and temperature-dependent thermal conductivity; Heat Transfer Eng., 35 (2014), pp. 863–874
  35. [35] K. De Vries, E.A. Lyons, J. Ballard, C.S. Levi, D.J. Lindsay; Contractions of the inner third of myometrium; Am. J. Obst. Gyn., 162 (1990), pp. 679–9682
  36. [36] O. Eytan, A.J. Jaffa, J. Har-Toov, E. Dalach, D. Elad; Dynamics of the intra-uterine fluid-wall interface; Ann. Biomed. Eng., 27 (1999), pp. 372–379
  37. [37] M. Mishra, A. Ramachandra Rao; Peristaltic transport of a Newtonian fluid in an asymmetric channel; ZAMP, 53 (2003), pp. 532–550
  38. [38] S.L. Weinberg, A Theoretical and Experimental Treatment of Peristaltic Pumping and Its Relation to Ureteral Function, Ph.D. Thesis, M.I.T., Massachusetts, 1970.
  39. [39] S.L. Weinberg; Ureteral function: II. The ureteral catheter and the urometrogram; Invest. Urol., 12 (1975), pp. 255–261
  40. [40] M.S. Parmar; Kidney stones; B.M.J., 328 (2004), pp. 1420–1424
  41. [41] F. Kiil; The Function of the Ureter and Renal Pelvis; W.B. Saunders (1957)
  42. [42] M.R. Maxey, J.J. Riley; Equation of motion for a small rigid sphere in a non uniform flow; Phys. Fluids, 26 (1983), pp. 883–889
  43. [43] M. Elshahed, M.H. Haroun; Peristaltic transport of Johnson–Segalman fluid under effect of a magnetic field; Math. Prob. Eng., 6 (2005), pp. 663–677
  44. [44] S. Nadeem, N.S. Akbar; Influence of heat transfer on a peristaltic flow of Johnson–Segalman fluid in a non uniform tube; Int. Commun. Heat Mass Transfer, 36 (2009), pp. 1050–1059
  45. [45] A. Hayat, N. Ali; A mathematical description of peristaltic hydromagnetic flow in a tube; Appl. Math. Comput., 188 (2007), pp. 491–1502
  46. [46] T. Hayat, F.M. Mahomed, S. Ashgar; Peristaltic flow of a magnetohydrodynamic Johnson–Segalman fluid; Nonlinear Dynam., 40 (2005), pp. 375–385
  47. [47] T. Hayat, A. Afsar, N. Ali; Peristaltic transport of a Johnson–Segalman fluid in an asymmetric channel; Math. Comput. Modell., 47 (2008), pp. 380–400
  48. [48] S. Nadeem, N.S. Akbar; Influence of heat transfer on a peristaltic flow of Johnson–Segalman fluid in a non uniform tube; Int. Commun. Heat Mass Transfer, 36 (2009), pp. 1050–1059
  49. [49] M. Kothandapani, J. Prakash; Influence of heat source, thermal radiation and inclined magnetic field on peristaltic flow of a Hyperbolic tangent nanofluid in a tapered asymmetric channel; IEEE Trans. NanoBiosci., 14 (2015), pp. 385–392
  50. [50] M. Kothandapani, J. Prakash; Effects of thermal radiation parameter and magnetic field on the peristaltic motion of Williamson nanofluids in a tapered asymmetric channel; Int. J. Heat Mass Transfer, 81 (2015), pp. 234–245
  51. [51] A. Riaz, R. Ellahi, S. Nadeem; Peristaltic transport of a Carreau fluid in a compliant rectangular duct; Alex. Eng. J., 53 (2014), pp. 475–484
  52. [52] M. Kothandapani, J. Prakash; The peristaltic transport of Carreau Nanofluids under effect of a magnetic field in a tapered asymmetric channel: application of the cancer therapy; J. Mech. Med. Bio., 15 (2015), p. 1550030
  53. [53] M. Kothandapani, J. Prakash; Effect of radiation and magnetic field on peristaltic transport of nanofluids through a porous space in a tapered asymmetric channel; J. Magn. Magn. Mater., 378 (2015), pp. 152–163
  54. [54] N.S. Akbar, S. Nadeem, Z.H. Khan; Numerical simulation of peristaltic flow of a Carreau nanofluid in an asymmetric channel; Alex. Eng. J., 53 (2014), pp. 191–197
  55. [55] T. Hayat, S. Mumtaz; Resonant oscillations of a plate in an electrically conducting rotating Johnson–Segalman fluid; Comput. Maths. Appl., 50 (2005), pp. 1669–1676
  56. [56] L.M. Srivastava, V.P. Srivastava; Peristaltic transport of a power-law fluid: application to the ductus efferentes of the reproductive tract; Rheol. Acta, 27 (1988), pp. 428–433
  57. [57] L.M. Srivastava, V.P. Srivastava, S.N. Sinha; Peristaltic transport of a physiological fluid: Part I. Flow in non–uniform geometry; Biorheology, 20 (1983), pp. 153–166
Back to Top

Document information

Published on 12/04/17

Licence: Other

Document Score

0

Views 26
Recommendations 0

Share this document

claim authorship

Are you one of the authors of this document?