1. Introducción

Los materiales compuestos han demostrado un excelente rendimiento estructural y una elevada relación resistencia/peso, lo que los hace ideales para aplicaciones de transporte. Sin embargo, el uso de los composites en estructuras críticas plantea nuevos retos en términos de seguridad y mantenimiento. La necesidad de detectar por anticipado tensiones y grietas internas, delaminaciones u otros fallos estructurales durante el servicio genera elevados costes asociados a los sensores y técnicas de caracterización empleadas en las inspecciones periódicas y reparaciones preventivas que se realizan para evitar comprometer la integridad del sistema. Por todo ello, en los últimos años se ha intensificado la investigación en tecnologías de sensorización embebida, capaces de ofrecer una monitorización estructural en tiempo real, de forma no invasiva e inalámbrica.

En este contexto, los materiales ferromagnéticos amorfos en forma de filamento se postulan como una solución altamente prometedora. Estos materiales conocidos como microhilos, se fabrican por técnicas de enfriamiento ultrarrápido y proporcionan propiedades únicas gracias al efecto de magnetoimpedancia gigante (GMI) que los caracteriza, especialmente cuando se presentan en estructuras amorfas. Este efecto consiste en la variación de la impedancia del material cuando se expone a un campo magnético externo, lo que los hace altamente sensibles a cambios en su entorno como tensiones mecánicas, temperatura y deformaciones. Al ser fácilmente integrables en la estructura de un composite, los microhilos pueden actuar como sensores distribuidos que responden a cambios de tensión o deformación, lo que habilita nuevas funcionalidades en materiales estructurales inteligentes.

El presente trabajo se enmarca en esta línea de innovación. El objetivo principal es corroborar la posibilidad de utilizar composites con microhilos ferromagnéticos integrados como sensores inalámbricos de tensión. Para ello se han determinado los parámetros de dispersión de las muestras en distintas condiciones con un Analizador Vectorial de Redes (VNA). Este tipo de caracterización permite detectar resonancias electromagnéticas cuyo desplazamiento con la tensión aplicada podría servir como indicador directo del estado estructural del material.

Si bien estudios previos han evidenciado una relación entre la tensión aplicada y la frecuencia de resonancia detectada [1], la alta dispersión de los resultados entre ensayos limita su aplicación práctica. En este trabajo se aborda un análisis detallado de la repetitividad del sistema de medida y de la influencia de factores como la posición, orientación y montaje de la muestra sobre los resultados obtenidos. La caracterización sistemática realizada permitirá establecer las bases para el desarrollo de sensores más fiables y robustos, y contribuir al avance hacia materiales compuestos inteligentes con capacidad de diagnóstico estructural en aplicaciones reales.

2. Materiales y método

2.1. Integración de microhilos en probetas de composite

Los microhilos ferromagnéticos amorfos utilizados en este trabajo han sido fabricados mediante técnicas de enfriamiento ultrarrápido y están formados por aleaciones metálicas basadas en CoFeSiB [2]. Se trata de estructuras con núcleo metálico de diámetro aproximado 40 µm, recubiertos de una capa vítrea protectora que estabiliza su geometría y propiedades magnéticas.

El efecto GMI característico de estos materiales depende de diversos parámetros como la frecuencia de la corriente alterna aplicada, la geometría del hilo, el tipo de aleación y la temperatura. Además, en presencia de un esfuerzo mecánico, se modifica la distribución de dominios magnéticos en el interior del microhilo, lo cual se traduce en un cambio de su respuesta electromagnética. Esta respuesta puede ser detectada mediante medidas de reflexión o transmisión de ondas electromagnéticas, lo que permite construir sensores pasivos, remotos e inalámbricos embebidos en las piezas con uso estructural.

Para estudiar esta propiedad, se ha fabricado una lámina de composite reforzada con dos capas de fibra de vidrio unidireccional con orientación 0°/90° impregnada con el sistema epoxi Sicomin SR Infugreen 810 con catalizador SD 8822 en proporción 100:31. Previo al moldeo, entre las dos capas de refuerzo se han dispuesto los microhilos de forma equidistante con 5 mm de separación, para lo que se utilizó una plantilla con raíles paralelos. El moldeo se ha realizado en una prensa de vacío que proporcionó una muestra final de 596 mm × 582 mm × 2 mm, con un peso total de 1043,9 g.

2.2. Montaje del sistema

El sistema de medida se basa en el uso de un Analizador Vectorial de Redes (VNA), que permite caracterizar la respuesta que materiales o dispositivos proporcionan a la propagación de las ondas electromagnéticas. Los parámetros que proporciona el VNA, conocidos como parámetros de dispersión o parámetros S, cuantifican las relaciones entre las ondas incidentes, reflejadas y transmitidas. Aunque se han obtenido los 4 parámetros S involucrados (2 en reflexión y otros 2 para la transmisión), en este estudio se han utilizado principalmente el parámetro S22 que determina la reflexión en el puerto 2 y el S12 que mide la transmisión inversa del puerto 2 al puerto 1, debido a la simetría de la muestra y la configuración del montaje.

Como técnica de calibración previa del sistema, antes de la ejecución de los ensayos se ha utilizado el método TRM (Thru-Reflect-Match), adquiriéndose los datos en un rango de frecuencias comprendido entre 2 GHz y 18 GHz. Para las medidas se han empleado dos antenas de bocina Flann modelo DP240 con doble polarización lineal orientadas en la dirección longitudinal de los microhilos. Estas antenas permiten la obtención de datos sin contacto directo con la muestra, en una configuración de espacio libre.

Para el montaje experimental se colocaron las dos antenas enfrentadas a una distancia de 70 cm, una a cada lado de la máquina de tracción SERVOSIS MUF10 en la que se fija la muestra. La muestra se sujeta con mordazas especialmente diseñadas para asegurar un centrado adecuado y permitir la aplicación progresiva de fuerzas y tensiones. Las señales se envían desde el VNA a través de una antena, atraviesan la muestra y se registran en la antena receptora.

Además, con objeto de filtrar interferencias externas y poder centrarnos en el pico de señal correspondiente a la muestra, se realizó un ajuste por Time-Gating en el dominio temporal. Las medidas se repitieron para diferentes niveles de fuerza (en pasos de 1 kN) y en distintos días para analizar la repetitividad de los resultados.

2.3. Procesado de datos

Las señales registradas por el VNA pueden exportarse en formato CSV y los datos obtenidos se han tratado con código escrito en en GNU Octave. El código desarrollado se orientó a identificar las frecuencias de resonancia en las curvas del parámetro S22 y permite analizas su desplazamiento con la fuerza aplicada. De esta form se pudo calcular la sensibilidad (variación de frecuencia por unidad de fuerza) realizar un estudio estadístico sobre la dispersión entre ensayos.

2.4. Evaluación del montaje: influencia de posición y orientación

Debido a las limitaciones físicas del entorno experimental, no ha sido posible trabajar en la zona de campo lejano de las antenas, donde las ondas electromagnéticas pueden considerarse planas. En su lugar, las medidas se han realizado en la zona de Fresnel (campo radiado próximo), lo que puede introducir errores adicionales y justificar parte de la dispersión observada. Sin embargo, esta configuración resulta representativa de un posible uso práctico en sistemas embarcados, donde las restricciones de espacio son frecuentes.

Uno de los principales resultados de la parte experimental ha sido la constatación de que pequeñas variaciones en la colocación de la muestra (desplazamientos o giros) provocan cambios importantes en la frecuencia de resonancia para los esfuerzos de tracción. Con objeto de cuantificar esta variación, se realizaron pruebas controladas de desplazamiento en los ejes X y Z, rotaciones en los ejes Y y Z, y torsión alrededor del eje Z.

3. Resultados y Discusión

Las medidas realizadas permitieron analizar el comportamiento electromagnético de la muestra en función de la fuerza de tracción aplicada. Para ello, se compararon los parámetros de dispersión obtenidos en distintos estados tensionales y se evaluó la influencia de los microhilos en la respuesta del material.

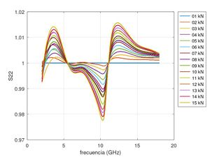
Como puede observarse en la Figura 1, la inclusión de los microhilos en la matriz de fibra de vidrio introduce una resonancia en la reflexión alrededor de los 11 GHz, lo que indica una modificación en la impedancia del material respecto a la muestra sin microhilos. Además, la normalización de todos los datos divididos por el valor obtenido a la fuerza 1kN amplía las diferencias entre ellos y permite confirmar la dependencia del parámetro S con la tensión aplicada. Este aspecto no aparece en la probeta sin microhilos.

a) S22 y S12. Sin microhilos.
b) S22 y S12. Con microhilos. Ensayo 1.
c) S22 relativo a F=1 kN. Sin microhilos.
d) S22 relativo a F=1 kN. Con microhilos.
e) S12 relativo a F=1 kN. Sin microhilos.
f) S12 relativo a F=1 kN. Con microhilos.
Figura 1: Parámetros S frente a frecuencia (GHz) para cada fuerza aplicada

También resulta significativo que, a medida que se incrementa la fuerza de tracción la frecuencia de resonancia disminuye de manera lineal (Figura 2), lo que sugiere una correlación directa entre la tensión mecánica aplicada y la respuesta electromagnética.

Draft Garcia-Etxabe 104471540-image4-c.png
Figura 2: Cambio de la frecuencia de resonancia (GHz) (izda) y del parámetro S22 mínimo (dcha) con la fuerza aplicada (kN).

Para evaluar la repetitividad de los resultados se realizaron múltiples ensayos en diferentes días aplicando el mismo protocolo experimental. En todos ellos se repitió la tendencia observada y el cambio en la frecuencia de resonancia con la carga aplicada.

Sin embargo, se identificó también una variabilidad significativa en los valores de los parámetros S obtenidos en los sucesivos ensayos (Figura 3). Esta incertidumbre era indicativa de que factores externos estaban afectando a las medidas siendo el principal de ellos la posición relativa de la muestra.

Draft Garcia-Etxabe 104471540-image5.png

Figura 3: Parámetro S22 (a) y frecuencia de resonancia (b) de todos los ensayos frente a frecuencia (GHz) para una tensión F=1 kN

Por este motivo se estudió el impacto de la posición y la orientación de la muestra en la dispersión de los resultados. Se realizaron tanto desplazamientos en los ejes X y Z como rotaciones en torno a los ejes Y y Z observándose que la frecuencia de resonancia es altamente sensible a estos cambios. Como era de esperar, los desplazamientos en el eje X y las rotaciones en torno al eje Z generan las mayores variaciones en la frecuencia de resonancia (Figura 4), lo que indica que la alineación precisa de la muestra es fundamental para obtener mediciones reproducibles.

a) Parámetro S22 frente a frecuencia.
b) Parámetro S22 frente a frecuencia. Aumento de escala.
c) Frecuencia de resonancia frente al ángulo de rotación alrededor del eje Z.
d) Sensibilidad de la frecuencia de resonancia a la rotación del eje Z.
Figura 4: Respuesta de la muestra a la rotación alrededor del eje Z

Se ha calculado que la sensibilidad máxima al desplazamiento en X alcanza 0.116 GHz/mm, mientras que la rotación alrededor del eje Z puede generar variaciones de hasta 0.514 GHz/°. Estas cifras superan en mucho la sensibilidad media observada frente a la fuerza de tracción (≈ 0.002 GHz/kN), lo cual implica que la precisión en el montaje inicial es crítica para asegurar la reproducibilidad del sistema.

Esto sugiere que para mejorar la precisión de las mediciones es necesario implementar un sistema de fijación más estable que minimice los desplazamientos y rotaciones involuntarias de la muestra

4. Conclusiones

La estrategia seguida en este trabajo ha permitido validar el uso de microhilos ferromagnéticos en composites como sensores inalámbricos de tensión embebidos en composites. Se ha demostrado la existencia de una frecuencia de resonancia asociada a la presencia de los microhilos, cuyo desplazamiento es reproducible bajo ciertas condiciones de montaje.

Sin embargo, la reproducibilidad de los ensayos depende críticamente de la precisión en la colocación de la muestra. Al calcular la contribución de cada factor a la dispersión total se determina que las variaciones en la posición y orientación de la muestra son las principales responsables de la dispersión de los datos superando el efecto de la propia fuerza de tracción aplicada.

Así, la sensibilidad del sistema a elementos y variables ajenas a la carga útil impone requisitos estrictos de alineación y fijación de la muestra, que deberán ser considerados en futuras implementaciones. Futuros trabajos deben centrarse en estabilizar el montaje para mejorar la fiabilidad del sistema.

5. Agradecimientos

Este trabajo ha sido financiado por la UE bajo el proyecto «INFINITE» (HORIZON-CL5-2021-D5-01-06) y por el Gobierno del País Vasco bajo el Programa Elkartek «MOSINCO» (KK-2024/00037). El grupo de la UPV/EHU también agradece el apoyo del MICIN español, bajo el proyecto PID2022-141373NB-I00 y del Gobierno del País Vasco bajo el esquema de «Ayuda a Grupos Consolidados» (ref. IT1670-22). Los autores agradecen el apoyo técnico y humano proporcionado por el SGIker de la UPV/EHU (Medidas Magnéticas Gipuzkoa).

6. Bibliografía

[1] R. Garcia-Etxabe et al., "Influence of Tensile Stress on Microwave Scattering Parameters of Continuous Ferromagnetic Microwire Embedded into Glass Reinforced Composites,," IEEE Transactions on Magnetics, p. doi: 10.1109/TMAG.2024.3488079, 2024.
[2] P. Corte-Leon, V. Zhukova, A. Chizhik, J. Blanco, M. Ipatov, L. Gonzalez-Legarreta and A. Zhukov, "Magnetic Microwires with Unique Combination of Magnetic Properties Suitable for Various Magnetic Sensor Applications.," Sensors, 20., p. 7203, 2020.
Back to Top

Document information

Accepted on 17/09/25
Submitted on 14/04/25

Licence: Other

Document Score

0

Views 71
Recommendations 0

Share this document

claim authorship

Are you one of the authors of this document?