Line 1: Line 1:
==1 Title, abstract and keywords<!-- Your document should start with a concise and informative title. Titles are often used in information-retrieval systems. Avoid abbreviations and formulae where possible. Capitalize the first word of the title.
+
<!-- metadata commented in wiki content
  
Provide a maximum of 6 keywords, and avoiding general and plural terms and multiple concepts (avoid, for example, 'and', 'of'). Be sparing with abbreviations: only abbreviations firmly established in the field should be used. These keywords will be used for indexing purposes.
 
  
An abstract is required for every document; it should succinctly summarize the reason for the work, the main findings, and the conclusions of the study. Abstract is often presented separately from the article, so it must be able to stand alone. For this reason, references and hyperlinks should be avoided. If references are essential, then cite the author(s) and year(s). Also, non-standard or uncommon abbreviations should be avoided, but if essential they must be defined at their first mention in the abstract itself. -->==
+
<div class="center" style="width: auto; margin-left: auto; margin-right: auto;">
 +
<big>'''Nonlinear Parametric Vibration Analysis of Radial Gates'''</big></div>
  
==2 The main text<!-- You can enter and format the text of this document by selecting the ‘Edit’ option in the menu at the top of this frame or next to the title of every section of the document. This will give access to the visual editor. Alternatively, you can edit the source of this document (Wiki markup format) by selecting the ‘Edit source’ option.
+
<div class="center" style="width: auto; margin-left: auto; margin-right: auto;">
 +
Siyuan Wu<sup>1</sup>*, Zhengzhong Wang<sup>2</sup>, Huanjun Jiang<sup>1</sup></div>
  
Most of the documents in Scipedia are written in English (write your manuscript in American or British English, but not a mixture of these). Anyhow, specific publications in other languages can be published in Scipedia. In any case, the documents published in other languages must have an abstract written in English.
+
<span id='OLE_LINK1'></span><div id="OLE_LINK2" class="center" style="width: auto; margin-left: auto; margin-right: auto;">
 +
''<sup>1</sup>State Key Laboratory of Disaster Reduction in Civil Engineering, Tongji University, Shanghai 200092, China''</div>
  
 +
<div id="OLE_LINK23" class="center" style="width: auto; margin-left: auto; margin-right: auto;">
 +
''<sup>2</sup>College of Water Resources and Architectural Engineering, Northwest A&F University, Yangling 712100, China''</div>
  
2.1 Subsections
+
<div class="center" style="width: auto; margin-left: auto; margin-right: auto;">
 +
''* Corresponding Author: Siyuan Wu; phone: (+86)18792599934.''</div>
  
Divide your article into clearly defined and numbered sections. Subsections should be numbered 1.1, 1.2, etc. and then 1.1.1, 1.1.2, ... Use this numbering also for internal cross-referencing: do not just refer to 'the text'. Any subsection may be given a brief heading. Capitalize the first word of the headings.
+
<span id='OLE_LINK4'></span><span id='OLE_LINK5'></span>
 +
-->'''Abstract:''' '' In this work, based on dynamic characteristics of radial gates, a nonlinear differential equation of motion for the radial gate arm is established. Excitation conditions of principal parametric resonance and subharmonic parametric resonance are obtained by using multi-scale method and numerical method. The parameter analysis shows that: comparing with traditional calculation method of dynamic instability region division, the presented method is more suitable to analysis of parametric vibration for radial gates as considering the end moment, vibration duration and amplitude. The vibration amplitudes of arm increase with the increase of its length and excitation amplitude, as well as the decrease of arm inclination angle. Moreover, the parametric resonance is easier to be excited and its resonance region become wider with the initial end moment increasing. Since the vibration response of the arm is influenced by the nonlinear term in the equation, the damping effect is limited. Thus, energy transfer method (e.g. tuned mass damper) can be adopted to achieve vibration control.''
  
 +
'''Keywords:''' '' Radial gate; parametric vibration; multi-scale method; parameter analysis''
  
2.2 General guidelines
+
===1. Introduction===
  
Some general guidelines that should be followed in your manuscripts are:
+
The radial gate is a main regulating structure in hydraulic engineering, and its stability is directly related to the safe operation of reservoir. However, the dynamic instability mechanism of radial gates has not been explained clearly up to now, which causes existing structures which are built without proper anti-vibration design at the time of construction are especially vulnerable. Even if they were designed for anti-vibration performance, their design may not comply with current code (China Ministry of Water Resource, 2013) and thus may have deficient anti-vibration performance. In recent years, multitudes of engineering practices have shown that the radial gates will produce different degrees of vibration and even cause integral instability failure under the flow-induced vibration (Niu, Z.G., Li, T.C 2008). Because of their arm is lightness, slenderness and flexibility render this structure more vulnerable to vibrations and dynamic instabilities when subjected to water loads. Consequently, the dynamic stability of the radial gate arm has become a significant problem needs to be solved in both stage of design and operation (Wang, Z.Z., Zhang, X.C. and Liu, J.L 2017). According to the excitations like cavity flow, Carmen vortex, special hydrodynamic load and so on, the vibration patterns of gates can be divided into forced vibration, self-excited vibration and parametric vibration. Among them, the parametric vibration only appears in radial gates. The parametric resonance is much more dangerous than standard forced resonance, because its amplitudes increase exponentially. The problem of parametric vibration arises in many branches of physics and engineering has been studied extensively such as cable structure (Demsic, M. et al 2019), beam structure (Zhang, X., Peng, J., Wang, L. 2014), plate and shell structures (Franzini, G.R. et al 2018) and coupled model (Wei, M.H. et al 2016). In 1980's, Zhang, J.G. (1985) observed the phenomenon of parametric vibration during gate operation in dynamic water and judged it was one of the important reasons for dynamic instability of arm through engineering failure examples, and proposed a concise analytical calculation method. Subsequently, there are fascinating researches which have been carried out on the division of dynamic instability region (Liu, J.L. et al 2011). However, the dynamic instability region can be used to determine whether parametric resonance occur or not, but it does not yield the response amplitude at arbitrary time. Usually the radial gate is subjected to flow-induced load for a relatively short period of time, and the arm amplitudes remain fluctuating in a narrow range without infinite magnification trend. Thus, the method of dynamic instability region may not be an accurate criterion for defining dynamic instability without time factor. Nowadays, Zhang, J. and Xie, Z.X.(2011) investigated the chaotic behaviors of nonlinear systems in the radial gate arm under certain dynamic loads and proved the necessity to analyze the stability of radial gate with excitation amplitude and duration effects.
  
*  Avoid hyphenation at the end of a line.
+
In this paper, according to the mechanical characteristics of the radial gate, with full considerations of geometric nonlinear factors caused by bending moment and large displacement at the high head, the nonlinear differential equation of motion for the arm is established. The stability of parametric vibration is given by methods of multi-scale method and numerical method. Moreover, the effects of excitation factors (water head, frequency, time, amplitude) and structural elements (angle, length, damping) on the vibration response of arm are quantitatively analyzed.
  
*  Symbols denoting vectors and matrices should be indicated in bold type. Scalar variable names should normally be expressed using italics.
+
===2. Derivation of the nonlinear differential equation of motion for the radial gate arm===
  
*  Use decimal points (not commas); use a space for thousands (10 000 and above).
+
Several basic assumptions are made before establishing the equation of motion for radial gate arms:
  
*  Follow internationally accepted rules and conventions. In particular use the international system of units (SI). If other quantities are mentioned, give their equivalent in SI.
+
(1) The material nonlinearity of the arm is assumed as elastic.
  
 +
(2) Torsional stiffness and shear stiffness of the arm are not considered.
  
2.3 Tables, figures, lists and equations
+
On the premise of the above assumptions, the analytical model of the in-plane main frame is established in Figure 1.
  
Please insert tables as editable text and not as images. Tables should be placed next to the relevant text in the article. Number tables consecutively in accordance with their appearance in the text and place any table notes below the table body. Be sparing in the use of tables and ensure that the data presented in them do not duplicate results described elsewhere in the article.
+
<div class="center" style="width: auto; margin-left: auto; margin-right: auto;">
 +
<span style="text-align: center; font-size: 75%;"> [[Image:Draft_Wu_924459062-image1.png|198px]] </span></div>
  
Graphics may be inserted directly in the document and positioned as they should appear in the final manuscript.
+
<div class="center" style="width: auto; margin-left: auto; margin-right: auto;">
 +
<span style="text-align: center; font-size: 75%;">'''Figure 1.''' A main frame of in-plane radial gates.</span></div>
  
Number the figures according to their sequence in the text. Ensure that each illustration has a caption. A caption should comprise a brief title. Keep text in the illustrations themselves to a minimum but explain all symbols and abbreviations used. Try to keep the resolution of the figures to a minimum of 300 dpi. If a finer resolution is required, the figure can be inserted as supplementary material
+
Recently, Zhang, X.C., Wang, Z.Z. and Sun, D.X. (2018) proposed a non-moment design method for the out-of-plane main frame of radial gate, but the in-plane layout scheme without bending moment has not been reported up to now. Hu, M.S. et al. (2015) examined that the effect of initial end bending moment ''M''<sub>0</sub> of in-plane radial gate arm can not be ignored by prototype observation. Thus, according to the relationship between the deflection and the moment of the material:
  
For tabular summations that do not deserve to be presented as a table, lists are often used. Lists may be either numbered or bulleted. Below you see examples of both.
+
{| class="formulaSCP" style="width: 100%; text-align: center;"
 +
|-
 +
|
 +
{| style="text-align: center; margin:auto;"
 +
|-
 +
| <math>EI{w^{{''}}}_0=-M_0</math>
 +
|}
 +
| style="width: 5px;text-align: right;white-space: nowrap;" | (1)
 +
|}
  
1. The first entry in this list
 
  
2. The second entry
+
and the arm boundary conditions:
  
2.1. A subentry
+
{| class="formulaSCP" style="width: 100%; text-align: center;"
 +
|-
 +
|
 +
{| style="text-align: center; margin:auto;"
 +
|-
 +
| <math>w_0\left(0\right)=0</math> , <math>w_0\left(L\right)=0</math>
 +
|}
 +
| style="width: 5px;text-align: right;white-space: nowrap;" | (2)
 +
|}
  
3. The last entry
 
  
* A bulleted list item
+
The sag of the arm can be defined as follow:
  
* Another one
+
{| class="formulaSCP" style="width: 100%; text-align: center;"
 +
|-
 +
|
 +
{| style="text-align: center; margin:auto;"
 +
|-
 +
| <math>\eta =w_0=\frac{M_0L}{2EI}x-\frac{M_0x^2}{2EI}</math>
 +
|}
 +
| style="width: 5px;text-align: right;white-space: nowrap;" | (3)
 +
|}
  
You may choose to number equations for easy referencing. In that case they must be numbered consecutively with Arabic numerals in parentheses on the right hand side of the page. Below is an example of formulae that should be referenced as eq. (1].
 
  
 +
where ''EI ''represents the flexural rigidity, ''L'' represents the length of the arm.
  
2.4 Supplementary material
+
<div class="center" style="width: auto; margin-left: auto; margin-right: auto;">
 +
[[Image:Draft_Wu_924459062-image6.png|600px]] </div>
  
Supplementary material can be inserted to support and enhance your article. This includes video material, animation sequences, background datasets, computational models, sound clips and more. In order to ensure that your material is directly usable, please provide the files with a preferred maximum size of 50 MB. Please supply a concise and descriptive caption for each file. -->==
+
<div class="center" style="width: auto; margin-left: auto; margin-right: auto;">
 +
<span style="text-align: center; font-size: 75%;">'''Figure 2.''' A vibration model of the radial gate arm.</span></div>
  
 +
Consider a radial gate arm, as depicted in Figure 2, with the longitudinal ''u''(''x'',''t'') and transverse displacements ''v''(''x'',''t''), earthquake excitation frequency ''ω''<sub>p</sub>, flow-induced excitation frequency ''ω''<sub>d</sub>, earthquake excitation load ''D''<sub>p</sub>, flow excitation load ''D''<sub>d</sub>. The equation of motion for this structure is:
  
 +
{| class="formulaSCP" style="width: 100%; text-align: center;"
 +
|-
 +
|
 +
{| style="text-align: center; margin:auto;"
 +
|-
 +
| <math>\frac{\partial }{\partial s}\left[\left(T_0+\tau \right)\left(\frac{\mbox{d}\eta }{\mbox{d}s}+\right. \right. </math><math>\left. \left. \frac{\mbox{d}v}{\mbox{d}s}\right)\right]\mbox{=}m\frac{{\partial }^2v}{\partial t^2}+</math><math>EI\left(\frac{{\partial }^4\eta }{\partial s_{}^4}+\right. </math><math>\left. \frac{{\partial }^4v}{\partial s_{}^4}\right)+</math><math>\mu \frac{\partial v}{\partial t}</math>
 +
|}
 +
| style="width: 5px;text-align: right;white-space: nowrap;" | (4)
 +
|}
  
  
==3 Bibliography<!--
+
where ''T''<sub>0</sub> is tangential hydrostatic pressure, ''τ'' is additional tangential hydrodynamic pressure, ''s'' is the coordinate by the arc length. ''m'' is the mass per unit length of the arm, ''μ'' is denoting damping coefficient.
Citations in text will follow a citation-sequence system (i.e. sources are numbered by order of reference so that the first reference cited in the document is [1], the second [2], and so on) with the number of the reference in square brackets. Once a source has been cited, the same number is used in all subsequent references. If the numbers are not in a continuous sequence, use commas (with no spaces) between numbers. If you have more than two numbers in a continuous sequence, use the first and last number of the sequence joined by a hyphen
+
  
You should ensure that all references are cited in the text and that the reference list. References should preferably refer to documents published in Scipedia. Unpublished results should not be included in the reference list, but can be mentioned in the text. The reference data must be updated once publication is ready. Complete bibliographic information for all cited references must be given following the standards in the field (IEEE and ISO 690 standards are recommended). If possible, a hyperlink to the referenced publication should be given. See examples for Scipedia’s articles [1], other publication articles [2], books [3], book chapter [4], conference proceedings [5], and online documents [6], shown in references section below. -->==
+
According to the geometric deformation and the stress state of the arm model, the results are obtained:
  
 +
{| class="formulaSCP" style="width: 100%; text-align: center;"
 +
|-
 +
|
 +
{| style="text-align: center; margin:auto;"
 +
|-
 +
| <math>\frac{\tau }{h}=\frac{T_0}{H_0}=\frac{\mbox{d}s}{\mbox{d}x}=</math><math>{\left[1+{\left(\frac{\mbox{d}\eta }{\mbox{d}x}\right)}^2\right]}^{\frac{1}{2}}</math>
 +
|}
 +
| style="width: 5px;text-align: right;white-space: nowrap;" | (5)
 +
|}
  
  
 +
where ''H''<sub>0</sub> and ''h'' represent the axial hydrostatic pressure and the additional axial hydrodynamic pressure, respectively.
  
==4 Acknowledgments<!-- Acknowledgments should be inserted at the end of the document, before the references section. -->==
+
By Taylor formula, the equation (5) is expanded at d''η''/d''x''=0:
  
 +
{| class="formulaSCP" style="width: 100%; text-align: center;"
 +
|-
 +
|
 +
{| style="text-align: center; margin:auto;"
 +
|-
 +
| <math>{\left[1+{\left(\frac{\mbox{d}\eta }{\mbox{d}x}\right)}^2\right]}^{\frac{1}{2}}=</math><math>1-\frac{1}{2}{\left(\frac{M_0L}{2EI}-\frac{M_0x}{EI}\right)}^2</math>
 +
|}
 +
| style="width: 5px;text-align: right;white-space: nowrap;" | (6)
 +
|}
  
  
 +
Substituting of equations (5) and (6) into equation (4), the following equation is obtained:
  
==5 References<!--[1] Author, A. and Author, B. (Year) Title of the article. Title of the Publication. Article code. Available: http://www.scipedia.com/ucode.
+
{| class="formulaSCP" style="width: 100%; text-align: center;"
 +
|-
 +
|
 +
{| style="text-align: center; margin:auto;"
 +
|-
 +
| <math>\left(H_0+h\right)\left[1-\frac{1}{2}{\left(\frac{M_0L}{2EI}-\frac{M_0x}{EI}\right)}^2\right]\left(\frac{\mbox{d}^2\eta }{\mbox{d}s_{}^2}+\right. </math><math>\left. \frac{\mbox{d}^2v}{\mbox{d}s_{}^2}\right)\mbox{=}m\frac{{\partial }^2v}{\partial t^2}+</math><math>EI\frac{{\partial }^4v}{\partial s_{}^4}+\mu \frac{\partial v}{\partial t}</math>
 +
|}
 +
| style="width: 5px;text-align: right;white-space: nowrap;" | (7)
 +
|}
  
[2] Author, A. and Author, B. (Year) Title of the article. Title of the Publication. Volume number, first page-last page.
 
  
[3] Author, C. (Year). Title of work: Subtitle (edition.). Volume(s). Place of publication: Publisher.
+
The length variation of micro-segment d''s''' is assumed as:
  
[4] Author of Part, D. (Year). Title of chapter or part. In A. Editor & B. Editor (Eds.), Title: Subtitle of book (edition, inclusive page numbers). Place of publication: Publisher.
+
{| class="formulaSCP" style="width: 100%; text-align: center;"
 +
|-
 +
|
 +
{| style="text-align: center; margin:auto;"
 +
|-
 +
| <math>\mbox{d}^2{s^{{'}}}_{}={\left(\mbox{d}x+\frac{\partial u}{\partial x}\mbox{d}x\right)}^2+</math><math>{\left(\mbox{d}\eta +\frac{\partial u}{\partial \eta }\mbox{d}\eta \right)}^2</math>
 +
|}
 +
| style="width: 5px;text-align: right;white-space: nowrap;" | (8)
 +
|}
  
[5] Author, E. (Year, Month date). Title of the article. In A. Editor, B. Editor, and C. Editor. Title of published proceedings. Paper presented at title of conference, Volume number, first page-last page. Place of publication.
 
  
[6] Institution or author. Title of the document. Year. [Online] (Date consulted: day, month and year). Available: http://www.scipedia.com/document.pdf.  
+
Neglecting the longitudinal inertia gives:
-->==
+
 
 +
{| class="formulaSCP" style="width: 100%; text-align: center;"
 +
|-
 +
|
 +
{| style="text-align: center; margin:auto;"
 +
|-
 +
| <math>\epsilon =\frac{\mbox{d}{s^{{'}}}_{}-\mbox{d}s}{\mbox{d}s}\mbox{=}\frac{\partial u}{\partial s}\frac{\mbox{d}x}{\mbox{d}s}+</math><math>\frac{\partial v}{\partial s}\frac{\mbox{d}\eta }{\mbox{d}s}+</math><math>\frac{1}{2}{\left(\frac{\partial v}{\partial s}\right)}^2</math>
 +
|}
 +
| style="width: 5px;text-align: right;white-space: nowrap;" | (9)
 +
|}
 +
 
 +
 
 +
as d''s''≈d''x'', equation (9) can be rewritten:
 +
 
 +
{| class="formulaSCP" style="width: 100%; text-align: center;"
 +
|-
 +
|
 +
{| style="text-align: center; margin:auto;"
 +
|-
 +
| <math>\epsilon =\frac{\partial u}{\partial x}+\frac{\partial v}{\partial x}\frac{\mbox{d}\eta }{\mbox{d}x}+</math><math>\frac{1}{2}{\left(\frac{\partial v}{\partial x}\right)}^2</math>
 +
|}
 +
| style="width: 5px;text-align: right;white-space: nowrap;" | (10)
 +
|}
 +
 
 +
 
 +
The boundary conditions for generalized displacements vector (Figure 2) are:
 +
 
 +
<div class="center" style="width: auto; margin-left: auto; margin-right: auto;">
 +
<math>v\left(0,t\right)=D_\mbox{p}sin\alpha </math> ,  <math>v\left(L,t\right)=D_\mbox{d}cos\alpha </math> ,  <math>u\left(0,t\right)=-D_\mbox{p}cos\alpha </math> ,  <math>u\left(L,t\right)=D_\mbox{d}cos\alpha </math> </div>
 +
 
 +
In this study, the first-order mode is dominated. Hence, the displacement ''v''(''x'',''t'') can be expressed as:
 +
 
 +
{| class="formulaSCP" style="width: 100%; text-align: center;"
 +
|-
 +
|
 +
{| style="text-align: center; margin:auto;"
 +
|-
 +
| <math>v\left(x,t\right)=\frac{x}{L}D_\mbox{d}cos\alpha +</math><math>\left(1-\frac{x}{L}\right)D_\mbox{p}sin\alpha +V\left(t\right)sin\frac{\pi x}{L}</math>
 +
|}
 +
| style="width: 5px;text-align: right;white-space: nowrap;" | (11)
 +
|}
 +
 
 +
 
 +
where ''V''(''t'') is the displacement amplitude.
 +
 
 +
When only the flow-induced vibration is considered, supposing ''D''<sub>p</sub>=0, equation (11) can be rewritten as:
 +
 
 +
{| class="formulaSCP" style="width: 100%; text-align: center;"
 +
|-
 +
|
 +
{| style="text-align: center; margin:auto;"
 +
|-
 +
| <math>v\left(x,t\right)=\frac{x}{L}D_\mbox{d}cos\alpha +</math><math>V\left(t\right)sin\frac{\pi x}{L}</math>
 +
|}
 +
| style="width: 5px;text-align: right;white-space: nowrap;" | (12)
 +
|}
 +
 
 +
 
 +
The internal force of the arm can be expressed as:
 +
 
 +
{| class="formulaSCP" style="width: 100%; text-align: center;"
 +
|-
 +
|
 +
{| style="text-align: center; margin:auto;"
 +
|-
 +
| <math>\left(H_0+h\right)=H_0+\frac{EA}{L}{\int }_0^L\epsilon \mbox{d}x=</math><math>H_0+\frac{EA}{L}\left(u_\mbox{d}\mbox{+}u_\mbox{p}\mbox{+}\frac{2L^2M_0V_\mbox{a}}{{\pi }^3EI}+\right. </math><math>\left. \frac{{\pi }^2V_{}^2}{4L}\right)</math>
 +
|}
 +
| style="width: 5px;text-align: right;white-space: nowrap;" | (13)
 +
|}
 +
 
 +
 
 +
where  <math>u_\mbox{d}=U_\mbox{d}cos\left({\omega }_\mbox{d}t\right)=</math><math>D_\mbox{d}cos\left(\alpha \right)cos\left({\omega }_\mbox{d}t\right)</math> ,  <math>u_\mbox{p}=U_\mbox{p}cos\left({\omega }_\mbox{p}t\right)=</math><math>D_\mbox{p}cos\left(\alpha \right)cos\left({\omega }_\mbox{p}t\right)</math> .
 +
 
 +
Substituting equations (3), (12) and (13) into equation (7) yields:
 +
 
 +
{| class="formulaSCP" style="width: 100%; text-align: center;"
 +
|-
 +
|
 +
{| style="text-align: center; margin:auto;"
 +
|-
 +
| [[Image:Draft_Wu_924459062-image23.png|600px]]
 +
|}
 +
| style="width: 5px;text-align: right;white-space: nowrap;" | (14)
 +
|}
 +
 
 +
 
 +
Then, according to the Galerkin method,the equation of motion is obtained as follows:
 +
 
 +
{| class="formulaSCP" style="width: 100%; text-align: center;"
 +
|-
 +
|
 +
{| style="text-align: center; margin:auto;"
 +
|-
 +
| <math>\ddot{V}+2\xi {\omega }_\mbox{a}\dot{V}+\left[{\omega }_{}^2+\right. </math><math>\left. a\left(u_\mbox{d}+u_\mbox{p}\right)\right]V+</math><math>bV_{}^2+cV_{}^3+d_\mbox{d}u_\mbox{d}+d_\mbox{p}u_\mbox{p}+</math><math>e=0</math>
 +
|}
 +
| style="width: 5px;text-align: right;white-space: nowrap;" | (15)
 +
|}
 +
 
 +
 
 +
where
 +
 
 +
<math>2\xi {\omega }_\mbox{a}=\frac{\mu }{m}</math> , <math>{\omega }_\mbox{a}^2={\omega }_0^2\left(1+\lambda \right)</math> , <math>{\omega }_0^2=\frac{{\pi }^2H_0}{mL_{}^2}+\frac{EI{\pi }^4}{mL_{}^4}</math> ,
 +
 
 +
<math>\theta =\left\{\left[\frac{M_0^2{\pi }^2L}{4E_{}^2I_{}^2}\left(\frac{L}{4}+\right. \right. \right. </math><math>\left. \left. \left. \frac{1}{3}+\frac{1}{2{\pi }^2}-\right. \right. \right. </math><math>\left. \left. \left. E\right)\right]H_0+\frac{4M_0^2AL_{}^3}{EI_{}^2{\pi }^4}\left(\frac{M_0^2L_{}^2}{4E_{}^2I_{}^2}-\right. \right. </math><math>\left. \left. 1\right)\right\}/\left(-\frac{mL}{2}\right)</math> ,
 +
 
 +
<math>a=\left\{\left[\frac{M_0^2{\pi }^2L}{4E_{}^2I_{}^2}\left(\frac{L}{4}+\right. \right. \right. </math><math>\left. \left. \left. \frac{1}{3}+\frac{1}{2{\pi }^2}-\right. \right. \right. </math><math>\left. \left. \left. E\right)-\frac{{\pi }^2}{2L}\right]H_0+\right. </math><math>\left. \frac{4M_0^2AL_{}^3}{E_{}I_{}^2{\pi }^4}\left(\frac{M_0^2L_{}^2}{4E_{}^2I_{}^2}-\right. \right. </math><math>\left. \left. 1\right)-EI\frac{{\pi }^4}{2L_{}^3}\right\}\frac{EA}{L}/\left(-\right. </math><math>\left. \frac{mL}{2}\right)</math> ,
 +
 
 +
<math>b=\left\{\left[\frac{M_0^2{\pi }^2L}{4E_{}^2I_{}^2}\left(\frac{L}{4}+\right. \right. \right. </math><math>\left. \left. \left. \frac{1}{3}+\frac{1}{2{\pi }^2}-\right. \right. \right. </math><math>\left. \left. \left. E\right)-\frac{{\pi }^2}{2L}\right]H_0+\right. </math><math>\left. \frac{4M_0^2AL_{}^3}{EI_{}^2{\pi }^4}\left(\frac{M_0^2L_{}^2}{4E_{}^2I_{}^2}-\right. \right. </math><math>\left. \left. 1\right)-\frac{{\pi }^4EI}{2L_{}^3}\right\}\frac{2L_{}^2M_{}A}{{\pi }^3}/\left(-\right. </math><math>\left. \frac{mL}{2}\right)</math> ,
 +
 
 +
<math>c=\left\{\left[\frac{M_0^2{\pi }^2L}{4E_{}^2I_{}^2}\left(\frac{L}{4}+\right. \right. \right. </math><math>\left. \left. \left. \frac{1}{3}+\frac{1}{2{\pi }^2}-\right. \right. \right. </math><math>\left. \left. \left. E\right)-\frac{{\pi }^2}{2L}\right]H_0+\right. </math><math>\left. \frac{4M_0^2AL_{}^3}{EI_{}^2{\pi }^4}\left(\frac{M_0^2L_{}^2}{4E_{}^2I_{}^2}-\right. \right. </math><math>\left. \left. 1\right)-EI\frac{{\pi }^4}{2L_{}^3}\right\}\frac{EA{\pi }^2}{4L_{}^2}/\left(-\right. </math><math>\left. \frac{mL}{2}\right)</math> ,
 +
 
 +
<math>c_\mbox{d}=\frac{4c_i}{\pi m}sin\left(\frac{\pi x_{\mbox{d}i}}{L}\right)</math> , <math>d_\mbox{d}=\left[\frac{2AM_0}{\pi I}\left(\frac{M_0^2L_{}^2}{8EI_{}^2}-\right. \right. </math><math>\left. \left. 1\right)-m\frac{L}{\pi }v_\mbox{d}^2\right]/\left(-\right. </math><math>\left. \frac{mL}{2}\right)</math> ,
 +
 
 +
<math>e=\left(\frac{M_0^2L_{}^2}{8EI_{}^2}-1\right)\frac{2M_0L}{EI\pi }/\left(-\right. </math><math>\left. \frac{mL}{2}\right)</math> .
 +
 
 +
where ''ξ'' is the damping ratio, ''ω''<sub>0</sub> is the first-order natural frequency, ''λ'' is the arm parameter of the end moment.
 +
 
 +
Compared with the classical parametric vibration models [2, 9-10], this model is more comprehensive and can more accurately reflect the characteristics of the parametric vibration of radial gates.
 +
 
 +
===3. Stability analysis===
 +
 
 +
The multi-scale method will be used to solve the nonlinear equation of motion. Therefore, the following substitutions are made:
 +
 
 +
{| class="formulaSCP" style="width: 100%; text-align: center;"
 +
|-
 +
|
 +
{| style="text-align: center; margin:auto;"
 +
|-
 +
| <math>{\epsilon }^2\chi =-2\xi {\omega }_\mbox{a}</math> ,  <math>{\epsilon }^2f_1=-a</math> ,  <math>{\epsilon }^2f_2=-d</math> ,  <math>{\epsilon }^2f_3=-e</math>
 +
|}
 +
| style="width: 5px;text-align: right;white-space: nowrap;" | (16)
 +
|}
 +
 
 +
 
 +
where ''ε'' is a small dimensionless perturbation parameter. Then, equation (15) can be rewritten to:
 +
 
 +
{| class="formulaSCP" style="width: 100%; text-align: center;"
 +
|-
 +
|
 +
{| style="text-align: center; margin:auto;"
 +
|-
 +
| <math>\ddot{V}+{\omega }_\mbox{a}^2V={\epsilon }^2\chi \dot{V}+</math><math>{\epsilon }^2f_1u_\mbox{e}V-bV_{}^2-cV_{}^3+{\epsilon }^2f_2u_\mbox{e}+</math><math>{\epsilon }^2f_3</math>
 +
|}
 +
| style="width: 5px;text-align: right;white-space: nowrap;" | (17)
 +
|}
 +
 
 +
 
 +
where ''u''<sub>e</sub> represents excitation load. Suppose that the solution to equation (17) can be expressed as:
 +
 
 +
{| class="formulaSCP" style="width: 100%; text-align: center;"
 +
|-
 +
|
 +
{| style="text-align: center; margin:auto;"
 +
|-
 +
| <math>V=\epsilon V_{11}\left(T_0,T_1,T_2\right)+{\epsilon }^2V_{12}\left(T_0,T_1,T_2\right)+</math><math>{\epsilon }^3V_{13}\left(T_0,T_1,T_2\right)</math>
 +
|}
 +
| style="width: 5px;text-align: right;white-space: nowrap;" | (18)
 +
|}
 +
 
 +
 
 +
where ''T''<sub>0</sub>=''t'', ''T''<sub>1</sub>=''tε'', ''T''<sub>2</sub>=''t''. Substituting equation (18) into equation (17) and equating the coefficients of like powers of ''ε'' result in the following differential equations:
 +
 
 +
{| class="formulaSCP" style="width: 100%; text-align: center;"
 +
|-
 +
|
 +
{| style="text-align: center; margin:auto;"
 +
|-
 +
| <math>D_0^2V_{11}+{\omega }_\mbox{a}^2V_{11}=0</math>
 +
|}
 +
| style="width: 5px;text-align: right;white-space: nowrap;" | (19)
 +
|}
 +
 
 +
{| class="formulaSCP" style="width: 100%; text-align: center;"
 +
|-
 +
|
 +
{| style="text-align: center; margin:auto;"
 +
|-
 +
| <math>D_0^2V_{12}+{\omega }_\mbox{a}^2V_{12}=-2D_0D_1V_{11}-</math><math>bV_{11}^2+f_2Usin\left({\omega }_\mbox{e}t\right)+</math><math>f_3</math>
 +
|}
 +
| style="width: 5px;text-align: right;white-space: nowrap;" | (20)
 +
|}
 +
 
 +
{| class="formulaSCP" style="width: 100%; text-align: center;"
 +
|-
 +
|
 +
{| style="text-align: center; margin:auto;"
 +
|-
 +
| <math>D_0^2V_{13}+{\omega }_\mbox{a}^2V_{13}=-2D_0D_1V_{12}-</math><math>\left(D_1^2+2D_0D_2\right)V_{11}+\chi D_0V_{11}+f_1Usin\left({\omega }_\mbox{e}t\right)V_{11}-</math><math>2bV_{11}V_{12}-cV_{11}^3</math>
 +
|}
 +
| style="width: 5px;text-align: right;white-space: nowrap;" | (21)
 +
|}
 +
 
 +
 
 +
The complex solution to equation (19) can be obtained as:
 +
 
 +
{| class="formulaSCP" style="width: 100%; text-align: center;"
 +
|-
 +
|
 +
{| style="text-align: center; margin:auto;"
 +
|-
 +
| <math>V_{11}=A\left(T_1,T_2\right)e^{i{\omega }_\mbox{a}T_0}+</math><math>\overline{A}\left(T_1,T_2\right)e^{-i{\omega }_\mbox{a}T_0}</math>
 +
|}
 +
| style="width: 5px;text-align: right;white-space: nowrap;" | (22)
 +
|}
 +
 
 +
 
 +
where  <math>\overline{A}</math> is the complex conjugate of ''A''.
 +
 
 +
Substituting equation (22) into equation (20), one gets:
 +
 
 +
{| class="formulaSCP" style="width: 100%; text-align: center;"
 +
|-
 +
|
 +
{| style="text-align: center; margin:auto;"
 +
|-
 +
| <math>D_0^2V_{12}+{\omega }_a^2V_{12}=-2i{\omega }_aD_1Ae^{i{\omega }_\mbox{a}T_0}-</math><math>bA^2e^{i2{\omega }_\mbox{a}T_0}+i\frac{f_1}{2}Ue^{i{\omega }_\mbox{e}T_0}+</math><math>bA\overline{A}+\frac{f_3}{2}+cc</math>
 +
|}
 +
| style="width: 5px;text-align: right;white-space: nowrap;" | (23)
 +
|}
 +
 
 +
 
 +
where ''cc'' indicates the complex conjugate part at the right-hand side of equation (23). Eliminating the secular terms in equation (21) leads to:
 +
 
 +
{| class="formulaSCP" style="width: 100%; text-align: center;"
 +
|-
 +
|
 +
{| style="text-align: center; margin:auto;"
 +
|-
 +
| <math>V_{12}=\frac{bA^2}{2{\omega }_\mbox{a}^2}e^{i2{\omega }_\mbox{a}T_0}-</math><math>\frac{if_2U}{2\left({\omega }_\mbox{e}^2-{\omega }_\mbox{a}^2\right)}e^{i{\omega }_\mbox{e}T_0}+</math><math>\frac{bA\overline{A}}{{\omega }_\mbox{a}^2}+\frac{f_3}{2{\omega }_\mbox{a}^2}+</math><math>cc</math>
 +
|}
 +
| style="width: 5px;text-align: right;white-space: nowrap;" | (24)
 +
|}
 +
 
 +
 
 +
Substituting equations (22) and (24) into equation (21) lead to:
 +
 
 +
{| class="formulaSCP" style="width: 100%; text-align: center;"
 +
|-
 +
|
 +
{| style="text-align: center; margin:auto;"
 +
|-
 +
| <math>\begin{array}{c}
 +
D_0^2V_{13}+{\omega }_\mbox{a}^2V_{13}=\left(\chi i{\omega }_\mbox{a}A-2D_2i{\omega }_\mbox{a}A-\frac{8b^2A^2\overline{A}}{3{\omega }_\mbox{a}^2}-3cA^2\overline{A}-\frac{bA}{{\omega }_\mbox{a}^2}\right)e^{i{\omega }_\mbox{a}T_0}-\left(\frac{2b^2A^3}{3{\omega }_\mbox{a}^2}+cA^3\right)e^{i3{\omega }_\mbox{a}T_0}\\
 +
\begin{array}{ccccc}
 +
&  &  &  &
 +
\end{array}+\left(\frac{bif_2A}{{\omega }_\mbox{e}^2-{\omega }_\mbox{a}^2}+\frac{f_1}{2}iA\right)Ue^{i\left({\omega }_\mbox{a}+{\omega }_\mbox{e}\right)T_0}+\left(\frac{bif_2\overline{A}}{{\omega }_\mbox{e}^2-{\omega }_\mbox{a}^2}+\frac{f_1}{2}i\overline{A}\right)Ue^{i\left({\omega }_\mbox{a}+{\omega }_\mbox{e}\right)T_0}+cc
 +
\end{array}</math>
 +
|}
 +
| style="width: 5px;text-align: right;white-space: nowrap;" | (25)
 +
|}
 +
 
 +
 
 +
Here, the subharmonic parametric resonance, ''ω''<sub>e</sub>=2''ω''<sub>a</sub> is studied. Therefore, one has:
 +
 
 +
{| class="formulaSCP" style="width: 100%; text-align: center;"
 +
|-
 +
|
 +
{| style="text-align: center; margin:auto;"
 +
|-
 +
| <math>{\omega }_\mbox{e}=2{\omega }_\mbox{a}+{\epsilon }^2\sigma </math>
 +
|}
 +
| style="width: 5px;text-align: right;white-space: nowrap;" | (26)
 +
|}
 +
 
 +
 
 +
Eliminating secular term in equation (25), the following is obtained:
 +
 
 +
{| class="formulaSCP" style="width: 100%; text-align: center;"
 +
|-
 +
|
 +
{| style="text-align: center; margin:auto;"
 +
|-
 +
| <math>-2i{\omega }_\mbox{a}\frac{\partial A}{\partial T_2}+</math><math>\chi i{\omega }_\mbox{a}A-\frac{14b^2A^2\overline{A}}{3{\omega }_\mbox{a}^2}-</math><math>3cA^2\overline{A}+\left(\frac{bif_2\overline{A}}{{\omega }^2-{\omega }_\mbox{a}^2}+\right. </math><math>\left. \frac{f_1}{2}i\overline{A}\right)Ue^{i\sigma T_0}=</math><math>0</math>
 +
|}
 +
| style="width: 5px;text-align: right;white-space: nowrap;" | (27)
 +
|}
 +
 
 +
 
 +
Write ''A'' in the exponential function form as follows:
 +
 
 +
{| class="formulaSCP" style="width: 100%; text-align: center;"
 +
|-
 +
|
 +
{| style="text-align: center; margin:auto;"
 +
|-
 +
| <math>A=\frac{1}{2}\alpha \left(t\right)e^{i\theta \left(t\right)}</math>
 +
|}
 +
| style="width: 5px;text-align: right;white-space: nowrap;" | (28)
 +
|}
 +
 
 +
 
 +
where ''α''(''t'') and ''θ''(''t'') are real functions. Substituting equation (28) into equation (27) and separating the resulting equation into real and imaginary parts yield:
 +
 
 +
{| class="formulaSCP" style="width: 100%; text-align: center;"
 +
|-
 +
|
 +
{| style="text-align: center; margin:auto;"
 +
|-
 +
| <math>\dot{\alpha }=\frac{1}{2}\chi \alpha +\left[\frac{bf_2}{2\left({\omega }_\mbox{e}^2-{\omega }_\mbox{a}^2\right)}+\right. </math><math>\left. \frac{f_1}{4}\right]U\alpha sin\gamma </math>
 +
|}
 +
| style="width: 5px;text-align: right;white-space: nowrap;" | (29)
 +
|}
 +
 
 +
{| class="formulaSCP" style="width: 100%; text-align: center;"
 +
|-
 +
|
 +
{| style="text-align: center; margin:auto;"
 +
|-
 +
| <math>\alpha \dot{\gamma }=\sigma \alpha -\frac{7b^2{\alpha }^3}{12{\omega }_\mbox{a}^3}-</math><math>\frac{3c{\alpha }^3}{8{\omega }_\mbox{a}}+\left[\frac{bf_2}{2\left({\omega }_\mbox{e}^2-{\omega }_\mbox{a}^2\right)}+\right. </math><math>\left. \frac{f_1}{4}\right]U\alpha sin\gamma </math>
 +
|}
 +
| style="width: 5px;text-align: right;white-space: nowrap;" | (30)
 +
|}
 +
 
 +
 
 +
where ''γ''=ε<sup>2</sup>''σT''<sub>0</sub>-''θ''. The stationary solution equation ''α''<sub>s</sub> and ''γ''<sub>s</sub> can be obtained from equations (29) and (30) by letting  <math>\dot{\alpha }=\dot{\gamma }=0</math> . The vibration amplitude can be expressed as:
 +
 
 +
{| class="formulaSCP" style="width: 100%; text-align: center;"
 +
|-
 +
|
 +
{| style="text-align: center; margin:auto;"
 +
|-
 +
| <math>{\alpha }_\mbox{s}^2=\frac{2\sigma \pm \sqrt{{\left(\frac{bf_2}{{\omega }_\mbox{e}^2-{\omega }_\mbox{a}^2}+\frac{f_1}{2}\right)}^2U^2-{\chi }_\mbox{a}^2}}{\frac{7b^2}{6{\omega }_\mbox{a}^3}+\frac{3c}{4{\omega }_\mbox{a}}}</math>
 +
|}
 +
| style="width: 5px;text-align: right;white-space: nowrap;" | (31)
 +
|}
 +
 
 +
 
 +
For ''α''<sub>s</sub> is a real number, from equation (31), the condition of the structural motion stability can be obtained as follows:
 +
 
 +
{| class="formulaSCP" style="width: 100%; text-align: center;"
 +
|-
 +
|
 +
{| style="text-align: center; margin:auto;"
 +
|-
 +
| <math>\vert \sigma \vert \leq \frac{1}{2}\sqrt{{\left(\frac{bf_2}{{\omega }_\mbox{e}^2-{\omega }_\mbox{a}^2}+\frac{f_1}{2}\right)}^2U^2-{\chi }_\mbox{a}^2}</math> ,  <math>\left(\frac{bf_2}{{\omega }_\mbox{e}^2-{\omega }_\mbox{a}^2}+\right. </math><math>\left. \frac{f_1}{2}\right)U>{\chi }_\mbox{a}</math>
 +
|}
 +
| style="width: 5px;text-align: right;white-space: nowrap;" | (32)
 +
|}
 +
 
 +
 
 +
or
 +
 
 +
{| class="formulaSCP" style="width: 100%; text-align: center;"
 +
|-
 +
|
 +
{| style="text-align: center; margin:auto;"
 +
|-
 +
| <math>\vert \sigma \vert >\frac{1}{2}\sqrt{{\left(\frac{bf_2}{{\omega }_\mbox{e}^2-{\omega }_\mbox{a}^2}+\frac{f_1}{2}\right)}^2U^2-{\chi }_\mbox{a}^2}</math> ,  <math>\left(\frac{bf_2}{{\omega }_\mbox{e}^2-{\omega }_\mbox{a}^2}+\right. </math><math>\left. \frac{f_1}{2}\right)U>{\chi }_\mbox{a}</math>
 +
|}
 +
| style="width: 5px;text-align: right;white-space: nowrap;" | (33)
 +
|}
 +
 
 +
 
 +
From which one can see that many parameters like axial force, length of arms, etc. affect the structural motion stability region.
 +
 
 +
===4. Numerical analysis===
 +
 
 +
Taking a representative radial gate arm for study. The arm has box section, whose cross-sectional dimensions are shown in Figure 3. Arm length ''L''=16m, mass per unit length ''m''=386kg/m, modulus of elasticity ''E''=210GPa.
 +
 
 +
<div class="center" style="width: auto; margin-left: auto; margin-right: auto;">
 +
[[Image:Draft_Wu_924459062-image60.png|156px]] </div>
 +
 
 +
<div class="center" style="width: auto; margin-left: auto; margin-right: auto;">
 +
<span style="text-align: center; font-size: 75%;">'''Figure 3.''' Arm section (unites: mm).</span></div>
 +
 
 +
In MATLAB, the standard fourth-order Runge-Kutta method is used to solve the numerical solution of equation (15) and the influence of the excitation elements and the structural elements for vibration of the radial gate arm is analyzed.
 +
 
 +
====4.1 Effects of water head====
 +
 
 +
When Initial disturbance ''V''(0)=10<sup>-4</sup>m, excitation amplitude ''A''<sub>d</sub>=0.01m, time ''t''=500s, damping coefficient ''μ=''0 and initial water head ''H''=0, the effects of varying water head on vibration amplitude are shown in Figure 4. Where ''λ''<sub>d</sub> denotes the ratio of the external excitation frequency to the natural frequency of the arm. According to the Chinese and American codes, the layout of main beam of radial gate is equal load, and the hydrostatic pressure ''H''<sub>0</sub> is related function of water head. The analysis of water head is shown in Table 1.
 +
 
 +
<div class="center" style="width: auto; margin-left: auto; margin-right: auto;">
 +
<span style="text-align: center; font-size: 75%;">'''Table 1.''' Statistical table of Chinese high head radial gate.</span></div>
 +
 
 +
{| style="width: 69%;margin: 1em auto 0.1em auto;border-collapse: collapse;"
 +
|-
 +
|  style="border-top: 1pt solid black;border-bottom: 1pt solid black;text-align: center;"|
 +
|  style="border-top: 1pt solid black;border-bottom: 1pt solid black;text-align: center;"|<span style="text-align: center; font-size: 75%;">Hydropower Station</span>
 +
|  style="border-top: 1pt solid black;border-bottom: 1pt solid black;text-align: center;"|<span style="text-align: center; font-size: 75%;">Location</span>
 +
|  style="border-top: 1pt solid black;border-bottom: 1pt solid black;text-align: center;"|<span style="text-align: center; font-size: 75%;">Size (m)</span>
 +
|  style="border-top: 1pt solid black;border-bottom: 1pt solid black;text-align: center;"|<span style="text-align: center; font-size: 75%;">Head (m)</span>
 +
|-
 +
|  style="border-top: 1pt solid black;border-bottom: 2pt solid black;text-align: center;"|<span style="text-align: center; font-size: 75%;">1</span>
 +
|  style="border-top: 1pt solid black;border-bottom: 2pt solid black;text-align: center;"|<span style="text-align: center; font-size: 75%;">Xiaowan</span>
 +
|  style="border-top: 1pt solid black;border-bottom: 2pt solid black;text-align: center;"|<span style="text-align: center; font-size: 75%;">Lantsang</span>
 +
|  style="border-top: 1pt solid black;border-bottom: 2pt solid black;text-align: center;"|<span style="text-align: center; font-size: 75%;">5.0×7.0</span>
 +
|  style="border-top: 1pt solid black;border-bottom: 2pt solid black;text-align: center;"|<span style="text-align: center; font-size: 75%;">163</span>
 +
|-
 +
|  style="border-top: 2pt solid black;border-bottom: 2pt solid black;text-align: center;"|<span style="text-align: center; font-size: 75%;">2</span>
 +
|  style="border-top: 2pt solid black;border-bottom: 2pt solid black;text-align: center;"|<span style="text-align: center; font-size: 75%;">Shuibuya</span>
 +
|  style="border-top: 2pt solid black;border-bottom: 2pt solid black;text-align: center;"|<span style="text-align: center; font-size: 75%;">Qing River</span>
 +
|  style="border-top: 2pt solid black;border-bottom: 2pt solid black;text-align: center;"|<span style="text-align: center; font-size: 75%;">6.0×7.0</span>
 +
|  style="border-top: 2pt solid black;border-bottom: 2pt solid black;text-align: center;"|<span style="text-align: center; font-size: 75%;">154</span>
 +
|-
 +
|  style="border-top: 2pt solid black;border-bottom: 2pt solid black;text-align: center;"|<span style="text-align: center; font-size: 75%;">3</span>
 +
|  style="border-top: 2pt solid black;border-bottom: 2pt solid black;text-align: center;"|<span style="text-align: center; font-size: 75%;">Jinping I</span>
 +
|  style="border-top: 2pt solid black;border-bottom: 2pt solid black;text-align: center;"|<span style="text-align: center; font-size: 75%;">Yalong River</span>
 +
|  style="border-top: 2pt solid black;border-bottom: 2pt solid black;text-align: center;"|<span style="text-align: center; font-size: 75%;">5.0×6.0</span>
 +
|  style="border-top: 2pt solid black;border-bottom: 2pt solid black;text-align: center;"|<span style="text-align: center; font-size: 75%;">133</span>
 +
|-
 +
|  style="border-top: 2pt solid black;border-bottom: 2pt solid black;text-align: center;"|<span style="text-align: center; font-size: 75%;">4</span>
 +
|  style="border-top: 2pt solid black;border-bottom: 2pt solid black;text-align: center;"|<span style="text-align: center; font-size: 75%;">Laxiwa</span>
 +
|  style="border-top: 2pt solid black;border-bottom: 2pt solid black;text-align: center;"|<span style="text-align: center; font-size: 75%;">Yellow River</span>
 +
|  style="border-top: 2pt solid black;border-bottom: 2pt solid black;text-align: center;"|<span style="text-align: center; font-size: 75%;">4.0×6.0</span>
 +
|  style="border-top: 2pt solid black;border-bottom: 2pt solid black;text-align: center;"|<span style="text-align: center; font-size: 75%;">132</span>
 +
|-
 +
|  style="border-top: 2pt solid black;border-bottom: 2pt solid black;text-align: center;"|<span style="text-align: center; font-size: 75%;">5</span>
 +
|  style="border-top: 2pt solid black;border-bottom: 2pt solid black;text-align: center;"|<span style="text-align: center; font-size: 75%;">Pubugou</span>
 +
|  style="border-top: 2pt solid black;border-bottom: 2pt solid black;text-align: center;"|<span style="text-align: center; font-size: 75%;">Dadu River</span>
 +
|  style="border-top: 2pt solid black;border-bottom: 2pt solid black;text-align: center;"|<span style="text-align: center; font-size: 75%;">6.5×8.0</span>
 +
|  style="border-top: 2pt solid black;border-bottom: 2pt solid black;text-align: center;"|<span style="text-align: center; font-size: 75%;">126.28</span>
 +
|-
 +
|  style="border-top: 2pt solid black;border-bottom: 2pt solid black;text-align: center;"|<span style="text-align: center; font-size: 75%;">6</span>
 +
|  style="border-top: 2pt solid black;border-bottom: 2pt solid black;text-align: center;"|<span style="text-align: center; font-size: 75%;">Tianshengqiao First cascade</span>
 +
|  style="border-top: 2pt solid black;border-bottom: 2pt solid black;text-align: center;"|<span style="text-align: center; font-size: 75%;">Pearl River</span>
 +
|  style="border-top: 2pt solid black;border-bottom: 2pt solid black;text-align: center;"|<span style="text-align: center; font-size: 75%;">6.4×7.5</span>
 +
|  style="border-top: 2pt solid black;border-bottom: 2pt solid black;text-align: center;"|<span style="text-align: center; font-size: 75%;">120</span>
 +
|-
 +
|  style="border-top: 2pt solid black;border-bottom: 2pt solid black;text-align: center;"|<span style="text-align: center; font-size: 75%;">7</span>
 +
|  style="border-top: 2pt solid black;border-bottom: 2pt solid black;text-align: center;"|<span style="text-align: center; font-size: 75%;">Xiluodu</span>
 +
|  style="border-top: 2pt solid black;border-bottom: 2pt solid black;text-align: center;"|<span style="text-align: center; font-size: 75%;">Jinsha River</span>
 +
|  style="border-top: 2pt solid black;border-bottom: 2pt solid black;text-align: center;"|<span style="text-align: center; font-size: 75%;">6.0×6.7</span>
 +
|  style="border-top: 2pt solid black;border-bottom: 2pt solid black;text-align: center;"|<span style="text-align: center; font-size: 75%;">105.5</span>
 +
|-
 +
|  style="border-top: 2pt solid black;border-bottom: 2pt solid black;text-align: center;"|<span style="text-align: center; font-size: 75%;">8</span>
 +
|  style="border-top: 2pt solid black;border-bottom: 2pt solid black;text-align: center;"|<span style="text-align: center; font-size: 75%;">Jiangpinghe</span>
 +
|  style="border-top: 2pt solid black;border-bottom: 2pt solid black;text-align: center;"|<span style="text-align: center; font-size: 75%;">Loushui River</span>
 +
|  style="border-top: 2pt solid black;border-bottom: 2pt solid black;text-align: center;"|<span style="text-align: center; font-size: 75%;">6.0×6.0</span>
 +
|  style="border-top: 2pt solid black;border-bottom: 2pt solid black;text-align: center;"|<span style="text-align: center; font-size: 75%;">105.14</span>
 +
|-
 +
|  style="border-top: 2pt solid black;border-bottom: 2pt solid black;text-align: center;"|<span style="text-align: center; font-size: 75%;">9</span>
 +
|  style="border-top: 2pt solid black;border-bottom: 2pt solid black;text-align: center;"|<span style="text-align: center; font-size: 75%;">Longtan</span>
 +
|  style="border-top: 2pt solid black;border-bottom: 2pt solid black;text-align: center;"|<span style="text-align: center; font-size: 75%;">Hongshui River</span>
 +
|  style="border-top: 2pt solid black;border-bottom: 2pt solid black;text-align: center;"|<span style="text-align: center; font-size: 75%;">5.0×8.0</span>
 +
|  style="border-top: 2pt solid black;border-bottom: 2pt solid black;text-align: center;"|<span style="text-align: center; font-size: 75%;">90</span>
 +
|-
 +
|  style="border-top: 2pt solid black;border-bottom: 2pt solid black;text-align: center;"|<span style="text-align: center; font-size: 75%;">10</span>
 +
|  style="border-top: 2pt solid black;border-bottom: 2pt solid black;text-align: center;"|<span style="text-align: center; font-size: 75%;">Dagangshan</span>
 +
|  style="border-top: 2pt solid black;border-bottom: 2pt solid black;text-align: center;"|<span style="text-align: center; font-size: 75%;">Dadu River</span>
 +
|  style="border-top: 2pt solid black;border-bottom: 2pt solid black;text-align: center;"|<span style="text-align: center; font-size: 75%;">6.0×6.6</span>
 +
|  style="border-top: 2pt solid black;border-bottom: 2pt solid black;text-align: center;"|<span style="text-align: center; font-size: 75%;">83</span>
 +
|-
 +
|  style="border-top: 2pt solid black;border-bottom: 2pt solid black;text-align: center;"|<span style="text-align: center; font-size: 75%;">11</span>
 +
|  style="border-top: 2pt solid black;border-bottom: 2pt solid black;text-align: center;"|<span style="text-align: center; font-size: 75%;">Goupitan</span>
 +
|  style="border-top: 2pt solid black;border-bottom: 2pt solid black;text-align: center;"|<span style="text-align: center; font-size: 75%;">Wujiang River</span>
 +
|  style="border-top: 2pt solid black;border-bottom: 2pt solid black;text-align: center;"|<span style="text-align: center; font-size: 75%;">10.0×9.0</span>
 +
|  style="border-top: 2pt solid black;border-bottom: 2pt solid black;text-align: center;"|<span style="text-align: center; font-size: 75%;">81</span>
 +
|-
 +
|  style="border-top: 2pt solid black;border-bottom: 1pt solid black;text-align: center;"|<span style="text-align: center; font-size: 75%;">12</span>
 +
|  style="border-top: 2pt solid black;border-bottom: 1pt solid black;text-align: center;"|<span style="text-align: center; font-size: 75%;">Nuozhadu</span>
 +
|  style="border-top: 2pt solid black;border-bottom: 1pt solid black;text-align: center;"|<span style="text-align: center; font-size: 75%;">Lantsang</span>
 +
|  style="border-top: 2pt solid black;border-bottom: 1pt solid black;text-align: center;"|<span style="text-align: center; font-size: 75%;">5.0×8.5</span>
 +
|  style="border-top: 2pt solid black;border-bottom: 1pt solid black;text-align: center;"|<span style="text-align: center; font-size: 75%;">76</span>
 +
|}
 +
 
 +
 
 +
When the principal parametric resonance occurs, the amplitude of the arm increases with the increase of the water head, and the maximum displacement reaches 0.57m. In the case of subharmonic parametric resonance, the tendency of change is opposite, and the maximum amplitude is 0.18m. Overall, both types of parametric resonance responses change slowly and the axial hydrostatic pressure of the arm can be assumed to be 80m head in later analysis.
 +
 
 +
<div class="center" style="width: auto; margin-left: auto; margin-right: auto;">
 +
<span style="text-align: center; font-size: 75%;">[[Image:Draft_Wu_924459062-picture- 1.svg|600px]] </span></div>
 +
 
 +
<div class="center" style="width: auto; margin-left: auto; margin-right: auto;">
 +
<span style="text-align: center; font-size: 75%;">'''Figure 4.''' Vibration amplitude-water head curves.</span></div>
 +
 
 +
====4.2 Effects of excitation frequency ratio and initial end bending moment ====
 +
 
 +
Figure 5 depicts the relationship between the amplitude and the excitation frequency ratio subjected to the initial end bending moment of different water heads. In figures, at ''H''=0, the peak value of parametric resonance only appears at ''λ''<sub>d</sub>=1 and ''λ''<sub>d</sub>=2. This phenomenon matches the case of Design Code for Steel Gate in Water Resources and Hydropower Projects (SL74-2013) (2013). The Figure 6 shows that when the initial end bending moment is not taken into consideration, the beat vibration phenomenon can be observed, and the beat amplitude value increases over time at the subharmonic parametric resonance. However, take into account intitial end bending moment (Figure 5), the amplitude peak will be shift, and the arm response amplitudes increase with the initial end bending moment level, the resonance region become wider, which makes the parametric resonance more easily excited. The maximum displacements of parametric resonance are 1.44m and 2.2m at dividing point of high head in current code 80m and maximum existing design head 163m (Table 1). Through the above analysis, it is further clarified that the parametric resonance excitation condition mentioned in Chinese code is a special case in the parametric resonance region, which only consider the parametric resonance occur at the near doubled natural frequency. In order to obtain a more accurate response of the arm, the calculation method of instability regions for radial gates should be adopted in this paper.
 +
 
 +
{| style="width: 100%;"
 +
|-
 +
|  style="vertical-align: top;"|<span style="text-align: center; font-size: 75%;"> [[Image:Draft_Wu_924459062-image63.png|294px]] </span>
 +
|  style="vertical-align: top;"|<span style="text-align: center; font-size: 75%;"> [[Image:Draft_Wu_924459062-image64.png|300px]] </span>
 +
|-
 +
|  style="text-align: center;vertical-align: top;"|<span style="text-align: center; font-size: 75%;">(a) ''H''<100m</span>
 +
|  style="text-align: center;vertical-align: top;"|<span style="text-align: center; font-size: 75%;">(b) ''H''≥100m</span>
 +
|}
 +
 
 +
 
 +
<div class="center" style="width: auto; margin-left: auto; margin-right: auto;">
 +
<span style="text-align: center; font-size: 75%;">'''Figure 5.''' Vibration amplitude-excitation frequency ratio curves.</span></div>
 +
 
 +
{| style="width: 100%;margin: 1em auto 0.1em auto;"
 +
|-
 +
|  style="text-align: center;vertical-align: top;"|<span style="text-align: center; font-size: 75%;"> [[Image:Draft_Wu_924459062-image65.png|600px]] </span>
 +
|  style="text-align: center;vertical-align: top;"|<span style="text-align: center; font-size: 75%;"> [[Image:Draft_Wu_924459062-image66.png|600px]] </span>
 +
|-
 +
|  style="text-align: center;vertical-align: top;"|<span style="text-align: center; font-size: 75%;">(a) ''λ''<sub>d</sub></span><span style="text-align: center; font-size: 75%;">=1</span>
 +
|  style="text-align: center;vertical-align: top;"|<span style="text-align: center; font-size: 75%;">(b) ''λ''<sub>d</sub></span><span style="text-align: center; font-size: 75%;">=2</span>
 +
|}
 +
 
 +
 
 +
<div class="center" style="width: auto; margin-left: auto; margin-right: auto;">
 +
<span style="text-align: center; font-size: 75%;">'''Figure 6.''' Time history curves of displacement.</span></div>
 +
 
 +
====4.3 Effects of excitation amplitude====
 +
 
 +
<div class="center" style="width: auto; margin-left: auto; margin-right: auto;">
 +
<span style="text-align: center; font-size: 75%;"> [[Image:Draft_Wu_924459062-image67.png|306px]] </span></div>
 +
 
 +
<div class="center" style="width: auto; margin-left: auto; margin-right: auto;">
 +
<span style="text-align: center; font-size: 75%;">'''Figure 7.''' Vibration amplitude-excitation amplitude curves.</span></div>
 +
 
 +
Figure 7 demonstrates the relationship between the displacement and the excitation amplitudes. The diagram shows that when parametric resonance occurs, the displacement response is closely related to the excitation amplitude. The response nonlinearly increases with the increase of excitation amplitude. When the excitation amplitude is less than 0.08m, the subharmonic parametric resonance response is greater than the principal parametric resonance response. While as the excitation amplitude is greater than 0.08m, two kinds of parametric resonance responses are almost equal. When the excitation amplitude is less than 0.01m, the arm swings in a smaller range, which makes it difficult to form destructive vibration. Thus, the response of the arm should be fully considered with the factor of excitation amplitudes.
 +
 
 +
====4.4 Effects of inclination angle====
 +
 
 +
<span id='OLE_LINK6'></span>The effect of inclination angle of radial gate arm on vibration amplitude is presented in Figure 8. The amplitude displacement increases significantly at subharmonic parametric resonance with the increase of angle. But, at the parametric resonance, when the angle is less than 45 degrees, the amplitude increases rapidly, and then tends to steady. Thus, the inclination should be reasonably arranged in combination with considering displacement constraint in the design of radial gate.
 +
 
 +
<div class="center" style="width: auto; margin-left: auto; margin-right: auto;">
 +
[[Image:Draft_Wu_924459062-image68.png|300px]] </div>
 +
 
 +
<div class="center" style="width: auto; margin-left: auto; margin-right: auto;">
 +
<span style="text-align: center; font-size: 75%;">'''Figure 8.''' Vibration amplitude-inclination angle curves.</span></div>
 +
 
 +
====4.5 Effects of arm length and excitation time====
 +
 
 +
According to the characteristics of traditional radial gate and special planar radial gate as depicted in the article of Chen, F.Z. and Yan, G.H. (2015), arm length from 5 to 25m is examined in this paper. The curve of the relationship between the amplitude and length of arm is shown in Figure 9.
 +
 
 +
<div class="center" style="width: auto; margin-left: auto; margin-right: auto;">
 +
<span style="text-align: center; font-size: 75%;"> [[Image:Draft_Wu_924459062-image69.png|288px]] </span></div>
 +
 
 +
<div class="center" style="width: auto; margin-left: auto; margin-right: auto;">
 +
<span style="text-align: center; font-size: 75%;">'''Figure 9.''' Vibration amplitude-length curves.</span></div>
 +
 
 +
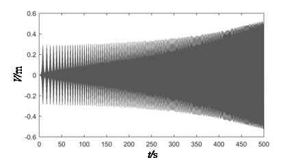
It can be found that the calculated results are not agreement with the description of the traditional unstable regions partition method. In the past review, with the increase of length, the flexibility and response amplitude of the arm should increase correspondingly. However, the inflection point appears in the Figure 9, this dependence of curve is not linear. Then, the time history analysis at a, b, c, d on both sides of the inflection are given in Figure 10. When the arm length is more than 45m and 20m respectively at ''λ''<sub>d</sub>=1 and ''λ''<sub>d</sub>=2, a longer excitation time is needed to reach peak response. This result proved that the gate may not show strong vibration in the initial stage of local opening operation, while the vibration amplitude will become much stronger over time, until the whole structure reaches integral instability failure. The results also proves that it is not advisable to ignore the time factor in the traditional design.
 +
 
 +
It can be seen that, from the above analysis, the time factor of local opening should be considered in the initial design stage. Meanwhile, in the stages of completion and operation, the corresponding guidance of local opening range and opening-closing time should be given in detail according to the vibration analysis results in an project. It is more reasonable that the length of radial gate arm is chosen less then 20m in 500s according to the case presented in this article.
 +
 
 +
{| style="width: 100%;margin: 1em auto 0.1em auto;"
 +
|-
 +
|  style="text-align: center;vertical-align: top;"|<span style="text-align: center; font-size: 75%;"> [[Image:Draft_Wu_924459062-image70.png|600px]] </span>
 +
|  style="text-align: center;vertical-align: top;"|<span style="text-align: center; font-size: 75%;"> [[Image:Draft_Wu_924459062-image71.png|600px]] </span>
 +
|-
 +
|  style="text-align: center;vertical-align: top;"|<span style="text-align: center; font-size: 75%;">(a) ''λ''<sub>d</sub></span><span style="text-align: center; font-size: 75%;">=1, ''L''=45 (''V''<sub>max</sub></span><span style="text-align: center; font-size: 75%;">=0.2291)</span>
 +
|  style="text-align: center;vertical-align: top;"|<span style="text-align: center; font-size: 75%;">(b) ''λ''<sub>d</sub></span><span style="text-align: center; font-size: 75%;">=1, ''L''=60 (''V''<sub>max</sub></span><span style="text-align: center; font-size: 75%;">=0.2427)</span>
 +
|-
 +
|  style="text-align: center;vertical-align: top;"|<span style="text-align: center; font-size: 75%;"> [[Image:Draft_Wu_924459062-image72.png|600px]] </span>
 +
|  style="text-align: center;vertical-align: top;"|<span style="text-align: center; font-size: 75%;"> [[Image:Draft_Wu_924459062-image73.png|600px]] </span>
 +
|-
 +
|  style="text-align: center;vertical-align: top;"|<span style="text-align: center; font-size: 75%;">(c) ''λ''<sub>d</sub></span><span style="text-align: center; font-size: 75%;">=2, ''L''=10 (''V''<sub>max</sub></span><span style="text-align: center; font-size: 75%;">=0.8116)</span>
 +
|  style="text-align: center;vertical-align: top;"|<span style="text-align: center; font-size: 75%;">(d) ''λ''<sub>d</sub></span><span style="text-align: center; font-size: 75%;">=2, ''L''=20 (''V''<sub>max</sub></span><span style="text-align: center; font-size: 75%;">=0.9604)</span>
 +
|}
 +
 
 +
 
 +
<div class="center" style="width: auto; margin-left: auto; margin-right: auto;">
 +
<span style="text-align: center; font-size: 75%;">Figure 10. Time history curves of displacement.</span></div>
 +
 
 +
====4.6 Effects of damping====
 +
 
 +
{| style="width: 100%;margin: 1em auto 0.1em auto;"
 +
|-
 +
|  style="text-align: center;vertical-align: top;width: 50%;"|[[Image:Draft_Wu_924459062-image74.png|300px]]
 +
|  style="text-align: center;vertical-align: top;width: 50%;"|[[Image:Draft_Wu_924459062-image75.png|300px]]
 +
|-
 +
|  style="text-align: center;vertical-align: top;"|(1) ''λ''<sub>d</sub>=1
 +
|  style="text-align: center;vertical-align: top;"|(b) ''λ''<sub>d</sub>=2
 +
|}
 +
 
 +
 
 +
<div class="center" style="width: auto; margin-left: auto; margin-right: auto;">
 +
<span style="text-align: center; font-size: 75%;">'''Figure 11.''' Vibration amplitude-damping ratio curves.</span></div>
 +
 
 +
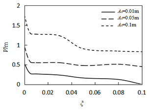
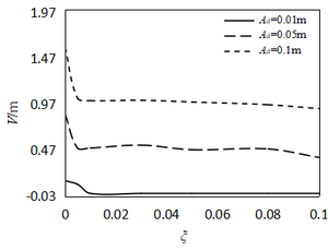
Figure 11 illustrates the relationship between amplitude and damping ratio under different excitation amplitudes. As can be seen from the diagram, amplitudes nonlinearly decrease with the damping ratio increaseing. Furthermore, the amplitude decreases rapidly at ''λ''<sub>d</sub>=1, ''ξ''<0.01, and then tends to steady. The damping decrement at ''λ''<sub>d</sub>=2 is slightly higher than ''λ''<sub>d</sub>=1. As a whole, the damping effect on the vibration control is relatively insensitive. Once the parametric resonance is excited, the resonance amplitudes are mainly affected by the nonlinear term rather than the damping coefficient. Thus, adopting means of energy transfer (such as tuned dampers), the much more significant damping effect will be achieved.
 +
 
 +
<span id='_Toc24931_WPSOffice_Level2'></span>
 +
 
 +
===5 Conclusions===
 +
 
 +
This paper is devoted to nonlinear parametric vibration of radial gates. the nonlinear differential equation of motion for radial gate arm is derived with considering the geometric nonlinear and large displacement. Furthermore, the stability and vibration response of principal parametric resonance and subharmonic parametric resonance are investigated by using multi-scale method and numerical method. At the same time, the above-mentioned methods make up for the defects of the former methods of dividing the dynamic instability zone with not considering effects of response amplitude and time. The results are discussed as follows:
 +
 
 +
(1) The change of hydrostatic pressure caused by the water head has little effect on the parametric vibration, while the resonance region broaden with increase in the initial bending moment.
 +
 
 +
(2) The increasing of amplitude response increases both the excitation amplitude and the arm length, moreover, it reduces the inclination angle.
 +
 
 +
(3) Vibration amplitude will become much stronger over time. Thus, the time factor should be consider in design and operation stages.
 +
 
 +
(4) The vibration response mainly depends on the coefficient of nonlinear term, while the damping effect is limited. Thus, energy transfer method should be adopted to suppress the vibration.
 +
 
 +
<span id='_GoBack'></span>
 +
==Data Availability Statement==
 +
 
 +
All data, models, and code generated or used during the study appear in the summitted article.
 +
 
 +
==Acknowledgements ==
 +
 
 +
This research is supported by National Natural Science Foundation of China (Grant No. 51179164 and 51478354).
 +
 
 +
==References ==
 +
 
 +
[1] CMWR (China Ministry of Water Resources). (2013) Design Code for Steel Gate in Water Resources and Hydropower Projects (SL74-2013). China Water & Power Press, Beijing.
 +
 
 +
[2] Niu, Z.G., Li, T.C. (2008) Research on Dynamic Stability of Steel Radial Gates. In: Earth and Space. Long Beach. pp. 1-8.
 +
 
 +
[3] Wang, Z.Z., Zhang, X.C., Liu, J.L. (2017) Advances and developing trends in research of large hydraulic steel gates. J. Hydroelectr. Eng., 36: 1-18.
 +
 
 +
[4] Demsic, M., Uros, M., Lazarevic, A.J., Lazarevic, D. (2019) Resonance regions due to interaction of forced and parametric vibration of a parabolic cable. J. Sound. Vib., 447: 78-104.
 +
 
 +
[5] Zhang, X., Peng, J., Wang, L. (2014) Parametric resonances in the two-to-one resonant beams on elastic foundation. Nonlinear Dynam., 77: 339-352.
 +
 
 +
[6] Franzini, G.R., Pesce, C.P., Gonçalves, R.T., Fujarra, A.L.C., Mendes, P. (2018). An experimental investigation on concomitant vortex-induced vibration and axial top-motion excitation with a long flexible cylinder in vertical configuration. Ocean Engineering, 156: 596-612.
 +
 
 +
[7] Wei, M.H., Lin, K., Jin,L., Zou, D.J. (2016) Nonlinear dynamics of a cable-stayed beam driven by sub-harmonic and principal parametric resonance. Int. J. Mech. Sci., 110: 78-93.
 +
 
 +
[8] Zhang, J.G. (1985) Summary on the study of gate vibration in China. Water Power, 11: 38-44.
 +
 
 +
[9] Liu, J.L., Wang, Z.Z., Fang, X., Fang, H.M. (2011) Dynamic instability mechanism and vibration control of radial gate arms. Appl. Mech. Mater., 50: 309-313.
 +
 
 +
[10] Zhang, J., Xie, Z.X. (2011) Nonlinear vibration and chaos phenomena of arm structures in radial gate. Water Power, 50: 309-313.
 +
 
 +
[11] Zhang, X.C., Wang, Z.Z., Sun, D.X. (2018) Research on rational layout of strut arms of tainter gate in vertical frame. Revista Internacional de Métodos Numéricos para Cálculo y Diseño en Ingeniería, 34: 1-6.
 +
 
 +
[12] Hu, M.S., Yang, Z.Z., Xu, J., Zhang, B. (2015) Modal parameter identification of radial gate based on stochastic subspace method. Water resour. power, 33: 164-167.
 +
 
 +
[13] Chen, F.Z., Yan, G.H. (2015) The key technology research on Chinese special type sluice. Hohai University Press, Nanjing.

Revision as of 05:32, 6 June 2019

Abstract: In this work, based on dynamic characteristics of radial gates, a nonlinear differential equation of motion for the radial gate arm is established. Excitation conditions of principal parametric resonance and subharmonic parametric resonance are obtained by using multi-scale method and numerical method. The parameter analysis shows that: comparing with traditional calculation method of dynamic instability region division, the presented method is more suitable to analysis of parametric vibration for radial gates as considering the end moment, vibration duration and amplitude. The vibration amplitudes of arm increase with the increase of its length and excitation amplitude, as well as the decrease of arm inclination angle. Moreover, the parametric resonance is easier to be excited and its resonance region become wider with the initial end moment increasing. Since the vibration response of the arm is influenced by the nonlinear term in the equation, the damping effect is limited. Thus, energy transfer method (e.g. tuned mass damper) can be adopted to achieve vibration control.

Keywords: Radial gate; parametric vibration; multi-scale method; parameter analysis

1. Introduction

The radial gate is a main regulating structure in hydraulic engineering, and its stability is directly related to the safe operation of reservoir. However, the dynamic instability mechanism of radial gates has not been explained clearly up to now, which causes existing structures which are built without proper anti-vibration design at the time of construction are especially vulnerable. Even if they were designed for anti-vibration performance, their design may not comply with current code (China Ministry of Water Resource, 2013) and thus may have deficient anti-vibration performance. In recent years, multitudes of engineering practices have shown that the radial gates will produce different degrees of vibration and even cause integral instability failure under the flow-induced vibration (Niu, Z.G., Li, T.C 2008). Because of their arm is lightness, slenderness and flexibility render this structure more vulnerable to vibrations and dynamic instabilities when subjected to water loads. Consequently, the dynamic stability of the radial gate arm has become a significant problem needs to be solved in both stage of design and operation (Wang, Z.Z., Zhang, X.C. and Liu, J.L 2017). According to the excitations like cavity flow, Carmen vortex, special hydrodynamic load and so on, the vibration patterns of gates can be divided into forced vibration, self-excited vibration and parametric vibration. Among them, the parametric vibration only appears in radial gates. The parametric resonance is much more dangerous than standard forced resonance, because its amplitudes increase exponentially. The problem of parametric vibration arises in many branches of physics and engineering has been studied extensively such as cable structure (Demsic, M. et al 2019), beam structure (Zhang, X., Peng, J., Wang, L. 2014), plate and shell structures (Franzini, G.R. et al 2018) and coupled model (Wei, M.H. et al 2016). In 1980's, Zhang, J.G. (1985) observed the phenomenon of parametric vibration during gate operation in dynamic water and judged it was one of the important reasons for dynamic instability of arm through engineering failure examples, and proposed a concise analytical calculation method. Subsequently, there are fascinating researches which have been carried out on the division of dynamic instability region (Liu, J.L. et al 2011). However, the dynamic instability region can be used to determine whether parametric resonance occur or not, but it does not yield the response amplitude at arbitrary time. Usually the radial gate is subjected to flow-induced load for a relatively short period of time, and the arm amplitudes remain fluctuating in a narrow range without infinite magnification trend. Thus, the method of dynamic instability region may not be an accurate criterion for defining dynamic instability without time factor. Nowadays, Zhang, J. and Xie, Z.X.(2011) investigated the chaotic behaviors of nonlinear systems in the radial gate arm under certain dynamic loads and proved the necessity to analyze the stability of radial gate with excitation amplitude and duration effects.

In this paper, according to the mechanical characteristics of the radial gate, with full considerations of geometric nonlinear factors caused by bending moment and large displacement at the high head, the nonlinear differential equation of motion for the arm is established. The stability of parametric vibration is given by methods of multi-scale method and numerical method. Moreover, the effects of excitation factors (water head, frequency, time, amplitude) and structural elements (angle, length, damping) on the vibration response of arm are quantitatively analyzed.

2. Derivation of the nonlinear differential equation of motion for the radial gate arm

Several basic assumptions are made before establishing the equation of motion for radial gate arms:

(1) The material nonlinearity of the arm is assumed as elastic.

(2) Torsional stiffness and shear stiffness of the arm are not considered.

On the premise of the above assumptions, the analytical model of the in-plane main frame is established in Figure 1.

Draft Wu 924459062-image1.png
Figure 1. A main frame of in-plane radial gates.

Recently, Zhang, X.C., Wang, Z.Z. and Sun, D.X. (2018) proposed a non-moment design method for the out-of-plane main frame of radial gate, but the in-plane layout scheme without bending moment has not been reported up to now. Hu, M.S. et al. (2015) examined that the effect of initial end bending moment M0 of in-plane radial gate arm can not be ignored by prototype observation. Thus, according to the relationship between the deflection and the moment of the material:

(1)


and the arm boundary conditions:

,
(2)


The sag of the arm can be defined as follow:

(3)


where EI represents the flexural rigidity, L represents the length of the arm.

Draft Wu 924459062-image6.png
Figure 2. A vibration model of the radial gate arm.

Consider a radial gate arm, as depicted in Figure 2, with the longitudinal u(x,t) and transverse displacements v(x,t), earthquake excitation frequency ωp, flow-induced excitation frequency ωd, earthquake excitation load Dp, flow excitation load Dd. The equation of motion for this structure is:

(4)


where T0 is tangential hydrostatic pressure, τ is additional tangential hydrodynamic pressure, s is the coordinate by the arc length. m is the mass per unit length of the arm, μ is denoting damping coefficient.

According to the geometric deformation and the stress state of the arm model, the results are obtained:

(5)


where H0 and h represent the axial hydrostatic pressure and the additional axial hydrodynamic pressure, respectively.

By Taylor formula, the equation (5) is expanded at dη/dx=0:

(6)


Substituting of equations (5) and (6) into equation (4), the following equation is obtained:

(7)


The length variation of micro-segment ds' is assumed as:

(8)


Neglecting the longitudinal inertia gives:

(9)


as ds≈dx, equation (9) can be rewritten:

(10)


The boundary conditions for generalized displacements vector (Figure 2) are:

, , ,

In this study, the first-order mode is dominated. Hence, the displacement v(x,t) can be expressed as:

(11)


where V(t) is the displacement amplitude.

When only the flow-induced vibration is considered, supposing Dp=0, equation (11) can be rewritten as:

(12)


The internal force of the arm can be expressed as:

(13)


where , .

Substituting equations (3), (12) and (13) into equation (7) yields:

Draft Wu 924459062-image23.png
(14)


Then, according to the Galerkin method,the equation of motion is obtained as follows:

(15)


where

, , ,

,

,

,

,

, ,

.

where ξ is the damping ratio, ω0 is the first-order natural frequency, λ is the arm parameter of the end moment.

Compared with the classical parametric vibration models [2, 9-10], this model is more comprehensive and can more accurately reflect the characteristics of the parametric vibration of radial gates.

3. Stability analysis

The multi-scale method will be used to solve the nonlinear equation of motion. Therefore, the following substitutions are made:

, , ,
(16)


where ε is a small dimensionless perturbation parameter. Then, equation (15) can be rewritten to:

(17)


where ue represents excitation load. Suppose that the solution to equation (17) can be expressed as:

(18)


where T0=t, T1=, T2=t. Substituting equation (18) into equation (17) and equating the coefficients of like powers of ε result in the following differential equations:

(19)
(20)
(21)


The complex solution to equation (19) can be obtained as:

(22)


where is the complex conjugate of A.

Substituting equation (22) into equation (20), one gets:

(23)


where cc indicates the complex conjugate part at the right-hand side of equation (23). Eliminating the secular terms in equation (21) leads to:

(24)


Substituting equations (22) and (24) into equation (21) lead to:

(25)


Here, the subharmonic parametric resonance, ωe=2ωa is studied. Therefore, one has:

(26)


Eliminating secular term in equation (25), the following is obtained:

(27)


Write A in the exponential function form as follows:

(28)


where α(t) and θ(t) are real functions. Substituting equation (28) into equation (27) and separating the resulting equation into real and imaginary parts yield:

(29)
(30)


where γ2σT0-θ. The stationary solution equation αs and γs can be obtained from equations (29) and (30) by letting . The vibration amplitude can be expressed as:

(31)


For αs is a real number, from equation (31), the condition of the structural motion stability can be obtained as follows:

,
(32)


or

,
(33)


From which one can see that many parameters like axial force, length of arms, etc. affect the structural motion stability region.

4. Numerical analysis

Taking a representative radial gate arm for study. The arm has box section, whose cross-sectional dimensions are shown in Figure 3. Arm length L=16m, mass per unit length m=386kg/m, modulus of elasticity E=210GPa.

Draft Wu 924459062-image60.png
Figure 3. Arm section (unites: mm).

In MATLAB, the standard fourth-order Runge-Kutta method is used to solve the numerical solution of equation (15) and the influence of the excitation elements and the structural elements for vibration of the radial gate arm is analyzed.

4.1 Effects of water head

When Initial disturbance V(0)=10-4m, excitation amplitude Ad=0.01m, time t=500s, damping coefficient μ=0 and initial water head H=0, the effects of varying water head on vibration amplitude are shown in Figure 4. Where λd denotes the ratio of the external excitation frequency to the natural frequency of the arm. According to the Chinese and American codes, the layout of main beam of radial gate is equal load, and the hydrostatic pressure H0 is related function of water head. The analysis of water head is shown in Table 1.

Table 1. Statistical table of Chinese high head radial gate.
Hydropower Station Location Size (m) Head (m)
1 Xiaowan Lantsang 5.0×7.0 163
2 Shuibuya Qing River 6.0×7.0 154
3 Jinping I Yalong River 5.0×6.0 133
4 Laxiwa Yellow River 4.0×6.0 132
5 Pubugou Dadu River 6.5×8.0 126.28
6 Tianshengqiao First cascade Pearl River 6.4×7.5 120
7 Xiluodu Jinsha River 6.0×6.7 105.5
8 Jiangpinghe Loushui River 6.0×6.0 105.14
9 Longtan Hongshui River 5.0×8.0 90
10 Dagangshan Dadu River 6.0×6.6 83
11 Goupitan Wujiang River 10.0×9.0 81
12 Nuozhadu Lantsang 5.0×8.5 76


When the principal parametric resonance occurs, the amplitude of the arm increases with the increase of the water head, and the maximum displacement reaches 0.57m. In the case of subharmonic parametric resonance, the tendency of change is opposite, and the maximum amplitude is 0.18m. Overall, both types of parametric resonance responses change slowly and the axial hydrostatic pressure of the arm can be assumed to be 80m head in later analysis.

Draft Wu 924459062-picture- 1.svg
Figure 4. Vibration amplitude-water head curves.

4.2 Effects of excitation frequency ratio and initial end bending moment

Figure 5 depicts the relationship between the amplitude and the excitation frequency ratio subjected to the initial end bending moment of different water heads. In figures, at H=0, the peak value of parametric resonance only appears at λd=1 and λd=2. This phenomenon matches the case of Design Code for Steel Gate in Water Resources and Hydropower Projects (SL74-2013) (2013). The Figure 6 shows that when the initial end bending moment is not taken into consideration, the beat vibration phenomenon can be observed, and the beat amplitude value increases over time at the subharmonic parametric resonance. However, take into account intitial end bending moment (Figure 5), the amplitude peak will be shift, and the arm response amplitudes increase with the initial end bending moment level, the resonance region become wider, which makes the parametric resonance more easily excited. The maximum displacements of parametric resonance are 1.44m and 2.2m at dividing point of high head in current code 80m and maximum existing design head 163m (Table 1). Through the above analysis, it is further clarified that the parametric resonance excitation condition mentioned in Chinese code is a special case in the parametric resonance region, which only consider the parametric resonance occur at the near doubled natural frequency. In order to obtain a more accurate response of the arm, the calculation method of instability regions for radial gates should be adopted in this paper.

Draft Wu 924459062-image63.png Draft Wu 924459062-image64.png
(a) H<100m (b) H≥100m


Figure 5. Vibration amplitude-excitation frequency ratio curves.
Draft Wu 924459062-image65.png Draft Wu 924459062-image66.png
(a) λd=1 (b) λd=2


Figure 6. Time history curves of displacement.

4.3 Effects of excitation amplitude

Draft Wu 924459062-image67.png
Figure 7. Vibration amplitude-excitation amplitude curves.

Figure 7 demonstrates the relationship between the displacement and the excitation amplitudes. The diagram shows that when parametric resonance occurs, the displacement response is closely related to the excitation amplitude. The response nonlinearly increases with the increase of excitation amplitude. When the excitation amplitude is less than 0.08m, the subharmonic parametric resonance response is greater than the principal parametric resonance response. While as the excitation amplitude is greater than 0.08m, two kinds of parametric resonance responses are almost equal. When the excitation amplitude is less than 0.01m, the arm swings in a smaller range, which makes it difficult to form destructive vibration. Thus, the response of the arm should be fully considered with the factor of excitation amplitudes.

4.4 Effects of inclination angle

The effect of inclination angle of radial gate arm on vibration amplitude is presented in Figure 8. The amplitude displacement increases significantly at subharmonic parametric resonance with the increase of angle. But, at the parametric resonance, when the angle is less than 45 degrees, the amplitude increases rapidly, and then tends to steady. Thus, the inclination should be reasonably arranged in combination with considering displacement constraint in the design of radial gate.

Draft Wu 924459062-image68.png
Figure 8. Vibration amplitude-inclination angle curves.

4.5 Effects of arm length and excitation time

According to the characteristics of traditional radial gate and special planar radial gate as depicted in the article of Chen, F.Z. and Yan, G.H. (2015), arm length from 5 to 25m is examined in this paper. The curve of the relationship between the amplitude and length of arm is shown in Figure 9.

Draft Wu 924459062-image69.png
Figure 9. Vibration amplitude-length curves.

It can be found that the calculated results are not agreement with the description of the traditional unstable regions partition method. In the past review, with the increase of length, the flexibility and response amplitude of the arm should increase correspondingly. However, the inflection point appears in the Figure 9, this dependence of curve is not linear. Then, the time history analysis at a, b, c, d on both sides of the inflection are given in Figure 10. When the arm length is more than 45m and 20m respectively at λd=1 and λd=2, a longer excitation time is needed to reach peak response. This result proved that the gate may not show strong vibration in the initial stage of local opening operation, while the vibration amplitude will become much stronger over time, until the whole structure reaches integral instability failure. The results also proves that it is not advisable to ignore the time factor in the traditional design.

It can be seen that, from the above analysis, the time factor of local opening should be considered in the initial design stage. Meanwhile, in the stages of completion and operation, the corresponding guidance of local opening range and opening-closing time should be given in detail according to the vibration analysis results in an project. It is more reasonable that the length of radial gate arm is chosen less then 20m in 500s according to the case presented in this article.

Draft Wu 924459062-image70.png Draft Wu 924459062-image71.png
(a) λd=1, L=45 (Vmax=0.2291) (b) λd=1, L=60 (Vmax=0.2427)
Draft Wu 924459062-image72.png Draft Wu 924459062-image73.png
(c) λd=2, L=10 (Vmax=0.8116) (d) λd=2, L=20 (Vmax=0.9604)


Figure 10. Time history curves of displacement.

4.6 Effects of damping

Draft Wu 924459062-image74.png Draft Wu 924459062-image75.png
(1) λd=1 (b) λd=2


Figure 11. Vibration amplitude-damping ratio curves.

Figure 11 illustrates the relationship between amplitude and damping ratio under different excitation amplitudes. As can be seen from the diagram, amplitudes nonlinearly decrease with the damping ratio increaseing. Furthermore, the amplitude decreases rapidly at λd=1, ξ<0.01, and then tends to steady. The damping decrement at λd=2 is slightly higher than λd=1. As a whole, the damping effect on the vibration control is relatively insensitive. Once the parametric resonance is excited, the resonance amplitudes are mainly affected by the nonlinear term rather than the damping coefficient. Thus, adopting means of energy transfer (such as tuned dampers), the much more significant damping effect will be achieved.

5 Conclusions

This paper is devoted to nonlinear parametric vibration of radial gates. the nonlinear differential equation of motion for radial gate arm is derived with considering the geometric nonlinear and large displacement. Furthermore, the stability and vibration response of principal parametric resonance and subharmonic parametric resonance are investigated by using multi-scale method and numerical method. At the same time, the above-mentioned methods make up for the defects of the former methods of dividing the dynamic instability zone with not considering effects of response amplitude and time. The results are discussed as follows:

(1) The change of hydrostatic pressure caused by the water head has little effect on the parametric vibration, while the resonance region broaden with increase in the initial bending moment.

(2) The increasing of amplitude response increases both the excitation amplitude and the arm length, moreover, it reduces the inclination angle.

(3) Vibration amplitude will become much stronger over time. Thus, the time factor should be consider in design and operation stages.

(4) The vibration response mainly depends on the coefficient of nonlinear term, while the damping effect is limited. Thus, energy transfer method should be adopted to suppress the vibration.

Data Availability Statement

All data, models, and code generated or used during the study appear in the summitted article.

Acknowledgements

This research is supported by National Natural Science Foundation of China (Grant No. 51179164 and 51478354).

References

[1] CMWR (China Ministry of Water Resources). (2013) Design Code for Steel Gate in Water Resources and Hydropower Projects (SL74-2013). China Water & Power Press, Beijing.

[2] Niu, Z.G., Li, T.C. (2008) Research on Dynamic Stability of Steel Radial Gates. In: Earth and Space. Long Beach. pp. 1-8.

[3] Wang, Z.Z., Zhang, X.C., Liu, J.L. (2017) Advances and developing trends in research of large hydraulic steel gates. J. Hydroelectr. Eng., 36: 1-18.

[4] Demsic, M., Uros, M., Lazarevic, A.J., Lazarevic, D. (2019) Resonance regions due to interaction of forced and parametric vibration of a parabolic cable. J. Sound. Vib., 447: 78-104.

[5] Zhang, X., Peng, J., Wang, L. (2014) Parametric resonances in the two-to-one resonant beams on elastic foundation. Nonlinear Dynam., 77: 339-352.

[6] Franzini, G.R., Pesce, C.P., Gonçalves, R.T., Fujarra, A.L.C., Mendes, P. (2018). An experimental investigation on concomitant vortex-induced vibration and axial top-motion excitation with a long flexible cylinder in vertical configuration. Ocean Engineering, 156: 596-612.

[7] Wei, M.H., Lin, K., Jin,L., Zou, D.J. (2016) Nonlinear dynamics of a cable-stayed beam driven by sub-harmonic and principal parametric resonance. Int. J. Mech. Sci., 110: 78-93.

[8] Zhang, J.G. (1985) Summary on the study of gate vibration in China. Water Power, 11: 38-44.

[9] Liu, J.L., Wang, Z.Z., Fang, X., Fang, H.M. (2011) Dynamic instability mechanism and vibration control of radial gate arms. Appl. Mech. Mater., 50: 309-313.

[10] Zhang, J., Xie, Z.X. (2011) Nonlinear vibration and chaos phenomena of arm structures in radial gate. Water Power, 50: 309-313.

[11] Zhang, X.C., Wang, Z.Z., Sun, D.X. (2018) Research on rational layout of strut arms of tainter gate in vertical frame. Revista Internacional de Métodos Numéricos para Cálculo y Diseño en Ingeniería, 34: 1-6.

[12] Hu, M.S., Yang, Z.Z., Xu, J., Zhang, B. (2015) Modal parameter identification of radial gate based on stochastic subspace method. Water resour. power, 33: 164-167.

[13] Chen, F.Z., Yan, G.H. (2015) The key technology research on Chinese special type sluice. Hohai University Press, Nanjing.

Back to Top

Document information

Published on 22/01/20
Accepted on 10/12/19
Submitted on 05/06/19

Volume 36, Issue 1, 2020
DOI: 10.23967/j.rimni.2019.12.004
Licence: CC BY-NC-SA license

Document Score

0

Views 508
Recommendations 0

Share this document

claim authorship

Are you one of the authors of this document?