Resumen

El presente estudio reporta resultados de validez factorial de la escala Española de Salud Mental Positiva (SMP) de Lluch (1999), y convergente con una medida de resiliencia, en una muestra no clínica de niños mexicanos, por medio de un estudio de corte transversal con 194 niños, (n=72 hombres, n=122 mujeres) entre 9 y 12 años edad, de la ciudad de Toluca México. Del análisis factorial exploratorio con el método de componentes principales y rotación oblicua se extrajeron 4 de las seis dimensiones originales, con el 39.61% de varianza total. El análisis factorial confirmatorio mostró un modelo tridimensional con un moderado ajuste el cual requiere continuar especificando. Se obtuvo un alfa de Cronbach satisfactorio y se comprueba la validez convergente con resiliencia. Los datos sugieren la necesidad de hacer una revisión de aspectos conceptuales y metodológicos del constructo a fin de tener resultados consistentes.

Abstract

This study reports validity results of the Spanish Positive Mental Health Scale (PMH) by Lluch (1999), which converged with measures of resilience, in a non-clinical sample of Mexican children, through a cross-sectional study with 194 children (n = 72 men, n = 122 women), between 9 and 12 years old from the city of Toluca, Mexico. An exploratory factor analysis, using the principal components and oblique rotation method, extracted 4 from the six original dimensions, with 39.614% of total variance. The confirmatory factor analysis showed a three-dimensional model which requires further investigation and detail. A satisfactory Cronbachs Alpha was obtained, which proves convergent validity with resilience. The data suggests the need of a conceptual and methodological reviews of the construct in order to have more consistent results.

Palabras Clave

Salud Mental Positiva ; Resiliencia ; Validez ; Escala

Keywords

Positive Mental Health ; Resilience ; Validity ; Scale

La escala de salud mental positiva (SMP) desarrollada por Lluch en 1999, es un instrumento de los denominados de autoreporte, cuyo propósito es realizar una valoración del nivel de salud mental positiva ya que, evalúa atributos positivos de la persona en población general. La SMP es un concepto propuesto por Jahoda (1958) , el cual hace alusión a una característica estable de la personalidad y no a una condición momentánea por situaciones puntuales, y se caracteriza por la presencia de un mayor número de situaciones de afectos positivos (Amar et al., 2008 ).

La escala de Lluch (1999) , está basada en el modelo multidimensional de Jahoda (1958) en el cual se proponen seis criterios generales, y estos los desglosa en 16 dimensiones que son: 1) Actitudes hacia sí mismo, (accesibilidad del yo a la conciencia, concordancia del yo real-yo ideal, autoestima y sentido de identidad). 2) Crecimiento, desarrollo y autoactualización (motivación por la vida e implicación en la vida). 3) Integración (equilibrio psíquico, filosofía personal sobre la vida y resistencia al estrés). 4) Autonomía (autorregulación y conducta independiente). 5) Percepción de la realidad (percepción objetiva y empatía o sensibilidad social). 6) Dominio del entorno (satisfacción sexual, adecuación en el amor, el trabajo, adecuación en las relaciones interpersonales, habilidad para satisfacer las demandas del entorno, adaptación y ajuste y resolución de problemas).

Los resultados de investigación de Lluch (1999 ; 2002 ) en muestras de universitarios, perfilan la existencia de factores explicativos de la salud mental positiva diferentes de los planteados originalmente por Jahoda (1958) , por lo que sus hallazgos conducen a plantear un nuevo modelo de salud mental positiva, cuyo perfil está compuesta por 6 dimensiones que son: satisfacción personal, actitud prosocial, integración, autonomía, resolución de problemas y autoactualización y, habilidades de relación interpersonal.

Dado que hoy en día existe la tendencia de pasar de la medición de la enfermedad, a la medición de la salud positiva (Medina, 2011 ; Avia & Vázquez, 1999 ), se requiere contar con pruebas válidas y confiables para nuestro contexto. La revisión al respecto, muestra que al momento sólo se encuentra una medida de este constructo desarrollada por Lluch (1999) la cual proporciona las bases para contar con una medida válida y confiable, además de que es la más aplicada de manera reciente (Padilla, 2007 ; Pando, Aranda, Salazar, Estrada & Bermúdez, 2006 ; Pérez, Maldonado & Aguilar, 2013 ).

Según la evidencia, la escala de SMP ha demostrado ser un importante aporte para el estudio de los rasgos positivos que definen la salud en adolescentes y adultos con buenos indicadores de validez y confiabilidad. No obstante, su uso en población infantil no se ha reportado en nuestro país, por lo que tiene particular relevancia el disponer de instrumentos validados ecológicamente (Nunnally & Bernstein, 1999 ), y culturalmente relevantes (Reyes Lagunes, 1996 ; 2011 ) que permitan ser adaptados a las características culturales del contexto específico que se pretende utilizar. Si bien se han reportado su uso en México con población adulta (Jaik, Villanueva & Tena, 2011 ), es necesario contar con herramientas que permitan la medición de procesos, conductas y habilidades en estas etapas del desarrollo, así como contar con mayor evidencia empírica acerca de su utilidad e idoneidad, en este caso, para niños, para sentar las bases para una nueva mirada en el estudio de la salud en México.

De acuerdo con los antecedentes referidos, se espera tener evidencia de la validez de constructo de la escala de SMP en una muestra de niños mexicanos, la identificación de las seis dimensiones del instrumento, así como medir el grado de relación con una medida de resiliencia, variable que converge teóricamente con el constructo en cuestión. Lo anterior se debe a que la evidencia indica que los individuos resilientes son personas que prosperan en medio de la adversidad (González Arratia, 2011 ; Betancourt, Meyers-Ohki, Charrow & Hansen, 2013 ) con mayor capacidad de recuperación y salud mental más sólida (Davydov, Stewart, Ritchie & Chaudieu, 2010 ; Skehill, 2001 ). Al respecto, se ha observado que un estado mental de funcionamiento eficaz, la persona realiza actividades productivas, tiene relaciones satisfactorias con sus semejantes, se adapta más fácilmente a los cambios y enfrenta la adversidad (Martínez, Terrones, Vázquez & Hernández, 2009 ; Quiceno et al., 2002).

En concreto los objetivos son: validar la escala de SMP (Lluch, 1999 ) a través de análisis factorial exploratorio (AFE) y confirmatorio (AFC), calcular la consistencia interna del conjunto de ítems y estimar su validez con un criterio externo que es resiliencia. Se esperan correlaciones moderadas y positivas entre las dimensiones de la escala de SMP y resiliencia en una muestra de niños. Estos resultados son útiles para contar con pruebas psicológicas que permitan medir el constructo y sobre todo evidencia empírica de pruebas que sean sensibles válidas y confiables para nuestro contexto.

Método

Participantes

Se aplicaron un total de 200 instrumentos, de los cuales fueron válidos sólo 194, ya que no se completaron, de tal forma que no fueron incluidos en el estudio; por lo que se reportan datos de una muestra no probabilística de tipo intencional de 194 niños (72 hombres, 122 mujeres) entre 9 y 12 años de edad (M=10.59, DS=0.69), todos estudiantes de educación básica, pertenecientes a una escuela pública de la ciudad de Toluca, Estado de México.

Instrumentos

Escala de Salud Mental Positiva ( Lluch, 1999 ). Consta de 39 reactivos y cuatro opciones de respuesta que van de siempre a nunca, divididos en seis factores que son: Factor 1 Satisfacción personal: mide autoconcepto, satisfacción con la vida personal y satisfacción con las perspectivas de futuro, (8 ítems, alfa de Cronbach= 0.82). Factor 2 Actitud prosocial: se refiere a predisposición activa hacía lo social, hacía la sociedad, actitud social altruista (actitud de ayuda- apoyo hacía los demás), aceptación de los demás y de los hechos sociales diferenciales (5 ítems, alfa de Cronbach=0.58). Factor 3 Autocontrol: es la capacidad para el afrontamiento del estrés de situaciones conflictivas equilibrio emocional, control emocional, tolerancia a la ansiedad y al estrés (5 ítems, alfa de Cronbach=0.81). Factor 4 Autonomía: es la capacidad para tener criterios propios, independencia, autorregulación de la propia conducta, seguridad personal, confianza en sí mismo, (5 ítems, alfa de Cronbach=0.77). Factor 5 resolución de problemas y autoactualización: mide la capacidad de análisis, habilidad para tomar decisiones, flexibilidad, capacidad para adaptarse a los cambios, actitud de crecimiento y desarrollo personal continuo (9 ítems, alfa de Cronbach= 0.79). Factor 6 Habilidades de relación interpersonal: es la habilidad para establecer relaciones interpersonales, empatía (capacidad para entender los sentimientos de los demás), habilidad para dar apoyo emocional, habilidad para establecer relaciones interpersonales íntimas (7 ítems, alfa de Cronbach= 0.71). La escala global reporta una consistencia interna a través de alfa de Cronbach de 0.9061 y fiabilidad test- retest de r=.85. Los seis factores extraídos explican el 46.8% de la varianza total. La correlación entre todos los factores es significativa por lo que la autora confirma una estructura multifactorial.

Escala de Resiliencia ( González Arratia, 2011 ). Es un instrumento de autoinforme previamente desarrollado en México para niños y adolescentes que mide factores específicos de la resiliencia basada en los postulados de Grotberg (2006) organizados en cuatro categorías: yo tengo (apoyo), yo soy y estoy (atañe al desarrollo de fortaleza psíquica) yo puedo (remite a la adquisición de habilidades interpersonales). Compuesto de 32 reactivos con un formato de respuesta tipo Likert de cinco puntos (el valor 1 indica nunca y el 5 siempre) y una varianza total explicada de 40.33%. El primer factor explica el 14.83% de la varianza, en el caso del factor 2 fue de 13.51% y el factor 3 con una varianza de 11.98% y una consistencia interna de alfa de Cronbach alta con los 32 ítems de 0.91. En estudios previos del análisis factorial confirmatorio, se comprobó la tridimensionalidad del instrumento de resiliencia (González Arratia & Valdez, 2012 ). Sus dimensiones son: Factores protectores internos (FPI), mide habilidades para la solución de problemas (alfa= 0.80, 14 ítems). Factores protectores externos (FPE), evalúa el apoyo de la familia y/o personas significativas para el individuo (alfa = 0.73, 11 ítems). Empatía (FE), evalúa comportamiento altruista y prosocial (alfa= 0.78, 7 ítems). En esta investigación se obtuvo un Alpha de Cronbach total de 0.89.

Procedimiento

Previa autorización de la institución y del consentimiento informado por parte de los padres, todos los participantes completaron ambas escalas en una sesión y en un tiempo aproximado de 45 minutos en los salones de clase y en horarios académicos de manera voluntaria anónima y confidencial, siguiendo los estándares éticos que indica la American Psychological Association (2002 , pp.381). Todos los participantes fueron informados del propósito de la investigación, y fueron atendidas las dudas que surgieron en el momento de aplicación.

Análisis estadísticos

Se realizó un análisis descriptivo y análisis para determinar la normalidad de los datos. El análisis de discriminación de reactivos se hizo por medio de la prueba t de Student. El Cálculo del coeficiente de confiabilidad fue a través de alfa de Cronbach. Se hizo un análisis factorial exploratorio y con base en este resultado se llevó a cabo un análisis factorial confirmatorio; para comprobar la validez convergente se aplicó el análisis de correlación de Pearson y regresión para la estimación del efecto en el programa SPSS versión 20, así como el programa AMOS versión 20.

Resultados

Validación de la escala SMP

El procedimiento para la validación de la escala de salud mental positiva se llevó a cabo en cuatro etapas. En primer lugar se realizó una revisión de la escala a fin de garantizar que los aspectos gramaticales, la claridad semántica y adecuación tanto en las instrucciones como en los ítems fuera apropiada para la muestra bajo estudio y poder establecer la equivalencia conceptual de la prueba. Este proceso lo llevó a cabo el propio investigador, así como la consulta de tres expertos en el diseño de instrumentos psicológicos los cuales actuaron como jueces. De ésta revisión, se llegó a la conclusión de que los reactivos eran conceptualmente claros, la cual es una estrategia recomendada por Anastasi y Urbina (1998) . A partir de lo anterior, se consideró que no era necesario la adaptación de los ítems al español hablado en México.

En una segunda etapa, se llevó a cabo la aplicación piloto a una muestra de 30 niños por los propios investigadores y así conocer la opinión de los participantes acerca de la prueba, por medio de entrevistas semiestructuradas y así detectar aquellos ítems que presentaban alguna dificultad en el instrumento, comprobar la aplicabilidad y el grado de claridad de la prueba (Comisión Internacional de Test –ITC-, 2005; Figueiredo, Koller & Schnell, 2013 ). En virtud de que no existieron dudas o comentarios la prueba fue aplicada como lo indica la autora. La tercera etapa consistió en la aplicación de la escala a la muestra seleccionada, así como la captura de datos. En un cuarto momento se llevaron a cabo los análisis de resultados.

Análisis de ítems escala SMP

El primer análisis que se llevó a cabo, fue para comprobar la distribución de los datos, usando para ello la prueba Kolmogorov-Smirnov, se obtuvieron los puntajes totales y en el caso de la escala de salud mental positiva si existe distribución normal (Zk-s= 1.29 p=.071), mientras que en la escala de resiliencia, se observó que no se ajustan a la curva normal (Zk-s= 1.70, p=.006) por lo tanto se rechaza la hipótesis nula. A pesar del incumplimiento del supuesto de normalidad y que se vea afectada la potencia de la prueba, no la invalida (Landero & González, 2006 ).

Para examinar el poder discriminativo de los ítems de la escala de SMP, se realizó un análisis con la prueba t de Student, en el que se compararon los grupos 1 (25% más alto) y grupo 2 (25% más bajo), en el que se encontró que 21 de los 39 ítems existen diferencias significativas. Los resultados se muestran en la Tabla 1 .

Tabla 1. Diferencias puntajes altos y bajos escala de salud mental Positiva
Reactivo t P
S1 -36.98 .000
S2 -35.02 .000
S4 -37.96 .000
S5 -47.50 .000
S15 -40.30 .000
S17 -25.21 .000
S18 -54.69 .000
S20 -56.20 .000
S21 -52.47 .000
S22 -52.65 .000
S23 -38.40 .000
S25 -46.09 .000
S26 -54.60 .000
S27 -58.65 .000
S29 -48.60 .000
S30 -41.62 .000
S32 -36.71 .000
S33 -42.50 .000
S34 -42.50 .000
S36 -36.79 .000
S37 -45.59 .000

Análisis de consistencia interna escala SMP

El análisis de confiabilidad, se llevó a cabo por medio del cálculo de alfa de Cronbach, y para el total de la escala fue de 0.807. Por factores, la dimensión resolución de problemas, mostró un coeficiente alfa bajo ya que no alcanza el valor de 0.80, (alfa=0.505) y el resto de los coeficientes están por arriba de 0.70. En el caso de los reactivos 1,5,11,17,23,24,29,35 y 36 se decidió eliminarlos ya que presentaron valores mayores al alfa total.

Análisis de Validez de la escala de SMP

Se realizó un análisis factorial exploratorio (AFE) para obtener las dimensiones fundamentales, se obtuvo la prueba de esfericidad de Barlett y el índice KMO para valorar la adecuación de la solución factorial con estos datos, la cual resultó con significación estadística (KM0=0.80; p=0.001). Estos valores indicaron que era pertinente el análisis, por lo que se llevó a cabo un factorial exploratorio con el método de componentes principales, lo cual nos permitió examinar el número de factores subyacentes en la escala y si la estructura factorial coincidía con la de la versión original y debido a que se consideró la varianza total (Levy & Varela, 2003 p.343). Se realizó con rotación oblicua tal y como lo hizo la autora de la prueba en su versión de Lluch (1999) además de que se parte del supuesto de que las rotaciones oblicuas permiten la existencia de factores correlacionados (Kerlinger & Lee, 1986 ; Hair, Anderson, Tatham & Black, 2004 ; Landero et al., 2006 ), Asimismo, se consideraron como criterios: autovalores mayores a 1, número de componentes por encima del punto de inflexión, número de componentes esperados que en esta investigación son 6, número de componentes que permite ubicar cada variable en un solo componente con base en una saturación mayor a 0.40, criterio de contraste de caída para identificar el número óptimo de factores que pueden ser extraídos e interpretación significativa. A partir de lo anterior, se llevó a cabo el análisis en el que se forzaron a 6 factores, sin embargo, el factor 5 sólo se incorporaron dos ítems y en virtud de que al menos se esperaban 3 reactivos por dimensión, se optó por una mejor solución en la que se extrajeron cuatro de las seis dimensiones originales, la cual cuenta con una varianza total explicada de 39.61%, en la que se conservaron 30 reactivos (ver Tabla 2 ).

Tabla 2. Valores de los factores de la escala de salud mental positiva Oblicua
Factor Número de reactivos Autovalores iniciales Varianza explicada (%) Varianza acumulada
Satisfacción personal 12 7.13 18.30 18.30
Resolución de problemas 7 4.85 12.44 30.74
Integración o autocontrol 6 1.85 4.75 35.49
Habilidades de relación 5 1.60 4.12 39.61

Nota: N= 194

En la Tabla 3 se observan los reactivos de las cuatro dimensiones. El primer factor rotado corresponde a la dimensión satisfacción personal que implica un alto autoconcepto, sentirse satisfecho con la vida y optimismo frente al futuro (alfa=0.817, 12 ítems). El segundo fue resolución de problemas, es la capacidad de análisis ante situaciones difíciles que se presentan abarcando la destreza para tomar decisiones y la adaptación ante situaciones de cambio (alfa=0.505, 7 ítems), el factor 3 es integración o autocontrol y se refiere a la capacidad para afrontar el estrés y las situaciones conflictivas guardando un equilibrio en las emociones, lo cual permite afrontar mejor los conflictos (alfa= 0.773, 6 ítems) y el factor 4 corresponde a habilidades de relación interpersonal para dar apoyo emocional y establecer relaciones interpersonales íntimas (alfa= 0.733, 5 ítems). Las comunalidades oscilan entre 0.25 a 0.64. Los ítems se ordenan según sus cargas factoriales (de mayor a menor) y se agrupan de acuerdo al factor. Respecto a las medias obtenidas, se encontró que el valor de la media más alta es para la dimensión satisfacción personal, seguido del factor habilidades de relación, integración o autocontrol y por último, resolución de problemas (ver Tabla 3 ).

Tabla 3. Estructura Factorial, reactivos y cargas de los factores para una solución oblicua de cuatro factores de la escala de salud mental positiva
Reactivo F1 F2 F3 F4 Comun alidad Alfa de Cronbach si se elimina el elemento
S8. A mí me resulta especialmente difícil dar apoyo emocional. .717 -.037 -.109 .005 .522 .801
S7. Para mí, la vida es aburrida y monótona .684 .052 .251 -.060 .561 .805
S9. Tengo dificultades para establecer relaciones interpersonales profundas y satisfactorias con algunas personas .617 -.140 -.286 -.044 .485 .801
S14. Me considero una persona menos importante que el resto de personas que me rodean. .561 -.278 -.171 -.208 .546 .802
S2. Los problemas me bloquean fácilmente. .555 .159 .184 -.072 .360 .804
S3 A mi me resulta especialmente difícil escuchar a las personas que me cuentan sus problemas. .549 -.302 -.434 -.141 .606 .800
S6. Me siento a punto de explotar .533 .265 .128 .087 .294 .804
S31. Creo que soy un inútil y no sirvo para nada .522 -.020 .152 -.194 .401 .804
S33. Me resulta difícil tener opiniones personales. .495 -.156 -.107 -.167 .367 .803
S12. Ceo mi futuro con pesimismo .491 -.064 -.057 -.235 .374 .801
S13. Las opiniones de los demás me influyen mucho a la hora de tomar mis decisiones. .426 .134 -.078 -.272 .333 .798
S38. Me siento insatisfecho/a conmigo mismo/a .402 .121 .048 -.305 .324 .800
S28. Delante de un problema soy capaz de solicitar información. .128 .637 -.164 .100 .467 .801
S16. Intento sacar los aspectos positivos de las cosas malas que me suceden. .026 .603 -.107 -.036 .409 .801
S15. Soy capaz de tomar decisiones por mi mismo/a .057 .530 -.125 -.008 .326 .803
S20. Creo que soy una persona sociable .118 .513 -.083 .144 .286 .805
S32. trato de desarrollar y potenciar mis buenas aptitudes -.227 .491 -.218 -.142 .460 .803
S25 .Pienso en las necesidades de los demás. -.006 .490 -.011 -.076 .254 .804
S27. Cuando hay cambios en mi entorno intento adaptarme. -.030 .414 -.396 .133 .428 .803
S5. Soy capaz de controlarme cuando experimento emociones negativas. .093 .184 650 .080 .506 .800
S26. Si estoy viviendo presiones exteriores desfavorables, soy capaz de continuar manteniendo mi equilibrio personal. -.104 .029 .588 .068 .377 .806
S22. Soy capaz de mantener un buen nivel de autocontrol en las situaciones conflictivas de mi vida. .026 .327 .507 .004 .451 .800
S21. Soy capaz de controlarme cuando tengo pensamientos negativos. .117 .218 .503 .138 .350 .802
S18. Me considero ”un/a buen/a estudiante. -.082 .176 .499 -.064 .353 .802
S4. Me gusto como soy -.321 .121 .432 -.010 .364 .807
S19. Me preocupa que la gente me critique. -.016 -.138 .024 .804 .644 .800
S10. Me preocupa mucho lo que los demás piensan de mí. .127 -.040 .054 .750 .630 .798
S39. Me siento insatisfecho/a de mi aspecto físico .173 .048 .117 .578 .422 .800
S30. Tengo dificultades para relacionarme abiertamente con mis profesores/jefes. .241 -.016 .054 .454 .326 .801
S34. Cuando tengo que tomar decisiones importantes me siento muy insegura/o. .376 .154 .240 .447 .474 .800
Alfa de Crobach total α=0.807
Alfa de Cronbach por factor 0.81 0.50 0.77 0.73
 % de varianza 18.30 12.4A 4.75 4.12
4
Media 3.09 42.04 2.12 2.86
DS 0.58 0.59 0.61 0.77

Nota: Método de extracción Componentes principales. Rotación Oblicua ha convergido en 25 iteraciones. KMO=0.801, p=0.000

Análisis factorial Confirmatorio (AFC) de la escala SMP

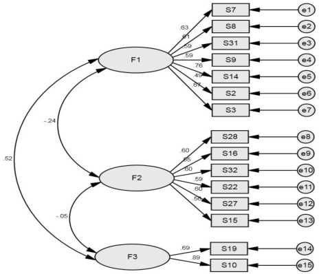
Posteriormente se puso a prueba el modelo global propuesto, recurriendo al análisis de modelos de ecuaciones estructurales con el programa AMOS 20.0, para lo cual se hizo uso del método de estimación de máxima verosimilitud (MMV), considerando autovalores mayores a 1, definiendo el número de factores por el criterio de raíz latente (gráfico de autovalor para el criterio contraste de caída), con pesos factoriales por arriba de 0.50, las cuales podrían ser aceptables en situaciones como: fases iniciales del desarrollo de escalas (Chin, 1998 ), y cuando las escalas se aplican en diferentes contextos (Barclay, Higgins & Thompson, 1995 ), ya que la eliminación de unos cuantos ítems débiles puede hacernos perder información válida para el modelo (Cepeda & Roldán, 2004 ). Así se extrajeron 3 factores que explican el 30.53% de la varianza y 30 iteraciones en el que se mantuvieron 15 ítems; el factor 1 es satisfacción personal (7 ítems); factor 2 resolución de problemas (6 ítems) y factor 3 habilidades de relación interpersonal (2 ítems). Por lo que en este análisis se decidió incorporar 15 ítems en tres factores. La bondad de ajuste del modelo propuesto se evaluó por medio de los siguientes indicadores: X2 dividida por los grados de libertad, RMR, RMSEA y CFI. Para que exista un buen ajuste, lo valores CFI deberían superar el valor de 0.90. Por su parte los valores de RMSEA deberían ser menores de 0.08 para tener un ajuste aceptable o cercano a 0.05 para obtener un buen ajuste. En cuanto a la interpretación del coeficiente de X2 /gl se considera que un coeficiente de 4 es un ajuste razonable, mientras que aquellos valores cercanos a 2 son considerados como muy buenos (Alonso, 2004 ; Brooke, Roussell & Price, 1988 en Batista & Coenders, 2000 ). En el modelo que se obtuvo se encontraron los siguientes índices de ajuste: X2 = 139.19, gl= 87, X2 /gl= 1.60, NFI=.83; RFI= .768; IFI= .930; TLI=.898; CFI=.926, RMSEA=.056, FMIN=.721; PCLOSE= .280 (ver Figura 1 ).


Análisis Factorial Confirmatorio de la Escala de Salud Mental Positiva


Figura 1.

Análisis Factorial Confirmatorio de la Escala de Salud Mental Positiva

Análisis de validez convergente

Con el objetivo de obtener datos que apoyen a la validez de la escala de SMP, se llevo a cabo un análisis de correlación de Pearson, considerando una p≤0.05, en donde se encontró que si existe relación estadísticamente significativa entre las variables como se esperaba, si bien las correlaciones son significativas, los coeficientes son considerados débiles y moderadas ya que las dimensiones: satisfacción personal, resolución de problemas, autocontrol y habilidades de relación y el puntaje global de salud mental positiva se relacionan positivamente con el FPI y FPE de resiliencia; pero no con el FE. Se calculo la magnitud de la relación entre ambas variables, en el que se obtuvo una r=.193; R2 =.037; varianza=3.72%, p=.007; F= 7.37 y que de acuerdo a Coe (2003) es considerado como bajo a pesar de que es significativo ya que se esperaría una F= 9.51, por lo que el efecto es mínimo (Frías, Pascual & García, 2002 ) (ver Tabla 4 ).

Tabla 4. Intercorrelaciones entre Salud Mental Positiva y Resiliencia
Medida Puntaje Resiliencia total FPI FPE FE
1. Puntaje global salud mental positiva .19** .21** .16* -----
2.Satisfacción personal .33* .24* .34** .32**
3.Resolución de problemas .43* .38* .45** .29**
4.Autocontrol .51* .50* .42* .36**
5.Habilidades de relación .19* .16* .14* .21**

Nota: FPI (factor protector interno), FPE (factor protector externo), FE (factor empatía).

  • . p≤0.05,
    • . p≤0.001

Discusión

El objetivo principal de este estudio fue validar la escala de salud mental positiva en una muestra de niños mexicanos. En un primer momento, se tenía como propósito identificar el número y composición de componentes necesarios, por lo que el uso del AFE, permitió observar que la estructura factorial obtenida es distinta a la versión original, propuestas por Lluch (1999) ya que se conservaron sólo cuatro de las seis dimensiones; en virtud de que los últimos factores estaban pobremente definidos y sin claridad conceptual se decidió eliminarlos. De esto, se puede concluir que en parte se apoya la noción de factores interrelacionados subyacente de la salud mental positiva.

En el caso del AFC, se puso a prueba el modelo hipotetizado, y el modelo final sugiere que la escala de SMP engloba tres dimensiones diferenciadas, y no seis originalmente propuestas. De ahí que se puede plantear que el constructo salud mental positiva es un constructo complejo de estructura tridimensional, lo que hace que sea difícilmente modelable en términos de hipótesis propias del AFC (Ferrando & Lorenzo-Seva, 2014 ). Además, lo más probable es que aun en un buen ajuste del modelo, el patrón factorial rotado no muestre valores exactos, por lo que, se requiere continuar especificando el modelo para obtener resultados más precisos tal y como lo recomienda Arias (2008) y Batista y Coenders (2000) . Pero sobre todo considerar principalmente aspectos teóricos del constructo.

Respecto al cálculo de la confiabilidad a través del coeficiencia alfa, se encontró que en lo general éste es aceptable, y que la escala muestra adecuada consistencia interna (Nunnally & Bernstein, 1999 ) ya que usualmente se prefieren valores entre 0.80 y 0.90 (Oviedo & Campo, 2005 ), además de que es muy similar a lo reportado por Lluch (1999) . Sin embargo en el caso del factor 1, por sí sólo tiene un coeficiente por arriba de la escala total, lo anterior nos sugiere la necesidad de continuar con la revisión de los ítems, y evaluar la magnitud en que los ítems del instrumento están correlacionados, así como el hecho de aplicar la escala a la misma muestra para tener mayor evidencia respecto a la estabilidad y calidad de la medición. Por lo anterior, es necesario tener en cuenta que el valor del alfa de Cronbach se puede sobrestimar si no se considera el tamaño de la muestra, así como el hecho de que el valor de alfa cambia según la población en que se aplique la escala (Oviedo et al., 2005). Así, la consideración en futuros estudios será de mayor precisión y especificación para su uso en muestras de niños. En el caso del factor 2, está por debajo del mínimo aceptable, sin embargo cuando no se cuenta con un mejor instrumento se pueden aceptar valores inferiores de alfa de Cronbach, teniendo presente ésta limitación (Oviedo et al., 2005).

De los datos descriptivos, la media más alta es en la dimensión satisfacción personal, la cual es una dimensión de la salud mental positiva (Seva, Magallón, Merino & Sarasola, 1990 ; Shek, 1998 ). Mientras que las medias más bajas fueron en los factores resolución de problemas y autocontrol. En el caso de ésta última, se le considera como una dimensión fundamental para mantener el equilibrio emocional, un antídoto contra el estrés y un requisito básico para el funcionamiento adaptativo de la persona (Barradas, Sánchez, Guzmán & Balderrama, 2011 ) lo cual coincide con Medina, Iría, Martínez y Cardona (2012) y Amar et al. (2008) , en el sentido de que han reportado que los menores muestran baja capacidad para afrontar situaciones que generan ansiedad y estrés y pueden tener menor control emocional. Lo anterior también puede explicarse en el sentido de que los niños no tienen la misma capacidad que el adulto para actuar sobre los sucesos de su medio (Verduzco, Gómez-Maqueo & Durán, 2004 ). Al respecto sería interesante contemplar otra variable como la autoestima ya que puede interactuar en la forma como se perciben y se afrontan las circunstancias, lo cual sería importante de considerar.

Los datos de validez convergente apuntan a considerar que hay relación positiva y significativa entre salud mental y resiliencia, lo cual coincide con Vinnacia y Quinceno (2011), Fiorentino (2008) , ya que se ha encontrado que los individuos con mayor nivel de resiliencia presentan mejor salud mental (Serrano-Parra et al., 2012 ).

Respecto a las comunalidades se sacan las siguientes conclusiones: hay 3 ítems que están bien representados (reactivos: 3,19 y 10) con una comunalidad por arriba de 0.60, pero hay otros que tienen comunalidades muy bajas como en el caso de los reactivos 6,20 y 25. Esto significa que los resultados deben ser tomados con precaución ya que son muy pocos reactivos de gran importancia en una solución inicial. De tal forma que se precisa ampliar la muestra a fin de obtener estimaciones más precisas.

De la misma forma, se debe considerar el hecho de que a pesar de que se llevo a cabo la revisión de ítems, aplicación piloto, el análisis de discriminación de reactivos y los coeficientes de validez y confiabilidad de la prueba, así como el hecho de contar con al menos 5 veces el número de sujetos por variable (Nunnally & Bernstein, 1999 ), estas variaciones con la prueba original, pueden deberse a las características de la muestra que fue examinada, por lo que sería conveniente continuar con el análisis de los reactivos a fin de garantizar la claridad conceptual de los mismos y dirigir los esfuerzos para obtener pruebas lo más homogéneas posibles, y alcanzar mayor precisión de los datos.

Finalmente, estos resultados nos permiten poner de manifiesto que el uso del AFE y AFC nos añade mayor información sobre la validez de constructo de la escala de Lluch, en muestras de niños. Se sabe que una aproximación exploratoria puede dar lugar a resultados distintos a la original, de tal forma que es importante señalar una serie de limitaciones del presente estudio y que deben tomarse en cuenta. En primer lugar, la generalización de estos hallazgos debe hacerse con precaución, por lo que en una futura investigación se recomendaría realizarlo en una muestra ampliada. En segundo lugar, resulta indispensable continuar especificando el modelo confirmatorio a fin de poner a prueba la estructura multidimensional de la misma y corroborar qué tan apropiados son los indicadores seleccionados para la medición de este constructo. En tercer lugar, es importante señalar que los estudios se han realizado en muestras de adolescentes y adultos, por lo que sería recomendable continuar revisando los reactivos a fin de garantizar la comprensión de los mismos según la edad. Tomando en cuenta estas limitaciones de la actual propuesta, los resultados indican que es necesario reexaminar la validez de contenido y valorar si es necesario la inclusión de nuevos reactivos para una nueva versión de la escala; ya que estas variaciones podrían modificar sustancialmente las propiedades psicométricas de la prueba en nuestro contexto.

Referencias

  1. Alonso, 2004 J. Alonso; Análisis Factorial confirmatorio Su utilidad en la validación de cuestionarios relacionados a la salud; Med. Clin. 122, 1 (2004), pp. 21–27
  2. Amar et al., 2008 J. Amar, J. Palacio, H. Llinás, L. Puerta, E. Sierra, A.M. Pérez, B. Velásquez; Calidad de vida y salud mental positiva en menores trabajadores de Toluviejo; Suma Psicológica, 15 (2) (2008), pp. 385–403
  3. American Psychological Association, 2002 American Psychological Association; Manual de Estilo de Publicaciones A.P.A; Manual Moderno, México (2002)
  4. Anastasi and Urbina, 1998 A. Anastasi, S. Urbina; Test psicológicos; Prentice Hall, México (1998)
  5. Arias, 2008 B. Arias; Desarrollo de un ejemplo de análisis factorial confirmatorio con LISREL AMOS y SAS, seminario de actualización en investigación sobre discapacidad SAID 2008. Trabajo presentado en el VI Seminario Científico de Metodología en la investigación sobre discapacidad. Introducción al uso de ecuaciones estructurales; SAID Colección Actas Salamanca (2008), pp. 75–120
  6. Ávia and Vázquez, 1999 D. Ávia, C. Vázquez; Optimismo inteligente; Alianza Editorial, Madrid España: (1999)
  7. Barclay et al., 1995 D. Barclay, C. Higgins, R. Thompson; The partial least squares (PLS) approach to casual modeling: personal computer adoption and use as an illustration; Technology Studies Special Issue on research Methodology, 2 (2) (1995), pp. 285–309
  8. Barradas et al., 2011 A.M. Barradas, B.J. Sánchez, I.M.L. Guzmán, T.J.A. Balderrama; Factores de salud mental positiva en estudiantes de psicología universidad veracruzana; Revista Iberoamericana para la Investigación y el Desarrollo Educativo, 1 (2) (2011), pp. 123–135
  9. Betancourt et al., 2013 S.T. Betancourt, S.E. Meyers-Ohki, A. Charrow, N. Hansen; Annual Research Review: Mental health and resilience in HIV/AIDS-affected children - a review of the literature and recommendations for future research; Journal of Child Psychology and Psychiatry, 54 (4) (2013), pp. 423–444 doi:10.1111/j.1469-7610.2012.02613x
  10. Batista and Coenders, 2000 F.J. Batista, G.G. Coenders; Modelos de ecuaciones estructurales. Cuadernos de Estadística; La Muralla, Madrid (2000)
  11. Chin, 1998 W.W. Chin; The Partial Least Squares Approach to Structural Equation Modeling; G.A. Marcoulides (Ed.), Modern Methods for Business Research, Lawrence Erlbaum Associates, Publisher, Mahwah, NJ (1998), pp. p295–p336
  12. Cepeda and Roldán, 2004 C.G. Cepeda, S.J.L. Roldán; Aplicando en la práctica la técnica PLS en la administración de empresas; Ponencia del Congreso de la ACEDE, Murcia, España (2004)
  13. Davydov et al., 2010 D.M. Davydov, R. Stewart, K. Ritchie, I. Chaudieu; Resilience and mental health; Clinical Psychology Review, 30 (5) (2010), pp. 479–495 doi:.10.1016/J.CPR. 2010.03.003
  14. Ferrando and Lorenzo-Seva, 2014 P.J. Ferrando, Lorenzo-Seva; El análisis factorial exploratorio de los ítems: algunas consideraciones adicionales; Anales de Psicología, 30 (3) (2014), pp. 1170–1175 doi
  15. Fiorenino, 2008 M.T. Fiorenino; La construcción de la resiliencia en el mejoramiento de la calidad de vida y la salud; Suma Psicológica, 15 (1) (2008), pp. 95–113
  16. Figueiredo et al., 2013 D.B. Figueiredo, S.H. Koller, T. Schnell; Sources of meaning and meaning in life Questionnaire (SoMe): Psychometric properties and social sociodemographic findings in a large Brazilian sample; Acta de Investigación Psicológica, 3 (3) (2013), pp. 1205–1227
  17. Frías et al., 2002 M.D. Frías, J. Pascual, J.F. García; La hipótesis nula y la significación práctica; Metodología de las ciencias del comportamiento. Volumen Especial (2002), pp. 181–185
  18. González Arratia, 2011 L.F.N.I. González Arratia; Resiliencia y personalidad en niños. Cómo desarrollarse en tiempos de crisis; Universidad Autónoma del Estado de México, México (2011)
  19. González Arratia and Valdez, 2012 L.F.N.I. González Arratia, M.J.L. Valdez; Análisis Factorial confirmatorio del cuestionario de Resiliencia en una muestra de niños; R. Díaz Loving, A. S Rivera, L.I. Reyes Lagunes (Eds.), La Psicología Social en México, AMEPSO, México (2012), pp. p676–p681
  20. Grotberg, 2006 E. Grotberg; La resiliencia en el mundo de hoy; Gedisa, Barcelona, España (2006)
  21. Hair et al., 2004 J. Hair, R. Anderson, R. Tatham, W. Black; Análisis Multivariante; Prentice-Hall, México (2004)
  22. International Test Commission, 2005 International Test Commission (2005). ITC guidelines for translating and adapting test . Document reference ITC-G-TA-20140617. Recuperado de. http://intestcom.org 14 de agosto 2015 .
  23. Jahoda, 1958 M. Jahoda; Current concepts of positive mental health; Basic Books, Nueva York (1958)
  24. Jaik et al., 2011 D.A. Jaik, G.R. Villanueva, F.J.A. Tena; Burnout y salud mental positiva en docentes de posgrado; M.A. Barraza, D.A. Jaik (Eds.), Estrés Burnout y bienestar subjetivo. Investigaciones sobre la salud mental de los agentes educativos, Instituto Universitario Anglo Español, México (2011), pp. p211–p230
  25. Kerlinger and Lee, 1986 N.F. Kerlinger, B.H. Lee; Investigación del Comportamiento en Ciencias Sociales; McGraw Hill, México (1986)
  26. Landero and González, 2006 H.R. Landero, R.M. González; Estadística con SPSS y Metodología de la investigación; Trillas, México (2006)
  27. Levy and Varela, 2003 M.J.P. Levy, M.J. Varela; Análisis multivariable para las ciencias sociales; Pearson Prentice Hall, Madrid (2003)
  28. Lluch, 2002 M. Lluch; Evaluación empírica de un modelo conceptual de un modelo de Salud Mental Positiva; Salud Mental, 25 (4) (2002), pp. 42–55
  29. Lluch, 1999 M. Lluch; Construcción de una escala para evaluar la salud mental positiva. (Tesis Doctoral no publicada); Universidad de Barcelona, España (1999)
  30. Martínez et al., 2009 M.P. Martínez, G.A. Terrones, R.E. Vázquez, R.M. Hernández; Reflexiones sobre el concepto de salud mental positiva; Enlaces académicos, 2 (2) (2009), pp. 67–81
  31. Medina et al., 2012 P.O. Medina, S.M.F. Iría, A.G. Martínez, D.D. Cardona; Características de salud mental positiva en estudiantes de una universidad privada de la ciudad de Armedia-Quindio; Revista Virtual Universidad Católica del Norte, 36 (2012), pp. 247–261
  32. Medina, 2011 Medina, M.M.E. (2011). Medición de la salud mental. Conferencia latinoamericana para la medición del bienestar y la promoción del progreso. Instituto nacional de Psiquiatría Ramón de la Fuente. Recuperado de www.efps.inegi.org.mx/Presentas/Dia2/Sesion3/Taller2/MaElenaMedinaMora.pdf (descargado el 1 de abril 2014).
  33. Nunnally and Bernstein, 1999 J.C. Nunnally, I.J. Bernstein; Teoría psicométrica; McGraw Hill, México (1999)
  34. Oviedo and Campo, 2005 H.C. Oviedo, A.A. Campo; Aproximación al uso del coeficiente alfa de Cronbach; Revista Colombiana de Psiquiatría, 34 (4) (2005), pp. 572–580
  35. Pando et al., 2006 M. Pando, C. Aranda, J.G. Salazar, D. Estrada, D. Bermúdez; Salud mental positiva; F. González Sandoval, M. Pando Moreno, S.A. Franco Chávez, S. Saroz Lozano (Eds.), Factores psicosociales y salud mental en el trabajo, Universidad de Guadalajara, México (2006), pp. p87–p104
  36. Padilla, 2007 C.A. Padilla; Características de salud mental positiva en estudiantes universitarios de Cartagena y Barranquilla. (Tesis de maestría no publicada); Universidad del Norte, Barranquilla, Colombia (2007)
  37. Pérez et al., 2013 V.C. Pérez, G.P. Maldonado, A.C. Aguilar; Clima educativo y su relación con la salud mental de alumnos universitarios; Revista Argentina de Clínica Psicológica, 22 (3) (2013), pp. 257–268
  38. Reyes and Lagunes, 1996 Reyes, I. Lagunes; La medición de la personalidad en México; Revista de Psicología Social y Personalidad. 7,1, 2 (1996), pp. 31–60
  39. Reyes Lagunes, 2011 I. Reyes Lagunes; Conceptualización y desarrollo de la etnopsicometría en México; E.A.C. Domínguez (Ed.), Lecturas introductorias a la psicología cultural transcultural y etnopsicología, Universidad Iberoamericana, México. Cap (2011), pp. 279–302 12
  40. Quiceno et al., 2012 J.M. Quiceno, S. Vinaccia, J. Ibáñez, A. Álvaraz, J. Jiménez, L. Pinzón, A.M. Serna; Calidad de vida relacionada con salud, resiliencia y felicidad en hombres privados de la libertad; Pensamiento Psicológico, 10 (2) (2012), pp. 23–33
  41. Skehill, 2001 Skehill, M.C. (2001). Resilience, Coping with an extended stay outdoor education program, and adolescent mental health . A report submitted as a partial requirement for the degree of Honours in Applied Psychology at the University of Canberra Recuperado de http://wilderdom.com/pdf/Skeill2001resilienceCopingOutdoorEducation.pdf .
  42. Serrano-Parra et al., 2012 M.D. Serrano-Parra, M. Garrido-Abejara, B. Notario-Pacheco, R. Bartolomé- Gutierrez, M. Solera-Martínez, V. Martínez-Vizcaino; Validez de la escala de resiliencia de Connor-Davidson (CD-RISC) en una población de mayores entre 60 y 75 años; International Journal of psychological research, 5 (2) (2012), pp. 49–57
  43. Seva et al., 1990 A. Seva, R. Magallon, J.A. Merino, A. Sarasola; Analysis of the positive mental health in the urban population of Saragosse (Spain) (Samar-89 proyect); European journal of psychiatry, 4 (4) (1990), pp. 208–220
  44. Shek, 1998 D.T.L. Shek; Adolescent positive mental health and psychological symptoms: a longitudinal study in a chinese context; Psychologia, 41 (1998), pp. 217–225
  45. Verduzco et al., 2004 A.I.M.A. Verduzco, E.L. Gómez-Maqueo, P.C. Durán; La influencia de la autoestima en la percepción del estrés y el afrontamiento en niños de edad escolar; Salud Mental, 27 (4) (2004), pp. 18–25
  46. Vinaccia and Quiceno, 2011 S. Vinaccia, J.M. Quiceno; Calidad de Vida Relacionada con la Salud y Factores Psicológicos: Un Estudio desde la Enfermedad Pulmonar Obstructiva Crónica - EPOC; Terapia Psicológica, 29 (1) (2011), pp. 65–75
Back to Top

Document information

Published on 28/03/17

Licence: Other

Document Score

0

Views 65
Recommendations 0

Share this document

claim authorship

Are you one of the authors of this document?