A. Juradoa, C. Garcíaa, E. Sancheza
aTécnicas y Servicios de la Ingeneria TSI. S.L., Madrid 28016, Madrid
FIBRESHIP, el gran reto de usar materiales compuestos en la construccion de buques de gran eslora
Draft Compuestos 142603353-image1.png
Historia del artículo:

Recibido 6 de Junio 2019

En la versión revisada 20 de Junio 2019

Aceptado 5 de Julio 2019

Accesible online 15 de Setiembre de 2020

FIBRESHIP (H2020, Grant 723360) es un ambicioso proyecto de innovacion naval financiado por la Comisión Europea, en el que participan 18 socios europeos que estan coordinados por la empresa española Tecnicas y Servicios de Ingenieria (TSI). El objetivo principal de FIBRESHIP es superar el gran desafio tecnologico que supone sustituir los materiales metalicos utilizados actualmente en la construcción de grandes buques por materiales compuestos.

Para llevar a cabo este reto, se está abordando el proyecto desde diferentes puntos de vista: i) análisis de negocio y potencial mercado de los buques; ii) análisis y modelado numérico de los materiales compuestos seleccionados para su construccion; iii) diseño estructural del barco usando programas de simulación numerica; y, iv) análisis de los procesos de construcción naval aplicadas a esta tecnología, de monitorización y de ciclo de vida.

El estudio e implantación de composites para la construccion de buques de gran eslora se está llevando a cabo a través del diseño de tres tipos de buques de más de 50 metros, los cuales son considerados como los más prometedores en el mercado: un portacontenedores de 245 metros de eslora entre perpendiculares, un ROPAX de 185 metros y un oceanográfico de 80 metros. Además, se están desarrollando modelos numéricos específicos los cuales están siendo validados a través de campañas de ensayos. Por ultimo, tambien se estan desarrollando diferentes estrategias de medición de salud estructural y modelos de producción adaptados a esta tecnología.

Palabras clave:

Materiales compuestos

Estructuras ligeras

Buques de gran eslora

Modelos elementos finitos

Monitorizacion de la salud estructural

Resistencia al fuego

FIBRESHIP, the greatest challenge of using composite materials for the construction of large-length ships
Draft Compuestos 142603353-image2.png
Keywords:

Composite materials

Lightweight structures

Large-length vessels

FEM

Structural Health Monitoring

Fire resistance

FIBRESHIP (H2020, Grant 723360) is an ambitious innovation project funded by the European Commission, which is participated by 18 European partners led by the Spanish company TSI. The main objective of FIBRESHIP is to overcome the great technical challenge of replacing the metallic materials currently used for the construction of large-lenght vessels for composite materials.

To carry out this task, this project is addressed from different points of view: i) shipping market and bussiness analysis of composite vessels, ii) analysis and numerical modeling of the materials selected, iii) development of the structural design using a finite element analysis software, and, iv) analysis of the construction and assembly procedures, structural health monitoring techniques, and ship life cycle.

The study and implementation of this technology for the construction of large-length composite vessels is carried out through the design of three types of vessels over 50 meters, which are considered as the most promising in the market: a container ship of 245 meters length, a ROPAX of 185 meters and a special service oceanographic vessel of 80 meters. In addition, specific numerical models are being developed and validated through experimental testing campaigns. Eventually, different structural health monitoring strategies and production models adapted to this technology.



1 Introducción

Europa es uno de los mayores constructores de buques y estructuras marítimas en todo el mundo. Por este motivo, la Industria naviera Europea esta encargarda del 40% de la construcción de buques civiles, mercantes, y militares de alto nivel tecnológico en todo el mundo. De hecho, las empresas de construcción naval europeas se encuentran en una posición de liderazgo en el mercado internacional gracias a una clara determinación para ofrecer productos de un alto valor añadido usando la tecnología más avanzada.

Recientemente, el uso de materiales compuestos reforzados con fibra (FRP, por sus siglas en inglés) está ampliamente extendido para construir buques livianos con una longitud de hasta aproximadamente 50 metros. Esta restricción viene dada por el SOLAS, en el que se limita el uso de materiales compuestos para buques de más de 500 GT de arqueo bruto (es decir, aproximadamente 50 m de eslora). Sin embargo, el uso de materiales compuestos para buques de mayor eslora solo está permitido para mamparos y algunos componentes secundarios de la nave. Esta limitación se debe al hecho de que el uso masivo de composites en buques de gran eslora puede afectar negativamente el nivel de seguridad del buque. Por este motivo, se deben superar algunos desafios tecnológicas para demostrar la viabilidad de los materiales compuestos para la construcción de grandes buques ligeros. Para este propósito, el proyecto FIBRESHIP (H2020) sugiere la utilización de materiales innovadores para aplicaciones marinas y nuevas pautas de diseño para la construcción de buques de gran eslora. Del mismo modo, también sugiere el uso de nuevas herramientas para predecir la salud estructural de los buques usando simulaciones numericas para evaluar el comportamiento mecánico de las estructuras del barco.

La principal ventaja que tiene usar masivamente materiales compuestos en la construcción de embarcaciones es una importante reducción de peso en el buque, que implica un ahorro considerable en el consumo de combustible y un aumento de la capacidad de carga. Además, el uso masivo de materiales compuestos en la construcción de buques ofrece mas ventajas, como por ejemplo una importante disminución de las emisiones de gases contaminantes a la atmosfera y una drastica reducción del ruido ambiental bajo el agua. Por último, pero no menos importante, los composites son inmunes a los fallos de corrosión, lo que incrementa el ciclo de vida del buque y reduce los costes de mantenimiento. Un resumen de las principales ventajas de usar materiales compuestos en la construcción de buques se muestran en la Figura 1.

El principal objetivo de FIBRESHIP es crear un nuevo mercado tecnologico centrado en el diseño y la construcción de buques de gran eslora usando únicamente materiales compuestos en sus estructuras. Para lograr este objetivo, el proyecto propone emplear los materiales mas avanzados de fibra para aplicaciones marinas, nuevas pautas de diseño para la construccion de buques con materiales compuestos, y nuevas herramientas de inspección para predecir daños estructurales en buques. Además, las diferentes herramientas numéricas usadas a lo largo del proyecto se validarán y verificarán mediante ensayos estructurales a escala real.

Draft Compuestos 142603353-image5-c.jpg

Figura 1: Principales ventajas del uso masivo de materiales compuestos en la construcción de buques de gran eslora.

2 Motivacion del proyecto

2.1 El reto

El principal desafío del proyecto FIBRESHIP es impulsar una nueva legislacion que permita la construcción integral de barcos de gran eslora en materiales compuestos. Hoy en día, los materiales compuestos se usan masivamente en las estructuras ligeras de aviones o aerogeneradores, así como en buques de pequeña eslora que navegan por el medio marítimo desde hace décadas. Por lo tanto, no hay razón para retrasar el uso de materiales compuestos en buques de gran tamaño y aprovecharse de los beneficios económicos y medio ambientales propiciados por la aplicacion de composites en la industria naval.

2.2 Impacto

El impacto esperado que el proyecto FIBRESHIP tendrá sobre la industria naval será la utilizacion masiva de composites en la construcción de buques de gran eslora lo que reducira los costes de navegación y mejorará de manera radical la eficiencia de los buques.

La experiencia de los astilleros en la construcción de buques de composite de pequeña eslora indica que se puede lograr una reducción de peso del 30-40% debido a la utilizacion de materiales compuestos en vez de acero. De hecho, varios estudios en el proyecto han confirmado este rango, e incluso mayores reducciones de peso. Debido a esta importante reduccion de peso, el consumo de combustible en los buques de fibra es aproximadamente entre un 10-15% menor en comparación con los buques de acero. Por estos motivos, se reduce tambien el coste operacional de los buques ya que la reducción de peso disminuye el consumo de combustible por tonelada y aumenta la capacidad de carga del buque. Ademas de eso, se logra una reducción de las emisiones de gases de efecto invernadero propiciada por la disminución en el consumo de combustible. Por último, la applicacion de materiales compuestos resulta en una drastica reducción de la firma acústica de los barcos que disminuye el ruido submarino y evita trastornos a la fauna marina.

2.3 Información general del proyecto y campo de aplicación

Tres categorias de embarcaciones con diferentes aplicaciones comerciales han sido seleccionadas durante el transcurso del proyecto: buque para el transporte de mercancias, buque de pasajeros y entretenimiento, y buque de servicios especiales. En el proyecto, un portacontenedores, un buque de pasajeros y un barco de investigación pesquera han sido diseñados por ser los buques más representativos de cada categoría desde el punto de vista del consorcio. La Figura 2 muestra una descripcion esquematica de los tres tipos de embarcaciones diseñados a lo largo del proyecto FIBRESHIP.

Draft Compuestos 142603353-image6-c.png

Figura 2: Descripción de los tres tipos de buques diseñados en el proyecto FIBRESHIP.

2.4 Grupos de interés: Consorcio y consejo de asesores del proyecto

En FIBRESHIP participan las empresas y instituciones navieras más importantes de la industria naval europea. En concreto, el consorcio del proyecto FIBRESHIP está constituido por 18 organizaciones internacionales que pertencen a 11 países europeos. Entre ellos participa España con la empresa TSI (Técnicas y Servicios de Ingeniería) como coordinadora del proyecto, y junto a otras instituciones nacionales como COMPASS, CIMNE, SOERMAR, y el Instituto Español de Oceanografía (IEO).

El consorcio de FIBRESHIP está formado por tres importantes sociedades de clasificación (LLOYD´S REGISTER, BUREAU VERITAS y RINA), cuatro astilleros (IXBLUE, NAVREP, SOERMAR y TUCO), tres centros de investigación de reconocido prestigio (ULIM, VTT y CIMNE), cuatro armadores de buques (FOINIKAS, IEO, DA-NAOS y ANEK), tres empresas especializadas en proyectos de arquitectura e ingeniería naval (TSI, COMPASS, y TWI), y una consultoría especializada en el estudio de mercado ATEKNEA Solutions. Debido a su diversidad, el consorcio del proyecto FIBRESHIP posee los conocimientos especializados y multidisciplinarios que son necesarios para cumplir los objetivos del proyecto.

En el proyecto FIBRESHIP han participado los miembros mas relevantes de la industria naviera europea, consiguiendo de esta forma enriquecer este proyecto con una visión más completa del mercado. Dicha agrupación es conocida como el Consejo de asesores (Advisory Board) y esta formado entre otros por grandes astilleros (Harland y Wolff, Fincantieri, Navantia, y Gondán), socios industriales (Sika, Schottel, Teknocontrol, MJM marine, Galloo, y Sener), asociaciones navales (Gican, y SSA) y centros de investigación (Universidad de Atenas, Royal National Lifeboat Institution, Cehipar, y Fidamc).

A lo largo del proyecto, el número de compañías que participa en el consejo de asesores de FIBRESHIP ha ido aumentando. Por ello, se puede decir que el consejo de asesores está compuesto por una gran numero de empresas especializadas en el sector naval, lo que nos indica que una gran parte de la industria europea de ingeniería y construcción naval está interesada en la ejecución del proyecto FIBRESHIP.

3 Estructura del proyecto

El proyecto FIBRESHIP (Grant 723360) es un ambicioso proyecto de innovación naval financiado por la Comisión Europea a través del programa de I+D H2020. El proyecto actualmente está en proceso y se espera que finalice en mayo de 2020. En dicho proyecto se tratan de abordar diferentes aspectos de la aplicación de la tecnología de materiales compuestos en el diseño y construcción de buques de gran eslora.

Draft Compuestos 142603353-image7.jpeg
Figura 3: Descripción de las áreas temáticas y de los diferentes paquetes de trabajo del proyecto FIBRESHIP.

La ¡Error! No se encuentra el origen de la referencia. representa una descripcion esquematica de los diferentes paquetes de trabajo y áreas temáticas en las que se organiza el proyecto FIBRESHIP. El proyecto esta dividido en 10 paquetes de trabajo, los cuales se pueden clasificar en cuatro áreas temáticas que estan relacionados con los respectivos paquetes de trabajo: (i) análisis de mercado y plan de negocio; (ii) análisis de materiales, componentes y modelado numérico; (iii) diseño e ingeniería; y, (iv) producción y gestión del ciclo de vida. Todos los paquetes de trabajo del proyecto estan relacionados entre si, por ello es necesaria la información generada en cada uno de los paquetes de trabajo en todos los demás.

3.1 Análisis de mercado y plan de negocio

En el proyecto FIBRESHIP se realizó un estudio detallado del mercado naval con el objetivo de identificar los posibles nichos de mercado y diseñar buques con mayor potencial económico. Para abordar esta tarea, la situación actual del mercado naval se evaluo mediante un análisis SWOT (Fortalezas, Debilidades, Oportunidades, Coronas) y 4Ps (productos, lugar, promoción y precio). El principal objetivo de estos análisis es investigar la susceptibilidad del mercado a realizar cambios en su legislación, así como identificar los principales competidores y mayores dificultades para ingresar al mercado. Estos estudios económicos son esenciales para garantizar la viabilidad financiera y las ventajas económicas derivadas del uso de materiales compuestos en la construcción naval.

Como conclusión del análisis de mercado, las ventajas económicas de construir grandes buques en materiales compuestos y las principales áreas de aplicación de estos son definidas. Con el fin de garantizar la relevancia industrial del proyecto, la rentabilidad economica y el potencial comercial de los buques de fibra en comparacion con los buques de acero.

Además, se elabora un plan de negocios que cubre las diferentes fases del ciclo de vida del buque (desde el diseño hasta el desmantelamiento de la embarcacion), e identifica las oportunidades de negocio para los diferentes actores del mercado. El plan de negocios también sirve para proporcionar apoyo económico a los diferentes miembros que forman parte del proyecto FIBRESHIP. Esta actividad es una interacción entre el consorcio y el consejo de asesores que tiene el objetivo de proporcionar respuestas rápidas a los gastos imprevistos del proyecto derivados de los procesos de selección de materiales, las técnicas de unión, mantenimiento del buque, desmantelamiento y otras actividades cotidianas.

Basándonos en el análisis de mercado y el análisis de costes e beneficios, se elabora y presenta un plan de negocios global en el marco del proyecto FIBRESHIP para demostrar la viabilidad financiera y las ventajas económicas de la solución propuesta.

3.2 Selección, evaluación y modelado de materiales

La concepción, identificación y seleccion de materiales compuestos para la construccion de buques livianos y para su uso en las conexiones estructurales de los barcos es uno de los aspectos clave del proyecto. En este sentido, el proyecto FIBRESHIP investiga las propiedades de los materiales comerciales más relevantes de la industria aeroespacial, automotriz y eólica, así como varias tecnicas de unión utilizadas en proyectos de I+D, para evaluar su potencial en la construcción naval de buques de gran eslora.

Con el objetivo de seleccionar los materiales compuestos más apropiados para la construccion de los buques, se elabora una lista de posibles materiales compuestos. Se evalúa la viabilidad de los procesos de fabricación y procesado de composites como por ejemplo, infusión de resina, moldeo por compresión, conformado en prensas calientes, o autoclave. Por ultimo, tambien se considera el uso de materiales reciclados y otras posibles alternativas para reducir los costes de fabricación.

En el proceso de selección de materiales para la construccion de buques ligeros se ha investigado el uso de materiales comerciales disponibles en el mercado y el desarrollo de nuevos composites para aplicaciones marinas. Esto da como resultado una extensa lista de posibles materiales que se evalúan mediante una campaña experimental a pequeña escala que incluye ensayos mecánicos y de flamabilidad. De estos posibles candidatos, se seleccionan dos materiales en función de sus propiedades mecánicas, resistencia al fuego, coste, disponibilidad e impacto ambiental.

Los materiales compuestos seleccionados se caracterizan usando una extensa campaña experimental. La campaña experimental se divide en tres partes que tienen el propósito de caracterizar por completo en el comportamiento mecánico del material: (i) Pruebas de caracterización mecánica: Ensayos físicos en paneles de composite para determinar las propiedades mecánicas en varias condiciones de carga (tensión, compresión y corte). (ii) Pruebas de rendimiento de fatiga: el objetivo de estas pruebas experimentales es determinar la degradación de las propiedades mecánicas cuando los composites estan sometidos a cargas cíclicas. Además, se analizan pequeñas secciones de los composites usando técnicas de microscopia con el objetivo de identificar los modos de fallo de los composites (rotura de matriz, delaminación, separación de fibra y resina o rotura de las fibras). (iii) Pruebas de comportamiento en fuego: se realiza un estudio experimental a escala de laboratorio para caracterizar las propiedades del material relacionadas con la pirólisis y la combustión del composite. Los resultados de estas pruebas de incendio proporcionan información muy importante sobre la degradación térmica del material, la producción de humo, la toxicidad de humo y la resistencia al fuego de los materiales. Los resultados de estas pruebas experimentales se usan para verificar los resultados de las simulaciones numéricas desarrollados en el proyecto.

Por otro lado, otro desafío del proyecto FIBRESHIP es llevar a cabo un estudio exhaustivo de las diferentes uniones estructurales, que son necesarias para unir los diferentes modulos de los buques. Para llevar a cabo esta tarea, es necesario evaluar la solidez de las juntas estructurales entre los diferentes elementos del barco como, por ejemplo, las uniones entre el casco e cubierta y las secciones modulares entre los diferentes modulos del buque. En este sentido, varios miembros del proyecto FIBRESHIP poseen una gran experiencia en la fabricación de uniones entre secciones de composite para barcos de pequeña eslora. Esta experiencia es vital para los nuevos requisitos de la industria naval, que demanda conexiones fuertes entre los diferentes elementos estructurales de los buques. Cabe señalar que las juntas estructurales de los buques se evaluaran en pruebas de mediana y gran escala durante el segundo período del proyecto FIBRESHIP.

En resumen, el objetivo de esta área temática es crear un catálogo de materiales compuestos para la construcción de barcos de mas de 50 metros de eslora. Para este proposito, el proyecto FIBRESHIP esta realizando una extensiva caracterizacion de los composites de fibra y uniones del buque.

3.3 Diseño e ingeniería

Actualmente, el uso de materiales compuestos está limitado a buques de pequeña eslora (<50 m) y partes secundarias de los barcos como la superestructura. Esto se debe a la ausencia de reglas para la construcción de buques de gran eslora en fibra. Por lo tanto, es urgente impulsar un nuevo marco regulatorio que permita el uso generalizado de composites en la construccion de buques con el objetivo de abrir el mercado a esta tecnología ampliamente utilizada en otros sectores como el aeronáutico.

En la última década, una gran cantidad de herramientas numéricas se han utilizado para simular el comportamiento de las estructuras de acero en buques. Por el contrario, no existen herramientas numéricas específicas para modelar buques en composites de gran eslora. Por lo tanto, es de suma importancia adaptar las herramientas numéricas de diseño y evaluación de grandes buques para simular el comportamiento de buques de fibra.

El proyecto FIBRESHIP se encarga del diseño de tres categorías de buques con grandes aplicaciones en el mercado actual: buques de transporte de carga de volumen, buques de transporte de pasajeros y entretenimiento, y buques de servicios especiales. Las tecnologías y herramientas software desarrolladas en el proyecto FIBRESHIP se utilizan para mejorar el diseño de las tres tipologías de buques y evaluar los desafíos técnicos asociados al hecho de que están completamente construidos en materiales basados en fibra.

Por otra parte, el mayor reto de esta área temática es desarrollar pautas y directrices para el diseño para la futura certificación de buques construidos en materiales compuestos. Estas directrices tienen como objetivo impulsar una nueva normativa en el mercado para regular los conceptos básicos de ingeniería, diseño estructural y protección contra incendios, para cualquier barco de fibra de las tres categorías objetivo. A tal efecto, se utilizan los criterios de las sociedades de clasificación, que consisten en una parte principal aplicable a todos los buques y anexos específicos para las particularidades de cada uno.

La metodología empleada para alcanzar los objetivos propuestos, comienza con el diseño de las tres categorias de buques y la identificación de los desafíos técnicos de construir buques integramente en materiales compuestos. Además, se considera la realización de análisis computacionales para evaluar el comportamiento de la estructura del buque durante un incendio y la propagación del mismo. Los escenarios de los posibles incendios se simulan utilizando curvas estándar de tiempo-temperatura y simulaciones numéricas de fuego.

Además, es bien sabido que el ruido submarino de los buques es un asunto a tener en cuenta para la protección de la fauna marina, siendo un tema que ya está en la mesa tanto a nivel legislativo europeo como a nivel internacional (a través de la IMO). Por este motivo, se tiene en cuenta la ejecución de un análisis de ruido radiado bajo el agua (URN, Underwater Radiated Noise) para evaluar los beneficios medio ambientales (es decir, la reducción del ruido submarino emitido) que se derivan de la construcción de estos buques utilizando materiales FRP.

Por otra parte, las ligeras estructuras de materiales compuestos de los buques deben soportar cargas cíclicas debido a la interacción con las olas del mar. Por lo tanto, es esencial desarrollar nuevas herramientas de simulación que sean capaces de monitorear las tensiones y deformaciones generadas por las olas marinas. En este sentido, uno de los paquetes de trabajo del proyecto está desarrollando un sistema de monitorización de salud estructural de los barcos de FRP para evaluar los daños durante su vida útil. El nuevo sistema de monitorización de daño pretende alimentar un futuro sistema basado en nuevas herramientas computacionales que sea capaz de acoplar programas de simulación de comportamiento en la mar del buque con programas de elementos finitos para predecir la respuesta mecánica del casco de los buques, dando lugar al concepto de gemelo digital.

El comportamiento al fuego de los buques de fibra se podrá evaluar utilizando un programa de simulación de incendios a bordo. Además, se propone una herramienta de análisis termo mecánico para investigar la dependencia de las propiedades mecánicas con la temperatura y la degradación térmica de las propiedades mecánicas con la temperatura. El efecto de la temperatura en el comportamiento no lineal del composite esta incluido en el modelo de simulacion numerica por medio de una variable de daño térmico que trata de modelar este fenómeno.

Todos los modelos numéricos desarrollados a lo largo del proyecto FIBRESHIP están integrados en el mismo software numérico. El propósito de este software es evaluar el comportamiento estructural de un buque en material compuesto teniendo en cuenta los diferentes modos de fallo que puedan darse (delaminación, rotura de fibras o de matriz), a partir del estado de mar, la existencia de fuego, fatiga, condiciones de carga, etc.

Por último, los resultados de las simulaciones llevadas a cabo a partir de los modelos numéricos desarrollados se van a validar usando los resultados experimentales obtenidos en las diferentes campañas de ensayos.

3.4 Gestión de la producción y del ciclo de vida

El uso masivo de composites en el diseño y la construcción de buques de gran eslora puede incrementar los costes de construcción. Por lo tanto, es importante controlar los costes de fabricación y garantizar la viabilidad económica del proyecto mediante el uso de técnicas de fabricación rentables. Las nuevas técnicas de fabricación serán validadas por las sociedades de clasificación con el objetivo de preparar pautas y directrices para la construccion de nuevos buques en FRP. Además, también se evaluará el coste y la viabilidad técnica de adaptar los astilleros existentes a nuevos procesos de fabricación de buques ligeros que hagan competitiva esta tecnología en el sector de construcción naval.

Para demostrar los logros y los avances tecnológicos del proyecto FIBRESHIP en el diseño de buques livianos, se está construyendo un bloque a escala real del barco de investigación pesquera en el astillero IXBLUE. El propósito de este módulo es identificar los puntos débiles de la estructura, validar los resultados de las simulaciones numéricas, y evaluar las técnicas de fabricación, entre otros. Por otro lado, tambien se pretende verificar la viabilidad económica de los buques construidos con composites para poder aplicar estas tecnologías en la industria marítima. El bloque se va a inaugurar en el segundo taller de FIBRESHIP que se celebrará en Marsella (Francia) a finales de junio de 2019.

La monitorizacion de fallos estructurales en buques durante el ciclo de vida del buque es importante para reducir los gastos de mantenimiento a del buque. Por este motivo, es necesario desarrollar nuevos procedimientos de inspección estructural y control de daños para evaluar la salud estructural del buque en tiempo real. En este sentido, uno de los objetivos del proyecto FIBRESHIP es desarrollar modelos de simulacion numerica para monitorizar la salud estructural del buque. La idea principal es monitorizar los cambios en la estructura del barco causados por los impactos de las olas del mar durante la navegación. Como resultado de las simulaciones, los movimientos cíclicos entre la proa y la popa del buque (movimientos de arrufo y quebranto) se miden con el objetivo de controlar y prever posibles fallos en la estructura.

Desde el punto de vista de la gestión de residuos, el proyecto FIBRESHIP esta realizando varias actividades para analizar los residuos generados durante el proceso de construccion, la vida útil del buque y el desmantelamiento del buque.

4 Principales resultados del proyecto fibreship hasta el momento

FIBRESHIP es un ambicioso proyecto europeo de innovación basado en el desarrollo de un nuevo mercado centrado en la construcción y el diseño de grandes buques en materiales compuestos. Las principales ventajas de usar materiales compuestos para construir los buques son un aumento de la capacidad de carga, una disminución de las emisiones de gases y una reducción significativa del consumo de combustible que se traduce en un importante ahorro económico. El objetivo de esta sección es presentar los principales logros e hitos del proyecto FIBRESHIP.

4.1 Diseño de buques en materiales compuestos

A lo largo del proyecto FIBRESHIP, tres grandes categorías de buques han sido elegidas como las más prometedoras para ser diseñadas usando integramente materiales compuestos:

- Categoría 1: Buques de mercancias. El barco seleccionado en esta categoria es un portacontenedores de 260m de eslora.

- Categoría 2: Buques para el transporte de pasajeros y de ocio. El barco seleccionado es un ROPAX de 204m de eslora.

- Categoría 3: Buques de servicios especiales. El barco elegido es un buque de investigación pesquera u oceanográfico de 86m de eslora.

Las herramientas de simulacion numerica desarrolladas en el proyecto FIBRESHIP se utilizan para el diseño de los tres buques y la evaluacion de desafíos técnicos asociados al hecho de que los buques están completamente construidos en materiales basados en fibra.

4.2 Selección y evaluacion de materiales compuestos

En el proceso de selección de materiales se usan composites comerciales disponibles en el mercado, y nuevos materiales desarrollados en otros proyectos de innovación. Para este proposito, una extensiva lista de materiales compuestos fabricados con varias resinas, fibras y aislantes se ha evaluado en una amplia campaña experimental que incluye ensayos de mecanicos y de fuego. Las Figura 4 yFigura 5 muestran un ejemplo de las pruebas de caracterizacion mecanicas y de fuego utilizados en el proceso de selección y evaluacion de materiales compuestos.

Draft Compuestos 142603353-image8.png

Figura 4: Fotografía de las pruebas de flexión a tres puntos utilizadas para evaluar la resistencia a flexión de materiales compuestos.

File:Draft Compuestos 142603353-image9.png

Figura 5: Fotografía del cono calorimétrico usado para evaluar el comportamiento al fuego de los composites.

En cuanto al comportamiento del fuego, se han realizado numerosas pruebas de fuego a pequeña escala para estudiar la flamabilidad de los materiales compuestos seleccionados. Los resultados obtenidos en los ensayos de fuego revelan datos experimentales sobre el comportamiento térmico y de incendio de los materiales compuestos seleccionados. Además de los experimentos, se han realizado tambien simulaciones numéricas para evaluar los procesos de propagación del fuego en diferentes localizaciones del buque. En este sentido, es importante señalar que la naturaleza de los materiales y la ubicación del incendio desempeñan un papel fundamental en la propagación del fuego.

Como resultado de este proceso de seleccion, se han seleccionado dos resinas concretas como las más adecuadas para la fabricación de los materiales compuestos que serán empleados en el diseño y construcción de buques FIBRESHIP. La selección de estas resinas se debe al hecho de la asunción de soluciones de compromiso entre la necesidad de tener unas excelentes propiedades mecanicas en combinacion con una gran resistencia al fuego.

4.3 Modelado de materiales compuestos

En este proyecto se han realizado un gran numero de simulaciones numericas para simular el comportamiento mecánico del material compuesto que conformarán las estructuras primarias y secundarias del buque. El modelo de elementos finitos desarrollado con respecto a los constituyentes del material compuesto se basa en la teoría de las mezclas S/P (Serial/Parallel mixing theory, en inglés), siendo capaz de predecir y proporcionar el comportamiento mecánico de los composites y fatiga.

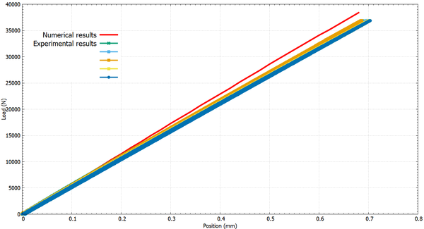
Para verificar y validar los resultados obtenidos en los modelos de elementos finitos, los resultados de las simulaciones numéricas se comparan con los resultados obtenidos en los experimentos. La Figura 6 y Figura 7 muestran las curvas de tensión-deformación obtenidas experimentalmente y numéricamente en los ensayos de flexión y tension. En la gráficas se puede ver claramente que hay una buena correlación entre las curvas experimentales y numéricas para los dos tipos de ensayos.

Draft Compuestos 142603353-image10.png
Figura 6: Curvas de tensión y desplazamiento obtenidas experimentalmente mediante ensayo de flexión y numéricamente usando el modelo numérico desarrollado.

Draft Compuestos 142603353-image11.png

Figura 7: Curvas de tensión y desplazamiento obtenidas experimentalmente mediante ensayo de tracción y numéricamente usando el modelo numérico desarrollado.

Por ultimo, el proyecto FIBRESHIP ha desarrollado un modelo numérico para simular el comportamiento a fatiga de las estructuras fabricadas con materiales compuestos. Los modelos de fatiga proporciona la degradación mecánica de los materiales en función del número de ciclos de trabajo y la magnitud de las tensiones. Por ello, este modelo numérico puede predecir el estado tensional de las estructuras y sus correspondientes fallos por fatiga. Los resultados obtenidos en los modelo de elementos finitos se estan validado utilizando los resultados experimentales proporcionados por la Universidad de Limerick. Una vez que los resultados del modelo numérico se hayan validado con los experimentos, el modulo de analisis de fatiga será implementado en software comercial de elementos finitos Ram Series v15 por la empresa COMPASS.

4.4 Uniones entre los elementos estructurales del buque

En el proyecto FIBRESHIP se está analizando también la fortaleza de las uniones entre los distintos elementos estructurales y componentes en material compuesto del buque. Para abordar esta tarea, se han examinado las técnicas de unión más utilizadas en la industria aeroespacial y eólica como base de partida. La idea fundamental es incrementar la fortaleza de las uniones entre las diferentes partes estructurales y bloques del buque.

La tecnología de unión aeroespacial de soldadura con implantes resistivos se utiliza para incrementar la adherencia entre las diferentes conexiones estructurales del buque. Esta tecnología, que se está considerando en el proyecto, produce uniones muy solidas entre los diferentes componentes estructurales de la nave y facilita el proceso de desmantelamiento de los buques al final de su ciclo de vida.

La campaña experimental para evaluar la resistencia de las conexiones estructurales del buque está actualmente en marcha. Para evaluar la fortaleza de las uniones, se va a realizar una campaña de ensayos que se puede dividir en dos etapas. En una primera etapa, la resistencia al corte de un gran numero de uniones estructurales del buque es evaluada. Estas pruebas experimentales se van a llevar a cabo en conexiones unidas con y sin soldadura de implantes resistivos. En una segunda etapa, la campaña experimental se basa en pruebas de escala media en las que se analizan las diferentes conexiones estructurales utilizadas en los buques diseñados dentro del proyecto.

4.5 Ensayos y mediciones en buques a escala real

Otro de los objetivos de FIBRESHIP es validar y verificar los resultados del proyecto, realizando mediciones experimentales en buques. Dichos buques utilizados han sido por un lado un buque oceanográfico construido en materiales compuestos y un buque portacontenedores de acero.

Durante el primer período del proyecto (otoño de 2017), se llevaron a cabo pruebas de vibracion a bordo en un buque de investigación pesquera (FRV) llamado "André Malraux" (Ver Figura 8). El buque está construido integralmente en materiales compuestos con una eslora de 36 m de longitud. Las pruebas vibro-acústicas a gran escala en el buque de investigación pesquero fueron realizadas por la empresa TSI (empresa certificada para realizar mediciones de ruido radiado al agua, ruido aéreo y pruebas de aislamiento acústico para otorgar las correspondientes notaciones de clase BV). El propósito de estos ensayos de ruido radiado al agua y de vibracion fue caracterizar el comportamiento vibratorio de la embarcación en términos de amortiguación, eficiencia de la radiación, vibración y transmisión de ruido, entre otros parámetros.

Draft Compuestos 142603353-image12-c.jpeg

Figura 8: Fotografía del buque de investigación pesquera André-Malraux.

Mas tarde, se llevo a cabo otra campaña experimental en febrero de 2019 para medir las tensiones y deformaciones globales y locales del buque debidas a las cargas ciclicas generadas por las olas del mar. Las pruebas experimentales se realizaron a bordo de un barco portacontenedores de 240 m de longitud llamado "Zim-Luanda", propiedad de DANAOS. Las medidas se realizaron en el transcurso de una ruta comercial desde Valencia (España) a Halifax (Canada) con el objetivo de identificar los lugares mas propensos a grandes oleajes en el Atlántico Norte y estudiar el buque a tensiones y deformaciones debidas al arrufo y quebranto. Dichos ensayos se han realizado con dos objetivos dentro del proyecto FIBRESHIP: (i) validar el modelo numérico hidro-estructural acoplado desarrollado por COMPASS; y (ii) validar la estrategia de monitorización de salud estructural desarrollado por TSI.

En conclusion, dos buques (uno de fibra de pequeña eslora y otro de acero de mayor eslora) se han sometido a dos tipos de pruebas diferentes para evaluar el comportamiento de los buques construidos en ambos materiales. Dichas pruebas consistieron en ensayos vibro-acústicos y de ruido radiado al agua en el buque de investigación pesquera y ensayos de acoplamiento hidro-estructural en un buque portacontenedores para obtener sus deformaciones a lo largo de la eslora y en la cuaderna maestra.

4.6 Diseño y construcción de demostrador de FIBRESHIP

Con el objetivo de demostrar los logros y avances tecnológicos del proyecto en el diseño de buques en material compuesto, se esta construyendo un bloque a escala real del buque de investigación pesquera (FRV) en uno de los astilleros del proyecto (ver Figura 10: y Figura 10). Se espera la finalización de la construcción para finales de junio o principios de julio de 2019.

Draft Compuestos 142603353-image13-c.png

Figura 9: Bloque del demostrador con respecto al buque de 86m de eslora diseñado por TSI.

La estructura del demostrador del buque de investigación pesquera ha sido diseñada por TSI junto a las recomendaciones de las Sociedades de Clasificación involucradas en el proyecto (BV, RINA y LR). Dicho demostrador tiene un peso de unas 20 toneladas y una dimensiones principales de 11 m de eslora, 11 m de semimanga y 8.4 m de altura. Dicho demostrador incluye en la cubierta de doble fondo una demostración de la estructura de la sala de máquinas, mientras que la siguiente cubierta, dispone de una configuración de cubierta principal y diferentes espacios de acomodación y un pañol como ejemplo. Debido al uso exclusivo de materiales compuestos en la construccion del barco, se logra una reducción significativa de peso en el buque con respecto a la estructura de acero.

Draft Compuestos 142603353-image14.jpeg

Draft Compuestos 142603353-image15.png

Figura 10: Fotografías del proceso de construcción del bloque del buque de investigación pesquera construido en materiales compuestos en el astillero iXblue (La Ciotat, Francia).

Este demostrador permitirá evaluar diferentes aspectos del diseño de los buques de FIBRESHIP, permitiendo obtener valiosas conclusiones tanto de proceso de construcción como de diseño.

4.7 Identificacion del marco normativo y la evolución del mismo

Hay dos desafíos técnicos principales que se han identificado como limitantes para el empleo masivo de materiales compuestos en la construccion de buques de gran eslora.

El primer desafío es que no existen reglas y pautas estructurales para la construcción de buques de gran eslora en materiales compuestos. El segundo desafío es que las estructuras de material compuesto usadas en los buques deben ser resistentes al fuego y a las altas temperaturas en conformidad con el Convenio internacional para la seguridad de la vida en el mar (SOLAS) [1] de la Organización Marítima Internacional (IMO, por sus siglas en inglés).

Por ello, es necesario mejorar la resistencia al fuego y el comportamiento térmico de los materiales compuestos utilizados en los buques de fibra al igual que los elementos aislantes asociados a dicho material.

En el convenio SOLAS se detallan las medidas de seguridad para prevenir la iniciacion de incendios en buques. Del mismo modo, también se detallan medidas específicas para evitar la propagación de incendios en buques de pasajeros, carga y petroleros. Este convenio indica que se puede permitir un "diseño alternativo" de los buques de fibra para cumplir con los objetivos de seguridad y prevención contra incendios. Por lo tanto, una de las posibilidades para mejorar la seguridad contra incendios según lo descrito por el IMO [2, 3], es establecer un diseño alternativo para mejorar sistemas de prevención y protección contra incendios de los buques construidos en fibra, de forma que se pueda habilitar su entrada en el mercado de buques mercantes.

Hace diez años, el proyecto de investigacion SAFEDOR [4] llevó a cabo un extenso trabajo sobre la evaluación de riesgos y protección contra incendios en buques. Durante el transcurso del proyecto, se desarrollaron herramientas para prevenir incendios en buques y se proporcionaron algunos ejemplos prácticos. Como consecuencia de este trabajo, la IMO creó y adoptó una nueva legislación como MSC / Circ. 1455 [3].

En resumen, uno de los principales objetivos del proyecto FIBRESHIP es impulsar una nueva legislacion a través de sus resultados técnicos y económicos que permita la construcción de buques de gran eslora usando unicamente materiales compuestos. En la opinión de los autores, la mejor manera para producir un nuevo reglamento para diseñar grandes buques y superar la falta de legislación en el diseño de buques de fibra es la combinación de las normativas de seguridad IMO MSC / Circ. 1002 y MSC / Circ. 1455 [2, 3].

5 Conclusiones

El mayor reto del proyecto FIBRESHIP es comprender cómo las industrias navales europeas deben trabajar juntas para generar conocimiento en torno a la tecnología de materiales compuestos en el sector naval comercial y una nueva legislación que permita el diseño y la construcción de buques de gran eslora usando únicamente materiales compuestos. Las principales conclusiones de las actividades llevadas a cabo a lo largo del proyecto FIBRESHIP son las siguientes:

  • Se ha realizado un estudio de mercado para evaluar la viabilidad de este tipo de buques y las ventajas económicas derivadas del uso de materiales compuestos en la construcción naval.
  • Se han selecionado dos resinas concretas para la fabricación de los materiales compuestos que se usaran en los buques de fibra debido a sus excelentes propiedades mecanicas en combinacion con su alta resistencia al fuego. Tambien, se está evaluado la fortaleza de las uniones entre los distintos elementos estructurales y componentes del buque.
  • Tres grandes categorías de buques han sido seleccionadas para el diseño de buques integramente en materiales compuestos: un buque de transporte de carga de volumen (portacontenedores), un buque de transporte de pasajeros y entretenimiento (ROPAX), y un buque de servicios especiales (buque de investigación pesquera u oceanográfico).
  • Se están desarrollado pautas y directrices para el diseño y la construccion de buques de fibra. En este sentido, se está evaluado el coste y la viabilidad economica de adaptar los astilleros existentes a los nuevos procesos de fabricación de buques ligeros.
  • Se han llevado a cabo un gran numero de simulaciones numericas para evaluar el comportamiento mecanico y a fuego de las estructuras de composite en los buques.
  • Los resultados obtenidos durante el proyecto se han verificado mediante varias campañas experimentales, como es el caso del ejemplo de los ensayos en el buque de fibra Andre Malraux.

Agradecimientos

En nombre del consorcio del proyecto FIBRESHIP, nos gustaría agradecer a la Comisión Europea por su contribución en forma de subvención (Grant Number: 723360) a través del programa H2020 de I+D+i europeo. A su vez, los autores quieren agradecer a todos los socios del proyecto su colaboración y valioso trabajo durante el desarrollo del proyecto.

Referencias

[1] SOLAS, Consolidated text of the International Convention for the Safety of Life at Sea, 1974.

[2] MSC/Circ.1002, Guidelines on alternative design and arrangements for fire safety, IMO, 2001.

[3] MSC/Circ. 1455 guidelines for the approval of alternatives and equivalents as provided for in various IMO instruments, IMO 2013.

[4] SAFEDOR (Design, Operation and Regulation for Safety) Integrated Project 516278 in the sixth framework programme of the European Commission.

Back to Top

Document information

Published on 15/07/22
Accepted on 15/07/22
Submitted on 15/07/22

Volume 04 - Comunicaciones Matcomp19 (2020), Issue Núm. 4 - Aplicaciones de los materiales compuestos. Nuevos procesos de fabricación y materiales compuestos avanzados., 2022
DOI: 10.23967/r.matcomp.2022.07.041
Licence: Other

Document Score

0

Views 28
Recommendations 0

Share this document

claim authorship

Are you one of the authors of this document?