1 Introducción

En el campo de la ingeniería es muy importante conocer el comportamiento que experimenta un material ante la aplicación de cargas externas, para determinar las condiciones de uso del mismo.

El comportamiento que puede experimentar un material va desde el puramente elástico hasta el puramente viscoso. Con respecto a los materiales poliméricos el comportamiento no es ni elástico puro ni viscoso puro. Inicialmente, el polímero presenta una respuesta inicial independiente del tiempo, propia de la naturaleza elástica del material, y una respuesta dependiente del tiempo, basada en la naturaleza viscosa del mismo.

Debido a este comportamiento dual [1], es necesario utilizar modelos que se ajustan en mayor o menor medida a la respuesta que ofrece el material.

Estos modelos emplean muelles y émbolos, elementos elásticos y viscosos respectivamente, acoplados de diferentes maneras, en serie, en paralelo e incluso configuraciones más complejas para modelizar el comportamiento de un material polimérico mediante la determinación del valor numérico de cada una de las constantes elásticas y viscosas de los elementos que intervienen en los modelos propuestos.

Este trabajo se ha centrado en estudio del comportamiento viscoelástico del material compuesto de matriz de ácido poliláctico,PLA, carga de cáscara de avellana y un plastificante vegetal de aceite de linaza epoxidado, ELO, mediante los modelos físicos simples de Maxwell y Kelvin-Voigt y el modelo complejo de Burgers que combina los dos anteriores y la obtención del valor numérico de las constantes elásticas y viscosas que intervienen en cada modelo.

2 Experimental

2.1 Materiales

El material compuesto presenta una matriz de ácido poliláctico, suministrado por NatureWorks (Minesota, EEUU) que responde al nombre comercial de Ingeo 6201D. Como carga lignocelulósica se ha utilizado harina de cáscara de avellana procedente de la avellana común o Corylus. Y por último, como plastificante, se ha utilizado un plastificante vegetal de aceite de linaza epoxidado, ELO, suministrado por Traquisa (Barcelona, España). Se han preparado 3 formulaciones. La primera de ellas no contiene plastificante (80% en peso de PLA y 20 % de harina de cáscara de avellana). Las otras dos mantienen el peso de cáscara de avellana en el 20% pero el peso de PLA disminuye en la misma proporción en la que aumenta el plastificante, 7,5 y 15% en peso de ELO.

2.2 Equipos

Para la obtención de los valores correspondientes al comportamiento viscoelástico real de los compuestos se ha utilizado un equipo DMTA, con una primera etapa en la que la tensión se ha mantenido contante en 10 MPa y una segunda etapa en la que no se ha aplicado tensión. La temperatura se ha mantenido constante en las dos etapas a 45 ºC. El equipo DMTA empleado ha sido el AR-G2 de TA Instruments (New Castle, EEUU).

2.3 Modelos físicos viscoelásticos

El comportamiento de un sólido elástico se define mediante la respuesta de un resorte o muelle el cual se rige por la Ley de Hooke, Ecuación (1).

(1)


La rigidez del muelle, , representa la constante de proporcionalidad entre la tensión aplicada ( ) y la elongación producida ( ). La respuesta del resorte es instantánea e independiente del tiempo.

En cuanto al comportamiento de un fluido newtoniano, la ley que rige este es la Ley de Newton, Ecuación (2) y la respuesta es la de un émbolo en un fluido.

(2)


En este caso, la elongación no es constante, sino progresiva con el tiempo. La contante de proporcionalidad ( ) indica la relación entre la tensión aplicada ( ) y la velocidad de deformación .

Los modelos siguientes pretenden parametrizar el comportamiento viscoelástico teniendo en cuenta las contribuciones elástica y viscosa propias del material.

2.3.1 Modelo de Maxwell

Este modelo acopla en serie un resorte (elemento elástico) con un émbolo (elemento viscoso) [2]. La tensión del resorte es la misma que la del émbolo e igual a la tensión aplicada, ya que el acoplamiento es en serie. En cuanto a la deformación total, es la suma de las deformaciones del resorte y del émbolo respectivamente. Por tanto, teniendo en cuenta estas consideraciones, la expresión general de este modelo es la de la Ecuación (3).

(3)


Donde:

constante elástica del resorte en el modelo de Maxwell

constante viscosa del émbolo en el modelo de Maxwell

2.3.2 Modelo de Kelvin-Voigt

El acoplamiento que realiza este modelo del resorte y del émbolo es en paralelo [2]. Dada las características propias de esta configuración hay que tener en cuenta que la deformación que experimenta el resorte es la misma que la que experimenta el émbolo e igual a la deformación total. Por el contrario, la tensión total aplicada es la suma de las tensiones en el resorte y en el émbolo. Según estas consideraciones la expresión general del modelo de Kelvin-Voigt es la mostrada en la Ecuación (4).

(4)


Donde:

constante elástica del resorte en el modelo de Kelvin-Voigt

constante viscosa del émbolo en el modelo de Kelvin-Voigt

2.3.3 Modelo de Burgers

Como ninguno de los modelos anteriores explica con un alto grado de fiabilidad los fenómenos ligados a la naturaleza viscoelástica de los polímeros, surge el modelo de Burgers, el cual combina en serie un subelemento de Maxwell con uno de Kelvin-Voigt [3-5]. Este modelo combinado predice de manera más real el comportamiento viscoelástico de los materiales poliméricos. En este modelo, la deformación total es la suma de las deformaciones sufridas, por un lado, en el subelemento de Maxwell, y por otro, en el subelemento de Kelvin-Voigt. Por tanto, teniendo en cuenta esta consideración, la expresión general de dicho modelo es la que representa la Ecuación (5).

(5)


Donde las constantes elásticas y viscosas hacen referencia a los resortes y émbolos de cada subelemento.

3 Resultados y discusión

3.1 Modelo de Maxwell

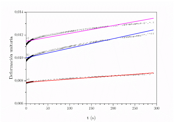
El modelo de Maxwell predice una fluencia tipo lineal, por tanto, no ofrece un buen ajuste. Por el contrario, refleja con cierta exactitud la deformación inicial independiente del tiempo, es decir, la elástica. La representación gráfica del ajuste obtenido en este modelo es el de la Figura 1.

Balart et al 2018a-image5.png
Figura 1. Ajuste matemático del modelo de Maxwell, a) sin plastificante y b) y c) con un 7,5 y 15% de ELO respectivamente.

Como se observa en la figura, los niveles de ajuste son pobres con valores de R2 entre 0,94 y 0,96.

En la Tabla 1 se muestran los valores de las constantes elástica y viscosa obtenidas mediante este ajuste. El valor más alto de se obtiene para el compuesto sin plastificante, siendo este de 1270 MPa. A medida que aumenta el contedino de ELO, el valor de la constante elástica diminuye hasta alcanzar un valor de 873 MPa para el compuesto con el mayor contenido en ELO, 15% en peso. Esto supone una disminución del 30% y se debe a que la rigidez del compuesto se ve reducida gracias al efecto plastificante del aceite vegetal.

Tabla 1. Valores numéricos de las constantes elástica y viscosa del modelo de Maxwell.
Contenido ELO (%) (MPa) (GPa s)
0 1271 3550
7,5 998 1203
15 873 1457


En cuanto a los valores de se observa que disminuyen con el aumento del contenido de ELO, hecho que se justifica al efecto lubricante interno que ejerce el aceite de linaza epoxidado. El mínimo valor, 873 GPa s, se obtiene para un 15% de ELO.

3.2 Modelo de Kelvin-Voigt

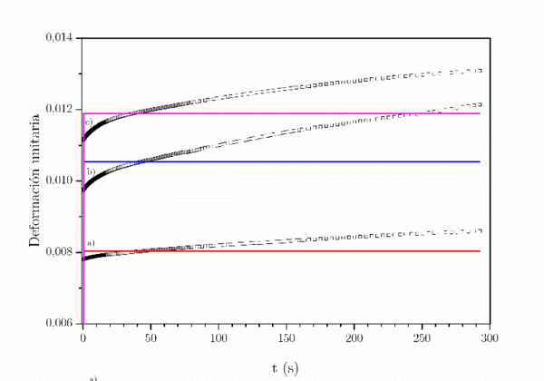
El modelo de Kelvin-Voigt es el que peores niveles de ajuste obtiene, con valores de R2 extremadamente bajos. Esto se debe a que no ofrece ninguna explicación de la deformación instantánea, es decir, de la deformación elástica inicial no dependiente del tiempo. La Figura 2, muestra el ajuste matemático correspondiente a este modelo para los compuestos analizados en este trabajo.

Balart et al 2018a-image6.png
Figura 2. Ajuste matemático del modelo de Kelvin-Voigt, a) sin plastificante y b) y c) con un 7,5 y 15% de ELO respectivamente.

Los valores de las constantes se observan en la Tabla 2.

Tabla 2. Valores numéricos de las constantes elástica y viscosa del modelo de Kelvin-Voigt.
Contenido de ELO (%) (MPa) (GPa s)
0 1243 24
7,5 949 26
15 841 21


Los valores de las constantes elásticas, , siguen la misma evolución que las del modelo de Maxwell, además, presentan valores muy similares. Los valores tan bajos de , del orden de la decenas, comparados con los obtenidos en el modelo de Maxwell, es indicativo de que el modelo de Kelvin-Voigt es válido para los momentos iniciales, donde la variación se produce de forma exponencial, hasta alcanzar el régimen quasi estacionario, que el modelo de Maxwell resuelve de manera más adecuada.

3.3 Modelo de Burguers

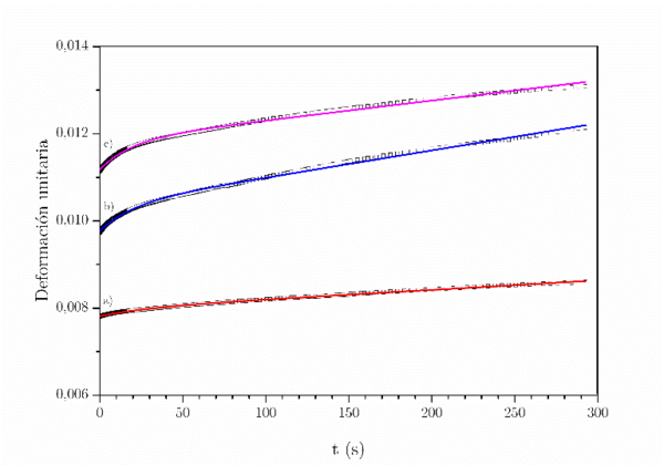
Este modelo es el que mejores ajustes obtiene, con valores de R2 cercanos a la unidad (0,997-0,999). La representación gráfica del ajuste matemático de este modelo se observa en la Figura 3.

Balart et al 2018a-image7.png
Figura 3. Ajuste matemático del modelo de Burgers, a) sin plastificante y b) y c) con un 7,5 y 15% de ELO respectivamente.

Los valores de las constantes elásticas y viscosas correspondientes al subelemento de Maxwell y al de Kelvin-Voigt combinados en el modelo de Burgers se indican en la Tabla 3.

Tabla 3. Valores numéricos de las constantes elástica y viscosa de los subelementos de Maxwell y Kelvin-Voigt combinados en el modelo de Burgers.
Contenido de ELO (%) (MPa) (GPa s) (MPa) (GPa s)
0 1280 4589 55978 1751
7,5 1024 1602 16890 333
15 895 2180 14967 286


En cuanto al subelemento de Maxwell, la evolución es similar a la descrita en el modelo individual de Maxwell, con valores tanto de la constante elástica como de la viscosa del mismo orden que las del modelo individual. Ambas constantes disminuyen con el aumento de contenido de plastificante. La constante elástica del subelemento de Kelvin-Voigt sigue una evolución similar a la del modelo individual de Kelvin-Voigt, es decir, disminuye su valor con el aumento de contenido de ELO. Sus valores son notablemente superiores a los respectivos del modelo de Maxwell, indicando que en la deformación a fluencia en el modelo de Burgers interviene en mayor proporción el subelemnto de Maxwell que el subelemento de Kelvin-Voigt.

4 Conclusiones

El estudio del comportamiento viscoelástico de los polímeros es de gran relevancia dado que la respuesta del material está condicionada a la variable tiempo.

El modelo de Maxwell y de Kelvin-Voigt, acoplamiento en serie y paralelo respectivamente de un resorte y un émbolo, aunque no consiguen excelentes ajustes, son una buena aproximación a los fenómenos de fluencia presentes en los polímeros. Ambos parametrizan el comportamiento viscoelástico de los materiales compuestos mediante dos parámetros, una constante elástica y una viscosa. En ambos modelos la constante elástica, , disminuye con el aumento de contenido de plastificante, ya que este reduce la naturaleza elástica y la rigidez del material compuesto. El efecto lubricante interno del ELO, que facilita el flujo de material, hace que las constantes viscosas, , también disminuyan con el aumento de contenido de aceite vegetal.

EL ajuste proporcionado por el modelo de Burgers es el mejor de los 3 ajustes realizados, con valores de R2 cercanos a la unidad (0,997-0,999). Este modelo explica la influencia del contenido de ELO en la deformación creciente con el tiempo. El modelo ofrece un gran nivel de ajuste tanto en la etapa de deformación elástica inicial, como en la etapa de deformación creciente exponencial en el régimen transitorio.

Agradecimientos

Esta investigación fue apoyada por el Ministerio de Economía y Competitividad - MINECO, Ref: MAT2014-59242-C2-1-R.

Referencias

[1] J. Raghavan y M. Meshii, "Creep of polymer composites", Composites Science and Technology, 57:12, 1673-1688 (1997).

[2] B. Jozwiak, M. Orczykowska, y M. Dziubinski, "Fractional Generalizations of Maxwell and Kelvin-Voigt Models for Biopolymer Characterization", Plos One, 10:11, (2015).

[3] P. Georgiopoulos, E. Kontou, y A. Christopoulos, "Short-term creep behavior of a biodegradable polymer reinforced with wood-fibers", Composites Part B-Engineering, 80:134-144 (2015).

[4] M.A. Mosiewicki, N.E. Marcovich, y M.I. Aranguren, "Creep Behavior of Wood Flour Composites Made from Linseed Oil-Based Polyester Thermosets", Journal of Applied Polymer Science, 121:5, 2626-2633 (2011).

[5] Y. Xu, Q. Wu, Y. Lei, y F. Yao, "Creep behavior of bagasse fiber reinforced polymer composites", Bioresource Technology, 101:9, 3280-3286 (2010).

Back to Top
GET PDF

Document information

Published on 14/10/18
Accepted on 14/10/18
Submitted on 14/10/18

Volume 02 - Comunicaciones Matcomp17 (2018), Issue Núm. 4 - Comportamiento en servicio de los materiales compuestos (2), 2018
DOI: 10.23967/r.matcomp.2018.10.023
Licence: Other

Document Score

0

Views 4
Recommendations 0

Share this document

claim authorship

Are you one of the authors of this document?