Resumen

El diseño del pico de lanzamiento de un puente lanzado determina su proceso constructivo y, por lo tanto, también sus dimensiones. La optimización del pico de lanzamiento puede plantearse como primer paso para la mejora del diseño de un puente lanzado. El procedimiento convencional de diseño del pico de lanzamiento se basa en emplear la técnica de prueba y error para reducir el momento flector sobre el apoyo frontal del tablero de hormigón pretensado durante el proceso de lanzamiento. Esta forma de trabajo en ningún caso garantiza alcanzar la mejor de entre todas las soluciones posibles, pues se basa en la experiencia e intuición del proyectista, además de limitarse necesariamente a escasos tanteos. Dado que los puentes lanzados constituyen una tipología constructiva importante, deben incorporar todas las capacidades disponibles de innovación del diseño, entre las que se encuentra la optimización matemática. Este trabajo propone una formulación objetiva y rigurosa para optimizar el pico de lanzamiento de un puente lanzado adaptada a los condicionantes reales que tienen en la práctica los proyectistas de puentes. Comparando los resultados obtenidos mediante procedimientos convencionales y con técnicas de optimización se puede comprobar el grado de validez de algunas afirmaciones, que se dan por supuestas en los métodos clásicos de diseño de picos de lanzamiento, pero que en realidad no se sustentan en fundamento teórico alguno, demostrándose la utilidad de la optimización matemática para la mejora del diseño.

Abstract

The design of the launching nose of an incrementally launched bridge determines its constructive process and, therefore, also its dimensions. The optimization of the launching nose can raise as a first step to improve the design of a launched bridge. The conventional design process of a launching nose is based on trial and error method to reduce bending moment of prestressed concrete deck at the foremost support during launch. In this way, there is no guarantee that the obtained solution is the best among all the possible solutions since they all depend on the experience and intuition of a designer, and they are also restricted by a limited number of possible iterations. Given that launched bridges constitute an important constructive typology, all the available capacities of design innovation should be incorporated, among which it can be found numerical optimization. This research work proposes an objective and rigorous formulation to optimize a launching nose of launched bridge under real constraints that a bridge designer can encounter in practice. Comparing the results obtained by conventional process and that by optimization techniques, it can be verified that some of the assumptions, considered in classical design methods of a launching nose, are not based on any theoretical foundation. This fact demonstrates the utility of numerical optimization to improve a design.

Palabras clave

Optimización ; Diseño óptimo ; Puente lanzado ; Pico de lanzamiento ; Nariz de lanzamiento

Keywords

Optimization ; Optimum design ; Incrementally launched bridge ; Launching nose

1. Introducción

A finales del siglo xix fueron numerosos los puentes metálicos que se construyeron mediante lanzamiento, sin embargo, no fue hasta 1962 cuando se empleó esta técnica constructiva por primera vez para realizar un puente de hormigón. Esta primera aplicación del método dio lugar a un puente de 480 m de longitud sobre el río Caroní en Venezuela, diseñado por F. Leonhardt y W. Baur.

Desde entonces, esta metodología constructiva se ha empleado con éxito tanto en pequeños como en puentes muy largos a lo largo y ancho de todo el mundo y en infinidad de ingeniosas aplicaciones [1] . Hoy en día, el lanzamiento por segmentos es probablemente uno de los métodos constructivos más competitivos para puentes viga de hormigón con sección en cajón y longitudes de vano medianas [2] .

Dada la importancia que tiene el procedimiento en la actualidad y la rivalidad que mantiene con otros métodos constructivos, debe incorporar en su diseño todas las posibilidades de innovación disponibles que mejoren su competitividad. Tal es el caso de la optimización matemática, que aunque se ha usado extensamente en las industrias aeroespacial y del automóvil desde hace décadas, aún son pocas sus aplicaciones en el campo de la ingeniería civil [3] . En el presente trabajo de investigación se mostrará un caso de optimización del diseño en ingeniería de puentes de hormigón pretensado.

Fundamentalmente lanzar un puente consiste en construirlo sobre el terreno en una localización provisional y luego moverlo hasta su posición definitiva. Con la tecnología actual es posible realizar un puente en una localización favorable donde su construcción sea fácil por accesibilidad, manejo de materiales y personas, permita la fabricación mediante procesos industriales, con seguridad y rapidez, y luego trasladarlo a su situación final menos favorable [4] .

De entre las subtécnicas de lanzamiento de puentes, la más común es la denominada lanzamiento incremental, que será la que se considere en este artículo. Consiste en construir el tablero por segmentos, normalmente de longitud mitad que un vano normal, y avanzar periódicamente el tablero construido sobre las pilas hasta que alcance su posición definitiva, de forma semejante a una extrusión [5] , [6]  and [7] .

Los puentes lanzados por segmentos fundamentan su interés económico en no necesitar una cimbra que los sustente durante la obra, sin embargo, precisan de una serie de elementos auxiliares. Se necesitan un parque de fabricación de segmentos, unos potentes dispositivos de lanzado [8] y un pico de lanzamiento, que es una estructura ligera que se dispone en la parte delantera del dintel como prolongación para reducir las tensiones que se producen en las configuraciones de voladizo del tablero de hormigón durante el avance. Un esquema del procedimiento de lanzamiento incremental se muestra en la figura 1[9] .


Esquema de lanzamiento incremental.


Figura 1.

Esquema de lanzamiento incremental.

Durante el lanzamiento del dintel, cualquier sección transversal soportará tanto momentos flectores positivos como negativos. En consecuencia, para limitar las tracciones en las fibras extremas de la sección durante la construcción es necesario adoptar un pretensado sin excentricidad conocido como pretensado centrado [10] .

2. Antecedentes

En un determinado instante durante el proceso constructivo, el sistema estructural de un puente lanzado incrementalmente se compone de la parte del puente ya construida y del pico de lanzamiento unido rígidamente al extremo frontal del tablero, formando el conjunto una viga continua apoyada sobre las pilas y un estribo.

El comportamiento del sistema elástico pico-tablero está gobernado por los siguientes parámetros:

  • qn : peso unitario del pico de lanzamiento.
  • En·In : rigidez a flexión del pico de lanzamiento.
  • Ln : longitud del pico de lanzamiento.
  • q : peso unitario del tablero.
  • E·I : rigidez a flexión del tablero.
  • L : longitud de un vano del tablero.

Como hipótesis, habitual en la literatura [9]  and [11] , se considerará que L es igual para todos los vanos del puente.

Definiendo la progresión del lanzamiento mediante la distancia x desde el extremo final del tablero hasta la pila frontal B y el parámetro adimensional α = x/L , se pueden establecer dos fases durante cada paso de avance:

- Fase 1 (fig. 2 ): 0 ≤ α  < 1 − Ln /L


Fase 1 de lanzamiento.


Figura 2.

Fase 1 de lanzamiento.

Durante esta fase, la parte frontal del tablero y el pico de lanzamiento constituyen un voladizo, y el momento flector sobre el apoyo B puede calcularse isostáticamente.

- Fase 2 (fig. 3 ): 1 − Ln /L  ≤ α  ≤ 1


Fase 2 de lanzamiento.


Figura 3.

Fase 2 de lanzamiento.

Durante esta fase, el pico de lanzamiento alcanza una nueva pila A delante del apoyo B y la sobrepasa. El momento flector sobre el apoyo B debe calcularse resolviendo el sistema estructural pico-tablero como si fuese una viga continua [9] , [11] , [12] , [13] , [14]  and [15] . Como aproximación se suele considerar que el número de vanos iguales detrás del apoyo C es tan grande como para asimilar el sistema a una viga continua de infinitos vanos de longitud L .

Puesto que el dimensionamiento del pico de lanzamiento constituye una tarea relevante en la definición del procedimiento constructivo porque un diseño inadecuado puede conducir al sobredimensionamiento del tablero del puente, como primer paso para la mejora del diseño de un puente lanzado se puede plantear la optimización del pico de lanzamiento.

Definido un puente lanzado por los parámetros mecánicos y geométricos del tablero de hormigón L , q , E·I y los respectivos del pico de lanzamiento Ln , qn , En·In se puede obtener la evolución del momento flector en el apoyo B durante el avance.

Se considera que los momentos flectores son positivos si producen tracciones en las fibras superiores de la sección transversal y compresión en las fibras inferiores, según su representación en ejes cartesianos.

Por ejemplo, dada una relación entre el peso relativo del pico y del tablero qn/q  =  0,1 y una longitud relativa del pico Ln/L  =  0,8 se puede observar la evolución del momento flector MB durante el lanzamiento (fig. 4 ). En este caso concreto, el intervalo 0    α  <  0,2 corresponde a la fase 1 de lanzamiento, en la cual la parte frontal de la estructura está en voladizo, y por lo tanto, el momento flector en B es independiente de la rigidez a flexión del pico de lanzamiento. Para valores mayores de α , la evolución de MB depende de la relación de rigideces a flexión En·In/E·I de pico y tablero. Para el valor elegido de Ln/L  =  0,8 puede observarse que el máximo valor de MB se produce en la fase 2 (α  >  0,2 ). Aumentado la rigidez relativa entre pico y tablero se reduce el momento en B , sin embargo, se observa que para relaciones mayores de un cierto valor, en este caso En·In/E·I≈0,2 , no se consigue reducir el máximo momento en B . Como valor de referencia, en esta figura y siguientes se dibuja una línea horizontal en el valor 1/12 , que representa el esfuerzo flector sobre un apoyo en una viga continua de muchos vanos iguales.


Valores de MB para qn/q=0,1 y Ln/L=0,8.


Figura 4.

Valores de MB para qn/q  =  0,1 y Ln/L  =  0,8.

Manteniendo la relación de pesos relativos qn/q  =  0,1 pero acortando el pico de lanzamiento a una relación Ln/L  =  0,5 se obtiene una evolución de MB diferente, como se observa en la figura 5 . En esta nueva situación, el máximo valor del momento flector sobre el apoyo B se produce en el instante final de la fase 1 de lanzamiento con el mayor voladizo posible. Al continuar el lanzamiento (α  >  0,5 ), MB disminuye pero depende en gran medida de la relación de rigideces a flexión.


Valores de MB para qn/q=0,1 y Ln/L=0,5.


Figura 5.

Valores de MB para qn/q  =  0,1 y Ln/L  =  0,5.

De estos resultados se puede extraer que utilizar un pico de lanzamiento demasiado largo o excesivamente corto produce valores del momento flector en el apoyo B desaconsejables.

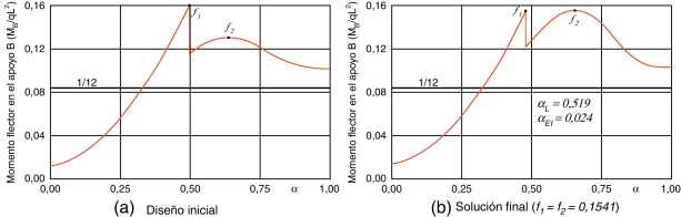
Una hipótesis habitual en la literatura ha sido establecer que el mejor valor para la longitud del pico de lanzamiento será aquella que iguale el máximo momento en la primera fase (momento de máximo voladizo) con el máximo momento de la segunda fase (cuando el tablero alcanza la pila A ), eligiendo adecuadamente la rigidez relativa. Autores como Rosignoli [9] , Sasmal et al. [13]  and [14] , Manterola [4] o Iglesias [16] resolvieron el problema de obtención del pico de lanzamiento que produce un menor MB mediante el método de prueba y error. Así, en la figura 6 se puede observar, para el ejemplo de qn/q  =  0,1 , la evolución del momento flector en B con una longitud de pico Ln/L  =  0,65 que iguala el máximo momento en la primera fase con el máximo de la segunda fase, debiendo cumplir además En·In/E·I  <  0,2 .


Longitud efectiva del pico de lanzamiento para qn/q=0,1 según la literatura ...


Figura 6.

Longitud efectiva del pico de lanzamiento para qn/q  =  0,1 según la literatura clásica.

Este procedimiento convencional de mejora del diseño mediante ensayo y error se puede representar mediante un diagrama de flujo conceptual como el representado en la figura 7 . Partiendo desde un diseño inicial y en base a unas reglas heurísticas, basadas en la experiencia, intuición o capacidad del proyectista, es decir, mediante criterios subjetivos, se va modificando el diseño hasta que se verifiquen una serie de condiciones impuestas y este se dé por válido.


Evolución de la longitud del pico de lanzamiento mediante la técnica de prueba y ...


Figura 7.

Evolución de la longitud del pico de lanzamiento mediante la técnica de prueba y error.

3. Formulación matemática de la optimización del diseño

La tarea que lleva a cabo un diseñador puede expresarse de forma analítica [17] . Las características que en el proceso de diseño son constantes se denominan parámetros fijos= p(p1,…,pk) y las que varían se denominan variables de diseño= x(x1,…,xn) . En el plan de necesidades se definen ciertas condiciones o restricciones que la estructura debe cumplir y que siempre se pueden expresar en función de los parámetros fijos y de las variables de diseño como g(x ,p) ≤ 0 . La expresión analítica de la propiedad que el diseñador querría refinar en el proyecto se denomina función objetivo F = f(x ,p) . Con estas definiciones, obtener un diseño óptimo consiste en identificar un conjunto de valores de las variables de diseño que cumpla:

( 1)

sujeto a:

( 2)

La figura 8 indica el diagrama de flujo correspondiente a la optimización del diseño.


Diagrama de flujo de optimización del diseño.


Figura 8.

Diagrama de flujo de optimización del diseño.

4. Optimización por equiparación del momento flector del tablero sobre la pila frontal

Como primera aproximación al problema de optimización del pico de lanzamiento de un puente lanzado se supondrá como longitud óptima del pico, para una relación de pesos unitarios conocida (qn/q = cte ), aquella que minimiza el esfuerzo flector sobre el apoyo B del tablero e iguala el máximo en la primera fase MB(1 − αL) (momento de máximo voladizo) con el máximo de la segunda fase, eligiendo adecuadamente la rigidez relativa. Es decir, se pretende minimizar el momento flector del tablero sobre la pila frontal, equiparando o igualando, el valor en la primera fase con el de la segunda, del siguiente modo:

  • Parámetros fijos: q , L , E·I , qn
  • Variables de diseño: α  = x /L , αL  = Ln /L , αEI  = En  · In /E  · I
  • Función objetivo: donde y son las evoluciones del momento flector en el apoyo B en las fases 1 y 2, respectivamente. Este problema de optimización se puede resolver mediante uno equivalente como:
( 3)

sujeto a las condiciones:

( 4)

donde:

( 5)

El resultado de este problema utilizando el algoritmo de optimización denominado método de las direcciones eficientes [17]  and [18] , y para el caso concreto qn/q  =  0,1 , es:

( 6)

Gráficamente (fig. 9 ):


Evolución óptima de MB para qn/q=0,1.


Figura 9.

Evolución óptima de MB para qn/q  =  0,1 .

Para obtener este resultado es necesario que el diseño inicial corresponda a un pico de lanzamiento largo y flexible. Esta decisión viene motivada por la formulación definida en las ecuaciones (3) y (4), y su significado puede observarse en las Figura 10  and Figura 11 .


Evolución de MB con qn/q=0,1 y valores iniciales αL=0,5, αEI=0,05.


Figura 10.

Evolución de MB con qn/q  =  0,1 y valores iniciales αL  =  0,5 , αEI  =  0,05.


Evolución de MB con qn/q=0,1 y valores iniciales αL=0.9, αEI=0,05.


Figura 11.

Evolución de MB con qn/q  =  0,1 y valores iniciales αL  =  0.9 , αEI  =  0,05.

En ambos casos la solución satisface que f= f2 , luego cumplen (3), pero obviamente solo es solución del problema el segundo caso (fig. 11 .b) por producir menor momento flector MB .

En cuanto al motivo de usar un pico inicial muy flexible se debe a que para rigideces a flexión elevadas, el valor del máximo momento flector MB en la fase 2 de lanzamiento es prácticamente independiente de la rigidez y en consecuencia el algoritmo de optimización no modificaría el valor de αEI durante el proceso de mejora.

El resultado (6) es similar al obtenido por Rosignoli [9]  and [11] (fig. 6 ) según el método convencional de ensayo y error, pero se comprueba que no es un procedimiento ni riguroso ni fiable, además de carecer de precisión, máxime cuando pequeñas diferencias de rigidez suponen importantes variaciones constructivas.

5. Optimización por minimización del momento flector del tablero sobre la pila frontal

En el proceso de optimización expresado en (3) y (4) se parte de la suposición de que en el diseño óptimo el momento flector representativo de la primera fase de lanzamiento tiene que ser igual al de la segunda fase. Este planteamiento heurístico se basa en la intuición del proyectista y aunque sea razonable, debe ser cuestionado.

Para comprobar la validez de la suposición anterior y hacer más general el proceso de optimización del pico de lanzamiento de un puente lanzado se plantea un nuevo problema. Para una relación de pesos unitarios conocida (qn/q = cte ) y sin otros condicionantes, se supondrá que el diseño óptimo del pico es aquel que minimiza el esfuerzo flector del tablero sobre la pila frontal:

( 7)

Se busca que los máximos momentos flectores en B en la primera y en la segunda fase sean mínimos. De este modo, este problema de optimización se convierte en una minimización de máximos o problema de mínmax . Para resolverlo se define una nueva variable de diseño αγ , definiendo las condiciones como se indica en (9) y estableciendo una nueva función objetivo considerando únicamente la nueva variable de diseño αγ (8). Minimizando αγ los valores de f1 y f2 se hacen iguales y tan pequeños como es posible. Este procedimiento es bastante común en las técnicas de optimización y se puede encontrar en Hernández [17] entre otras referencias.

( 8)

Las condiciones son:

( 9)

Resolviendo el problema anterior mediante el método de las direcciones eficientes [17]  and [18] , el resultado para el caso qn/q  =  0,1 es:

( 10)

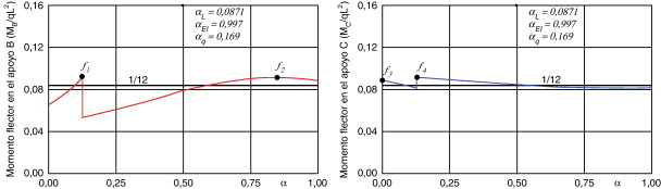
Se observa que un planteamiento tipo minmax mejora el resultado obtenido mediante equiparación (6), disminuyendo el máximo momento flector en el apoyo B . Ahora, los valores representativos de la primera fase f1 y de la segunda f2 no son iguales, contradiciendo la intuición previa que planteaba su equiparación (fig. 12 ). Se puede observar que en la segunda fase de lanzamiento existen dos máximos, lo cual no había sido apreciado por Rosignoli [9]  and [11] , aunque solo se produce con picos de lanzamiento flexibles, que no se corresponden con valores realistas.


Evolución óptima de MB para qn/q=0,1.


Figura 12.

Evolución óptima de MB para qn/q  =  0,1.

Los resultados muestran que el diseño óptimo es aquel en el que el pico de lanzamiento tiene la misma longitud que un vano completo. De este modo, en ningún momento durante el avance habrá una parte del tablero de hormigón en voladizo, lográndose alcanzar la pila siguiente con una estructura en ménsula lo más ligera posible, pero que ha de tener una rigidez adecuada. Esto es poco realista, ya que un pico de lanzamiento de gran longitud necesariamente requeriría un peso unitario y una rigidez a flexión relativamente elevados. Ello no aparece en la solución obtenida porque el planteamiento clásico no tiene en cuenta la necesaria relación que debe existir entre esas dos propiedades del pico y su longitud.

Si al problema de optimización planteado anteriormente se añadiese una nueva variable de diseño αq  =  qn/q , de modo que no se considerase como un parámetro fijo el peso unitario del pico de lanzamiento, se tendría un nuevo problema que daría como resultado:

( 11)

En la figura 13 se observa que el momento flector de diseño resultante es muy similar al esfuerzo sobre un apoyo de una viga continua de numerosos vanos iguales 1/12  =  0,0833 , y de nuevo el valor representativo de la primera fase f1 se iguala al de la segunda etapa f2 .


Evolución óptima de MB.


Figura 13.

Evolución óptima de MB .

En el análisis anterior se ha asumido que el esfuerzo más limitante para el diseño del tablero de un puente lanzado incrementalmente es el momento flector sobre el apoyo B , sin embargo, para ciertos valores de los parámetros mecánicos del pico de lanzamiento, el momento flector más elevado se puede producir sobre el apoyo C , que sería entonces el crítico. Es el caso de los resultados obtenidos en (11):

( 12)

Por lo tanto, debe minimizarse el máximo momento flector independientemente de que se produzca sobre el apoyo B o el C .

En la figura 14 se muestra la evolución del momento flector en C para los valores de αL , αEI y αq que se indican en la misma. Cabe añadir que el aspecto de la curva es el que se observa, en general, para unas propiedades mecánicas cualesquiera del pico de lanzamiento. El máximo MC en la primera fase de lanzamiento siempre se produce para α  =  0 , mientras que el máximo en la segunda fase puede producirse en cualquier punto con 1    αL    α    1 .


Evolución general de MC.


Figura 14.

Evolución general de MC .

Para el diseño obtenido en (11), el momento flector MC (fig. 15 ) es mayor que MB .


Evolución de MC al minimizar solo MB.


Figura 15.

Evolución de MC al minimizar solo MB .

El problema debe replantearse como:

( 13)

con:

( 14)

que da como resultado (fig. 16 ):

( 15)


Evolución óptima de MB y MC.


Figura 16.

Evolución óptima de MB y MC .

Debe destacarse que el comportamiento del momento flector en el tablero sobre el apoyo C respecto de la rigidez relativa αEI es muy diferente al observado en la figura 6 para el momento flector en B . Para el diseño (15), puede verse en la figura 17 que el valor representativo máximo de MC disminuye al aumentar la rigidez relativa, manteniendo constantes las restantes magnitudes obtenidas, de ahí que en los resultados del proceso de optimización se obtengan valores de αEI muy elevados.


Evolución general de MC.


Figura 17.

Evolución general de MC .

Según estos resultados (15), el pico de lanzamiento óptimo sería una estructura larga, muy rígida y de peso unitario reducido, lo cual es contradictorio y posiblemente imposible de construir. Para alcanzar unos resultados físicamente realistas deberán establecerse algunas limitaciones. Se ha propuesto relacionar peso unitario y longitud del pico [9]  and [11] :

( 16)

donde el rango de validez de k se obtiene a partir de datos estadísticos para puentes de carretera o de ferrocarril. Para incluir esta limitación en la optimización según (13) se añaden 2 condiciones adicionales:

( 17)

Por ejemplo, para el caso particular de L  =  50 m y q  =  150 kN/m , y tomando: km  =  0,018 y kM  =  0,030 , la solución del problema obtenida mediante el método de las direcciones eficientes es:

( 18)

En esta solución, la condición g” es activa, lo cual confirma que no se pueden lograr picos de lanzamiento muy largos con pesos unitarios reducidos. Además, el momento flector en C ya no es limitante y la rigidez relativa vuelve a ser baja al no producirse el efecto descrito en la figura 16 . Es importante destacar que el máximo flector se produce sobre el apoyo B en la primera fase de lanzamiento y solo se alcanza el mismo valor del esfuerzo en la segunda fase si la rigidez relativa es muy baja (fig. 18 ).


Evolución de MB cuando la condición g” es activa.


Figura 18.

Evolución de MB cuando la condición g” es activa.

Con (16) se ha considerado una relación realista entre el peso unitario y la longitud del pico de lanzamiento, sin embargo, no se ha establecido ningún tipo de limitación para la rigidez relativa pico-tablero, de ahí que en los resultados de la optimización matemática resulten valores extremos que no corresponden con diseños físicamente posibles.

En consecuencia, al igual que se introdujo la relación entre peso unitario y longitud del pico de lanzamiento, debe tenerse en cuenta la necesaria dependencia que existe entre rigidez a flexión y longitud.

6. Optimización por minimización de la tensión en el hormigón del tablero

En la optimización del pico de lanzamiento según (13) se minimiza el momento flector, tanto si se produce sobre el apoyo B o sobre el C , pero no se tienen en cuenta los momentos flectores de signo contrario entre apoyos, que en secciones transversales en cajón ( fig. 19 ), que no son simétricas respecto al eje horizontal, podrían producir mayores tensiones, por lo que deben incluirse en la optimización.


Sección transversal habitual de un puente lanzado.


Figura 19.

Sección transversal habitual de un puente lanzado.

En general, la evolución de los momentos flectores negativos en los vanos AB y BC para unas propiedades mecánicas cualesquiera del pico tiene la forma mostrada en la figura 20 . El momento flector negativo MAB no existe para la primera fase de lanzamiento, pues el pico aún no apoya sobre el pilar A , y su máximo valor se alcanza en un punto de la segunda fase. En el caso del momento MBC , el mínimo en la primera fase siempre se produce para α  =  0 , mientras que en la segunda fase puede darse en cualquier punto. En las figuras siguientes se dibuja una línea horizontal de referencia en el valor 1/24 que representa el momento flector entre apoyos para una viga continua de muchos vanos iguales.


Evolución general de MAB y MBC.


Figura 20.

Evolución general de MAB y MBC .

Las tensiones máximas se producen en las fibras extremas de la sección transversal, fibra superior (FS) y fibra inferior (FI). Si se establece que la tracción no pueda superar el valor σt en ninguna fibra de la sección transversal del tablero de hormigón y que además las compresiones no sobrepasen su resistencia de cálculo (σc ), deberá cumplirse que:

( 19)
( 20)
( 21)
( 22)

siendo N el axil de compresión producido por el pretensado centrado (<  0 ), M+ el máximo momento flector positivo (>  0 ) y M el mínimo momento flector negativo (<  0 ). Además, A , Ws y Wi son valores positivos y representan el área de la sección transversal, el módulo resistente de la fibra superior y el módulo resistente de la fibra inferior, respectivamente.

Para reducir al mínimo posible el consumo de pretensado centrado deben minimizarse las tensiones de tracción, lo cual supone:

( 23)

sin sobrepasar la resistencia a compresión del hormigón, que será como mínimo:

( 24)

De este modo, el pretensado centrado necesario para evitar tracciones en el hormigón será:

( 25)

Atendiendo a estas consideraciones, para optimizar el pico de lanzamiento deben minimizarse las máximas tensiones de tracción en las fibras extremas superior e inferior. El nuevo problema puede definirse en los siguientes términos:

- Parámetros fijos: q , L , E·I , A , Ws , Wi , km , kM .

- Variables de diseño: α  = x /L , αL  = Ln /L , αEI  = En  · In /E  · I , αq  = qn /q

- Función objetivo:

( 26)

Esta minimización de máximos o minmax se resuelve definiendo una nueva variable de diseño αγ y planteando:

( 27)

sujeto a las condiciones:

( 28)

siendo f1 , f2 , f3 y f4 los definidos en (5) y (14), además:

( 29)

Resolviendo el problema anterior mediante el método de las direcciones eficientes, para el caso particular de σt  =  0 kN/m2 , L  =  50 m , q  =  150 kN/mWi  =  5,01 m3 y Ws  =  7,58 m3 , y tomando km  =  0,018 y kM  =  0,030 , la solución es la misma que (18) lo cual demuestra que para este caso concreto los momentos flectores negativos no son determinantes. Igualmente, la condición g9 es activa y la rigidez relativa resultante es pequeña.

La evolución de los momentos flectores resultantes sobre los apoyos B y C y en los vanos AB y BC se puede observar en la figura 21 .


Evolución de los momentos flectores MB, MC, MAB y MBC cuando la condición g9 es ...


Figura 21.

Evolución de los momentos flectores MB , MC , MAB y MBC cuando la condición g9 es activa.

Para otro caso distinto, con σt  =  0 kN/m2 , L  =  40 m , q  =  150 kN/mWi  =  5,01 m3 y Ws  =  7,58 m3 , y tomando km  =  0,012 y kM  =  0,030 , la solución obtenida mediante el método de las direcciones eficientes es la misma que (15). En esta ocasión, tampoco los momentos flectores negativos son determinantes y además las condiciones g9 y g10 no son activas, con lo que la rigidez relativa a flexión es muy elevada al resultar limitante el momento flector sobre el apoyo C . La evolución de los momentos flectores resultantes sobre los apoyos B y C y en los vanos AB y BC se puede observar en la figura 22 .


Evolución de los momentos flectores MB, MC, MAB y MBC cuando g9 no es activa.


Figura 22.

Evolución de los momentos flectores MB , MC , MAB y MBC cuando g9 no es activa.

Nuevamente se comprueba que el hecho de no establecer límites durante la optimización matemática a la rigidez relativa pico-tablero, que discriminen los diseños físicamente posibles de los que no lo son, produce resultados extremos de αEI poco realistas. También es destacable que para rigideces relativas medias y altas, un incremento de αEI disminuye las tensiones de tracción máximas de forma poco significativa, sin embargo, el incremento de coste de construcción del pico será muy considerable.

Como continuación de este trabajo de investigación, se ha desarrollado un modelo elástico de cálculo de pico-tablero que considera características geométricas y mecánicas realistas, para averiguar de forma conjunta los valores óptimos de las dimensiones del pico de lanzamiento de canto variable, de la sección transversal del tablero de hormigón y de las fuerzas de pretensado de puentes lanzados, que produzcan la solución más económica posible durante la fase constructiva [19] .

7. Conclusiones

Este artículo presenta diversas formulaciones mejoradas para la optimización del pico de lanzamiento de puentes lanzados de hormigón pretensado. Las principales conclusiones son las siguientes:

  • Los puentes lanzados constituyen una tipología constructiva importante y deben incorporar todas las capacidades disponibles en innovación del diseño, entre las que se encuentra la optimización matemática.
  • El dimensionamiento del pico de lanzamiento constituye una tarea relevante en la definición del procedimiento constructivo. Un diseño inadecuado puede conducir al sobredimensionamiento del tablero del puente.
  • Las técnicas actuales de dimensionamiento del pico de lanzamiento dependen de técnicas de prueba y error. Por lo tanto, son groseras y pueden conducir a error. Se ha probado que no es correcta la regla según la cual se asume que el mejor diseño es aquel en el que el máximo momento flector en el apoyo frontal tiene el mismo valor para las dos fases de lanzamiento.
  • El dimensionamiento del pico de lanzamiento debe tener en cuenta el momento flector sobre la pila anterior al apoyo frontal.
  • Los tableros de puente no son simétricos respecto al eje horizontal. Por este motivo, para comparar las tensiones producidas, es necesario tener en cuenta, además de los momentos flectores sobre los apoyos, los momentos flectores en interior de vano. Esta situación es nueva y no ha sido considerada por otros autores.
  • Es recomendable formular el dimensionamiento del pico de lanzamiento como un problema de optimización, teniendo en cuenta la actual capacidad de los equipos informáticos.
  • La optimización del diseño puede proporcionar una solución sencilla, precisa y rigurosa a problemas de dimensionamiento del pico de lanzamiento de puentes lanzados.
  • La optimización del pico de lanzamiento requiere un modelo de cálculo que incluya relaciones de rigidez pico-tablero factibles y que minimice el coste del conjunto, que es realmente el objetivo final de todo promotor. Este modelo debería incluir además relaciones realistas entre el peso unitario y la longitud del pico de lanzamiento, sin recurrir a limitaciones estadísticas poco precisas.

Bibliografía

  1. [1] AASHTO; Bridge Construction Practices using Incremental Launching; American Association of State Highway and Transportation Officials, Highway Subcommittee on Bridge and Structures (2007)
  2. [2] M. Rosignoli; The evolution of a technique. Incremental bridge launching; Concrete International, February (1997), pp. 36–40
  3. [3] S. Hernández, A.N. Fontán; Practical Applications of Design Optimization; WITPress (2002)
  4. [4] J. Manterola; Puentes. Apuntes para su diseño, cálculo y construcción; Colegio de Ingenieros de Caminos, Canales y Puertos, 2 (2006), pp. 752–772
  5. [5] E. Bouchon, C. Bousquet, D. Le Faucheur, D. Lecointre, W. Paschetta, M. Placidi, et al.; Guide des Ponts Poussés; Association français de genie civil. Presses de l’ecole nationale des ponts et chausées (1999)
  6. [6] B. Göhler, B. Pearson; Incrementally launched bridges; Design and Construction, Ernst & Sohn (2000)
  7. [7] M. Marzouk, H.Z. El-Dein, M. El-Said; Application of computer simulation to construction of incremental launching bridges; Journal of Civil Engineering and Management, 13 (2007), pp. 27–36
  8. [8] M. Rosignoli; Thrust and guide devices for launched bridges; Journal of Bridge Engineering, February (2000), pp. 75–83
  9. [9] M. Rosignoli; Bridge Launching; Thomas Telford (2002)
  10. [10] M. Rosignoli; Prestressing Schemes for Incrementally Launched Bridges; Journal of Bridge Engineering, May (1999), pp. 107–115
  11. [11] M. Rosignoli; Nose-deck interaction in launched prestressed concrete bridges; Journal of Bridge Engineering (1998 February. 21-27)
  12. [12] M. Rosignoli; Reduced-Transfer-Matrix Method for Analysis of Launched Bridges; ACI Structural Journal, July-August (1999), pp. 603–608
  13. [13] S. Sasmal, K. Ramanjaneyulu, V. Srinivas, S. Gopalakrishnan; Simplified computational methodology for analysis and studies on behaviour of incrementally launched continuous bridges; Structural Engineering and Mechanics, 17 (2004), pp. 245–266
  14. [14] S. Sasmal, K. Ramanjaneyulu; Transfer matrix method for construction phase analysis of incrementally launched prestressed concrete bridges; Engineering Structures, No. 28, Elsevier Ltd (2006) 1897–1910
  15. [15] M. Arici, M.F. Granata; Analysis of curved incrementally launched box concrete bridges using the Transfer Matrix Method; Bridge Structures, 3 (3–4) (2007), pp. 165–181
  16. [16] C. Iglesias; Algunas ideas sobre el predimensionamiento de puentes empujados: Empuje con nariz metálica; Hormigón y Acero (1992), pp. 111–128
  17. [17] S. Hernández; Métodos de diseño óptimo de estructuras; Colegio de Ingenieros de Caminos, Canales y Puertos (1990)
  18. [18] G.N. Vanderplaats; Numerical optimization techniques for engineering design: with applications; (3nd ed.)Vanderplaats Research & Development, inc, Colorado Springs (2001)
  19. [19] A.N. Fontán; Optimización de la sección transversal y del pico de lanzamiento de puentes lanzados de hormigón pretensado; Tesis doctoral Universidade da Coruña, España (2009)
Back to Top

Document information

Published on 01/06/12
Accepted on 15/06/11
Submitted on 19/11/10

Volume 28, Issue 2, 2012
DOI: 10.1016/j.rimni.2012.03.003
Licence: Other

Document Score

0

Views 119
Recommendations 0

Share this document

claim authorship

Are you one of the authors of this document?