Abstract

Long-term variations and trends in a wide range of statistics for daily precipitation characteristics in terms of intensity, frequency and duration in Finland were analysed using precipitation records during 1908–2008 from 3 meteorological stations in the south (Kaisaniemi), centre (Kajaani) and north (Sodankylä). Although precipitation days in northern part were more frequent than in central and southern parts, daily precipitation intensity in the south was generally higher than those in the centre and north of the country. Annual sum of very light precipitation (0 mm < daily precipitation ≤ long-term 50th percentile of daily precipitation more than 0 mm) significantly (p  < 0.05) decreased over time, with the highest rate in northern Finland. These decreasing trends might be the result of significant increases in frequency of days with very light precipitation at all the stations, with the highest and lowest rates in northern and southern Finland, respectively. Ratio of annual total precipitation to number of precipitation days also declined in Finland over 1908–2008, with a decreasing north to south gradient. However, annual duration indices of daily precipitation revealed no statistically significant trends at any station. Daily precipitation characteristics showed significant relationships with various well-known atmospheric circulation patterns (ACPs). In particular, the East Atlantic/West Russia (EA/WR) pattern in summer was the most influential ACP negatively associated with different daily precipitation intensity, frequency and duration indices at all three stations studied.

Keywords

Daily precipitation characteristics ; Trend analysis ; Intensity ; Frequency ; Duration ; Extremes ; Atmospheric circulation patterns ; Finland

1. Introduction

Precipitation plays a key role in the planning and management of sustainable water resources, particularly as the fundamental design parameter for dam safety and flood risk analyses. Most previous studies of trends in precipitation on global, regional and local scale have focused on changes in mean values (Groisman and Easterling, 1994 , Karl et al., 1996  and Dai et al., 1997 ) and extreme values (e.g. Easterling et al., 2000a , Khon et al., 2007 , Trenberth et al., 2007  and Halmstad et al., 2012 ). However, future climate change would influence all characteristics of precipitation in terms of intensity, frequency and duration (Lehner et al., 2006  and Radinović and Ćurić, 2009 ). Hence, a comprehensive analysis of these characteristics can improve our understanding of variations and changes in precipitation patterns.

In probably the most complete analysis of trend detection in global daily precipitation extremes conducted to date, Alexander et al. (2006) reported increases in heavy precipitation indices. Other studies show that heavy precipitation has significantly increased over the U.S., eastern Australia and northern Europe (Karl et al., 1996 , Suppiah and Hennessy, 1998 , Groisman et al., 1999  and Rana and Moradkhani, 2015 ), and could compensate for changes in light precipitation events over many regions, including Europe (Hennessy et al., 1997 , Kharin and Zwiers, 2000  and Voss et al., 2002 ). Similarly, more detailed studies during recent years confirm rising tendencies for heavy precipitation over certain regions of Europe (Klein Tank and Können, 2003 , Zolina et al., 2009 , Łupikasza et al., 2011  and Chen et al., 2015 ). Groisman et al. (1999) concluded that the number of wet days (daily precipitation > 1 mm) slightly increased over Norway (northern Europe), Australia and the U.S. during the 20th century, while it remained unchanged in Canada, China, Mexico, Alaska, Poland and the former Soviet Union. Klein Tank and Können (2003) reported no clear trend in the frequency of wet days in Europe during the second half of the 20th century, but Philandras et al. (2011) showed a significant decrease over the eastern Mediterranean. However, Klein Tank and Können (2003) reported that the frequency of heavy and very heavy precipitation days (daily precipitation greater than 10 mm and 20 mm, respectively) significantly increased in Europe during the period 1946–1999. In addition, changes in the continuous duration of precipitation cause changes in dry or wet spells, which form the intra-seasonal structure of European hydroclimatic conditions (Klein Tank and Können, 2003 ).

Within Europe, the Alps, the southern Iberian Peninsula, southern Greece and the eastern Adriatic seaboard are projected to experience the largest increase in future drought duration, with earlier onset over the 21st century (Beniston et al., 2007 ). Otherwise, Schmidli and Frei (2005) concluded that wet spells over the Swiss Alps have become longer during the 20th century. A similar tendency over Europe was found by Zolina et al. (2010) for the period 1950–2008. Besides, Zolina et al. (2013) reported significant growth in wet spell duration over northern Europe and central European Russia for the period 1950–2009. These changes in precipitation characteristics may affect health (e.g. by changing water quality), agriculture (e.g. crop failure due to drought), forestry (e.g. increased water stress in trees), infrastructure and buildings (e.g. by floods and landslides) and ecosystems (e.g. soil erosion) locally and globally. Hence, adaption and mitigation measures are required to achieve proper planning and management of water resources.

Using interpolated monthly time series (1911–2011) at 32 meteorological stations covering the whole country, the most up-to-date analyses of precipitation changes in Finland (Irannezhad et al., 2014a ) reported a significant increasing trend of (0.92 ± 0.50) mm per year (p  < 0.05) in annual mean precipitation nationwide during the period 1911–2011. Finland also experienced severe precipitation periods and alternating dry periods during some months of the year in that period ( Irannezhad et al., 2015a ). Previous studies on heavy precipitation in Finland have found increasing trends in magnitude for cold months of the year, while no clear trends have been observed for summer months ( Haylock and Goodess, 2004 , Moberg et al., 2006  and Kilpeläinen et al., 2008 ). In a study evaluating gridded precipitation data for the period 1908–2008 obtained from the Finnish Meteorological Institute, Ylhäisi et al. (2010) reported a growing trend (p  < 0.05) for seasonal (May–September) precipitation in the north-east of Finland, but no clear trend over south-western parts. They also concluded that precipitation in June had significantly (p  < 0.05) increased in south-west Finland, resulting in a reduction in early summer drought. Moreover, extremely wet conditions have been seen in recent monthly and daily precipitation records in Finland, although the summer seasons in 2002, 2003 and 2006 were exceptionally dry ( Ylhäisi et al., 2010 ). Increases in chemical leaching ( Knapp et al., 2008  and Escudero et al., 2012 ), soil erosion (Marttila and Kløve, 2010 ) and flooding events ( Groisman et al., 2001  and Milly et al., 2002 ) are typical consequences resulting from extreme precipitation events, while severe water availability problems can arise following decreases in surface and groundwater levels caused by prolonged drought (Okkonen and Kløve, 2010 ). For example, the drought in Finland during 2002–2003 resulted in major economic losses due to decreases in hydropower generation and also affected water supply to households (Silander and Järvinen, 2004 ).

To explore regional manifestation of global climate change in Finland, this study used a comprehensive set of statistics for analysis of daily precipitation characteristics in terms of intensity, frequency and duration at 3 meteorological stations in northern, central and southern Finland with 101 years of data. Specific objectives were to: 1) summarise statistical analyses of daily precipitation characteristics; 2) identify historical trends in the inter-annual variability of daily precipitation intensity, frequency and duration; and 3) investigate possible relationships between inter-annual variations in daily precipitation characteristics in Finland and well-known atmospheric circulation patterns (ACPs, e.g. the North Atlantic Oscillation).

2. Materials and methods

2.1. Study area and data description

Finland is a long country in the north–south direction (∼1320 km) and is located in the Fenno-scandinavian region of northern Europe. The climate in Finland is mainly influenced by geographic settings such as the Baltic Sea, the Atlantic Ocean, the Scandinavian mountain range, latitudinal gradient and continental Eurasia (Käyhkö, 2004 ). According to the Köppen–Geiger climate classification system, Finland can be characterised as a temperate or cold climate zone (Peel et al., 2007 ), where precipitation average is moderate in all seasons (Castro et al., 2007 ). Hence, Finland has no dry season, moderate summers in southern coastal areas and short summers in most other parts (Peel et al., 2007 ). Annual precipitation in Finland naturally decreases from south to north (Pirinen et al., 2012 ). Mean annual precipitation on a national scale during 1911–2011 was 601 mm and mean annual precipitation in summer, when heavy to extreme levels of daily precipitation normally occur, was about 209 mm (Irannezhad et al., 2014a ).

This study used long-term daily precipitation datasets collected during 1908–2008 at the Finnish Meteorological Institute stations in Kaisaniemi, Kajaani and Sodankylä, in southern, central and northern Finland, respectively (Fig. 1 ). These stations were selected to: 1) include long time (101 years) records of daily precipitation; 2) cover the south to north of Finland; and 3) represent the spatial pattern of long-term annual precipitation and reflected on the main gradient of mean temperature in Finland, which generally decreases from south to north (Irannezhad et al., 2015b ). The geographical coordinates of the stations and summary statistics on measured daily precipitation at these stations are as follows:

  • At Sodankylä (northern Finland, 67.37°N, 26.63°E), annual mean precipitation and temperature were about 529.1 mm and −0.9 °C, respectively, during 1908–2011 (Irannezhad et al., 2015c ). Before 1914 and from November 1944 to May 1945, the station was located in Sodankylä town, but it has been located at its current coordinates during most part of the 20th century. Since 1981, precipitation has been manually measured by the Tretjakov gauge (Yang et al., 1995  and Goodison et al., 1998 ) at this station, whereas a Wild gauge (Tammelin, 1982  and Goodison et al., 1998 ) was used prior to that year. The measured daily precipitation data used in this study covers the period 1908–2008. The amount of missing daily precipitation data was about 4.9%.
  • At the Kajaani station (central Finland) through the years 1903–2008, mean annual precipitation and temperature were 615.7 mm and 2.0 °C, respectively (Irannezhad et al., 2015c ). In 2000, the Kajaani station was moved about 150 m to the north-west, from 64.28°N, 27.68°E (WGS-84 system) at 133 m above sea level to its current location (64.28°N, 27.67°E). At the same time, automatic measuring devices were installed at the station. Prior to that, in 1981 the precipitation measuring device was changed from the Wild gauge to the Tretjakov gauge, which is more accurate for snow and hail measurements. The measured daily precipitation time series used in this study covers the period 1908–2008, with 2.0% missing data.
  • The Kaisaniemi station is located in Helsinki city centre (60.18°N, 24.94°E), where the temperature could be partly influenced by urban heat island effects. Irannezhad et al. (2015c) reported that annual mean precipitation at this station during the period 1845–2011 was about 823.0 mm, and the annual mean temperature was 5.0 °C. Since 1966, the station has been located at the present coordinates. Before 1966, the station was located about 250 m to the south-east of the current position, at 10 m above sea level. Precipitation has been measured using the Tretjakov gauge since 1981, replacing the Wild gauge, and with a Vaisala VRG101 instrument (WMO, 2009 ) since 2006. The measured daily precipitation data used in this study covers the period 1908–2008, with no missing data.


Study area and the meteorological stations used, (a) average annual temperature ...


Fig. 1.

Study area and the meteorological stations used, (a) average annual temperature (°C), and (b) average annual precipitation (mm) during the period 1981–2010. Assembled based on Pirinen et al. (2012) .

Missing data, the change in station locations and the changes in precipitation measuring instruments during the observation period can influence the homogeneity of datasets (Tuomenvirta, 2001 ). For this study, just a few hundred metres relocation of precipitation gauges and very small percentage of missing data at each station are likely to have negligible impacts on the trend analysis of long-term (101 years) precipitation time series. However, difference between instruments, particularly changes from Wild gauge to Tretjakov in 1980–1981, for measuring precipitation is considered as the main source of inhomogeneity in precipitation records in Finland (Heino, 1994  and Tuomenvirta, 2001 ). Thus, the original precipitation time series need to be adjusted to make a reliable estimate of the long-term changes in precipitation characteristics in Finland (Tuomenvirta, 2001 ). To adjust inhomogeneity of precipitation records in Finland originated from changes in precipitation gauges in the early 1980s, previous studies have used correction factors for both Wild and Tretjakov gauges during different months of a year (e.g. Kuusisto, 1986  and Reuna, 2007 ). Such correction factors in Kuusisto (1986) and Reuna (2007) , were used in this study to adjust inhomogeneity of precipitation time series at all three stations studied. Then, the homogeneity of such corrected precipitation time series was tested using the Standard Normal Homogeneity Test (SNHT) developed by Alexandersson (1986) as the most common method for examining the homogeneity of climatic datasets in Finland (Heino, 1994  and Tuomenvirta, 2001 ).

ACPs considered here are the North Atlantic Oscillation (NAO), the Arctic Oscillation (AO), and the East Atlantic (EA), East Atlantic/West Russia (EA/WR), Scandinavian (SCA) and Polar/Eurasian (POL) patterns. The Climate Prediction Centre (CPC) at the National Oceanic and Atmospheric Administration (NOAA1 ) of the U.S. provides their standardised monthly index values based on datasets from 1980 to 2010. These monthly values are available online for the period 1950–2011 (http://www.cpc.ncep.noaa.gov/data/teledoc/telecontents.shtml ). In the present study, annual ACPs were calculated for the period 1951–2008 as the average of their monthly values for January to December during a year. Seasonal time series of ACPs for winter (December–February), spring (March–May), summer (June–August) and autumn (September–November) since 1951 were also derived from their standardized monthly values.

Spearman rank correlation (ρ ) was used to measure relationships between annual indices of the daily precipitation characteristics and ACPs (e.g. Helsel and Hirsch, 1992 ). It was preferred over the Pearson correlation coefficient (r ) because it considers the free probability distribution of variables involved. Furthermore, ρ is an accurate indicator of connections between small datasets and is robust to outliers, unlike the Pearson coefficient ( Helsel and Hirsch, 1992 ).

2.2. Indices for precipitation characteristics

The characteristics of historical precipitation datasets in terms of intensity, frequency and duration were examined by considering a number of indices from daily precipitation time series. For each precipitation characteristic, the indices were grouped into two major categories: long-term and annual indices. Both categories included basic and extreme indices of daily precipitation characteristics based on different approaches such as threshold number, absolute values, long-term NNth percentile values (e.g. NN = 99) of all daily precipitation intensity >0 mm over the whole study period at each station (LQNN), and duration indices; see also Alexander et al. (2006) . The indices for each daily precipitation characteristic are described in Table 1 , Table 2  and Table 3 , in which the annual indices are denoted nos. 1–20 to help explain the results and show figures clearly. The long-term indices were used to evaluate statistical characteristics of daily precipitation datasets during the whole study period, while the annual indices were used to determine statistically significant trends in inter-annual fluctuations of daily precipitation characteristics at each station. Long-term frequency indices (Table 2 ) were also represented by their inter-annual variability.

Table 1. Long-term and annual intensity indices used for daily precipitation analysis.
Charac. ID Description (Indicator definitions)
Long-term intensity indices (mm d−1 ) iODP Daily precipitation > 0 mm
iWDP Daily precipitation ≥ 1 mm (wet days)
iVLP 0 mm < Daily precipitation ≤ LQ50
iLP LQ50 < Daily precipitation ≤ LQ75
iMP LQ75 < Daily precipitation ≤ LQ90
iHP LQ90 < Daily precipitation ≤ LQ95
iVHP LQ95 < Daily precipitation ≤ LQ99
iEP Daily precipitation > LQ99
Annual intensity indices (mm d−1 ) 1 iAAP Ratio of annual total precipitation to number of days with precipitation (>0 mm) for each year
2 iAAWDP Ratio of annual total wet day precipitation (precipitation ≥ 1 mm) to annual number of wet days
3 iAAVLP Ratio of annual total precipitation for (0 mm < Daily precipitation ≤ LQ50) to annual number of their occurrences
4 iAALP Ratio of annual total precipitation for (LQ50 < Daily precipitation ≤ LQ75) to annual number of their occurrences
5 iAAMP Ratio of annual total precipitation for (LQ75 < Daily precipitation ≤ LQ90) to annual number of their occurrences
6 iAAHP Ratio of annual total precipitation for (LQ90 < Daily precipitation ≤ LQ95) to annual number of their occurrences
7 iAAVHP Ratio of annual total precipitation for (LQ95 < Daily precipitation ≤ LQ99) to annual number of their occurrences
8 iAAEP Ratio of annual total precipitation for (Daily precipitation > LQ99) to annual number of their occurrences
9 iSDII Ratio of annual total precipitation to number of wet days (≥1 mm) for each year
10 iMax1WD Maximum 1 day precipitation of wet days (≥1 mm) for each year

Note: i: intensity; O: observed; D: daily; P: precipitation; WD: wet days; V: very; L: light; M: moderate; H: heavy; E: extreme; AA: average annual; iSDII: simple daily intensity index; LQNN: long-term NNth percentile of daily precipitation > 0 mm; and Max: maximum.

Table 2. Long-term and annual frequency indices used for daily precipitation analysis.
Charac. ID Description (Indicator definitions)
Long-term frequency indices (d) fODP Number of daily precipitation > 0 mm
fWDP Number of daily precipitation ≥ 1 mm (wet days)
fVLP Number of 0 mm < Daily precipitation ≤ LQ50
fLP Number of LQ50 < Daily precipitation ≤ LQ75
fMP Number of LQ75 < Daily precipitation ≤ LQ90
fHP Number of LQ90 < Daily precipitation ≤ LQ95
fVHP Number of LQ95 < Daily precipitation ≤ LQ99
fEP Number of Daily precipitation > LQ99
Annual frequency indices (d per year) 11 fACPE Number of days with precipitation > 0 mm for each year
12 fACWD Number of wet days (precipitation ≥ 1 mm) for each year
13 fACVLPE Number of events (0 mm < Daily precipitation ≤ LQ50) for each year
14 fACLPE Number of events (LQ50 < Daily precipitation ≤ LQ75) for each year
15 fACMPE Number of events (LQ75 < Daily precipitation ≤ LQ90) for each year
16 fACHPE Number of events (LQ90 < Daily precipitation ≤ LQ95) for each year
17 fACVHPE Number of events (LQ95 < Daily precipitation ≤ LQ99) for each year
18 fACEPE Number of days with precipitation > LQ99

Note: f: frequency; AC: annual counts; and PE: precipitation events. For others, please see the footnote of Table 1 .

Table 3. Long-term and annual duration indices for daily precipitation analysis.
Charac. ID Description (Indicator definitions) Unit
Long-term duration indices dPCWDD Consecutive wet days (precipitation ≥ 1 mm) duration for ≥ 5 days d
dPCDDD Consecutive dry days (precipitation < 1 mm) duration for ≥ 5 days
dfPCWDD Number of consecutive wet days (precipitation ≥ 1 mm) duration for ≥ 5 days number
dfPCDDD Number of consecutive dry days (precipitation < 1 mm) duration for ≥ 5 days
Annual duration indices 19 dAMPCWDD Maximum consecutive wet days (precipitation ≥ 1 mm) duration for ≥ 5 days for each year d
20 dAMPCDDD Maximum consecutive dry days (precipitation < 1 mm) duration for ≥ 5 days for each year

Note: d: duration; P: precipitation; C: consecutive; WDD: wet days duration; DDD: dry days duration; f: frequency; and AM: annual maximum.

The LQNN values at each station were used to classify daily precipitation from very light to extreme level, as described in Table 1  and Table 2 . Many of the annual indices used in the present study (e.g. iMax1WD; fACPE, fACWD and fACEOE; and dAMPCDDD) were calculated from daily precipitation records based on recommendations by Nicholls and Murray (1999) . They are accepted as a useful reference for comparing the results from trend analyses in different regions (Nicholls and Murray, 1999 ).

2.3. Trend detection

Use of the Mann–Kendall non-parametric test (Mann, 1945  and Kendall, 1948 ) is recommended by the World Meteorological Organization to determine statistically significant trends in environmental datasets (Mitchell et al., 1966  and Yu et al., 2002 ). This method is commonly applied to detect trends in meteorological and hydrological time series (e.g. Hamed, 2008 , Liu et al., 2008  and Liang et al., 2010 ), and it assumes no special distribution function in the time series (Helsel and Hirsch, 1992  and Maidment, 1993 ). The method was used in this study to determine significant trends in annual indices of daily precipitation characteristics. Further, trend free pre-whitening (TFPW) method (Yue et al., 2002 ) was applied for detecting statistically significant (p  < 0.05) trends in serially correlated time series (e.g. Tabari et al., 2012  and Irannezhad and Kløve, 2015 ). The Sen method (Sen, 1968 ) was used to calculate the slope of detected significant trends. The trends in annual precipitation indices were normalised by their long-term (the whole study period) median values and expressed as a percentage. The annual time scale in this study was defined as the calendar year from 1 January to 31 December.

2.4. Kruskal–Wallis nonparametric test

General equivalence in summary statistics of similar data from different meteorological stations (e.g. median value of annual precipitation at different stations) is mainly determined by the Kruskal–Wallis nonparametric test (Helsel and Hirsch, 1992 ), which assumes free shape of distribution for datasets. The test is practically performed for specific purposes, e.g. in order to determine whether all groups of datasets have the same median value, or if one median value is different, at least for one group (Helsel and Hirsch, 1992 ). To determine statistical significance (p  < 0.05), the differences in median values of datasets at all 3 stations studied were defined using a:

  • Null hypothesis (H0 ): The median values of k groups are identical, with k  = 3.
  • Alternate hypothesis (H1 ): At least one median value differs from the others (a two-sided test).

3. Results

3.1. Daily precipitation intensity

Summary statistics on daily precipitation intensity during the study period for all three stations show a south to north gradient for daily precipitation intensity, with lower values at Sodankylä in the north and higher values at Kaisaniemi in the south of Finland (Fig. 2 ). The main exception was the extreme precipitation intensity (iEP) at Kajaani in central Finland (Fig. 2 h). Similarly, typical values (median) of the iODP and iWDP indices were 1.2 mm d−1 and 3.4 mm d−1 at Sodankylä, 1.6 mm d−1 and 3.5 mm d−1 at Kajaani, and 2.0 mm d−1 and 4.4 mm d−1 at Kaisaniemi (Fig. 2 a–c). The median values for the iVLP, iLP, iMP, iHP, iVHP and iEP indices also showed less intense precipitation in the north (Fig. 2 d–i). Such spatial pattern was also observed in the 99th percentile value of the iEP index that was about 54.4 mm d−1 at Sodankylä, 56.2 mm d−1 at Kajaani, and 77.9 mm d−1 at Kaisaniemi (Fig. 2 ). However, the maximum daily precipitation recorded during the study period (1908–2008) was about 84.9 mm at Kaisaniemi, 65.6 mm at Sodankylä and 64.2 mm at Kajaani.


Box-and-whisker plots of long-term daily precipitation intensity indices at ...


Fig. 2.

Box-and-whisker plots of long-term daily precipitation intensity indices at Sodankylä, Kajaani, and Kaisaniemi. See Table 1 for description of the index abbreviations. Mean value (μ ) ± standard deviation (σ ) as statistical parameters are given on top of each index at all the stations studied.

Annual intensity indices iAAP and iAAVLP showed significant (p  < 0.05) decreasing trends at all 3 stations studied ( Fig. 3 a). In the iAAP index, the normalised decreasing trends ranged from about 0.16% to 0.32% per year, with a growing tendency from Kaisaniemi to Sodankylä (Fig. 3 a). The normalised decline in the iAAVLP index ranged from about 0.13% per year at Kajaani to 0.45% per year at Sodankylä (Fig. 3 a). The decreasing trend line for the annual anomalies in the iAAVLP index at Sodankylä station is presented in Fig. 3 b. The significant normalised trends in the iAAWDP and iSDII indices were negative (downward) and ranged between 0.09% and 0.1% per year at Kajaani station (Fig. 3 a). The iAAHP index showed a significant decreasing trend at Kaisaniemi station at the rate of 0.04% per year (Fig. 3 a).


(a) Normalised trends in annual intensity indices, and (b) time series and trend ...


Fig. 3.

(a) Normalised trends in annual intensity indices, and (b) time series and trend line for annual anomalies of iAAVLP index at Sodankylä station. Median values for normalised trends in annual indices at each station studied are given on top or bottom of bars (a).

Analyses of all correlations between ACPs and the annual precipitation indices for all 3 stations identified a significant impact of several ACPs (Table 4 ). The annual EA/WR pattern showed negative correlations (p  < 0.05) with the iAAP, iAAWDP and iSDII indices at all stations studied here ( Table 4 ). Summer season was the most relevant period for the EA/WR pattern to negatively influence these three annual precipitation indices (iAAP, iAAWDP and iSDII) in Finland (nos. 1, 2 and 9 in Fig. 4 a–c). Only exception refers to the iAAP index at Kaisaniemi influenced by the summer EA pattern (no. 1 in Fig. 4 c). The iAAVLP and iAAMP indices were significantly associated with the annual EA pattern (p  < 0.05) at both Sodankylä and Kaisaniemi stations ( Table 4 ). At Sodankylä, the effects of EA pattern on the iAAVLP was predominant during autumn, while during winter at Kaisaniemi (no. 3 in Fig. 4 a and c). However, the EA/WR pattern for summer negatively affected variability in the iAAVLP at Kajaani (no. 3 in Fig. 4 b). On seasonal scale, the iAAMP (no. 5 in Fig. 4 a and c) was significantly correlated with the EA pattern during spring at Sodankylä, but with the NAO during autumn at Kaisaniemi. Most significant relationships (strongest Spearman rank correlation at p  < 0.05) of all annual precipitation indices with the annual and seasonal ACPs are presented in Table 4 and Fig. 4 , respectively.

Table 4. Spearman rank correlation (ρ ) between annual precipitation indices (nos. 1–20 in Table 1 , Table 2  and Table 3 ) and annual atmospheric circulation patterns (ACPs) at all stations studied. Significance levels: p  < 0.1 denoted by underlining, p  < 0.05 in bold. See text for explanation of index abbreviations.
Indices ID Sodankylä Kajaani Kaisaniemi
NAO EA EA/WR SCA POL AO NAO EA EA/WR SCA POL AO NAO EA EA/WR SCA POL AO
Ann. intens. indices 1 −0.25 0.00 −0.37a −0.15 −0.14 −0.14 0.13 0.24 −0.45a −0.31d −0.09 0.26 0.04 0.16 −0.40a 0.24d −0.48 0.02
2 −0.11 0.08 −0.39a −0.15 −0.21 −0.18 0.24 0.15 −0.42a −0.11 −0.06 0.26 0.12 0.12 −0.30a −0.06 −0.37 0.04
3 −0.19 −0.34c −0.08 0.22 0.15 −0.01 −0.08 0.06 −0.12 −0.15 0.08 0.04 −0.08 −0.26c −0.14 0.14 0.09 −0.03
4 0.23 0.16 0.01 −0.18 −0.04 0.07 0.02 0.12 −0.07 −0.11 −0.03 0.16 −0.11 −0.16 0.16 0.17 0.30 −0.02
5 0.08 0.33c −0.07 −0.17 −0.06 −0.09 0.17 −0.07 −0.01 0.04 0.37 0.24 0.39 −0.26c 0.07 0.04 0.07 0.15
6 −0.15 −0.04 0.11 −0.06 −0.04 0.02 0.15 0.12 −0.20 0.11 −0.10 −0.03 −0.08 −0.16 −0.09 −0.02 −0.19 0.07
7 −0.30 −0.03 0.12 0.16 −0.01 −0.28 0.00 −0.12 0.11 0.04 0.12 0.03 −0.04 0.12 −0.06 −0.16 −0.08 −0.12
8 0.00 0.12 −0.01 −0.16 −0.03 0.02 0.26 −0.01 −0.12 −0.13 0.16 0.06 0.04 −0.23 0.13 0.31 0.24 0.07
9 −0.08 0.07 −0.37a −0.11 −0.18 −0.20 0.21 0.08 −0.41a −0.06 −0.08 0.23 0.10 0.10 −0.30a −0.04 −0.35 0.03
10 0.01 0.04 −0.14 −0.18 −0.09 −0.03 0.15 −0.01 −0.29 −0.11 0.10 −0.01 0.06 −0.14 −0.13 0.10 −0.07 0.02
Ann. freq. indices 11 0.14 0.00 −0.11 0.06 0.02 −0.13 −0.12 0.00 −0.12 0.06 0.07 0.01 −0.17 −0.30 −0.23 −0.05 −0.15 −0.21
12 −0.09 −0.04 −0.25a −0.08 0.01 −0.11 −0.06 0.05 −0.31a −0.25 0.03 0.10 −0.18 −0.13 −0.37a −0.14 −0.34 −0.22
13 0.31 0.03 0.10 0.15 0.06 0.00 −0.12 0.03 0.02 0.16 0.05 −0.08 −0.07 −0.37 0.04 0.14 0.22 −0.15
14 −0.17 0.04 −0.08 0.02 0.00 −0.21 −0.02 −0.19 −0.08 −0.06 0.12 0.05 −0.13 −0.15 −0.25 −0.14 −0.16 −0.17
15 0.11 0.00 −0.18 −0.25 0.02 0.12 −0.18 −0.14 −0.12 −0.16 −0.12 −0.04 −0.16 0.09 −0.27 −0.17 −0.34 −0.19
16 −0.13 0.08 −0.26a −0.09 0.00 −0.03 0.16 0.22 −0.28a −0.13 0.09 0.32 0.07 0.15 −0.36a −0.03 −0.41 0.01
17 −0.17 0.02 −0.40a 0.21 −0.24c −0.28b 0.21 0.24 −0.37a −0.21 −0.19 0.28b −0.04 0.03 −0.29a −0.10 −0.33c −0.10
18 0.00 −0.06 −0.29a −0.15 −0.09 −0.07 0.04 0.09 −0.25a −0.11 −0.05 −0.04 0.02 −0.07 −0.24a −0.06 −0.22 −0.01
Ann. dur. indices 19 −0.01 −0.04 −0.19 0.20 −0.09 −0.16 −0.12 −0.20 −0.20 −0.11 −0.18 −0.09 −0.18 −0.14 −0.37 0.08 −0.24 −0.23
20 0.20 −0.10 0.39a 0.14 0.27b 0.18 0.08 −0.12 0.24a −0.12 0.24b −0.03 −0.08 0.15 0.27a −0.29 0.19 0.13

a. Same significant correlations at all stations studied.

b. Same significant correlations at Sodankylä and Kajaani.

c. Same significant correlations at Sodankylä and Kaisaniemi.

d. Same significant correlations at Kajaani and Kaisaniemi.


Most influential seasonal atmospheric circulation pattern (ACP) on annual ...


Fig. 4.

Most influential seasonal atmospheric circulation pattern (ACP) on annual precipitation characteristics indices (nos. 1–20 in Table 1 , Table 2  and Table 3 ) at (a) Sodankylä, (b) Kajaani and (c) Kaisaniemi. Similar effective seasonal ACP in one of the annual precipitation characteristic indices at all 3 stations are indicated by black, and at both Sodankylä and Kajaani by green.

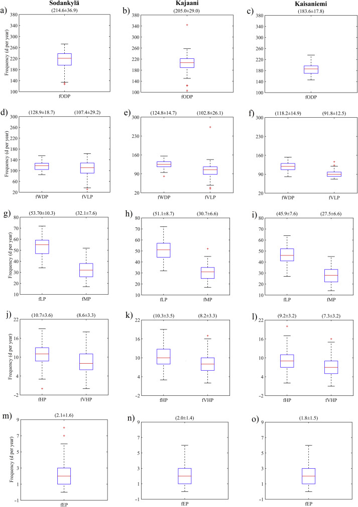
3.2. Frequency analysis

In general, Sodankylä experienced the highest number of precipitation days, while Kaisaniemi experienced the lowest (Fig. 5 ). Analysis of long-term frequency indices of daily precipitation indicates that about 59% of days at Sodankylä, 56% at Kajaani and 50% at Kaisaniemi experienced daily precipitation >0 mm (Fig. 5 a–c). Similarly, the maximum contributions of the fWDP, fVLP, fLP and fMP indices to the number of daily precipitation records were higher at Sodankylä than at Kajaani and Kaisaniemi (Fig. 5 d–i). On average, the number of heavy, very heavy and extreme daily precipitation events (fHP, fVHP and fEP) were nearly equal at all the three stations studied (Fig. 5 j–o).


Box-and-whisker plots of long-term daily precipitation frequency indices (given ...


Fig. 5.

Box-and-whisker plots of long-term daily precipitation frequency indices (given as interannual variations) at Sodankylä, Kajaani, and Kaisaniemi. See Table 2 for description of the index abbreviations. Mean value (μ ) ± standard deviation (σ ) as statistical parameters are given on top of each index at all the stations studied.

Significant increasing trends were found in the annual frequency index fACVLPE at all 3 stations (Fig. 6 a). The highest increasing normalised trend in the fACVLPE index was 0.51% per year (at Sodankylä), while the lowest was 0.12% per year (at Kaisaniemi) (Fig. 6 a). Time series for annual anomalies in the fACVLPE index (no. 13 in Table 2 ) at Sodankylä station during the study period (1908–2011) are presented in Fig. 6 b. Increasing normalised trends (p  < 0.05) were also found in the fACPE index at Sodankylä (0.19% per year) station ( Fig. 6 a). However, the moderate daily precipitation (fACMPE index, no. 15 in Table 2 ) shows significant negative (decreasing) normalised trends (by −0.2% per year) at Kajaani (Fig. 6 a).


(a) Normalised trends in annual frequency indices, and (b) time series and trend ...


Fig. 6.

(a) Normalised trends in annual frequency indices, and (b) time series and trend line for annual anomalies of fACVLPE index at Sodankylä station. There were no clear trends in annual duration indices. Median values for normalised trends in annual indices at each station studied are given on top or bottom of bars (a).

The annual EA/WR pattern was related to precipitation frequency, as seen in statistically significant negative relationships with the fACWD, fACHPE, fACVHPE and fACEPE indices at all the 3 stations (Table 4 ). The predominant season for such significant effects of the EA/WR pattern on the fACWD index was autumn, while for the fACVHPE and fACEPE indices was summer (Fig. 4 ). However, different seasonal ACPs influenced fACHPE: summer NAO at Sodankylä, spring EA pattern at Kajaani, and winter POL pattern at Kaisaniemi (Fig. 4 ). At all 3 stations studied, most influential ACPs for the annual frequency indices of daily precipitation are given in Table 4 , and their predominant seasons in Fig. 4 .

3.3. Duration indices

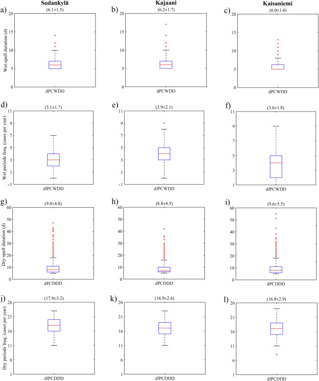
The longest observed period of consecutive wet days (dPCWDD) was 17 d at Kajaani, 14 d at Sodankylä and 13 d at Kaisaniemi (Fig. 7 a–c). On average, at all the 3 stations wet spell duration (dPCWDD) was 6 days per year (Fig. 7 a–c) and wet periods (dfPCWDD) were observed 3 times per year (Fig. 7 d–f). Otherwise, the maximum number of consecutive dry days (dPCDDD index in Table 3 ) was 56 d at Kaisaniemi, 47 d at Sodankylä and 42 d at Kajaani (Fig. 7 g–i). At all the three stations, dry spell duration was on average 9 d per year (Fig. 7 g–i), and dry periods (dfPCDDD) were observed 17–18 times per year (Fig. 7 j–l).


Box-and-whisker plots of long-term daily precipitation duration indices at ...


Fig. 7.

Box-and-whisker plots of long-term daily precipitation duration indices at Sodankylä, Kajaani, and Kaisaniemi. See Table 3 for description of the index abbreviations. Mean value (μ ) ± standard deviation (σ ) as statistical parameters are given on top of each index at all the stations studied.

Trend analysis reveals no statistically significant trends in the 2 annual duration indices of daily precipitation, dAMPCWDD and dAMPCDDD at any station. The dAMPCDDD index at all the 3 stations shows significant positive relationships (p  < 0.05) with the EA/WR pattern ( Table 4 ), and also with the POL pattern at both Sodankylä and Kajaani (Table 4 ). The EA/WR pattern has the most significant negative relationship with the dAMPCWDD index at Kaisaniemi station. The dAMPCDDD index at Kaisaniemi was strongly and negatively correlated with the SCA pattern (Table 4 ). Most relevant season for the EA/WR to affect the dAMPCWDD was autumn at Kajaani, but winter at Kaisaniemi (Fig. 4 b, c). However, the EA/WR pattern during autumn most significantly influenced the dAMPCDDD. The seasonal POL pattern was the most influential ACP for the dAMPCWDD during winter at Sodankylä, but for the dAMPCDDD index during winter and autumn at Kajaani and Sodankylä stations (Fig. 4 ), respectively.

4. Discussion

4.1. Precipitation characteristics

4.1.1. Intensity

At all the 3 stations studied, a slight trend for decreasing intensity was found in the very light precipitation class (the iAAVLP index), originating evidently from increases in its frequency (the fACVLPE index). Classifying daily precipitation into four different categories based on percentile values (light (<30th), moderate (30th–60th), heavy (60th–90th), and very heavy (≥90th)), Wen et al. (2014) analysed trends in daily precipitation intensity and frequency over northern Eurasia, including Finland, during 1951–2000. They concluded that light precipitation had significantly increased in the centre and north of Finland, but decreased in the south, while moderate precipitation had decreased in the south and north of the country. This study found decreases in daily precipitation intensity for wet days (iAAWDP and iSDII) in central Finland. In contrast, a study by Alexander et al. (2006) based on 5948 precipitation stations around the world identified a slight increasing trend in the iSDII index over Finland. Small positive trends in the iSDII index of summer precipitation have also been reported for the regions north of 40°N (Moberg et al., 2006 ). The present study determined decreasing trends in average annual precipitation on precipitation days (iAAP index in Table 1 ) in northern (Sodankylä), central (Kajaani) and southern (Kaisaniemi) Finland. However, Lee et al. (2000) indicated an increasing trend in annual precipitation in Lapland (northern Finland) during the period 1880–1993. Irannezhad et al. (2014a) also reported significant increasing trends in annual precipitation over Finland, with higher rates in the north and centre. Besides, Irannezhad et al., 2014b  and Irannezhad et al., 2015a found increases in annual precipitation over central Finland. This discrepancy is most likely related to the use of different meteorological stations in northern, central and southern Finland and of different study periods for trend analysis.

Most indices expressing heavy to extremely high daily precipitation intensity generally remained unchanged at all the stations studied. Similarly, Wen et al. (2014) reported no clear trends in heavy and very heavy precipitation over Finland. However, Alexander et al. (2006) found a general increase in extreme precipitation characteristics world-wide. Moreover, Groisman et al. (2005) determined increases in heavy precipitation (90th percentile) by 26% over 100-year, in very heavy precipitation (99th percentile) by 25% over 100-year and in extreme precipitation (99.9th percentile) by 52% over 100-year in northern European Russia (north of 60°N). In contrast to the results obtained in the present study, Alexander et al. (2006) found a significant increasing trend in annual maximum 1-day precipitation at stations near Helsinki (southern Finland), but no clear trend at stations in northern and central Finland. Heino et al. (1999) studied trends for annual anomalies in maximum 1-day precipitation during the period 1910–1995 at 12 different stations in northern and central Europe, three of which were those used in the present study. Their results indicate no statistically significant (p  < 0.01, 0.05, and 0.1) trends at any of these stations. The different trends identified by these studies point to the fact that extremely high levels of daily precipitation can be spatially and temporally inconsistent ( Chen et al., 2015 ). This means that the trends have a high dependence on location and study period. Therefore, caution is required to interpret trends identified with data from just a few stations in the country.

4.1.2. Frequency

In general, the present study suggests that the frequency of very light precipitation days has significantly increased at all the 3 stations studied during the 20th century. Light precipitation was found to be suppressed by increased air pollution in other parts of the world (e.g. Qian et al., 2009 ). Increasing trend was also found in the number of precipitation days at Sodankylä in the north of Finland. Moreover, the number of daily moderate precipitation events significantly decreased at Kajaani in central Finland. No clear trends were found in the other annual frequency indices of precipitation. Similarly, Heino et al. (1999) concluded that there were no significant trends in the number of days with precipitation (≥10 mm) during the period 1910–1995 at Kaisaniemi, Kajaani and Sodankylä. Wen et al. (2014) reported increasing trends in the frequency of light precipitation days (daily precipitation < 30th percentile) in central and northern Finland; decreasing trends in the number of moderate precipitation days (daily precipitation between 30th and 60th percentiles) in the north and south of Finland; less frequent heavy precipitation days (daily precipitation between 60th and 90th percentiles) in southern Finland; and no changes in the frequency of very heavy precipitation days (daily precipitation ≥ 90th percentiles) in Finland, during 1951–2010. The inconsistency between their results and those in the present study may derive from the different classification systems used for categorising light to very heavy daily precipitation. Easterling et al. (2000b) summarised the trends in number of days with heavy precipitation in different regions, seasons and periods, in which an increase of 1.9% per 10 years during June–August for the period 1901–1996 was observed over Norway, the nearest country to Finland in that study. Using 88 stations throughout the Fenno-scandinavian region, Groisman et al. (2005) reported an increase in the frequency of very heavy daily precipitation during the 20th century, although the increasing trend mainly occurred since 1980. Many other studies have reported increases in number of days with heavy and extremely high precipitation in different parts of the world (Alexander et al., 2006;Kunkel et al., 1999  and Zhai et al., 1999 ).

4.1.3. Duration

This study shows a spatial difference in precipitation duration indices within Finland (from south to north), and no clear trends in wet spell and dry spell duration. Kilpeläinen et al. (2008) analysed summer precipitation characteristics in southern Finland using continuous rainfall records at the Helsinki Kaisaniemi station covering the period 1951–2003. Their results show decadal variability in summer precipitation characteristics in Helsinki, resulting from natural variations in climate. They reported that single dry spell duration (the time between the precipitation event ending and the next precipitation event starting) in summer (May–September) was generally about 21 h, and tended to become shorter towards the autumn. Summer dry spell duration in the 1970s and 1980s was clearly shorter than the average over the whole study period. The fraction of wet spells (sum of precipitation event duration divided by the sum of precipitation events and dry spell duration) was normally about 4.5% for summer months in Helsinki, and was likely to increase towards the autumn. However, the fraction of wet spells in July showed a slight decreasing trend at Helsinki (Kaisaniemi station) (Kilpeläinen et al., 2008 ).

4.2. Correlations with atmospheric circulation patterns

The present study indicates that daily precipitation characteristics in Finland are moderately connected to different ACPs. In particular, the EA/WR pattern during summer and autumn seasons showed the most significant relationships with the inter-annual variability in precipitation intensity, frequency and duration indices at all three stations studied. The POL pattern over autumn and winter seasons was also associated with those precipitation indices in southern Finland. Besides, the AO and NAO were the most influential ACPs for a few daily precipitation indices related to intensity and frequency over central and northern Finland.

A comprehensive study of the long-term variability in Finnish precipitation by Irannezhad et al. (2014a) indicates that the EA/WR pattern is the most significant ACP affecting annual precipitation nationwide in Finland. This may refer to the fact that highest daily precipitation intensity generally occurs during summer in Finland. They also found summer precipitation in central and northern Finland is strongly connected with the EA/WR pattern, while in southern Finland with the POL pattern. Besides, Jaagus (2009) reported similar results to the present study.

On evaluating the links between European climate extremes and the NAO, Scaife et al. (2008) concluded that increases in the recurrence of heavy precipitation events over northern Europe are significantly related to high NAO periods (see also Casanueva et al., 2010a ). In addition, Haylock and Goodess (2004) showed statistically significant relationships between the number of days above the 90th percentile of wet days during the period 1961–1990 and the NAO index for the European region (see also Casanueva et al., 2010b  and Casanueva et al., 2011 ). Stone et al. (2000) concluded that the NAO is the most influential ACP for light precipitation frequency in summer over Hudson Bay and for heavy precipitation frequency in winter around Baffin Island and Labrador, Canada. However, in the present study the annual frequencies of both very light and heavy precipitation at Sodankylä in northern Finland were correlated (p  < 0.05) with the summer NAO. At Kajaani in central Finland, the annual frequency of heavy precipitation also showed significant correlations with the annual AO index. The annual AO was significantly associated with variations in the annual frequency of very heavy precipitation over both central and northern Finland.

Beside the EA/WR and the POL patterns, the present study revealed the significant roles of the AO and the SCA patterns on variations in maximum consecutive wet and dry days, respectively. Casanueva et al. (2011) found that the NAO, as a component of the AO, positively influences the period of CWD during winter in northern Europe, but negatively influences CWD during summer in Eastern Mediterranean regions. The SCA pattern was the most influential ACP for the CWD during the other seasons, with positive correlations for south-western Europe (Casanueva et al., 2011 ). However, Haylock and Goodess (2004) concluded that the maximum number of consecutive dry days during winter is significantly correlated to the NAO index.

It is well known that significant correlations between daily precipitation and different ACPs, such as those mentioned above, generally reflect relationships of climate conditions with atmospheric circulation (e.g. Hurrell, 1995 , Wibig, 1999  and Bartolini et al., 2009 ). The EA/WR and POL patterns, the main ACPs affecting daily precipitation characteristics in Finland, are defined based on pressure/height anomalies at different centres around the world, from polar regions to northern China and Mongolia. The main negative connections between daily precipitation indices and the EA/WR pattern in Finland are ultimately the result of negative (positive) pressure/height anomalies over western and south-western Russia and positive (negative) pressure/height anomalies across north-west Europe, which characterise the positive (negative) phases of the EA/WR pattern. In addition, the relationship with the POL pattern in southern areas (lowest latitude in Finland) may refer to the major changes in the strength of the circumpolar circulation, which reveals the associated systematic changes happening in the mid-latitude circulation over a large part of Europe and Asia.

5. Conclusions

This study analysed long-term daily precipitation patterns at three spatially distinct monitoring stations in southern, central and northern Finland, and found spatial differences and statistically significant trends for some daily precipitation indices during the past century. These results are mostly in agreement with previous findings for Finland (and similar regions) of changes in intensity, frequency and duration of daily precipitation over the northern hemisphere. Some dissimilarities were observed, but were mainly related to the use of different study periods, stations and classification systems.

The intensity of daily precipitation in Finland generally increases from north to south. We found statistically significant (p  < 0.05) decreasing trends in average annual intensity of very light precipitation in Finland, accompanied by increases in its frequency. At all stations studied, daily precipitation >0 mm also showed decreasing trends during 1908–2008. Besides, significant downward trends were found in daily precipitation intensity for wet days (iAAWDP and iSDII indices) at the Kajaani station in central Finland, and for heavy precipitation (iAAHP index) at Kaisaniemi station (southern Finland). Overall, the results for all indices show that in the study period (1908–2008) annual average intensity of very light precipitation and annual average intensity of precipitation days (daily precipitation > 0 mm) decreased in Finland; wet days (daily precipitation > 1 mm) decreased in central Finland; and annual average intensity of heavy precipitation days decreased in southern Finland.

Analyses of precipitation frequency also reveal spatial differences throughout Finland. Days with precipitation were generally more frequent in northern Finland than in central and southern parts. The non-parametric Kruskal–Wallis test confirms that typical values of precipitation days followed the same spatial pattern in Finland. This observation is in the opposite spatial direction to annual precipitation pattern over Finland, which generally increases from north to south. Number of days with very light precipitation events increased in Finland during the past century, with a spatial decrease from north to south. The frequency of precipitation days (daily precipitation > 0 mm) increased in northern Finland, while it remained unchanged in central and southern areas. Duration analysis of daily precipitation also shows spatial differences in Finland (from south to north), whereas e.g. the longest consecutive period of wet days was found in central Finland. However, wet spell duration was generally 6 days and occurred 3 times per year, while dry spell duration was commonly 9 days and occurred 17–18 times per year.

Different ACPs showed moderate correlations with the precipitation intensity, frequency and duration indices, signifying their influences on daily precipitation characteristics in Finland. The EA/WR pattern was significantly associated with the intensity of wet days (daily precipitation > 1 mm) across Finland, particularly during summer season. In addition, the EA/WR pattern within summer and autumn seasons influenced most of daily precipitation frequency indices at all the 3 stations, although the POL pattern was also influential for several of those indices in southern Finland over autumn and winter. For daily precipitation duration, the annual longest periods for consecutive wet and dry days in Finland were significantly associated with the EA/WR and the POL patterns throughout autumn and winter seasons. The negative relationships with the EA/WR are the result of negative pressure anomalies across the west and southwest of Russia and positive pressure anomalies over north-western Europe. Finally, relationships between the POL pattern and daily precipitation duration in Finland reflect fluctuations and changes in the strength of circumpolar circulation over multiple areas of Europe and Asia.

Acknowledgments

The authors gratefully acknowledge the Finnish Cultural Foundation and Maa-ja vesitekniikan tuki r.y. (MVTT, 29188 ) for funding this research. We thank the Finnish Meteorological Institute (FMI) for providing daily precipitation datasets. We also thank Hanna Tietäväinen from the FMI for giving us general information about the meteorological stations considered in this study. Research trainee Muhammad Kamran Khalid from the University of Oulu helped in preliminary data analysis, Deliang Chen is supported by Swedish VR, BECC and MERGE programs.

References

  1. Alexander et al., 2006 L.V. Alexander, X. Zhang, T.C. Peterson, et al.; Global observed changes in daily climate extremes of temperature and precipitation; J. Geophys. Res., 111 (D5) (2006), pp. 1–22
  2. Alexandersson, 1986 H. Alexandersson; A homogeneity test applied to precipitation data; J. Climatol., 6 (1986), pp. 661–675
  3. Bartolini et al., 2009 E. Bartolini, P. Claps, P. D'Odorico; Interannual variability of winter precipitation in the European Alps: relations with the North Atlantic Oscillation; Hydrol. Earth. Syst. Sci., 13 (2009), pp. 17–25
  4. Beniston et al., 2007 M. Beniston, D.B. Stephenson, O.B. Christensen, et al.; Future extreme events in European climate: an exploration of regional climate model projections; Clim. Change, 81 (2007), pp. 71–95
  5. Casanueva et al., 2010a A. Casanueva, N. Gonzalez-Reviriego, C. Rodriguez-Puebla; The North Atlantic oscillation and extreme precipitation indices over Europe; ESF-MedCLIVAR Workshop on: Hydrological, Socioeconomic and Ecological Impacts of the North Atlantic Oscillation in the Mediterranean Region, Spain (2010)
  6. Casanueva et al., 2010b A. Casanueva, C. Rodriguez-Puebla, N. Gonzalez-Reviriego; The role of teleconnection patterns on extreme precipitation indices over Europe; 10th EMS Annual Meeting-8th European Conference on Applied Climatology (ECAC), Switzerland (2010)
  7. Casanueva et al., 2011 A. Casanueva, C. Rodriguez-Puebla, N. Gonzalez-Reviriego, et al.; Influence of teleconnection patterns on extreme precipitation indices over Europe: consecutive wet days (CWD) and highest one day precipitation (RX1DAY); European Geosciences Union General Assembly Conference, Austria (2011)
  8. Castro et al., 2007 M. Castro, C. Gallardo, K. Jylhä, et al.; The use of a climate-type classification for assessing climate change effects in Europe from an ensemble of regional climate models; Clim. Change, 81 (Suppl. 1) (2007), pp. 329–341
  9. Chen et al., 2015 D. Chen, A. Walther, A. Moberg, et al.; European Trend Atlas of Extreme Temperature and Precipitation; Springer, Dordrecht Heidelberg, New York, London (2015) http://dx.doi.org/10.1007/978-94-017-9312-4
  10. Dai et al., 1997 A. Dai, I.-Y. Fung, A.D. DelGenio; Surface observed global land precipitation variations during 1900–88; J. Clim., 10 (1997), pp. 2943–2962
  11. Easterling et al., 2000a D.R. Easterling, G.A. Meehl, C. Parmesan, et al.; Climate extremes: observation, modeling, and impacts; Science, 289 (2000), pp. 2068–2074
  12. Easterling et al., 2000b D.R. Easterling, J.L. Evans, P.Y.A. Groisman, et al.; Observed variability and trends in extreme climate events: a brief review; Bull. Am. Meteorol. Soc., 81 (2000), pp. 417–425
  13. Escudero et al., 2012 A. Escudero, A. González-Arias, O. del Hierro, et al.; Nitrogen dynamics in soil amended with manures composted in dynamic and static systems; J. Environ. Manage., 108 (2012), pp. 66–72
  14. Goodison et al., 1998 B. Goodison, P.Y.T. Louie, D. Yang; WMO Solid Precipitation Measurement Intercomparison Final Report; (1998) WMO/TD-No. 872, IOM No. 67, World Meteorological Organization
  15. Groisman and Easterling, 1994 P.Ya Groisman, D.R. Easterling; Variability and trends of total precipitation and snowfall over the United States and Canada; J. Clim., 7 (1994), pp. 184–205
  16. Groisman et al., 1999 P.Ya Groisman, T.R. Karl, D.R. Easterling, et al.; Change in the probability of heavy precipitation: important indicators of climatic change; Clim. Change, 42 (1999), pp. 243–283
  17. Groisman et al., 2001 P.Ya Groisman, R.W. Knight, T.R. Karl; Heavy precipitation and high streamflow in the contiguous United States: trends in the twentieth century; Bull. Am. Meteorol. Soc., 82 (2001), pp. 219–246
  18. Groisman et al., 2005 P.Ya Groisman, R.W. Knight, D.R. Easterling, et al.; Trends in intense precipitation in the climate record; J. Clim., 18 (2005), pp. 1326–1350
  19. Halmstad et al., 2012 A. Halmstad, M.R. Najafi, H. Moradkhani; Analysis of precipitation extremes with the assessment of regional climate models over the Willamette River Basin-U.S; Hydrol. Process, 27 (2012), pp. 2579–2590 http://dx.doi.org/10.1002/hyp.937
  20. Hamed, 2008 K.H. Hamed; Trend detection in hydrologic data: the Mann–Kendall trend test under the scaling hypothesis; J. Hydrol., 349 (2008), pp. 350–363
  21. Haylock and Goodess, 2004 M.R. Haylock, C.M. Goodess; Interannual variability of European extremes winter rainfall and links with large-scale circulation; Int. J. Climatol., 24 (2004), pp. 759–776
  22. Heino, 1994 R. Heino; Climate in Finland during the Period of Meteorological Observations; (1994) Finnish Meteorological Institute Contributions, No. 12, Helsinki
  23. Heino et al., 1999 R. Heino, R. Brẚzdil, E. Førland, et al.; Progress in the study of climatic extremes in northern and central Europe; Clim. Change, 42 (1999), pp. 151–181
  24. Helsel and Hirsch, 1992 D.R. Helsel, R.M. Hirsch; Statistical Methods in Water Resources; (1992) Studies in Environmental Science (Amsterdam), Netherlands
  25. Hennessy et al., 1997 K.J. Hennessy, J.M. Gregory, J.F.B. Mitchell; Changes in daily precipitation under enhanced greenhouse conditions; Clim. Dyn., 13 (1997), pp. 667–680
  26. Hurrell, 1995 J.W. Hurrell; Decadal trends in the North Atlantic Oscillation and relationship to regional temperature and precipitation; Science, 269 (1995), pp. 676–679
  27. Irannezhad and Kløve, 2015 M. Irannezhad, B. Kløve; Do atmospheric teleconnection patterns explain variations and changes in thermal growing season parameters in Finland?; Int. J. Climatol., 35 (2015), pp. 4619–4630 http://dx.doi.org/10.1002/joc.4311
  28. Irannezhad et al., 2014a M. Irannezhad, H. Marttila, B. Kløve; Long-term variations and trends in precipitation in Finland; Int. J. Climatol., 34 (10) (2014), pp. 3139–3153 http://dx.doi.org/10.1002/joc.3902
  29. Irannezhad et al., 2014b M. Irannezhad, E. Hassani Nezhad Gashti, Mohammadighavam, et al.; Inter-annual variations in snowfall and continuous snow cover duration in Pelso, central Finland, linked to teleconnection patterns, 1944–2010; Int. J. Environ. Ecol. Geol. Min. Eng., 8 (12) (2014), pp. 730–735
  30. Irannezhad et al., 2015a M. Irannezhad, A. Torabi Haghighi, D. Chen, et al.; Variability in dryness and wetness in central Finland and the role of teleconnection patterns; Theor. Appl. Climatol., 122 (3–4) (2015), pp. 471–486 http://dx.doi.org/10.1007/s00704-014-1305-x
  31. Irannezhad et al., 2015b M. Irannezhad, D. Chen, B. Kløve; Interannual variations and trends in surface air temperature in Finland in relation to atmospheric circulation patterns, 1961–2011; Int. J. Climatol., 35 (2015), pp. 3078–3092 http://dx.doi.org/10.1002/joc.4193
  32. Irannezhad et al., 2015c M. Irannezhad, A.-K. Ronkanen, B. Kløve; Effects of climate variability and change on snowpack hydrological processes in Finland; Cold Reg. Sci. Technol., 118 (2015), pp. 14–29
  33. Jaagus, 2009 J. Jaagus; Regionalization of the precipitation pattern in the Baltic Sea drainage basin and its dependence on large-scale atmospheric circulation; Boreal Environ. Res., 14 (2009), pp. 31–44
  34. Karl et al., 1996 T.R. Karl, R.W. Knight, D.R. Easterling, et al.; Indices of climate change for the United States; Bull. Am. Meteorol. Soc., 77 (1996), pp. 279–292
  35. Käyhkö, 2004 J. Käyhkö; Muuttuuko Pohjolan ilmasto? [Fennoscandian Climate in Change?]; (2004) Publications of Geography Department of the University of Turku 168, 19–35. (in Finnish with English abstract)
  36. Kendall, 1948 M.G. Kendall; Rank Correlation Methods; Hafner, New York, US (1948)
  37. Kharin and Zwiers, 2000 V.V. Kharin, F.W. Zwiers; Changes in the extremes in an ensemble of transient climate simulations with a coupled atmosphere–ocean GCM; J. Clim., 13 (2000), pp. 3760–3788
  38. Khon et al., 2007 V.Ch Khon, I.I. Mokhov, E. Roeckner, et al.; Regional changes of precipitation characteristics in Northern Eurasia from simulations with global climate model; Glob. Planet Change, 57 (2007), pp. 118–123
  39. Kilpeläinen et al., 2008 T. Kilpeläinen, H. Tuomenvirta, K. Jylhä; Climatological characteristics of summer precipitation in Helsinki during the period 1951–2000; Boreal Environ. Res., 13 (2008), pp. 67–80
  40. Klein Tank and Können, 2003 A.M.G. Klein Tank, G.P. Können; Trends in indices of daily temperature and precipitation extremes in Europe, 1946–99; J. Clim., 16 (2003), pp. 3665–3680
  41. Knapp et al., 2008 A.K. Knapp, C. Beier, D.D. Briske, et al.; Consequences of more extreme precipitation regimes for terrestrial ecosystems; BioScience, 58 (9) (2008), pp. 1–11
  42. Kunkel et al., 1999 K.E. Kunkel, K. Andsager, D.R. Easterling; Long-term trends in extreme precipitation events over the conterminous United States; J. Clim., 12 (1999), pp. 2515–2527
  43. Kuusisto, 1986 E. Kuusisto; Sadanta; S. Mustonen (Ed.), Sovellettu Hydrologia, Vesiyhdistys r.y, Helsinki (1986), pp. s.29–s.46
  44. Lee et al., 2000 S.-E. Lee, M.C. Press, J.-A. Lee; Observed climate variations during the last 100 years in Lapland, northern Finland; Int. J. Climatol., 20 (2000), pp. 329–346
  45. Lehner et al., 2006 B. Lehner, P. Doll, J. Alcamo, et al.; Estimating the impact of global change on flood and drought risks in Europe: a continental, integrated analysis; Clim. Change, 75 (2006), pp. 273–299
  46. Liang et al., 2010 L.-Q. Liang, L.-J. Li, Q. Liu; Temporal variation of reference evapotranspiration during 1961–2005 in the Taoer River basin of Northeast China; Agr. For. Meteorol., 150 (2010), pp. 298–306
  47. Liu et al., 2008 Q. Liu, Z.-F. Yang, B.-S. Cui; Spatial and temporal variability of annual precipitation during 1961–2006 in Yellow River Basin, China; J. Hydrol., 361 (2008), pp. 330–338
  48. Łupikasza et al., 2011 E.B. Łupikasza, S. Hänsel, J. Matschullat; Regional and seasonal variability of extreme precipitation trends in southern Poland and central-eastern Germany; Int. J. Climatol., 31 (2011), pp. 2249–2271
  49. Maidment, 1993 D.R. Maidment; Handbook of Hydrology; McGraw-Hill, US (1993)
  50. Mann, 1945 H.B. Mann; Non-parametric test against trend; Econometrika, 13 (1945), pp. 245–259
  51. Marttila and Kløve, 2010 H. Marttila, B. Kløve; Dynamics of erosion and suspended sediment transport from drained peatland forestry; J. Hydrol., 344 (3–4) (2010), pp. 414–425
  52. Milly et al., 2002 P.C.D. Milly, R.T. Wetherald, K.A. Dunne, et al.; Increasing risk of great floods in a changing climate; Nature, 415 (2002), pp. 514–517
  53. Mitchell et al., 1966 J.M. Mitchell, B. Dzerdzeevskii, H. Flohn, et al.; Climatic Change; WMO Technical Note No.79 World Meteorological Organization (1966)
  54. Moberg et al., 2006 A. Moberg, P.D. Jones, D. Lister, et al.; Indices for daily temperature and precipitation extremes in Europe analyzed for the period 1901–2000; J. Geophys. Res., D111 (2006), p. D22106 http://dx.doi.org/10.1029/2006JD007103
  55. Nicholls and Murray, 1999 N. Nicholls, W. Murray; Workshop on indices and indicators for climatic extremes. Asheville, NC, USA, 1997, breakout group B: precipitation; Clim. Change, 42 (1999), pp. 23–29
  56. Okkonen and Kløve, 2010 J. Okkonen, B. Kløve; A conceptual and statistical approach for the analysis of climate impact on ground water table fluctuation patterns in cold conditions; J. Hydrol., 388 (1–2) (2010), pp. 1–12
  57. Peel et al., 2007 M.C. Peel, B.L. Finlayson, T.A. McMahon; Updated world map of the Köppen–Geiger climate classification; Hydrol. Earth Syst. Sci., 11 (2007), pp. 1633–1644
  58. Philandras et al., 2011 C.M. Philandras, P.T. Nastos, J. Kapsomenakis, et al.; Long term precipitation trends and variability within the Mediterranean region; Nat. Hazards Earth Syst. Sci., 11 (2011), pp. 3235–3250
  59. Pirinen et al., 2012 P. Pirinen, H. Simola, J. Aalto, et al.; Climatological Statistics of Finland 1981–2010; (2012)
  60. Qian et al., 2009 Y. Qian, D. Gong, J. Fan, et al.; Heavy pollution suppresses light rain in China: observations and modeling; J. Geophys. Res., 114 (2009), p. D00K02 http://dx.doi.org/10.1029/2008JD011575
  61. Radinović and Ćurić, 2009 D. Radinović, M. Ćurić; Deficit and surplus of precipitation as a continuous function of time; Theor. Appl. Climatol., 98 (2009), pp. 197–200
  62. Rana and Moradkhani, 2015 A. Rana, H. Moradkhani; Spatial, temporal and frequency based climate change assessment in Columbia River Basin using multi downscaled-Scenarios; Clim. Dyn. (2015) http://dx.doi.org/10.1007/s00382-015-2857-x
  63. Reuna, 2007 M. Reuna; Sadanta ja lumen vesiarvo–Precipitaition and water equivalent of snow; J. Korhonen (Ed.), Hydrologinen Vuosikirja 2001–2005, Suomen ympäristökeskus, Helsinki (2007), pp. s.153–s.168 Suomen Ympäristö 44 | 2007. ISBN 978-952-11-2929-2
  64. Scaife et al., 2008 A.A. Scaife, C.K. Folland, L.V. Alexander, et al.; European climate extremes and the North Atlantic Oscillation; J. Clim., 21 (2008), pp. 72–83
  65. Schmidli and Frei, 2005 J. Schmidli, C. Frei; Trends of heavy precipitation and wet and dry spells in Switzerland during the 20th century; Int. J. Climatol., 25 (2005), pp. 753–771
  66. Sen, 1968 P.K. Sen; Estimates of the regression coefficient based on Kendalls tau; Int. J. Am. Stat. Assoc., 63 (1968), pp. 1379–1389
  67. Silander and Järvinen, 2004 J. Silander, E.A. Järvinen; Vuosien 2002–2003 poikkeuksellisen kuivuuden vaikutukset (Impacts of the Exceptional drought during the years 2002–2003); Suomen Ympäristö (Finnish Environment Institute), Finland (2004) (in Finnish)
  68. Stone et al., 2000 D. Stone, A. Weaver, F. Zwiers; Trends in Canadian precipitation intensity; Atmos. Ocean., 13 (2) (2000), pp. 321–347
  69. Suppiah and Hennessy, 1998 R. Suppiah, K.J. Hennessy; Trends in total rainfall, heavy rain events and number of dry days in Australia, 1910–1990; Int. J. Climatol., 10 (1998), pp. 1141–1164
  70. Tabari et al., 2012 H. Tabari, P. Hosseinzadeh Talaee, A. Ezani, et al.; Shift changes and monotonic trends in autocorrelated temperature series over Iran; Theor. Appl. Climatol., 109 (2012), pp. 95–108
  71. Tammelin, 1982 B. Tammelin; Ilmatietteen Laitoksen Tiedonantojy (The Wind-induced Error of the Finnish Rain Gauge); (1982) Helsinki, No. 36, 58 pp. (in Finnish)
  72. Trenberth et al., 2007 K.E. Trenberth, P.D. Jones, P. Ambenje, et al.; Observations: surface and atmospheric climate change; B.J. Hoskins, T.R. Karl, B. Jallow (Eds.), Climate Change 2007: The Physical Science Basis: Working Group I Contribution to the Fourth Assessment Report of the IPCC, Cambridge University Press (2007), pp. 235–236
  73. Tuomenvirta, 2001 H. Tuomenvirta; Homogeneity adjustment of temperature and precipitation series – Finnish and Nordic data; Int. J. Climatol., 21 (2001), pp. 495–506
  74. Voss et al., 2002 R. Voss, W. May, E. Roeckner; Enhanced resolution modeling study on anthropogenic climate change: changes in extremes of the hydrological cycle; Int. J. Climatol., 22 (2002), pp. 755–777
  75. Wen et al., 2014 G. Wen, G. Huang, H. Kaiming, et al.; Changes in the characteristics of precipitation over northern Eurasia; Theor. Appl. Climatol. (2014) http://dx.doi.org/10.1007/s00704-014-1137-8
  76. Wibig, 1999 J. Wibig; Precipitation in Europe in relation to circulation patterns at the 500 hPa level; Int. J. Climatol., 19 (1999), pp. 253–269
  77. WMO (World Meteorological Institute), 2009 WMO (World Meteorological Institute); Instrument and Observing Methods. WMO Field Intercomparison of Rainfall Intensity Gauges–instruments and Observing Methods, Report no. 99; (2009) WMO/TD-No. 1504
  78. Yang et al., 1995 D. Yang, B.E. Goodison, J.R. Metcalfe, et al.; Accuracy of tretyakov precipitation gauge: result of WMO intercomparison; Hydro. Process, 9 (1995), pp. 877–895
  79. Ylhäisi et al., 2010 J.S. Ylhäisi, H. Tietäväinen, P. Peltonen-Sainio, et al.; Growing season precipitation in Finland under recent and projected climate; Nat. Hazards Earth Syst. Sci., 10 (2010), pp. 1563–1574
  80. Yu et al., 2002 P.-S. Yu, T.-C. Yang, C.-K. Wu; Impact of climate change on water resources in southern Taiwan; J. Hydrol., 260 (2002), pp. 161–175
  81. Yue et al., 2002 S. Yue, P. Pilon, R. Phinney, et al.; The influence of autocorrelation on the ability to detect trend in hydrological series; Hydrol. Process, 16 (2002), pp. 1807–1829
  82. Zhai et al., 1999 P.-M. Zhai, A.-J. Sun, F.M. Ren, et al.; Changes of climate extremes in China; Clim. Change, 42 (1999), pp. 203–218
  83. Zolina et al., 2009 O. Zolina, C. Simmer, K. Belyaev, et al.; Improving estimates of heavy and extreme precipitation using daily records from European rain gauges; J. Hydrometeorol., 10 (2009), pp. 701–716
  84. Zolina et al., 2010 O. Zolina, C. Simmer, S.K. Gulev, et al.; Changing structure of European precipitation: longer wet periods leading to more abundant rainfalls; Geophys. Res. Lett., 37 (2010), p. L06704
  85. Zolina et al., 2013 O. Zolina, C. Simmer, K. Belayaev, et al.; Changes in duration of European wet and dry spells during the last 60 years; J. Clim., 26 (2013), pp. 2022–2047

Notes

1. http://www.cpc.ncep.noaa.gov/data/teledoc/telecontents.shtml .

Back to Top

Document information

Published on 15/05/17
Submitted on 15/05/17

Licence: Other

Document Score

0

Views 7
Recommendations 0

Share this document

claim authorship

Are you one of the authors of this document?