Abstract

In three experiments we investigated the relation between observing responses and incidental language acquisition by children ages 3 to 5 with and without disabilities. In Experiment I, participants heard the name of an object while observing an accompanying action with the object. The participants consistently acquired the actions associated with the objects, but learned few names. Experiment II compare responses to stimuli presented with and without actions, with the results indicating that the presence of an action hindered rather than facilitated incidental acquisition of names. In Experiment III, we selected participants who acquired listener responses when actions were present, but did not readily acquire the speaker responses. Following a multiple exemplar intervention, participants acquired both speaker and listener responses along with the action responses for novel stimuli. The findings suggest that when children are provided with a specific instructional history, they can acquire multiple benefits from a single language exposure experience.

Resumen

En tres experimentos se investigó la relación entre respuestas de observación y la adquisición de lenguaje incidental por niños de 3 a 5 años con y sin discapacidad. En el Experimento I, los participantes escucharon el nombre de un objeto mientras observaban una acción que acompañó al objeto. Los participantes consistentemente adquirieron las acciones asociadas con los objetos, pero aprendieron pocos nombres. El Experimento II comparó las respuestas ante estímulos presentes con y sin acciones. Los resultados indicaron que la presencia de una acción dificultó en lugar de facilitar la adquisición incidental de los nombres. En el Experimento III, se seleccionaron participantes que adquirieron respuestas de oyente cuando las acciones estaban presentes, pero que no habían adquirido las respuestas de hablante. Después de una intervención múltiple ejemplificada, los participantes adquirieron tanto las respuestas de oyente como las de hablante conjuntamente con las respuestas de acción para estímulos novedosos. Los resultados sugieren que cuando se provee a los niños con una historia instruccional específica adquieren beneficios múltiples de una sola exposición de experiencia con el lenguaje.

Keywords

Observing Responses ; Stimulus Control ; Conditioned Reinforcement ; Sensory Dominance ; Language Acquisition

Palabras clave

Respuestas de Observación ; Control de Estímulos ; Reforzamiento Condicionado ; Dominancia Sensorial ; Lenguaje ; Adquisición

In our everyday experiences, each of our senses is simultaneously bombarded by a variety of stimuli. In order to function, humans have developed a capability to selectively attend to some aspects of the environment and filter out others. Although we are immersed in constant stimulation, we only contact a select few stimuli. Two individuals in the same setting can have entirely different experiences. Both are presented with the same information, but their attention is turned in different directions. This is the same phenomenon by which we “suddenly notice” something. Although it has been present in our environment, it does not catch our attention until it becomes relevant (Keohane, Luke, & Greer, 2008 ; Skinner, 1974 ).

As young children contact environmental experiences, they encounter objects and actions that they do not yet know the names of. At the same time, they are only selectively aware of limited environmental stimuli in the vast array of available stimuli. As language develops, these objects and actions become connected to the arbitrarily applicable words for things that have evolved in a given culture. Learning actions, and words for actions and things, develops as a function of which of the available environmental stimuli attract the child’s attention. While phylogeny contributes a great deal to the process (i.e., visual acuity, auditory acuity, and neurophysiology), environmental experiences play a key role, especially at the cultural level and in the development of language (Christiansen & Chater, 2008 ; Kenneally, 2007 ; Tomasello, 2008 ). Different disciplines approach the contributions of experience to this phenomenon from different perspectives. We believe that combining findings from different disciplinary approaches to development can lead to a more complete understanding of learning and development. To that end, when a child is drawn to a movement, the object moving, and the word for that object, the discipline of the behavioral analysis of language or verbal behavior uses the term stimulus control (Catania, 2003 ; Dinsmoor 1983 , 1985 , 1995 ; Skinner, 1957 ). Stimulus control develops from a history of positive and negative experiences and contributes to how we individually contact our world (Keohane, Luke, & Greer, 2008 ; Skinner, 1974 ).

In the behavior analytic literature on language development (Greer & Ross, 2008 ; Novak & Pelaez, 2004 ), the acts of noticing are referred to as observing responses. Observing responses incorporate the afferent sensory pathways with which we attend to the stimulus (Wykoff, 1952). Different stimuli will select out our observing responses depending, in part, on prior experiences. Our history of prior experiences contributes to what we observe (Keohane et al., 2008 ). When an individual encounters a multi-sensory event, some evidence suggests that we are either listening or looking; humans rarely devote equal attention to both experiences (Sinnett, Soto-Faraco, & Spence, 2008 ). Although we respond to stimuli with multiple senses, the dominance of vision over the other senses has been consistently replicated. In a frequently cited experiment, Colavita (1974) reported that participants consistently attended to a visual rather than an auditory stimulus when both were presented simultaneously, and this finding has been consistently replicated in the four decades since the initial publication (See Spence, 2009 for a summary). The implications of these findings are far reaching, especially for the development of language, which involves auditory stimuli as children acquire the capability to learn words for things incidentally. The incidental learning of language requires observing auditory and visual stimuli, or other sensory stimuli, simultaneously. Thus, how does the dominance of vision affect learning words for things?

The co-occurrence of multiple stimuli is referred to as multisensory perception, requiring “integration of the information” presented to the different senses and as multiple stimulus control in the analysis of the development of verbal behavior (Greer & Ross, 2008 ; Novak & Pelaez, 2004 ). Research suggests that multisensory interaction can either facilitate responses, or hinder responses or learning (Sinnett et al., 2008 ). Although it seems impossible that the presentation of multiple stimuli can be both beneficial and detrimental at the same time, Sinnett et al. suggested that the nature of the task is involved. The researchers found that when presented with auditory and visual stimuli simultaneously, the accuracy and rate of participant responses was affected by the complexity of the required response. In the more difficult stimulus discrimination task, visual stimuli were dominant over auditory. Task demands determine whether multisensory stimuli compete to hinder or are joined to facilitate responses. In the case of multisensory stimuli, there is clearly a predisposition to attend to the visual aspects of a stimulus, but that alone does not determine how the individual will respond to the stimulus.

Some researchers found a beneficial relationship between gesture and speech to facilitate comprehension. Kelly, Ozyurek, and Maris (2010) found that pairing gestures with speech influenced speech comprehension, such that when gestures and speech convey the same information, comprehension and response rates are improved. Others found that gestures hindered learning of novel words and impeded comprehension (Hirata & Kelly, 2010 ). In the case of the Kelly et al. study, gestures were part of the verbal or language function of a previously learned communicative repertoire, while in the Hirata and Kelly study learning was involved. Perhaps one difference in whether or not multisensory stimuli hinder or facilitate language effects on a listener concerns whether one is learning a language function or using previously learned language.

There are multiple variables affecting the relationship between gesture and language in learning components of language. Kelly and Lee (2012) compared the acquisition of simple and complex Japanese word pairs taught simultaneously with gestures for English speaking adults. Participants learned “easy” words when they were taught with gestures, while the presence of gesture inhibited the acquisition of the “hard” words. These findings mirror earlier research that found gestures facilitate vocabulary acquisition in a second language only when the phoneme constructions of the words are similar to the learner’s native language (Kelly, McDevitt, & Esch, 2009 ; Sueyoshi & Hardison, 2005 ). Kelly and Lee suggest that when gesture is paired with more difficult words, it is possible that the added visual information interfered with the comprehension of the newly learned words. The researchers pose an explanation that adding gestures to speech sounds creates a visual distraction that interferes with comprehension.

Distraction also describes an observing response that is under the control of a stimulus, and that stimulus control is at least partially a result of a cumulative history of consequences. From this perspective, distraction refers to an occasion in which multiple stimuli are present, but the individual’s observing responses are selected out by certain stimuli over others. Having redefined distraction, the experimenter can then present multiple stimuli to the participant, and systematically measure which of the stimuli select out his or her observing responses. When contradictory visual and auditory stimuli are presented simultaneously, Choi (2012) found that variations in responding were a function of observing responses determined by instructional history. The researcher simultaneously demonstrated an action (e.g., touching his nose) while giving a vocal direction (e.g., to jump), without specifying which of the two antecedent stimuli, visual or auditory, the participant should respond to. Prior to intervention, the participants overwhelmingly attended to the visual antecedent and imitated the experimenter’s actions without regard for the vocal direction. But following intensive auditory discrimination training, the vocal directions selected out participants’ observing responses and they responded to the directions without imitating the demonstrated actions. This finding underscores the role of experiences in establishing particular observing responses. Establishing a history of reinforcement experiences for auditory responses increases the likelihood that an individual will respond to an auditory stimulus. But it is interesting to note that the default observing response prior to intervention was visual, again supporting the Colavita effect.

In a study most relevant to the studies presented herein, Hahn (2005) found that when children between 18 and 40 months old were taught either arbitrary object names or object actions, they demonstrated more object actions when compared to object names. With respect to object names, the participants had more correct listener responses, when compared to speaker responses. In follow-up series of three experiments, Hahn and Gershkoff-Stowe (2010) found that when 2 and 3-year old participants were presented with object names and object actions, object names were first learned receptively, (i.e., responding as a listener) then productively (i.e., responding as a speaker). Actions on the other hand, were acquired predominantly as production responses, in which the participants imitated the actions they had observed the experimenter perform with the objects. Overall, the participants produced few object names, but were able to produce nearly all of the actions. The researchers conducted a subsequent experiment with four and 5 year-old participants, in which actions and object names were taught simultaneously, again finding that the actions were learned at a higher rate as compared to the names as production responses. The names were learned as listener responses (i.e., receptive), but not as speaker responses (i.e., productive responses), such that the participants could select the specified object when it was named, but did not produce the name of the object. Replication of this experiment with adults yielded comparable results. These results suggest that the processes involved in learning names and actions for objects do not drastically change with age and development, without direct intervention (Hahn & Gershkoff-Stowe, 2010 ).

Childers and Tomasello (2002) , compared the numbers of exposures needed by 2.5 year old children to learn nouns, verbs, and actions for novel objects. Listener responses requiring the selection of the named stimulus were consistent across nouns, verbs, and actions, but significant differences were found for speaker responses in which the participants were required to produce the names. Children consistently produced the actions. But the children had few correct responses for the production of the name of the object or name of the action. They examined the number of exposures to acquire the nouns, verbs, and actions, and found that the children learned the actions after fewer exposures, while learning the nouns and verbs required multiple exposures over multiple sessions. Childers and Tomasello also found that when adults and children were taught novel names and arbitrary actions for unfamiliar objects, all of the participants consistently acquired the actions before learning the object names. Clearly the observing responses are selected out by actions more so than object names. This is not to say that actions are acquired rather than names, these findings reflect more on the rate of acquisition of these responses, which has important implications for the incidental learning of language. Incidental learning is the capability that allows an individual to learn from his or her environmental experiences or simple exposure, rather than from direct instruction (Greer & Ross, 2008 ; Greer & Speckman, 2009 ; Hart & Risley, 1995 ; Horne & Lowe, 1996 ; Rodriguez & Tamis-LeMonda, 2011 ). When presented with multi-sensory stimuli, we appear to have a phylogenetic predisposition to readily acquire actions and slowly acquire language.

The central theme to all of this research is the role of incidental learning. When individuals encounter multisensory stimuli, the elements that are acquired are learned simply through contact. We are not directly taught the names and functions of most things in our environment (Hart & Risley, 1995 ; McGuiness, 2004 ), rather we observe and learn incidentally. Much of the previously described research focused on the human tendency to observe the environment through visual rather than auditory observing responses. But clearly this tendency does not prevent incidental language acquisition: it only affects the rate with which it is acquired.

The mechanisms by which children come to learn the names of things incidentally comprises another, and we think complementary, line of research in language, referred to as verbal behavior development, where the term verbal refers to communicative functions regardless of topography. Similar to the social pragmatic analysis (Tomasello, 2008 ; Tomasello & Farrar, 1986 ), this discipline analyzes the effects of experience on the development of language (Greer & Longano, 2010 ; Greer & Ross, 2008 ; Greer & Speckman, 2009 ). However, verbal behavior development supplements the social pragmatic account by experimental analyses of the learning experiences, specifically the history of experience that culminates in developmental capabilities. The analysis of the development of verbal behavior focuses on how children come to learn language through the incidental language learning capability or ILLC. Greer and Ross (2008) describe the ILLC as a learned capability by which an individual simply hears a word or phrase while observing an object in any of the senses and can then produce the word or phrase as a speaker or respond as a listener for the object at a later time without direct instruction. Research in verbal behavior development identified typically developing children, and children with autism or other language delays, who lacked ILLC and provided interventions that established ILLC (Greer, 2008 ; Greer & Keohane, 2005 ; Greer & Speckman, 2009 ). Before the children had ILLC they could not acquire language incidentally but once they did, they learned language through incidental exposure (Fiorile & Greer, 2007 ; Gilic, 2005 ; Greer, 2008 ; Greer & Keohane, 2005 ; Greer, Nirgudkar, & Park, 2003 ; Greer, Stolfi, Chavez-Brown, & Rivera-Valdes, 2005 ; Greer, Stolfi, & Pistoljevic, 2007 ; Helou-Care, 2008 ; Longano, 2008 ; Pistoljevic, 2008 ) similar to the exposures described in Childers and Tomasello (2002) . These findings supplement the social pragmatic research by suggesting how experiences come to establish language functions.

A great deal of evidence supports the importance of children’s capability to contact name-learning opportunities from simple exposure (Childers & Tomasello, 2002 ; Crystal, 2005 ; Hart & Risley, 1995 , 1999 ). Some evidence also suggests that this language learning capability is itself learned from experiences (Fiorile & Greer, Gilic & Greer, 2011; Greer & Longano, 2010 ; Greer & Speckman, 2009 ; Greer, Stolfi, & Pistoljevic, 2007 ). Yet, evidence also supports the superiority of visual stimulus control over the auditory stimuli (Colavita, 1974 ; Hahn, 2005 ; Hahan & Gereskhoff-Stowe, 2010 ; Spence, 2009 ). We address two questions in the following experiments. First, given the simultaneous presentation of actions and names, are visual stimuli dominant over auditory in tests of incidental language learning? Second, does experience make it possible for children to simultaneously learn both actions and names?

Method

Participants

Participants were recruited from a publicly funded private preschool, serving 200 students with and without disabilities from ages 16 months to 5 yrs old. They were recruited from classrooms that included both typically developing students and students with language delays. The participants were 16 preschool students ranging in age from 3.1 to 5.0 years old, with a mean age of 4.2. Thirteen of the participants were diagnosed as preschoolers with speech and language delays, and three were typically developing. These participants were selected based on their verbal behavior developmental cusps and capabilities that are empirically identifiable behaviors critical to development (Greer & Ross, 2008 ), with each participant having the prerequisite repertoires of generalized imitation, generalized visual identity matching, tacts (i.e., declaratives), and the listener component of naming. The listener component of naming means that they can learn the names of stimuli as a listener but not produce the names productively. The presence or absence of these repertoires was established through administration of the criterion referenced CABAS International Curriculum and Inventory of Repertoires for Children from Pre-School through Kindergarten (C-PIRK) ( Greer & McCorkle, 2009 ; Waddington & Reed, 2009 ) as well as the Verbal Behavior Developmental Assessment ( Greer & Ross, 2008 ).

Setting and Materials

All sessions were conducted in a classroom at a time when no other students were present to minimize distractions from competing stimuli. The sessions took place at a child-sized table with the participant seated in a child-sized chair. The experimenter was seated directly across from the participant so that the experimenter’s movements were easily viewed throughout the session.

The materials used for both the dependent and independent variables consisted of stimuli sets of three target stimuli, objects that were novel to the participants. They were three-dimensional objects, obscure tools, hardware items, household objects, and kitchen utensils, listed in Table 1 . Two identical exemplars of each target stimulus were included in the set. The objects were each assigned a contrived name and grouped into sets of three stimuli. Actions were assigned to the stimuli sets, and were rotated within the sets across participants. Actions were assigned to the stimuli sets, rather than the objects, such that the actions paired with stimuli were interchangeable within each set. In order to eliminate the possibility that the participant could infer the action based on the form of the objects, the actions were arbitrarily assigned and not dictated by object structure. The novel verbal labels and nonverbal actions are listed in Table 1 . Twelve of the novel labels and nonverbal actions are the same ones used by Hahn and Gershkoff-Stowe (2010) . To create additional stimuli sets, six novel names and actions were created in addition to those developed by Hahn and Gershkoff-Stowe. Stimuli that were known to any participant in either name or function were removed from the sets prior to the experiment.

Tabla 1. List of Stimuli Sets with Objects, Names, and Actions for All Experiments
Set # Names Objects Action
Bek Cookie cutter With one hand, swoop object through air in circles
1 Tata Dog toy With object on table, tap with one hand
Peeb Wood tone block Make object jump vertically
Mup Napkin ring Hold object in front of mouth and blow on it
2 Tam Strainer Place object on head
Pimmel Silicone poacher Bat object back and forth between two hands
Deet Drink clip Touch object to nose
3 Mig Wood spinner Walk object forward and back on table
Ibby Loofah Rotate object in air using two hands
Ziz Strainer Touch object to table
4 Lupa Note holder Hide object behind back
Dop Jar opener Rub on stomach
Tay Juicer Roll between hands
5 Niff Thimble Drive on table top in a figure 8
Gugi Brillo Slide on arm from hand to shoulder
Dow Reusable ice cubes Hold against ear
6 Oot Tube roller Balance on palm with arm extended
Booma Wheels Move horizontally in air back and forth

Note. Stimuli sets consist of contrived names, actual objects, and actions. Each object is assigned a specific name, while the actions associated with the objects are rotated and counterbalanced across participants.

Design

Each participant received two sessions of the ILLC opportunity experiences, which consisted of a visual match to sample instruction (MTS) while hearing the experimenter say the names for the stimulus with demonstration of actions. This was followed by measures of the dependent variable, consisting of correct responses to no-feedback probe trials for action selection, action demonstration, and listener and speaker responses to the stimuli.

The results were analyzed using a repeated measure ANOVA with two within subject factors: Condition (Action, Name) and Test (Receptive, Productive). The Action Condition was comprised of action demonstration and action selection, and the Name condition included listener and speaker responses to the stimuli. The Receptive Test consisted of correct responses to the selection trials for action selection and listener responses, while the Productive Test was measured as the number of correct response for action demonstration and speaker responses to the stimuli.

Procedure

Incidental language learning experience: Match to sample with action demonstration

During the ILLC experience, each participant received instructional trials for visual identity matching by selecting identical visual versions of each target stimulus while hearing the experimenter name the stimulus and simultaneously demonstrating its function. The instructional trials consisted of the experimenter obtaining the participant’s attention, demonstrating the action, giving the direction to match, and providing feedback for the participant’s response. Although the response topography consisted of visual identity matching, the critical component of the ILLC experience for the participant was visually attending to the stimulus while hearing the experimenter say its name. The visual match-to-sample instruction simultaneously with hearing the word spoken functioned as a context in which the participant received opportunities to observe both visual and auditory aspects of the stimulus. This constituted a name learning exposure or incidental language learning experience. Inclusion of the match to sample response topography ensured that the participant visually attended to the stimulus by requiring the selection response.

The experimenter placed one exemplar of each stimulus in the set on the table in front of the participant, and obtained the participant’s attention. The experimenter demonstrated an action with an identical visual version of one of the target stimuli, and presented the direction, “Find _______.” The direction was intentionally non-specific, such that the participant’s response did not require a demonstration of action but allowed he or she to pick up the stimulus and manipulate it. Correct responses were recorded if the participant pointed to or picked up the stimulus from the field of three stimuli. The experimenter provided reinforcement in the form of praise and tokens contingent on correct responses. In the case of an incorrect response, the experimenter delivered a correction procedure in which the action demonstration and direction were re-presented and the correct response was prompted but not reinforced. Data were collected for the numbers of correct and incorrect responses to instructional trials for the MTS instruction.

Criterion for mastery of the MTS instruction was two consecutive sessions with 100% accuracy, which we determined to be adequate exposures for ILL. One session of match instruction consisted of six instructional trials for matching each of the three stimuli, with a total of 18 instructional trials per session. The trials were rotated such that the same target stimulus was not presented for two consecutive probe trials. Sessions for this experiment were presented across consecutive days, with no more than one session of match to sample instruction presented per day.

Dependent variable

Following mastery of MTS in the ILL experience, the experimenter allowed a minimum of one hour and maximum of two hours to elapse and presented probe trials without feedback for measures of the dependent variable. For each measure, two probe trials were presented for each of the stimuli for a total of six probe trials per measure. The trials were rotated such that the same target stimulus was not presented for two consecutive probe trials.

Correct and incorrect responses to action demonstration, action selection, listener, and intraverbal speaker responses were recorded as measures of the dependent variable. The instructions and responses for each of the four measures of the dependent variable are summarized in Table 2 .

Tabla 2. List of Dependent Measures with Experimenter Presentation and Participant Response for All Experiments
Response Experimenter Presentation Target Participant Response
Action Selection Demonstrate action without stimulus and ask, “Which one does this?” Select stimulus associated with the demonstrated action
Action Demonstration Give participant the stimulus and ask, “Show me what this does.” Demonstrate action associated with stimulus
Joining Action to Object Name Ask, “Show me what a ___________ does.” Select named stimulus and demonstrate the action associated with the stimulus
Listener Ask, “Find _________.” Select named stimulus
Speaker: Tact Present stimulus without a verbal antecedent Name stimulus
Speaker: Intraverbal Present stimulus and ask, “What is this?” Name stimulus

Interobserver Agreement and Procedural Fidelity

Throughout the experiment, interobserver agreement (IOA) was collected using a second observer simultaneously recording data during the matching responses during the ILL experiences and probe trials. The second observer was previously trained and calibrated in observing both fidelity of the experimenter presentations and accuracy in recording participants’ responses. The percentage of IOA was calculated by dividing the number of agreements by the total number of agreements plus disagreements and multiplying by 100%. IOA was calculated for 38% of the match to sample instruction, with 100% agreement, and for 69% of the measures of the dependent variables, with 99% agreement.

Results and Discussion

A repeated measure ANOVA was used to analyze two within subject factors: Condition (Name, Action) and Test (Receptive, Productive). These results are summarized in Figure 1 . The results showed that the main effect of Condition (Name, Action) was significant, F (1, 15) = 24.61, p  < .001. Participants acquired all of the actions (M  = 6.00, SD  = 0.00), but fewer names (M  = 4.78, SE  = .25). The main effects of Test (Receptive or listener response, Productive or speaker response) F (1, 15) = 20.35, p  < .001 was also significant. The participants had more correct receptive responses (M  = 5.94, SE  = .04) in comparison to the productive responses (M  = 4.84, SE  = .24). The interaction between Condition and Test was significant F (1, 15) = 20.35, p  < .001. The participants acquired the names as a receptive response (M  = 5.88, SD  = .34) more readily in comparison to the names as a productive response (M  = 3.69, SD  = 1.92). No difference was found between the receptive and productive responses to the actions (M  =6.00, SD  = 0.00).


Responses to Condition (Action, Name) and Test (Receptive, Productive) for ...


Figure 1.

Responses to Condition (Action, Name) and Test (Receptive, Productive) for Experiment I

Across all of the participants, the actions associated with the objects were readily acquired, as both a selection and production response. Consistent with the findings of Hahn and Gershkoff-Stowe (2010) , the actions selected out the observing responses of these participants. In this case, the stimulus control was exerted by the action of the objects rather than the name. The stimuli consisted of the physical object, its actions, and its name. All of these aspects were available, but particular aspects of the stimulus selected out the observing responses of the individual participants.

All of the participants selected and produced actions with 100% accuracy, indicating that actions select out attention. At the same time, the participants consistently acquired the names for the stimuli as a listener with 98% accuracy. Given the name of an object, the participants were able to select the corresponding object from a field. But, this did not extend to the speaker response, and when asked to independently produce the name of an object, participants responded with 61% accuracy. In fact, it is clear that a sharp distinction existed between the listener and speaker responses to the stimuli. The concurrent lack of speaker responses indicates that the speaker and listener repertoires were not joined. The developmental independence of the listener/receptive and speaker/productive responses is consistent also with a large body of research in the behavioral analysis of development (Greer & Ross, 2008 ; Greer & Speckman, 2009 ; Rosales-Ruiz & Baer, 1997 ).

Also, according to current theory and findings in behavior analysis (Greer & Ross, 2008 ; Hayes, Barnes-Holmes, & Roche, 2001 ; Rehfeldt, Barnes-Holmes, & Hayes, 2009 ) when these initially developmentally independent repertoires join as a result of certain experiences, or direct instruction, one becomes capable of incidental language learning of listener and speaker responses simultaneously. Simply hearing a word, on one or more occasions, as the child attends to the stimuli along with the caregiver, provides the incidental language learning experience(s), resulting in both listener and speaker responses. This is the ILLC/Naming verbal behavior developmental capability that is one of, or the source of, the acceleration of language development in children.

When viewed in reference to the ILLC capability, our findings together with those of Hahn (2005) , Hahn and Gershkoff-Stowe (2010) , and Childers and Tomasello (2002) , raises questions about the relationship between observing responses and the corresponding stimulus control of objects, names, and actions in language acquisition. If these participants were provided with ILLC experiences for the same sets of stimuli, without the presence of actions, would the responses differ significantly when compared to those presented with actions? Will the participants readily acquire the names of objects as a speaker without the presence of actions in the ILLC experience?

One of the primary benefits of single-case design used in behavior analysis is that the results provide an opportunity to view individual differences and variations that are not apparent in a group design. Since the question of interest focuses on the responses of the same individual to differing stimulus conditions, a single subject design with alternating conditions within each participant was used for the Experiment II.

Experiment II

Method

Participants

The participants in this study were seven preschool students ranging in age from 3.10 to 5.5 years old. Three of the participants were diagnosed as preschoolers with speech and language delays, and four were typically developing. The participants were selected from the same setting as Experiment I, and participants were selected based on the same criteria. A description of the participants is presented in Table 3.

Tabla 3. Participant Characteristics for Experiments II and III
Participant Gender/ Age Verbal Capabilities Diagnosis
1a Female/ 5.0 Listener ILLC Conversational exchanges Typically Developing
1b Female/ 3.9 Listener ILLC Conversational exchanges Typically Developing
2a Female/ 5.0 Listener and Speaker ILLC Conversational exchanges Speech and Language Delay
2b Male/5.5 Listener and Speaker ILLC Conversational exchanges Speech and Language Delay
3a Female/ 5.0 Listener and Speaker ILLC Conversational exchanges Typically Developing
3b Female/ 4.3 Listener and Speaker ILLC Conversational exchanges Typically Developing
4b Female/ 3.10 Listener and Speaker ILLC Conversational exchanges Speech and Language Delay
5 Female/ 4.0 Listener and Speaker ILLC Conversational exchanges Typically Developing
6 Male/ 3.1 Listener and Speaker ILLC Speech and Language Delay
7 Male/ 4.1 Listener ILLC Speech and Language Delay
8 Male/ 4.5 Listener and Speaker ILLC Typically Developing

Note. The above listed verbal capabilities are in addition to the prerequisite capabilities of generalized imitation, listener, and speaker repertoires required for participant selection criteria.

Design

For each participant, experimental action conditions and no-action control conditions were alternated for a total of six phases. Participant responses under the two conditions were compared using single case experimental design with alternating treatments counterbalanced across matched pairs. Each participant completed six phases, with the phases alternated in a counterbalanced fashion across participants (e.g., ABABAB or BABABA).

Participants were paired based on capabilities and levels of verbal behavior, and the conditions were counterbalanced such that one participant in the pair received the no action condition for a set and the paired participant received the action condition for the same set. The sequencing of the stimuli sets was counterbalanced across pairs. It should be noted that Participant 4a was unable to complete the experiment, and is not included in the results.

Procedure

Action condition: ILLC experience with match to sample and demonstration of function

The ILLC experience for the action condition was identical to Experiment I.

Action condition: Dependent variables

Following mastery of match to sample instruction in the ILLC experience, probe trials were conducted for the dependent measures of demonstration of actions; listener responses; and intraverbal speaker responses (“What is this?”).

Procedures were identical to those in Experiment I. The action selection response was omitted, due to the redundancy of the responses for action selection and action demonstration in Experiment I. Additional dependent measures were conducted for actions emitted during the ILLC experience, joining an action to the object name, and tact speaker responses. The tact speaker response differs from the intraverbal speaker response in that there is no verbal direction or question from the experimenter. For the intraverbal speaker response, the experimenter asks, “What’s this?” but for the tact speaker response the experimenter simply visually displays the item in order to elicit “spontaneous” speech.

The sequence in which the dependent variables were measured was: 1) actions imitated during the ILLC experience; 2) action demonstration; 3) listener; 4) tact speaker; 5) intraverbal speaker; and 6) joining an action to the object name. The antecedents and responses for each of the six measures are summarized in Table 2 . The additional measure of action demonstration imitation during the ILLC experience is described as follows.

Action demonstration imitation during the ILLC experience

During match-to-sample instruction while hearing the word for the object alone or object/action, the experimenter recorded whether the participant imitated the actions demonstrated with the objects. The required response during match instruction was the selection of the identical visual version of the stimulus presented by the experimenter. Action demonstration was not a required response and therefore was not corrected or reinforced; however, experimenters recorded whether the participant imitated the action demonstration at any point during the instruction. The number of actions demonstrated was recorded as the number of occurrences out of the total number of action opportunities, which in this case was the total number of ILLC experience matching instructional trials presented.

No action condition: ILLC experience with match to sample

During the ILLC experience, each participant received instructional trials for match to sample responses while hearing the experimenter say the name of the stimulus without the action demonstration. Otherwise, for the no action condition, the responses were recorded and provided with feedback identical to those in the action condition described in Experiment I.

No action condition: Dependent variables

Following mastery of match to sample instruction in the ILLC experience, measures of the dependent variables 1) listener, 2) tact, and 3) intraverbal speaker responses were conducted using the same procedures as the action condition. Since there were no actions associated with the stimuli in this condition, the measures for action demonstration, joining an action to an object name, and occurrences of actions during the ILLC experience were not included. The antecedents and responses for each of the three measures are summarized in Table 2 .

Interobserver Agreement and Procedural Fidelity

The methods for collecting and calculating interobserver agreement (IOA) for the ILLC experience and measures of the dependent variables were identical to those used in Experiment I. IOA was calculated for 51% of the match to sample instruction, with 100% agreement, and for 60% of the measures of the dependent variables, with 100% agreement.

Results and Discussion

For the ILLC experience match instruction, all of the participants in the experimental condition met the criterion within two sessions. It was unlikely that the participants would have made errors, since the required response of matching was a prerequisite repertoire for all participants. All of the dependent variables responses summed across participants and conditions are presented in Figure 2 . It is clear that in the action condition, the participants accurately produced the actions during the probe trials, with 96% correct responses. In comparing the listener and speaker responses in both conditions, there were more correct listener responses than speaker responses, regardless of the condition. When analyzing responses across the two conditions, there were more correct responses for the listener and speaker responses (98% and 79%, respectively) in the no action condition compared to the action condition (90% and 62%, respectively). The findings are discussed in greater detail as follows.


All correct responses to probe trials, summarized across participants by ...


Figure 2.

All correct responses to probe trials, summarized across participants by conditionfor Experiment II.

In the probe trials for demonstration of actions, Participants 1a, 1b, 2a, 2b, 3a, and 4b responded with 100% accuracy for all object demonstration trials. Participant 3b responded with 72% accuracy. Overall, the participants responded with the correct action demonstration with 96% accuracy across all of the probe trials.

For the probe trials for joining object names to actions, Participants 3a and 4b responded with 100% accuracy across the three stimuli sets. Participants 1a, 1b, 2a, 2b, and 3b had similar response patterns, such that the initial probe trials for the first sets of stimuli had a lower number of correct responses followed increases in both or one of the second and third sets. The increases in correct responses indicate that the participants learned from the initial set what responses would be required for future stimuli sets. It is likely that the initial set resulted in a shift of stimulus control and subsequent observing responses, such that the participant attended to different aspects of the stimulus during the next instructional sessions based on prior experience. In this case, the probe trials may have evoked an observing response, resulting in the participants “noticing objects one may be asked about” (Skinner, 1957 , p. 415).

The probe trials for ILLC were conducted across both experimental and control stimuli sets, and included the listener and speaker responses to the stimuli and are summarized by action and no action conditions in Figures 3 and 4 . In general, the participants acquired the listener responses consistently across both the action and no action conditions. In this experiment, the listener responses were acquired with relative ease across both conditions. The listener responses are displayed in a pie chart in Figure 3 . An effect can be observed for Participants 1a, 1b, 2b, and 3b in which there was a greater number of correct listener responses for the no action condition. Both Participants 2a and 3a showed no difference in listener responses across the two conditions while Participant 4b had fewer correct listener responses in the no action condition.


Listener responses to probe trials summarized for all participants, with the ...


Figure 3.

Listener responses to probe trials summarized for all participants, with the responses summarized across conditions for Experiment II.


Speaker responses for all participants, summarized across conditions for ...


Figure 4.

Speaker responses for all participants, summarized across conditions for Experiment II.

Across all of the participants, the number of correct speaker responses for the stimuli were consistently the same as or less than the number of correct listener responses for both conditions. These data show that regardless of condition, the listener response was acquired at the same rate or more readily than the speaker responses. These results are consistent with findings from the ILLC research discussed previously, in which the listener responses are acquired prior to the speaker responses. In comparing the responses across the conditions, six of the seven participants had a greater number of correct responses to the speaker probe trials for the control, or no action, condition. These results are displayed in a pie chart in Figure 4 . The results for these participants are consistent with those of Childers and Tomasello (2002) , Hahn (2005) , Hahn and Gershkoff-Stowe (2010) , who also found that when actions, objects, and names were presented simultaneously, the participants effortlessly produced the actions, and that the listener responses were acquired more often than the speaker responses.

During the match instruction, all of the participants imitated the actions with the stimuli as demonstrated by the experimenter. These responses were not required and were not provided feedback. Although variability was observed, all of the participants imitated the actions with the objects, although no directions were given to do so and the participants were not reinforced for emitting the response. In terms of stimulus control, it appears that actions demonstrated with objects select the attention of participants. These actions warranted an immediate visual observing response, while the auditory observing response for the names of the objects did not. This is not to say that the participants cannot learn the names of the objects, on the contrary, the participants were able to select named objects as a listener. But a dramatic difference was observed when participants were required to produce those names as a speaker. Based on phylogenic or ontogenetic factors, these participants selectively acquired the see-do response of action demonstration.

One of the primary benefits of single-case design is that the results provide an opportunity to view individual differences and variations that are not apparent in a group design. Based on the results of Experiment II, it is clear that the participants’ observing responses were selected out by particular stimuli. Although there was an overall tendency to attend to the actions of the object, there were participant variations in stimulus control that can be attributed to, at least in part, the collective experiential history of reinforcement for that individual. In order to better address variations in participant observing responses, in the third experiment, participants were selected based on their responses to multiple stimuli for one object. Specifically, participants were selected who imitated actions and responded as a listener to the stimuli, but emitted fewer speaker responses. By selecting participants whose observing responses were selected out by actions rather than names, the third experiment sought to create a test of whether a common history of reinforcement could establish multiple stimulus control for observing both actions and names. The purpose of Experiment III was to determine if a history of reinforcement experiences could extend the scope of observing responses to include both actions and names simultaneously, such that the participant consistently acquired multiple responses following contact with the multiple stimuli.

Experiment III

Method

Participants

The participants in this study were four preschool students ranging in age from 3.1 to 4.5 years old. Two of the participants were diagnosed with language delays, and two were typically developing. The participants were selected from the same setting as Experiments I and II, and participants were selected based on the same criteria. A description of Participants 5, 6, 7, and 8 is presented in Table 3 .

Setting and Materials

The setting was identical to those in Experiments I and II. The materials from Experiments I and II were used for both the dependent and independent variables.

Design

The experimental design was a non-concurrent multiple probe design across participants to isolate the role of experience on the establishment of the capability to action and language under incidental learning conditions. The dependent measures were participants’ responses to no-feedback probe trials for: (a) selection of objects associated with actions, (b) action demonstration, (c) ILLC responses, and (d) joining of an action to the object name for novel stimuli. The independent variable was Multiple Exemplar Instruction (MEI) across actions, name learning, and the joining of name learning with different sets of stimuli. Different stimuli sets were used for each phase, such that four to six sets were used for each participant. The sequencing of the stimuli sets was counterbalanced across participants.

The sequence of the experiment began with the ILLC experience (visual match-to-sample instruction with the opportunity to hear the name of the stimulus and action), followed by probe trials for the dependent variables conducted for one set of stimuli at the outset of the experiment. This was repeated with a second set of stimuli immediately prior to the implementation of the independent variable of MEI for each participant respectively. MEI was conducted with a new set of stimuli, until criterion was met for all responses. After mastery of MEI, the ILLC experience with match to sample instruction was repeated with a new set of stimuli, followed by probe trials for the dependent variables. The alternation between MEI and measures of the dependent variables were rotated until criterion of 100% accuracy was achieved for all of the dependent variables. The sequencing of the experiment is summarized in Figure 5 .


The experimental sequence for measures of the dependent variables and Multiple ...


Figure 5.

The experimental sequence for measures of the dependent variables and Multiple Exemplar Instruction (MEI) for Experiment III.

Procedure

ILLC experience: Match to sample with demonstration of function

The procedures for the match to sample instruction were identical to those in Experiment I and the action condition of Experiment II.

Dependent variables

Following mastery of match to sample instruction in the ILLC experience, procedures for the measures of the dependent variables were identical to those used in Experiment I. Unlike Experiment II, imitation was not recorded during the match to sample instruction because the data did not show a clear relation to the condition or the other responses. The dependent measures were 1) probe trials for action selection, 2) demonstration of actions, 3) listener responses, 4) tact speaker responses, 5) intraverbal speaker responses, and 6) joining an action to the object name. The probe trials were conducted using the same procedures as in Experiment I, and the action condition of Experiment II. The antecedents and responses for each of the six measures are summarized in Table 2 .

Pre-experimental screening

The probe trials described in the preceding dependent variables section also served a dual purpose as a pre-experimental screening for participants. Experiment III required that all participants had similar responses to the stimuli, when the stimuli were comprised of objects, actions, and names. Participants were selected who imitated actions, responded as a listener to the stimuli, but emitted few speaker responses. The responses indicated that the participants’ observing responses were selected out by actions more so than names. Participants whose responses to the probe trials differed from the selection criteria were not included in the experiment.

Initially, probe trials for the dependent measures were conducted for each of the participants at the outset of the experiment. Prior to implementing the MEI intervention, these measures were repeated using a new set of stimuli. Repetition of the dependent measures prior to the intervention was used to control for maturation or other variables that may have affected participant responding. If there was an increase in the number of correct responses to the dependent measures in the second set, match instruction and probe trials for the dependent measures were conducted for additional sets of stimuli until stable responding or a descending trend was observed prior to implementing the intervention. Provided that the dependent measures were consistent across the first and second stimuli sets, or there were fewer correct responses for the second set, the independent variable of MEI was implemented. After completion of MEI, the post-experimental ILLC experience with match to sample instruction was presented followed by probe trials for the dependent variables.

Independent variable

Multiple exemplar instruction with demonstration of function

After obtaining the pre-experimental measures of the dependent variables, the experimenter implemented the independent variable of multiple exemplar instruction (MEI). Using a new set of stimuli, the experimenter presented instructional trials for four different responses to each stimulus: 1) imitating actions, 2) listener, 3) tact speaker, and 4) intraverbal speaker responses. All responses were immediately followed by experimenter delivered reinforcement for correct responses and corrections for incorrect responses. The antecedents and responses for each of the MEI instructional trials are summarized in Table 4 .

Table 4. List of Experimenter Antecedents and Participant Responses for Multiple Exemplar Instruction for Experiment III
Response Experimenter Presentation Target Participant Response
Action Imitation Demonstrates action with a stimulus, and asks, “Do this.” Imitates demonstrated action with identical visual version of the stimulus
Listener Asks, “Find ________.” Selects named object from field of 3 stimuli
Speaker: Intraverbal with Action Presents stimulus while demonstrating the action and asks, “What’s this?” Names stimulus
Speaker: Tact Presents stimulus without a verbal direction Names stimulus

The field of three stimuli remained on the table in front of the participant throughout all of the responses. The participant received reinforcement in the form of praise, social attention, or tokens for emitting correct responses to instructional trials. For incorrect responses, the experimenter modeled the correct response for the participant to imitate or echo, but did not reinforce the correction. Correct and incorrect responses were recorded for all of the response topographies for each stimulus.

The action imitation, listener, intraverbal speaker, and tact speaker instructional trials were rotated across all three of the stimuli, such that consecutive instructional trials did not consist of responses to the same stimulus. The instructional trials were rotated across the stimuli and response forms until all of the responses were mastered concurrently. A session consisted of 24 instructional trials, comprised of six instructional trials per response form for the action imitation, listener, intraverbal speaker, and tact speaker responses. Criterion was set at 100% accuracy for one session.

Post MEI measures of the dependent variables

Following mastery of the multiple exemplar instruction, the ILLC experience with match to sample instruction was followed by no-feedback probe trials for the dependent variables with a new set of stimuli . These were identical to those presented prior to the MEI intervention. Criterion for mastery of the dependent measures was set at 100% accuracy across the six response topographies. If the participant met criterion with the novel set following MEI, then it was determined that multiple stimulus control was acquired along with the necessary observing responses to learn multiple responses from a single experience. On the other hand, if criterion was not met for the post MEI measures of the dependent variables, the participant repeated MEI with a new set of stimuli, until criterion was achieved. Again, the post MEI measures of the dependent variables were repeated. If criterion was achieved, the participant was considered to have acquired multiple stimulus control as described above. Otherwise, this sequence in which MEI was rotated with measures of the dependent variables was repeated until criterion was met.

Interobserver Agreement and Procedural Fidelity

Interobserver agreement (IOA) was collected and calculated using the same methods as the previous experiments. IOA was calculated for 42% of the match to sample sessions, with 100% agreement; for 74% of the probe trials, with 99% agreement; and for 40% of the MEI instruction, with 99% agreement.

Results and Discussion

For the pre-experimental match to sample instruction, across all of the participants in the experimental condition, criterion was met within two sessions. In probe trials for both selection of objects associated with actions and for action demonstration, all of the participants responded with 100% accuracy. In the probe trials for joining an action to the object name, participants responded with 100% accuracy across both stimuli sets, with two exceptions. Participant 6 responded with 100% and 83% accuracy. Participant 8 responded with 100% and 67% accuracy.

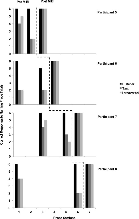
In the probe trials for ILLC, the probe trials for listener and speaker responses were repeated with two stimuli sets for each participant prior to the MEI intervention, and the results are summarized in Figure 6 . Participants 5, 7, and 8 responded with 100% accuracy to all probe trials for the listener responses for both sets of stimuli prior to the MEI intervention. Participant 6 responded with 100% accuracy for the first set and 83% accuracy for the second set. For the speaker response responses, Participant 5 responded with 67% and 33% accuracy. Participant 6 responded with 33% accuracy to both stimuli sets. Participant 7 responded with 67% and 50% accuracy. Participant 8 responded with 67% and 33% accuracy. For the intraverbal speaker responses, Participant 5 responded with 83% and 33% accuracy. Participant 6 responded with 33% accuracy to both stimuli sets. Participant 7 responded with 83% and 33% accuracy. Participant 8 responded with 67% and 33% accuracy. Each participant received multiple sessions of MEI until the criterion was met with 100% accuracy across all responses. The number of sessions required to meet criterion varied across participants, although all of the participants only required MEI for one set of stimuli. Participants 5 and 6 required six sessions, Participant 7 required five, and Participant 8 required three.


Listener and speaker responses prior to and following the MEI intervention for ...


Figure 6.

Listener and speaker responses prior to and following the MEI intervention for Experiment III.

Following the MEI intervention, match instruction was conducted with novel sets of stimuli and across all of the participants in the experimental condition, criterion was met within two sessions. After mastery of the match to sample instruction for a novel set of stimuli, probe trials were presented for the six dependent measures. All of the participants responded with 100% accuracy across all of the probe trials for the six dependent measures following MEI instruction, and the results are summarized in Figure 6 . Prior to the MEI intervention, the responses were not only below criterion level for mastery, but also indicated a descending trend in correct responses across stimuli sets. Since each participant met criterion with the novel set following MEI, it was determined that the participant had acquired multiple stimulus control and the necessary observing responses to learn multiple responses from a single experience.

For this experiment, participant selection required that each participant readily acquire actions and listener responses to the stimuli, but acquire fewer speaker responses. Prior to and following the MEI intervention, the participants selected objects associated with an action, demonstrated an action, joined an action to an object name, and acquired the listener responses. These responses are consistent with the results from the previous two experiments, which indicated that actions and listener responses are acquired with relative ease. Acquisition of the names as a listener did not extend to the accuracy of the speaker responses, which consistently had fewer correct responses prior to the MEI intervention. Based on the responses prior to MEI, it is clear that actions and names as a listener selected out the observing responses of the participants.

Each of the four participants received varied numbers of MEI sessions, dependent on the individual rate of acquisition. But following mastery of MEI, all of the participants responded to all of the probe trials for the dependent measures with 100% accuracy. Instructionally, MEI provided rotated opportunities for multiple responses to the same stimuli in the presence of reinforcement. Following this cumulative history of reinforcement for multiple responses to stimuli, the participants acquired multiple responses to probe trials for the novel set of stimuli. Most notably, the participants acquired speaker responses to the stimuli as a result of exposure to the ILLC experience. The increased speaker responses following MEI indicated that observing responses and stimulus control shifted as a result of the intervention.

As an instructional intervention, MEI pairs reinforcement with the rotated opportunities for multiple response topographies for a stimulus. When the procedure of MEI and the capability of ILLC are reduced to the underlying principles of behavior, it becomes apparent that reinforcement underlies both the intervention and the capability. It is a history of reinforcement that shapes observing responses and stimulus control, and MEI creates a history of reinforcement for multiple responses. In this case, MEI creates a history of reinforcement for actions, listener, and speaker responses, which results in a shift of stimulus control such that both names and actions select out the observing responses of the individual. In reference to the Colavita effect (Colavita, 1974 ; Spence, 2009 ), visual stimuli such as actions, select out observing responses over auditory stimuli, such as names. Multiple exemplar experiences or direct instruction establishes a history of reinforcement that overrides this general tendency, allowing the individual to simultaneously acquire names and actions of objects.

General Discussion

Taken as a whole, the results of the three experiments give a clearer picture of the relationship between actions and object names in language acquisition. It has been suggested that the presence of an action can hinder, or in some cases facilitate the acquisition of names. These experiments dissected the relations among object, name, and action, to reveal a complex interaction of conditioned reinforcement and observing responses unique to the individual. In relation to the “Colavita effect” (Spence, 2009 ), these experiments establish that actions, as a visual stimulus, consistently select out observing responses, while observing responses for the listener, less difficult, and the speaker, more difficult, components of names varies widely. Reduced to the basic principles, stimulus control for objects or actions is established through a cumulative history of reinforcement, determining which stimuli select out observing responses. Observing responses then determine which aspects of multi-sensory stimuli are available to the individual.

The focus of this series of experiments was the acquisition of multiple responses to a single stimulus through incidental contact. This ties closely to ILLC/Naming, which allows one to observe a stimulus, hear its name, and subsequently acquire the name-object relation as both a speaker and a listener. ILLC/Naming is thought to account for the rapid expansion of vocabulary in young children, and is critical to language development (Greer & Longano, 2010 ). In most typically developing children, the capability emerges effortlessly, but for some children an intensive intervention is required to induce the capability. Various interventions have been successful for inducing ILLC, but underlying all of these interventions is the pairing of reinforcement with the visual and auditory observing responses necessary to acquire language. Knowing how ILLC is induced experimentally also sheds some light on its development in children without intervention. An experientially learned reinforcer (i.e., conditioned reinforcer) must be present such that during the ILLC experience, the observing responses of the individual selects out visual and auditory stimuli, which in turn results in the acquisition of names for objects (Longano & Greer, in press).

When evaluating the source of reinforcement in ILLC, Longano and Greer (in press) tested the role of conditioned reinforcement for observing visual and auditory stimuli. For participants without ILLC, the researchers systematically paired reinforcement with observing responses for non-preferred visual and auditory stimuli on a computer screen. The stimuli were then combined, such that an animated visual stimulus was presented while the recorded auditory stimulus (object name) was spoken for four stimuli in a set. No prosthetic reinforcement (i.e., reinforcement not a natural outcome of the response) was provided while the participants observed the simultaneous stimulus presentation, and after multiple observations of the paired stimuli, the participants acquired the names of the stimuli. Additional probe trials with novel sets of stimuli confirmed that the participants acquired the capability of ILLC as a result of this procedure. The researchers suggest that the ILLC requires the joining of visual and auditory stimuli as conditioned reinforcers. In this case, establishing a history of conditioned reinforcement for observing multiple aspects of a stimulus was sufficient to induce the capability for incidental language acquisition. These findings closely parallel the findings from the present series of experiments. Establishing a history of reinforcement for observing visual and auditory stimuli resulted in acquisition of multiple responses from a single experience. These interventions allowed children to learn from incidental environmental exposures, which provides exponentially more learning opportunities.

The findings from these three basic science experiments have translational value by contributing to a better understanding of interactions between development and teaching. It becomes apparent that presenting multiple pieces of information does not necessarily benefit the learner. In fact, the different aspects are more likely to compete for attention than to facilitate multiple responses. The findings from the third experiment have the greatest development by teaching implications. By establishing which aspect of the stimulus that the student is attending to, the teachers or psychologists can then identify which aspect has acquired stimulus control, and more importantly, which one has not. The MEI procedure from Experiment III was successfully used to extend stimulus control such that the participants attended to multiple stimuli simultaneously and subsequently acquired multiple responses. Rather than replacing one observing response with another, the MEI intervention multiple simultaneous observing responses. Both visual and auditory stimuli selected out observing responses after the intervention.

Effective instruction requires attention to language development. Although a teacher may demonstrate a math problem or science experiment while describing the steps, the students may only attend to the visual presentation or auditory aspects. Greer, Corwin, and Buttigieg (2011) found that students without the capability for ILLC did not benefit from the common teaching practices. Successful learning in the typical classroom setting requires that students observe and learn from teacher demonstrations. These students lacked the capability for Naming, necessary for incidental language learning. By implementing an MEI intervention, the researcher found that pairing reinforcement with multiple responses to a stimulus induced Naming. This capability not only allowed for incidental language acquisition, but the ability to learn from teacher demonstration. Essentially, this developmental intervention provided students with the observing responses that are critical to learning in the classroom setting (Greer et al., 2011 ). This capability might ultimately be the deciding factor for success or failure in school.

There is an implicit assumption in most classrooms that when the teacher presents a lesson with demonstration, modeling, and description, that the students should learn through observation. The accumulation of recent research suggests otherwise; there are critical prerequisite repertoires required for learning from teacher presentations. Optimally, teachers should approach learners as individuals and evaluate what methods are successful. If students are attending selectively to portions of the instruction and are not learning, then interventions can be implemented for those students who cannot learn from traditional methods. Educational research has afforded us with tools that can help not only to prevent student failure, but also accelerate learning. Initial assessment and intervention are crucial to student success.

It is our history of reinforcement that determines which stimuli are salient and will select out our observing responses. Each individual has his or her own accumulation of experiences that shape observing responses. But the present research demonstrates that stimulus control and observing responses are not static, rather they can be shifted through an experimentally manipulated history of reinforcement. Despite predispositions, consistent pairing of reinforcement with observing responses allows a child to contact new stimuli, and acquire new responses. This implies that educational interventions should focus not on teaching repertoires, but instead on changing conditioned reinforcers for students which will in turn allow them to learn in new ways that were not possible before.

References

  1. Catania, 2003 A.C. Catania; Why behavior should matter to linguists; Behavioral and Brain Sciences, 26 (2003), pp. 670–672
  2. Childers and Tomasello, 2002 J.B. Childers, M. Tomasello; Two-year-olds learn novel nouns, verbs, and conventional actions from massed or distributed exposures; Developmental Psychology, 38 (2002), pp. 967–978
  3. Choi, 2012 J. Choi; Effects of mastery of auditory match-to-sample instruction on echoics, emergence of advanced listener literacy, and speaker as own listener cusps by elementary school students with ASD and ADHD, Unpublished Ph.D Dissertation, Columbia University (2012)
  4. Christiansen and Chater, 2008 M.H. Christiansen, N. Chater; Language as shaped by the brain; Behavioral and Brain Sciences, 31 (2008), pp. 489–558
  5. Colavita, 1974 F.B. Colavita; Human sensory dominance; Perception & Psychophysics, 16 (1974), pp. 409–412
  6. Crystal, 2005 D. Crystal; How language works, Overlook Press, New York, NY (2005)
  7. Dinsmoor, 1983 J.A. Dinsmoor; Observing and conditioned reinforcement; Behavioral and Brain Sciences, 6 (1983), pp. 693–728
  8. Dinsmoor, 1985 J.A. Dinsmoor; The role of observing and attention in establishing stimulus control; Journal of the Experimental Analysis of Behavior, 43 (1985), pp. 365–381
  9. Dinsmoor, 1995 J.A. Dinsmoor; Stimulus control: Part I; The Behavior Analyst, 18 (1995), pp. 51–68
  10. Fiorile and Greer, 2007 C.A. Fiorile, R.D. Greer; The induction of naming in children with no echoic- to-tact responses as a function of multiple exemplar instruction; The Analysis of Verbal Behavior, 23 (2007), pp. 71–88
  11. Gilic, 2005 L. Gilic; Development of naming in two-year-old children, Unpublished Ph.D Dissertation, Columbia University (2005)
  12. Greer, 2008 R.D. Greer; The ontogenetic selection of verbal capabilities: Contributions of Skinner’s verbal behavior theory to a more comprehensive understanding of language; International Journal of Psychology and Psychological Therapy, 8 (2008), pp. 363–386
  13. Greer et al., 2011 R.D. Greer, A. Corwin, S. Buttigieg; The effects of the verbal developmental capability of naming on how children can be taught; Acta de Investigación Psicológica, 1 (2011), pp. 23–54
  14. Greer and Keohane, 2005 R.D. Greer, D.D. Keohane; The evolution of verbal behavior in children; Behavioral Development Bulletin, 1 (2005), pp. 31–47
  15. Greer and Longano, 2010 R.D. Greer, J. Longano; A rose by naming: How we may learn to do it; The Analysis of Verbal Behavior, 26 (2010), pp. 73–106
  16. Greer and McCorkle, 2009 R.D. Greer, N. McCorkle; CABAS® curriculum and inventory of repertoires for children from pre-school through kindergarten, CABAS®/Fred S. Keller School, Yonkers, NY (2009) 4th edition
  17. Greer et al., 2003 R.D. Greer, A. Nirgudkar, H. Park; The effect of multiple exemplar instruction on the transformation of mand and tact functions, Paper presented at the annual international conference of the Association for Behavior Analysis, San Francisco, CA. (2003)
  18. Greer and Ross, 2008 R.D. Greer, D.E. Ross; Verbal behavior analysis: Inducing and expanding complex communication in children severe language delays, Allyn & Bacon, Boston (2008)
  19. Greer and Speckman, 2009 R.D. Greer, J.M. Speckman; The integration of speaker and listener responses: A theory of verbal development; Psychological Record, 59 (2009), pp. 449–488
  20. Greer et al., 2005 R.D. Greer, L. Stolfi, M. Chavez-Brown, C. Rivera-Valdez; The emergence of the listener to speaker component of Naming in children as a function of multiple exemplar instruction; The Analysis of Verbal Behavior, 21 (2005), pp. 123–134
  21. Greer et al., 2007 R.D. Greer, L. Stolfi, N. Pistoljevic; Emergence of Naming in preschoolers: A comparison of multiple and single exemplar instruction; European Journal of Behavior Analysis, 8 (2007), pp. 119–131
  22. Hahn, 2005 E.R. Hahn; Faster mapping: How children and adults learn labels and actions for objects, Unpublished PhD Dissertation, Carnegie Mellon University (2005)
  23. Hahn and Gershkoff-Stowe, 2010 E.R. Hahn, L. Gershkoff-Stowe; Children and adults learn actions for objects more readily than labels; Language Learning and Development, 6 (2010), pp. 283–308
  24. Hart and Risley, 1995 B.M. Hart, T.R. Risley; Meaningful differences in the everyday life of America’s children, Paul Brookes, Baltimore, MD (1995)
  25. Hart and Risley, 1999 B. Hart, T.R. Risley; The social world of children learning to talk, Paul H. Brookes Publishing Co, Baltimore (1999)
  26. Hayes et al., 2001 S. Hayes, D. Barnes-Homes, B. Roche; Relational frame theory: A post Skinnerian account of human language and cognition, Kluwer/Academic Plenum, New York (2001)
  27. Helou-Care, 2008 Y. Helou-Care; The effects of the acquisition of naming on reading comprehension with academically delayed middle school students with behavioral disorders, Unpublished PhD Dissertation, Columbia University (2008)
  28. Hirata and Kelly, 2010 Y. Hirata, S.D. Kelly; The effects of lips and hands on auditory learning of second language speech sounds; Journal of Speech, Language and Hearing Research, 53 (2010), pp. 298–310
  29. Horne and Lowe, 1996 P.J. Horne, C.F. Lowe; On the origins of naming and other symbolic behavior; Journal of the Experimental Analysis of Behavior, 65 (1996), pp. 185–241
  30. Kelly and Lee, 2012 S.D. Kelly, A.L. Lee; When actions speak too much louder than words: Hand gestures disrupt word learning when phoneme demands are high; Language and Cognitive Processes, 27 (2012), pp. 693–807
  31. Kelly et al., 2009 S.D. Kelly, T. McDevitt, M. Esch; Neural correlates of learning Japanese words with and without iconic gestures; Language and Cognitive Processes, 24 (2009), pp. 313–324
  32. Kelly et al., 2010 S.D. Kelly, A. Ozyurek, E. Maris; Two sides of the same coin: Speech and gesture mutually interact to enhance comprehension; Psychological Science, 21 (2010), pp. 260–267
  33. Kenneally, 2007 C. Kenneally; The first words: The search for the origins of language, Viking, New York (2007)
  34. Keohane et al., 2008 D.D. Keohane, N. Luke, R.D. Greer; The things we care to see: The effects of rotated protocol immersion on the emergence of early observing responses; Journal of Early and Intensive Behavioral Interventions, 5 (2008), pp. 23–39
  35. Longano, 2008 J.M. Longano; The effects of echoic behavior and a second order classical conditioning procedure as the reinforcement history of emergent naming, Unpublished Ph.D Dissertation, Columbia University (2008)
  36. Longano and Greer Longano, J.M., & Greer, R.D. (in press). The effects of echoic behavior and a second order classical conditioning procedure as the reinforcement history of emergent Naming. The Analysis of Verbal Behavior .
  37. Novak and Pelaez, 2004 G. Novak, M. Pelaez; Child and adolescent development: A behavioral systems approach, Thousand Oaks, CA Sage (2004)
  38. McGuiness, 2004 D. McGuiness; Early reading instruction: What science really tells us about how to teach reading, MIT Press, Cambridge, MA (2004)
  39. Pistoljevic, 2008 N. Pistoljevic; The effects of multiple exemplar and intensive tact instruction on the acquisition of naming in preschoolers diagnosed with autism and other language delays, Unpublished Ph.D Dissertation, Columbia University (2008)
  40. Rehfeldt et al., 2009 R.A. Rehfeldt, Y. Barnes-Holmes, S. Hayes; Derived relational responding: Applications for learners with autism and other developmental disabilities, New Harbinger Publications., Oakland, CA (2009)
  41. Rodrigues and Tamis-LeMonda, 2011 E.T. Rodrigues, C.S. Tamis-LeMonda; Trajectories of the home learning environment across the first 5 years: Associations with children’s vocabulary and literacy skills at prekindergarten; Child Development, 82 (2011), pp. 1058–1075
  42. Rosales-Ruiz and Baer, 1997 J. Rosales-Ruiz, D.M. Baer; Behavioral cusps: A developmental and pragmatic concept for behavior analysis; Journal of Applied Behavior Analysis, 30 (3) (1997), pp. 533–544
  43. Sinnett et al., 2008 S. Sinnett, S. Soto-Faraco, C. Spence; The co-occurrence of multisensory competition and facilitation; Acta Psychologica, 128 (2008), pp. 153–161
  44. Skinner, 1957 B.F. Skinner; Verbal behavior, Copley Publishing Group and the B. F. Skinner Foundation, Acton, MA (1957)
  45. Skinner, 1974 B.F. Skinner; About behaviorism, Knopf, New York (1974)
  46. Spence, 2009 C. Spence; Explaining the Colavita visual dominance effect; Progress in Brain Research, 176 (2009), pp. 245–258
  47. Sueyoshi and Hardison, 2005 A. Sueyoshi, D.M. Hardison; The role of gestures and facial cues in second language listening comprehension; Language Learning, 55 (2005), pp. 661–699
  48. Tomasello, 2008 M. Tomasello; Origins of human communication, MIT Press, Cambridge, MA (2008)
  49. Tomasello and Farrar, 1986 M. Tomasello, M.J. Farrar; Joint attention and early language; Child Development, 57 (1986), pp. 1454–1463
  50. Waddington and Reed, 2009 E.M. Waddington, P. Reed; The impact of using the “Preschool Inventory of Repertoires for Kindergarten” (PIRK) on school outcomes of children with Autism Spectrum Disorders; Research in Autism Spectrum Disorders, 3 (2009), pp. 809–827
  51. Wyckoff, 1952 L.B. Wyckoff; The role of observing responses in discrimination learning. Part 1; Psychological Review, 66 (1952), pp. 68–78
Back to Top

Document information

Published on 28/03/17

Licence: Other

Document Score

0

Views 10
Recommendations 0

Share this document

claim authorship

Are you one of the authors of this document?