Abstract

Based on annual statistical data collected by the Chinese Railway Statistic Center, the CO2 emissions of locomotives during 1975–2005 were calculated and the emission intensity and its dynamic characteristics were analyzed. The results show that the CO2 emissions of steam locomotives decreased while that of diesel locomotives increased with time, due to the continuous shift from steam to diesel and electric locomotives. The total CO2 emissions of steam and diesel locomotives in China decreased from 42.23 Mt in 1975 to 16.40 Mt in 2005. The emission intensity of CO2 from the two kinds of locomotives decreased at an average rate of 2.4 g (converted t km)- 1 per year. The percentage of the CO2 emissions of locomotives to the total CO2 emissions in the sector of transportation, storage and post in China also decreased persistently from 1980 to 2005.

Keywords

Locomotives ; CO2 emission ; emission intensity

1. Introduction

According to the fourth assessment report of the Intergovernmental Panel on Climate Change (IPCC) [ Qin et al., 2007 ], increases in concentrations of greenhouse gases such as CO2 in the atmosphere are considered as one of the main factors inducing global warming, and the anthropogenic combustion of fossil fuels is considered to be the largest source of CO2 emission. The CO2 emissions from fossil fuel combustion in China were 2.8 Gt in 1994 [ CCPRCINCCC , 2004 ], 3 Gt in 2000 [ CCNARCC , 2007 ], and 4.7 Gt in 2004 [ Ding, 2009 ]. Traffic and transportation belong to a resource-utilization and energy-consumption industry, and its energy consumption continually increases year by year due to increasing numbers in passenger and freight transportation. The traffic and transportation industry in China is usually included in the sector of storage, post, and communication industries when estimating CO2 emission using model-based methods [ Hu et al., 2008 ]. More specific estimations on CO2 emissions of traffic and transportation industry or individual transportation means such as highway, railway, waterway, airway and pipeline are often omitted. Based on the energy consumption data in China’s traffic and transportation industry, Wu [2007] drew the conclusion that CO2 emissions from the traffic and transportation industry were 166 Mt in 1994, and 176 Mt in 2004, when fuel consumed by international aircrafts and pelagic ships were considered.

The railway sector plays an important role in the transportation industry in China by operating most of the long- and mid-distance transportation. In the railway sector, most CO2 emissions are from coal combustion in steam locomotives and from diesel oil combustion in diesel locomotives. In the past, the focus was placed on emissions of atmospheric pollutants such as CO, NOx , SO2 , Cn Hm and soot, with little attention paid to the emissions of CO2 . Therefore, the concentration of CO2 in waste gas from locomotives in China was not analyzed yet. In the Environmental Report 2000 of the German railway sector [ IGFREP , 2003 ] which is related to CO2 emissions in railway transportation, the CO2 emission data is generally based on emission-related statistical data. However, there are great differences between the density of transport, mode of organization, and structures in energy consumption of China’s and Germany’s railway sectors. Consequently, it is necessary to estimate CO2 emission of railway transportation considering the specific characteristics of China’s own statistical data. The estimation presented in this paper can provide valuable data on the status quo of CO2 emissions in the railway sector of China.

2. Data and methods

2.1. Data source

In this study, data of all the indices (i.e., specific energy consumption, annual total energy consumption, locomotive turnaround, and turnovers of freight and passengers traffic) are extracted from the China Railways Compendium of Statistic. These books were compiled by the Planning and Statistics Bureau of the Ministry of Railway during 1975–1987, by the Planning Department of the Ministry of Railway during 1988–1997, and by the Chinese Railway Statistic Center during 1998–2005. There are three types of railway locomotives: steam locomotives, diesel locomotives, and electric locomotives. Although electric locomotives do not emit CO2 directly, they are driven by electricity which is produced in coal-fired power plants. According to the national greenhouse gas inventories [ CCPRCINCCC, 2004 ], CO2 emissions by electric locomotives are accounted for by the departments of energy production and processing/conversion. In the 2006 IPCC Guidelines for National Greenhouse Gas Inventories [IPCC, 2006 ], only steam and diesel locomotives are considered to emit CO2 in railway transportation. Consequently, in this study CO2 emissions from these two types of locomotives are analyzed.

2.2. Calculation of CO2 emission amounts

Even though steam and diesel locomotives can be divided into several types, statistical data is only available on total energy consumption and unit energy consumption as a whole. In addition, the data lacks information on the carbon concentration in coal (diesel oil) used for combustion in locomotives. The statistical data to calculate the indices for the estimation of greenhouse gas emissions in the railway sector is insufficient. Hence, we apply the method recommended by IPCC [ IPCC, 2006  and Yang, 2006 ] for the calculation of greenhouse gas emissions in the railway sector. The formula is as follows:

( 1)

Where Pi is the annual CO2 emission of locomotives using the combustion of fossil fuel i (0.01 Mt), Hi is the annual total amount of consumption fuel i (0.01 Mt), Ni is the net calorific value of fuel i (kJ g- 1 ), and Fi is the emission factor of fuel i (ng J- 1 ). The utilized net calorific value and emission factor of coal are the average values for China (i.e., 23.2 kJ g- 1 and 94,600 ng J- 1 ) [ Xu, 2007 ]. The net calorific value and emission factor of diesel oil are the default parameters according to IPCC (i.e., 43.0 kJ g- 1 and 74,100 ng J-1 ) [ IPCC, 2006 ].

2.3. Calculation of CO2 emission intensities

In the railway sector, the trains hauled by locomotives include passenger trains and freight trains. But the locomotive energy consumptions for the foresaid two kinds of trains are not separately estimated. The unit of converted t km is used in the calculation of total turnover, which is equal to turnovers of freight traffic (t km) and passenger traffic (person km) [ Tong, 2008 ].

The CO2 emission intensity usually refers to the amount of CO2 emitted per each unit of GDP. Here, CO2 emission intensity of locomotives refers to the amount of CO2 emitted per unit of transport turnover (converted t km). According to the traction proportion of steam and diesel locomotives, we calculate their individual amount of turnover and thus obtain their individual CO2 emission intensity.

3. CO2 emissions of locomotives in China

3.1. CO2 emission amounts and intensities of steam locomotives

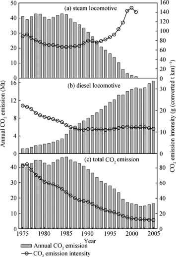
A steam locomotive is powered by a steam engine which converts thermal energy of fuel (raw coal) into mechanical energy. The energy conversion efficiency of steam locomotives is low (energy conversion of 5% to 9%) [ Tong, 2008 ], and consequently, the levels of energy consumption and CO2 emissions are high. Before 1985 steam locomotives conducted the main traction tasks which contributed to high CO2 emissions. For example, annual amounts of CO2 emissions were above 35 Mt during 1975–1988, with the highest (42.85 Mt) in 1984 (Fig. 1 a). Since the beginning of the 1990s, fewer and fewer steam locomotives were operating, which lead to a dramatically decrease in CO2 emissions from 27.65 Mt in 1991 to 1.06 Mt in 2001. In 2002, steam locomotives were taken out of service. As a result, since 2002 no CO2 was emitted from steam locomotives. Amounts in CO2 emissions decreased at an average rate of 1.54 Mt per year (3.7%) during 1975–2001.


CO2 Emissions and its intensity of (a) steam and (b) diesel locomotives, and (c) ...


Figure 1.

CO2 Emissions and its intensity of (a) steam and (b) diesel locomotives, and (c) total of the two kinds in China (1975–2005)

Three phases in the CO2 emission intensity of steam locomotives can be distinguished. During 1975–1985, a slow decrease from 89 g (converted t km)- 1 to 66 g (converted t km)- 1 is apparent. A slight increase and stagnation during 1986–1992 precedes the rapid increase from 79 g (converted t km)- 1 in 1992 to 141 g (converted t km)- 1 in 2002. The main reason for the increase is the relocation of steam locomotives from trunk lines (which are in good conditions) to branch lines (which are in bad conditions) [ Jiang , 1995 ], leading to a rise in energy consumption per unit steam locomotive. Hence CO2 emissions decreased while the emission intensity increased until the final year 2002.

3.2. CO2 emission amounts and intensities of diesel locomotives

Diesel locomotives have a kind of internal combustion engines, with a thermal efficiency reaching about 30% [ Tong, 2008 ]. During 1975–2005, more and more diesel locomotives were put into service to replace steam locomotives. Their amounts in CO2 emissions increased year by year (Fig. 1 b). CO2 emissions increased slightly at a rate of 0.25 Mt per year during 1975–1984; increased more severe at a rate of 0.73 Mt per year during 1985–1997; and increased slightly again at a rate of 0.45 Mt per year after 1998. The annual CO2 emissions increased in average by 0.51 Mt per year (45.4%) during 1975–2005.

The CO2 emission intensity of diesel locomotives decreased from 22 to 11 g (converted t km)- 1 during 1975–1989, and stagnated around the level of 12 g (converted t km)- 1 during 1990–2005. During this period, the amount of CO2 emission persistently increased while the emission intensity was maintained at a low level.

3.3. Characteristics in CO2 emissions of locomotives

The total CO2 emissions of steam and diesel locomotives in China are illustrated in Figure 1 c. It shows that the annual total CO2 emissions of locomotives decreased from 42.23 Mt in 1975 to 16.40 Mt in 2005 (i.e., by 61%). Three phases can be distinguished. In the first phase (1975–1985), a fluctuating stagnation at around 43.56 Mt is apparent. The second phase (1986–2001), shows a strong decrease at a rate of 1.93 Mt per year. In the last phase (2002–2005), a slight increase at a rate of 0.57 Mt per year is observed. The CO2 emission intensity decreased during 1975–2005 from 83 g (converted t km)- 1 in 1975 to 11 g (converted t km)- 1 in 2005 (i.e., by 86%).

As for the proportion of CO2 emissions between the two types of locomotives (Fig. 2 ), a remarkable shift was observed from emissions by steam locomotives to emissions by diesel locomotive during 1975–2005. In 1975, steam locomotives took up the main traction task, there were relatively few diesel locomotives, and the CO2 emission of steam locomotives accounted for 97% of the total CO2 emissions. The proportion dropped to less than 50% in 1997, and less than 7% in 2001. After 2002, steam locomotives were almost taken out of service, and all CO2 emissions accounted for the combustion of diesel oil in diesel locomotives.


Proportion of annual CO2 emissions by steam and diesel locomotives (1975–2005)


Figure 2.

Proportion of annual CO2 emissions by steam and diesel locomotives (1975–2005)

4. Discussion

Based on the KEC model, Hu et al. [2008] developed a factor decomposition model of CO2 emissions in China. In their study, the CO2 emissions in the sector of transportation, storage and post industries in China were 65.68 Mt in 1980 and increased to 315.51 Mt in 2005. Our study shows that the percentage of the CO2 emissions of locomotives to the total emissions in the sector of transportation, storage and post industries in China declined year by year from 65% in 1980 to 5% in 2005 (Fig. 3 ). According to the estimations by the International Energy Agency [ CCNARCC, 2007 ], the CO2 emissions from the combustion of fossil fuel in China were 2.3 Gt in 1990, 3.1 Gt in 1996 and stable at a level of 3.0 Gt during 1997–2000. These results show that the percentage of the CO2 emissions of locomotives to the total CO2 emissions from the combustion of fossil fuel in China is low (less than 2%). At present, energy consumption in the sector of transportation, storage and post industries in China increases relatively rapidly and thus the percentage of CO2 emissions aggravates. However, CO2 emission intensity in the railway sector is relatively low compared with that of other means of transportation. From this point of view, development and expansion of railway transportation should be conducted, as it can contribute to the abatement of CO2 emissions in air and highway transportation.


Percentage of CO2 emissions of steam and diesel locomotives to the total CO2 ...


Figure 3.

Percentage of CO2 emissions of steam and diesel locomotives to the total CO2 emissions in the sector of transportation, storage and post industries in China (1980–2005)

At present, studies on CO2 emission intensity in railway transportation worldwide and in China are rare. The Environmental Report 2000 of the German railway sector [ IGFREP , 2003 ] indicated that CO2 emission intensity of passenger traffic was 48 g (person km)- 1 , and CO2 emission intensity of freight traffic was 26 g (t km)- 1 in Germany in 2000. If we transform the two values to the unit used in our calculation, the CO2 emission intensity of passenger and freight traffic in Germany was equivalent to 37 g (converted t km)- 1 . However, the CO2 emission intensity of passenger and freight traffic in China was around 14 g (converted t km)- 1 , accounting for 38% of the values for Germany. It implies that the railway sector in China has higher energy use efficiency and lower CO2 emission intensity than the German railway sector. Therefore, the estimation of CO2 emissions in the railway transportation industry in China will be higher if we use the CO2 emission intensity of the German railway sector.

Based on the long-term statistical data of the Chinese railway sector, the CO2 emissions and emission intensity were verified and calculated in our study. The relatively rational and reliable results are a good argument for international emissions abatement negotiations relating to CO2 emissions of the railway sector.

5. Conclusions

During 1975–2001, CO2 emissions of steam locomotives decreased at an average rate of 1.54 Mt per year, while CO2 emissions of diesel locomotives increased at an average rate of 0.51 Mt per year. The total CO2 emissions and the emission intensity in the railway sector declined at a rate of 0.86 Mt per year and 2.4 g (converted t km)- 1 in the same period.

As for the proportion of CO2 emissions between the two types of locomotives during 1975–2005, a remarkable shift from steam locomotive to diesel locomotives is observed. The percentage of the CO2 emissions of locomotives to the total emissions in the sector of transportation, storage and post industries in China declined from 65% in 1980 to 5% in 2005.

Eliminating steam locomotives for their low energy efficiency and at the same time putting diesel locomotives into service for their high energy efficiency on a large scale generally resulted in a low CO2 emission and emission intensity in railway transportation. Under the condition of continuous increases in volume of passengers and freight, a decrease in CO2 emission intensity is apparent. This contributes a lot to the abatement of CO2 emissions in the traffic and transportation industry of China.

Acknowledgements

The authors are grateful to Professor Wenhua Wu of the Institute of Comprehensive Transportation of National Development and Reform Commission for his assistance in acquiring statistical data, and to Dr. Yuqing Xu of the National Climate Center of China Meteorological Administration for her assistance in improving English language skills.

References

  1. CCNARCC (Compilation Committee of National Assessment Report of Climate Change), 2007 CCNARCC (Compilation Committee of National Assessment Report of Climate Change); China’s National Assessment Report on Climate Change (in Chinese), Science Press (2007), p. 422
  2. CCPRCINCCC (Compilation Commission of the People’s Republic of China Initial National Communication on Climate Change), 2004 CCPRCINCCC (Compilation Commission of the People’s Republic of China Initial National Communication on Climate Change); The People’s Republic of China Initial National Communication on Climate Change (in Chinese), China Planning Press (2004), p. 78
  3. Ding, 2009 Y. Ding; Climate Change Research over China: Science, Impact, Abatement and Strategy Study (in Chinese), China Environmental Science Press (2009), p. 455
  4. Hu et al., 2008 C. Hu, X. Huang, T. Zhong, et al.; Character of carbon emission in China and its dynamic development analysis; China Population Resources and Environment (in Chinese), 18 (3) (2008), pp. 38–42
  5. IGFREP (Investigation Group of Foreign Railway Environmental Protection), 2003 IGFREP (Investigation Group of Foreign Railway Environmental Protection); Foreign railway environmental protection; Railway Occupational Safety, Health & Environmental Protection (in Chinese), 30 (1) (2003), pp. 5–8
  6. IPCC, 2006 IPCC; ,in: H.S. Eggleston (Ed.), et al. , 2006 IPCC Guidelines for National Greenhouse Gas Inventories, Prepared by the National Greenhouse Gas Inventories Programme, IGES, Japan (2006)
  7. Jiang, 1995 Z. Jiang; More transportation volume and less energy consumption in China railways; Railways (in Chinese), 7 (1995), pp. 23–24
  8. Qin et al., 2007 D. Qin, Z. Chen, L. Yong, et al.; Updated understanding of climate change sciences; Adv. Clim. Change Res. (in Chinese), 3 (2) (2007), pp. 63–73
  9. Tong, 2008 L. Tong; An Introduction to Railway (in Chinese), China Railway Publishing House (2008), p. 343
  10. Wu, 2007 W. Wu; The Situation of energy consumption and emission of transportation sectors in China and comparison with typical countries; Energy of China (in Chinese), 29 (10) (2007), pp. 19–22
  11. Xu, 2007 H. Xu; An introduction to national greenhouse gas inventories of China in 1994 (in Chinese); (19 October 2007) Accessed http://www.cbcsd.org.cn/susproject/qykcxfzbgzh/bgs/download/1994.ppt
  12. Yang, 2006 H. Yang; Progress in IPCC guidelines for energy sector inventories and its impact on China; Adv. Clim. Change Res. (in Chinese), 2 (6) (2006), pp. 273–276
Back to Top

Document information

Published on 15/05/17
Submitted on 15/05/17

Licence: Other

Document Score

0

Views 96
Recommendations 0

Share this document

claim authorship

Are you one of the authors of this document?