Line 88: Line 88:
 
|}
 
|}
  
donde q es la presión por velocidad, GC<sub>p</sub> es el producto del coeficiente de presión externa y el factor de efecto ráfaga, q<sub>i</sub> la presión por velocidad para la determinación de la presión interna y GC<sub>pi</sub> es el producto del coeficiente de presión interna y el factor de efecto ráfaga, parámetros especificados en el reglamento como se muestra en la figura 2.
+
donde <math>q</math> es la presión por velocidad, <math>GC_p</math> es el producto del coeficiente de presión externa y el factor de efecto ráfaga, <math>q_i</math> la presión por velocidad para la determinación de la presión interna y <math>GC_{pi}</math> es el producto del coeficiente de presión interna y el factor de efecto ráfaga, parámetros especificados en el reglamento como se muestra en la Figura 2.
  
 
<div class="center" style="width: auto; margin-left: auto; margin-right: auto;">
 
<div class="center" style="width: auto; margin-left: auto; margin-right: auto;">
Line 95: Line 95:
 
<div class="center" style="width: auto; margin-left: auto; margin-right: auto;">
 
<div class="center" style="width: auto; margin-left: auto; margin-right: auto;">
 
Figura 2. Sistema Principal de Resistencia de Fuerza de Viento B.6.5-3. [6]</div>
 
Figura 2. Sistema Principal de Resistencia de Fuerza de Viento B.6.5-3. [6]</div>
 
  
 
==3. Modelo Computacional==
 
==3. Modelo Computacional==

Revision as of 11:15, 4 April 2019


Abstract

The Colombian building code, NSR-10, specifies three methods for estimating wind loads on structures: a) a Simplified Method, b) an Analytical Method and c) Wind Tunnel Testing. The first two of these methods are widely used by structural engineers in Colombia, as wind tunnel testing is comparatively expensive and time consuming, and only mandatory in special cases. Although the Simplified Method is only valid for buildings with regular shaped roofs and overall heights less than 18 m, the Analytical Method can be used for any regular building, regardless of the height. However, when these two methods are used to estimate wind loads for buildings with heights less than 18 m, they often produce very different results and, at times, contradictory values. In this study, Computational Fluids Dynamic (CFD) analyses were performed on flat and gabled roofed building models in order to compare the pressures on the roofs with those calculated using the standard design methods specified by the Colombian building code. The results illustrate the significant differences produced from the Simplified and Analytical methods of the NSR-10 and highlight the need of conducting wind tunnel tests in order to propose a more consistent method for estimating design wind loads in Colombia.

Keywords: Computational fluid dynamics; NSR-10, wind loads on buildings, gabled roofs, flat roofs

Resumen

En el Reglamento Colombiano de Construcción Sismo Resistente NSR-10 se establecen tres métodos de evaluación de las cargas de viento para estructuras civiles: simplificado, analítico y túnel de viento, referenciados en el título B.6. Los métodos más utilizados por los diseñadores son el Simplificado y Analítico, debido a que los ensayos en túnel de viento son relativamente dispendiosos, y solo son obligatorios en casos especiales. Aunque el Método Simplificado solo puede ser usado para edificios con cubiertas regulares con alturas menores a 18 m, el Método Analítico puede ser usado para edificios regulares de cualquier altura. No obstante, cuando estos dos métodos son usados para estimar las cargas de viento en la misma estructura, los métodos producen resultados muy diferentes y, en casos, contradictorios. En esta investigación se realizó análisis de Dinámica Computacional de Fluidos (CFD) en modelos de edificios con cubiertas planas y a dos aguas para comparar las presiones en las cubiertas con aquellos obtenidos usando los métodos Simplificado y Analítico del Reglamento. Se obtuvieron gráficas que relacionan las presiones obtenidas con las velocidades de diseño de la NSR-10 y con CFD, donde se visualizan las diferencias entre los métodos. Los resultados mostraron que hay diferencias significativas entre los métodos Simplificado y Analítico reglamentados en la NSR-10 y resaltaron la necesidad de realizar ensayos en túnel de viento para proponer un método de diseño más apropiado.

Palabras clave: Dinámica computacional de fluidos, NSR-10, cubiertas inclinadas, cubiertas planas

1. Introducción

En la última década, el viento ha causado daños considerables en estructuras civiles en Colombia. Algunos ejemplos son el colapso de la cubierta del velódromo Alcides Nieto Patiño en la ciudad de Cali en el 2001 [1]; el ventarrón en la ciudad de Bogotá en el año 2008 que causó que se cayera el recubrimiento de la fachada del edificio Julio Mario Santo Domingo de la Universidad de los Andes [2]; el fuerte vendaval en el municipio de Condoto en el departamento del Chocó en mayo de 2015 que causó el levantamiento de las cubiertas de casas entre uno y tres pisos [3]; las ráfagas de viento de hasta 70 km/h que causaron daños a estructuras en diferentes zonas de la ciudad de Cali en marzo del 2017 [4] y, en febrero del 2017 en Medellín Antioquia, los fuertes ventarrones que causaron graves accidentes, entre ellos el desplome de un muro de más de 6 m de altura [5].

En Colombia, los métodos utilizados para el análisis de viento en el diseño de estructuras están especificados en el Reglamento Colombiano de Construcción Sismo Resistente NSR-10, en el cual se adoptaron las disposiciones de códigos extranjeros con algunas leves modificaciones para adaptarlas a las condiciones propias del país [6]. Este reglamento establece tres métodos de evaluación de las cargas de viento para estructuras civiles: Simplificado, Analítico y Túnel de Viento, referenciados en el título B.6. Los métodos más utilizados por los diseñadores son el Simplificado y el Analítico, debido a su relativa facilidad de aplicación. Aunque el Método Simplificado solo puede ser usado para edificios con cubiertas regulares y de alturas menores a 18 m, el Método Analítico puede ser usado para edificios regulares de cualquier altura. No obstante, cuando estos dos métodos han sido usados para estimar las cargas de viento en la misma estructura, han producido resultados muy diferentes y, en algunos casos, valores contradictorios [7]. En estos casos, idealmente se debería realizar ensayos en túnel de viento para realizar un avalúo preciso de las cargas. Sin embargo, debido a que los ensayos en túnel de viento son relativamente dispendiosos, y a que no son obligatorios en estos casos, las estructuras con cubiertas regulares y de alturas menores a 18 m se están diseñando para casos de cargas completamente distintos que dependen del método escogido por el diseñador.

En estos casos, una alternativa para el avalúo de cargas es el uso de la herramienta de Dinámica Computacional de Fluidos (CFD). Esta herramienta permite solucionar numéricamente diversos problemas encontrados en el campo de la ingeniería de viento y da la posibilidad que los ingenieros evalúen el costo y beneficio de un amplio rango de potenciales diseños [8]. Este tipo de evaluación numérica suministra información acerca del comportamiento de las líneas de corriente del fluido, la generación de vórtices, los gradientes de presión, y temperatura, entre otras [8],[9],[10]. Las aplicaciones y uso de simulaciones realizadas con CFD en el campo de la ingeniería del viento han crecido notablemente en las últimas décadas debido a la rápida evolución de las herramientas computacionales que han permitido resolver problemas complejos de flujo.

Numerosas investigaciones se han llevado a cabo usando CFD, incluyendo problemas de interacción fluido-estructura, evaluaciones del confort de peatones, predicciones de patrones de dispersión de contaminantes, estudios de patrones de flujo en áreas urbanas, y evaluaciones de cargas de viento sobre estructuras civiles [11],[12]. En el caso de la capa límite atmosférica, su modelado depende de las condiciones de entrada del flujo en el modelo numérico como lo detalla Ai y Mak [13] y se describe por medio del perfil de velocidad. Ramponi [14] en su estudio acerca de las simulaciones con CFD, evaluó el comportamiento del modelo cambiando dos parámetros: el perfil de velocidad que estableció a la entrada del dominio y la eficiencia de la malla en la discretización del modelo; parámetros importantes que mejoran la fiabilidad y la precisión de las simulaciones. Por otro lado, Yang [15] hizo una evaluación del efecto del viento en una edificación cúbica de 6 m con el índice de flujo de ventilación interna obtenido por medio de CFD, demostrando la confiabilidad del modelo de turbulencia RANS para diferentes aberturas en la estructura. Ahmad [16] realizó una evaluación numérica de la presión sobre edificios bajos en 2-D, determinando el efecto del viento sobre una edificación con cubierta plana y otra con cubierta a dos aguas, situados en una zona específica, calibrando el modelo con información climatológica y validando los resultados con datos experimentales. Adicionalmente, Balbastro y Sonzogni [17] en Argentina, realizaron una investigación sobre el uso de CFD para estudiar las presiones de viento sobre cubiertas curvas aisladas sin cerramiento lateral, validando los resultados con ensayos experimentales en túnel de viento de capa límite, consiguiendo buena correspondencia entre resultados numéricos y experimentales.

Sin embargo, en países como Colombia donde la ingeniería de viento no ha sido muy desarrollada como rama de la ingeniería civil, la falta de conocimiento sobre los paquetes de CFD hacen que esta herramienta sea poco aplicada. En la investigación descrita en este artículo, se compararon las cargas ejercidas por el viento sobre las cubiertas de estructuras con cubiertas planas y a dos aguas para diferentes alturas, que se obtuvieron por medio de simulaciones con CFD, usando el paquete comercial de ANSYS CFX 14.0, y los métodos proporcionados por el código de diseño colombiano NSR-10. Este artículo describe el modelo de turbulencia usado en las simulaciones, posteriormente se presenta la metodología utilizada en la construcción del modelo computacional y los resultados obtenidos. Estos resultados de CFD confirman que, a pesar de las notables diferencias que producen el Método Simplificado y el Analítico, en la mayoría de los casos el Reglamento es conservativo y resaltan la necesidad de usar un método experimental en túnel de viento para evaluar y validar resultados específicos.

2. Procedimientos del Reglamento NSR-10

La carga de diseño para edificios y otras estructuras en Colombia se determinan a través del Método Simplificado y el Método Analítico [6]. En esta sección se presentan las expresiones para la carga de presión por cada metodología.

Método Simplificado: Los edificios para los cuales aplica este procedimiento, deben cumplir las condiciones descritas en el código de diseño. Las presiones de viento se calculan con la siguiente ecuación:

(1)

donde es la presión, es el factor de ajuste por altura y exposición que tiene un valor entre 1.47 y 1.87, es el factor topográfico, es el factor de importancia, y es la presión de viento simplificada para la categoría de exposición y es dado en el reglamento. La presión calculada representa la presión neta (suma de presiones internas y externas) que se debe aplicar a la proyecciones verticales y horizontales de las superficies del edificio como se muestra en la Figura 1.

Draft OSORIO 351885107-image1.png

Figura 1. Sistema Principal de Resistencia de Fuerza de Viento B.6.4-2. [6]

Método Analítico: Los edificios para los cuales aplica este procedimiento, deben cumplir las condiciones descritas en el código de diseño y las presiones de viento se calculan con la siguiente ecuación:

(2)

donde es la presión por velocidad, es el producto del coeficiente de presión externa y el factor de efecto ráfaga, la presión por velocidad para la determinación de la presión interna y es el producto del coeficiente de presión interna y el factor de efecto ráfaga, parámetros especificados en el reglamento como se muestra en la Figura 2.

Draft OSORIO 351885107-image2.png
Figura 2. Sistema Principal de Resistencia de Fuerza de Viento B.6.5-3. [6]

3. Modelo Computacional

La Dinámica Computacional de Fluidos (CFD) es una técnica poderosa que involucra el flujo de fluidos y la transferencia de calor, entre otros fenómenos, y abarca una amplia gama de áreas de aplicación, tal como la aerodinámica de estructuras civiles. El comportamiento dinámico del flujo del fluido lo describen las ecuaciones de Navier-Stokes, que se derivan a partir de los principios de la conservación de la mecánica y termodinámica en un volumen de fluido. Los aspectos físicos sobre los que se rigen las ecuaciones de Navier-Stokes son el principio de la conservación de masa, la segunda ley de Newton y el principio de la conservación de la energía [18]. Estas ecuaciones, en su forma conservativa, las resuelve el paquete comercial de ANSYS CFX 14.0, presentadas a continuación:

(3)
(4)
(5)

donde es la densidad del fluido, el campo de velocidades del flujo, el tensor de esfuerzos viscosos y la Viscosidad cinemática del fluido.

3.1 Modelos de turbulencia

Las ecuaciones de movimiento que gobiernan los fluidos se pueden aplicar a flujos atmosféricos, es decir, las ecuaciones de conservación de masa y las ecuaciones de Navier-Stokes para un fluido en movimiento. Con el fin de lograr una simulación satisfactoria, se deben simplificar las ecuaciones y, para esto, se requiere la introducción de los modelos de turbulencia [19]. Para los modelos analizados en esta investigación, la turbulencia se desarrolla al generarse el choque de la corriente del flujo libre con el modelo de la cubierta. En la parte superior del dominio computacional, el flujo se comporta de forma laminar y en la parte inferior se desarrolla la capa límite, describiendo la forma de un perfil exponencial. Aguas abajo del objeto se presenta una estela y fluctuaciones del flujo en forma de torbellinos propias de un fenómeno turbulento.

Con el fin de modelar los efectos debidos a la turbulencia, investigadores han desarrollado métodos numéricos dentro de los cuales se encuentran las ecuaciones de estado de Navier-Stokes con la introducción de cantidades ponderadas y fluctuantes que producen las ecuaciones RANS (Reynolds Averaged Navier Stokes). Estas ecuaciones se enfocan en el flujo medio y los efectos de turbulencia en las propiedades medias del flujo; además, aparecen términos adicionales cuando se promedian en el tiempo tales ecuaciones, debido a las interacciones entre varias fluctuaciones turbulentas. Los términos adicionales se configuran con los modelos de turbulencia clásicos, de los cuales uno de los más conocidos es el modelo k – ε. Este modelo, que se enfoca en las propiedades que afectan la energía cinética turbulenta [20], es el modelo de turbulencia que fue implementado en las simulaciones computacionales realizadas en esta investigación.

4. Metodología

El desarrollo de simulaciones computacionales con CFD para la evaluación de la carga de viento sobre cubiertas de estructuras civiles requirió de una definición detallada del dominio, de la malla y de las condiciones de frontera. A partir de la configuración del modelo, se establecieron los parámetros aerodinámicos que se aplicaron para caracterizar el flujo de aire.

4.1 Parámetros geométricos

Las condiciones geométricas de los modelos numéricos se establecieron a partir de estructuras tipo bodega. Estas se caracterizan por tener condiciones topográficas regulares en su entorno, se ubican en zonas planas y abiertas con pocos objetos que obstaculicen al flujo; también, se identifican por ser edificaciones cerradas con cubiertas de grandes áreas. El estudio se realizó para dos tipos de cubiertas: plana y a dos aguas, las dimensiones de los modelos numéricos son a escala real.

4.1.1 Geometría de cubierta plana

La configuración de los modelos para las cubiertas planas tiene las siguientes características: un área en planta de 20 x 20 m2 y alturas de 3, 6, 12, 18, 24, 30 y 36 m. Por la simetría del modelo, el análisis fue igual en la dirección longitudinal y transversal del viento. Según las alturas definidas, se dividió el análisis en edificios bajos (< 18 m) y altos (> 18 m). En los edificios bajos se realizó la comparación de la carga de viento obtenida por medio del Método Simplificado, Método Analítico, ambos del Reglamento NSR-10, y con modelos computacionales. En los edificios altos, solo se realizó la comparación de resultados entre el Método Analítico y CFD a causa de la restricción de la aplicación del Método Simplificado.

4.1.2 Geometría de cubierta a dos aguas

Los modelos de cubierta a dos aguas tienen un área en planta de 20 x 20 m2 con un ángulo de inclinación de 15° con respecto a la horizontal. La altura media toma valores de 3.25, 7.25, 13.25, 19.25, 25.25, 31.25 y 37.25 m. En los casos de estas cubiertas, se incrementó la cantidad de variables de la simulación debido a que la estructura se debe analizar en dirección longitudinal y transversal del viento, y se evaluaron las presiones en ambas direcciones.

4.2 Parámetros aerodinámicos

Los modelos tienen un área de ocupación de 400 m2 y se encuentran aislados. Las características físicas del terreno se mantienen por una distancia mayor a 20 veces la altura del edificio o 1500 m, la que sea mayor en la dirección de barlovento. A partir de las características aerodinámicas y geométricas de las estructuras, se establecieron los valores para los parámetros definidos en cada una de las metodologías de cálculo de las cargas viento, tabla 1.

Método Factor de Importancia Exposición Topografía Corrección Altura Kd Velocidad
Simplificado Grupo II

I = 0.85

D Kzt = 1 λ para exp D No aplica Mapa Amenaza Eólica
Analítico D Kzt = 1 Kz : α = 11.5

Zg = 213.4

1 Perfil con α, Zg y Velocidad mapa
CFD Calibración dominio Geometría dominio No aplica No aplica Perfil con α, Zg y Velocidad mapa


Tabla 1: Parámetros aerodinámicos del dominio según del Reglamento NSR-10.

4.3 Modelo numérico en CFD

Para calibrar el dominio se realizaron 30 modelos con la herramienta CFX del software ANSYS 14.0. Este proceso requirió calibrar cada una de las condiciones de frontera y se comprobó que fueran equivalentes a las que se especifican en el reglamento NSR-10. A partir de los resultados obtenidos para estos modelos, se analizaron los perfiles de velocidad y se establecieron las condiciones adecuadas para el dominio numérico.

4.3.1 Dominio del modelo numérico

Las dimensiones del dominio dependen de las características físicas que se definen en la categoría de exposición de la estructura, mencionadas en la sección 3.2. Se realizó un análisis de homogeneidad de la capa límite a medida que el perfil de velocidad avanza longitudinalmente y siguiendo las recomendaciones de las referencias [10, 15], se utilizó la configuración geométrica mostrada en la figura 3 para el dominio computacional.

Draft OSORIO 351885107-image3.png

Figura 3. Geometría del dominio computacional.

Según el análisis geométrico, el dominio tiene dimensiones de 200 m de ancho, 200 m de alto y 400 m de largo. Las condiciones de frontera apropiadas representan las influencias del entorno que ha sido limitado por el dominio computacional y son parte fundamental del pre-proceso del modelado en CFD. Por lo tanto, las condiciones de frontera establecidas en el modelo numérico se describen en la tabla 2.

Frontera Característica
Entrada Perfil potencial Método Analítico
Salida Presión relativa estática igual a cero, presión atmosférica
Superior Velocidad del perfil en la dirección longitudinal a la altura Zg
Terreno Pared lisa, las condiciones de rugosidad están en el perfil
Caras Estructura Pared de no deslizamiento
Lado izquierdo Pared con deslizamiento libre
Lado derecho Simetría


Tabla 2: Condiciones de frontera del modelo numérico.

4.3.2 Discretización de la malla

El dominio computacional fue discretizado usando volúmenes de control prismáticos hexaédricos. Este tipo de malla requiere mayor recurso computacional y, por lo tanto, limita el número de elementos que se puedan utilizar. Para cada configuración geométrica se realizó un análisis de independencia de la malla, iniciando con una configuración burda con aproximadamente 1.000.000 de elementos hasta llegar a una malla fina de 9.000.000 de elementos. Como resultado de este análisis se eligió una configuración con aproximadamente 5.000.000 de elementos. En la figura 4, se muestra el detalle de esta malla en la subcapa viscosa. La relación de aspecto geométrica de la malla fue parametrizada en el diseño del experimento en ANSYS, tomando la altura de la estructura como la longitud característica y el parámetro de relación de aspecto adimensional.

Draft OSORIO 351885107-image4.png
Figura 4. Detalle de la malla en la subcapa viscosa.

4.3.3 Homogeneidad de la capa límite

Independientemente del tipo de simulación, se debe garantizar la homogeneidad del perfil vertical de velocidad para evitar resultados erróneos [14], [20], [21]. Mediante una simulación del dominio computacional vacío, se evaluaron tanto el perfil de entrada como los perfiles que se desarrollan a lo largo del dominio. Se verificó que no se generaran gradientes de presión adversos y se garantizó que el dominio cumpliera con las condiciones establecidas por el reglamento en cuanto a la rugosidad. En la figura 5, se ilustran los resultados de la simulación en términos del cambio del perfil de velocidad a lo largo del dominio. Se evaluaron diez perfiles de velocidad, tomadas cada 40 m desde la entrada del dominio.

Draft OSORIO 351885107-image5.png

Figura 5. Rango de perfil de velocidades a lo largo del dominio.

La zona sombreada de gris en la figura 5, representa el rango de los perfiles de velocidad media. El porcentaje de diferencia en los valores de velocidad media de los perfiles de los planos con respecto al perfil en la entrada, no superó el 1%. Esto indica que el perfil se mantiene constante en toda la longitud del dominio, validando las condiciones de frontera del dominio computacional.

4.4 Estimación de presiones

Se estimaron las presiones sobre las cubiertas de las estructuras usando simulaciones con CFD, el Método Analítico de la NSR-10 y el Método Simplificado, cuando éste aplicaba. Esto se realizó para cada combinación de altura de edificio, configuración de cubierta, velocidad de viento y dirección del viento. Se consideraron velocidades de viento de 17, 22, 28, 33 y 36 m/s para todas las cubiertas y, en los casos de cubiertas de dos aguas, se analizaron las dos direcciones ortogonales de incidencia del viento. Para las simulaciones con CFD, se estableció como criterio de convergencia un residual de 1e-5 en las ecuaciones de masa y continuidad. Este criterio de convergencia se alcanzó a las 150 iteraciones, aproximadamente, en cada simulación.

5. Análisis de resultados

Se realizaron un total de 105 simulaciones con CFD y se obtuvieron las velocidades y presiones alrededor de las estructuras. En las siguientes figuras se muestran los resultados de velocidades y presiones alrededor de dos estructuras representativas. En la figura 6, se muestran algunos de los perfiles de velocidad media para los dos siguientes casos: a) una estructura de 7.25 m de altura con cubierta a dos aguas con la dirección del flujo paralelo a la cumbrera, y el viento con velocidad de 28 m/s y con dirección paralelo a la cumbrera, y b) una estructura de 6.00 m de altura con cubierta plana, y la velocidad de viento de 28 m/s. En el caso de la cubierta a dos aguas, el flujo de viento se separa desde el borde anterior de la cubierta, formando una zona de recirculación sobre la cubierta que se extiende hasta la zona a sotavento. Para el segundo caso, el flujo de viento también se separa desde el borde a barlovento de la cubierta dibujando una zona de recirculación sobre toda la superficie de cubierta y aguas debajo de la estructura.

Draft OSORIO 351885107-image6.jpeg

Figura 6. a) Perfiles de velocidades medias para la estructura de 7.25 m con cubierta de dos aguas a una velocidad de 28 m/s y b) Perfiles de velocidad medias para la estructura de 6 m con cubierta plana a una velocidad de 28 m/s.

Adicionalmente, se muestran los contornos de velocidad y presión media alrededor de la estructura de cubierta plana en la figura 7, y para la estructura con cubierta a dos aguas con el viento en dirección transversal y longitudinal en las figuras 8 y 9, respectivamente. Se puede observar regiones de recirculación aguas arriba y aguas abajo de cada modelo, así como el punto de estancamiento en la cara anterior a barlovento y cómo el flujo actuante sobre los dos tipos de cubierta se separa en los bordes a barlovento de la cubierta plana y también en el borde de la cumbrera para la cubierta de dos aguas.

Draft OSORIO 351885107-image7.jpeg

Figura 7. a) Contorno de velocidades medias para la estructura con cubierta plana de 6 m a una velocidad de 28 m/s y b) Contorno de presión para la estructura con cubierta plana de 6 m a una velocidad de 28 m/s.

Draft OSORIO 351885107-image8.jpeg

Figura 8. a) Contorno de velocidades medias para la estructura con cubierta a dos aguas de 7.25 m, una velocidad de 28 m/s y dirección del viento perpendicular a la cumbrera y b) Contorno de presión para la estructura con cubierta a dos aguas de 7.25 m a una velocidad de 28 m/s.

Draft OSORIO 351885107-image9.jpeg

Figura 9. Contorno de velocidades medias para la estructura con cubierta a dos aguas de 7.25 m, a una velocidad de 28 m/s y dirección del viento paralelo a la cumbrera y b) Contorno presión para la estructura con cubierta a dos aguas de 7.25 m, a una velocidad de 28 m/s.

Para el caso de las estructuras con cubierta plana y alturas menores a 18 m, se calcularon las presiones sobre la cubierta usando el Método Simplificado de la NSR-10. En la figura 10, para estas estructuras se presentan los valores de las presiones obtenidas con CFD, divididos por los respectivos valores de presión calculados con el Método Simplificado. Se obtuvo que la relación entre las presiones fue menor a uno a lo largo de la zona a barlovento para todos los casos de cubierta plana y las diferencias más altas, del 50% y 80%, se presentan para los casos de 18 m y 3m, respectivamente. Lo anterior indica que el Método Simplificado del código de diseño es conservador con respecto a las simulaciones con CFD, ya que da como resultado cargas significativamente altas. Sin embargo, para la estructura de 12 m de altura se observa que el Método Simplificado subestima hasta un 15%, con respecto a CFD, las presiones en los dos primeros metros a sotavento.

Draft OSORIO 351885107-image10.png

Figura 10. Comparación entre Método Simplificado y CFD para cubiertas planas y alturas inferiores a 18 m.

Debido a que el Método Analítico puede ser usado para todas las estructuras consideradas en este trabajo, para cada configuración se dividieron las presiones obtenidas con CFD por los respectivos valores obtenidos con el Método Analítico. En la figura 11 se muestran estas relaciones para los casos de las cubiertas planas. Para los edificios con alturas entre 12 y 36 m, se observa que, en general, el código es conservador con respecto a los resultados de CFD. En el caso de las cubiertas con alturas de 3 y 6 m, las simulaciones con CFD arrojaron presiones significativamente mayores que las del reglamento en la mayoría de la zona a barlovento y significativamente menores en la zona a sotavento.

Draft OSORIO 351885107-image11.png

Figura 11. Comparación entre Método Analítico y CFD para cubiertas planas y alturas ≥ 18 m.

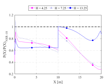
En las siguientes figuras se presentan los resultados obtenidos para cubiertas a dos aguas para diferentes alturas. En la figura 12, se muestran los resultados para cubiertas de baja altura a dos aguas, entre 4.25 y 13.25 m. Se observa la relación entre el Método Simplificado y CFD con el flujo de viento en dirección longitudinal, es decir, paralelo a la cumbrera. Se obtuvo para la zona a barlovento, una diferencia entre 20% y 50% para las estructuras de 4.25 y 7.25 m de altura y para la cubierta con 13.25 m de alto, la diferencia fue de 50%. Para la zona a sotavento las estructuras de 4.25 y 7.25 m los valores del código de diseño están aproximadamente un 80% por encima del modelo numérico casi al borde de la estructura, igualmente que la estructura de 13.25 m de alto, pero con una diferencia máxima del 20%.

Draft OSORIO 351885107-image12.png

Figura 12. Comparación entre Método Simplificado y CFD para cubiertas a dos aguas con alturas inferiores a 18 m.

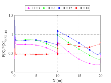
En la figura 13 se muestran los resultados obtenidos con el Método Analítico para todos los casos de cubierta inclinada. Solo para la estructura de menor altura se presenta una diferencia mayor que uno entre los métodos, es decir, con el modelo numérico se obtvieron presiones mayores que con el código de diseño. Para los demás casos, las presiones que se obtuvieron con el modelo numérico fueron menores que las que se obtuvieron con el código de diseño. Para las estructuras con alturas entre 13.25 m y 37.25 m, las diferencias son aproximadamente del 50% en la zona a barlovento, y para la zona a sotavento las diferencias son entre el 20% y 60%.

Draft OSORIO 351885107-image13.png

Figura 13. Comparación entre Método Analítico y CFD para cubiertas a dos aguas con alturas ≥ 18 m.

Por último, con el flujo de viento en dirección transversal, es decir, perpendicular a la cumbrera, se evaluaron las diferencias entre el Método Analítico del código de diseño y el modelo numérico para todos los casos de estructura con cubierta inclinada, figura 14. En contraste con los resultados obtenidos anteriormente para estructuras bajas, las presiones que se obtuvieron con el código de diseño fueron mayores a las que se lograron con el modelo numérico a lo largo de toda la cumbrera de la cubierta. Para las demás estructuras en la zona a barlovento, las diferencias fueron de un 50% y en la zona a sotavento entre el 25% y 90%, siendo mucho mayores las cargas del código de diseño.

Draft OSORIO 351885107-image14.png
Figura 14. Comparación entre Método Analítico y CFD para cubiertas a dos aguas con alturas superiores a 18 m, en dirección transversal.

6. Conclusiones

La estimación de cargas de viento sobre cubiertas planas y a dos aguas, en estructuras de diferentes alturas, usando los métodos Simplificado y Analítico del Reglamento Sismo Resistente Colombiano NSR-10, arroja valores muy distintos entre sí. A pesar de estas diferencias, los resultados de las simulaciones realizadas con CFD para estas mismas estructuras resaltan que en la mayoría de los casos ambos métodos son conservativos, aunque hay excepciones importantes. En particular, el Método Simplificado del reglamento es conservador con respecto a los resultados que se obtuvieron con CFD para los casos de estructuras con alturas menores a 18 m, tanto para cubiertas planas como las de dos aguas. Sin embargo, en contraste con lo anterior, el Método Analítico subestima las cargas obtenidas con CFD para estas mismas estructuras bajas. Específicamente, para los casos de las estructuras bajas, con cubiertas a dos aguas y la dirección del flujo transversal, el uso del Método Analítico, resulta en cargas de diseño muy inferiores a los valores obtenidas con los modelos numéricos en la zona de la cumbrera, tanto a barlovento como a sotavento. Dentro de estos casos, en la cumbrera de la estructura de 13.25 m de altura, las cargas obtenidas con CFD alcanzan valores mayores a tres veces las que se obtienen al aplicar el Método Analítico. Este factor es considerable en un punto donde una correcta estimación de las cargas generalmente es crítica. En consecuencia, se recomienda a los diseñadores en Colombia evitar el uso del Método Simplificado para estructuras bajas hasta que se pueda validar estos resultados experimentalmente.

Los resultados de esta investigación demuestran la importancia de la validación experimental por medio de ensayos en un túnel de viento de capa límite, tanto de los procedimientos ofrecidos por el Reglamento NSR-10, como de las cargas obtenidas por medio de la herramienta computacional. En consecuencia, en la Universidad del Valle se ha construido el primer túnel de viento de capa limite en Colombia. Este túnel es de circuito abierto y tiene una longitud total de 30 m. Adicionalmente, tiene una sección de ensayos de 2 m x 2 m, una longitud de desarrollo de la capa límite de 17 m, un cielo falso ajustable con en la cual se puede regular el gradiente de presión longitudinal, y un ventilador axial con aspas de ángulo de ataque variable que puede producir velocidades de viento hasta 30 m/s. Como perspectiva se planea realizar ensayos en el Túnel de Viento de Capa Límite de la Universidad del Valle, para evaluar experimentalmente los efectos del viento en cubiertas planas y a dos aguas, comparando los resultados con los obtenidos en esta investigación.

Agradecimientos

Los autores agradecen a la Universidad del Valle por su financiación del proyecto “Evaluación experimental de estructuras representativas bajo amenaza eólica colombiana”, código 2854, de la Convocatoria Interna Para la Conformación del Banco de Proyectos de Investigación – 2015.

Referencias

[1] J. Chávez, «Velódromo para Copa Mundo de Ciclismo en Pista UCI - Cali 2011.:.», Union Cycliste Internationale, 2011. [En línea]. Disponible en: http://www.copamundopistacali.com/2011/veloe.html. [Accedido: 06-oct-2017].

[2] Revista Semana, «Se desploma fachada de la Universidad de los Andes», Revista Semana, 2008. [En línea]. Disponible en: http://www.semana.com/noticias/articulo/fotonoticia-desploma-fachada-universidad-andes/96038-3. [Accedido: 06-oct-2017].

[3] «Imagenes: El vendaval que quiso acabar con Condoto», El vendaval que quiso acabar con Condoto, 2015. [En línea]. Disponible en: http://www.semana.com/nacion/galeria/el-vendaval-que-quiso-acabar-con-condoto/427661-3. [Accedido: 16-abr-2017].

[4] «Ráfagas de viento de hasta 70 km/h “golpean” por estos días a Cali», 2017. [En línea]. Disponible en: http://m.elpais.com.co/cali/rafagas-de-viento-de-hasta-70-km-h-golpean-por-estos-dias-a.html. [Accedido: 16-abr-2017].

[5] «Aguacero dejó dos lesionados y un muro desplomado en Itagüí, cerca de Medellín - RCN Radio», Aguacero dejó dos lesionados y un muro desplomado en Itagüí, cerca de Medellin, 2017. [En línea]. Disponible en: http://www.rcnradio.com/locales/antioquia/aguacero-dejo-dos-lesionados-y-un-muro-desplomado-en-itagui-cerca-de-medellin/. [Accedido: 16-abr-2017].

[6] Asociación Colombiana de Ingeniería Sísmica, Reglamento Colombiano de Construcción Sismo Resistente NSR-10. Bogotá, 2010.

[7] G. Areiza, «No Title». Universidad del Vallle, Cali, 2010.

[8] H. Mott, «CFX Simulation Improves Ventilation at Grand Central Terminal». [En línea]. Disponible en: https://caeai.com/sites/default/files/CFX Simulation Improves Ventilation at Grand Central Terminal.pdf. [Accedido: 06-oct-2017].

[9] J. Franke, «Introduction to the Prediction of Wind Loads on Buildings by Computational Wind Engineering (CWE)», en Wind Effects on Buildings and Design of Wind-Sensitive Structures, 2007, pp. 67-103.

[10] B. Blocken, «50 years of Computational Wind Engineering: Past, present and future», J. Wind Eng. Ind. Aerodyn., vol. 129, pp. 69-102, 2014.

[11] L. Cochran y R. Derickson, «A physical modeler’s view of Computational Wind Engineering», J. Wind Eng. Ind. Aerodyn., vol. 99, n.o 4, pp. 139-153, 2011.

[12] W. D. Janssen, B. Blocken, y T. van Hooff, «Pedestrian wind comfort around buildings: Comparison of wind comfort criteria based on whole-flow field data for a complex case study», Build. Environ., vol. 59, pp. 547-562, 2013.

[13] Z. Ai y C. M. Mak, «CFD simulation of flow and dispersion around an isolated building: Effect of inhomogeneous ABL and near-wall treatment», Atmos. Environ., vol. 77, pp. 568-578, 2013.

[14] R. Ramponi y B. Blocken, «CFD simulation of cross-ventilation for a generic isolated building: Impact of computational parameters», Build. Environ., vol. 53, pp. 34-48, 2012.

[15] T. Yang, «CFD and Field Testing of a Naturally Ventilated Full-scale Building», The University of Nottingham, 2004.

[16] S. Ahmad, M. Muzzammil, y I. Zaheer, «Numerical prediction of wind loads on low buildings», Multicr. Int. J. Eng. Sci. Technol., vol. 3, n.o 5, pp. 59-72, 2011.

[17] G. C. Balbastro y V. E. Sonzogni, «The use of CFD to study wind pressures on curve roofs without walls.pdf», Rev. Int. Métodos Numéricos para Cálculo y Diseño en Ing., vol. 28, pp. 49-54, 2012.

[18] J. D. Anderson y J. A. Jr, «Governing equations of fluid dynamics», en Comput. fluid Dyn., Third., 2009, pp. 15-51.

[19] A. U. Weerasuriya, «Computational Fluid Dynamic (CFD) Simulation of Flow around Tall Buildings», Engineer, vol. XXXXVI, n.o 03, pp. 43-54, 2013.

[20] B. Blocken, T. Stathopoulos, y J. Carmeliet, «CFD simulation of the atmospheric boundary layer: wall function problems», Atmos. Environ., vol. 41, n.o 2, pp. 238-252, 2007.

[21] B. Blocken, J. Carmeliet, y T. Stathopoulos, «CFD evaluation of wind speed conditions in passages between parallel buildings-effect of wall-function roughness modifications for the atmospheric boundary layer flow», J. Wind Eng. Ind. Aerodyn., vol. 95, n.o 9-11, pp. 941-962, 2007.

Back to Top

Document information

Published on 24/04/19
Accepted on 02/04/19
Submitted on 03/12/18

Volume 35, Issue 2, 2019
DOI: 10.23967/j.rimni.2019.04.001
Licence: CC BY-NC-SA license

Document Score

0

Views 355
Recommendations 0

Share this document