Abstract

In this study, properties of limestone cement concrete containing different replacement levels of limestone powder were examined. It includes 0%, 5%, 10%, 15%, 20% and 25% of limestone powder as a partial replacement of cement. Silica fume was added incorporated with limestone powder in some mixes to enhance the concrete properties. Compressive strength, splitting tensile strength and modulus of elasticity were determined. Also, durability of limestone cement concrete with different C3A contents was examined. The weight loss, length change and cube compressive strength loss were measured for concrete attacked by 5% sodium sulfate using an accelerated test up to 525 days age. The corrosion resistance was measured through accelerated corrosion test using first crack time, cracking width and steel reinforcement weight loss. Consequently, for short and long term, the use of limestone up to 10% had not a significant reduction in concrete properties. It is not recommended to use blended limestone cement in case of sulfate attack. The use of limestone cement containing up to 25% limestone has insignificant effect on corrosion resistance before cracking.

Keywords

Limestone cement; Silica fume; Mechanical properties; Durability; XRD; TGA

1. Introduction

During the oil crisis (1974–1980), cement manufacturers who had a long experience of blending of Portland clinker with blast furnace slag, pozzolans and fly ash decreed that inert finely ground mineral materials “such as limestone” were also allowed as secondary constituents in composite Portland cements [1] and [2].

Limestone cement can be produced by inter-grinding, blending or by addition at the time of concrete mixing. Inter-grinding of limestone has several benefits. Limestone is a softer material than clinker and therefore takes less energy to grind to the same fineness [3]. The environmental effect of using limestone in cement manufacturing as an ingredient in blended cements is less clinker has to be produced for an equivalent amount of cement, and therefore less energy is consumed and CO2 emissions and other greenhouse gases are reduced [4].

The strength of concrete produced with limestone cement is strongly influenced by the quality of the limestone used, the manufacturing process (blending versus inter-grinding) and the final particle size distribution of the cement. Most of the previous work in this topic concluded that limestone cement replacement has a negative effect on concrete compressive strength. The negative effect of limestone powder replacement may be due to cement content dilution effect [5], [6], [7] and [8]. Also, for modulus of elasticity and tensile strength, the behavior is the same as that observed for compressive strength and predictive equations [2], [9] and [10].Additionally, the previous researches indicated that generally when the content of limestone increases, the sodium sulfate resistance and corrosion resistance of concrete decrease [5], [6], [11], [12], [13], [14] and [15].

On another hand, some researchers found that the replacement of 10% limestone does not significantly alter the compressive strength at any age. In fact the limestone cement replacement improves the compressive strength till 10%. This improvement of strength is essentially due to the acceleration effect of limestone filler related to the formation of calcium carboaluminates hydrate, which may be contributed to the overall increase in the rate of hydration [16], [17] and [18]. Additionally, the previous researches indicate that generally when limestone is increased, the expansion and the strength loss decrease. This effect may be due to the fact that when limestone powder replaces some cement, the hydration products, i.e. gypsum and Ca(OH)2, decrease, and then the expansion of gypsum and the loss of Ca(OH)2 and other hydration products of cement decrease subsequently [19].

This work aimed to study the mechanical properties of limestone cement concrete. Also, the durability in terms of sulfate resistance and corrosion in addition to environmental impact are studied.

2. Experimental program

Portland cement, limestone (LS) and silica fume (SF) were used in the experimental study. Type I, Type II and Type V complying with ASTM C-150 were used in this work. The chemical composition and physical properties of limestone powder are presented in Table 1. Natural siliceous sand with 2.67 fineness modulus and crushed pink limestone with 20 mm nominal maximum size meeting ASTM C-33 were used. The slump was kept constant using different dosage of Type F superplasticizer complying with ASTM C-494. The used cement content was 400 kg/m3.

Table 1. Chemical composition and physical properties of limestone powder.
Properties Value
Blaine 3400 cm2/gm
Specific gravity 2.55
Calcium carbonate content 94%
Gypsum 4%
Calcium oxide 54%
Total sulfate 3.3%
Chlorides 0.10%
Total silica 3.5%
Magnesium oxide 0.80%
Loss on ignition at 950 °C 38.20%

For mechanical properties, twenty-one concrete mixes were prepared using Type I Portland cement, limestone powder (as cement replacement). In order to enhance the mechanical properties of limestone cement 5%, 10% and 15% of silica fume were studied. These contents were used as an addition of limestone amount with water cementitious ratio of 0.425, 0.41 and 0.391 in various proportions as summarized in Table 2. Concrete compressive strength was obtained at 3, 7, 28 and 365 days using cubes of 150 × 150 × 150 mm. Splitting tensile strength and modulus of elasticity were obtained at 28 days using a cylinder of 75 × 150 mm and 150 × 300 mm, respectively. Concrete specimens were kept in water till age of test. X-ray diffraction (XRD) analysis and Thermo-gravimetric analysis (TGA) were performed on cement paste.

Table 2. Mix proportions for mechanical properties (kg/m3).
Mix No. Cement Lime stone Silica fume Coarse aggregate Fine aggregate Water Admixture
Control 400 0.0 0.0 1050 714 183 4.00
1 380 20.0 0.0 1048 713 183 4.00
2 360 40.0 0.0 1046 711 183 4.00
3 340 60.0 0.0 1044 710 183 4.00
4 320 80.0 0.0 1041 708 183 4.00
5 300 100.0 0.0 1039 707 183 4.00
6 380 20.0 20.0 1032 702 183 5.4
7 360 40.0 20.0 1029 700 183 6.1
8 340 60.0 20.0 1026 698 183 6.9
9 320 80.0 20.0 1023 696 183 7.1
10 300 100.0 20.0 1021 694 183 7.1
11 380 20.0 40.0 1016 691 183 7.4
12 360 40.0 40.0 1013 689 183 7.6
13 340 60.0 40.0 1011 687 183 7.7
14 320 80.0 40.0 1010 687 183 6.4
15 300 100.0 40.0 1008 685 183 6.6
16 380 20.0 60.0 1002 681 183 7.7
17 360 40.0 60.0 998 679 183 8.6
18 340 60.0 60.0 994 676 183 9.7
19 320 80.0 60.0 992 674 183 10.0
20 300 100.0 60.0 989 672 183 10.4

For sulfate and corrosion resistance, eighteen different concrete mixes were prepared using Type I, Type II, Type V Portland cement and limestone powder with w/cm of 0.45 in various proportions as summarized in Table 3. The performed tests through this research to evaluate sodium sulfate attack include, length change of 75 × 75 × 285 mm concrete prism specimens, compressive strength loss on 150 × 150 × 150 mm cube concrete specimens, weight loss on 150 × 150 × 150 mm cube concrete specimens and X-ray diffraction after 525 days exposure of sodium sulfate. The specimens were de-molded after 24 h of casting and cured in 5% Na2SO4 solution. All the specimens were subjected to repeated cycles of sulfate attack. Each cycle consists of two weeks immersion of the concrete specimens in 5% sodium sulfate and another two weeks in open air. The solution was refreshed after each cycle. Accelerated corrosion test using an electric current of constant potential of 30 volt was used to study the performance of limestone cement concrete. First crack time, cracking width and steel reinforcement weight loss after 250 working hours were used to evaluate the performance.

Table 3. Mix proportions for sulfate and corrosion resistance section (kg/m3).
Mix No. Cement Limestone Coarse aggregate Fine aggregate Water Admixture
TYPE I
Control 400 0.0 1050 714 183 4
1 380 20.0 1048 713 183 4
2 360 40.0 1046 711 183 4
3 340 60.0 1044 710 183 4
4 320 80.0 1041 708 183 4
5 300 100.0 1039 707 183 4
TYPE II
Control 400 0.0 1050 714 183 3.4
6 380 20.0 1048 713 183 3.4
7 360 40.0 1046 711 183 3.4
8 340 60.0 1044 710 183 3.4
9 320 80.0 1041 708 183 3.4
10 300 100.0 1039 707 183 3.4
TYPE V
Control 400 0.0 1050 714 183 4
11 380 20.0 1048 713 183 3.4
12 360 40.0 1046 711 183 3.4
13 340 60.0 1044 710 183 3.4
14 320 80.0 1041 708 183 3.4
15 300 100.0 1039 707 183 3.4

3. Results and discussion

3.1. Mechanical properties

3.1.1. Compressive strength

Compressive strength of concrete containing different content of limestone is shown in Fig. 1. It can be concluded that the compressive strength decreases as limestone powder content increases. However, the negative effect of increasing the limestone powder content is insignificant till 10%. At higher content of limestone powder the negative effect on concrete compressive strength is more pronounced. The negative effect of limestone powder replacement at higher level may be due to cement content dilution effect. These results are in good agreement with those obtained by Dhir [5]. He indicated that at the same w/c ratio, the concrete compressive strength decreased with the increasing of limestone content.


Limestone cement concrete compressive strength at different age.


Figure 1.

Limestone cement concrete compressive strength at different age.

The effect of adding different contents of silica fume on limestone cement concrete compressive strength is presented in Fig. 2 and Table 4. From this Figure, it can be concluded that the addition of silica fume improves the compressive strength. This improvement increases with the increase of silica fume content. As an example, the use of 15% silica fume increases 28 days compressive strength by 17%, 12% and 3% for limestone content of 5%, 10%, 15%, respectively. For 20% limestone only a decrease of 7% was obtained. This result may be due to the pozzolanic effect of silica fume and decreasing porosity. Similar results were also obtained by Gozde [20] who indicated that silica fume compensated the negative effect of limestone on compressive strength at later ages.


Concrete compressive strength for limestone cement concrete at (a) cement ...


Figure 2.

Concrete compressive strength for limestone cement concrete at (a) cement content of 95% and 5% LS, (b) cement content of 90% and 10% LS, (c) cement content of 85% and 15% LS, (d) cement content of 80% and 20% LS and (e) cement content of 75% and 25% LS with different percentage of silica fume.

Table 4. Relative compressive strength, splitting tensile strength and modulus of elasticity value compared to control mix.
Cement% LS% SF% Compressive strength (%) 28 days Splitting tensile strength% 28 days Modulus of elasticity%
3 days 7 days 28 days 365 days
100 0 0 100 100 100 100 100 100
95 5 0 100 100 99 97 100 99
5 105 110 105 107 106 104
10 108 112 108 112 108 107
15 109 121 117 119 115 116
90 10 0 93 95 94 92 90 98
5 96 103 97 102 93 101
10 101 108 101 106 98 106
15 112 120 112 109 109 112
85 15 0 77 93 84 89 80 94
5 82 95 89 98 85 99
10 89 104 97 103 93 103
15 95 111 103 105 97 109
80 20 0 62 85 81 86 70 93
5 66 89 85 91 76 97
10 68 92 88 93 79 101
15 71 97 93 101 80 106
75 25 0 41 64 68 81 64 88
5 53 66 71 83 66 91
10 59 71 78 87 73 101
15 59 72 79 93 74 102

However, for limestone cement concrete with 25% limestone powder, the use of silica fume up to 15% does not improve the compressive strength compared with that of control mix. The effect of reduction of cementitious materials overcomes the pozzolanic reaction.

The previous results show that to overcome the negative effect of limestone in 28 days compressive strength one must use silica fume as an addition with the same content of limestone.

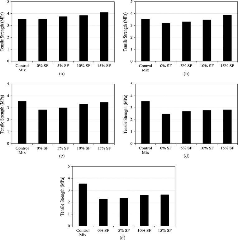
3.1.2. Splitting tensile strength

Splitting tensile strength of concrete containing only limestone is shown in Fig. 3. Also, the effect of limestone replacement with adding silica fume as cement addition on 28 days splitting tensile strength is shown in Fig. 4 and Table 4. From these figures, it is obvious that the increase of limestone powder content decreases the concrete tensile strength. The reduction in splitting tensile strength is higher than that in compressive strength. Also, the addition of silica fume improves splitting tensile strength of limestone cement concrete, and this improvement increases with increasing silica fume content. As an example, adding 15% silica fume to concrete with 15% limestone powder decreases the reduction in 28 days splitting tensile strength from 20% to 3%.


Limestone cement concrete splitting tensile strength at 28days.


Figure 3.

Limestone cement concrete splitting tensile strength at 28 days.


28days Splitting tensile strength for limestone cement concrete at (a) cement ...


Figure 4.

28 days Splitting tensile strength for limestone cement concrete at (a) cement content of 95% and 5% LS, (b) cement content of 90% and 10% LS, (c) cement content of 85% and 15% LS, (d) cement content of 80% and 20% LS and (e) cement content of 75% and 25% LS with different percentage of silica fume.

3.1.3. Modulus of elasticity

Modulus of elasticity of concrete containing only limestone is shown in Fig. 5 and the effect of adding silica fume to limestone cement concrete on modulus of elasticity is presented in Fig. 6 and Table 4. From these figures, it is obvious that the modulus of elasticity decreases as the limestone powder content increases. However, this reduction in modulus of elasticity is insignificant. Also, the addition of silica fume improves modulus of elasticity for limestone cement concrete. This improvement increases with increasing silica fume content. Using 10% and 15% of silica fume with 20% or 25% of limestone concrete slightly enhances modulus of elasticity.


Limestone cement concrete Modulus of elasticity at 28days.


Figure 5.

Limestone cement concrete Modulus of elasticity at 28 days.


Modulus of elasticity for limestone cement concrete at cement content of (a) 95% ...


Figure 6.

Modulus of elasticity for limestone cement concrete at cement content of (a) 95% and 5% limestone and (b) 75% and 25% limestone with different percentage of silica fume.

3.1.4. X-ray analysis

XRD was carried out on cement paste containing 0%, 10% and 20% limestone powder. The used water/(cement and limestone) is 0.45. Fig. 7 shows the test result of XRD analysis of cement pastes with 0%, 10%, and 20% limestone powder as cement replacement, respectively. From this figure, generally, there is no clear observed difference between specimens with and without limestone powder. More clearly observed is the increase of CaCO3 at specimens with limestone powder. This behavior agrees with the most previous researchers which report that the limestone powder is considered as inert filler.


XRD patterns for (a) control mix (0% limestone), (b) cement content of 90% and ...


Figure 7.

XRD patterns for (a) control mix (0% limestone), (b) cement content of 90% and LS of 10% and (C) cement content of 80% and LS of 20%.

3.1.5. Thermo-gravimetric analysis test

Thermo-gravimetric analysis test was carried out on cement paste containing 0%, 10% and 20% limestone powder. The used water/(cement and limestone) is 0.45. Fig. 8 shows the effect of using limestone powder on calcium hydroxide content. From this figure, the reduction of calcium hydroxide content is equal to 0.27% and 5.26% at limestone powder content of 10% and 20% compared to control mix. This shows the slight effect of limestone on cement hydration.


Percentage of calcium hydroxide at different percentage of limestone powder ...


Figure 8.

Percentage of calcium hydroxide at different percentage of limestone powder content.

3.2. Sulfate resistance of limestone cement concrete

The used cement was ordinary Portland cement (Type I), moderate sulfate resistance (Type II) and high sulfate resistance (Type V) with C3A content equal to 12.28, 6.5 and 0.17, respectively. The considered limestone contents were 5%, 10%, 15%, 20% and 25% as cement replacement.

3.2.1. Length change

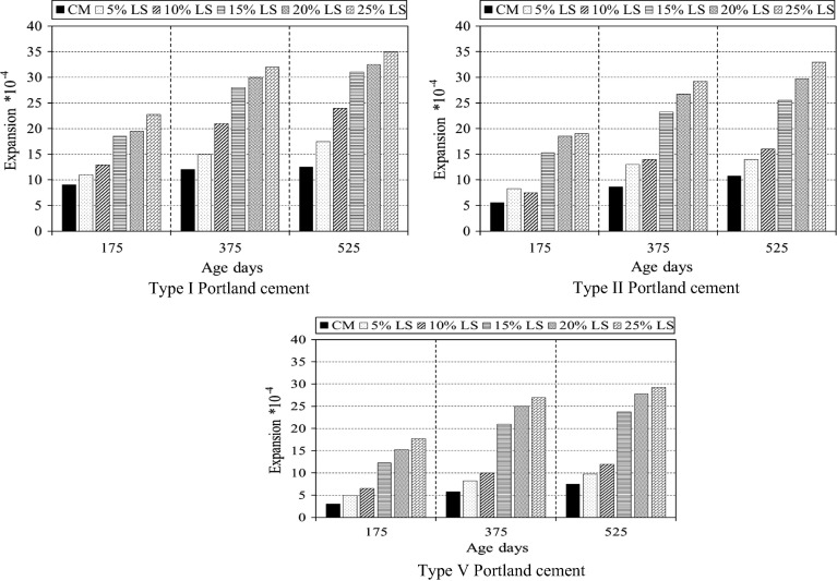
Length change is a technique to evaluate the resistance of concrete specimens to sodium sulfate attack. It is known that the increase of expansion strain indicates higher deterioration rate due to the formation of gypsum and ettringite. Fig. 9 shows the measured expansion strain with age up to 525 days for limestone (LS) cement concrete made with Type I, Type II and Type V, respectively.


Expansion strain – age relations for limestone cement concrete at different ...


Figure 9.

Expansion strain – age relations for limestone cement concrete at different limestone powder contents.

From these figures, generally expansion strain increases as the time increases. Also, generally at the same age, the increase of limestone powder content increases the corresponding expansion strain. The negative behavior of limestone cement concrete may be due to the higher porosity [21]. This trend of expansion versus age is almost the same for concrete made with Type I, Type II and Type V Portland cement.

Fig. 10 represents the measured expansion strain at 175, 375 and 525 days for Type I, Type II and Type V Portland cement. It is clear that the negative effect of limestone powder cement replacement on expansion strain is pronounced at limestone powder content higher than 10% for Type I Portland cement, type II Portland cement and Type V Portland cement. The measured expansion after 5% sodium sulfate attack compared with control mix attacked by the same solution after 525 days is presented in Table 5. The use of 10% limestone powder as cement replacement increases the expansion of concrete after 525 days of sodium sulfate attack by 92%, 49% and 61% for Type I, Type II and Type V Portland cement, respectively compared to control mix after 525 days of sodium sulfate attack. This increases at 25% limestone powder content as cement replacement is 180%, 207% and 292% for Type I, Type II and Type V Portland cement, respectively.


Measured expansion strain at 175, 375 and 525days.


Figure 10.

Measured expansion strain at 175, 375 and 525 days.

Table 5. The percentage increase of expansion (PE) after 525 days of sodium sulfate attack compared to control mix (0% LS) after 525 days sodium sulfate attack.
Limestone% PE of Type I% PE of Type II% PE of Type V%
5 40 30 31
10 92 49 61
15 148 137 218
20 160 177 271
25 180 207 292

3.2.2. Compressive strength loss

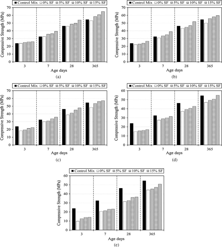
Compressive strength loss is used herein to evaluate the performance of concrete subjected to 5% sodium sulfate attack. Concrete compressive strength after 525 days sodium sulfate attack is compared to 28 days concrete (water curing) compressive strength. In order to accelerate the sulfate attack of concrete specimens, all specimens were subjected to repeated cycles of sulfate attack. Each cycle consisted of two weeks immersion of the concrete specimens in 5% sodium sulfate and another two weeks in open air. The solution was refreshed after each cycle.

Fig. 11 shows reference concrete compressive strength after 28 days (water curing) and concrete compressive strength after 525 days of sodium sulfate exposure at different limestone replacement level for Type I Portland cement, Type II Portland cement and Type V Portland cement, respectively. The calculated reduction in concrete compressive strength after 5% sodium sulfate attack compared with control mix after 525 days 5% sodium sulfate attack is presented in Table 6.


Compressive strength at different level of limestone powder replacement.


Figure 11.

Compressive strength at different level of limestone powder replacement.

Table 6. The reduction of compressive strength after 525 days of sodium sulfate attack compared to control mix (0% LS) after 525 days sodium sulfate attack.
Limestone% Compressive strength loss Type I% Compressive strength loss Type II% Compressive strength loss Type V%
5 12 9 11
10 17 17 19
15 23 27 27
20 30 34 32
25 43 42 42

The use of 10% limestone powder as cement replacement increases the reduction of concrete compressive strength after 525 days of sodium sulfate attack by 17%, 17% and 19% for Type I, Type II and Type V Portland cement, respectively compared to control mix after 525 days of sodium sulfate attack. This reduction at 25% limestone powder content as cement replacement is 43%, 42% and 42% for Type I, Type II and Type V Portland cement, respectively.

From this, it can be concluded that the replacement of Type V Portland cement with limestone powder seriously decreases the resistance of limestone cement concrete to sodium sulfate. This behavior may be due to the presence of gypsum in limestone powder.

3.2.3. Weight loss

Fig. 12 shows the measured weight loss percentage with time for limestone (LS) cement concrete with type I, type II and type V Portland cement up to 525 days, respectively. From these figures, generally weight loss percentage increases with time increase as a result of sodium sulfate attack. At the curve beginning, all specimens in sodium sulfate solution showed a gradual increase in mass, attributed to water imbibition during the hydration process [22].


Weight loss percentages – age relations for limestone cement concrete made with ...


Figure 12.

Weight loss percentages – age relations for limestone cement concrete made with different limestone powder content.

Additionally, from the figures, generally at the same time, the increase of limestone powder content increases the corresponding weight loss percentage. As mentioned above, this negative behavior of limestone powder concrete may be due to higher porosity of concrete [23]. This trend of weight loss percentage versus time is almost the same for concrete made with type I, type II, and type V. It is clear that the negative effect of limestone powder cement replacement on weight loss is insignificant at 5% limestone powder for type I Portland cement, type II Portland cement and type V Portland cement.

Similar results were also obtained by Tosun [14] who indicated that Limestone replacement propagated the rate of sulfate deterioration, possibly due to their relatively lower strength and increased capillary water absorption properties. Also he indicated that the limestone replacement ratio of cements should be restricted to 10% by weight for structures exposed to severe sulfate environments. This research was conducted on mortar specimens with different level of limestone powder replacement and different clinker types.

3.2.4. X-ray diffraction analysis

XRD measurements were performed on X’Pert Pro PANalytical using CuKα radiation and operating at 40 kV and 30 mA. Step scanning was used with sampling interval of 0.02°.

XRD was used to identify the effect of sulfate attack on the limestone cement concrete specimens. This test was conducted for concrete with 0%, 10% and 25% limestone powder as cement replacement for Type I Portland cement, Type II Portland cement and Type V Portland cement after immersion in 5% sodium sulfate for 525 days.

Figure 13, Figure 14 and Figure 15 show the result of XRD analysis of concrete specimens after 525 days of exposure to sulfate attack. From these figures, it can be noticed that ettringite is detected by XRD beaks 9.09°, 15.74° and 22.75°. Also, gypsum is detected by XRD beaks 11.59° and 20.72°.


XRD analysis of concrete specimen (a) 0% limestone powder, (b) 10% limestone ...


Figure 13.

XRD analysis of concrete specimen (a) 0% limestone powder, (b) 10% limestone powder and (c) 25% limestone powder made with Type I Portland cement.


XRD analysis of concrete specimen (a) 0% limestone powder, (b) 10% limestone ...


Figure 14.

XRD analysis of concrete specimen (a) 0% limestone powder, (b) 10% limestone powder and (c) 25% limestone powder made with Type II Portland cement.


XRD analysis of concrete specimen (a) 0% limestone powder, (b) 10% limestone ...


Figure 15.

XRD analysis of concrete specimen (a) 0% limestone powder, (b) 10% limestone powder and (c) 25% limestone powder made with Type V Portland cement.

3.3. Corrosion resistance of limestone cement concrete

3.3.1. First crack time and cracking width

Time of crack appearance influences the service life of the reinforced concrete structure. The increase of the time of first crack indicates to a good performance of the structure. Fig. 16 represents the first crack time for limestone (LS) cement concrete made with Type I, Type II and Type V Portland cement for different limestone powder content.


First crack time for limestone cement concrete made with Type I, Type II and ...


Figure 16.

First crack time for limestone cement concrete made with Type I, Type II and Type V Portland cement for different limestone powder content.

From this figure, the use of limestone powder as cement replacement slightly decreases the first crack time. As an example, the reduction in first crack time for Type I Portland cement is 11%, 15%, 15%, 14% and 11% for 5%, 10%, 15% 20% and 25% limestone powder level as cement replacement compared to control mix (0% limestone), respectively. This reduction for Type V is 2%, 5%, 11% 11% and 11% for 5%, 10%, 15% 20% and 25% limestone powder level as cement replacement compared to control mix, respectively. It is interesting to notice that the use of high contents of limestone content of 20% and 25% does not lead to a high reduction of first crack time, and this may tend to the increase of electric resistivity [24].

Additionally, it can be concluded that the time of first crack decreases when the cement type changes from Type I Portland cement to Type II Portland cement or Type V Portland cement. This behavior may be due to the lower content of C3A in type V and type II Portland cements. The presence of C3A is beneficial in corrosion resistance since this reacts with chlorides to form calcium chloroaluminate. For this reason the use of cement with lower C3A content cement increases the risk of corrosion induced by chlorides [25].

Fig. 17 represents the average crack width at 250 h attack for limestone cement concrete made with Type I, Type II and Type V Portland cement. From this figure, it is clearly shown that the average crack width increases when limestone powder percentage increases. However, the negative effect of limestone powder cement replacement on the average crack width is insignificant till 10%. At higher level of limestone powder, more than 10%, the negative effect on first crack time is more pronounced.


Average crack width for limestone cement concrete made with Type I, Type II and ...


Figure 17.

Average crack width for limestone cement concrete made with Type I, Type II and Type V Portland cement for different limestone powder content at 250 h.

3.3.2. Weight loss

The theoretical weight loss of reinforced steel based on faraday’s equation is presented in Fig. 18. This figure shows the calculated weight loss for Type I, Type II and Type V Portland cement for different limestone (LS) powder content.


Theoretical weight loss for limestone cement concrete made with Type I, Type II ...


Figure 18.

Theoretical weight loss for limestone cement concrete made with Type I, Type II and Type V Portland cement for different limestone powder content at 250 h.

From this figure, it can be concluded that the increase of limestone powder content as cement replacement increases the theoretical weight loss of steel reinforcement after 250 h working hours. Also, at 5% and 10% limestone powder replacement level, the negative effect of limestone cement replacement on steel weight loss is insignificant. At higher levels of limestone powder, more than 10%, the negative effect on steel weight loss is more pronounced. This trend of weight loss is almost the same for concrete made with Type I, Type II and Type V Portland cement. Also, it is clearly shown that the theoretical weight loss for Type V and Type II is higher than theoretical weight loss for Type I. This negative behavior may be due to the lower content of C3A in Type V and Type II Portland cements. The experimental test results ensure the calculated theoretical weight loss.

The experimental weight loss after 250 h working hours is presented in Fig. 19. Also, it can be concluded that at the same percentage of limestone, the experimental weight loss increases as the cement type changes from Type I Portland cement to Type II Portland cement or Type V Portland cement.


Experimental weight loss for limestone cement concrete made with Type I, Type II ...


Fig. 19.

Experimental weight loss for limestone cement concrete made with Type I, Type II and Type V Portland cement for different limestone powder content at 250 h.

From the previous results it can be concluded that the use of 25% of ground limestone of 340 m2/kg surface area slightly decreases the time of first crack of corrosion (14%) while it considerably decreases corrosion resistance after cracking through loss of weight (150%).

3.4. The reduction of resources input, energy consumption and emissions achieved by using limestone powder and silica fume

The benefit of using limestone powder in cement manufacture is their lower raw material demand, lower energy consumption and lower emissions produced. An analysis of environmental impact up to 5% limestone in the production of portland cement is found in Nisbet [4]. Based on the approach used in that analysis, an estimate of resources, energy and emissions reduction can be calculated. These provide conservative estimate of reductions that can be achieved through using limestone powder compared to portland cement without limestone.

Table 7 represents the mechanical properties for limestone powder mixes which achieve mechanical properties similar to control mix. The next section discusses the reduction of resources input, energy consumption and emissions from using limestone powder and silica fume for these mixes.

Table 7.

Proportions of blended cement mixes which achieve mechanical properties equal to control mix.

Modulus of ElasticityGPa Mix No. Cement% Limestone% Silica Fume% Compressive strength Mpa Splitting tesile Strength Mpa
Control Mix (100% cement) 46.2 3.55 30.84
1 95 5 0 46.0 3.54 30.54
2 90 10 0 43.3 3.21 30.27
6 95 5 5 48.7 3.75 32.21
11 95 5 10 49.8 3.84 33.04
16 95 5 15 53.9 4.10 33.75
7 90 10 5 44.7 3.31 31.16
12 90 10 10 46.8 3.47 32.61
17 90 10 15 52.0 3.88 34.47
13 85 15 10 45.1 3.29 31.90
18 85 15 15 47.8 3.46 33.56
19 80 20 15 42.8 2.84 32.82

3.4.1. Conservation of raw materials

The conservation of raw materials can be estimated by using the assumptions that the raw material consists of 80% limestone and 20% clay, a raw mix to clinker ratio 1.6:1 due to 60% calcining loss and clinker to cement ratio of 0.95:1 as a result of using 5% gypsum.

Based on the pervious assumptions, Table 8 represents the used materials to manufacture the suggested blended cement which achieves the same compressive strength of control mix. Table 9 represents the conserved resources per one million tons of cement to these mixes based on the data presented in Table 8.

Table 8. Used materials to manufacture the suggested blended cement (ton per ton of cement).
Mix NO. Finish product Quarrying Pyroprocess
Clinker Gypsum Limestone Silica fume Limestone Clay Calcining loss Clinker
CM 0.95 0.05 0.00 0.00 1.216 0.304 0.570 0.950
1 0.90 0.05 0.05 0.00 1.152 0.288 0.540 0.900
2 0.85 0.05 0.10 0.00 1.088 0.272 0.510 0.850
6 0.90 0.05 0.05 0.05 1.152 0.288 0.540 0.900
11 0.90 0.05 0.05 0.10 1.152 0.288 0.540 0.900
16 0.90 0.05 0.05 0.15 1.152 0.288 0.540 0.900
7 0.85 0.05 0.10 0.05 1.088 0.272 0.510 0.850
12 0.85 0.05 0.10 0.10 1.088 0.272 0.510 0.850
17 0.85 0.05 0.10 0.15 1.088 0.272 0.510 0.850
13 0.80 0.05 0.15 0.10 1.024 0.256 0.480 0.800
18 0.80 0.05 0.15 0.15 1.024 0.256 0.480 0.800
19 0.75 0.05 0.20 0.15 0.960 0.240 0.450 0.800

Table 9. Conserved resources and consumed silica fume per one million tons of cement.
Mix NO. Limestone Clay Used silica fume ton Note
Ton  % Ton  %
1 14,000 1.2% 16,000 5.3% 0 ∗ = [1.216–(1.088 + 0.1)] × 1,000,000 and ∗∗ = (0.304–0.272) × 1,000,000
2 28,000 2.3% 32,000∗∗ 10.5% 0
6 14,000 1.2% 16,000 5.3% 50,000
11 14,000 1.2% 16,000 5.3% 50,000
16 14,000 1.2% 16,000 5.3% 100,000
7 28,000 2.3% 32,000 10.5% 150,000
12 28,000 2.3% 32,000 10.5% 50,000
17 28,000 2.3% 32,000 10.5% 100,000
13 42,000 3.5% 48,000 15.8% 150,000
18 42,000 3.5% 48,000 15.8% 100,000
19 56,000 4.6% 64,000 21.1% 150,000

3.4.2. Energy Conservation

Both fuel and electricity are used in cement industry. Fuel is used in kiln, middle distillates, while electricity is used in quarry, raw mix preparation, by-process and finish milling. The Portland cement association (PCA) labor and energy survey gives an average kiln fuel equal to 4.873 mm BTU per ton of cement. If 10% limestone is added to the cement, the reduction of energy is equal to

Table 10 represents the estimated reduction of energy and equivalent natural gas consumption.

Table 10. Estimated reduction of energy per million ton of cement.
Mix NO. Cement% Limestone% Silica Fume% Energy mmBTU  % Natural GasM3
1 95 5 0 243,684 5.3% 6,900,357
2 90 10 0 487,368 10.5% 13,800,714
6 95 5 5 243,684 5.3% 6,900,357
11 95 5 10 243,684 5.3% 6,900,357
16 95 5 15 243,684 5.3% 6,900,357
7 90 10 5 487,368 10.5% 13,800,714
12 90 10 10 487,368 10.5% 13,800,714
17 90 10 15 487,368 10.5% 13,800,714
13 85 15 10 731,053 15.8% 20,701,071
18 85 15 15 731,053 15.8% 20,701,071
19 80 20 15 974,737 21.1% 27,601,428

Electricity saving from quarrying and finish grinding steps does not need to be considered. The consumption of electricity is equal to 76.73 KW h per ton of cement for raw mix preparation and by process steps. If 10% limestone is added to the cement, the reduction of electricity is equal to

Table 11 shows the estimated reduction of electricity and equivalent natural gas.

Table 11. Estimated reduction of electricity per million tons of cement.
Mix NO. Cement% Limestone% Silica Fume% Electricity KWh  % Natural GasM3
1 95 5 0 3,836,842 2.4% 355,263
2 90 10 0 7,673,684 4.8% 710,526
6 95 5 5 3,836,842 2.4% 355,263
11 95 5 10 3,836,842 2.4% 355,263
16 95 5 15 3,836,842 2.4% 355,263
7 90 10 5 7,673,684 4.8% 710,526
12 90 10 10 7,673,684 4.8% 710,526
17 90 10 15 7,673,684 4.8% 710,526
13 85 15 10 11,510,526 7.3% 1,065,789
18 85 15 15 11,510,526 7.3% 1,065,789
19 80 20 15 15,347,368 9.7% 1,421,053

3.4.3. Reduction of air emission

A summary of emission estimates in kg per ton of cement is given in Table 12. If 10% limestone is added to the cement, the reductions are equal to

Table 12. Estimated emissions weight average, kg per ton of cement.
Process step SO2 NOx CO CO2 THC
Pyroprocess 2.904 2.902 0.5178 943.4 0.0714

Table 13 represents the estimated reduction of emissions weight from using limestone and silica fume at different percentage per million tons of cement.

Table 13. Estimated reduction of emissions weight from using limestone and silica fume, kg per million tons of cement.
Mix NO. SO2 NOx CO CO2 THC
kg  % kg  % kg  % kg  % kg  %
1 145,200 5.3 145,147 5.3 25,895 5.3 47,173,684 5.3 3,574 5.3
2 290,400 10.5 290,295 10.5 51,789 10.5 94,347,368 10.5 7,147 10.5
6 145,200 5.3 145,147 5.3 25,895 5.3 47,173,684 5.3 3,574 5.3
11 145,200 5.3 145,147 5.3 25,895 5.3 47,173,684 5.3 3,574 5.3
16 145,200 5.3 145,147 5.3 25,895 5.3 47,173,684 5.3 3,574 5.3
7 290,400 10.5 290,295 10.5 51,789 10.5 94,347,368 10.5 7,147 10.5
12 290,400 10.5 290,295 10.5 51,789 10.5 94,347,368 10.5 7,147 10.5
17 290,400 10.5 290,295 10.5 51,789 10.5 94,347,368 10.5 7,147 10.5
13 435,600 15.8 435,442 15.8 77,684 15.8 141,521,053 15.8 10,721 15.8
18 435,600 15.8 435,442 15.8 77,684 15.8 141,521,053 15.8 10,721 15.8
19 580,800 21.1 580,589 21.1 103,579 21.1 188,694,737 21.1 14,295 21.1

4. Conclusions

This experimental work was carried out on concrete with cement content of 400 kg/m3 and w/c ratio equal 0.45. The used limestone powder has calcium carbonate content of 94%, 4% gypsum and surface area of 3400 cm2/gm. From this study, the following conclusion can be drawn:

4.1. Mechanical properties

  • Based on cube compressive strength, splitting tensile strength and modulus of elasticity results, the negative effect of limestone powder replacement of ordinary Portland cement is insignificant till limestone powder content of 10%. The reduction of compressive strength at 10% limestone powder content equals to 7%, 7%, 6% and 8% at 3, 7, 28 and 365 days for continuous hydration. The reduction of 28 days tensile strength at 10% limestone powder equals to 10%. Also, the reduction of 28 days modulus of elasticity at 10% limestone powder is 2%.
  • The use of 15%, 20% and 25% limestone powder as a replacement of ordinary Portland cement decreases concrete compressive strength. This reduction on 28 days compressive strength is 16%, 19% and 32%, respectively. At 365 days this reduction reduces to 11%, 14% and 19%, respectively.
  • The addition of silica fume to limestone cement concrete generally improves the compressive strength at different ages. This improvement enhances with increasing silica fume content. The use of 85% ordinary Portland cement, 15% limestone powder with the addition of 5%, 10% and 15% silica fume enhances 28 days compressive strength by 6%, 16% and 23% respectively compared with concrete having 85% ordinary Portland cement and 15% limestone powder.
  • To compensate the negative effect of limestone on compressive strength one should add silica fume with the same content of used limestone powder.

4.2. Durability of limestone cement concrete

  • The increase of limestone powder content increases the corresponding expansion strain due to sodium sulfate attack. However, the negative effect of limestone powder as cement replacement is pronounced at content higher than 10% for type I, type II and type V Portland cement.
  • It is not recommended to use limestone cement in case of sulfate attack.
  • The use of limestone powder up to 25% of cement weight with Type I, Type II and Type V Portland cement has an insignificant effect on the time of first crack due to corrosion.
  • After cracking, the corrosion resistance considerably decreases as limestone powder content increases. For type I Portland cement the use of 10% and 25% limestone increases the steel weight loss by 16% and 68% respectively, compared with cement which has not limestone powder.
  • Generally, the negative effect of limestone powder replacement on the corrosion resistance of concrete is insignificant till 10% by weight as cement replacement.

4.3. Environmental impact

  • The use of 10% limestone powder as cement replacement decreases SO2, NOx, CO, CO2 and THC emission by 10.2%. Also, the reductions of raw materials were 2.3% and 10.5% for limestone and clay, respectively. Additionally, the reductions of fuel and electricity were 10.5% and 4.8%, respectively.

References

  1. [1] F. Hawthorn, Ten years experience with composite cement in France, in: Proceedings of a Seminar held at BRE in 1989, BR 245. Building Research Establishment, Garston, U.K., 1993
  2. [2] P.D. Tennis, M.D.A. Thomas, W.J. Weiss; State-of-the-art report on use of limestone in cements at levels of up to 15%; Portland Cem. Assoc. (2011), pp. 10–20
  3. [3] N. Voglis, G. Kakali, E. Chaniotakis, S. Tsivilis; Portland-limestone cements. Their properties and hydration compared to those of other composite cements; Cem. Concr. Compos., 27 (2) (2005), pp. 191–196
  4. [4] M.A. Nisbet; The reduction of resource input and emissions achieved by addition of limestone to Portland cement; Portland Cem. Assoc. (1996)
  5. [5] R.K. Dhir, M.C. Limbachiya, M.J. McCarthy, A. Chaipanich; Evaluation of Portland limestone cements for use in concrete construction; Mater. Struct., 40 (5) (2007), pp. 459–473
  6. [6] A.A. Ramezanianpour, E. Ghiasvand, I. Nickseresht, M. Mahdikhani, F. Moodi; Influence of various amounts of limestone powder on performance of Portland limestone cement concretes; Cem. Concr. Compos., 31 (10) (2009), pp. 715–720
  7. [7] M. Ghrici, S. Kenai, M. Said-Mansour; Mechanical properties and durability of mortar and concrete containing natural pozzolana and limestone blended cements; Cem. Concr. Compos., 29 (7) (2007), pp. 542–549
  8. [8] Z. Guemmadi, M. Resheidat, H. Chabil, B. Toumi; Modeling the influence of limestone filler on concrete: a novel approach for strength and cost; Jordan J. Civil Eng., 3 (2) (2009), pp. 158–171
  9. [9] R.D. Hooton, M. Nokken, M.D.A. Thomas; Portland-Limestone Cement: State-of-the-art Report and Gap Analysis for CSA A 3000; Cement Association of Canada. University of Toronto (2007)
  10. [10] P. Hawkins, P.D. Tennis, R.J. Detwiler; The Use of Limestone in Portland Cement: A State-of-the-art Review; (pp. 44) Portland Cement Association, Skokie, IL (2003)
  11. [11] S.T. Lee, R.D. Hooton, H.S. Jung, D.H. Park, C.S. Choi; Effect of limestone filler on the deterioration of mortars and pastes exposed to sulfate solutions at ambient temperature; Cem. Concr. Res., 38 (1) (2008), pp. 68–76
  12. [12] P. Pipilikaki, M. Katsioti, J.L. Gallias; Performance of limestone cement mortars in a high sulfates environment; Constr. Build. Mater., 23 (2) (2009), pp. 1042–1049
  13. [13] X. Gao, B. Ma, Y. Yang, A. Su; Sulfate attack of cement-based material with limestone filler exposed to different environments; J. Mater. Eng. Perform., 17 (4) (2008), pp. 543–549
  14. [14] K. Tosun, B. Felekoğlu, B. Baradan, İ.A. Altun; Effects of limestone replacement ratio on the sulfate resistance of Portland limestone cement mortars exposed to extraordinary high sulfate concentrations; Constr. Build. Mater., 23 (7) (2009), pp. 2534–2544
  15. [15] H.Y. Moon, H.S. Jung, J.P. Kim; Diffusion of chloride ions in limestone powder concrete; J. Korea Concr. Inst., 161 (6) (2004), pp. 859–865
  16. [16] E.A. El-Alfi, A.M. Radwan, S. Abed El-Aleem; Effect of limestone fillers and silica fume pozzolana on the characteristics of sulfate resistant cement pastes; CERAMICS SILIKATY., 48 (1) (2004), pp. 29–33
  17. [17] E.F. Irassar, V.L. Bonavetti, M. Gonzalez; Microstructural study of sulfate attack on ordinary and limestone Portland cements at ambient temperature; Cem. Concr. Res., 33 (1) (2003), pp. 31–41
  18. [18] A.P. Barker, D.W. Hobbs; Performance of Portland limestone cements in mortar prisms immersed in sulfate solutions at 5 C; Cem. Concr. Compos., 21 (2) (1999), pp. 129–137
  19. [19] P. Yan; Effect of limestone powder on microstructure of concrete; J. Wuhan Univ. Technol.-Mater. Sci. Ed., 25 (2) (2010), pp. 328–331
  20. [20] G.İ. Sezer; Compressive strength and sulfate resistance of limestone and/or silica fume mortars; Constr. Build. Mater., 26 (1) (2012), pp. 613–618
  21. [21] V.L. Bonavetti, V.F. Rahhal, E.F. Irassar; Studies on the carboaluminate formation in limestone filler-blended cements; Cem. Concr. Res., 31 (6) (2001), pp. 853–859
  22. [22] K. Sotiriadis, E. Nikolopoulou, S. Tsivilis; Sulfate resistance of limestone cement concrete exposed to combined chloride and sulfate environment at low temperature; Cem. Concr. Compos., 34 (8) (2012), pp. 903–910
  23. [23] T. Schmidt, B. Lothenbach, M. Romer, J. Neuenschwander, K. Scrivener; Physical and microstructural aspects of sulfate attack on ordinary and limestone blended Portland cements; Cem. Concr. Res., 39 (12) (2009), pp. 1111–1121
  24. [24] X. Wei, L. Xiao; Electrical resistivity monitoring and characterisation of early age concrete; Mag. Concr. Res., 65 (10) (2013), pp. 600–607
  25. [25] A.M. Neville, J.J. Brooks; Concrete Technology; Longman Scientific & Technical, Harlow (1987)
Back to Top

Document information

Published on 12/04/17

Licence: Other

Document Score

0

Views 165
Recommendations 0

Share this document

claim authorship

Are you one of the authors of this document?