Abstract

Functional analysis (Iwata, Dorsey, Slifer, Bauman, & Richman, 1982/1994) is a robust approach to identifying function-based interventions for problem behavior, including self-injury, aggression, and destruction. Such interventions, however, may be difficult for untrained caregivers to implement with fidelity in natural environments. Further research is needed to identify simple antecedent strategies for promoting appropriate behavior among children with significant problem behavior. The purpose of the current study was to utilize a concurrent schedules arrangement to identify conditions under which two children with autism spectrum disorder (ASD) and developmental delays who engaged in problem behaviors would choose to complete academic tasks to earn access to preferred items. In both cases, problem behaviors were shown to be sensitive to reinforcement in the forms of escape from task demands and access to preferred items. A concurrent operant arrangement in which the participants could choose to complete work tasks to earn access to preferred activities, or to take a break without demands or preferred items, was implemented. The schedule requirements in the demand component were systematically increased across opportunities, while the amount and type of reinforcement was kept constant. The results show, at the lowest levels of task demands, both participants allocated more opportunities to the work option. At higher levels, however, both participants allocated a majority of their choices to the break option. Despite the absence of preferred items in the break component, no instances of problem behavior were observed following selection of the break option. This indicates that this type of analysis could be used to identify conditions for compliance among individuals who engage in escape- or multiply-maintained problem behaviors, without the need to provoke or reinforce problem behavior. Limitations of the current study and recommendations for future research are discussed.

Resumen

El análisis funcional (Iwata, Dorsey, Slifer, Bauman, & Richman, 1982/1994) es una aproximación robusta para identificar intervenciones basadas en la función para la conducta problemática, incluyendo la autolesión, agresión y destrucción. Tales intervenciones, no obstante, pueden ser difíciles de implementar fidedignamente en escenarios naturales por cuidadores no entrenados. Se requiere más investigación para identificar estrategias antecedentes simples para promover la conducta apropiada entre niños con problemas significativos de conducta. El propósito del presente estudio fue utilizar un arreglo de programas concurrentes para identificar las condiciones bajo las cuales dos niños con trastorno del espectro autista (ASD, por sus siglas en inglés) y retraso en el desarrollo que emitían conducta problemática escogerían completar tareas académicas para ganar acceso a ítems preferidos. En ambos casos, las conductas problemáticas fueron sensibles al reforzamiento consistente en escape de las demandas de la tarea y en acceso a ítems preferidos. Se implementó un arreglo de programas concurrentes en el que los participantes podían escoger entre completar una tarea académica para ganar acceso a ítems preferidos o tomar un descanso sin demandas y sin ítems preferidos. Los requisitos del programa en el componente de demanda fueron incrementados sistemáticamente a través de las oportunidades de elección, mientras que el tipo y cantidad de reforzamiento se mantuvo constante. Los resultados mostraron que en el nivel más bajo de demandas, ambos participantes prefirieron la opción de trabajo. A niveles de demanda más altos, no obstante, ambos participantes eligieron la opción de tomar un descanso. A pesar de la ausencia de ítems preferidos en el componente de descanso, no se observaron instancias de conducta problemática después de esta opción. Esto indicó que este tipo de análisis puede ser usado para identificar condiciones que conducen a la obediencia entre individuos cuya conducta problemática se mantiene por escape o bien por múltiples reforzadores, sin la necesidad de provocar o reforzar la conducta problemática. Se discuten las limitaciones del presente estudio y se ofrecen recomendaciones para futura investigación.

Keywords

Problem Behavior ; Compliance ; Positive ; Negative Reinforcement

Keywords

Conducta Problemática ; Obediencia ; Reforzamiento Positivo ; Negativo

Functional analysis (Iwata, Dorsey, Slifer, Bauman, & Richman, 1982/1994 ) permits identification of functional relations between problem behavior, including self-injury, aggression, and destruction, and its consequences. Determining the function of problem behavior, in turn, facilitates altering the relevant reinforcement contingencies to decrease problem behavior and increase appropriate behavior (Steege, Wacker, Berg, Cigrand, & Cooper, 1989 ).For example, treatment for negatively reinforced behavior often includes escape extinction, reinforcement of alternative, appropriate behavior (contingent on alternative behavior or noncontingent), or a combination of both (e.g., DRA, DRO; Vollmer, Marcus, & Ringdahl, 1995 ; Wacker et al., 1990 ). With any intervention, its effectiveness depends on the fidelity with which it is implemented. Consequence-based interventions such as extinction or differential reinforcement may be particularly difficult for parents, teachers, or other caregivers to implement with adequate fidelity, especially if the target behavior is frequent or of such severity that it is challenging or impossible to ignore. When the problem behavior includes aggression or self-injury, procedures that might produce a side effect such as an extinction burst may be inappropriate. However, research has shown also that positive reinforcement in the form of access to preferred items or activities, can be effective for improving problem behavior that is maintained by negative reinforcement or multiple functions (i.e., positive and negative reinforcement) (Payne & Dozier, 2013 ). Importantly, the effectiveness of positive reinforcement for reducing negatively reinforced and increasing appropriate behavior has been demonstrated even in the absence of extinction (Lalli et al., 1999 ).

One strategy that shows promise in assessing the effects of access to preferred items or activities on behaviors maintained by negative reinforcement is the use of concurrent schedules. Several studies have used concurrent schedules to examine the effects of manipulations of both positive and negative reinforcement on problem behavior and task completion. For example, Golonka, Wacker, Berg, Derby, Harding, and Peck (2000) provided two participants with negatively reinforced problem behavior to choose between continued work or taking a break during demanding tasks. In an alternating treatments design, the effects of providing access to preferred items during the break (combined negative and positive reinforcement condition) were compared to the effects of a break without preferred items (negative reinforcement alone). The combined condition resulted in greater reductions in problem behavior and increases in appropriate requesting. Nevertheless, escape extinction was necessary to increase completion of task demands without problem behavior for both participants.

Similarly, Piazza, Fisher, Hanley, Remick, Contrucci, and Tammera (1997) compared the effects of negative reinforcement with combined positive and negative reinforcement, with and without extinction. Three participants with multiply maintained problem behavior participated. They demonstrated that, for two participants, providing breaks with preferred items contingent on appropriate behavior was effective for decreasing problem behavior and increasing compliance without escape extinction. For the final participant, however, escape extinction was necessary. When the schedule of reinforcement for appropriate behavior was faded, escape extinction and access to multiple reinforcers for appropriate behaviors were necessary for optimal results for all participants.

Finally, Hoch, McComas, Thompson, and Paone (2002) used a concurrent schedules arrangement to evaluate the effects of positive and negative reinforcement without extinction on the behavior of three children with autism whose problem behavior was maintained at least in part by negative reinforcement. They demonstrated that problem behavior was eliminated and task completion increased when problem behavior produced a break from task demands and task completion produced a break with access to preferred activities. These results were maintained even when the response requirement was increased and the schedule of reinforcement was thinned.

Overall, these results indicate that combining positive and negative reinforcement may be more effective than either form alone for decreasing problem behavior and increasing compliance. In many cases, however, escape extinction was necessary to achieve optimal results. One possible reason for this pattern is that participants in these studies were required to complete a certain amount of a difficult task in order to get access to an opportunity to escape from the task. One alternative strategy could be to provide opportunities for individuals to avoid the task entirely by presenting choice opportunities prior to presentation of task demands. In this case, escape or avoidance are always available for appropriate behavior (choice making), which reduces the likelihood of problem behavior. On the other hand, by manipulating the quantity or difficulty of the work presented, or the quantity or quality of the reinforcement available for task completion, it should be possible to bias the individuals’ responding away from escape/avoidance and toward task completion.

In the current study, we evaluated the effects of positive reinforcement on the amount of work completed by two children with autism spectrum disorder (ASD) and developmental delays who engaged in problem behaviors maintained by escape from demands and access to tangible items (i.e., negative and positive reinforcement). We created a concurrent operant arrangement in which two response options were presented prior to the initiation of any difficult task demands: (a) negative reinforcement in the form of escape contingent on a request for a break, and (b) positive reinforcement in the form of access to a highly preferred edible item contingent on completing a pre-determined and signaled amount of work. Across trials, the amount and type of reinforcement available remained constant, as did the alternative option (break contingent on a request). A progressive-ratio schedule was implemented in which the schedule requirements for the positive reinforcer increased after each session in order to identify the highest number of work tasks that each participant would choose to complete in order to gain access to the preferred items.

Method

Participants and setting

Two individuals with ASD and developmental delay participated in this study. Both participants were referred for a functional assessment of severe problem behavior in the form of self-injurious behavior (SIB) and/or aggression and property destruction. Ian was an 8 -year old Caucasian boy. Due to the severity of his behavior, Ian lived in a group home for adolescents with developmental disabilities and behavioral problems. He had age-typical gross and fine motor skills and some delays in the area of communication. Ian spoke in 2-3 word utterances, usually to request access to preferred items or to avoid/escape from non-preferred situations. He also engaged in echolalia. Ian had some basic self-help skills, including toileting and dressing with minimal prompting, but needed prompts to begin these tasks, and required help in most other areas of daily living. Ian exhibited occasional SIB, which typically occurred following episodes of aggression and property destruction. Aggression and property destruction occurred several times a week and included hitting, biting, pinching and throwing objects at people and had resulted in changes in residential placement.

The second participant was a 10- year old African- American boy named Gavin. He lived at home and attended a center-based behavioral treatment program that specialized in addressing the needs of children with ASD for 40 hours per week. Gavin received speech and language services and occupational therapy at the center. He had age typical gross and fine motor skills and used gestures to communicate. Gavin could produce word approximations with prompting. Gavin had limited self-help skills and needed help with all aspects of daily living. Gavin had a history of severe problem behavior including fecal smearing. His primary target behavior for the purposes of this analysis was self-injury that occurred several times per day and included hitting his chin and head and biting and pinching himself.

Sessions for Ian were conducted at his group home in the common eating area. The room was approximately 10 by 10 feet and contained a table with chairs and was adjacent to the kitchen, living room, and Ian’s bedroom, which contained preferred items such as a television and toys. Sessions for Gavin were conducted at the day treatment center in an approximately 14 by 14 feet assessment room with a table and two chairs. All sessions were video recorded by the research team.

Dependent variables, response measurement, and interobserver agreement

Four dependent variables were coded: problem behavior during the functional analysis and choice analysis, item chosen during the preference assessment, response option chosen (break or work) during each trial of the choice analysis, and the number of work tasks successfully completed during trials in which the work option was selected in the choice analysis.

Trained research assistants collected direct observation data. Frequency counts were used to record instances of problem behavior during the functional analysis and choice analysis. For Ian, yelling and screaming nearly always preceded aggression and property destruction, which were severe at times, resulting in significant injury to others or damage to the environment. Thus, for safety reasons, yelling or screaming (e.g., any instance of a verbal noise or utterance at a volume louder than a typical speaking voice) served as the target behavior. For Gavin, SIB was operationally defined as any instance of chin hitting, open and closed hand head hitting, banging his head against objects, biting or pinching himself. The remaining variables were coded by marking the item or response option chosen during the preference assessment and choice analysis and by tallying the number of tasks successfully completed during the choice analysis. A choice was defined as: a verbal response (i.e., saying “work” or “break”), a manual sign for work or break (Gavin only), touching or picking up the picture icon or token board associated with the choice, or starting the work trial (Ian only).

Inter-observer agreement (IOA) data were collected during 100% of the preference assessment trials, and approximately 30% of sessions across the functional analysis and the choice analysis sessions, respectively. IOA was calculating by dividing the number of agreements by the sum of the number of agreements and disagreements and then multiplying by 100%. For Ian’s sessions, IOA for all behaviors was 100%. For Gavin’s sessions, average IOA for all behaviors was 91% (r  = 81-100%).

Procedure

Functional analysis

Analog functional analyses were conducted using multi-element designs to evaluate the influence of social reinforcement on problem behavior for each participant. The conditions implemented are described below and are based on procedures described in Iwata et al. (1982/1994) with the addition of a tangible condition. Sessions were 5 min long for Ian and were implemented by the group home manager with coaching by the research team. Gavin’s sessions were 10 min each and were conducted by his lead therapist with coaching from a research team. The order of the sessions was randomized and the analog conditions were designed based on descriptive assessments and functional assessment interviews for each participant.

Free Play

This condition was designed as a control condition. The participant and staff person were seated at a table with a variety of preferred activities available. The staff person provided verbal praise for appropriate engagement, commented about the activity every 10-15 s, and honored requests whenever possible. No programmed consequences for problem behavior were provided.

Attention (positive reinforcement)

This condition was designed to assess the influence of contingent attention on problem behavior. The staff person instructed the participant to go play independently. All staff and other adults moved at least 10 feet away from the participant. The staff person ignored all social approaches, including verbal requests, and physical contact. Contingent on problem behavior, the staff person provided a brief period of attention in the form of verbal redirection (e.g., “No, you don’t need to yell”).

Escape from demands (negative reinforcement)

This condition was designed to assess the influence of negative reinforcement, in the form of escape from demands, on problem behavior. The staff person instructed the participant to complete tasks identified as non-preferred by the staff (i.e., discrete- trial academic tasks, wiping the table, sweeping the floor). The staff member provided verbal prompts to continue the activity every 15-20 seconds, and physical prompts if necessary. Contingent on problem behavior, the staff person said, “OK, you can take a break,” removed all materials and staff moved at least 5 feet away for 10-15 s.

Tangible (positive reinforcement)

This condition was designed to assess the influence of positive reinforcement, in the form of access to preferred edibles or items, on problem behavior. Preferred edibles were selected based on reports from treatment staff. The staff person and participant were seated across from one another at a table. The edible was placed within sight, but out of the participant’s reach and the staff person told the participant that he had to wait for the edible. If the participant made an appropriate request (e.g., “toast please” or signed for candy), the staff person told him to wait. Contingent on problem behavior, the staff member gave the participant a small piece of the edible.

ABLA

The Assessment of Basic Learning Abilities (ABLA; Stubbings & Martin, 1995 ) is a hierarchical assessment in which standard prompting and reinforcement procedures are used to assess the ease or difficulty with which an individual is able to learn novel imitation and two-choice discrimination tasks. The ABLA was conducted with both participants in order to confirm that each had sufficient 2-item discrimination skills to complete the paired-choice preference assessment and the choice analysis.

Preference assessment

A paired-choice preference assessment (Fisher, Piazza, Bowman, Hagopian, Owens, & Slevin, 1992 ) was conducted to identify preferred activities/items. The stimuli presented for each participant were selected based on staff report. Eight edibles were evaluated for Ian and 6 items/activities, including edibles, were presented for Gavin. The participants sampled each item for 30 s before the assessment began. Pairs of items were randomly presented 6” apart and 6” on a table in front of the participants. Each pair of items was presented twice, with the left-right position of each pair counterbalanced across presentations to reveal any location bias.

Concurrent operant

A concurrent operant analysis was conducted to examine the schedule arrangements in which each participant would choose either (a) to complete work tasks to earn access to preferred edible items or (b) to take a break from task demands. For each participant, academic tasks served as the task demands. The same academic tasks that were used in the functional analysis (Gavin) and that the participant could complete independently and accurately were used instead of the housekeeping tasks (Ian) that were used in the functional analysis because the academic tasks had a clear discrete trial format and allowed experimenters to systematically manipulate the response requirements presented across the choice trials. The academic task selected for Ian was 2-item non-identity matching tasks including colors, numbers, and letters. For Gavin, one-step tasks, including identifying pictures, gross motor and verbal imitation tasks were presented in random order.

Prior to beginning each trial, the staff person arranged the choice of work and break options with 2” picture icons symbolizing the work (i.e., a picture of a child sitting at a desk and writing) and break (a picture of a child sitting in a bean bag chair) options 6” apart on the table in front of the participant. In addition, either the full set of items to be matched (Ian), or the token board with the number of tokens indicating the number of work trials to be completed (Gavin) was placed behind the “work” symbol with the rewards available for task completion.

Before presenting the first choice trial, the staff person exposed the participants to the consequences associated with each choice option by providing physical prompts to select each option and then followed through with the consequences of each choice. No prompts were delivered on subsequent trials. To start each trial, the participant was brought to the table and asked “Do you want to work or take a break?”

During trials in which the work option was selected, the staff person offered the participant a choice between two edible rewards identified as highly preferred via the paired choice preference assessment. After the participant selected the edible, the staff person instructed him to complete the task. If there was a delay of more than 3 s between responses, the staff person verbally and/or physically prompted the participant to continue working. Incorrect responses resulted in neutral verbal responses (e.g., “Ok, nice try”), and prompts to restart the incorrect task. If the participant engaged in problem behavior, the staff person physically prompted the participant to complete the current work task. After successful completion of one work task with prompting, the staff person asked the participant whether he wanted to continue working for access to the preferred edible, or if he wanted to take a break. If the participant said “break” or pointed to the break card, the trial was terminated and the participant was allowed to take a break away from the work table for 2 min, and the next trial was presented as usual. Conversely, if the participant said “work”, the name of the preferred edible, or continued working without problem behavior, the work trial continued. When all of the items were correctly matched (Ian) or all of the tokens had been removed from the token board (Gavin), the staff person gave the participant the selected preferred item, and provided him with up to 2 min to consume the item. Requests for more of the preferred item, or for continued work resulted in termination of the break and presentation of the next choice trial.

On trials in which the participant selected the break option, he was told to go play independently, and a timer was set for two min. Verbal requests for attention were honored and no demands were placed on participants during break times. During the break times, if a participant requested work or access to preferred edibles, the break was terminated and a choice new trial was initiated.

The number of tasks to be completed was increased incrementally across trials to determine the point at which each participant chose break instead of work. Trials were increased by 5 for Ian and by 2 for Gavin throughout the choice assessment. The goal was to find the maximum amount of work the participant would choose to complete rather than choose the break option. When Ian chose ‘break’ in 50% or more of the trials, the number of tasks was reduced and then increased again in order to replicate the effect. The number of tasks required of Gavin continued to increase until he reached 32 tasks, at which time experimenters and staff agreed that 32 was a sufficiently high number of tasks and to reduce the number of tasks required to avoid the risk of Gavin having an aversive experience of exposure to long ratios (Dardano, 1973 ). For both participants, a changing criterion design was used to demonstrate experimental control (Gast & Ledford, 2014 ).

Results

Functional analysis

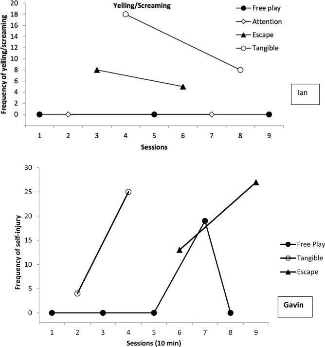
The results of the functional analysis for Ian (top panel) and Gavin (bottom panel) are depicted in Figure 1 . For Ian, a high frequency of yelling and screaming was observed during the tangible and escape conditions of the functional analysis. These results suggest that his problem behavior was maintained by access to positive reinforcement (preferred edibles), and negative reinforcement (escape from task demands). For Gavin, SIB was elevated in both the tangible and escape conditions, whereas it only occurred in one session of the control condition. These results suggest that Gavin’s problem behavior was maintained by access to positive reinforcement (food or preferred items), and negative reinforcement (escape from tasks). In both cases, these functions were consistent with the observations of the research staff and the reports of caregivers with regard to the antecedents (task demands, denied access to preferred items) that frequently preceded instances of problem behavior for both participants, as well as the consequences (escape from demands, access to preferred items) that were frequently provided in order to calm the participants during or after episodes of problem behavior.


Frequency of challenging behavior across the functional analysis conditions for ...


Figure 1.

Frequency of challenging behavior across the functional analysis conditions for Ian (top panel) and Gavin (bottom panel).

ABLA

Both Ian and Gavin successfully completed the first four of six levels of the ABLA, which involves simple imitation, position discrimination, visual discrimination, and non-identity match-to-sample tasks. Neither participant was able to complete the final level, which involves a two-choice auditory-visual discrimination.

Preference assessment

Figure 2 shows the percentage of paired choice trials in which each stimulus was selected by Ian (top panel) and Gavin (bottom panel). Chocolate candies and animal crackers, and candy and play dough® were the highest preferred for Ian and Gavin, respectively. These items were used as the preferred items that the participants could earn for task completion during the subsequent choice analysis.


Percent of trials in which each item was selected during the forced choice ...


Figure 2.

Percent of trials in which each item was selected during the forced choice paired preference for Ian (top panel), and Gavin (bottom panel).

Concurrent operant

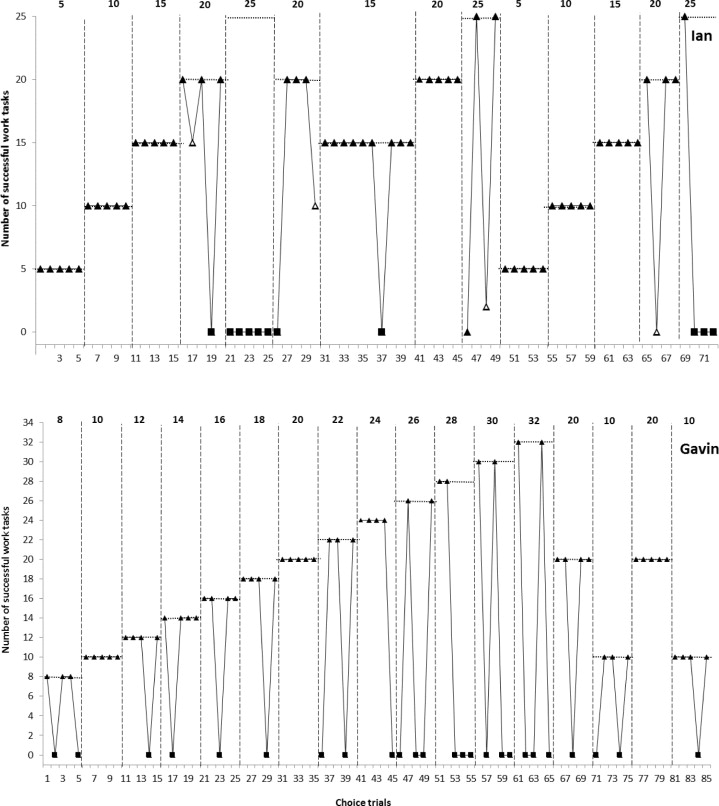
Figure 3 shows the result of the concurrent operant analyses for Ian (top panel) and Gavin (bottom panel). The results of the analysis for Ian indicate that problem behavior was relatively rare across the analysis, occurring on only 4/72 of trials overall. In every case, problem behavior occurred when Ian had selected the work option and had begun the task, and in all cases, he opted to complete the work task when given the option to take a break following the problem behavior. Looking specifically at the trials in which 15 or fewer tasks were required to earn access to the preferred items, Ian selected the break option only once, and successfully completed all of the required tasks without problem behavior during 98% of the trials. When the number of work tasks was increased beyond 15, Ian selected the break option and engaged in problem behavior somewhat more frequently but it was not until the work requirement reached 25 that he stopped consistently choosing the work option. These results were replicated after reducing the work requirement back to 20 and then 15 and then increased again in increments of five.


The number of work tasks completed prior to break requests, problem behavior, or ...


Figure 3.

The number of work tasks completed prior to break requests, problem behavior, or task completion across different task demand levels for Ian (top panel) and Gavin (bottom panel).

Note: The numbers above the graphs, as well as the horizontal dashed lines represent the number of work tasks required to earn access to the preferred items. Closed shapes indicate that no challenging behavior occurred during the trial, whereas open shapes indicate that challenging behavior occurred at some point during the trial. Triangles indicate that the work option was chosen at the beginning of the trial, and squares indicate that the break option was chosen. Vertical dashed lines indicate changes to the work task criterion.

The results of Gavin’s concurrent operant analysis were somewhat more variable. Across all 85 trials, Gavin selected the break option on 25, or less than 1/3, of the trials and successfully completed the work tasks on the remaining more than 70% of the trials. At the beginning of the analysis, when eight work tasks were required in the trial, Gavin selected the break option on 2/5 (40%) of the trials. However, in subsequent trials, he became overall less likely to select the break option. When 10 work tasks were required, Gavin selected the break option in only 3/15 trials. For trials in which 12, 14, 16, 18, and 20 tasks were required, he chose break no more than once per trial. For 22 and 24 tasks, he selected the break option on 2/5 (40%) and 1/5 (20%) trials, respectively. As the demands increased beyond 24 tasks, Gavin increasingly selected break, with 3/5 (60) trials being break choices in each of the 26, 28, 30, and 32 work task conditions. However, no level was identified at which Gavin switched entirely to picking the break option. Gavin did not engage in problem behavior during any of the trials throughout the analysis.

Discussion

The purpose of the current study was to utilize a concurrent operants arrangement as a tool for identifying conditions under which two children with autism spectrum disorder (ASD) and developmental delays who engaged in problem behaviors maintained by positive and negative reinforcement would choose to complete academic tasks to earn access to preferred items. The results show that as the schedule requirement to access the preferred items was systematically increased, there was a point at which both participants were less likely to choose to work over taking a break. Both participants showed some variability in their choice allocations to the work and break options, especially at the levels with highest task demands. Whereas Ian was extremely consistent in his selection of the work option at the lowest levels of task demands, Gavin’s responding was more variable, selecting the break option on some trials even when task demands were very low. The reasons for these differences in choice allocation are unclear, but may be due to differences in the potency of the rewards selected for each participant, or in the level of difficulty or preference for the work tasks presented.

An important finding of the study was the extremely low levels of problem behaviors that occurred throughout the study for both participants. Given their long histories of both negative and positive reinforcement for problem behavior, it was possible that participants would engage in problem behavior rather than select the break option, because no preferred edibles were available during the break time. Neither of the participants, however, engaged in problem behaviors on trials in which the break option was selected even though preferred items were not available. Although Ian did show some problem behaviors during a small proportion of the sessions, the behaviors were less severe than those typically reported by his caregiver, and in each case when the choice between work and break was represented following an instance of problem behavior, Ian chose to complete the tasks, and no additional instances of problem behavior occurred.

Overall, these results suggest that this type of concurrent operant arrangement presented prior to the initiation of task demands may lead to increases in task completion without the need for escape extinction. Therefore, this antecedent approach to intervention could be an important tool for parents, teachers, and other care providers who work with individuals with IDD who engage in escape- or multiply-maintained problem behaviors but who are unable or unwilling to implement escape extinction. This analysis provided specific information regarding the conditions under which the participants would choose to complete tasks, and could be expanded to further parametric manipulations of task difficulty, or duration, as well as parameters of reinforcer quality. The information gained from this type of analysis (i.e., the number of trials that a participant is likely to choose to complete given the opportunity to earn access to a specific item or activity) is likely to be easily understood by individuals who are not well-versed in behavioral principles, potentially leading to better treatment integrity over the long-term.

Because several parameters were manipulated concurrently in the present study, it is unclear which specific elements of the design were responsible for the results. Specifically, studies have demonstrated that simply providing individuals with choices regarding activities may lead to decreases in problem behavior (Shogren, Faggella-Luby, Bae, & Wehmeyer, 2004 ). Therefore it is possible that simply allowing participants to choose between working or taking a break may have resulted in similar effects. However, considering the results of the other concurrent schedule arrangements in which escape extinction was necessary to establish compliance with task demands (e.g., Golonka et al., 2000 ; Piazza et al., 1997 ), this seems like an unlikely explanation. Other important components may have included the use of highly preferred items, and visual signals indicating the duration of the task to be completed. Because a component assessment was not conducted, it is currently unclear which components are necessary and/or sufficient for the observed reductions in problem behavior. Future research should systematically vary the presence or absence of these components in order to assess their independent effects.

The current study has several additional limitations that should be noted. First, no baseline data were collected to determine whether the participants would have engaged in problem behavior when presented with the specific work tasks used in the work option of the concurrent operant analysis, in the absence of the choice opportunity and access to preferred items. It is noteworthy, however, that a baseline session was attempted with Ian, but severe problem behavior (aggression and property destruction) immediately followed the instruction to complete the work task and led to the termination of the session. Considering the relatively high levels of problem behavior observed with both participants during the functional analysis sessions, it seems likely that both participants would have engaged in problem behavior without some or all of the intervention components, but future research should address this issue directly.

Second, the starting points for the number of work tasks presented were selected somewhat arbitrarily based on reports from treatment/group home staff, and clinical judgment. The design could be strengthened by using a data-based selection of the number of work tasks required in the initial phase.

Third, although the choice analysis was conducted in the participants’ natural environments, it was implemented by members of the research team, rather than by treatment staff or other caregivers in the natural environment. It is possible that having familiar caregivers, with whom there is likely to be a history of reinforcement for problem behaviors, implement the assessment would have affected the results, and future research should address this possibility.

Finally, no data on the generalization or maintenance of the findings were collected in this study. Knowing whether the participants’ allocation to the work and break options was consistent over time could have important implications for using the information gathered in this type of assessment to inform the manner in which tasks presented. In addition, knowing how allocation might differ with different types of tasks and with different types and quantities of reinforcement would be valuable. For example, a participant might require more or higher quality reinforcement for a daily living task versus an academic task. Future research could examine the effects of varying the quantity or quality of reinforcement and/or task type on choice allocation.

Finally, these results could be viewed through a behavior economics lens, where the unit price for the positive reinforcer increased, consumption of the reinforcer decreased (see Madden, Bickel, & Jacobs 2000 , Prediction 1). Future investigators might consider finding the break point for one reinforcer and then assessing additional potential reinforcers to determine whether it is possible to identify a reinforcer that has a higher break point. Findings of such a study might suggest which reinforcers to use under what conditions.

In conclusion, concurrent schedules arrangements with parametric manipulations of task or reinforcement quantity and quality show promise as a strategy for identifying the conditions under which children with autism and severe problem behavior will choose to comply with task demands, even in the absence of escape extinction.

References

  1. Dardano, 1973 J.F. Dardano; Self-imposed timeouts under increasing response requirements; Journal of the Experimental Analysis of Behavior, 19 (1973), pp. 269–287
  2. Fisher et al., 1992 W. Fisher, C. Piazza, L.G. Bowman, L.P. Hagopian, J.C. Owens, I. Slevin; A comparison of two approaches for identifying reinforcers for persons with severe and profound disabilities; Journal of Applied Behavior Analysis, 25 (1992), pp. 491–498
  3. Gast and Ledford, 2014 D.L. Gast, J.R. Ledford; Single case research methodology: Applications in special education and behavioral sciences, Routledge, New York (2014)
  4. Golonka et al., 2000 Z. Golonka, D. Wacker, W. Berg, K.M. Derby, J. Harding, S. Peck; Effects of escape to alone versus escape to enriched environments on adaptive and aberrant behavior; Journal of Applied Behavior Analysis, 33 (2000), pp. 243–246
  5. Hoch et al., 2002 H. Hoch, J.J. McComas, A.L. Thompson, D. Paone; Concurrent reinforcement schedules: Behavior change and maintenance without extinction; Journal of Applied Behavior Analysis, 35 (2002), pp. 155–169
  6. Iwata et al., 1994 B.A. Iwata, M.F. Dorsey, K.J. Slifer, K.E. Bauman, C.S. Richman; Toward a functional analysis of self-injury; Journal of Applied Behavior Analysis, 27 (1994), pp. 197–209 (Reprinted from Analysis and Intervention in Developmental Disabilities, 2 , 3-20, 1982
  7. Lalli et al., 1999 J.S. Lalli, T.R. Vollmer, P.R. Progar, C. Wright, J. Borrero, D. Daniel, W. May; Competition between positive and negative reinforcement in the treatment of escape behavior; Journal of Applied Behavior Analysis, 32 (1999), pp. 285–296
  8. Madden et al., 2000 G.J. Madden, W.K. Bickel, E.A. Jacobs; Three predictions of the economic concept of unit price in a choice context; Journal of the Experimental Analysis of Behavior, 73 (2000), pp. 45–64
  9. Payne and Dozier, 2013 S.W. Payne, C.L. Dozier; Positive reinforcement as treatment for problem behavior maintained by negative reinforcement; Journal of Applied Behavior Analysis, 46 (2013), pp. 699–703
  10. Piazza et al., 1997 C.C. Piazza, W.W. Fisher, G.P. Hanley, M.L. Remick, S.A. Contrucci, L.A. Tammera; The use of positive and negative reinforcement in the treatment of escape-maintained destructive behavior; Journal of Applied Behavior Analysis, 30 (1997), pp. 279–298
  11. Shogren et al., 2004 K.A. Shogren, M.N. Faggella-Luby, S.J. Bae, M.L. Wehmeyer; The effect of choice-making as an intervention for problem behavior: A meta-analysis; Journal of Positive BehaviorInterventions, 6 (2004), pp. 228–237
  12. Steege et al., 1989 M.W. Steege, D.P. Wacker, W.K. Berg, K.K. Cigrand, L.J. Cooper; The use of behavioral assessment to prescribe and evaluate treatments for severely handicapped children; Journal of Applied Behavior Analysis, 22 (1989), pp. 23–33
  13. Stubbings and Martin, 1995 V. Stubbings, G. Martin; The assessment of basic learning abilities test for predicting performance of developmentally disabled persons on prevocational training tasks; International Journal of Practical Approaches to Disability, 19 (1995), pp. 12–17
  14. Vollmer et al., 1995 T.R. Vollmer, B.A. Marcus, J.E. Ringdahl; Noncontingent escape as treatment for self-injurious behavior maintained by negative reinforcement; Journal of Applied Behavior Analysis, 28 (1995), pp. 15–26
  15. Wacker et al., 1990 D.P. Wacker, M.W. Steege, J. Northup, G. Sasso, W. Berg, T. Reimers, L. Cooper, K. Cigrand, L. Donn; A component analysis of functional communication training across three topographies of severe behavior problems; Journal of Applied Analysis, 23 (1990), pp. 417–429
Back to Top

Document information

Published on 28/03/17

Licence: Other

Document Score

0

Views 137
Recommendations 0

Share this document

claim authorship

Are you one of the authors of this document?