Abstract

The purpose of our study was to determine if acculturation variables from different acculturation domains form empirically extracted acculturation clusters [based on Berry’s (1997) model], and if the clusters are related to the life satisfaction of first and second generation immigrant college students. One hundred twenty-two students attending a university in the Midwestern USA (70% female), representing more than 20 countries of origin, completed an online questionnaire. Hierarchical cluster analysis using Ward’s method and a k-means analysis revealed four acculturation clusters that were labeled (1) Bicultural Attitudes, (2) Bicultural Practices & Heritage Identity, (3) U.S. Practices, and (4) Heritage Practices. Participants in the two clusters most closely resembling Berry’s (1997) acculturation category of integration (i.e., Bicultural Attitudes, and Bicultural Practices & Heritage Identity) reported significantly higher life satisfaction than participants in the cluster most closely resembling Berry’s (1997) acculturation category of separation (i.e., Heritage Practices). The findings of the present study lend additional support to the use of clustering methods as a way of including multiple domains of acculturation, thereby gaining a more comprehensive understanding of acculturation and its connection with psychosocial adjustment. The results also reinforce prior research findings that integration, or biculturalism, is an adaptive acculturation strategy.

Resumen

El objetivo de nuestro estudio fue determinar si distintas combinaciones de variables de aculturación provenientes de diferentes dominios de aculturación conforman grupos obtenidos empíricamente [con base en el modelo de Berry (1997) ], y si estos grupos están relacionados con diferentes niveles de satisfacción vital en estudiantes universitarios que pertenecen a la primera y segunda generación de imigrantes. Ciento veintidós estudiantes que asisten a una universidad en el Medio Oeste de los Estados Unidos (70% mujeres), provenientes de más de 20 países de origen distintos, completaron un cuestionario a través del Internet. Los análisis de conglomerados jerárquicos con el método de Ward y un análisis de K-means revelaron cuatro grupos de aculturación que fueron nombrados: (1) las actitudes biculturales, (2) las prácticas biculturales y la identidad étnica, (3) las prácticas estadounidenses, y (4) las prácticas étnicas. Los participantes de los dos grupos que más se asemejan a la categoría de aculturación de integración de Berry (1997) (las actitudes biculturales; las prácticas biculturales y la identidad étnica) reportaron una mayor satisfacción vital que los participantes en el grupo que más se asemeja a la categoría de separación de Berry (las prácticas étnicas). Los resultados de este estudio proveen un argumento adicional en favor del uso de métodos de agrupación como una manera de incluir dominios de aculturación múltiples, para obtener con ello una comprensión más amplia de la aculturación y su conexión con la adaptación psicosocial. Los resultados también refuerzan que la biculturalidad es una estrategia adaptativa.

Key words

acculturation ; cluster analysis ; life satisfaction ; bicultural ; students

Palabras clave

aculturación ; métodos de agrupación ; satisfacción vital ; biculturalidad ; universitarios

Broadly defined, acculturation refers to the changes that occur as a result of people coming into contact with cultures different from their own (Berry, 1980 , 1997 ). Although acculturation occurs at both the group level and the individual level, researchers typically focus on the changes that occur at the individual level (Berry, 2006 a). The growing rates of immigration in both the United States and around the world have resulted in a significant increase in the number of published empirical articles on acculturation in recent years (Schwartz, Unger, Zamboanga, & Szapocznik, 2010 ).

Acculturation was initially proposed to be a unidimensional process whereby adopting aspects of one’s receiving culture implied that the person must let go of aspects of their heritage culture (Gordon, 1964 ). In later years, Berry (1997) re-conceptualized acculturation as a bidimensional process consisting of attitudes toward two dimensions: maintaining one’s heritage culture and adopting one’s receiving culture. In Berry’s (1997) model of acculturation, the two attitudes (i.e., maintaining heritage culture and adopting heritage culture) intersect to create four typologies of acculturation: assimilation, separation, integration (i.e., biculturalism), and marginalization (for a critique of Berry’s model, see Rudmin, 2003 , 2006 ). Berry’s (1997) model was originally developed to represent attitudes toward both the heritage culture and receiving culture, but today, researchers typically implement Berry’s model to measure actual retention of the heritage culture and adoption of the receiving culture (e.g., Schwartz & Zamboanga, 2008 ).

Evidence is emerging that acculturation is not only bidimensional but that it also consists of multiple domains (Chirkov, 2009 ; Kim & Abreu, 2001 ; Rudmin, 2009 ; Schwartz et al., 2010 ). Therefore, within both the heritage culture and the receiving culture there are a number of domains in which change may occur. Kim and Abreu (2001) proposed that acculturation consists of three domains: behavioral, cognitive, and affective. Schwartz et al. (2010) have expanded Kim and Abreu’s (2001) work by proposing that behavioral acculturation reflects cultural practices (e.g., language use), cognitive acculturation reflects cultural values or attitudes (e.g., filial piety), and affective acculturation reflects cultural identifications (e.g., personal attachment to culture). There are likely other domains of acculturation beyond cultural practices, values/ attitudes, and identifications ( Zane & Mak, 2003 ); however, acculturation studies typically focus on these three.

Despite the emerging evidence that acculturation occurs in multiple domains, the majority of measures of acculturation focus on the domain of cultural practices (e.g., Cuellar, Arnold, & Maldonado, 1995 ; Stephenson, 2000 ). Schwartz and colleagues (2010) advocate that researchers move beyond a single-domain approach and instead adopt a multi-domain approach to measuring acculturation. In one exemplary study, Schwartz, Weisskirch, et al. (2011) measured acculturation’s link to health risk behaviors among college students from immigrant families by measuring not only participants’ heritage and U.S. practices, but also their heritage and U.S. values and identifications.

In some studies, researchers have taken acculturation a step further by analyzing multiple domains of acculturation via clustering methods. Clustering methods refer to a variety of multivariate techniques that explore the similarities and differences among cases in a sample in order to delineate subgroups, or clusters, that contain relatively homogenous cases (Hair & Black, 2000 ). Researchers (e.g., Berry, 2006b ) have recommended using clustering methods with acculturation data, as clustering methods permit a more holistic approach to acculturation. When researchers have used clustering methods to analyze multi-domain acculturation data, they have obtained clusters that reflect, in part, Berry’s (1997) model (i.e., assimilation, biculturalism, marginalization, and separation). For example, in their study of Korean immigrant women, Choi, Miller, and Wilbur (2009) revealed four acculturation clusters, each resembling one of Berry’s (1997) typologies. In Schwartz and Zamboanga’s (2008) study of Hispanic college students, cluster analyses revealed six acculturation clusters - two that resembled variants of biculturalism, two that resembled a combination of assimilation and biculturalism, one that resembled a combination of separation and biculturalism, and one that did not resemble any of Berry’s (1997) typologies. In a study of older Korean Americans, Jang, Kim, Chiriboga, and King-Kallimanis (2007) revealed only two acculturation clusters - one that resembled biculturalism and another that resembled separation.

In a small number of studies, researchers have used clustering methods to determine whether acculturation clusters [based on Berry’s (1997) model] are associated with “psychosocial correlates” (Schwartz & Zamboanga, 2008 , p. 282). A study of Chinese Canadian university students (Chia & Costigan, 2006 ) revealed that participants in the cluster resembling marginalization reported significantly lower levels of self-esteem than participants in the clusters resembling biculturalism and assimilation. Further, participants in the cluster resembling marginalization reported significantly higher levels of depression than participants in one of the bicultural clusters, and participants in the cluster resembling assimilation reported significantly lower levels of depression than participants in the cluster resembling marginalization. In their study of Korean immigrant women, Choi and colleagues (2009) found that those who were in the cluster resembling marginalization reported significantly higher depression scores than those who were in the clusters resembling assimilation and separation. In their study of Korean American older adults, Jang and colleagues (2007) found that participants in the bicultural cluster reported better physical health, fewer depressive symptoms, and lower anxiety than those in the separated cluster.

Purpose of the present study

Although there has been a call for research that examines the “psychosocial correlates” (Schwartz & Zamboanga, 2008 , p. 282) of acculturation clusters, to date, only a small number of studies (e.g., Chia & Costigan, 2006 ; Choi et al., 2009 ; Jang et al., 2007 ) have done so. Therefore, the purpose of our study was to determine if acculturation variables from different acculturation domains form empirically extracted acculturation clusters [based on Berry’s (1997) model], and if the clusters are related to the life satisfaction of first and second generation immigrant college students.

Several researchers have recognized acculturation’s central role in the lives of both first and second generation immigrant college students (e.g., Chia & Costigan, 2006 ; Schwartz, Waterman, et al., in press) - a fast growing segment of the U.S. population (Schwartz, Weisskirch, et al., 2011 ). Many researchers have examined acculturation’s association with negative factors among first and second generation immigrant college students, including health risk behaviors (e.g., Schwartz, Weisskirch, et al., 2011 ), stress (e.g., Kim & Omizo, 2005 ), and internalizing and externalizing symptoms (Schwartz, Zamboanga, Weisskirch, & Wang, 2009 ); while only a few researchers have examined acculturation’s association with positive factors, including life satisfaction (e.g., Benet-Martínez & Karakitapoglu-Aygun, 2003 ; Schwartz, Waterman, et al., in press), although never via cluster analysis.

Method

Participants

Our study is a re-analysis of data from an earlier study (Brown & Gibbons, 2008 ). The participants for our study were 122 university students (70% female; M age = 19.50 years, SD = 1.20 years; age range 18 to 24 years) attending a Midwestern university. Forty-seven percent of the participants identified as first generation (born in a country other than the United States), and 53% identified as second generation (born in the United States). The participants represented more than 20 countries of origin. The first generation participants had lived in the United States an average of 4.91 years (SD = 5.41 years). Participants who were born outside the United States but were living in the United States only for international studies were excluded from the analyses.

Materials

Heritage practices and U.S. practices . The Stephenson Multigroup Acculturation Scale (SMAS; Stephenson, 2000 ) is a 32-item scale that primarily measures the strength of practices in one’s heritage culture and U.S. culture. The SMAS was the first scale created to measure engagement in cultural practices among members of any ethnic group and not one specific group. The participants rated on a 4-point Likert scale their agreement with first-person statements regarding their practices - 17 statements regarding heritage practices and 15 statements regarding U.S. practices. Sample items include: “I eat traditional foods of my native culture” (heritage practice), “I speak my native language at home” (heritage practice), “I regularly read American media” (U.S. practice), “I attend social functions with American people” (U.S. practice). In our data set, “I speak my native language with my spouse or partner” was changed to “I speak my native language with my best friend,” and “I speak English with my spouse or partner” was changed to “I speak English with my best friend.” Spouse or partner was replaced with best friend because the participants were university students with a restricted age range (18 to 24) and therefore best friend would likely be more relevant to their lives than spouse . In our study, a higher mean score on the subscale of heritage practices reflected more engagement in heritage practices, and a higher mean score on the subscale of U.S. practices reflected more engagement in U.S. practices. The Cronbach’s alpha for the items regarding heritage practices was .90; for the items regarding U.S. practices, it was .92.

Heritage attitudes and U.S. attitudes. The Marginality portion (MARG) of the Acculturation Rating Scale for Mexican-Americans—II (Cuellar et al., 1995 ) consists of 18 first-person statements regarding trust and attitudes toward American, Mexican, and Mexican-American culture and people (six parallel statements for each group). The six items regarding American culture and people and the second set of six parallel statements regarding Mexican people and culture were used but “people of my country of origin” replaced “Mexicans,” so that the statements could reflect attitudes toward people from any country of origin. Sample items include: “I have difficulty accepting some ideas held by Americans” (U.S. attitude), “I have difficulty accepting some behaviors held by people of my country of origin” (heritage attitude). The participants rated on a 4-point Likert scale their agreement with each first-person statement. In our study, the scores were reverse coded so that higher scores reflected less negative (i.e., more positive) attitudes. The Cronbach’s alpha for the six items regarding attitudes toward U.S. culture and people was .88; for the items regarding attitudes toward heritage culture and people, it was .84.

Heritage identity. The Multigroup Ethnic Identity Measure (MEIM; Phinney, 1992 ) measures the strength of a person’s ethnic identity via their exploration and affirmation of identity. The participants rated on a 4-point Likert scale their level of agreement with the 12 first-person statements. Sample items include: “I have spent time trying to find out more about my ethnic group, such as its history, traditions, and customs,” “I have a clear sense of my ethnic background and what it means to me.” In our study, a higher mean score indicated a stronger ethnic identity. The Cronbach’s alpha for the MEIM was .92. Typically, researchers who take a bidimensional approach to acculturation measure both heritage and U.S. domains (e.g., Schwartz, Weisskirch, et al., 2011 ). However, we were unable to include U.S. identity in our study because it was not in the original data set.

Life satisfaction. The Satisfaction with Life Scale (SWLS; Diener, Emmons, Larsen, & Griffin, 1985 ) is a 5-item scale that measures a person’s degree of life satisfaction. The participants rated on a 7-point Likert scale their agreement with the first-person items. Sample items include: “In most ways my life is close to my ideal,” and “So far I have gotten the important things I want in life.” A higher cumulative score indicates higher life satisfaction. The Cronbach’s alpha for the SWLS was .83.

Procedure

Before participant recruitment began, approval was obtained from the Institutional Review Board. Participants were recruited by posting flyers around the university’s campus, sending e-mail messages to the university’s students, and inviting students in introductory psychology courses. The questionnaire was completed online through a secure survey system maintained by the university’s Information Technology department. Students who completed the questionnaire as part of their introductory psychology course received research credit. All participants were eligible to win a $25 gift certificate to the university bookstore.

Results

Phase 1. Identifying the number of clusters for cluster solution

Hierarchical agglomerative cluster analysis was conducted using Ward’s method (Lorr, 1983 ). In addition, Squared Euclidean distance was used as the proximity measure based on interval data. Together, the procedure provides a series of linkages based on similarity in participants’ scores across variables, gradually forming clusters that contain people with similar profiles of scores on the clustering variables. Ward’s method has been used in other research studies that have analyzed acculturation data via clustering methods (e.g., Chia & Costigan, 2006 ). Related to the number of participants that are considered necessary for a cluster analysis, Dolnicar (2002) , citing Formann (1984) , states that the minimum should be 2 to the k power, where k is the number of variables used to cluster. Dolnicar (2002) expands this to say that the number would preferably be five times that. For the current study, with five clustering variables, the minimum number of participants would be 32, whereas 5 times that would be 160. Therefore, the number of participants in the current study (122) is well above the minimum.

For Ward’s method, the five clustering variables were: (1) heritage practices, (2) U.S. practices, (3) heritage attitudes, (4) U.S. attitudes, and (5) heritage identity. The five clustering variables were examined together in order to take a multidimensional approach to acculturation (Schwartz et al., 2010 ). There was no need to standardize the five variables because they all fell on a similar scale. Generational status (i.e., first generation and second generation) was not correlated with the outcome variable, life satisfaction (p = .15). Therefore, we did not control for generational status when performing the cluster analyses. For first generation participants, length of residence in the United States was not correlated with life satisfaction (p = .56); therefore, we did not control for length of residence when performing the cluster analyses. In order to investigate the stability of the cluster solutions, Ward’s method, as well as two additional hierarchical clustering algorithms, were utilized in the analysis; all three yielded agglomeration schedules and dendograms that suggested a solution of four clusters ( Hair & Black, 2000 ), indicating a substantial degree of stability in the cluster solution.

Phase 2. “Fine-tuning” cluster solution membership

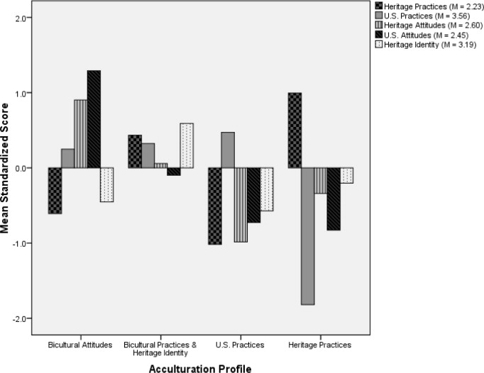
A k-means analysis was employed next to help “fine-tune” membership in the four clusters. This procedure is iterative, meaning that individuals can move in and out of the initial clusters until the best fit is found, resulting in membership within four the clusters that is maximally homogeneous, while across the clusters the members are maximally different from those in every other cluster. The four clusters were then labeled based on the patterning of their scores on the five clustering variables. In order to better illustrate the similarities and differences among the clusters, the mean scores on each clustering variable were standardized (see Figure 1 ).


Depiction of Mean Scores of the Final Clusters


Figure 1.

Depiction of Mean Scores of the Final Clusters

Phase 3. Description of the clusters

One-way ANOVAs revealed that the four clusters significantly varied on heritage practices [F(3, 118) = 42.76, p < .001], U.S. practices [F(3, 118) = 64.50, p < .001], heritage attitudes [F(3, 118) = 26.16, p < .001], U.S. attitudes [F(3, 118) = 62.07, p < .001], and heritage identity [F(3, 118) = 14.20, p < .001], indicating that the four-cluster solution showed adequate separation among the clusters on the clustering variables (see Table 1 ).

Table 1. Univariate Analyses: Differences Among Four Clusters on Clustering Variables and Life Satisfaction
Variable Cluster n M SD F(3/118)
Heritage Practices 1 29 2.53 .64 42.76***
2 51 3.21 .41
3 23 2.26 .40
4 19 3.57 .30
U.S. Practices 1 29 3.69 .43 64.50***
2 51 3.73 .26
3 23 3.81 .16
4 19 2.60 .46
Heritage Attitudes 1 29 3.21 .61 26.16***
2 51 2.64 .54
3 23 1.93 .38
4 19 2.37 .52
U.S. Attitudes 1 29 .42 .50 62.07***
2 51 2.37 .42
3 23 1.90 .48
4 19 1.82 .56
Heritage Identity 1 29 2.96 .44 14.20***
2 51 3.48 .36
3 23 2.90 .52
4 19 3.09 .45
Life Satisfaction 1 29 26.36 6.14 6.18** 1 & 2 > 4
2 51 28.09 4.73
3 23 26.28 4.59
4 19 21.97 6.01
    • . p < .01,
      • . p < .001. Cluster 1 = Bicultural Attitudes, Cluster 2 = Bicultural Practices & Heritage Identity, Cluster 3 = U.S. Practices, Cluster 4 = Heritage Practices.

The first cluster was identified as Bicultural Attitudes (n = 29) because scores were highest on heritage attitudes and U.S. attitudes. The second cluster was identified as Bicultural Practices & Heritage Identity (n = 51) because scores were highest on heritage practices, U.S. practices, and heritage identity, with both types of attitudes at the mean. The third cluster was identified as U.S. Practices (n = 23) because the highest score was U.S. practices, with all other clustering variables below the mean. The fourth cluster was identified as Heritage Practices (n = 19) because the highest score was heritage practices. It was notable also that the U.S. practices mean score in the fourth cluster was over 1.5 standard deviations below the mean (see Figure 1 ).

Phase 4. Interpretation of the clusters

In order to more closely interpret the clusters, they were examined to determine if any of the clusters were more frequent for first or second generation participants. Meaningful results regarding generational status were obtained from a chi-square analysis revealing that three of the clusters differed by generational status, x2 (3, N = 122) = 22.91, p < .001. In the Bicultural Attitudes cluster, a higher percentage of second generation (62%) than first generation (38%) participants were found, whereas an even greater percentage of second generation (83%) than first generation (17%) participants were classified into the U.S. Practices cluster. However, a greater percentage of first generation (89%) than second generation (11%) participants were classified into the Heritage Practices cluster. There were no differences between generations for the cluster, Bicultural Practices & Heritage Identity.

Regarding life satisfaction, the results of a one-way ANOVA [F(3, 118) = 6.18, p < .05] and post-hoc analyses via Tukey HSD revealed that participants in both the Bicultural Attitudes cluster (p < .05) and the Bicultural Practices & Heritage Identity cluster (p < .05) reported significantly higher life satisfaction than participants in the Heritage Practices cluster. Further interpretation is considered in the Discussion section.

Discussion

Although there has been a call for research that examines the “psychosocial correlates” (Schwartz & Zamboanga, 2008 , p. 282) of acculturation clusters, to date, only a small number of studies (e.g., Chia & Costigan, 2006 ; Choi et al., 2009 ; Jang et al., 2007 ) have done so. Therefore, the purpose of our study was to determine if acculturation variables from different acculturation domains form empirically extracted acculturation clusters [based on Berry’s (1997) model], and if the clusters are related to the life satisfaction of first and second generation immigrant college students.

Our cluster analysis revealed four clusters, each resembling Berry’s (1997) model. The cluster labeled U.S. Practices most closely resembled Berry’s (1997) category of assimilation, but only with respect to practices. The cluster labeled Heritage Practices most closely resembled Berry’s (1997) category of separation, but only with respect to practices. Two of the clusters, Bicultural Attitudes, and Bicultural Practices & Heritage Identity, most closely resembled Berry’s (1997) category of integration (i.e., biculturalism). None of the clusters resembled marginalization (rejection of both the receiving culture and the heritage culture). While some researchers who have used clustering methods have revealed a marginalization cluster (e.g., Choi et al., 2009 ), other researchers have not (e.g., Schwartz & Zamboanga, 2008 ). As Schwartz and colleagues (2010) note, not all of Berry’s categories may exist in a sample or population. Therefore, it is possible that, for our sample, marginalization was not a relevant category. This may be due to the sample consisting of only university students, and marginalization in a university context may not be an effective approach for students, as people often use acculturation strategies they see best suited for the context (Arends-Toth & van de Vijver, 2003 ).

Our finding that two of the four clusters resembled biculturalism is similar to other studies (e.g., Chia & Costigan, 2006 ; Schwartz & Zamboanga, 2008 ) that have revealed, via clustering methods, more than one cluster resembling biculturalism. In our study, one cluster reflected biculturalism in the domain of attitudes, while the other cluster reflected biculturalism in the domain of practices. This finding reflects researchers’ assertion that biculturalism has multiple sub-categories (Benet- Martínez & Haritatos, 2005 ; LaFromboise, Coleman, & Gerton, 1993 ).

We found that two of the clusters (Bicultural Attitudes and U.S. Practices) were more frequent for second generation participants, while the cluster labeled Heritage Practices was more frequent for first generation participants. This finding reflects what is expected with Berry’s (1997) model - second generation people are more likely to endorse biculturalism and/or assimilation and first generation people are more likely to endorse separation.

Moreover, in our study, participants who belonged to either of the clusters resembling biculturalism (Bicultural Attitudes, or Bicultural Practices & Heritage Identity) reported significantly higher life satisfaction than the participants who belonged in the cluster that resembled separation (Heritage Practices). This result is similar to Berry and colleagues’ (2006) finding that youth who belonged to the bicultural cluster reported the highest life satisfaction scores. Our results also resemble the outcomes from Chia and Costigan’s (2006) and Jang et al.’s (2007) studies, in which participants in the bicultural cluster(s) reported more positive outcomes. Via the use of cluster analysis, our findings lend additional support to the theoretically- and empirically-supported position that a bicultural approach is the most adaptive of acculturation strategies and it is associated with the best psychosocial outcomes (Berry, 1997 ; Phinney & Devich-Navarro, 1997 ; Phinney, Horenczyk, Liebkind, & Vedder, 2001 ; Vedder, van de Vijver, & Liebkind, 2006 ; for a recent meta-analysis, see Nguyen & Benet- Martínez, 2013 ; for a counter perspective, see Rudmin, 2003 , 2006 ).

One of the most significant limitations to our study is that we did not have a measure of U.S. identity, which precluded us from providing a more detailed interpretation of the acculturative profiles. Another limitation to our study is that all of the participants were attending a Midwestern university at the time of data collection; this limits our ability to generalize our findings to people living in other geographic regions of the United States. Further, 70% of the participants were female, precluding conclusions regarding males. Because the present study is cross-sectional, changes in acculturation over time cannot be documented. Further, all of the data come from a single source; therefore, untapped subject variables may have contributed to the observed relationships among the variables.

Although most studies of acculturation among first and second generation immigrant college students have focused on students from a single ethnic group (e.g., Lee, Yoon, & Lui-Tom, 2006 ), there are a few studies, like ours, that have examined ethnically and multiculturally diverse samples (e.g., Schwartz, Waterman, et al., in press). When a multi-domain approach is taken to both the conceptualization and measurement of acculturation, the measures utilized are typically applicable to any and all groups (Schwartz et al., 2010 ).

One suggested direction for future research in this area is the inclusion of additional cultural (e.g., collective identity) and demographic (e.g., socioeconomic status) domains as descriptors in cluster analyses, as this will provide a more comprehensive understanding of the link between acculturation clusters and psychosocial adjustment. Another suggestion for future research is the inclusion of additional measures of psychosocial adjustment.

The findings of our study lend support to the use of clustering methods as a way of including multiple domains of acculturation, thereby gaining a more comprehensive understanding of acculturation and its link with psychosocial adjustment. Acculturation cannot be understood based solely on background factors such as language use. Acculturation is a multi-faceted, nuanced process, and it is therefore important that methodological approaches are used that take this into account. As cluster analysis continues to be an approach to link acculturation with psychosocial adjustment, we will be better able to inform both theory and practice.

References

  1. Arends-Toth, 2003 J. Arends-Toth, F.J.R. van de Vijver; Multiculturalism and acculturation: View of Dutch and Turkish-Dutch; European Journal of Social Psychology, 33 (2003), pp. 249–266 doi: 10.1002/ejsp.143
  2. Benet-Martínez, 2005 V. Benet-Martínez, J. Haritatos; Bicultural Identity Integration (BII): Components and socio-personality antecedents; Journal of Personality, 73 (2005), pp. 1015–1049 doi: 10.1111%2Fj.1467-6494.2005.00337.x
  3. Benet-Martínez, 2003 V. Benet-Martínez, Z. Karakitapoglu-Aygun; The interplay of cultural syndromes and personality in predicting life satisfaction: Comparing Asian Americans and European Americans; Journal of Cross-Cultural Psychology, 34 (2003), pp. 38–60 doi: 10.1177/0022022102239154
  4. Berry, 1980 J.W. Berry; Acculturation as varieties of adaptation; A.M. Padilla (Ed.), Acculturation: Theory, models, and some new findings, Westview, Boulder, CO (1980), pp. 9–25
  5. Berry, 1997 J.W. Berry; Immigration, acculturation, and adaptation; Applied Psychology: An International Review, 46 (1997), pp. 5–34 doi:10.1111%2Fj.1464-0597.1997.tb01087.x
  6. Berry, 2006 J.W. Berry; Contexts of acculturation; D.L. Sam, J.W. Berry (Eds.), Cambridge handbook of acculturation psychology, Cambridge University Press, New York, NY (2006), pp. 27–42 a
  7. Berry, 2006 J.W. Berry; Design of acculturation studies; D.L. Sam, J.W. Berry (Eds.), Cambridge handbook of acculturation psychology, Cambridge University Press, Cambridge, United Kingdom (2006), pp. 129–141 b
  8. Brown, 2008 C.M. Brown, J.L. Gibbons; Biculturalism among university students of diverse ethnic and national backgrounds; Presented at the 2008 meeting of the Society for Cross-Cultural Research, Louisiana, New Orleans (2008)
  9. Chia, 2006 A.L. Chia, C.L. Costigan; A person-centred approach to identifying acculturation groups among Chinese Canadians; International Journal of Psychology, 41 (2006), pp. 397–412 doi: 10.1080/00207590500412227
  10. Chirkov, 2009 V. Chirkov; Summary of the criticisms and of the potential ways to improve acculturation psychology; International Journal of Intercultural Relations, 33 (2009), pp. 177–180 doi:10.1016/j.ijintrel.2009.03.005
  11. Choi, 2009 J. Choi, A. Miller, J. Wilbur; Acculturation and depressive symptoms in Korean immigrant women; Journal of Immigrant and Minority Health, 11 (2009), pp. 13–19 doi: 0.1007/s10903-007-9080-8
  12. Cuellar, 1995 I. Cuellar, B. Arnold, R. Maldonado; Acculturation Rating Scale of Mexican Americans—II: A revision of the original; Hispanic Journal of Behavioral Sciences, 17 (1995), pp. 275–304 doi: 10.1177/07399863950173001
  13. Diener, 1985 E. Diener, R.A. Emmons, R.J. Larsen, S. Griffin; The Satisfaction with Life Scale; Journal of Personality Assessment, 49 (1985), pp. 71–75
  14. Dolnicar, 2002 S. Dolnicar; A review of unquestioned standards in using cluster analysis for data-driven market segmentation; CD Conference Proceedings of the Australian and New Zealand Marketing Academy Conference, Deakin University, Melbourne, Australia (2002)
  15. Fordyce, 1984 M.W. Fordyce; Prospectus: The self-description inventory . Unpublished paper, Edison Community College, Ft  ; F.L. Myers, A.K. Formann (Eds.), Die Latent-Class-Analyse: Einführung in die Theorie und Anwendung, Beltz, Weinheim (1984)
  16. Gordon, 1964 M. Gordon; Assimilation in American life, Oxford University Press, New York, NY (1964)
  17. Hair, 2000 J.F. Hair Jr., W.C. Black; Cluster analysis; L.G. Grimm, P.R. Yarnold (Eds.), Reading and understanding more multivariate statistics, American Psychological Association, Washington, D.C. (2000)
  18. Jang, 2007 Y. Jang, G. Kim, D. Chiriboga, B. King-Kallimanis; A bidimensional model of acculturation for Korean American older adults; Journal of Aging Studies, 21 (3) (2007), pp. 267–275 doi: 10.1016/j.jaging.2006.10.004
  19. Kim, 2001 B.S.K. Kim, J.M. Abreu; Acculturation measurement: Theory, current instruments, and future directions; J.G. Ponterotto, J.M. Casas, L.A. Suzuki, C.M. Alexander (Eds.), Handbook of multicultural counseling (2), Sage, Thousand Oaks, CA (2001), pp. 394–424
  20. Kim, 2005 B.S.K. Kim, M.M. Omizo; Asian and European American cultural values, collective self-esteem, acculturative stress, cognitive flexibility, and general self-efficacy among Asian American college students; Journal of Counseling Psychology, 52 (2005), pp. 412–419 doi: 10.1037/0022-0167.52.3.412
  21. Kuppens, 2008 P. Kuppens, A. Realo, E. Diener; The role of positive and negative emotions in life satisfaction judgment across nations; Journal of Personality and Social Psychology, 95 (2008), pp. 66–75 doi: 10.1037/0022-3514.95.1.66
  22. LaFromboise, 1993 T. LaFromboise, H.L. Coleman, J. Gerton; Psychological impact of biculturalism: Evidence and theory; Psychological Bulletin, 114 (1993), pp. 395–412 doi: 10.1037/0033-2909.114.3.395
  23. Lee, 2006 R.M. Lee, E. Yoon, H.T.T. Liu-Tom; Structure and measurement of acculturation/enculturation for Asian Americans: Cross-cultural validation of the ARSMA-II; Measurement and Evaluation in Counseling and Development, 39 (2006), pp. 42–55
  24. Lorr, 1983 M. Lorr; Cluster analysis for social scientists, Jossey-Bass, San Francisco, CA (1983)
  25. Nguyen, 2013 A.T.D. Nguyen, V. Benet-Martínez; Biculturalism and adjustment: A meta-analysis; Journal of Cross-Cultural Psychology, 44 (1) (2013), pp. 122–159 doi: 10.1177/0022022111435097
  26. Phinney, 1992 J.S. Phinney; The Multigroup Ethnic Identity Measure: A new scale for use with diverse groups; Journal of Adolescent Research, 7 (1992), pp. 156–176 doi: 10.1177/074355489272003
  27. Phinney, 1997 J. Phinney, M. Devich-Navarro; Variations in bicultural identification among African American and Mexican American adolescents; Journal of Research on Adolescence, 7 (1997), pp. 3–32 doi: 10.1207%2Fs15327795jra0701_2
  28. Phinney, 2001 J. Phinney, G. Horenczyk, K. Liebkind, P. Vedder; Ethnic identity, immigration, and well-being: An interaction perspective; Journal of Social Issues, 57 (2001), pp. 493–510 doi: 10.1111/0022-4537.00225
  29. Rudmin, 2003 F.W. Rudmin; Critical history of the acculturation psychology of assimilation, separation, integration, and marginalization; Review of General Psychology, 7 (2003), pp. 3–37 doi: 10.1037%2F%2F1089-2680.7.1.3
  30. Rudmin, 2006 F.W. Rudmin; Debate in science: The case of acculturation (2006) Retrieved August 31, 2012, from www.anthroglobe.ca/docs/rudminf_acculturation_061204.pdf
  31. Rudmin, 2009 F.W. Rudmin; Constructs, measurements, and models of acculturation and acculturative stress; International Journal of Intercultural Relations, 33 (2009), pp. 106–123 doi:10.1016/j.ijintrel.2008.12.001
  32. Schwartz, 2010 S.J. Schwartz, J.B. Unger, B.L. Zamboanga, J. Szapocznik; Rethinking the concept of acculturation: Implications for theory and research; American Psychologist, 65 (4) (2010), pp. 237–251 doi: 10.1037/a0019330
  33. Schwartz Schwartz, S.J., Waterman, A.S. Umaña-Taylor, A.J., Lee, R.M., Kim, S.Y., Vazsonyi, A.T.,...WiNiams, M.K. (in press). Acculturation and well-being among college students from immigrant families. Journal of Clinical Psychology.
  34. Schwartz, 2011 S.J. Schwartz, R.S. Weisskirch, B.L. Zamboanga, L.G. Castillo, L.S. Ham, Q. Huynh, M.A. Cano; Dimensions of acculturation: Associations with health risk behaviors among college students from immigrant families; Journal of Counseling Psychology, 58 (1) (2011), pp. 27–41 doi: 10.1037/a0021356
  35. Schwartz, 2008 S.J. Schwartz, B.L. Zamboanga; Testing Berry’s model of acculturation: A confirmatory latent class approach; Cultural Diversity and Ethnic Minority Psychology, 14 (4) (2008), pp. 275–285 doi: 10.1037/a0012818
  36. Schwartz, 2009 S.J. Schwartz, B.L. Zamboanga, R.S. Weisskirch, S.C. Wang; The relationships of personal and cultural identity to adaptive and maladaptive psychosocial functioning in emerging adults; The Journal of Social Psychology, 150 (2009), pp. 1–33 doi: 10.1080/00224540903366784
  37. Stephenson, 2000 M. Stephenson; Development and validation of the Stephenson Multigroup Acculturation Scale (SMAS); Psychology Assessment, 12 (1) (2000), pp. 77–88 doi: 10.1037%2F%2F1040-3590.12.1.77
  38. Vedder, 2006 P. Vedder, F.J.R. van de Vijver, K. Liebkind; Predicting immigrant youths’ adaptation across countries and ethnocultural groups; J.W. Berry, J.S. Phinney, D.L. Sam, P. Vedder (Eds.), Immigrant youth in cultural transition: Acculturation, identity, and adaptation across national contexts, Lawrence Erlbaum Associates, Inc., Mahwah, New Jersey (2006), pp. 143–165
  39. Zane, 2003 N. Zane, W. Mak; Major approaches to the measurement of acculturation among ethnic minority populations: A content analysis and an alternative empirical strategy; K.M. Chun, P.B. Organista, G. Marín (Eds.), Acculturation: Advances in theory, measurement, and applied research, American Psychological Association, Washington, DC (2003), pp. 39–60 doi: 10.1037/10472-005
Back to Top

Document information

Published on 28/03/17

Licence: Other

Document Score

0

Views 29
Recommendations 0

Share this document

claim authorship

Are you one of the authors of this document?