Abstract

This study presents a novel fractional semi-analytical iterative approach for solving nonlinear fractional Fisher's equations using the Caputo fractional operator. The primary objective is to provide a method that yields exact solutions to nonlinear fractional equations without requiring assumptions about nonlinear terms. By applying the Temimi-Ansari Method (TAM) with fractional calculus, this approach offers a robust solution to the time-fractional nonlinear Fisher's equation, a model relevant in fields such as population dynamics, tumor growth, and gene propagation. In this work, tables and graphical illustrations show that the proposed method minimizes computational complexity and delivers significant accuracy across multiple cases of Fisher's equations. The findings indicate that TAM with fractional order derivatives provides accurate, efficient approximations with reduced computational workload, showcasing the technique's potential for addressing a wide range of nonlinear fractional differential equations.

Revista Internacional de Métodos Numéricos para Cálculo y Diseño en Ingeniería

(1)

(2) #1

OPEN ACCESS

Received: 19/07/2024

Accepted: 01/11/2024

DOI

10.23967/j.rimni.2024.10.56315

Keywords:

Fractional calculus fisher's equation temimi-ansari method (TAM) semi-analytical iterative method numerical results

1 Introduction

Recently, it has been shown that fractional partial differential equations (FPDEs), which date back to 1695 , are superior in simulating the memory and hereditary features of complex materials. As a result, FPDEs are increasingly being included in the investigation of practical applications such as system identification, seepage in fractal media, anomalous diffusion, polymers and proteins, viscoelastic mechanics, and more [1-5].

With the rapid growth of nonlinear science, engineers and scientists have become increasingly concerned with approximate and asymptotic methods for solving nonlinear problems, especially in fields like solid-state physics, plasma physics, and fluid mechanics. In many branches of science and engineering, the exact or numerical solutions of FPDEs are crucial. However, finding these solutions remains challenging, necessitating the development of novel approaches. Most new nonlinear equations lack exact analytic solutions, leading to the widespread use of numerical and analytical

approaches, such as the expansion method [6], Adomian decomposition method [7], perturbation techniques [8,9], Lyapunov's artificial small parameter method [10], homotopy perturbation Sumudu transform method [11], weighted finite difference method [12], homotopy analysis transform method [13-15], and He's semi-inverse method [16], fractional sub-equation method [17], Laplace residual power series method [18], homotopy transform perturbation method [19], fractional reduced differential transform method [20] and so on. These techniques often have inherent fiaws, such as the calculation of Lagrange multipliers, divergent results, Adomian's polynomials, and extensive computational work. To address these issues, Temimi and Ansari developed the Temimi-Ansari method (TAM) [21-23], which overcomes many of the limitations of existing analytical methods. This work aims to extend the use of TAM, employing Caputo's operator to derive approximate solutions to the time-fractional nonlinear Fisher's equation.

Over the past few decades, numerous researchers have worked on numerically investigating Fisher's reaction-diffusion equation. For instance, Kudreyko and Cattani examined solutions to Fisher's equation using the wavelet-Galerkin approach [24], while Ablowitz and Zepetella explored traveling wave solutions [25]. Other researchers used the allowable stress design (ASD) method, Sinc collocation methods, and least-squares finite element methods [26-28]. Larson studied the transient behavior and time-dependent asymptotic convergence of solutions [29], while Mickens created a novel category of finite difference techniques to address the problem [30]. For the nonlinear Fisher's reactiondiffusion problem, the modified cubic B-spline differential quadrature technique has been expanded to include a classic differential quadrature technique [31].

Many researchers have offered diverse approaches for solving the Fisher's equations analytically. For example, Yadav et al. used the fractional-order homotopy analysis method (HAM) [32], while Mirzazadeh used the fractional differential transform method to solve the nonlinear Fisher's equation [33]. The homotopy perturbation method (HPM) method was utilized to find analytical solutions and calculate the absolute error of the solution [34]. Fisher-type equations have also been studied analytically using the Laplace homotopy perturbation approach [35]. Additionally, the optimum homotopy asymptotic approach has been utilized to provide approximate solutions to the Fisher equation [36]. The Shehu transformation and homotopy perturbation approach have been employed to describe the fractional analysis of Fisher's equations [37], a nonlinear model that combines linear diffusion and nonlinear growth, taking the following form:

.

Fisher presented the equation as a gene selection model where the positive constant represents the reaction factor, represents the growth rates or reaction terms, indicates a spatial or nondimensional variable or parameter and indicates population density. This equation describes populations, which can refer to tumor cells, humans, or fish. Fisher's equation explains the wave of beneficial genes advancing. The equation has garnered interest from scholars due to its numerous applications across various fields of engineering and science. It appears in contexts such as neurophysiology and nuclear reactor theory.

The arrangement of the study is as follows: The introduction is given in the first part. We present some necessary fractional calculus principles in the second part, which will be applied in this study. The foundational idea of the fractional order TAM, which is utilized to forecast fractional differential equation solutions, is covered in the third part. The suggested method is used to solve the nonlinear Fisher's problem in the fourth part. The results are finally presented in Section 5.

2 Preliminaries

Distinct thoughts of fractional calculus have been developed during the last hundreds of years, among them the AB fractional derivative operator, fractional integral operator, Caputo fractional derivative operator, Riemann-Liouville (R-L) fractional derivative operator and others [38,39].

Definition 1

The fractional integral operator of of a function is acquainted as

Definition 2

The Caputo fractional differential operator of order is defined as

3 Construction of Fractional TAM

To characterize the essential concept of the suggested technique, we consider the generic nonhomogeneous FPDE as [21-23]

with the boundary conditions

,

where the Caputo fractional operator of is indicated by , with indicating the general differential operators, represents the nameless function, the independent variable is denoted by , the dependent variable is denoted by . The recognized continuous functions are represented by , and the boundary operator is indicated by . is the main requirement here, and it is the general fractional differential operator. Along with the nonlinear expressions, we may arrange various linear expressions as appropriate. The suggested methodology begins by obtaining the initial condition through the elimination of the nonlinear part, as follows:

.

To get the next iteration of the solution, we solve the following equation:

As a result, we have a simple iterative stride which is the adequate approach to a linear and nonlinear set of problems

In this approach, it is important to note that solves the problem (4) separately at each step. The iterative approach is straightforward to apply, and each iteration yields a solution closer to the exact one. By continuing this method, an ideal approximate solution corresponding to the exact solution can be obtained. Therefore, the solution to Eq. (4) can be expressed as follows:

4 Applications by TAM

Numerous genuine physical implementations involving FPDEs are difficult to solve exactly. Because of this, an approximate solution usually suffices to solve the problem. To obtain such approximate solutions, the method developed here (FTAM) may be utilized. Here, we analyze four examples to show that our approach to solving the nonlinear Fisher's equation is more efficient and effective than other widely used approaches.

Case 1

We can look at the nonlinear fractional Fisher equation shown below [40]:

,

subject to a constant initial condition

.

By first rewriting the problem as a semi-analytical iterative method (FTAM),

The initial issue that must be addressed is

.

Eq. (13) can solved by doing the following basic manipulation:

.

The essential features of definition (2) are used to generate the main iteration

.

The second iteration maybe calculated as follows:

.

With the definition (2) applied and both sides of the previous equation integrated, we obtain

.

The following iteration is then obtained as

.

Calculating the third iteration may be done as

.

With the definition (2) applied and both sides of the previous equation integrated, we obtain

.

Then we acquire the next iteration as

.

Every repetition yields a rough solution to Eq. (10) based on Eq. (9). As the iteration count increases, the analytical solution approaches the exact solution more closely. The following analytical solution in series form can be produced by repeating this method:

,

which contains the exact solution as [40]

.

Case 2

We can look at the nonlinear fractional Fisher equation shown below [40]:

,

subject to the initial condition

.

By first rewriting the problem as semi-analytical iterative method (FTAM)

The initial issue that must be addressed is

Eq. (27) can solve by doing the following basic manipulation:

.

The essential features of definition (2) are used to generate the main iteration

.

The second iteration may be calculated as follows:

.

With the definition (2) applied and both sides of the previous equation integrated, we obtain

.

Then, we acquire the next iteration as

The third iteration can be calculated as

.

With the definition (2) applied and both sides of the previous equation integrated, we obtain

.

Then we acquire the next iteration as

Every repetition yields a rough solution to Eq. (24) based on Eq. (9). As the iteration count increases, the analytical solution approaches the exact solution more closely. The following analytical solution in series form can be produced by repeating this method:

,

which contains the exact solution as [40]

.

Case 3

In this case, we look at the fractional Fisher-type nonlinear diffusion equation [40]

subject to the initial condition

By first rewriting the problem as semi-analytical iterative method (FTAM)

The initial issue that must be addressed is

.

Eq. (42) can solve by doing the following basic manipulation

.

The essential features of definition (2) are used to generate the main iteration

.

The second iteration may be calculated as follows:

.

With the definition (2) applied and both sides of the previous equation integrated, we obtain

Then, we acquire the next iteration as

.

The third iteration can be calculated as

.

With the definition (2) applied and both sides of the previous equation integrated, we obtain

Then we acquire the next iteration as

,

where and . Every repetition yields a rough solution to Eq. (52) based on Eq. (9). As the iteration count increases, the analytical solution approaches the exact solution more closely. The following analytical solution in series form can be produced by repeating this method:

,

which contains the exact solution as [40]

.

where .

Case 4

We can look at the nonlinear fractional Fisher equation shown below [41]:

.

subject to the initial condition

.

We obtain the following analytical solutions by applying the same fundamental idea of the TAM of fractional order

Every repetition yields a rough solution to Eq. (53) based on Eq. (9). As the iteration count increases, the analytical solution approaches the exact solution more closely. The following

analytical solution in series form can be produced by repeating this method:

which contains the exact solution as [41]

.

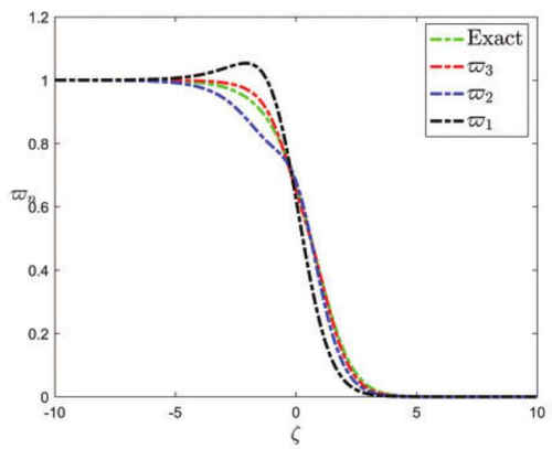
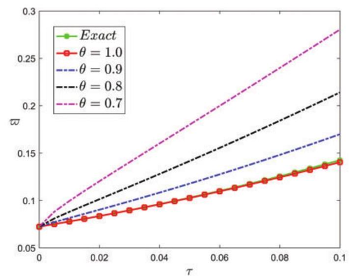
The analytical results for the particular state demonstrate that the general style of the approximate solution is the same as that of the exact solution. To geometrically demonstrate the behavior of the analytical solution TAM, the exact solution was compared with the fifth iteration of the approximate solution in two and three dimensions, as shown in Figs. 1-5. Tables 1 and 2 present the numerical outcomes and errors of the suggested method for four cases with varying time and spatial variables.

2025_04_01_15ef4ada59fa7bca2252g-09

Figure 1: The behavior of a collection of approximate solutions obtained by TAM for Case 1

SCIPEDIA

2025_04_01_15ef4ada59fa7bca2252g-10(5)

(a) Exact solution

2025_04_01_15ef4ada59fa7bca2252g-10(3)

(c) Exemplification of the TAM with the exact solution.

2025_04_01_15ef4ada59fa7bca2252g-10(4)

(e) The solution of the power series

2025_04_01_15ef4ada59fa7bca2252g-10(2)

(b) FTAM solution

2025_04_01_15ef4ada59fa7bca2252g-10

(d) Comparison between various amounts of

2025_04_01_15ef4ada59fa7bca2252g-10(1)

(f) Comparison at

Figure 2: The behavior of a collection of approximate solutions obtained by TAM for Case 2

SCIPEDIA

2025_04_01_15ef4ada59fa7bca2252g-11

Draft Sanchez Pinedo 470453401-2025 04 01 15ef4ada59fa7bca2252g-11.png

Figure 3: The behavior of a collection of approximate solutions obtained by TAM for Case 3

SCIPEDIA

2025_04_01_15ef4ada59fa7bca2252g-12

Draft Sanchez Pinedo 470453401-2025 04 01 15ef4ada59fa7bca2252g-12.png

Figure 4: The behavior of a collection of approximate solutions obtained by TAM for Case 4

2025_04_01_15ef4ada59fa7bca2252g-13

Figure 5: The absolute error between exact and TAM solutions for three cases

Table 1: Comparison of approximate solutions acquired by TAM with exact solution for Case 1 at


t 0.0 0.1 0.2 0.3 0.4 0.5 0.6 0.7 0.8 0.9 1.0
0.5 0.5249 0.5498 0.5744 0.5986 0.6224 0.6456 0.6681 0.6899 0.7109 0.7310
0.5 0.5249 0.5498 0.5744 0.5986 0.6224 0.6456 0.6681 0.6900 0.7110 0.7311
0.0

Table 2: Comparison of approximate solutions acquired by TAM with exact solution


X Case Case Case
Failed to parse (syntax error): {\textstyle E_{{б }}} Failed to parse (syntax error): {\textstyle E_{{б }}} Failed to parse (syntax error): {\textstyle E_{{б }}}
0.0 0.387456 0.387313 0.512504 0.512472 0.00999 0.009999
0.1 0.358427 0.358299 0.530147 0.530116 0.109558 0.109556
0.2 0.329984 0.329873 0.547716 0.547684 0.206966 0.206963

(Continued)

Table 2 (continued)


x Case Case Case
Failed to parse (syntax error): {\textstyle E_{{бб }}} Failed to parse (syntax error): {\textstyle E_{{ш }}} Failed to parse (syntax error): {\textstyle E_{{б }}}
0.3 0.302317 0.302223 0.5 0.565135 3.1 0.300437 0.300432
0.4 0.275603 0.275521 0.582457 0.582425 0.388473 0.38846 5.67
0.5 0.250000 0.249926 0.599547 0.599516 0.469945 0.469939
0.6 0.225645 0.225572 0.616398 0.616367 0.544127 0.544122 5.59 E
0.7 0.202649 0.202571 . 632975 0.632944 0.610677 0.610672 5.03
0.8 0.181099 0.181009 0.649242 0.649212 0.669590 0.669586 4.32 E
0.9 0.161052 0.160945 0.665170 0.665140 0.721132 0.721129
1.0 0.142537 0.142411 0.680731 0.680701 0.765762 0.765759 2.85 E

5 Conclusion

The primary contribution of this labor is the successful demonstration of TAM with fractional time derivatives to obtain analytical solutions to distinct nonlinear fractional differential equations. The outcomes indicate that a small number of approximate expressions yield highly reliable outcomes, and the error in the approximate solution decreases rapidly as the number of these expressions increases. Furthermore, compared to other approaches, this one uses less computing power and a central processing unit (CPU). The effectiveness of this strategy has been shown to confirm TAM's accuracy and dependability. The results show that this approach works very well for solving a class of fractional operator nonlinear FPD problems. The suggested approach solves a variety of fractional equations and systems in an efficient and effective manner.

Acknowledgement: Not applicable.

Funding Statement: This research project was funded by the Deanship of Scientific Research and Libraries, Princess Nourah bint Abdulrahman University, through the Program of Research Project Funding After Publication, grant No. (RPFAP-15-1445).

Author Contributions: The authors confirm contribution to the paper as follows: study conception and design: Ahmed Hagag; data collection: Areej Almuneef; analysis and interpretation of results: Ahmed Hagag; draft manuscript preparation: Areej Almuneef. All authors reviewed the results and approved the final version of the manuscript.

Availability of Data and Materials: Not applicable.

Ethics Approval: Not applicable.

Conflicts of Interest: The authors declare no conflicts of interest to report regarding the present study.

References

  1. Fang C, Shen X, He K, Yin C, Li S, Chen X, et al. Application of fractional calculus methods to viscoelastic behaviours of solid propellants. Philos Trans Royal Soc A. 2020;378(2172):20190291. doi:10.1098/rsta.2019.0291.
  2. Li B, Sun W. Unconditional convergence and optimal error estimates of a Galerkin-mixed FEM for incompressible miscible fiow in porous media. SIAM J Numer Anal. 2013;51(4):1959-77. doi:10.1137/120871821.
  3. Anley EF, Basha M, Hussain A, Dai B. Numerical simulation for nonlinear space-fractional reaction convection-diffusion equation with its application. Alex Eng J. 2023;65:245-61. doi:10.1016/j.aej.2022.10.047.
  4. Ahmad H, Farooq M, Khan I, Nawaz R, Fewster-Young N, Askar S. Analysis of nonlinear fractional-order fisher equation using two reliable techniques. Open Phys. 2024;22:20230185. doi:10.1515/phys-2023-0185.
  5. Metzler R, Klafter J. The random walk's guide to anomalous diffusion: a fractional dynamics approach. Phys Rep. 2000;339(1):1-77. doi:10.1016/S0370-1573(00)00070-3.
  6. Plankovskyy S, Myntiuk V, Tsegelnyk Y, Zadorozhniy S, Kombarov V. Analytical methods for determining the static and dynamic behavior of thin-walled structures during machining. In: International ScientificPractical Conference, 2020; Chernihiv, Ukraine; p. 82-91.
  7. Gouder PM, Kolli VH, Page MH, Chavaraddi KB, Chandaragi P. The homotopy perturbation method to solve a wave equation. Commun Math Appl. 2022;13(2):691-701. doi:10.26713/cma.v13i2.1764.
  8. Alturky S, ALBERT TOMA G. A hybrid kharrat-toma transform with homotopy perturbation method for solving integro-differential equations. J Math Anal Model. 2021;2:50-62. doi:10.48185/jmam.v2i2.233.
  9. Lyapunov AM. The general problem of the stability of motion. London, UK: Taylor & Francis; 1992.
  10. Ercan A. Adomian decomposition method for solving nonlinear fractional sturm-liouville problem. Cumhuriyet Sci J. 2020;41:169-75. doi:10.17776/csj. 632415.
  11. Alomari AK, Syam MI, Anakira NR, Jameel AF. Homotopy Sumudu transform method for solving applications in physics. Results Phys. 2020;18:103265. doi:10.1016/j.rinp.2020.103265.
  12. Jena S, Senapati A. One-dimensional heat and advection-diffusion equation based on improvised cubic Bspline collocation, finite element method and Crank-Nicolson technique. Int Commun Heat Mass Transf. 2023;147:106958. doi:10.1016/j.icheatmasstransfer.2023.106958.
  13. Arafa A, Hagag A. Approximate solutions for some reaction-diffusion systems with non integer order. Int J Appl Comput Math. 2021;7:1-22. doi:10.1007/s40819-021-00957-z.
  14. El-Sayed A, Arafa A, Hagag A. Mathematical model for the novel coronavirus (2019-nCOV) with clinical data using fractional operator. Numer Methods Partial Differ Equ. 2023;39:1008-29. doi:10.1002/num. 22915.
  15. Arafa A, Hagag A. A different approach for study some fractional evolution equations. Anal Math Phys. 2021;11:162. doi:10.1007/s13324-021-00592-3.
  16. Wu GC, He JH. Fractional calculus of variations in fractal space-time. Nonlinear Sci Lett A. 2010:281-7. doi:10.2298/TSCI1603773H.
  17. Razzaq W, Zafar A, Ahmed H, Rabie W. Construction solitons for fractional nonlinear Schrödinger equation with -time derivative by the new sub-equation method. J Ocean Eng Sci. 2022;7:305-12. doi:10.1016/j.joes.2022.06.013.
  18. Filali D, Shqair M, Alghamdi FA, Ismaeel S, Hagag A. Solving a novel system of time-dependent nuclear reactor equations of fractional order. Symmetry. 2024;16(7):831. doi:10.3390/sym16070831.
  19. Loyinmi A, Akinfe T. Exact solutions to the family of Fisher's reaction-diffusion equation using Elzaki homotopy transformation perturbation method. Eng Rep. 2020;2:e12084. doi:10.1002/eng2.12084.
  20. Patel H, Patel T. Applications of fractional reduced differential transform method for solving the generalized fractional-order fitzhugh-nagumo equation. Int J Appl Comput Math. 2021;7:188. doi:10.1007/s40819-021-01130-2.
  21. Temimi H, Ansari AR. A new iterative technique for solving nonlinear second order multi-point boundary value problems. Appl Math Comput. 2011;218:1457-66. doi:10.1016/j.amc.2011.06.029.
  22. Arafa A, EL-Sayed A, Hagag A. A fractional Temimi-Ansari method (FTAM) with convergence analysis for solving physical equations. Math Methods Appl Sci. 2021:1-18. doi:10.1002/mma.7212.
  23. Temimi H, Ansari AR. A semi-analytical iterative technique for solving nonlinear problems. Comput Math Appl. 2011;61:203-10. doi:10.1016/j.camwa.2010.10.042.
  24. Cattani C, Kudreyko A. Mutiscale analysis of the fisher equation. In: International Conference on Computational Science and Its Applications, 2008; Perugia, Italy; vol. 5072, p. 1171-80.
  25. McCue SW, El-Hachem M, Simpson MJ. Exact sharp-fronted travelling wave solutions of the Fisher-KPP equation. Appl Math Lett. 2021;114:106918. doi:10.1016/j.aml.2020.106918.
  26. Jebreen H . On the numerical solution of Fisher's equation by an efficient algorithm based on multiwavelets. AIMS Math. 2020;6:2369-84. doi:10.3934/math. 2021144.
  27. Zhang X, Yao L, Liu J. Numerical study of Fisher's equation by the RBF-FD method. Appl Math Lett. 2021;120:107195. doi:10.1016/j.aml.2021.107195.
  28. Liu Q, Zhang S. Adaptive flux-only least-squares finite element methods for linear transport equations. J Sci Comput. 2020;84:26. doi:10.1007/s10915-020-01269-y.
  29. Kapoor M, Joshi V. Solution of non-linear Fisher's reaction-diffusion equation by using Hyperbolic B-spline based differential quadrature method. J Phy: Conf Series. 2020;1531(1):012064. doi:10.1088/1742-6596/1531/1/012064.
  30. Defreitas C, Kane S. A Laplace transform finite difference scheme for the Fisher-KPP equation. J Algorithms Comput Technol. 2021;15:1748302621999582. doi:10.1177/1748302621999582.
  31. Shukla H, Tamsir M. Extended modified cubic B-spline algorithm for nonlinear Fisher's reaction-diffusion equation. Alex Eng J. 2016;55:2871-9. doi:10.1016/j.aej.2016.06.031.
  32. Yadav S, Kumar D, Nisar K. A reliable numerical method for solving fractional reaction-diffusion equations. J King Saud Univ-Sci. 2021;33:101320. doi:10.1016/j.jksus.2020.101320.
  33. Mirzazadeh M. A novel approach for solving fractional Fisher equation using differential transform method. Pramana. 2016;86:957-63. doi:10.1007/s12043-015-1117-2.
  34. Farhood A, Mohammed O. Homotopy perturbation method for solving time-fractional nonlinear variable-order delay partial differential equations. Partial Differ Equ Appl Math. 2023;7:100513. doi:10.1016/j.padiff.2023.100513.
  35. Aminikhah H, Mehrdoust F, Jamalian A. A new efficient method for nonlinear Fisher-type equations. J Appl Math. 2012;2012:586454. doi:10.1155/2012/586454.
  36. Ayati Z, Ahmady S. The comparison of optimal homotopy asymptotic method and homotopy perturbation method to solve Fisher equation. Comput Methods Differ Equ. 2016;4:43-53.
  37. Shah N. An analytical view of fractional-order fisher's type equations within caputo operator. Math Probl Eng. 2021;2021:5516392. doi:10.1155/2021/5516392.
  38. Podlubny I. Fractional differential equations. New York: Academic Press; 1999.
  39. Gorenfio R, Mainardi F. Fractional calculus: Int and differential equations of fractional order. In: Carpinteri A, Mainardi F, editors. Fractals and fractional calculus. New York; Springer Vienna, 1997.
  40. Wazwaz A, Gorguis A. An analytic study of Fisher's equation by using Adomian decomposition method. Appl Math Comput. 2004;154:609-20. doi:10.1016/S0096-3003(03)00738-0.
  41. Wazwaz A. The tanh method for traveling wave solutions of nonlinear equations. Appl Math Comput. 2004;154:713-23. doi:10.1016/S0096-3003(03)00745-8.
Back to Top
GET PDF

Document information

Published on 01/01/Select a year

Licence: CC BY-NC-SA license

Document Score

0

Views 0
Recommendations 0

Share this document