Abstract

Hall effects on an unsteady magnetohydrodynamic (MHD) free convective flow of a viscous incompressible electrically conducting optically thick radiating fluid past a vertical porous plate in the presence of a uniform transverse magnetic field are examined. The governing equations are solved numerically using the fourth-order Runge–Kutta–Fehlberg method with the shooting technique. Effects of the pertinent parameters on the flow field, temperature distribution, shear stresses and rate of heat transfer at the plate are presented in graphs and tables followed by a quantitative discussion. The results reveal that the flow field and the temperature distribution are greatly influenced by thermal radiation parameter. Hall currents moderate the flow field significantly. Suction (or injection) has a profound effect on the boundary layer thickness in which the suction reduces the thermal boundary layer thickness whereas injection thickens it.

Keywords

Magneto-convection; Hall currents; Thermal radiation; Porous plate

1. Introduction

The study of magnetohydrodynamic flow and heat transfer has received considerable attention in recent years due to its essential applications in engineering and technology such as MHD generators, MHD flow meters, pumps, plasma studies, bearings, nuclear reactors and geothermal energy extractions. Interaction between the electrically conducting fluid and a magnetic field is used as a control mechanism in material manufacturing industry, as the convection currents are suppressed by Lorentz force which is produced by the magnetic field. Convection problems of electrically conducting fluid in the presence of transverse magnetic field have got much importance because of its wide applications in geophysics, astrophysics, plasma physics, missile technology, etc. MHD principles find its applications in medicine and biology also.

A considerable interest has been shown in the study of thermal radiation on boundary layer flow and heat transfer in fluids due to its significant effects in the surface heat transfer. Radiation is another process of heat transfer through electromagnetic waves. Radiative convection flows are encountered in countless industrial and environment processes such as heating and cooling chambers, evaporation from large open water reservoirs, astrophysical flows and solar power technology, fossil fuel combustion energy processes and space vehicle re-entry. Radiative heat transfer in such processes plays very important role [1]. Thermal radiation transfer is also essential in Nuclear power plants, gas turbines and various propulsion devices for aircraft, missiles, satellites and space vehicles. The gravity-driven convection heat transfer is a vital phenomenon in the cooling mechanism of many engineering systems such as electronic industries, solar collectors and cooling systems for nuclear reactors because of its minimum cost, low noise, smaller size and reliability. There has been increasing interest in studying the problem of MHD with convection boundary layer flow and heat transfer characteristics over a vertical plate [2].

The study of magneto hydrodynamic gravity-driven convection through an optically thick fluid past an infinite vertical plate is considered very essential in understanding the behavior of the performance of fluid motion in several applications. The problem of gravity-driven convection in a regular fluid past a vertical plate is a classical problem solved by Ostrach [3]. Siegel [4] was the first to study the transient free-convective flow past a semi-infinite vertical plate by integral method. Convective flows with radiation are also encountered in many industrial processes such as heating and cooling of chambers, energy processes, evaporation from large reservoirs, solar power technology and space vehicle re-entry. Thermal radiation effects of an optically thin gray gas bounded by a stationary vertical plate have been investigated by England and Emery [5]. Soundalgekar and Takhar [6] have presented the free convective flow of an optically thin radiating gray gas past a semi-infinite vertical plate. Hossain and Takhar [7] have examined the radiation effects on mixed convection along an isothermal vertical plate.

When the conducting fluid is an ionized gas, and the strength of the applied magnetic field is very strong, the conductivity normal to the magnetic field is reduced due to the free spiraling of electrons and ions about the magnetic lines of force before suffering collisions and a current is induced in a direction normal to both electric and magnetic fields. This current is known as Hall current. When the medium is rarefied or if a strong magnetic field is present, the conductivity of the fluid is anisotropic and the effect of Hall currents cannot be neglected. The study of magnetohydrodynamic flows with Hall currents has important applications in problems of Hall accelerators as well as flight magnetohydrodynamics. The devices with the Hall effect produce a very low signal level and thus require amplification. While suitable for laboratory instruments, the vacuum tube amplifiers available in the first half of the 20th century were too expensive, power consuming and unreliable for everyday applications. It was only with the development of the low cost integrated circuit that became suitable for mass applications.

The combined effects of Hall currents and thermal radiation on the magnetohydrodynamic flows continue to draw the attention of researchers owing to extensive applications of such flows in the context of ionized aerodynamics, nuclear energy systems control, improved designs in aerospace MHD energy systems, manufacture of advanced aerospace materials, etc. There is a vast amount of literature on the magnetohydrodynamic flows taking Hall currents. Pop and Watanabe [8] have examined the Hall effects on a magnetohydrodynamic free convection past a semi-infinite vertical flat plate. The magnetohydrodynamic free convective heat and mass transfer of a heat generating fluid past an impulsively started infinite vertical porous plate with Hall currents and radiation absorption have been studied by Kinyanjui [9]. Aboeldahab and Elbarbary [10] have analyzed the Hall effects on a magnetohydrodynamic free convective flow past a semi-infinite vertical plate with mass transfer. Takhar et al. [11] have studied an unsteady free convective flow past an infinite vertical porous plate taking Hall currents. Aboeldahab and El Aziz [12] have studied the effects of Hall and ion-slip currents on an MHD free convection from a vertical plate with power-law variation in surface temperature. Chaudhary and Jain [13] have addressed the Hall effects on an unsteady hydromagnetic flow of a viscous elastic fluid past a vertical porous plate. Abdul Hakeem and Sathiyanathan [14] have obtained an analytic solution of an oscillatory flow through a porous medium. Effects of Hall currents on an MHD mixed convective flow over a vertical surface in porous medium have been described by Shateyi [15]. Saha et al. [16] have presented the effects of Hall currents on an MHD natural convective flow past a vertical permeable flat plate with uniform surface heat flux. Ali et al. [17] have examined the effects of Hall currents on an MHD mixed convection boundary layer flow over a stretched vertical flat plate. Jain and Singh [18] have described the Hall and thermal radiative effects on an unsteady rotating free convective slip flow. Chaudhary et al. [19] have presented the effects of Hall currents and thermal radiation on an unsteady free convective slip flow along a vertical plate embedded in a porous medium with constant heat and mass flux. The effects of Hall currents and rotation on an MHD natural convection flow past an impulsively moving vertical plate with ramped plate temperature in the presence of thermal diffusion with heat absorption have been investigated by Seth et al. [20]. Das et al. [21] have examined the Hall effects on an MHD free convection boundary layer flow past a vertical flat plate. Sarkar et al. [22] have studied the Hall effects on an unsteady MHD free convective flow past an accelerated moving vertical plate with viscous and Joule dissipations. The effects of Hall currents and radiation on an unsteady MHD flow past a heated moving vertical plate have been discussed by Das et al. [23]. Seth et al. [24] have investigated the Hall effects on a natural convective flow past a moving vertical plate with heat and mass transfer. Recently, Gireesha [25] have reported the combined effects of the thermal radiation and Hall currents on boundary layer flow past a non-isothermal stretching surface embedded in porous medium with non-uniform heat source/sink and fluid-particle suspension. The conjugate natural convection flow over a vertical surface with radiation has been presented by Siddiqa [26]. Kataria and Mittal [27] have developed a mathematical model for velocity and temperature of gravity-driven convective optically thick nanofluid flow past an oscillating vertical plate in the presence of magnetic field and radiation.

The main objective of the present study was to examine the effects of Hall currents and thermal radiation on an MHD flow of a viscous incompressible electrically conducting fluid past a vertical porous plate in the presence of a uniform transverse magnetic field. It is assumed that the magnetic Reynolds number is small enough to neglect induced magnetic field. A strong magnetic field is assumed and thus the electromagnetic force becomes very large which results into the phenomenon of Hall currents. The Hall currents give rise to a velocity in the cross- flow direction. The governing equations are solved numerically using fourth-order Runge–Kutta scheme coupled with the shooting technique. The effects of the pertinent parameters on the velocity components, temperature distribution and rate of heat transfer and shear stresses are analyzed in detail.

2. Mathematical formulation

Consider the unsteady magnetohydrodynamic free convective flow of a viscous incompressible electrically conducting fluid past an infinite vertical porous plate in the presence of a uniform transverse magnetic field and thermal radiation. The motion of the fluid is induced by both pressure gradient and gravity. Choose a Cartesian co-ordinates system with x-axis along the plate in the direction of the flow vertically upward, the y-axis is perpendicular to the plate and the z-axis normal to xy-plane as shown in Fig. 1. The plate at is at rest and heated with the temperature . A uniform magnetic field of strength is imposed perpendicular to the plate. It is assumed that the radiative heat flux in the x-direction is negligible as compared to that in the y-direction. As the plate is infinitely long, the velocity and temperature fields are functions of y and t   only. The equation of continuity gives which on integration yields , where . The constant denotes the normal velocity at the plate.


Geometry of the problem.


Figure 1.

Geometry of the problem.

It is assumed that the magnetic Reynolds number for the flow is small so that the induced magnetic field can be neglected such that . This assumption is justified since the magnetic Reynolds number is generally very small for metallic liquid or partially ionized gases [28]. Liquid metals can be used in a range of applications because they are nonflammable, nontoxic and environmentally safe. That is why, liquid metals have number of technical applications in source exchangers, electronic pumps, ambient heat exchangers and also used as a heat engine fluid. Moreover, in nuclear power plants sodium, alloys, lead–bismuth and bismuth are extensively utilized heat transfer fluids. Besides that, mercury plays its role as a fluid in high-temperature Rankine cycles and also used in reactors in order to reduce the temperature of the system. For power plants which are exerted at extensively high temperature, sodium is treated as heat-engine fluid.

However, relative motion of the particles in the fluid can occur and the electron- atom collision frequency is assumed to be high enough for Hall currents to be significant. As such, an electric current density is required to represent the relative motion of charges. The generalized Ohm’s law with Hall currents according to Cowling [29] is

(1)

where , , , , , and are respectively the velocity vector, the magnetic field vector, the electric field vector, the current density vector, the electric conductivity, the cyclotron frequency and electron collision time. In writing the Eq. (1), the ion-slip and the thermoelectric effects as well as the electron pressure gradient are neglected. An electromagnetic force is generated normal to both and in the z  -direction. Such a force causes charged particles to migrate perpendicular to both and , and this constitutes the Hall current.

We have assumed the fluid is isotropic and homogeneous and has the scalar constant viscosity and electric conductivity. We implement the Boussinesq approximation which implies that all thermodynamic quantities of the fluid are constant, except for the buoyancy term, which is retained in the x-direction momentum conservation equations. Hence, under these physical conditions, the momentum equations of motion along x and z-directions are

(2)
(3)

where u and w are the velocity components along x and z  -directions respectively, the fluid density, the kinematic viscosity, p   the fluid pressure, the coefficient of thermal expansion and g   the acceleration due to gravity. It should be mention that corresponds to suction, corresponds to injection and corresponds to impermeable plate. Suction or blowing of a fluid through the bounding surface can significantly change the flow field. Injection or withdrawal of fluid through a porous bounding wall is of great interest in practical problems involving boundary layer control applications such as film cooling, and coating of wires. The process of suction/blowing has also its applications such as in the design of thrust bearing and radial diffusers, and thermal oil recovery. In general, suction is applied on chemical processes to remove reactants and blowing is used to add reactants, cool the surface, prevent corrosion or scaling and reduce the drag.

The energy equation is

(4)

where T is the fluid temperature, k   the thermal conductivity, the specific heat at constant pressure and the radiative heat flux. The Joule heating and viscous dissipation are neglected in this work.

The boundary conditions for velocity and temperature distributions are

(5)

Radiative magneto-convection fluid flow models find variety of applications at the industry level such as petroleum, chemical technology, food engineering, power engineering, underground spreading of chemical wastes, materials manufactured by extrusion processes and pharmaceutical manufacture. Optimal configuration of flow geometry is important in heat transfer system and engineering [30], [31], [32], [33], [34], [35], [36] and [37].

The solenoidal relation for the magnetic field gives  = constant everywhere in the fluid where . The equation of the conservation of the charge gives  = constant. This constant is zero since at the plate which is electrically non-conducting. Thus everywhere in the flow field. Since the induced magnetic field is neglected, the Maxwell’s equation becomes which gives and . This implies that  = constant and  = constant everywhere in the flow field.

Assuming and , Eq. (1) yields

(6)

(7)

where is the Hall parameter. For positive values of is along positive direction of y  -axis and the electrons of the conducting fluid gyrate in anti-clockwise. For negative values of is along negative direction of y-axis and the electrons gyrate in clockwise. In general, for an electrically conducting fluid, Hall currents affect the flow field in the presence of a strong magnetic field. The effect of Hall currents gives rise to a force in the z-direction.

Solving (6) and (7) for and , we get

(8)

(9)

On the use of (8) and (9) and infinity conditions, equations of motion along x and z-directions are

(10)

(11)

It is also assumed that the fluid is an optically thick (photon mean free path is very small) gray gas (which emits and absorbs but does not scatter thermal radiation). In an optically thick medium, the radiation penetration length is small compared to the characteristic length. The photon mean path is the average distance travelled by a moving photon between successive collisions which modify its direction or energy or other particle properties. According to the Rosseland diffusion approximation [38] for radiation in an optically thick fluid the radiative heat flux is given by

(12)

where is the Stefan–Boltzmann constant and the Rosseland mean absorption coefficient.

On the use of Eq. (12), Eq. (4) becomes

(13)

The last term in (12) is radiative heat flux which is expressed by using Rosseland diffusion approximation. Diffusion approximation can be used with certain limitations on the medium under consideration. It is valid in the interior of a medium but not employed near the boundaries and is good only for intensive absorption, that is, for an optically thick boundary-layer. It cannot provide a complete description of the physical situation near the boundaries since it does not include any term for radiation from the boundary surface. However, the boundary surface effects are negligible in the interior of an optically thick region since radiation from the boundaries is attenuated before reaching the interior.

The following time-dependent similarity variables are introduced [39]

(14)

where is the independent similarity variable, the non-dimensional stream function and the non-dimensional fluid temperature.

On the use of (14) in Eqs. (10), (11) and (13), we obtain the following non-dimensional governing equations:

(15)

(16)

(17)

where is the magnetic parameter, the Grashof number, the radiation parameter, the suction/injection parameter, the temperature difference parameter and the Prandtl number which measures the ratio of momentum diffusivity to the thermal diffusivity. The prime denotes the differentiation with respect to .

The corresponding boundary conditions are

(18)

In the absence of magnetic field () as well as Hall currents (), the present problem reduces to the problem considered by Abdul Hakeem and Sathiyanathan [14]. It is observed that the trends of the velocity profiles are similar in the absence of magnetic field () as well as Hall currents ().

3. Numerical solution

The non-dimensional governing Eqs. (15), (16) and (17) with the boundary conditions (18) are solved numerically using fourth- order Runge–Kutta–Fehlberg method with shooting technique [40]. The resulting higher order ordinary differential equations are reduced to first order differential equations by introducing new variables:

(19)

Thus, the corresponding higher order non-linear differential equations become

(20)

with the boundary conditions

(21)

where and c   are unknown which are to be determined such that the boundary conditions , and are satisfied. The shooting method is used to guess , and c   by iterations until the boundary conditions are satisfied. The resulting differential equations can be integrated by Runge–Kutta–Fehlberg fourth order integration scheme. The accuracy of the assumed missing initial condition is checked by comparing the calculated value of the dependent variable at the terminal point with its given value there. If a difference exists, improved values of the missing initial conditions must be obtained and the process is repeated. The numerical computations are done by MATLAB sub-routine. The step-size is taken as . The above procedure is repeated until we get the converged results within a tolerance limit of .

4. Results and discussion

In order to gain a clear physical insight of the problem, we examine the effects of the pertinent parameters, namely magnetic parameter , Hall parameter m  , Grashof number , radiation parameter , Prandtl number and temperature difference parameter on the velocity, temperature, rate of heat transfer and shear stresses at the plate. Prandtl number () is chosen the values ranging from (metallic liquid or partially ionized fluid) which are the most encountered fluids used in plasma physics, engineering and industries. represents the case when there is no applied magnetic field. The case gives the result of the hydrodynamic fluid case and corresponds to an MHD fluid in the absence of Hall currents. The default values of the other parameters are mentioned in the description of the respective figures.

4.1. Effects of parameters on velocity components

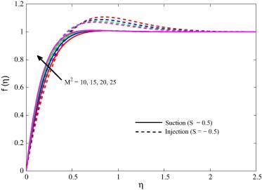
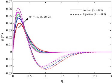
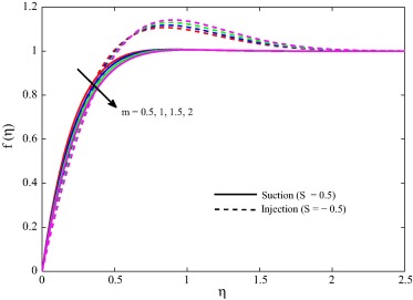
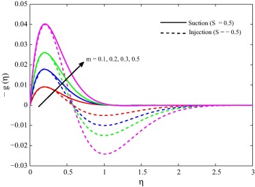
The primary velocity and the magnitude of the secondary velocity enhance near the plate with an increase in magnetic parameter for both cases of suction and injection as shown in Figure 2a and Figure 2b. An increase in the strength of magnetic parameter , the Lorentz force associated with the magnetic field makes the boundary layer thinner. The magnetic lines of forces move past the plate at the free stream velocity. The fluid which is decelerated by the viscous force, receives a push from the magnetic field which counteracts the viscous effects. Hence the velocity components increase as magnetic parameter increases. The secondary flow acceleration is beneficial in certain manipulation processes in MHD materials technology as it encourages a more homogenous constitution in materials. Therefore, in near-wall flows of MHD generators or indeed materials processing, the flow can very effectively controlled with a magnetic field. Fig. 3a reveals that the primary velocity retards for suction and it decreases near the plate and increases for injection when Hall parameter m enlarges. Fig. 3b shows that the magnitude of the secondary velocity enhances for suction and it increases near the plate and decreases away from the plate for injection with an increase in Hall parameter m. The momentum boundary layer thickness increases for increasing values of m. The Hall parameter m   has marked effects on the secondary velocity profiles. This is because the effective conductivity decreases as m increases. For small values of m  , the term decreases and thus the resistive magnetic force increases and the fluid velocity components are suppressed. This is a new phenomenon, which appears as a result of including the Hall currents. The case corresponds to the neglect of the Hall effects. Moreover, the primary and secondary profiles approach their classical hydrodynamic values when the Hall parameter tends to infinity. Since the magnetic force terms approach zero value for very large values of Hall parameter. This result is consistent with Gireesha et al. [25].


Primary velocity for different M2 when m=0.5, ϕ=0.1, Gr=5, Ra=0.5 and Pr=1.5.


Figure 2a.

Primary velocity for different when , , , and .


Secondary velocity for different M2 when m=0.5, ϕ=0.1, Gr=5, Ra=0.5 and Pr=1.5.


Figure 2b.

Secondary velocity for different when , , , and .


Primary velocity for different m when M2=10, ϕ=0.1, Gr=5, Ra=0.5 and Pr=1.5.


Figure 3a.

Primary velocity for different m   when , , , and .


Secondary velocity for different m when M2=10, ϕ=0.1, Gr=5, Ra=0.5 and Pr=1.5.


Figure 3b.

Secondary velocity for different m   when , , , and .


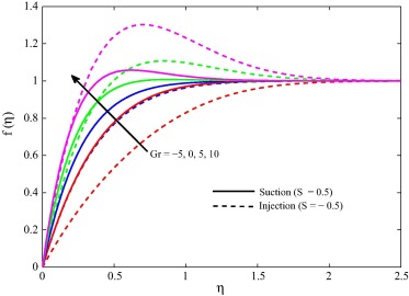
Primary velocity for different Gr when m=0.5, ϕ=0.1, M2=10, Ra=0.5 and Pr=1.5.


Figure 4a.

Primary velocity for different when , , , and .


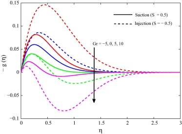
Secondary velocity for different Gr when m=0.5, ϕ=0.1, M2=10, Ra=0.5 and Pr=1.5.


Figure 4b.

Secondary velocity for different when , , , and .

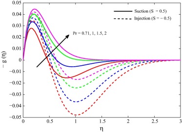
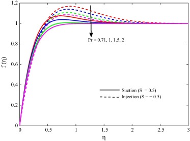
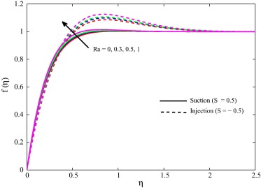
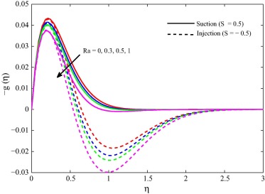
The influence of thermal Grashof number on the fluid velocity components is elucidated from Figure 5a and Figure 5b. It can be observed that the primary velocity and the magnitude of the secondary velocity decrease for the increasing values of for both cases of and . Physically, because the thermal Grashof number is the ratio of buoyancy to viscous forces in the boundary layer, the increase in its value suggests an increase in the buoyancy forces relative to the viscous forces and this is clearly reflected in the progressive increase in the velocity of the flow. The thermal Grashof number represents the effect of free convection currents. Physically, means heating of the fluid of cooling of the boundary surface, means cooling of the fluid of heating of the boundary surface and corresponds the absence of free convection current. The effects of radiation parameter R on the velocity components are presented in Figure 5a and Figure 5b. As the value of R   increases, the primary velocity increases and the magnitude of the secondary velocity decreases for both cases of and . Figure 6a and Figure 6b present the variations of Prandtl number on velocity components. It is seen that the primary velocity retards and the magnitude of the secondary velocity accelerates when evolves for both cases of and . The boundary layer thickness decrease as Prandtl number increases. Since Prandtl number represents ratio between kinematic viscosity and thermal diffusivity of the flow, an increase in the value of gives higher resistance to the flow as visualized in Fig. 6a. Figure 7a and Figure 7b illustrate the effects of temperature difference parameter on velocity components. It is seen that the primary velocity enhances whereas the magnitude of the secondary velocity retards as increase for both cases of and . From Figure 2a, Figure 2b, Figure 3a, Figure 3b, Figure 4a, Figure 4b, Figure 5a, Figure 5b, Figure 6a, Figure 6b, Figure 7a and Figure 7b, it is revealed that injection causes increase in the primary as well as secondary velocity profiles. This is due to the fact that, while stronger injection is provided, the heated fluid is pushed farther away from the plate, the flow is accelerated. Suction tends to make the boundary layer thin causing increase in the velocity gradient which in turn increases the velocity of the flow. It is also noted that there occurs the backflow on the secondary velocity in the vicinity of the plate for suction/injection.


Primary velocity for different Ra when m=0.5, ϕ=0.1, Gr=5, M2=10 and Pr=1.5.


Figure 5a.

Primary velocity for different when , , , and .


Secondary velocity for different Ra when m=0.5, ϕ=0.1, Gr=5, M2=10 and Pr=1.5.


Figure 5b.

Secondary velocity for different when , , , and .


Primary velocity for different Pr when m=0.5, ϕ=0.1, Gr=5, Ra=0.5 and M2=10.


Figure 6a.

Primary velocity for different when , , , and .


Secondary velocity for different Pr when m=0.5, ϕ=0.1, Gr=5, Ra=0.5 and M2=10.


Figure 6b.

Secondary velocity for different when , , , and .


Primary velocity for different ϕ when m=0.5, M2=10, Gr=5, Ra=0.5 and Pr=1.5.


Figure 7a.

Primary velocity for different when , , , and .


Secondary velocity for different ϕ when m=0.5, M2=10, Gr=5, Ra=0.5 and Pr=1.5.


Figure 7b.

Secondary velocity for different when , , , and .

4.2. Effects of parameters on temperature profiles

It is observed from Fig. 8 that the fluid temperature increases with an increase in radiation parameter . Since divergence of the radiative heat flux increases, decreases which in turn causes to increase the rate of radiative heat transfer to the fluid and hence the fluid temperature increases. The radiation parameter is responsible for thickening the thermal boundary layer. This enables the fluid to release the heat energy from the flow region and causes the system to cool. Thus thermal radiation should be at its minimum in order to facilitate the cooling process. In view of this explanation, the effect of thermal radiation becomes more significant as and can be neglected when . These figures illustrate that this is in agreement with the physical behavior. Fig. 9 illustrates the variations of fluid temperature with respect to Prandtl number . This figure depicts that the fluid temperature decreases when the values of Prandtl number increase for suction/injection. This is due to the fact that a higher Prandtl number fluid has relatively low thermal conductivity, which reduces conduction and there by the thermal boundary layer thickness, as a result the fluid temperature decreases. Increasing is to increase the heat transfer rate at the plate because the temperature gradient at the plate increases. Fig. 10 displays the effects of temperature difference parameter on the fluid temperature . The temperature enhances as enlarges for both cases of and . It is also observed that the thermal boundary layer is increased when increases. This agrees with the physical behavior that when increases the thermal state enhances and consequently the thermal boundary layer thickness increases. Thus, temperature difference parameter is responsible for the upraise in the temperature of the fluid. When injection takes place, the fluid temperature is higher compared with the suction as shown in Figure 8, Figure 9 and Figure 10. These figures show that the suction (or injection) has a profound effect on the thermal boundary layer thickness in which the suction reduces the thermal boundary layer thickness whereas injection thickens it. So, we can conclude that the suction can be effectively used for the fast cooling of the plate.


Temperature profiles for different Ra when ϕ=0.1 and Pr=1.5.


Figure 8.

Temperature profiles for different when and .


Temperature profiles for different Pr when ϕ=0.1 and Ra=0.5.


Figure 9.

Temperature profiles for different when and .


Temperature profiles for different ϕ when Ra=0.5 and Pr=1.5.


Figure 10.

Temperature profiles for different when and .

4.3. Effects of parameters on shear stresses and rate of heat transfer

For engineering and practical purposes, one is usually more interested in the values of the skin friction or heat transfer than in the shape of the velocity or temperature profiles, so, our interest lies in the investigation of the important physical quantities of the flow behavior and heat transfer characteristics by analyzing the non-dimensional shear stresses and the rate of heat transfer at the plate. Numerical values of the rate of heat transfer and the shear stresses and at the plate due to the primary and secondary flows respectively are presented in Table 1 for several values of , , , , , and . The shear stress increases for increasing values of either or or or or while it reduces with an increase in m  . Increasing strength of the magnetic field accelerates the primary velocity in the presence of free stream velocity. Thus, the magnetic field acts as the accelerating force that causes the shear stress to enhance significantly. Positive value of means the fluid exerts a drag force on the plate along x  -direction, while a negative value of means the opposite. The shear stress enhances for increasing values of either or m   or while it reduces with an increase in either or or . This happens because the electrical conductivity of the fluid decreases with increasing m   which ultimately reduces the magnetic damping force and hence the shear stress is increased considerably. Negative value of signifies that the plate exerts a drag force on the fluid along z-direction. It is also seen from Table 1 that the rate of heat transfer reduces for increasing values of either or while it enhances with an increase in or . This means that, in order to facilitate the cooling process and are should be at its minimum. The thermal boundary layer thickness decreases with the suction parameter which causes an increase in the rate of heat transfer. The explanation for such behavior is that the fluid is brought closer to the surface and reduces the thermal boundary layer thickness. When fluid attains a higher Prandtl number, its thermal conductivity is lowered down and so its heat conduction capacity diminishes. Thereby the thermal boundary layer thickness gets reduced. As a consequence, the heat transfer rate at the plate is increased. On the other hand, means the heat flows from the ambient fluid to the plate. This is not surprising since the fluid is hotter than the plate.

Table 1.

The shear stresses and and the rate of heat transfer at the plate .

m
0.5 5 1.5 4.629913 0.519152 10 0.5 0.1 0.5
12 0.5 0.1 0.5 0.5 5 1.5 4.841829 0.587537
15 0.5 0.1 0.5 0.5 5 1.5 5.139197 0.680373
10 0.1 4.834473 0.121467
10 0.3 4.758508 0.344647
10 0.5 4.629913 0.519152
0.1 4.629913 0.519152 1.608529
0.3 4.692970 0.507348 1.344515
0.5 4.762096 0.492941 1.131686
−0.5 3.681728 0.507946 0.608789
0 4.144986 0.514456 1.029743
0.5 4.629913 0.519152 1.608529
0.1 4.552746 0.531201 2.251850
0.5 4.629913 0.519152 1.608529
1 4.708789 0.505211 1.214757
−5 2.654839 0.724096
0 3.642367 0.621620
5 4.629913 0.519152
0.71 1.608509
1 1.608511
1.5 1.608529

5. Conclusion

The present investigation is a worthwhile attempt to study the effects of Hall currents on an MHD free convective flow of a viscous incompressible electrically conducting optically thick radiating fluid past a vertical porous plate in the presence of an applied magnetic field and thermal radiation. Thermal radiation effects are noted on the basis of thick gas approximation or Rosseland diffusion approximation. The governing equations have been solved numerically using the fourth-order Runge–Kutta–Fehlberg method together with the shooting technique implemented on MatLab. Numerical results for the velocity, temperature, rate of heat transfer and shear stresses at the plate are presented graphically for pertinent parameters. Based on the obtained graphical and tabular results, the following conclusions can be made:

  • The velocity components accelerate with increase of the strength of magnetic field and buoyancy force.
  • In the presence of thermal radiation, the temperature of the fluid increases whereas the temperature of the fluid decreases when Prandtl number enlarges.
  • Hall currents moderate the flow field significantly.
  • The fluid temperature enhances for increasing values of temperature difference parameter.
  • The shear stresses at the plate enhance as magnetic field intensity enhances.
  • The rate of heat transfer reduces for increasing values of radiation parameter.

Acknowledgment

Authors convey their sincere thanks to the honorable editor and referees for their valuable comments and suggestions which led to definite improvement of the paper.

References

  1. [1] M.R. Hajmohammadi, S. Poozesh, R. Hosseini; Radiation effect on constructal design analysis of a T-Y-shaped assembly of fins; J. Thermal Sci. Tech., 7 (4) (2012), pp. 677–692
  2. [2] T.G. Motsumi, O.D. Makinde; Effects of thermal radiation and viscous dissipation on boundary layer flow of nanofluids over a permeable moving flat plate; Phys. Scr., 86 (2012), p. 045003 (8 pages)
  3. [3] S. Ostrach, An analysis of laminar free-convection flow and heat transfer about a flat plate parallel to the direction of the generating body force, NACA Rep 1111, 1953, pp. 63–79.
  4. [4] R. Siegel; Transient free convection from a vertical flat plate; Trans. Am. Soc. Mech. Eng., 80 (1958), pp. 347–359
  5. [5] W.G. England, A.F. Emery; Thermal radiation effects on the laminar free convection boundary layer of an absorbing gas; J. Heat Transfer, 91 (1969), pp. 37–44
  6. [6] V.M. Soundalgekar, H.S. Takhar; Radiation effects on free convection flow past a semiinfinite vertical plate; Model..Meas Control, B51 (1993), pp. 31–40
  7. [7] M.A. Hossain, H.S. Takhar; Radiation effect on mixed convection along a vertical plate with uniform surface temperature; J Heat Mass Transfer, 31 (1996), pp. 243–248
  8. [8] I. Pop, T. Watanabe; Hall effect on magnetohydrodynamic free convection about a semi-infinite vertical flat plate; Int. J. Eng. Sci., 32 (1994), pp. 1903–1911
  9. [9] M. Kinyanjui, J.K. Kwanza, S.M. Uppal; Magnetohydrodynamic free convection heat and mass transfer of a heat generating fluid past an impulsively started infinite vertical porous plate with Hall current and radiation absorption; Energy Convers. Manage., 42 (8) (2001), pp. 917–931
  10. [10] E.M. Aboeldahab, E.M.E. Elbarbary; Hall current effect on magnetohydrodynamic free-convection flow past a semi-infinite vertical plate with mass transfer; Int. J. Eng. Sci., 39 (14) (2001), pp. 1641–1652
  11. [11] H.S. Takhar, S. Roy, G. Nath; Unsteady free convection flow over an infinite vertical porous plate due to the combined effects of thermal and mass diffusion, magnetic field and Hall currents; Heat Mass Transfer, 39 (2003), pp. 825–834
  12. [12] E.M. Aboeldahab, M.A. El Aziz; Viscous dissipation and Joule heating effects on MHD free convection from a vertical plate with power-law variation in surface temperature in the presence of Hall and ion-slip currents; Appl. Math. Model., 29 (6) (2005), pp. 579–595
  13. [13] R.C. Chaudhary, P. Jain; Hall effect on MHD mixed convection flow of a viscous elastic fluid past an infinite vertical porous plate with mass transfer and radiation; UUR J. Phys., 52 (10) (2007), pp. 110–127
  14. [14] A.K.A. Hakeem, K. Sathiyanathan; An analytic solution of an oscillatory flow through a porous medium with radiation effect; Nonlin. Anal.: Hybrid Syst., 3 (2009), pp. 288–295
  15. [15] S. Shateyi, S.S. Mosta, P. Sibanda; The effects of thermal radiation, Hall currents, Soret and Dufour on MHD flow by mixed convection over a vertical surface in porous media; Math. Prob. Eng., 2010 (2010), Article 627475 (20 pages)
  16. [16] L.K. Saha, S. Siddiqa, M.A. Hossain; Effect of Hall current on MHD natural convection flow from vertical permeable flat plate with uniform surface heat flux; Appl. Math. Mech. Eng. Ed., 32 (9) (2011), pp. 1127–1146
  17. [17] F.M. Ali, R. Nazar, N.M. Arifin, I. Pop; Effect of Hall current on MHD mixed convection boundary layer flow over a stretched vertical flat plate; Meccanica, 46 (2011), pp. 1103–1112
  18. [18] N.C. Jain, H. Singh; Hall and thermal radiation effects on an unsteady rotating free convection slip flow along a porous vertical moving plate; Int. J. Appl. Mech. Eng., 17 (1) (2012), pp. 53–70
  19. [19] D. Chaudhary, H. Singh, N.C. Jain; Effects of Hall current and thermal radiation on an unsteady free convection slip flow along a vertical plate embedded in a porous medium with constant heat and mass flux; Appl. Math. Phys., 1 (2) (2013), pp. 11–26
  20. [20] G.S. Seth, G.K. Mahato, S. Sarkar; Effects of Hall current and rotation on MHD natural convection flow past an impulsively moving vertical plate with ramped temperature in the presence of thermal diffusion with heat absorption; Int. J. Energy Tech., 5 (16) (2013), pp. 1–12
  21. [21] S. Das, B.C. Sarkar, R.N. Jana; Hall effects on MHD free convection boundary layer flow past a vertical flat plate; Meccanica, 48 (6) (2013), pp. 1387–1398
  22. [22] B.C. Sarkar, S. Das, R.N. Jana; Hall effects on unsteady MHD free convective flow past an accelerated moving vertical plate with viscous and Joule dissipations; Int. J. Comp. Appl., 70 (24) (2013), pp. 19–28
  23. [23] S. Das, S.K. Guchhait, R.N. Jana; Effects of Hall currents and radiation on unsteady MHD flow past a heated moving vertical plate; J. Appl. Fluid Mech., 7 (4) (2014), pp. 683–692
  24. [24] G.S. Seth, S. Sarkar, S.M. Hussain; Effects of Hall current, radiation and rotation on natural convection heat and mass transfer flow past a moving vertical plate; Ain Shams Eng. J., 5 (2014), pp. 489–503
  25. [25] B.J. Gireesha, B. Mahanthesh, R.S.R. Gorla, P.T. Manjunatha; Thermal radiation and Hall effects on boundary layer flow past a non-isothermal stretching surface embedded in porous medium with non-uniform heat source/sink and fluid-particle suspension; Heat Mass Transfer, 52 (4) (2016), pp. 897–911
  26. [26] S. Siddiqa, M.A. Hossain, R.S.R. Gorla, Conjugate natural convection flow over a vertical surface with radiation, Heat Mass Transfer, doi:http://dx.doi.org/10.1007/s00231-015-1631-2.
  27. [27] H.R. Kataria, A.S. Mittal; Mathematical model for velocity and temperature of gravity-driven convective optically thick nanofluid flow past an oscillating vertical plate in presence of magnetic field and radiation; J. Nig. Math. Soc., 34 (2015), pp. 303–317
  28. [28] J.A. Shereliff; A Text Book of Magnetohydrodynamic; (first ed.)Pergamon Press, London (1965)
  29. [29] T.G. Cowling; Magnetohydrodynamics; Interscience Publisher, Inc., New York (1957)
  30. [30] T.H. Ko, K. Ting; Optimal Reynolds number for the fully developed laminar forced convection in a helical coiled tube; Energy, 31 (2006), pp. 2142–2152
  31. [31] M.R. Hajmohammadi, G. Lorenzini, O.J. Shariatzadeh, C. Biserni; Evolution in the design of V-shaped highly conductive pathways embedded in a heat-generating piece; J. Heat Transfer, 137 (6) (2015), p. 061001
  32. [32] G. Xie, Y. Song, M. Asadi, G. Lorenzini; Optimization of Pin-Fins for a heat exchanger by entropy generation minimization and constructal law; J. Heat Transfer, 137 (6) (2015), p. 061901 (9 pages)
  33. [33] M.R. Hajmohammadi, M. Moulod, O.J. Shariatzadeh; Effect of a thick plate on the excess temperature of iso-heat flux heat sources cooled by laminar forced convection flow; Conjugate analysis; Numer. Heat Transfer, Part A, 66 (2014), pp. 205–216
  34. [34] M.R. Hajmohammadi, S. Poozesh, S.S. Nourazar, A.H. Manesh; Optimal architecture of heat generating pieces in a fin; J. Mech. Sci. Tech., 27 (2013), pp. 1143–1149
  35. [35] M.R. Hajmohammadi, A. Campo, S.S. Nourazar, A.M. Ostad; Improvement of forced convection cooling due to the attachment of heat sources to a conducting thick plate; J. Heat Transfer Trans. ASME, 135 (2013), p. 124504-1
  36. [36] M.R. Hajmohammadi, M. Moulod, O.J. Shariatzadeh, S.S. Nourazar; Essential reformulations for optimization of highly conductive inserts embedded into a rectangular chip exposed to a uniform heat flux; J. Mech. Eng. Sci., 228 (2014), pp. 2337–2346
  37. [37] H. Najafi, B. Najafi, P. Hoseinpoori; Energy and cost optimization of a plate and fin heat exchanger using genetic algorithm; Appl. Thermal Eng., 31 (2011), pp. 1839–1847
  38. [38] S. Rosseland; Theoretical Astrophysics; Oxford University, New York, USA (1936)
  39. [39] O.D. Makinde; Free convection flow with thermal radiation and mass transfer past a moving vertical porous plate; Int. Commun. Heat Mass Transfer, 32 (2005), pp. 1411–1419
  40. [40] T.Y. Na; Computational Method in Engineering Boundary Value Problems; Academic Press, New York (1974)
Back to Top

Document information

Published on 12/04/17

Licence: Other

Document Score

0

Views 23
Recommendations 0

Share this document

claim authorship

Are you one of the authors of this document?